

<!DOCTYPE html>
<html lang="uz-Latn-UZ">
<head>
    
   <!-- Global site tag (gtag.js) - Google Analytics -->
   <script async src="https://www.googletagmanager.com/gtag/js?id=UA-2682682-1"></script>
   <script>
      window.dataLayer = window.dataLayer || [];
      function gtag() { dataLayer.push(arguments); }
      gtag('js', new Date());
      gtag('config', 'UA-2682682-1');
   </script>

    <title>&nbsp;149-сон 30.03.2004.&nbsp;Ҳудудий давлат ҳокимияти органлари бошқарув тизимини такомиллаштириш юзасидан қўшимча чора-тадбирлар тўғрисида</title>
    
<meta charset="utf-8" />
<meta name="viewport" content="width=device-width, initial-scale=1">
<meta name="google" content="notranslate">
<meta http-equiv="x-ua-compatible" content="ie=edge">
    <link href="/bundle/css2?v=NDIKJDoPuwZPy1MfOJpzXNiwBDUzdtQHywcNyEx0mjI1" rel="stylesheet"/>

    <script src="/bundle/js2?v=TYDc0n5cWRYNF8rf6nCuzSQBVlRXZ0BA8QWlo5AxYqQ1"></script>

    <link href="/bundle/css_actform?v=E2H5feooh50MK4BN8LKb-BQOM3rTyLoFxEQduTgJFcU1" rel="stylesheet"/>

    
    <script type="text/javascript" src="https://www.google.com/recaptcha/api.js?onload=onloadCallback&render=explicit" async defer></script>
    
    <style>
        .lx_revive_adserver.lx_adv_doc {
            margin-left: auto;
            margin-right: auto;
            z-index: 998;
        }

        #lx_gte {
            line-height: 1;
            background-color: #0064A9;
            border: solid 4px #0064A9;
            border-radius: 4px;
            padding: 2px 4px 0;
            margin: 0 0 0 4px;
        }

            #lx_gte img {
                max-width: 19px;
            }

            #lx_gte #google_translate_element {
                margin-bottom: 4px;
            }

            #lx_gte .lx_ot {
                font-size: 12px;
                color: #fff;
                text-align: center;
            }

            #lx_gte .goog-te-gadget-simple {
                width: 100%;
                padding: 2px 1px 2.5px 1px !important;
            }

                #lx_gte .goog-te-gadget-simple > span {
                    display: inline-block;
                }

                    #lx_gte .goog-te-gadget-simple > span > a {
                        display: inline-block;
                        margin: 0;
                    }

                        #lx_gte .goog-te-gadget-simple > span > a > span {
                            display: none;
                        }

                            #lx_gte .goog-te-gadget-simple > span > a > span:first-of-type {
                                display: inline;
                            }

                #lx_gte .goog-te-gadget-simple:hover {
                    color: #fff;
                    background-color: #0064A9;
                }

                    #lx_gte .goog-te-gadget-simple:hover a {
                        color: #fff;
                        background-color: #0064A9;
                        text-decoration: none;
                    }

        .toc_show {
            display: block !important;
        }

            .toc_show .fas {
                display: none !important;
            }

        .toc_hide {
            display: none !important;
        }

        .show_context {
            background-color: #FFFF00;
            color: inherit;
        }

        .act_warning {
            color: red;
        }

        .lx_date_ddm {
            padding: 0 !important;
            width: 170px !important;
            max-height: 70vh !important;
            overflow-y: auto !important;
        }

            .lx_date_ddm > div {
                padding: 5px 20px !important;
                margin-bottom: 0 !important;
            }

        .lx_date_selected {
            cursor: default;
            color: gray;
        }

        .lx_date_link:hover {
            cursor: pointer;
            background: #0064a9;
            color: #fff;
        }

        .docContentHeader__item-link .icon {
            height: 25px;
            fill: #0064a9;
        }

            .docContentHeader__item-link .icon.sm {
                height: 17px;
            }

        .docContentHeader__item-link:hover .icon {
            fill: #fff;
        }

        .lx_text_on_other_lang {
            margin: 12px 0 8px 0;
            padding: 8px 16px;
            color: black;
            background-color: #fef1e1;
            font-style: italic;
        }

        #lxPlayButton {
            display: none;
            position: absolute;
            background-color: #007bff;
            color: white;
            border: none;
            border-radius: 5px;
            cursor: pointer;
            font-size: 18px;
            width: 32px;
            height: 32px;
            margin: 0;
            padding: 0;
            z-index: 1000;
        }

            #lxPlayButton:focus {
                outline: none;
            }

        #divCont a.lx_next_ver {
            margin: 4px 0px;
            padding: 4px 16px;
            color: #ffffff;
            background-color: #0064a9;
            border-radius: 16px;
            display: inline-block;
            text-align: center;
            text-indent: initial;
        }

            #divCont a.lx_next_ver:hover {
                color: #ffffff;
            }

        @media (max-width:720px) {
            #divCont a.lx_next_ver {
                display: block;
            }
        }
    </style>

    
    <style>
        /*#divCont > div {
            overflow-x: auto;
            max-width: calc(100vw - 42px);
            padding-right: 30px;
        }*/

        /* .TABLE_STD, .BY_DEFAULT {
            overflow-y: auto;
            max-height: 80vh;
        }*/
    </style>
    
</head>
<body class="sidebar-show">
    
    <div class="wrapper">
        
        <div id="lx_adv_doc" class="lx_revive_adserver lx_adv_doc">
            

<script type='text/javascript'><!--//<![CDATA[
    var m3_u = (location.protocol == 'https:' ? 'https://rk.adolatmarkazi.uz/www/delivery/ajs.php' : 'http://rk.adolatmarkazi.uz/www/delivery/ajs.php');
    var m3_r = Math.floor(Math.random() * 99999999999);
    if (!document.MAX_used) document.MAX_used = ',';
    document.write("<scr" + "ipt type='text/javascript' src='" + m3_u);
    document.write("?zoneid=6");
    document.write('&amp;cb=' + m3_r);
    if (document.MAX_used != ',') document.write("&amp;exclude=" + document.MAX_used);
    document.write(document.charset ? '&amp;charset=' + document.charset : (document.characterSet ? '&amp;charset=' + document.characterSet : ''));
    document.write("&amp;loc=" + escape(window.location));
    if (document.referrer) document.write("&amp;referer=" + escape(document.referrer));
    if (document.context) document.write("&context=" + escape(document.context));
    document.write("'><\/scr" + "ipt>");
    //]]>--></script>

        </div>
        
        <header id="doc_header" class="header">
            <div class="header__top">
                <div class="container">
                    <div id="lx_lact_num_top">
                        
                            <span>Ҳужжат кучини йўқотган&nbsp;16.12.2025</span>
                        
                        30.03.2004 йилдаги 149-сон
                    </div>
                    <div class="header__top-right">
                        <div class="header__icons">
                            
                            <div class="header__icon">
                                <a target="_blank" href="https://t.me/lexuzofficial"><i class="fab fa-telegram-plane"></i></a>
                            </div>
                            <div class="header__icon">
                                <a target="_blank" href="https://www.facebook.com/minjustuz"><i class="fab fa-facebook-f"></i></a>
                            </div>
                            <div class="header__icon">
                                <a target="_blank" href="https://www.instagram.com/adliyanews/"><i class="fab fa-instagram-square"></i></a>
                            </div>
                            <div class="header__icon">
                                <a target="_blank" href="https://www.youtube.com/c/adliya"><i class="fab fa-youtube"></i></a>
                            </div>
                            
                        </div>
                    </div>
                </div>
            </div>
            <div class="header__bottom">
                <div class="container">
                    <div class="header__bottom-left w-100 skiptranslate">
                        <a class="header__logo" href="/">
                            <img src="/assets/img/lex_uz.svg">
                        </a>
                        <div class="docBody__content ml-4 docBody_top-nav">
                            <div class="docContentHeader">
                                <div class="docContentHeader__item docContentHeader__item-mobile-left docContentHeader__item--action">
                                    
                                    <div class="docContentHeader__item-link lx_border_left" id="docContent__sideBar-show" title="Mundarijani ko’rsatish">
                                        <i class="fas fa-bars"></i>
                                    </div>
                                    <div class="docContentHeader__item-link" onclick="addToFavorite()" title="Tanlanganlarga qo‘shish">
                                        <i class="far fa-star"></i>
                                    </div>
                                    
