

<!DOCTYPE html>
<html lang="ru-UZ">
<head>
   <!-- Global site tag (gtag.js) - Google Analytics -->
   <script async src="https://www.googletagmanager.com/gtag/js?id=UA-2682682-1"></script>
   <script>
      window.dataLayer = window.dataLayer || [];
      function gtag() { dataLayer.push(arguments); }
      gtag('js', new Date());
      gtag('config', 'UA-2682682-1');
   </script>
<title>
	
</title><meta charset="UTF-8" /><meta http-equiv="content-type" content="text/html; charset=UTF-8" /><meta name="viewport" content="width=device-width, initial-scale=1.0, minimum-scale=0.3, maximum-scale=3.0" /><link href="/css/mactform.css" rel="stylesheet" type="text/css" /><link rel="stylesheet" href="/css/iphone.css" />
    <style type="text/css">
        .contents-caption DIV {
            float: right;
        }

        .mobilnav TD {
            height: 32px;
        }

        .mobilnav {
            border: 0px;
            padding: 0;
            background: url('/image/h-menu.gif') repeat-x scroll left top transparent;
        }

        body {
            margin: 0;
        }

        td {
            min-height: 22px;
        }

        #userComments {
            position: fixed;
            top: 0;
            left: 200px;
            width: 279px;
            height: 18px;
            background-color: Black;
            color: White;
            z-index: 2000;
            padding: 3px;
            display: none;
        }

        #fancybox_div {
            display: none;
        }

        #divContextRasporka {
            width: 270px;
        }

        #tddivContext {
            background-color: White;
        }

        #backButton {
            color: White;
            font-weight: bold;
            text-decoration: none;
        }

        #header {
            background: #2263a9;
            border-top: 1px solid #1F61A7;
            height: 34px;
            text-align: center;
            width: 100%;
        }
    </style>
    <style id="tree_style" type="text/css">
        #divAct a, #divAct DIV, #divAct font, div#theDefCssID table td, th {
            font-size: 12pt;
        }

        .OFFICIAL_SOUR_TEXT {
            display: none;
        }
    </style>
    <script type="text/javascript" charset="utf-8">
        window.onload = function () {
            setTimeout(function () { window.scrollTo(0, 1); }, 100);
        }
        function scrolPageTop() {
            document.body.scrollTop = document.documentElement.scrollTop = 0;
        }
    </script>
</head>
<body class="details" style="margin: 0;">
    <form method="post" action="./1341956" id="form1">
<div class="aspNetHidden">
<input type="hidden" name="__VIEWSTATE" id="__VIEWSTATE" value="QTpeLB7ylytmkPXkSRLs/KfNCtwdGo9V4DRL1H1h/I+fspsSR4oYBFApGvpvSfS9hl4as1irC554hoZoIRlO+i/lRy0GtlESTm5Fi3Rxrjgwia4HaNS797/v6NSWg3JNpdMte7v+CnS9+lN6sBkT1dsNGESK2TC20+ttvw4Ps28G1jz7TvGoDumXVHmfDZFjLlf6yr9mcgEcnVr8ykd4xw==" />
</div>

<div class="aspNetHidden">

	<input type="hidden" name="__VIEWSTATEGENERATOR" id="__VIEWSTATEGENERATOR" value="5F4F4618" />
</div>
        <div id="header">
            <div style="float: left; left: 27px; position: absolute; top: 10px;">
                <a id="backButton" href="javascript:history.back()">Назад</a>
            </div>
            <a href="/ru/m">
                <img src="/img/icons/logo_sm.png" border="0">
            </a>
            <div style="float: right; left: -30px; position: relative; top: 10px;">
                <a id="backButton" href="javascript:scrolPageTop()">На верх</a>
            </div>
        </div>
        <div id="page">
            
            <table style="width: 100%; font-family: Arial; font-size: 14px; font-weight: bold;">
                <tr>
                    <td style="width: 50%">
                        
                            <div class="act_warning">
                                Ҳужжат кучини йўқотган " " 03.12.2021
                            </div>
                        
                        
                        
                        
                        
                        
                    </td>
                </tr>
            </table>
            <table style="width: 100%" border="0">
                <tr>
                    <td id="tddivAct" style="overflow: auto; vertical-align: top; padding: 0px !important;">
                        <div id="divAct" style="padding-top: 0px;">
                            <div id="mD" class="main-column document" style="margin: 0px; padding: 0px 2px 0px 2px; background: white;">
                                <div id="divBody">
                                    <div id="divCont" style="background:#ffffff;border:none;margin:auto;"><div class="INDEXES_ON_REF" style="display:none"><label id="s5987"></label><div name="onLBC1341956" id="onLBC1341956">[<b>ОКОЗ:</b><div id="LBC6952"><span class="iorRN">1.</span><span class="iorVal">09.00.00.00 Тадбиркорлик ва хўжалик фаолияти / 09.14.00.00 Қишлоқ хўжалиги / 09.14.09.00 Қишлоқ хўжалиги тармоқлари / 09.14.09.06 Уруғчилик. Селекция. Тажриба хўжаликлари]</span></div></div></div><div class="INDEXES_ON_REF" style="display:none"><label id="s5988"></label><div name="onLS1341956" id="onLS1341956">[<b>ТСЗ:</b><div id="LS3740"><span class="iorRN">1.</span><span class="iorVal">Иқтисодиёт / Қишлоқ хўжалиги]</span></div></div></div><div class="ACCEPTING_BODY"><div name="1341983" id="1341983">ЎЗБЕКИСТОН РЕСПУБЛИКАСИ ҚИШЛОҚ ВА СУВ ХЎЖАЛИГИ ВАЗИРИНИНГ </div></div><div class="ACT_FORM"><div name="1341985" id="1341985">БУЙРУҒИ</div></div><div class="BY_DEFAULT"><div name="2904306" id="2904306"></div></div><div class="ACT_TITLE"><div name="2904307" id="2904307">Супер элита, элита ва кейинги авлодларга мансуб бошоқли дон экинлари уруғларини етиштириш ҳуқуқига эга бўлиш учун хўжаликлар ўртасида танлов ўтказиш тартиби тўғрисидаги низомни тасдиқлаш ҳақида</div></div><div class="CHANGES_ORIGINS"><label id="s1104"></label><div name="2904309" id="2904309">(буйруқ номи Ўзбекистон Республикаси қишлоқ ва сув хўжалиги вазирининг 2016 йил 12 февралдаги 22-сонли <a href="/ru/m/acts/2903199?ONDATE=22.02.2016 00#2903220">буйруғи </a>(рўйхат рақами 1794-2, 17.02.2016 й.) таҳририда — ЎР ҚҲТ, 2016 й., 7-сон, 70-модда)</div></div><div class="DEPARTMENTAL"><div name="2904313" id="2904313">[Ўзбекистон Республикаси Адлия вазирлиги томонидан 2008 йил 17 апрелда 1794-сон билан давлат рўйхатидан ўтказилди]</div></div><div class="BY_DEFAULT"><div name="1341990" id="1341990"></div></div><div class="ACT_TEXT"><div name="1341994" id="1341994">Ўзбекистон Республикасининг <a href="/ru/m/acts/27415">«Уруғчилик тўғрисида»</a> ва <a href="/ru/m/acts/69237">«Селекция ютуқлари тўғрисида»</a>ги қонунлари ва Ўзбекистон Республикаси Вазирлар Маҳкамасининг 2003 йил 28 июндаги «Ўзбекистон Республикаси Қишлоқ ва сув хўжалиги вазирлиги фаолиятини ташкил этишни такомиллаштириш тўғрисида»ги 290-сонли <a href="/ru/m/acts/245206">қарорига </a>асосан буюраман:</div></div><div class="BY_DEFAULT"><div name="2904314" id="2904314"></div></div><div class="ACT_TEXT"><div name="2904315" id="2904315">1. Супер элита, элита ва кейинги авлодларга мансуб бошоқли дон экинлари уруғларини етиштириш ҳуқуқига эга бўлиш учун хўжаликлар ўртасида танлов ўтказиш тартиби тўғрисидаги <a href="/ru/m/acts/1341956#1342003">низом </a>иловага мувофиқ тасдиқлансин.</div></div><div class="CHANGES_ORIGINS"><label id="s1104"></label><div name="2904317" id="2904317">(1-банд Ўзбекистон Республикаси қишлоқ ва сув хўжалиги вазирининг 2016 йил 12 февралдаги 22-сонли <a href="/ru/m/acts/2903199?ONDATE=22.02.2016 00#2903222">буйруғи </a>(рўйхат рақами 1794-2, 17.02.2016 й.) таҳририда — ЎР ҚҲТ, 2016 й., 7-сон, 70-модда)</div></div><div class="ACT_TEXT"><div name="1341996" id="1341996">2. Мазкур буйруқ Ўзбекистон Республикаси Адлия вазирлигида давлат рўйхатидан ўтказилган кундан бошлаб ўн кун ўтгандан кейин кучга киради.</div></div><div class="ACT_TEXT"><div name="1341998" id="1341998">3. Ушбу буйруқнинг бажарилишини назорат қилиш вазирнинг биринчи ўринбосари Ў. Барноев зиммасига юклатилсин.</div></div><div class="SIGNATURE"><div name="1341999" id="1341999">Қишлоқ ва сув хўжалиги вазири С. ИСМОИЛОВ </div></div><div class="ACT_ESSENTIAL_ELEMENTS"><div name="1342000" id="1342000">Тошкент ш.,</div></div><div class="ACT_ESSENTIAL_ELEMENTS"><div name="1342001" id="1342001">2008 йил 22 март,</div></div><div class="ACT_ESSENTIAL_ELEMENTS_NUM"><div name="1342002" id="1342002">41-сон</div></div><div class="BY_DEFAULT"><div name="1342003" id="1342003"></div></div><div class="APPL_BANNER_PORTRAIT_TITLE"><div name="1342004" id="1342004">Қишлоқ ва сув хўжалиги вазирининг 2008 йил 22 мартдаги 41-сон <a href="/ru/m/acts/1341956">буйруғи </a>билан <br />ТАСДИҚЛАНГАН </div></div><div class="BY_DEFAULT"><div name="2904319" id="2904319"></div></div><div class="ACT_TITLE_APPL"><div name="2904320" id="2904320">Супер элита, элита ва кейинги авлодларга мансуб бошоқли дон экинлари уруғларини етиштириш ҳуқуқига эга бўлиш учун хўжаликлар ўртасида танлов ўтказиш тартиби тўғрисидаги </div></div><div class="ACT_FORM"><div name="2904321" id="2904321"><strong>низом</strong></div></div><div class="CHANGES_ORIGINS"><label id="s1104"></label><div name="2904325" id="2904325">(низом номи Ўзбекистон Республикаси қишлоқ ва сув хўжалиги вазирининг 2016 йил 12 февралдаги 22-сонли <a href="/ru/m/acts/2903199?ONDATE=22.02.2016 00#2903225">буйруғи </a>(рўйхат рақами 1794-2, 17.02.2016 й.) таҳририда — ЎР ҚҲТ, 2016 й., 7-сон, 70-модда)</div></div><div class="BY_DEFAULT"><div name="1342007" id="1342007"></div></div><div class="BY_DEFAULT"><div name="2904326" id="2904326"></div></div><div class="ACT_TEXT"><div name="2904333" id="2904333">Мазкур Низом Ўзбекистон Республикасининг «<a href="/ru/m/acts/27415">Уруғчилик тўғрисида</a>»ги ҳамда «<a href="/ru/m/acts/69237">Селекция ютуқлари тўғрисида</a>»ги қонунларига мувофиқ супер элита, элита ва кейинги авлодларга мансуб бошоқли дон экинлари (буғдой ва арпа) уруғларини (бундан буён матнда уруғлик ғалла деб юритилади) етиштириш ҳуқуқига эга бўлиш учун хўжаликлар ўртасида танлов ўтказиш тартибини белгилайди.</div></div><div class="CHANGES_ORIGINS"><label id="s1104"></label><div name="2904335" id="2904335">(муқаддима Ўзбекистон Республикаси қишлоқ ва сув хўжалиги вазирининг 2016 йил 12 февралдаги 22-сонли <a href="/ru/m/acts/2903199?ONDATE=22.02.2016 00#2903227">буйруғи </a>(рўйхат рақами 1794-2, 17.02.2016 й.) таҳририда — ЎР ҚҲТ, 2016 й., 7-сон, 70-модда)</div></div><div class="TEXT_HEADER_DEFAULT"><div name="1342010" id="1342010">I. Умумий қоидалар</div></div><div class="ACT_TEXT"><div name="1342011" id="1342011">1. Туманда уруғлик ғалла етиштириш майдони, уруғлик учун экиладиган ғалла навлари ва кутиладиган уруғлик ғалла ҳажмлари Қорақалпоғистон Республикаси Қишлоқ ва сув хўжалиги вазирлиги ҳамда вилоят қишлоқ ва сув хўжалиги бошқармалари томонидан тасдиқланган режага асосан белгиланади.