                                    <div class="dropdown docContentHeader__item-link-dropdown">
                                        <div class="docContentHeader__item-link" id="dropdownMenuButton_t" title="Qo’shimcha modullar" data-toggle="dropdown" aria-haspopup="true" aria-expanded="false">
                                            <i class="fas fa-tags"></i>
                                        </div>
                                        <div class="dropdown-menu" aria-labelledby="dropdownMenuButton_t" id="t_dropdown_check">
                                            <div class="dropdown-menu__item">
                                                <div class="custom-control custom-checkbox stopProp">
                                                    <input class="custom-control-input" id="t_checkAll" type="checkbox" onclick="clickAllChk('t_checkAll', this,'t','b')">
                                                    <label class="custom-control-label" for="t_checkAll"></label>
                                                </div>
                                                Hammasi
                                            </div>
                                            <div class="dropdown-menu__item">
                                                <div class="custom-control custom-checkbox stopProp">
                                                    <input class="custom-control-input" id="t_3935" type="checkbox" onclick="hideItem(this)" checked="checked">
                                                    <label class="custom-control-label" for="t_3935"></label>
                                                </div>
                                                Keyingi tahrirga havola
                                            </div>
                                            <div class="dropdown-menu__item">
                                                <div class="custom-control custom-checkbox stopProp">
                                                    <input class="custom-control-input" id="t_3934" type="checkbox" onclick="hideItem(this)" checked="checked">
                                                    <label class="custom-control-label" for="t_3934"></label>
                                                </div>
                                                Oldingi tahrirga havola
                                            </div>
                                            <div class="dropdown-menu__item">
                                                <div class="custom-control custom-checkbox stopProp">
                                                    <input class="custom-control-input" id="t_5987" type="checkbox" onclick="hideItem(this)">
                                                    <label class="custom-control-label" for="t_5987"></label>
                                                </div>
                                                QTUK bo‘yicha indekslash
                                            </div>
                                            <div class="dropdown-menu__item">
                                                <div class="custom-control custom-checkbox stopProp">
                                                    <input class="custom-control-input" id="t_5988" type="checkbox" onclick="hideItem(this)">
                                                    <label class="custom-control-label" for="t_5988"></label>
                                                </div>
                                                QMQ bo‘yicha indekslash
                                            </div>
                                            <div class="dropdown-menu__item">
                                                <div class="custom-control custom-checkbox stopProp">
                                                    <input class="custom-control-input" id="t_1104" type="checkbox" onclick="hideItem(this)" checked="checked">
                                                    <label class="custom-control-label" for="t_1104"></label>
                                                </div>
                                                O‘zgartirishlar manbasi
                                            </div>
                                            <div class="dropdown-menu__item">
                                                <div class="custom-control custom-checkbox stopProp">
                                                    <input class="custom-control-input" id="t_1089" type="checkbox" onclick="hideItem(this)" checked="checked">
                                                    <label class="custom-control-label" for="t_1089"></label>
                                                </div>
                                                Rasmiy nashr manbasi
                                            </div>
                                        </div>
                                    </div>
                                    <div class="docContentHeader__item-link" id="t_btn_lex_comment" onclick="toggleLexComments()" title="LexUZ шарҳи">
                                        <i class="fas fa-file-signature"></i>
                                    </div>
                                    
                                    <div class="dropdown docContentHeader__item-link-dropdown" title="Variantlar">
                                        <div class="docContentHeader__item-link" id="dd3" data-toggle="dropdown" aria-haspopup="true" aria-expanded="false">
                                            <i class="fas fa-calendar" style="font-weight: 400;"></i>
                                        </div>
                                        <div class="dropdown-menu lx_date_ddm" aria-labelledby="dd3" id="lx_var_t" title="">
                                            
                                                    <div class="dropdown-menu__item lx_date_selected stopProp">16.12.2025</div>
                                                
                                                    <div class="dropdown-menu__item lx_date_link" onclick="lxOpenUrl('/uz/docs/282107?ONDATE=30.03.2004')">30.03.2004</div>
                                                
                                        </div>
                                    </div>
                                    
                                    <div class="dropdown docContentHeader__item-link-dropdown" title="Variantlarni solishtirish">
                                        <div class="docContentHeader__item-link" id="dd4" data-toggle="dropdown" aria-haspopup="true" aria-expanded="false">
                                            <svg class="icon">
                                                <use xlink:href="/assets/img/sprite2.svg#compare"></use></svg>
                                        </div>
                                        <div class="dropdown-menu lx_date_ddm" aria-labelledby="dd4" title="">
                                            <div class="dropdown-menu__item lx_date_link" onclick="lxOpenUrl('/uz/docs/282107?ONDATE2=16.12.2025&action=compare')">16.12.2025</div>
<div class="dropdown-menu__item lx_date_link" onclick="lxOpenUrl('/uz/docs/282107?ONDATE2=30.03.2004&action=compare')">30.03.2004</div>
                                        </div>
                                    </div>
                                    
                                    <div class="docContentHeader__item-link" onclick="downloadDoc()" title="MS Word ga saqlash">
                                        <svg class="icon">
                                            <use xlink:href="/assets/img/sprite2.svg#word"></use></svg>
                                    </div>
                                    
                                    <div class="docContentHeader__item-link lx_border_right" onclick="window.print()" title="Chop etish">
                                        <i class="fas fa-print"></i>
                                    </div>
                                    
                                </div>
                                <div class="docContentHeader__item docContentHeader__item-mobile-right skiptranslate">
                                    <div class="dropdown">
                                        <div class="docContentHeader__item-link lx_border_both mr-1" data-toggle="dropdown">
                                            <i class="fas fa-eye"></i>
                                        </div>
                                        <div class="dropdown-menu drop_menu">
                                            <h6 class="show_size">Ko‘rinish</h6>
                                            <div class="row" style="margin-right: 1.3rem; margin-left: 0rem;">
                                                <div class="col-4">
                                                    <button class="btnA btn__left" onclick="toggleTheme('light');">A</button>
                                                </div>
                                                <div class="col-4">
                                                    <button class="btnA btn__cebter" onclick="toggleTheme('grey');">A</button>
                                                </div>
                                                <div class="col-4">
                                                    <button class="btnA btn__reght" onclick="toggleTheme('dark');">A</button>
                                                </div>
                                            </div>
                                        </div>
                                    </div>
                                    <div class="docContentHeader__item-link lx_border_left" onclick="openUrl('/uz/docs/282137')" title="На русском">Рус</div><div class="docContentHeader__item-link active" title="Ўзбекча">Ўзб</div><div class="docContentHeader__item-link" onclick="openUrl('/uz/docs/-282107')" title="O'zbekcha">O’zb</div><div class="docContentHeader__item-link-language lx_border_right" onclick="openTwoLang(1)" title="Ikkita tilda">Ўзб|Рус</div>
                                    
                                    <div id="lx_gte">
                                        <div id="google_translate_element"></div>
                                        <div class="lx_ot skiptranslate">ONLINE TRANSLATE</div>
                                    </div>
                                    
                                </div>
                            </div>
                        </div>
                    </div>
                </div>
            </div>
        </header>
        
        <div id="docBody__sidebar" class="docBody__sidebar">
            <div class="docBody__sidebar-em">
                <div class="docNavbar">
                    <div class="docBody__search input-group">
                        <input id="search-criteria" class="form-control" type="text" placeholder="Izlash">
                        <div class="input-group-append">
                            <button class="btn" type="button" onclick="clearSearch();" title="Izlashni tozalash"><i class="fas fa-times"></i></button>
                        </div>
                    </div>
                    
                    <div class="lx_revive_adserver">
                        

<script type='text/javascript'><!--//<![CDATA[
    var m3_u = (location.protocol == 'https:' ? 'https://rk.adolatmarkazi.uz/www/delivery/ajs.php' : 'http://rk.adolatmarkazi.uz/www/delivery/ajs.php');
    var m3_r = Math.floor(Math.random() * 99999999999);
    if (!document.MAX_used) document.MAX_used = ',';
    document.write("<scr" + "ipt type='text/javascript' src='" + m3_u);
    document.write("?zoneid=7");
    document.write('&amp;cb=' + m3_r);
    if (document.MAX_used != ',') document.write("&amp;exclude=" + document.MAX_used);
    document.write(document.charset ? '&amp;charset=' + document.charset : (document.characterSet ? '&amp;charset=' + document.characterSet : ''));
    document.write("&amp;loc=" + escape(window.location));
    if (document.referrer) document.write("&amp;referer=" + escape(document.referrer));
    if (document.context) document.write("&context=" + escape(document.context));
    document.write("'><\/scr" + "ipt>");
    //]]>--></script>

                    </div>
                    <div id="dvToc" style="margin: 5px;"><div class="docNavbar__item"><div class="docNavbar__item-link search-toggle" data-toggle="collapse" href="#collapse282331" role="button" aria-expanded="false" aria-controls="collapse282331"><div class="docNavbar__item-link-title"><a class="stopProp search-text" href="javascript:scrollText('282331');">ҲУДУДИЙ ДАВЛАТ ҲОКИМИЯТИ ОРГАНЛАРИ БОШҚАРУВ ТИЗИМИНИ ТАКОМИЛЛАШТИРИШ ЮЗАСИДАН ҚЎШИМЧА ЧОРА-ТАДБИРЛАР ТЎҒРИСИДА</a></div></div></div><div class="docNavbar__item"><div class="docNavbar__item-link search-toggle" data-toggle="collapse" href="#collapse294956" role="button" aria-expanded="false" aria-controls="collapse294956"><div class="docNavbar__item-link-title"><a class="stopProp search-text" href="javascript:scrollText('294956');">1-ИЛОВА<br />Бошқарув аппарати тузилмасига ҳокимнинг биринчи ўринбосари — шаҳар ҳокими лавозими киритилаётган қишлоқ туманлари ҳокимликлари рўйхати </a></div></div></div><div class="docNavbar__item"><div class="docNavbar__item-link search-toggle" data-toggle="collapse" href="#collapse294963" role="button" aria-expanded="false" aria-controls="collapse294963"><div class="docNavbar__item-link-title"><a class="stopProp search-text" href="javascript:scrollText('294963');">2-ИЛОВА<br />Қўрғонтепа, Ромитон, Зомин, Нишон, Сирдарё, Хазорасп ва Сариосиё туманлари ҳокимликлари бошқарув аппаратининг намунавий тузилмаси</a></div></div></div></div>
                </div>
            </div>
        </div>
        