</div></div><div class="ACT_TEXT"><div name="1342012" id="1342012">2. Туман ҳокими супер элита, элита ва кейинги авлодларга мансуб уруғлик ғалла етиштириш ҳуқуқига эга бўлиш учун танлов ўтказиш комиссияси (кейинги ўринларда матнда Комиссия деб юритилади) таркибини тасдиқлайди ва танловни эълон қилиш бўйича қарор қабул қилади. </div></div><div class="BY_DEFAULT"><div name="3564175" id="3564175"></div></div><div class="ACT_TEXT"><div name="3564176" id="3564176">Комиссия таркибига туман қишлоқ ва сув хўжалиги бўлими бошлиғи (комиссия раиси), Фермер, деҳқон хўжаликлари ва томорқа ер эгалари кенгаши раиси, хизмат кўрсатувчи тегишли банк(лар) ҳамда ирригация тизими бошқармаси раҳбарлари, туманда жойлашган «Ўздонмаҳсулот» акциядорлик компанияси тизимидаги дон маҳсулотлари корхонаси раҳбари (раҳбар ўринбосари) ёки унинг филиали раҳбари, туман «Давуруғназоратмарказ» инспекцияси, «Агрокимёҳимоя» ҳудудий акциядорлик жамиятининг туман (шаҳар) филиали, туман ер ресурслари ва давлат кадастри бўлими ҳамда туман «Давтехназорат» инспекцияси вакиллари, туман қишлоқ ва сув хўжалиги бўлими ҳосилоти (агрономи) ҳамда бошқа тегишли корхона ва ташкилотлар вакиллари (раҳбарлари) келишув асосида киритилиши лозим.</div></div><div class="CHANGES_ORIGINS"><label id="s1104"></label><div name="3564177" id="3564177">(2-банднинг иккинчи хатбошиси Ўзбекистон Республикаси қишлоқ ва сув хўжалиги вазирининг 2018 йил 5 февралдаги 44-сонли <a href="/ru/m/acts/3562996?ONDATE=19.02.2018 00#3564109">буйруғи </a>(рўйхат рақами 1794-3, 19.02.2018 й.) таҳририда — Қонун ҳужжатлари маълумотлари миллий базаси, 19.02.2018 й., 10/18/1794-3/0785-сон) </div></div><div class="BY_DEFAULT"><div name="2904341" id="2904341"></div></div><div class="ACT_TEXT"><div name="2904342" id="2904342">Комиссия котиби этиб, қоида тариқасида, туман қишлоқ ва сув хўжалиги бўлими ходими тайинланади.</div></div><div class="CHANGES_ORIGINS"><label id="s1104"></label><div name="2904343" id="2904343">(2-банд Ўзбекистон Республикаси қишлоқ ва сув хўжалиги вазирининг 2016 йил 12 февралдаги 22-сонли <a href="/ru/m/acts/2903199?ONDATE=22.02.2016 00#2903232">буйруғига </a>(рўйхат рақами 1794-2, 17.02.2016 й.) асосан учинчи хатбоши билан тўлдирилган — ЎР ҚҲТ, 2016 й., 7-сон, 70-модда)</div></div><div class="ACT_TEXT"><div name="1342015" id="1342015">3. Комиссия супер элита, элита ва кейинги авлодларга мансуб уруғлик ғалла етиштириш ҳуқуқига эга бўлиш учун рухсат бериш бўйича танлов ўтказади. </div></div><div class="ACT_TEXT"><div name="1342016" id="1342016">Тендер танлови ҳар йилнинг 15 июлидан 15 августигача ўтказилади.</div></div><div class="ACT_TEXT"><div name="1342017" id="1342017">4. Туман ҳокимининг танлов ўтказиш тўғрисидаги қарори оммавий ахборот воситаларида эълон қилиниши, фуқароларнинг ўзини ўзи бошқариш органлари, қишлоқ хўжалиги ташкилотлари бошқаруви (маъмурияти) биноларида фуқаролар танишиш имкони қулай бўлган жойларга қўйилиши керак. Эълонда танловнинг ўтказиш вақти ва жойи, тақдим қилинадиган ҳужжатлар рўйхати ҳамда танлов ўтказиш тартиби кўрсатилиши лозим.</div></div><div class="ACT_TEXT"><div name="1342018" id="1342018">5. Туман ҳокимининг танлов ўтказиш тўғрисидаги қарори қабул қилиниб, эълон қилинган кундан бошлаб 30 кундан кейин танлов ўтказилади.</div></div><div class="BY_DEFAULT"><div name="2904344" id="2904344"></div></div><div class="ACT_TEXT"><div name="2904345" id="2904345">6. Танловда ғалла етиштирувчи фермер, тажриба ва бошқа хўжаликлар иштирок этиш ҳуқуқига эга. Бунда танловда иштирок этишни истаган хўжаликда уруғлик ғалла етиштириш учун ажратиладиган ер майдони — сувли ерларда 10 гектардан, лалми ерларда эса, 20 гектардан кам бўлмаслиги лозим (туман қишлоқ ва сув хўжалиги бўлими маълумотномасига асосан аниқланади).</div></div><div class="CHANGES_ORIGINS"><label id="s1104"></label><div name="2904346" id="2904346">(6-банд Ўзбекистон Республикаси қишлоқ ва сув хўжалиги вазирининг 2016 йил 12 февралдаги 22-сонли буйруғи (рўйхат рақами 1794-2, 17.02.2016 й.) <a href="/ru/m/acts/2903199?ONDATE=22.02.2016 00#2903234">таҳририда </a>— ЎР ҚҲТ, 2016 й., 7-сон, 70-модда)</div></div><div class="ACT_TEXT"><div name="1342020" id="1342020">7. Комиссия аъзолари умумий сонининг камида учдан икки қисми иштирок этганда йиғилиш ўтказишга ҳақли ҳисобланади.</div></div><div class="ACT_TEXT"><div name="1342021" id="1342021">8. Супер элита, элита ва кейинги авлодларга мансуб уруғлик ғалла етиштириш ҳуқуқига эга бўлиш учун танлов мазкур Низомнинг <a href="/ru/m/acts/1341956#1342108">1-иловасида</a> келтирилган жадвал бўйича ўтказилади. </div></div><div class="ACT_TEXT"><div name="1342023" id="1342023">9. Танлов якунлари бўйича Комиссиянинг қарори баённома билан расмийлаштирилади ва тасдиқлаш учун туман ҳокимига тақдим этилади. Мазкур баённома нусхалари Қорақалпоғистон Республикаси Қишлоқ ва сув хўжалиги вазирлиги, вилоятлар қишлоқ ва сув хўжалиги бошқармаларига тақдим этилади.</div></div><div class="ACT_TEXT"><div name="1342024" id="1342024">10. Уруғлик ғалла етиштириш тўғрисидаги ҳуқуқ 1 йилга берилади.</div></div><div class="TEXT_HEADER_DEFAULT"><div name="1342025" id="1342025">II. Супер элита, элита ва кейинги авлодларга мансуб уруғлик ғалла етиштириш ҳуқуқига эга бўлиш учун рухсат беришнинг умумий шартлари </div></div><div class="ACT_TEXT"><div name="1342026" id="1342026">11. Танлов ўтказилиши тўғрисида эълон қилинган кундан бошлаб 30 кун давомида аризалар қабул қилинади.</div></div><div class="ACT_TEXT"><div name="1342027" id="1342027">12. Танловда иштирок этиш учун аризаларни қабул қилиш танлов эълон қилинган куннинг 30-куни соат 18-00 да тўхтатилади. Агар 30-кун дам олиш кунига тўғри келса, дам олиш кунидан кейинги биринчи иш куни соат 18-00 да аризаларни қабул қилиш тўхтатилади.</div></div><div class="ACT_TEXT"><div name="1342028" id="1342028">13. Ариза ва ҳужжатларни комиссиянинг котиби қабул қилади. Комиссиянинг котиби талабгорларга танловда юқори балл олиши учун имкон берадиган барча ҳолатларни тушунтириб, лозим бўлганда унинг ҳужжатларидаги камчиликларни ишчи тартибда бартараф этиш чораларини кўради. Комиссия котиби танловда иштирок этиш кунигача талабгорнинг баҳоланадиган имкониятларини асослантирувчи ҳужжатларнинг тўлиқ тақдим қилинишини, уларнинг тўғри расмийлаштирилишини таъминлашга кўмаклашиши лозим. </div></div><div class="TEXT_HEADER_DEFAULT"><div name="1342029" id="1342029">III. Танловда иштирок этиш учун қатнашувчиларни танлаш тартиби </div></div><div class="ACT_TEXT"><div name="1342030" id="1342030">14. Танловда иштирок этиш учун талабгорларни танлаш икки босқичдан иборат бўлади:</div></div><div class="ACT_TEXT"><div name="1342031" id="1342031">биринчи босқичда ҳужжатларнинг тўлиқлиги ва мазмуни текширилади;</div></div><div class="ACT_TEXT"><div name="1342032" id="1342032">иккинчи босқичда талабгорларнинг аризаларида баён қилинган имкониятларининг асосланганлиги ўрганиб чиқилади ва якуний қарор қабул қилинади.</div></div><div class="ACT_TEXT"><div name="1342033" id="1342033">15. Талабгорлар имкониятлари 10 баллик рейтинг шкаласида баҳоланади.</div></div><div class="ACT_TEXT"><div name="1342034" id="1342034">16. Танловда иштирок этиш учун қатнашувчиларни танлашда комиссия сувли ва лалми ерлар бўйича муайян супер элита, элита ва кейинги авлодларга мансуб уруғлик ғалла етиштириш ҳуқуқига эга бўлиш учун берилган ариза тақдим этган талабгорларнинг ҳужжатлари асосида уларнинг таклифларини пухта ўрганиб чиқади. Бунда ариза берувчининг ўз зиммасига олган мажбуриятларнинг тўлиқлиги ва ҳақиқатга яқинлиги ҳамда уларни бажариш имкониятлари ҳисобга олинади.</div></div><div class="BY_DEFAULT"><div name="2904348" id="2904348"></div></div><div class="ACT_TEXT"><div name="2904349" id="2904349">17. Биринчи босқичда танловда иштирок этувчиларнинг аризалари тўлиқлиги ва мазмуни жиҳатидан текширилгандан сўнг, иккинчи босқичда талабгорларнинг имкониятлари асосланганлиги ўрганиб чиқилиб, рейтинг баллари қўйилади ва якуний қарор қабул қилинади. </div></div><div class="ACT_TEXT"><div name="2904350" id="2904350">Танловда иштирок этувчиларни танлашнинг иккинчи босқичи қуйидаги кўрсаткичлар асосида баҳоланади: </div></div><div class="ACT_TEXT"><div name="2904351" id="2904351">а) хўжаликлар ер майдонининг тупроқ унумдорлиги — туман (шаҳар) ер ресурслари ва давлат кадастри бўлими маълумотномасига асосан 4 баллдан 10 баллгача баҳоланади. Бунда комиссияга маълумотноманинг асли тақдим этилади; </div></div><div class="ACT_TEXT"><div name="2904352" id="2904352">б) хўжаликларнинг (сувли ерларидаги) оқар сув таъминоти — ирригация тизими бошқармаси маълумотномасига асосан 0 баллдан 10 баллгача баҳоланади (лалми ерлар бундан мустасно). Бунда комиссияга маълумотноманинг асли тақдим этилади; </div></div><div class="ACT_TEXT"><div name="2904353" id="2904353">в) хўжаликларнинг сувли ер майдони тупроғининг шўрланганлик даражаси — туман (шаҳар) ер ресурслари ва давлат кадастри бўлими маълумотномасига асосан 0 баллдан 10 баллгача баҳоланади (лалми ерлар бундан мустасно). Бунда комиссияга маълумотноманинг асли тақдим этилади; </div></div><div class="ACT_TEXT"><div name="2904354" id="2904354">г) хўжаликларнинг сувли ер майдони тупроғи таркибидаги фосфор, калий ва гумуснинг миқдори — тупроқ таркибидаги фосфор, калий ва гумуснинг мавжуд миқдорини тасдиқловчи маълумотга (агрокимёвий хаританомага) асосан 0 баллдан 5 баллгача баҳоланади (лалми ерлар бундан мустасно). Бунда комиссияга маълумотноманинг (агрокимёвий хаританоманинг) асли ёки хўжалик раҳбари томонидан тасдиқланган нусхаси тақдим этилади; </div></div><div class="BY_DEFAULT"><div name="3564178" id="3564178"></div></div><div class="ACT_TEXT"><div name="3564179" id="3564179">д) сўнгги 3 йил ичида ғалла майдонлари касалликларга чалинмаганлиги ва зараркунандалар билан зарарланмаганлиги, шунингдек бегона ўтлар тарқалмаганлиги — «Агрокимёҳимоя» ҳудудий акциядорлик жамиятларининг туман (шаҳар) филиали маълумотномасига асосан 0 баллдан 10 баллгача баҳоланади. Бунда комиссияга маълумотноманинг асли тақдим этилади; </div></div><div class="CHANGES_ORIGINS"><label id="s1104"></label><div name="3564187" id="3564187">(17-банднинг «д» кичик банди Ўзбекистон Республикаси қишлоқ ва сув хўжалиги вазирининг 2018 йил 5 февралдаги 44-сонли <a href="/ru/m/acts/3562996?ONDATE=19.02.2018 00#3564111">буйруғи </a>(рўйхат рақами 1794-3, 19.02.2018 й.) таҳририда — Қонун ҳужжатлари маълумотлари миллий базаси, 19.02.2018 й., 10/18/1794-3/0785-сон) )</div></div><div class="ACT_TEXT"><div name="2904356" id="2904356">е) хўжалик раҳбарининг мутахассислиги ва маълумоти — маълумоти тўғрисидаги ҳужжатга асосан 4 баллдан 10 баллгача баҳоланади. Бунда комиссияга маълумот тўғрисидаги ҳужжатнинг асли кўрсатилган ҳолда унинг хўжалик раҳбари томонидан тасдиқланган нусхаси тақдим этилади. </div></div><div class="ACT_TEXT"><div name="2904357" id="2904357">Хўжалик раҳбари бир нечта мутахассисликка ва маълумотга эга бўлса, унинг мутахассислиги ва маълумоти учун қўйиладиган баллларнинг нисбатан юқорироғи инобатга олинади; </div></div><div class="ACT_TEXT"><div name="2904358" id="2904358">ж) хўжалик раҳбарининг қишлоқ хўжалиги соҳасидаги иш стажи (фақат уруғчилик соҳасидаги иш стажи инобатга олинади) — меҳнат дафтарчасига асосан 2 баллдан 10 баллгача баҳоланади. Бунда комиссияга меҳнат дафтарчасининг асли кўрсатилган ҳолда унинг хўжалик раҳбари томонидан тасдиқланган нусхаси тақдим этилади; </div></div><div class="ACT_TEXT"><div name="2904359" id="2904359">з) талабгорнинг банк ҳисобварағида мажбуриятлардан ҳоли бўлган пул маблағлари мавжудлиги — банк томонидан берилган маълумотнома (банк раҳбари ёки унинг вазифасини бажарувчи шахс томонидан имзоланган ва банк муҳри билан тасдиқланган) асосида 4 баллдан 10 баллгача баҳоланади. Бунда комиссияга маълумотноманинг асли тақдим этилади; </div></div><div class="ACT_TEXT"><div name="2904360" id="2904360">и) талабгорнинг техника воситалари билан таъминланганлиги (уларнинг тури ва техник имкониятларидан келиб чиқиб) — техника воситалари техник паспортлари ва «Давтехназорат» инспекцияси маълумотномасига асосан 0 баллдан 10 баллгача баҳоланади. Бунда комиссияга техника воситалари техник паспорт (лар)ининг асли кўрсатилган ҳолда у (лар)нинг хўжалик раҳбари томонидан тасдиқланган нусхаси ва «Давтехназорат» инспекцияси маълумотномасининг асли тақдим этилади. </div></div><div class="ACT_TEXT"><div name="2904361" id="2904361">Техника воситаларини баҳолашда техник паспортда техника воситасининг созлигини тасдиқловчи белги мавжуд бўлган техника воситалари инобатга олинади. </div></div><div class="ACT_TEXT"><div name="2904362" id="2904362">Техника воситаларини баҳолашда улар учун қўйилган баллар йиғиндиси 10 баллдан ошмаслиги лозим; </div></div><div class="ACT_TEXT"><div name="2904363" id="2904363">к) талабгор томонидан сўнгги 3 йил ичида ғалла сотиш бўйича тузилган контрактация шартномаларининг бажарилганлиги — шартнома тузган корхонаси томонидан берилган маълумотнома асосида 4 баллдан 10 баллгача баҳоланади. Бунда комиссияга маълумотноманинг асли тақдим этилади. </div></div><div class="ACT_TEXT"><div name="2904364" id="2904364">Талабгорнинг ҳар бир кўрсаткичи бўйича тегишли баллни бериш масаласи комиссия аъзолари томонидан сувли ва лалми ерлар учун мазкур Низомнинг тегишлича <a href="/ru/m/acts/1341956#2904419">2</a> ва <a href="/ru/m/acts/1341956#2904428">3-иловаларида</a> назарда тутилган кўрсаткичлар асосида кўпчилик овоз билан ҳал этилади ва ҳар бир кўрсаткич бўйича битта балл берилади. </div></div><div class="ACT_TEXT"><div name="2904365" id="2904365">Сувли ва лалми ерлар бўйича тўпланган балларни қўшиб ҳисоблаш тақиқланади.