        <main class="main" id="doc_main">
            <div class="container">
                <div class="docHeader skiptranslate">
                    <div class="docHeader__col docHeader__col__1">
                        <div class="docHeader__item d-flex">
                            <div class="docHeader__item-label">Ўзбекистон Республикаси Вазирлар Маҳкамасининг Қарори, 30.03.2004 йилдаги 149-сон</div>
                        </div>
                    </div>
                    <div class="docHeader__col docHeader__col__2">
                        <div class="docHeader__item d-flex">
                            <div class="docHeader__item-label" style="width: 60%">Kuchga kirish sanasi</div>
                            <div class="docHeader__item-value d-flex" style="width: 40%;">30.03.2004</div>
                        </div>
                    </div>
                    <div class="docHeader__col docHeader__col__3">
                        <div class="docHeader__item d-flex">
                            <div style="width: 60%">
                                <div class="dropdown mr-3">
                                    <a role="button" data-toggle="dropdown" aria-expanded="false">Qo‘shimcha axborot</a>
                                    <div class="dropdown-menu" style="margin-top: -2px;">
                                        <a class="dropdown-item" onclick="showAddCard(1)">Asosiy rekvizitlar</a>
                                        <a class="dropdown-item" onclick="showAddCard(2)">Kodifikatsiya</a>
                                        <a class="dropdown-item" onclick="showAddCard(3)">Qayta ko‘rib chiqilgan hujjatlar</a>
                                        <a class="dropdown-item" onclick="showAddCard(4)">Hujjatni qayta ko‘rib chiqishga asos bo‘lgan hujjatlar</a>
                                        <a class="dropdown-item" onclick="showAddCard(5)">Korrespondentlar</a>
                                        <a class="dropdown-item" onclick="showAddCard(6)">Respondentlar</a>
                                    </div>
                                </div>
                            </div>
                            <div style="width: 40%">
                                <div class="dropdown">
                                    <a role="button" data-toggle="dropdown" aria-expanded="false"><i class="fa fa-share-alt mr-2"></i>Ulashish</a>
                                    <div class="dropdown-menu" style="margin-top: -2px;">
                                        <a class="dropdown-item" target="_blank" href="https://telegram.me/share/url?url=http://lex.uz//uz/docs/282107 Ҳудудий давлат ҳокимияти органлари бошқарув тизимини такомиллаштириш юзасидан қўшимча чора-тадбирлар тўғрисида">Telegram</a>
                                        <a class="dropdown-item" target="_blank" href="https://www.facebook.com/sharer/sharer.php?u=http://lex.uz//uz/docs/282107">Facebook</a>
                                        <a class="dropdown-item" target="_blank" href="">Twitter</a>
                                        <a class="dropdown-item" target="_blank" href="">Instagram</a>
                                    </div>
                                </div>
                            </div>
                        </div>
                    </div>
                </div>
            </div>
            <div class="container docBody-container">
                <div class="docBody d-flex">
                    <div class="docBody__content">
                        <div class="docContentHeader docBody_bottom-nav">
                            <div class="docContentHeader__item docContentHeader__item-mobile-left docContentHeader__item--action">
                                <div class="docContentHeader__item-link lx_border_left" onclick="addToFavorite()" title="Tanlanganlarga qo‘shish">
                                    <i class="far fa-star"></i>
                                </div>
                                
                                <div class="dropdown docContentHeader__item-link-dropdown">
                                    <div class="docContentHeader__item-link" id="dropdownMenuButton_b" title="Qo’shimcha modullar" data-toggle="dropdown" aria-haspopup="true" aria-expanded="false">
                                        <i class="fas fa-tags"></i>
                                    </div>
                                    <div class="dropdown-menu" aria-labelledby="dropdownMenuButton_b" id="b_dropdown_check">
                                        <div class="dropdown-menu__item">
                                            <div class="custom-control custom-checkbox">
                                                <input class="custom-control-input" id="b_checkAll" type="checkbox" onclick="clickAllChk('b_checkAll', this,'b','t')">
                                                <label class="custom-control-label" for="b_checkAll"></label>
                                            </div>
                                            Hammasi
                                        </div>
                                        <div class="dropdown-menu__item">
                                            <div class="custom-control custom-checkbox">
                                                <input class="custom-control-input" id="b_3935" type="checkbox" onclick="hideItem(this)" checked="checked">
                                                <label class="custom-control-label" for="b_3935"></label>
                                            </div>
                                            Keyingi tahrirga havola
                                        </div>
                                        <div class="dropdown-menu__item">
                                            <div class="custom-control custom-checkbox">
                                                <input class="custom-control-input" id="b_3934" type="checkbox" onclick="hideItem(this)" checked="checked">
                                                <label class="custom-control-label" for="b_3934"></label>
                                            </div>
                                            Oldingi tahrirga havola
                                        </div>
                                        <div class="dropdown-menu__item">
                                            <div class="custom-control custom-checkbox">
                                                <input class="custom-control-input" id="b_5987" type="checkbox" onclick="hideItem(this)">
                                                <label class="custom-control-label" for="b_5987"></label>
                                            </div>
                                            QTUK bo‘yicha indekslash
                                        </div>
                                        <div class="dropdown-menu__item">
                                            <div class="custom-control custom-checkbox">
                                                <input class="custom-control-input" id="b_5988" type="checkbox" onclick="hideItem(this)">
                                                <label class="custom-control-label" for="b_5988"></label>
                                            </div>
                                            QMQ bo‘yicha indekslash
                                        </div>
                                        <div class="dropdown-menu__item">
                                            <div class="custom-control custom-checkbox">
                                                <input class="custom-control-input" id="b_1104" type="checkbox" onclick="hideItem(this)" checked="checked">
                                                <label class="custom-control-label" for="b_1104"></label>
                                            </div>
                                            O‘zgartirishlar manbasi
                                        </div>
                                        <div class="dropdown-menu__item">
                                            <div class="custom-control custom-checkbox">
                                                <input class="custom-control-input" id="b_1089" type="checkbox" onclick="hideItem(this)" checked="checked">
                                                <label class="custom-control-label" for="b_1089"></label>
                                            </div>
                                            Rasmiy nashr manbasi
                                        </div>
                                    </div>
                                </div>
                                <div class="docContentHeader__item-link" id="b_btn_lex_comment" onclick="toggleLexComments()">
                                    <i class="fas fa-file-signature"></i>
                                </div>
                                
                                <div class="dropdown docContentHeader__item-link-dropdown" title="Variantlar">
                                    <div class="docContentHeader__item-link" id="dd3_" data-toggle="dropdown" aria-haspopup="true" aria-expanded="false">
                                        <i class="fas fa-calendar" style="font-weight: 400;"></i>
                                    </div>
                                    <div class="dropdown-menu lx_date_ddm" aria-labelledby="dd3_" id="lx_var_b" title=""></div>
                                </div>
                                
                                <div class="dropdown docContentHeader__item-link-dropdown" title="Variantlarni solishtirish">
                                    <div class="docContentHeader__item-link" id="dd4_" data-toggle="dropdown" aria-haspopup="true" aria-expanded="false">
                                        <svg class="icon sm">
                                            <use xlink:href="/assets/img/sprite2.svg#compare"></use></svg>
                                    </div>
                                    <div class="dropdown-menu lx_date_ddm" aria-labelledby="dd4_" title="">
                                        <div class="dropdown-menu__item lx_date_link" onclick="lxOpenUrl('/uz/docs/282107?ONDATE2=16.12.2025&action=compare')">16.12.2025</div>
<div class="dropdown-menu__item lx_date_link" onclick="lxOpenUrl('/uz/docs/282107?ONDATE2=30.03.2004&action=compare')">30.03.2004</div>
                                    </div>
                                </div>
                                
                                <div class="docContentHeader__item-link" onclick="downloadDoc()" title="MS Word ga saqlash">
                                    <svg class="icon sm">
                                        <use xlink:href="/assets/img/sprite2.svg#word"></use></svg>
                                </div>
                                
                                <div class="docContentHeader__item-link lx_border_right" onclick="window.print()" title="Chop etish">
                                    <i class="fas fa-print"></i>
                                </div>
                            </div>
                            <div class="docContentHeader__item docContentHeader__item-mobile-right skiptranslate">
                                <div class="dropdown eye_btn">
                                    <div class="docContentHeader__item-link lx_border_both mr-1" data-toggle="dropdown">
                                        <i class="fas fa-eye"></i>
                                    </div>
                                    <div class="dropdown-menu drop_menu">
                                        <h6 class="show_size">Ko‘rinish</h6>
                                        <div class="row" style="margin-right: 1.3rem; margin-left: 0rem;">
                                            <div class="col-4">
                                                <button class="btnA btn__left" onclick="toggleTheme('light');">A</button>
                                            </div>
                                            <div class="col-4">
                                                <button class="btnA btn__cebter" onclick="toggleTheme('grey');">A</button>
                                            </div>
                                            <div class="col-4">
                                                <button class="btnA btn__reght" onclick="toggleTheme('dark');">A</button>
                                            </div>
                                        </div>
                                    </div>
                                </div>
                                <div class="docContentHeader__item-link lx_border_left" onclick="openUrl('/uz/docs/282137')" title="На русском">Рус</div><div class="docContentHeader__item-link active" title="Ўзбекча">Ўзб</div><div class="docContentHeader__item-link" onclick="openUrl('/uz/docs/-282107')" title="O'zbekcha">O’zb</div><div class="docContentHeader__item-link-language lx_border_right" onclick="openTwoLang(1)" title="Ikkita tilda">Ўзб|Рус</div>
                            </div>
                        </div>
                        <div class="docBody__container">
                            <div class="docBody__content-em" id='main_container1'>
                                
                                    <div style="background-color: #fff; padding: 16px 14px 16px 8px;">
                                        <table style="width: 100%; font-family: Arial; font-size: 14px; font-weight: bold;">
                                            <tr>
                                                <td style="width: 50%; border: 0;">
                                                    
                                                        <div class="act_warning">
                                                            Ҳужжат кучини йўқотган&nbsp;16.12.2025
                                                        </div>
                                                    
                                                </td>
                                                <td style="width: 50%; border: 0;" align="right">
                                                    