</div></div><div class="CHANGES_ORIGINS"><label id="s1104"></label><div name="2904366" id="2904366">(17-банд Ўзбекистон Республикаси қишлоқ ва сув хўжалиги вазирининг 2016 йил 12 февралдаги 22-сонли <a href="/ru/m/acts/2903199?ONDATE=22.02.2016 00#2903236">буйруғи </a>(рўйхат рақами 1794-2, 17.02.2016 й.) таҳририда — ЎР ҚҲТ, 2016 й., 7-сон, 70-модда)</div></div><div class="ACT_TEXT"><div name="1342054" id="1342054">18. Йиғилишда комиссия аъзоларининг кўпчилик овозига кўра қўйилган рейтинг балларига асосан танлов ғолиблари аниқланади.</div></div><div class="ACT_TEXT"><div name="1342055" id="1342055">Танловда ҳар бир комиссия аъзоси томонидан талабгорга қўйилган баллар йиғиндиси комиссияда балл қўйган аъзолар сонига бўлинади ва талабгорга қўйилган ўртача балл ҳисоблаб чиқарилади.</div></div><div class="ACT_TEXT"><div name="1342056" id="1342056">19. Энг кўп балл тўплаган талабгорлар танлов ғолиблари деб комиссия раиси томонидан эълон қилинади. </div></div><div class="ACT_TEXT"><div name="1342057" id="1342057">20. Комиссия якуний йиғилишининг баённомаси мазкур Низомнинг <a href="/ru/m/acts/1341956#1342152">4-иловасида</a> келтирилган шаклда икки нусхада тузилиб, комиссия раиси, аъзолари ва котиби томонидан имзоланади. </div></div><div class="BY_DEFAULT"><div name="2904367" id="2904367"></div></div><div class="ACT_TEXT"><div name="2904368" id="2904368">21. Комиссиянинг якуний йиғилиши баёни ва унга илова қилинган ҳужжатлар тегишлича Қорақалпоғистон Республикаси Қишлоқ ва сув хўжалиги вазирлигига ва вилоятлар қишлоқ ва сув хўжалиги бошқармаларига ҳамда Бошоқли дон экинлари уруғчилиги республика марказининг ҳудудий бўлимларига юборилади. </div></div><div class="CHANGES_ORIGINS"><label id="s1104"></label><div name="2904369" id="2904369">(21-банд Ўзбекистон Республикаси қишлоқ ва сув хўжалиги вазирининг 2016 йил 12 февралдаги 22-сонли <a href="/ru/m/acts/2903199?ONDATE=22.02.2016 00#2903288">буйруғи </a>(рўйхат рақами 1794-2, 17.02.2016 й.) таҳририда — ЎР ҚҲТ, 2016 й., 7-сон, 70-модда)</div></div><div class="TEXT_HEADER_DEFAULT"><div name="1342059" id="1342059">IV. Супер элита, элита ва кейинги авлодларга мансуб уруғлик ғалла етиштириш ҳуқуқига эга бўлиш учун талабгорларни танлаш ва танлов ўтказиш ишлари бўйича ҳужжатларни юритиш </div></div><div class="BY_DEFAULT"><div name="2904370" id="2904370"></div></div><div class="ACT_TEXT"><div name="2904371" id="2904371">22. Супер элита, элита ва кейинги авлодларга мансуб уруғлик ғалла етиштириш ҳуқуқига эга бўлиш учун талабгорларни танлаш ва танлов ўтказиш бўйича ҳужжатлар комиссия котиби томонидан юритилади. </div></div><div class="CHANGES_ORIGINS"><label id="s1104"></label><div name="2904372" id="2904372">(22-банд Ўзбекистон Республикаси қишлоқ ва сув хўжалиги вазирининг 2016 йил 12 февралдаги 22-сонли <a href="/ru/m/acts/2903199?ONDATE=22.02.2016 00#2903288">буйруғи </a>(рўйхат рақами 1794-2, 17.02.2016 й.) таҳририда — ЎР ҚҲТ, 2016 й., 7-сон, 70-модда)</div></div><div class="BY_DEFAULT"><div name="2904373" id="2904373"></div></div><div class="ACT_TEXT"><div name="2904374" id="2904374">23. Комиссиянинг талабгорларни танлаш ва танлов ўтказиш билан боғлиқ барча ҳужжатлари алоҳида йиғмажилдларда сақланади. Мазкур ҳужжатлар уруғчилик хўжаликларининг барчаси рўйхатдан ўтказилгандан сўнг 2 ҳафта мобайнида Қорақалпоғистон Республикаси Қишлоқ ва сув хўжалиги вазирлигига ва вилоятлар қишлоқ ва сув хўжалиги бошқармалари архивига, Бошоқли дон экинлари уруғчилиги республика марказининг ҳудудий бўлимларига топширилади. </div></div><div class="CHANGES_ORIGINS"><label id="s1104"></label><div name="2904375" id="2904375">(23-банд Ўзбекистон Республикаси қишлоқ ва сув хўжалиги вазирининг 2016 йил 12 февралдаги 22-сонли <a href="/ru/m/acts/2903199?ONDATE=22.02.2016 00#2903288">буйруғи </a>(рўйхат рақами 1794-2, 17.02.2016 й.) таҳририда — ЎР ҚҲТ, 2016 й., 7-сон, 70-модда)</div></div><div class="BY_DEFAULT"><div name="2904377" id="2904377"></div></div><div class="ACT_TEXT"><div name="2904378" id="2904378">24. Ҳар бир йиғмажилдда қуйидаги ҳужжатлар тикилиши лозим: </div></div><div class="ACT_TEXT"><div name="2904379" id="2904379">а) туман ҳокимининг танлов ўтказиш комиссияси таркибини тасдиқлаш ва танловни эълон қилиш тўғрисидаги қарори нусхаси; </div></div><div class="ACT_TEXT"><div name="2904380" id="2904380">б) танловга талабгор томонидан тақдим этилган ариза ва унга илова қилинган ҳужжатлар; </div></div><div class="ACT_TEXT"><div name="2904381" id="2904381">в) ҳар бир комиссия аъзоси томонидан тўлдирилган танлов варақалари; </div></div><div class="ACT_TEXT"><div name="2904382" id="2904382">г) танлов якуни бўйича қўйилган баллар ҳисоб-китоби; </div></div><div class="ACT_TEXT"><div name="2904383" id="2904383">д) танлов ўтказиш якунлари бўйича комиссиянинг баённомалари; </div></div><div class="ACT_TEXT"><div name="2904384" id="2904384">е) талабгорларни танлаш ва танлов ўтказиш билан боғлиқ бошқа ҳужжатлар. </div></div><div class="ACT_TEXT"><div name="2904385" id="2904385">Йиғмажилдга рейтинг балларини бериш учун асос бўлган барча ҳужжатлар тикилиши шарт.</div></div><div class="CHANGES_ORIGINS"><label id="s1104"></label><div name="2904386" id="2904386">(24-банд Ўзбекистон Республикаси қишлоқ ва сув хўжалиги вазирининг 2016 йил 12 февралдаги 22-сонли <a href="/ru/m/acts/2903199?ONDATE=22.02.2016 00#2903288">буйруғи </a>(рўйхат рақами 1794-2, 17.02.2016 й.) таҳририда — ЎР ҚҲТ, 2016 й., 7-сон, 70-модда)</div></div><div class="ACT_TEXT"><div name="1342073" id="1342073">25. Комиссиянинг фаолиятига доир ҳужжатларнинг тўлиқ юритилиши, сақланиши ва белгиланган муддатларда архивга топширилишига комиссия раиси ва котиби шахсан жавобгардир.</div></div><div class="TEXT_HEADER_DEFAULT"><div name="1342074" id="1342074">V. Танлов ғолибларининг вазифа ва функциялари</div></div><div class="ACT_TEXT"><div name="1342075" id="1342075">26. Супер элита, элита ва кейинги авлодларга мансуб уруғлик ғалла етиштириш ҳуқуқига эга бўлган фермер, тажриба ва бошқа хўжаликлар қайси навдан неча гектар экиши ва қанча ҳажмда уруғлик етиштириши вилоят ҳокимининг келгуси йил ҳосили учун талаб этиладиган уруғлик тайёрлаш ҳажмлари ва навларни жойлаштириш тўғрисидаги қарорига асосан белгилаб берилади.</div></div><div class="ACT_TEXT"><div name="1342076" id="1342076">Бунда танлов ғолибларининг вазифа ва функциялари қуйидагилардан иборат бўлади:</div></div><div class="ACT_TEXT"><div name="1342077" id="1342077">а) асосий вазифалар:</div></div><div class="ACT_TEXT"><div name="1342078" id="1342078">республика эҳтиёжини қондириш учун навлар бўйича зарур миқдордаги, стандарт талабларига мос келувчи нав уруғларининг авлодларини ҳисобга олган ҳолда етиштириш;</div></div><div class="ACT_TEXT"><div name="1342079" id="1342079">кўпайтирилаётган навнинг қимматли хўжалик, технологик хусусиятларини сақлаб қолиш;</div></div><div class="ACT_TEXT"><div name="1342080" id="1342080">юқори сифатли ва нав софлигига эга бўлган супер элита, элита ва кейинги авлодли уруғларни етиштириш;</div></div><div class="ACT_TEXT"><div name="1342081" id="1342081">супер элита, элита ва кейинги авлодли уруғликларни етиштириш ва қайта ишлаш тартиб ва қоидаларига амал қилиш;</div></div><div class="ACT_TEXT"><div name="1342082" id="1342082">нав муаллифлари ва нав оригинаторлари томонидан ишлаб чиқилган илмий асосланган тавсиялар асосида агротехник тадбирларни белгиланган муддатларда ва меъёрларда сифатли ўтказилишини таъминлаш;</div></div><div class="ACT_TEXT"><div name="1342083" id="1342083">б) юклатилган вазифаларга асосан қуйидаги функцияларни бажаради:</div></div><div class="ACT_TEXT"><div name="1342084" id="1342084">уруғлик майдонлари юқори унумдор, механизмлар ёрдамида ишлов беришга қулай, сув билан яхши таъминланган, шўрланмаган ва текис далаларда жойлаштирилади;</div></div><div class="ACT_TEXT"><div name="1342085" id="1342085">алмашиб экиш ва агротехник тадбирларни ўз вақтида ўтказиш дастурини тузади ва уларнинг ҳисобини олиб боради;</div></div><div class="BY_DEFAULT"><div name="2904387" id="2904387"></div></div><div class="ACT_TEXT"><div name="2904388" id="2904388">хўжаликда уруғчилик бўйича агроном ёки агрономнинг бўлишини таъминлайди (хўжалик раҳбарининг мутахассислиги (маълумот тўғрисидаги ҳужжатга асосан) уруғчилик бўйича агроном ёки агроном бўлган ҳоллар бундан мустасно);</div></div><div class="CHANGES_ORIGINS"><label id="s1104"></label><div name="2904389" id="2904389">(26-банднинг ўн иккинчи хатбошиси Ўзбекистон Республикаси қишлоқ ва сув хўжалиги вазирининг 2016 йил 12 февралдаги 22-сонли <a href="/ru/m/acts/2903199?ONDATE=22.02.2016 00#2903301">буйруғи </a>(рўйхат рақами 1794-2, 17.02.2016 й.) таҳририда — ЎР ҚҲТ, 2016 й., 7-сон, 70-модда)</div></div><div class="ACT_TEXT"><div name="1342087" id="1342087">супер элита, элита ва кейинги авлодли уруғлик майдонларини ихчам қилиб жойлаштиради, белгиланган тартибда ва мақбул муддатларда оралиқ ҳимоя масофани сақлаган ҳолда экади;</div></div><div class="BY_DEFAULT"><div name="2904390" id="2904390"></div></div><div class="ACT_TEXT"><div name="2904391" id="2904391">фойдаланишга рухсат этилган кимёвий препаратлар билан қайта ишланган (зарарсизлантирилган) уруғлик донни экади; </div></div><div class="CHANGES_ORIGINS"><label id="s1104"></label><div name="2904392" id="2904392">(26-банднинг ўн тўртинчи хатбошиси Ўзбекистон Республикаси қишлоқ ва сув хўжалиги вазирининг 2016 йил 12 февралдаги 22-сонли <a href="/ru/m/acts/2903199?ONDATE=22.02.2016 00#2903303">буйруғи </a>(рўйхат рақами 1794-2, 17.02.2016 й.) таҳририда — ЎР ҚҲТ, 2016 й., 7-сон, 70-модда)</div></div><div class="BY_DEFAULT"><div name="2904393" id="2904393"></div></div><div class="ACT_TEXT"><div name="2904394" id="2904394">йилига камида икки марта нав ва тур тозалиги бўйича дала кўригини ўтказиб, бегона нав ва турлардан тозалаш ишларини ташкиллаштиради.</div></div><div class="CHANGES_ORIGINS"><label id="s1104"></label><div name="2904395" id="2904395">(26-банднинг ўн бешинчи хатбошиси Ўзбекистон Республикаси қишлоқ ва сув хўжалиги вазирининг 2016 йил 12 февралдаги 22-сонли <a href="/ru/m/acts/2903199?ONDATE=22.02.2016 00#2903303">буйруғи </a>(рўйхат рақами 1794-2, 17.02.2016 й.) таҳририда — ЎР ҚҲТ, 2016 й., 7-сон, 70-модда)</div></div><div class="ACT_TEXT"><div name="1342091" id="1342091">27. Мазкур Низомда белгиланган талаблар бузилган ҳолда хўжаликлар ўрнатилган тартибда уруғлик етказиш ҳуқуқидан маҳрум этилади.</div></div><div class="TEXT_HEADER_DEFAULT"><div name="1342093" id="1342093">VI. Якуний қоидалар</div></div><div class="BY_DEFAULT"><div name="5635566" id="5635566"></div></div><div class="ACT_TEXT"><div name="5635568" id="5635568">28. Ушбу Низомда тартибга солинмаган масалалар Комиссия томонидан қонунчилик ҳужжатларида назарда тутилган тартибда ҳал этилади.</div></div><div class="CHANGES_ORIGINS"><label id="s1104"></label><div name="5635569" id="5635569"><em>(28-банд Ўзбекистон Республикаси адлия вазирининг 2021 йил 28 июлдаги 16-мҳ-сонли </em><a href="/ru/m/acts/5535529?ONDATE=28.07.2021 00#5539302">буйруғи</a> <a href="/ru/m/acts/5535529?ONDATE=28.07.2021 00#5539263"> </a><em>(рўйхат рақами 3313, 28.07.2021 й.) таҳририда — Қонунчилик маълумотлари миллий базаси, 28.07.2021 й., 10/21/3313/0724-сон)</em></div></div><div class="ACT_TEXT"><div name="1342095" id="1342095">29. Мазкур Низом Ўзбекистон Республикаси Иқтисодиёт вазирлиги, Ер ресурслари, геодезия, картография ва давлат кадастри давлат қўмитаси ва «Ўздонмаҳсулот» акциядорлик компанияси билан келишилган.</div></div><div class="SIGNATURE"><div name="1342096" id="1342096">Иқтисодиёт вазири Б. ХЎЖАЕВ</div></div><div class="ACT_ESSENTIAL_ELEMENTS"><div name="1342097" id="1342097">Тошкент ш.,</div></div><div class="ACT_ESSENTIAL_ELEMENTS"><div name="1342099" id="1342099">2008 йил 24 март</div></div><div class="SIGNATURE"><div name="1342101" id="1342101">Ер ресурслари, геодезия, картография ва давлат кадастри давлат қўмитаси раиси А. АБДУАЗИЗОВ </div></div><div class="ACT_ESSENTIAL_ELEMENTS"><div name="1342102" id="1342102">Тошкент ш.,</div></div><div class="ACT_ESSENTIAL_ELEMENTS"><div name="1342103" id="1342103">2008 йил 24 март</div></div><div class="SIGNATURE"><div name="1342104" id="1342104">«Ўздонмаҳсулот» акциядорлик компанияси бошқаруви раиси Э. ҚУДРАТОВ </div></div><div class="ACT_ESSENTIAL_ELEMENTS"><div name="1342105" id="1342105">Тошкент ш.,</div></div><div class="ACT_ESSENTIAL_ELEMENTS"><div name="1342107" id="1342107">2008 йил 24 март</div></div><div class="BY_DEFAULT"><div name="1342108" id="1342108"></div></div><div class="BY_DEFAULT"><div name="2904396" id="2904396"></div></div><div