                                                    
                                                </td>
                                            </tr>
                                            
                                        </table>
                                        <div id="mD" class="main-column document" style="margin: 0px;">
                                            <div id="divBody">
                                                <div id="divCont" style="background:#ffffff;border:none;margin:auto;"><div class="INDEXES_ON_REF lx_no_select" style="display:none"><label id="s5987"></label><div name="onLBC282107" id="onLBC282107">[<b>ОКОЗ:</b><div id="LBC6076"><span class="iorRN">1.</span><span class="iorVal">01.00.00.00 Конституциявий тузум / 01.15.00.00 Маҳаллий давлат ҳокимияти органлари / 01.15.03.00 Маҳаллий ижроия органлари (Ҳокимликлар) (шунингдек, 02.04.00.00га қаранг);</span></div><div id="LBC6123"><span class="iorRN">2.</span><span class="iorVal">02.00.00.00 Давлат бошқаруви асослари / 02.04.00.00 Маҳаллий ижроия органлари (Ҳокимликлар) (шунингдек, 01.15.03.00га қаранг) / 02.04.03.00 Маҳаллий ижроия органларининг тузилмаси ва штатлари]</span></div></div></div><div class="INDEXES_ON_REF lx_no_select" style="display:none"><label id="s5988"></label><div name="onLS282107" id="onLS282107">[<b>ТСЗ:</b><div id="LS3678"><span class="iorRN">1.</span><span class="iorVal">Давлат ва жамият қурилиши / Давлат ҳокимияти органлари. Давлат ва хўжалик бошқаруви органлари]</span></div></div></div><div class="ACCEPTING_BODY lx_elem" onmousemove="lx_mo(event,282327)"><div class="lx_elem2"><div class="lx_elem3"><span onclick="lx_sf(282327)"><img src="/img/cmt.svg" />Hujjatga taklif yuborish</span><span onclick="lx_pa(282327)"><img src="/img/vlm.svg" />Audioni tinglash</span><span onclick="lx_cl(282327)"><img src="/img/lnk.svg" />Hujjat elementidan havola olish</span></div></div><div name="282327" id="282327">Ўзбекистон Республикаси Вазирлар Маҳкамасининг</div></div><div class="ACT_FORM lx_elem" onmousemove="lx_mo(event,282329)"><div class="lx_elem2"><div class="lx_elem3"><span onclick="lx_sf(282329)"><img src="/img/cmt.svg" />Hujjatga taklif yuborish</span><span onclick="lx_pa(282329)"><img src="/img/vlm.svg" />Audioni tinglash</span><span onclick="lx_cl(282329)"><img src="/img/lnk.svg" />Hujjat elementidan havola olish</span></div></div><div name="282329" id="282329">қарори</div></div><div class="ACT_TITLE lx_elem" onmousemove="lx_mo(event,282331)"><div class="lx_elem2"><div class="lx_elem3"><span onclick="lx_sf(282331)"><img src="/img/cmt.svg" />Hujjatga taklif yuborish</span><span onclick="lx_pa(282331)"><img src="/img/vlm.svg" />Audioni tinglash</span><span onclick="lx_cl(282331)"><img src="/img/lnk.svg" />Hujjat elementidan havola olish</span></div></div><div name="282331" id="282331">ҲУДУДИЙ ДАВЛАТ ҲОКИМИЯТИ ОРГАНЛАРИ БОШҚАРУВ ТИЗИМИНИ ТАКОМИЛЛАШТИРИШ ЮЗАСИДАН ҚЎШИМЧА ЧОРА-ТАДБИРЛАР ТЎҒРИСИДА</div></div><div class="BY_DEFAULT lx_elem" onmousemove="lx_mo(event,282335)"><div class="lx_elem2"><div class="lx_elem3"><span onclick="lx_sf(282335)"><img src="/img/cmt.svg" />Hujjatga taklif yuborish</span><span onclick="lx_pa(282335)"><img src="/img/vlm.svg" />Audioni tinglash</span><span onclick="lx_cl(282335)"><img src="/img/lnk.svg" />Hujjat elementidan havola olish</span></div></div><div name="282335" id="282335"></div></div><div class="COMMENT lx_no_select"><label id="s527"></label><div class="COMMENTLEXUZ"><img src="/image/favicon.gif" /> LexUZ шарҳи</div><div name="7934864" id="7934864">Мазкур қарор Ўзбекистан Республикаси Вазирлар Маҳкамасининг 2025 йил 15 декабрдаги 791-сонли «Ўзбекистон Республикаси Ҳукуматининг айрим қарорларига ўзгартириш ва қўшимчалар киритиш, шунингдек, баъзиларини ўз кучини йўқотган деб ҳисоблаш тўғрисида»ги <a href="/uz/docs/7919147?ONDATE=16.12.2025 00#7921865">қарорига</a> асосан ўз кучини йўқотган.</div></div><div class="ACT_TEXT lx_elem" onmousemove="lx_mo(event,282336)"><div class="lx_elem2"><div class="lx_elem3"><span onclick="lx_sf(282336)"><img src="/img/cmt.svg" />Hujjatga taklif yuborish</span><span onclick="lx_pa(282336)"><img src="/img/vlm.svg" />Audioni tinglash</span><span onclick="lx_cl(282336)"><img src="/img/lnk.svg" />Hujjat elementidan havola olish</span></div></div><div name="282336" id="282336">Маҳаллий ижро этувчи ҳокимият органлари фаолияти самарадорлигини янада ошириш, ҳудудий бошқарув органларига юкланган функционал вазифаларнинг амалга оширилиши учун шарт-шароитлар яратиш, шунингдек қишлоқ туманлари ҳокимликлари тузилмасини мақбуллаштириш мақсадида Вазирлар Маҳкамаси қарор қилади:</div></div><div class="ACT_TEXT lx_elem" onmousemove="lx_mo(event,282338)"><div class="lx_elem2"><div class="lx_elem3"><span onclick="lx_sf(282338)"><img src="/img/cmt.svg" />Hujjatga taklif yuborish</span><span onclick="lx_pa(282338)"><img src="/img/vlm.svg" />Audioni tinglash</span><span onclick="lx_cl(282338)"><img src="/img/lnk.svg" />Hujjat elementidan havola olish</span></div></div><div name="282338" id="282338">1. Вазирлар Маҳкамасининг «Давлат бошқаруви ҳудудий органлари тузилмасини такомиллаштириш тўғрисида» 2004 йил 5 январдаги 2-сон <a href="/uz/docs/76173">қарори </a>билан белгиланган (7г-илова) бошқарув ходимлари сони доирасида <a href="/uz/docs/282107#294954">1-иловага</a> мувофиқ айрим қишлоқ туманлари ҳокимликлари тузилмасига ҳокимнинг биринчи ўринбосари — шаҳар ҳокими қўшимча лавозими киритилсин.</div></div><div class="ACT_TEXT lx_elem" onmousemove="lx_mo(event,282340)"><div class="lx_elem2"><div class="lx_elem3"><span onclick="lx_sf(282340)"><img src="/img/cmt.svg" />Hujjatga taklif yuborish</span><span onclick="lx_pa(282340)"><img src="/img/vlm.svg" />Audioni tinglash</span><span onclick="lx_cl(282340)"><img src="/img/lnk.svg" />Hujjat elementidan havola olish</span></div></div><div name="282340" id="282340">2. Қўрғонтепа, Ромитон, Зомин, Нишон, Сирдарё, Хазорасп ва Сариосиё туманлари ҳокимликлари бошқарув аппаратининг<a href="/uz/docs/282107#294961"> 2-иловага </a>мувофиқ намунавий тузилмаси тасдиқлансин.</div></div><div class="ACT_TEXT lx_elem" onmousemove="lx_mo(event,282343)"><div class="lx_elem2"><div class="lx_elem3"><span onclick="lx_sf(282343)"><img src="/img/cmt.svg" />Hujjatga taklif yuborish</span><span onclick="lx_pa(282343)"><img src="/img/vlm.svg" />Audioni tinglash</span><span onclick="lx_cl(282343)"><img src="/img/lnk.svg" />Hujjat elementidan havola olish</span></div></div><div name="282343" id="282343">3. Мазкур қарорнинг бажарилишини назорат қилиш Ўзбекистон Республикасининг Бош вазири Ш.М. Мирзиёев зиммасига юклансин.</div></div><div class="SIGNATURE lx_elem" onmousemove="lx_mo(event,282345)"><div class="lx_elem2"><div class="lx_elem3"><span onclick="lx_sf(282345)"><img src="/img/cmt.svg" />Hujjatga taklif yuborish</span><span onclick="lx_pa(282345)"><img src="/img/vlm.svg" />Audioni tinglash</span><span onclick="lx_cl(282345)"><img src="/img/lnk.svg" />Hujjat elementidan havola olish</span></div></div><div name="282345" id="282345">Вазирлар Маҳкамасининг Раиси И. КАРИМОВ</div></div><div class="ACT_ESSENTIAL_ELEMENTS lx_elem" onmousemove="lx_mo(event,282348)"><div class="lx_elem2"><div class="lx_elem3"><span onclick="lx_sf(282348)"><img src="/img/cmt.svg" />Hujjatga taklif yuborish</span><span onclick="lx_pa(282348)"><img src="/img/vlm.svg" />Audioni tinglash</span><span onclick="lx_cl(282348)"><img src="/img/lnk.svg" />Hujjat elementidan havola olish</span></div></div><div name="282348" id="282348">Тошкент ш.,</div></div><div class="ACT_ESSENTIAL_ELEMENTS lx_elem" onmousemove="lx_mo(event,282352)"><div class="lx_elem2"><div class="lx_elem3"><span onclick="lx_sf(282352)"><img src="/img/cmt.svg" />Hujjatga taklif yuborish</span><span onclick="lx_pa(282352)"><img src="/img/vlm.svg" />Audioni tinglash</span><span onclick="lx_cl(282352)"><img src="/img/lnk.svg" />Hujjat elementidan havola olish</span></div></div><div name="282352" id="282352">2004 йил 30 март,</div></div><div class="ACT_ESSENTIAL_ELEMENTS_NUM lx_elem" onmousemove="lx_mo(event,282355)"><div class="lx_elem2"><div class="lx_elem3"><span onclick="lx_sf(282355)"><img src="/img/cmt.svg" />Hujjatga taklif yuborish</span><span onclick="lx_pa(282355)"><img src="/img/vlm.svg" />Audioni tinglash</span><span onclick="lx_cl(282355)"><img src="/img/lnk.svg" />Hujjat elementidan havola olish</span></div></div><div name="282355" id="282355">149-сон</div></div><div class="BY_DEFAULT lx_elem" onmousemove="lx_mo(event,294954)"><div class="lx_elem2"><div class="lx_elem3"><span onclick="lx_sf(294954)"><img src="/img/cmt.svg" />Hujjatga taklif yuborish</span><span onclick="lx_pa(294954)"><img src="/img/vlm.svg" />Audioni tinglash</span><span onclick="lx_cl(294954)"><img src="/img/lnk.svg" />Hujjat elementidan havola olish</span></div></div><div name="294954" id="294954"></div></div><div class="APPL_BANNER_LANDSCAPE_TITLE lx_elem" onmousemove="lx_mo(event,294956)"><div class="lx_elem2"><div class="lx_elem3"><span onclick="lx_sf(294956)"><img src="/img/cmt.svg" />Hujjatga taklif yuborish</span><span onclick="lx_pa(294956)"><img src="/img/vlm.svg" />Audioni tinglash</span><span onclick="lx_cl(294956)"><img src="/img/lnk.svg" />Hujjat elementidan havola olish</span></div></div><div name="294956" id="294956">Вазирлар Маҳкамасининг<br />2004 йил 30 мартдаги 149-сон <a href="/uz/docs/282107#282327">қарорига</a> <br />1-ИЛОВА </div></div><div class="ACT_TITLE_APPL lx_elem" onmousemove="lx_mo(event,294958)"><div class="lx_elem2"><div class="lx_elem3"><span onclick="lx_sf(294958)"><img src="/img/cmt.svg" />Hujjatga taklif yuborish</span><span onclick="lx_pa(294958)"><img src="/img/vlm.svg" />Audioni tinglash</span><span onclick="lx_cl(294958)"><img src="/img/lnk.svg" />Hujjat elementidan havola olish</span></div></div><div name="294958" id="294958">Бошқарув аппарати тузилмасига ҳокимнинг биринчи ўринбосари — шаҳар ҳокими лавозими киритилаётган қишлоқ туманлари ҳокимликлари рўйхати </div></div><div class="BY_DEFAULT lx_elem" onmousemove="lx_mo(event,739893)"><div class="lx_elem2"><div class="lx_elem3"><span onclick="lx_sf(739893)"><img src="/img/cmt.svg" />Hujjatga taklif yuborish</span><span onclick="lx_pa(739893)"><img src="/img/vlm.svg" />Audioni tinglash</span><span onclick="lx_cl(739893)"><img src="/img/lnk.svg" />Hujjat elementidan havola olish</span></div></div><div name="739893" id="739893"></div></div><div class="TABLE_STD lx_elem" id="theDefCssID" onmousemove="lx_mo(event,1017204)"><div class="lx_elem2"><div class="lx_elem3"><span onclick="lx_sf(1017204)"><img src="/img/cmt.svg" />Hujjatga taklif yuborish</span><span onclick="lx_pa(1017204)"><img src="/img/vlm.svg" />Audioni tinglash</span><span onclick="lx_cl(1017204)"><img src="/img/lnk.svg" />Hujjat elementidan havola olish</span></div></div><div name="1017204" id="1017204" class="tabBox"><table id="theTableID" style="PADDING-RIGHT: 0px; ; PADDING-LEFT: 0px; LEFT: 2px; PADDING-BOTTOM: 0px; WIDTH: 100%; BORDER-TOP-STYLE: none; PADDING-TOP: 0px; BORDER-RIGHT-STYLE: none; BORDER-LEFT-STYLE: none; TOP: 0px; BORDER-BOTTOM-STYLE: none" cellspacing="1" cols="3" border="1">
<colgroup>
<col />
<col />
<col /></colgroup>
<tbody>
<tr>
<td style="WIDTH: 57px">
<p align="center">Т/р‎</p></td>
<td>
<p align="center">Қишлоқ туманлари номи‎</p></td>
<td>
<p align="center">Киритилаётган лавозим‎</p></td></tr>
<tr>
<td style="BORDER-TOP-STYLE: none; BORDER-RIGHT-STYLE: none; BORDER-LEFT-STYLE: none; BORDER-BOTTOM-STYLE: none">
<p align="center">1.‎</p></td>
<td style="BORDER-TOP-STYLE: none; BORDER-RIGHT-STYLE: none; BORDER-LEFT-STYLE: none; BORDER-BOTTOM-STYLE: none">Андижон вилоятининг <br />‎Қўрғонтепа тумани ‎</td>
<td style="BORDER-TOP-STYLE: none; BORDER-RIGHT-STYLE: none; BORDER-LEFT-STYLE: none; BORDER-BOTTOM-STYLE: none">Туман ҳокимининг биринчи ўринбосари — Қорасув шаҳри ҳокими ‎</td></tr>
<tr>
<td style="BORDER-TOP-STYLE: none; BORDER-RIGHT-STYLE: none; BORDER-LEFT-STYLE: none; BORDER-BOTTOM-STYLE: none">
<p align="center">2.‎</p></td>
<td style="BORDER-TOP-STYLE: none; BORDER-RIGHT-STYLE: none; BORDER-LEFT-STYLE: none; BORDER-BOTTOM-STYLE: none">Бухоро вилоятининг <br />‎Ромитон тумани ‎</td>
<td style="BORDER-TOP-STYLE: none; BORDER-RIGHT-STYLE: none; BORDER-LEFT-STYLE: none; BORDER-BOTTOM-STYLE: none">Туман ҳокимининг биринчи ўринбосари — Газли шаҳри ҳокими ‎</td></tr>
<tr>
<td style="BORDER-TOP-STYLE: none; BORDER-RIGHT-STYLE: none; BORDER-LEFT-STYLE: none; BORDER-BOTTOM-STYLE: none">
<p align="center">3.‎</p></td>
<td style="BORDER-TOP-STYLE: none; BORDER-RIGHT-STYLE: none; BORDER-LEFT-STYLE: none; BORDER-BOTTOM-STYLE: none">Жиззах вилоятининг <br />‎Зомин тумани ‎</td>
<td style="BORDER-TOP-STYLE: none; BORDER-RIGHT-STYLE: none; BORDER-LEFT-STYLE: none; BORDER-BOTTOM-STYLE: none">Туман ҳокимининг биринчи ўринбосари — Даштобод шаҳри ҳокими ‎</td></tr>
<tr>
<td style="BORDER-TOP-STYLE: none; BORDER-RIGHT-STYLE: none; BORDER-LEFT-STYLE: none; BORDER-BOTTOM-STYLE: none">
<p align="center">4.‎</p></td>
<td style="BORDER-TOP-STYLE: none; BORDER-RIGHT-STYLE: none; BORDER-LEFT-STYLE: none; BORDER-BOTTOM-STYLE: none">Қашқадарё вилоятининг <br />‎Нишон тумани ‎</td>
<td style="BORDER-TOP-STYLE: none; BORDER-RIGHT-STYLE: none; BORDER-LEFT-STYLE: none; BORDER-BOTTOM-STYLE: none">Туман ҳокимининг биринчи ўринбосари — Талимаржон шаҳри ҳокими ‎</td></tr>
<tr>
<td style="BORDER-TOP-STYLE: none; BORDER-RIGHT-STYLE: none; BORDER-LEFT-STYLE: none; BORDER-BOTTOM-STYLE: none">
<p align="center">5.‎</p></td>
<td style="BORDER-TOP-STYLE: none; BORDER-RIGHT-STYLE: none; BORDER-LEFT-STYLE: none; BORDER-BOTTOM-STYLE: none">Сирдарё вилоятининг <br />‎Сирдарё тумани ‎</td>
<td style="BORDER-TOP-STYLE: none; BORDER-RIGHT-STYLE: none; BORDER-LEFT-STYLE: none; BORDER-BOTTOM-STYLE: none">Туман ҳокимининг биринчи ўринбосари — Бахт шаҳри ҳокими ‎</td></tr>
<tr>
<td style="BORDER-TOP-STYLE: none; BORDER-RIGHT-STYLE: none; BORDER-LEFT-STYLE: none; BORDER-BOTTOM-STYLE: none">
<p align="center">6.‎</p></td>
<td style="BORDER-TOP-STYLE: none; BORDER-RIGHT-STYLE: none; BORDER-LEFT-STYLE: none; BORDER-BOTTOM-STYLE: none">Хоразм вилоятининг <br />‎Ҳазорасп тумани ‎</td>
<td style="BORDER-TOP-STYLE: none; BORDER-RIGHT-STYLE: none; BORDER-LEFT-STYLE: none; BORDER-BOTTOM-STYLE: none">Туман ҳокимининг биринчи ўринбосари — Питнак шаҳри ҳокими ‎</td></tr>
<tr>
<td style="BORDER-TOP-STYLE: none; BORDER-RIGHT-STYLE: none; BORDER-LEFT-STYLE: none; BORDER-BOTTOM-STYLE: none">
<p align="center">7.‎</p></td>
<td style="BORDER-TOP-STYLE: none; BORDER-RIGHT-STYLE: none; BORDER-LEFT-STYLE: none; BORDER-BOTTOM-STYLE: none">Сурхондарё вилоятининг <br />‎Сариосиё тумани ‎</td>
<td style="BORDER-TOP-STYLE: none; BORDER-RIGHT-STYLE: none; BORDER-LEFT-STYLE: none; BORDER-BOTTOM-STYLE: none">Туман ҳокимининг биринчи ўринбосари — Шарғун шаҳри ҳокими ‎</td></tr></tbody></table></div></div><div class="BY_DEFAULT lx_elem" onmousemove="lx_mo(event,294961)"><div class="lx_elem2"><div class="lx_elem3"><span onclick="lx_sf(294961)"><img src="/img/cmt.svg" />Hujjatga taklif yuborish</span><span onclick="lx_pa(294961)"><img src="/img/vlm.svg" />Audioni tinglash</span><span onclick="lx_cl(294961)"><img src="/img/lnk.svg" />Hujjat elementidan havola olish</span></div></div><div name="294961" id="294961"></div></div><div class="APPL_BANNER_LANDSCAPE_TITLE lx_elem" onmousemove="lx_mo(event,294963)"><div class="lx_elem2"><div class="lx_elem3"><span onclick="lx_sf(294963)"><img src="/img/cmt.svg" />Hujjatga taklif yuborish</span><span onclick="lx_pa(294963)"><img src="/img/vlm.svg" />Audioni tinglash</span><span onclick="lx_cl(294963)"><img src="/img/lnk.svg" />Hujjat elementidan havola olish</span></div></div><div name="294963" id="294963">Вазирлар Маҳкамасининг<br />2004 йил 30 мартдаги 149-сон <a href="/uz/docs/282107#282327">қарорига <br /></a>2-ИЛОВА </div></div><div class="ACT_TITLE_APPL lx_elem" onmousemove="lx_mo(event,294981)"><div class="lx_elem2"><div class="lx_elem3"><span onclick="lx_sf(294981)"><img src="/img/cmt.svg" />Hujjatga taklif yuborish</span><span onclick="lx_pa(294981)"><img src="/img/vlm.svg" />Audioni tinglash</span><span onclick="lx_cl(294981)"><img src="/img/lnk.svg" />Hujjat elementidan havola olish</span></div></div><div name="294981" id="294981">Қўрғонтепа, Ромитон, Зомин, Нишон, Сирдарё, Хазорасп ва Сариосиё туманлари ҳокимликлари бошқарув аппаратининг намунавий тузилмаси</div></div><div class="BY_DEFAULT lx_elem" onmousemove="lx_mo(event,739897)"><div class="lx_elem2"><div class="lx_elem3"><span onclick="lx_sf(739897)"><img src="/img/cmt.svg" />Hujjatga taklif yuborish</span><span onclick="lx_pa(739897)"><img src="/img/vlm.svg" />Audioni tinglash</span><span onclick="lx_cl(739897)"><img src="/img/lnk.svg" />Hujjat elementidan havola olish</span></div></div><div name="739897" id="739897"></div></div><div class="TEXT_CENTER lx_elem" onmousemove="lx_mo(event,739917)"><div class="lx_elem2"><div class="lx_elem3"><span onclick="lx_sf(739917)"><img src="/img/cmt.svg" />Hujjatga taklif yuborish</span><span onclick="lx_pa(739917)"><img src="/img/vlm.svg" />Audioni tinglash</span><span onclick="lx_cl(739917)"><img src="/img/lnk.svg" />Hujjat elementidan havola olish</span></div></div><div name="739917" id="739917"><img src="/uz/files/739915" /></div></div><div class="PUBLICATION_ORIGIN"><label id="s1089"></label><div name="282333" id="282333">(Ўзбекистон Республикаси қонун ҳужжатлари тўплами, 2004 й., 13-сон, 151-модда)</div></div></div>
                                            </div>
                                        </div>
                                    </div>
                                