class="APPL_BANNER_LANDSCAPE_TITLE"><div name="2904397" id="2904397">Супер элита, элита ва кейинги авлодларга мансуб бошоқли дон экинлари уруғларини етиштириш ҳуқуқига эга бўлиш учун хўжаликлар ўртасида танлов ўтказиш тартиби тўғрисидаги <a href="/ru/m/acts/1341956#1342003">низомга </a><br />1-ИЛОВА </div></div><div class="CHANGES_ORIGINS"><label id="s1104"></label><div name="2904402" id="2904402">(1-илованинг белгиси Ўзбекистон Республикаси қишлоқ ва сув хўжалиги вазирининг 2016 йил 12 февралдаги 22-сонли <a href="/ru/m/acts/2903199?ONDATE=22.02.2016 00#2903306">буйруғи </a>(рўйхат рақами 1794-2, 17.02.2016 й.) таҳририда — ЎР ҚҲТ, 2016 й., 7-сон, 70-модда)</div></div><div class="ACT_TITLE_APPL"><div name="1342112" id="1342112">Сувли ва лалми ерларда супер элита, элита ва кейинги авлодларга мансуб уруғлик ғалла етиштириш ҳуқуқига эга бўлиш учун танловини ўтказиш <br />ЖАДВАЛИ </div></div><div class="BY_DEFAULT"><div name="1342113" id="1342113"></div></div><div class="TEXT_CENTER"><div name="1342137" id="1342137"><img src="/ru/files/1342136" /></div></div><div class="BY_DEFAULT"><div name="2904419" id="2904419"></div></div><div class="APPL_BANNER_LANDSCAPE_TITLE"><div name="2904421" id="2904421">Супер элита, элита ва кейинги авлодларга мансуб бошоқли дон экинлари уруғларини етиштириш ҳуқуқига эга бўлиш учун хўжаликлар ўртасида танлов ўтказиш тартиби тўғрисидаги <a href="/ru/m/acts/1341956#1342003">низомга</a><br />2-ИЛОВА </div></div><div class="ACT_TITLE_APPL"><div name="2904422" id="2904422">Танловда иштирок этиш учун қатнашувчиларни танлашда талабгорларнинг сувли ерлари бўйича имкониятларини баҳолайдиган </div></div><div class="ACT_FORM"><div name="2904423" id="2904423"><strong>РЕЙТИНГ БАЛЛАРИ</strong> </div></div><div class="BY_DEFAULT"><div name="3564224" id="3564224"></div></div><div class="BY_DEFAULT"><div name="3564255" id="3564255"></div></div><div class="BY_DEFAULT"><div name="3564272" id="3564272"><table style="BACKGROUND: white; BORDER-COLLAPSE: collapse" cellspacing="0" cellpadding="0" width="100%" border="0">
<tbody>
<tr>
<td style="BORDER-RIGHT: windowtext 1pt solid; PADDING-RIGHT: 2.85pt; BORDER-TOP: windowtext 1pt solid; PADDING-LEFT: 2.85pt; PADDING-BOTTOM: 0cm; BORDER-LEFT: windowtext 1pt solid; PADDING-TOP: 0cm; BORDER-BOTTOM: windowtext 1pt solid" width="5%">
<p align="center"><span><b>Т/р</b></span></p></td>
<td style="BORDER-RIGHT: windowtext 1pt solid; PADDING-RIGHT: 2.85pt; BORDER-TOP: windowtext 1pt solid; PADDING-LEFT: 2.85pt; PADDING-BOTTOM: 0cm; BORDER-LEFT: #ece9d8; PADDING-TOP: 0cm; BORDER-BOTTOM: windowtext 1pt solid" width="31%">
<p align="center"><b>Баҳоланадиган имкониятлар (ҳолатлар)</b></p></td>
<td style="BORDER-RIGHT: windowtext 1pt solid; PADDING-RIGHT: 2.85pt; BORDER-TOP: windowtext 1pt solid; PADDING-LEFT: 2.85pt; PADDING-BOTTOM: 0cm; BORDER-LEFT: #ece9d8; PADDING-TOP: 0cm; BORDER-BOTTOM: windowtext 1pt solid" width="23%">
<p align="center"><b>Рейтинг кўрсаткичлари</b></p></td>
<td style="BORDER-RIGHT: windowtext 1pt solid; PADDING-RIGHT: 2.85pt; BORDER-TOP: windowtext 1pt solid; PADDING-LEFT: 2.85pt; PADDING-BOTTOM: 0cm; BORDER-LEFT: #ece9d8; PADDING-TOP: 0cm; BORDER-BOTTOM: windowtext 1pt solid" width="12%">
<p align="center"><b>Рейтинг баллар</b></p></td>
<td style="BORDER-RIGHT: windowtext 1pt solid; PADDING-RIGHT: 2.85pt; BORDER-TOP: windowtext 1pt solid; PADDING-LEFT: 2.85pt; PADDING-BOTTOM: 0cm; BORDER-LEFT: #ece9d8; PADDING-TOP: 0cm; BORDER-BOTTOM: windowtext 1pt solid" width="26%">
<p align="center"><b>Асослаш учун тақдим этилган ҳужжат(лар)</b></p></td></tr>
<tr>
<td style="BORDER-RIGHT: windowtext 1pt solid; PADDING-RIGHT: 2.85pt; BORDER-TOP: #ece9d8; PADDING-LEFT: 2.85pt; PADDING-BOTTOM: 0cm; BORDER-LEFT: windowtext 1pt solid; PADDING-TOP: 0cm; BORDER-BOTTOM: windowtext 1pt solid" width="5%" rowspan="3">
<p align="center"><b>1.</b></p></td>
<td style="BORDER-RIGHT: windowtext 1pt solid; PADDING-RIGHT: 2.85pt; BORDER-TOP: #ece9d8; PADDING-LEFT: 2.85pt; PADDING-BOTTOM: 0cm; BORDER-LEFT: #ece9d8; PADDING-TOP: 0cm; BORDER-BOTTOM: windowtext 1pt solid" width="31%" rowspan="3">
<p align="center">Тупроқ унумдорлиги</p>
<p align="center">(бонитет балл)</p></td>
<td style="BORDER-RIGHT: windowtext 1pt solid; PADDING-RIGHT: 2.85pt; BORDER-TOP: #ece9d8; PADDING-LEFT: 2.85pt; PADDING-BOTTOM: 0cm; BORDER-LEFT: #ece9d8; PADDING-TOP: 0cm; BORDER-BOTTOM: windowtext 1pt solid" width="23%">
<p align="center">60 балл</p>
<p align="center">ва ундан юқори</p></td>
<td style="BORDER-RIGHT: windowtext 1pt solid; PADDING-RIGHT: 2.85pt; BORDER-TOP: #ece9d8; PADDING-LEFT: 2.85pt; PADDING-BOTTOM: 0cm; BORDER-LEFT: #ece9d8; PADDING-TOP: 0cm; BORDER-BOTTOM: windowtext 1pt solid" width="12%">
<p align="center">10 балл</p></td>
<td style="BORDER-RIGHT: windowtext 1pt solid; PADDING-RIGHT: 2.85pt; BORDER-TOP: #ece9d8; PADDING-LEFT: 2.85pt; PADDING-BOTTOM: 0cm; BORDER-LEFT: #ece9d8; PADDING-TOP: 0cm; BORDER-BOTTOM: windowtext 1pt solid" width="26%" rowspan="3">
<p align="center">Туман ер ресурслари ва давлат кадастри бўлими маълумотномаси</p></td></tr>
<tr>
<td style="BORDER-RIGHT: windowtext 1pt solid; PADDING-RIGHT: 2.85pt; BORDER-TOP: #ece9d8; PADDING-LEFT: 2.85pt; PADDING-BOTTOM: 0cm; BORDER-LEFT: #ece9d8; PADDING-TOP: 0cm; BORDER-BOTTOM: windowtext 1pt solid" width="23%">
<p align="center">50 баллдан</p>
<p align="center">60 баллгача</p></td>
<td style="BORDER-RIGHT: windowtext 1pt solid; PADDING-RIGHT: 2.85pt; BORDER-TOP: #ece9d8; PADDING-LEFT: 2.85pt; PADDING-BOTTOM: 0cm; BORDER-LEFT: #ece9d8; PADDING-TOP: 0cm; BORDER-BOTTOM: windowtext 1pt solid" width="12%">
<p align="center">8 балл</p></td></tr>
<tr>
<td style="BORDER-RIGHT: windowtext 1pt solid; PADDING-RIGHT: 2.85pt; BORDER-TOP: #ece9d8; PADDING-LEFT: 2.85pt; PADDING-BOTTOM: 0cm; BORDER-LEFT: #ece9d8; PADDING-TOP: 0cm; BORDER-BOTTOM: windowtext 1pt solid" width="23%">
<p align="center">40 баллдан</p>
<p align="center">50 баллгача</p></td>
<td style="BORDER-RIGHT: windowtext 1pt solid; PADDING-RIGHT: 2.85pt; BORDER-TOP: #ece9d8; PADDING-LEFT: 2.85pt; PADDING-BOTTOM: 0cm; BORDER-LEFT: #ece9d8; PADDING-TOP: 0cm; BORDER-BOTTOM: windowtext 1pt solid" width="12%">
<p align="center">4 балл</p></td></tr>
<tr>
<td style="BORDER-RIGHT: windowtext 1pt solid; PADDING-RIGHT: 2.85pt; BORDER-TOP: #ece9d8; PADDING-LEFT: 2.85pt; PADDING-BOTTOM: 0cm; BORDER-LEFT: windowtext 1pt solid; PADDING-TOP: 0cm; BORDER-BOTTOM: windowtext 1pt solid" width="5%" rowspan="3">
<p align="center"><b>2.</b></p></td>
<td style="BORDER-RIGHT: windowtext 1pt solid; PADDING-RIGHT: 2.85pt; BORDER-TOP: #ece9d8; PADDING-LEFT: 2.85pt; PADDING-BOTTOM: 0cm; BORDER-LEFT: #ece9d8; PADDING-TOP: 0cm; BORDER-BOTTOM: windowtext 1pt solid" width="31%" rowspan="3">