                                
                                
                            </div>
                        </div>
                    </div>
                </div>
            </div>
            
            <div class="lx_revive_adserver">
                

<script type='text/javascript'><!--//<![CDATA[
    var m3_u = (location.protocol == 'https:' ? 'https://rk.adolatmarkazi.uz/www/delivery/ajs.php' : 'http://rk.adolatmarkazi.uz/www/delivery/ajs.php');
    var m3_r = Math.floor(Math.random() * 99999999999);
    if (!document.MAX_used) document.MAX_used = ',';
    document.write("<scr" + "ipt type='text/javascript' src='" + m3_u);
    document.write("?zoneid=8");
    document.write('&amp;cb=' + m3_r);
    if (document.MAX_used != ',') document.write("&amp;exclude=" + document.MAX_used);
    document.write(document.charset ? '&amp;charset=' + document.charset : (document.characterSet ? '&amp;charset=' + document.characterSet : ''));
    document.write("&amp;loc=" + escape(window.location));
    if (document.referrer) document.write("&amp;referer=" + escape(document.referrer));
    if (document.context) document.write("&context=" + escape(document.context));
    document.write("'><\/scr" + "ipt>");
    //]]>--></script>

            </div>
            
        </main>
        <div class="skiptranslate">
            
<footer class="footer">
    
    <div class="footer__top">
        <div class="container">
            <div class="footer__links">
                <div class="footer__links-ads">
                    <a href="/uz/about">Markaz haqida</a>
                </div>
                <div class="footer__links-ads">
                    <a href="/uz/news">Sayt yangiliklari</a>
                </div>
                <div class="footer__links-ads">
                    <a href="/uz/adv">Saytda reklama</a>
                </div>
                <div class="footer__links-ads">
                    <a href="/uz/rss">RSS</a>
                </div>
            </div>
            
            <div class="footer__app">
                <div class="footer__app-download">
                    <a target="_blank" href="https://play.google.com/store/apps/details?id=uz.lex.mobile">
                        <img src="/assets/img/google_app.svg"></a>
                </div>
                <div class="footer__app-download">
                    <a target="_blank" href="https://apps.apple.com/us/app/lexuz/id1608798574">
                        <img src="/assets/img/app_store.png"></a>
                </div>
            </div>
            <div class="footer__icon">
                <div class="footer__icons">
                    <a target="_blank" href="https://t.me/lexuzofficial"><i class="fab fa-telegram-plane"></i></a>
                </div>
                <div class="footer__icons">
                    <a target="_blank" href="https://www.facebook.com/minjustuz"><i class="fab fa-facebook-f"></i></a>
                </div>
                <div class="footer__icons">
                    <a target="_blank" href="https://www.instagram.com/adliyanews/"><i class="fab fa-instagram-square"></i></a>
                </div>
                <div class="footer__icons">
                    <a target="_blank" href="https://www.youtube.com/c/adliya"><i class="fab fa-youtube"></i></a>
                </div>
            </div>
            <div style="float: right; top: -30px; margin-top: -44px;">
<!-- START WWW.UZ TOP-RATING -->
<SCRIPT language="javascript" type="text/javascript">
		<!--
		top_js = "1.0"; top_r = "id=4079&r=" + escape(document.referrer) + "&pg=" + escape(window.location.href); document.cookie = "smart_top=1; path=/"; top_r += "&c=" + (document.cookie ? "Y" : "N")
		//-->
</SCRIPT>
<SCRIPT language="javascript1.1" type="text/javascript">
<!--
		top_js = "1.1"; top_r += "&j=" + (navigator.javaEnabled() ? "Y" : "N")
//-->
</SCRIPT>
<SCRIPT language="javascript1.2" type="text/javascript">
<!--
		top_js = "1.2"; top_r += "&wh=" + screen.width + 'x' + screen.height + "&px=" + (((navigator.appName.substring(0, 3) == "Mic")) ? screen.colorDepth : screen.pixelDepth)
//-->
</SCRIPT>
<SCRIPT language="javascript1.3" type="text/javascript">
<!--
		top_js = "1.3";
//-->
</SCRIPT>
<SCRIPT language="JavaScript" type="text/javascript">
		<!--
		top_rat = "&col=0C57A6&t=ffffff&p=DD7900"; top_r += "&js=" + top_js + ""; document.write('<a href="https://www.uz/rus/toprating/cmd/stat/id/4079" target="_blank"><img src="https://www.uz/plugins/top_rating/count/cnt.png?' + top_r + top_rat + '" width=88 height=31 border=0 alt="Топ рейтинг www.uz"></a>')//-->
</SCRIPT>
<NOSCRIPT>
		<A href="https://www.uz/rus/toprating/cmd/stat/id/4079" target="_blank">
				<img height="31" src="https://www.uz/plugins/top_rating/count/nojs_cnt.png?id=4079&pg=http%3A//lex.uz&col=0C57A6&t=ffffff&p=DD7900" width="88" border="0" alt="Топ рейтинг www.uz">
		</A>
</NOSCRIPT>
<!-- FINISH WWW.UZ TOP-RATING --></div>
            
        </div>
    </div>
    
    <div class="footer__bottom">
        <div class="container">
            <div class="footer__bottom-desc">&copy; O‘zbekiston Respublikasi Adliya vazirligi qoshidagi “Adolat” milliy huquqiy axborot markazi davlat muassasasi</div>
        </div>
    </div>
</footer>
<div id="lx_alert" style="display: none;">
    <div class="lx_alert_content">
        <div class="lx_alert_body">
            <div id="lx_alert_message"></div>
        </div>
        <div class="lx_alert_footer">
            <button id="lx_alert_close" type="button" class="btn btn-primary" onclick="lxCloseAlert();">Yopish</button>
        </div>
    </div>
</div>
<span id="lx_btn_up" onclick="lx_btn_up_top()" title="">
    <svg viewBox="0 0 512 512">
        <path fill="currentColor" d="M256 504c137 0 248-111 248-248S393 8 256 8 8 119 8 256s111 248 248 248zm0-448c110.5 0 200 89.5 200 200s-89.5 200-200 200S56 366.5 56 256 145.5 56 256 56zm20 328h-40c-6.6 0-12-5.4-12-12V256h-67c-10.7 0-16-12.9-8.5-20.5l99-99c4.7-4.7 12.3-4.7 17 0l99 99c7.6 7.6 2.2 20.5-8.5 20.5h-67v116c0 6.6-5.4 12-12 12z"></path></svg>
</span>

        </div>
        <div id="lx_md_send_feedback" class="modal" tabindex="-1" role="dialog">
            <div class="modal-dialog" role="document" style="max-width: 40rem; max-height: 90vh;">
                <div class="modal-content">
                    <div class="modal-header" style="display: block;">
                        <button type="button" class="close" data-dismiss="modal" aria-label="Close">
                            <span aria-hidden="true">&times;</span>
                        </button>
                        <h3 class="modal-title">Hujjatga taklif yuborish</h3>
                    </div>
                    <div class="modal-body">
                        <div class="form-group">
                            <select class="lx_select2_filter select2 form-control" id="lx_feedback_type" onchange="feedback_type_changed(this)">
                                <option value="" selected>Taklif turini tanlang</option>
                                <option value="1">Hujjatga taklif</option>
                                <option value="2">Texnik xatolik</option>
                            </select>
                        </div>
                        <div class="form-group">
                            <input id="lx_feedback_from" type="text" class="form-control" placeholder="Familiyasi, ismi, sharifi" />
                        </div>
                        <div class="form-group row">
                            <div class="col-6">
                                <input id="lx_feedback_phone" type="text" class="form-control" placeholder="Telefon" />
                            </div>
                            <div class="col-6">
                                <input id="lx_feedback_email" type="text" class="form-control" placeholder="Email" />
                            </div>
                        </div>
                        <div class="form-group">
                            <textarea id="lx_feedback_text" class="form-control" rows="7" maxlength="2000" style="resize: vertical; max-height: 600px;" placeholder="Matn"></textarea>
                        </div>
                        <div class="form-group">
                            <div class="custom-control custom-checkbox mb-2">
                                <input class="custom-control-input" id="lx_feedback_legis" type="checkbox" onchange="lx_feedback_legis_changed(this)">
                                <label class="custom-control-label" for="lx_feedback_legis">Qonunchilikka taklif berish <a href="https://lex.uz/" target="_blank" style="color:#0064a9">qoidalari</a> bilan tanishdim</label>
                            </div>
                        </div>
                    </div>
                    <div class="modal-footer" id="sendFeedback_group" style="display: none;">
                        <div id="dvCaptcha2"></div>
                        <input type="hidden" id="captcha_res2" />
                        <button type="button" class="btn btn-success" id="btn_sendFeedbackToDb" style="display: none;" onclick="sendFeedbackToDb(282107, 4);">Jo‘natish</button>
                        <button type="button" class="btn btn-danger" id="btn_sendFeedbackCancel" data-dismiss="modal">Bekor qilish</button>
                    </div>
                </div>
            </div>
        </div>
        <div class="modal fade" id="modalShowCard" tabindex="-1" role="dialog" aria-hidden="true" style="z-index: 9000;">
            <div class="modal-dialog" style="margin: 0;">
                <div class="modal-content" style="background: #eee; width: 90vw; height: 92vh; left: 5vw; top: 4vh;">
                    <div class="modal-header" style="padding: 0 4px 0 0; display: block;">
                        <button type="button" class="close" data-dismiss="modal" style="margin: 0">&times;</button>
                    </div>
                    <div class="modal-body" style="padding: 0 4px; margin: 0;">
                        <iframe id="iframeShowCard" style="width: 100%; height: 100%; border: none;"></iframe>
                    </div>
                </div>
            </div>
        </div>
        <button id="lxPlayButton"></button>
        <button id="lxPlayLang" style="display: none">3</button>
        
        <script type="text/javascript">
            function googleTranslateElementInit() {
                new google.translate.TranslateElement({
                    pageLanguage: 'uz',
                    includedLanguages: 'sq,ar,hy,az,be,bn,bg,zh-CN,zh-TW,hr,cs,da,et,tl,fi,fr,ka,de,el,iw,hi,hu,is,id,it,ja,kk,ko,ky,lv,lt,ms,mn,no,ps,fa,pl,pt,ro,sr,sk,sl,es,sw,sv,tg,tt,th,tr,tk,uk,ur,ug,vi,en,ru',
                    layout: google.translate.TranslateElement.InlineLayout.SIMPLE
                }, 'google_translate_element');
            }
        </script>
        <script type="text/javascript" defer src="//translate.google.com/translate_a/element.js?cb=googleTranslateElementInit"></script>
        
        <script>
            const htmldark = document.getElementsByTagName('html')[0];

            if (localStorage.getItem("themes") === "light") {
                htmldark.dataset.theme = 'light';
            }
            else if (localStorage.getItem("themes") === "grey") {
                htmldark.dataset.theme = 'grey';
            }
            else if (localStorage.getItem("themes") === "dark") {
                htmldark.dataset.theme = 'dark';
            }
            const toggleTheme = (theme) => {
                htmldark.dataset.theme = theme;
                localStorage.setItem("themes", theme);
            }
        </script>
        <script>            
            
            $(document).ready(function () {
                document.getElementById('lx_var_b').innerHTML = document.getElementById('lx_var_t').innerHTML;
            });
            
        </script>
        <script type="text/javascript">
            
            $("#docContent__sideBar-show").click(function () {
                if ($("body").hasClass("sidebar-show")) {
                    $("body").removeClass("sidebar-show")
                }
                else {
                    $("body").addClass("sidebar-show")
                }
            })
            
        </script>
    </div>
    <div style="display: none;"></div>
</body>
</html>

<script>
    function changeScrollType(obj) {
        if ($(obj)["0"].checked) {
            scrollIndependent();
        }
        else {
            scrollCommon();
        }
    }

    function scrollCommon() {
        $('#lang1').css('overflow', 'auto');
        $(".lang1, .lang2").removeAttr('overflow');
        $(".lang1, .lang2").css('overflow', 'hidden');
        $(".lang1, .lang2").css('height', 'auto');
        $(".lang1, .lang2").css('padding-right', '0');
        $("body").css('overflow', 'auto');
    }

    function scrollIndependent() {
        $('#actPage').removeAttr('overflow');
        $(".lang1, .lang2").css('height', ($(window).height() - 38) + "px");
        $(".lang1, .lang2").css('overflow', 'auto');
        $(".lang1, .lang2").css('padding-right', '5px');
        $("body").css('overflow', 'hidden');
    }

    function clickAllChk(item_id, chk, pref1, pref2) {
        $.each($('#' + pref1 + '_dropdown_check').find("INPUT[type='checkbox']"), function () {
            if ($(this).attr('id') != item_id) {
                $(this).prop('checked', chk.checked);
                if (!chk.checked) {
                    $.each($('div').find('#s' + $(this).attr('id').substring(2)), function () { $(this).parent().hide(); });
                }
                else {
                    $.each($('div').find('#s' + $(this).attr('id').substring(2)), function () { $(this).parent().show(); });
                }
            }
        });

        $.each($('#' + pref2 + '_dropdown_check').find("INPUT[type='checkbox']"), function () {
            $(this).attr('checked', chk.checked);
        });
    }

    function hideItem(chk) {
        var chk_id = chk.id.substring(2);
        var $containers = $('[id="s' + chk_id + '"]').parent();
        if (!chk.checked) {
            $containers.hide();
        }
        else {
            if (chk_id === '1104') {
                $containers.removeClass("lx_no_select");
            }
            $containers.show();
        }
    }

    var showLexComments = false;

    function toggleLexComments() {
        var $containers = $('[id="s527"]').parent();
        if (showLexComments) {
            showLexComments = false;
            $("#t_btn_lex_comment").removeClass("active")
            $("#b_btn_lex_comment").removeClass("active")
            $containers.hide();
        }
        else {
            showLexComments = true;
            $("#t_btn_lex_comment").addClass("active")
            $("#b_btn_lex_comment").addClass("active")
            $containers.removeClass("lx_no_select");
            $containers.show();
        }
    }

    function scrollText(hash) {
        if (!hash) {
            window.scrollTo(0, 0);
            return;
        }
        history.pushState(null, '', '#' + hash);
        scrollToHash(hash);
    }

    function scrollToHash(hash, smooth = false) {
        const target = document.getElementById(hash);
        if (!target) return;
        const iframe = document.querySelector('.skiptranslate iframe');
        const iframeHeight = iframe ? iframe.offsetHeight : 0;
        const header = document.getElementById("doc_header");
        const headerHeight = header ? header.offsetHeight : 0;
        const y = target.getBoundingClientRect().top + window.pageYOffset - iframeHeight - headerHeight - 4;
        if (smooth) {
            setTimeout(() => { window.scrollTo(0, y); }, 100);
        } else {
            window.scrollTo(0, y);
        }
    }

    window.onload = function () {
        if (window.location.hash) {
            scrollToHash(window.location.hash.substring(1), true);
        }
    };

    window.addEventListener('hashchange', function () {
        if (window.location.hash) {
            scrollToHash(window.location.hash.substring(1));
        }
    });

    $(document).ready(function () {
        $('#search-criteria').on('input', function (e) {
            var txt = $('#search-criteria').val().toUpperCase();
            if (txt.length > 0) {
                $('.docNabvar__child').each(function () {
                    $(this).addClass('toc_show');
                });
                $('.search-text').each(function () {
                    var elem = $(this).closest('.search-toggle');
                    elem.removeClass('toc_show');
                    elem.removeClass('toc_hide');
                    if ($(this).text().toUpperCase().indexOf(txt) != -1) {
                        elem.addClass('toc_show');
                    } else {
                        elem.addClass('toc_hide');
                    }
                });
            }
            else {
                clearSearch();
            }
        });
    });

    function clearSearch() {
        $('#search-criteria').val('');
        $('.toc_show').each(function () {
            $(this).removeClass('toc_show');
        });
        $('.toc_hide').each(function () {
            $(this).removeClass('toc_hide');
        });
    }
</script>
<script>
    function addToFavorite() {
        $.ajax({
            type: "POST",
            url: "/pages/ajax_methods2.aspx",
            cache: false,
            data: {
                "action": "addToFavorite",
                "lact_id": "282107",
                "lang": "4"
            },
            success: function (data) {
                var kvp = JSON.parse(data);
                lxAlert(kvp.message);
            },
            error: function () {
                lxAlert("Saqlashda xatolik!");
            }
        });
    }

    function showAddCard(tcard) {
        if (tcard < 1 || tcard > 6) {
            return;
        }

        $('#add_info').val('0').trigger('change');

        if (tcard == "1") {
            showIframeCard('/uz/actinfo/card1/282107');
        }
        else if (tcard == "2") {
            showIframeCard('/uz/actinfo/card2/282107');
        }
        else if (tcard == "3") {
            showIframeCard('/uz/actinfo/basrev/282107');
        }
        else if (tcard == "4") {
            showIframeCard('/uz/actinfo/revhis/282107');
        }
        else if (tcard == "5") {
            showIframeCard('/uz/actinfo/correspondents/282107');
        }
        else if (tcard == "6") {
            showIframeCard('/uz/actinfo/respondents/282107');
        }
    }

    function showIframeCard(_url) {
        $("#iframeShowCard").attr("src", _url);
        $('#modalShowCard').modal('show');
    }

    $('#modalShowCard').on('hidden.bs.modal', function () {
        $("#iframeShowCard").attr("src", "about:blank");  // clear after close
    });

    $(document).ready(function () {
        
    });
</script>
<script type="text/javascript">
    function downloadDoc() {
        const s527 = showLexComments ? '1' : '0';
        const s1089 = $('#t_1089').prop('checked') ? '1' : '0';
        const s1104 = $('#t_1104').prop('checked') ? '1' : '0';
        window.location.href = '/uz/docs/282107?type=doc' + '&s527=' + s527 + '&s1089=' + s1089 + '&s1104=' + s1104;
    }

    function openTwoLang(lang_id) {
        window.location.href = "/uz/docs/282107?otherlang=" + lang_id;
    }
</script>
<script>
    function lx_pa(elem_id) { lx_audio.playAudioByElemId(elem_id); }
    function lx_mo(e, elem_id) { lx_audio.moveElement(e, elem_id); }
    function a(event, word) { lx_def.showDef(event, '3', word); }
    function lx_cl(elem_id) {
        const link = window.location.origin + window.location.pathname + window.location.search + '#' + elem_id;
        navigator.clipboard.writeText(link)
            .then(() => {
                Swal.fire({
                    title: 'Havola olindi',
                    text: link,
                    confirmButtonText: "Yopish"
                });
            })
            .catch(err => {
                Swal.fire({
                    title: 'Error',
                    text: 'Failed to copy',
                    confirmButtonText: "Yopish"
                });
            });
    }
    async function lx_bm(elem_id) {
        const link = window.location.pathname + window.location.search + '#' + elem_id;
        try {
            const lang_id = 4;
            const response = await fetch('/Pages/GetPage.aspx/SaveBookmark', {
                method: "POST",
                headers: { "Content-Type": "application/json" },
                body: JSON.stringify({ lang_id, link }),
            });
            if (response.ok) {
                const result = (await response.json()).d;
                lxAlert(result);
            } else {
                lxAlert('Texnik xatolik');
            }
        }
        catch (error) {
            lxAlert('Texnik xatolik');
        }
    }
</script>
<script>
    var dvCaptcha2;

    var onloadCallback = function () {
        dvCaptcha2 = grecaptcha.render('dvCaptcha2', {
            'sitekey': '6Lc4eUoUAAAAADW-S-YIn_F1v9K-G6154fgrBmQq',
            'callback': function (response) {
                $("[id*=captcha_res2]").val(response);
                $('#btn_sendFeedbackToDb').show();
                $('#btn_sendFeedbackCancel').hide();
            }
        });
    };

    var _elem_id;

    function lx_sf(elem_id) { // added to xml
        sendFeedback(elem_id);
    }

    function sendFeedback(elem_id) {
        _elem_id = elem_id;
        grecaptcha.reset(dvCaptcha2);
        $('#lx_feedback_from').val('');
        $('#lx_feedback_text').val('');
        $('#lx_feedback_phone').val('');
        $('#lx_feedback_email').val('');
        $('#captcha_res2').val('');
        $('#btn_sendFeedbackToDb').hide();
        $('#lx_md_send_feedback').modal({
            backdrop: 'static',
            keyboard: true
        });
        $('#lx_feedback_type').val('').trigger('change');
        $('#lx_feedback_legis').prop('checked', false).trigger('change');
    }

    function feedback_type_changed(sel) {
        if (sel.value == '1') {
            $('#lx_feedback_phone').show();
            $('#lx_feedback_email').show();
        }
        else {
            $('#lx_feedback_phone').hide();
            $('#lx_feedback_email').hide();
        }
    }

    function lx_feedback_legis_changed(checkbox) {
        if (checkbox.checked) {
            $('#sendFeedback_group').show();
        } else {
            $('#sendFeedback_group').hide();
        }
    }

    function sendFeedbackToDb(lact_id, lang_id) {
        var feedback_from = $('#lx_feedback_from').val().trim();
        var feedback_text = $('#lx_feedback_text').val().trim();
        var feedback_type = $('#lx_feedback_type').val().trim();
        var feedback_phone = $('#lx_feedback_phone').val().trim();
        var feedback_email = $('#lx_feedback_email').val().trim();
        var captcha_result = $('#captcha_res2').val();

        if (feedback_type != '1' && feedback_type != '2') {
            lxAlert('Taklif turini tanlang!');
        }
        else if (feedback_from.length < 3 || feedback_from.length > 100) {
            lxAlert('Familiyasi, ismi, sharifi!');
        }
        else if (feedback_text.length < 10) {
            lxAlert('Ma’lumot to‘liq kiritilmagan!');
        }
        else if (feedback_text.length > 2000) {
            lxAlert('Матн 2000 ҳарфдан кўп!')
        }
        else if (feedback_phone.length > 20) {
            lxAlert('Telefon!');
        }
        else if (feedback_email.length > 30) {
            lxAlert('Email!');
        }
        else {
            $.ajax({
                type: "POST",
                url: "/pages/ajax_methods2.aspx",
                data: {
                    'action': 'sendfeedback',
                    'lact_id': lact_id,
                    'lang_id': lang_id,
                    'element_id': _elem_id,
                    'feedback_from': encodeHtmlEntities(feedback_from),
                    'feedback_text': encodeHtmlEntities(feedback_text),
                    'feedback_type': encodeHtmlEntities(feedback_type),
                    'feedback_phone': encodeHtmlEntities(feedback_phone),
                    'feedback_email': encodeHtmlEntities(feedback_email),
                    'captcha_result': captcha_result
                },
                success: function (data) {
                    $('#lx_feedback_from').val('');
                    $('#lx_feedback_text').val('');
                    $('#lx_feedback_type').val('');
                    $('#lx_feedback_phone').val('');
                    $('#lx_feedback_email').val('');
                    $('#captcha_res2').val('');
                    $('#btn_sendFeedbackToDb').hide();
                    $('#lx_md_send_feedback').modal('hide');
                    lxAlert(data);
                },
                error: function () {
                    $('#captcha_res2').val('');
                    $('#btn_sendFeedbackToDb').hide();
                    grecaptcha.reset(dvCaptcha2);
                    lxAlert('Saqlashda xatolik!');
                }
            });
        }
    }

    function encodeHtmlEntities(str) {
        return String(str).replace(/&/g, '&amp;')
            .replace(/</g, '&lt;')
            .replace(/>/g, '&gt;')
            .replace(/"/g, '&quot;')
            .replace(/'/g, '&#39;');
    }
</script>
<script>
    $('.stopProp').click(function (e) {
        e.stopPropagation();
    });
    function openUrl(url) {
        location.href = url;
    }
    function openInNew(url) {
        window.open(url, "_blank");
    }
    if ("" == "print") {
        $(document).ready(function () {
            window.print();
        });
    }
</script>
<script>
    let lxCompNotEqualId = 0;
    function lxCompNext() {
        if (lxCompNotEqualId < 0) {
            lxCompNotEqualId++;
            scrollText('d_' + lxCompNotEqualId);
        }
    }
    function lxCompPrev() {
        if (lxCompNotEqualId > 1) {
            lxCompNotEqualId--;
            scrollText('d_' + lxCompNotEqualId);
        }
    }
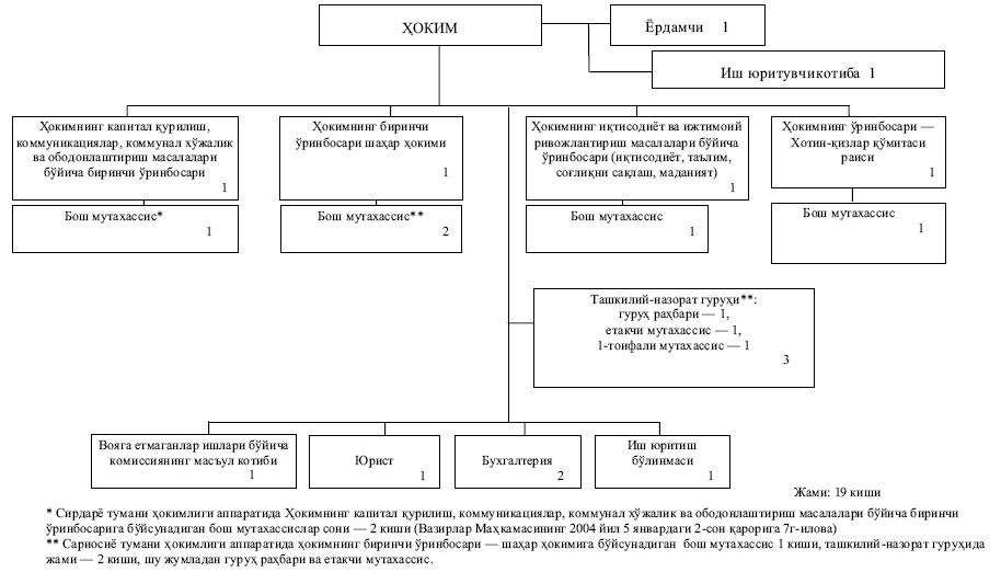
</script>