<p align="center">Оқар сув таъминоти</p></td>
<td style="BORDER-RIGHT: windowtext 1pt solid; PADDING-RIGHT: 2.85pt; BORDER-TOP: #ece9d8; PADDING-LEFT: 2.85pt; PADDING-BOTTOM: 0cm; BORDER-LEFT: #ece9d8; PADDING-TOP: 0cm; BORDER-BOTTOM: windowtext 1pt solid" width="23%">
<p align="center">яхши</p></td>
<td style="BORDER-RIGHT: windowtext 1pt solid; PADDING-RIGHT: 2.85pt; BORDER-TOP: #ece9d8; PADDING-LEFT: 2.85pt; PADDING-BOTTOM: 0cm; BORDER-LEFT: #ece9d8; PADDING-TOP: 0cm; BORDER-BOTTOM: windowtext 1pt solid" width="12%">
<p align="center">10 балл</p></td>
<td style="BORDER-RIGHT: windowtext 1pt solid; PADDING-RIGHT: 2.85pt; BORDER-TOP: #ece9d8; PADDING-LEFT: 2.85pt; PADDING-BOTTOM: 0cm; BORDER-LEFT: #ece9d8; PADDING-TOP: 0cm; BORDER-BOTTOM: windowtext 1pt solid" width="26%" rowspan="3">
<p align="center">Ирригация тизими бошқармаси маълумотномаси</p></td></tr>
<tr>
<td style="BORDER-RIGHT: windowtext 1pt solid; PADDING-RIGHT: 2.85pt; BORDER-TOP: #ece9d8; PADDING-LEFT: 2.85pt; PADDING-BOTTOM: 0cm; BORDER-LEFT: #ece9d8; PADDING-TOP: 0cm; BORDER-BOTTOM: windowtext 1pt solid" width="23%">
<p align="center">ўртача</p></td>
<td style="BORDER-RIGHT: windowtext 1pt solid; PADDING-RIGHT: 2.85pt; BORDER-TOP: #ece9d8; PADDING-LEFT: 2.85pt; PADDING-BOTTOM: 0cm; BORDER-LEFT: #ece9d8; PADDING-TOP: 0cm; BORDER-BOTTOM: windowtext 1pt solid" width="12%">
<p align="center">5 балл</p></td></tr>
<tr>
<td style="BORDER-RIGHT: windowtext 1pt solid; PADDING-RIGHT: 2.85pt; BORDER-TOP: #ece9d8; PADDING-LEFT: 2.85pt; PADDING-BOTTOM: 0cm; BORDER-LEFT: #ece9d8; PADDING-TOP: 0cm; BORDER-BOTTOM: windowtext 1pt solid" width="23%">
<p align="center">ёмон</p></td>
<td style="BORDER-RIGHT: windowtext 1pt solid; PADDING-RIGHT: 2.85pt; BORDER-TOP: #ece9d8; PADDING-LEFT: 2.85pt; PADDING-BOTTOM: 0cm; BORDER-LEFT: #ece9d8; PADDING-TOP: 0cm; BORDER-BOTTOM: windowtext 1pt solid" width="12%">
<p align="center">0 балл</p></td></tr>
<tr>
<td style="BORDER-RIGHT: windowtext 1pt solid; PADDING-RIGHT: 2.85pt; BORDER-TOP: #ece9d8; PADDING-LEFT: 2.85pt; PADDING-BOTTOM: 0cm; BORDER-LEFT: windowtext 1pt solid; PADDING-TOP: 0cm; BORDER-BOTTOM: windowtext 1pt solid" width="5%" rowspan="4">
<p align="center"><b>3.</b></p></td>
<td style="BORDER-RIGHT: windowtext 1pt solid; PADDING-RIGHT: 2.85pt; BORDER-TOP: #ece9d8; PADDING-LEFT: 2.85pt; PADDING-BOTTOM: 0cm; BORDER-LEFT: #ece9d8; PADDING-TOP: 0cm; BORDER-BOTTOM: windowtext 1pt solid" width="31%" rowspan="4">
<p align="center">Тупроғининг шўрланганлик даражаси (фоизда)</p></td>
<td style="BORDER-RIGHT: windowtext 1pt solid; PADDING-RIGHT: 2.85pt; BORDER-TOP: #ece9d8; PADDING-LEFT: 2.85pt; PADDING-BOTTOM: 0cm; BORDER-LEFT: #ece9d8; PADDING-TOP: 0cm; BORDER-BOTTOM: windowtext 1pt solid" width="23%">
<p align="center">шўрланмаган</p></td>
<td style="BORDER-RIGHT: windowtext 1pt solid; PADDING-RIGHT: 2.85pt; BORDER-TOP: #ece9d8; PADDING-LEFT: 2.85pt; PADDING-BOTTOM: 0cm; BORDER-LEFT: #ece9d8; PADDING-TOP: 0cm; BORDER-BOTTOM: windowtext 1pt solid" width="12%">
<p align="center">10 балл</p></td>
<td style="BORDER-RIGHT: windowtext 1pt solid; PADDING-RIGHT: 2.85pt; BORDER-TOP: #ece9d8; PADDING-LEFT: 2.85pt; PADDING-BOTTOM: 0cm; BORDER-LEFT: #ece9d8; PADDING-TOP: 0cm; BORDER-BOTTOM: windowtext 1pt solid" width="26%" rowspan="4">
<p align="center">Туман ер ресурслари ва давлат кадастри бўлими маълумотномаси</p></td></tr>
<tr>
<td style="BORDER-RIGHT: windowtext 1pt solid; PADDING-RIGHT: 2.85pt; BORDER-TOP: #ece9d8; PADDING-LEFT: 2.85pt; PADDING-BOTTOM: 0cm; BORDER-LEFT: #ece9d8; PADDING-TOP: 0cm; BORDER-BOTTOM: windowtext 1pt solid" width="23%">
<p align="center">кам шўрланган<br />(0,3 — 0,5)</p></td>
<td style="BORDER-RIGHT: windowtext 1pt solid; PADDING-RIGHT: 2.85pt; BORDER-TOP: #ece9d8; PADDING-LEFT: 2.85pt; PADDING-BOTTOM: 0cm; BORDER-LEFT: #ece9d8; PADDING-TOP: 0cm; BORDER-BOTTOM: windowtext 1pt solid" width="12%">
<p align="center">6 балл</p></td></tr>
<tr>
<td style="BORDER-RIGHT: windowtext 1pt solid; PADDING-RIGHT: 2.85pt; BORDER-TOP: #ece9d8; PADDING-LEFT: 2.85pt; PADDING-BOTTOM: 0cm; BORDER-LEFT: #ece9d8; PADDING-TOP: 0cm; BORDER-BOTTOM: windowtext 1pt solid" width="23%">
<p align="center">ўртача шўрланган<br />(0,6 — 1,0)</p></td>
<td style="BORDER-RIGHT: windowtext 1pt solid; PADDING-RIGHT: 2.85pt; BORDER-TOP: #ece9d8; PADDING-LEFT: 2.85pt; PADDING-BOTTOM: 0cm; BORDER-LEFT: #ece9d8; PADDING-TOP: 0cm; BORDER-BOTTOM: windowtext 1pt solid" width="12%">
<p align="center">4 балл</p></td></tr>
<tr>
<td style="BORDER-RIGHT: windowtext 1pt solid; PADDING-RIGHT: 2.85pt; BORDER-TOP: #ece9d8; PADDING-LEFT: 2.85pt; PADDING-BOTTOM: 0cm; BORDER-LEFT: #ece9d8; PADDING-TOP: 0cm; BORDER-BOTTOM: windowtext 1pt solid" width="23%">
<p align="center">кучли шўрланган (1 дан юқори)</p></td>
<td style="BORDER-RIGHT: windowtext 1pt solid; PADDING-RIGHT: 2.85pt; BORDER-TOP: #ece9d8; PADDING-LEFT: 2.85pt; PADDING-BOTTOM: 0cm; BORDER-LEFT: #ece9d8; PADDING-TOP: 0cm; BORDER-BOTTOM: windowtext 1pt solid" width="12%">
<p align="center">0 балл</p></td></tr>
<tr>
<td style="BORDER-RIGHT: windowtext 1pt solid; PADDING-RIGHT: 2.85pt; BORDER-TOP: #ece9d8; PADDING-LEFT: 2.85pt; PADDING-BOTTOM: 0cm; BORDER-LEFT: windowtext 1pt solid; PADDING-TOP: 0cm; BORDER-BOTTOM: windowtext 1pt solid" width="5%" rowspan="5">
<p align="center"><b>4.</b></p></td>
<td style="BORDER-RIGHT: windowtext 1pt solid; PADDING-RIGHT: 2.85pt; BORDER-TOP: #ece9d8; PADDING-LEFT: 2.85pt; PADDING-BOTTOM: 0cm; BORDER-LEFT: #ece9d8; PADDING-TOP: 0cm; BORDER-BOTTOM: windowtext 1pt solid" width="31%" rowspan="5">
<p align="center">Тупроғи таркибидаги фосфорнинг миқдори</p>
<p align="center">(мг / 1 кг)</p></td>
<td style="BORDER-RIGHT: windowtext 1pt solid; PADDING-RIGHT: 2.85pt; BORDER-TOP: #ece9d8; PADDING-LEFT: 2.85pt; PADDING-BOTTOM: 0cm; BORDER-LEFT: #ece9d8; PADDING-TOP: 0cm; BORDER-BOTTOM: windowtext 1pt solid" width="23%">
<p align="center">жуда кўп</p>
<p align="center">(60 ва ундан кўп)</p></td>
<td style="BORDER-RIGHT: windowtext 1pt solid; PADDING-RIGHT: 2.85pt; BORDER-TOP: #ece9d8; PADDING-LEFT: 2.85pt; PADDING-BOTTOM: 0cm; BORDER-LEFT: #ece9d8; PADDING-TOP: 0cm; BORDER-BOTTOM: windowtext 1pt solid" width="12%">
<p align="center">5 балл</p></td>
<td style="BORDER-RIGHT: windowtext 1pt solid; PADDING-RIGHT: 2.85pt; BORDER-TOP: #ece9d8; PADDING-LEFT: 2.85pt; PADDING-BOTTOM: 0cm; BORDER-LEFT: #ece9d8; PADDING-TOP: 0cm; BORDER-BOTTOM: windowtext 1pt solid" width="26%" rowspan="5">
<p align="center">Тупроқ таркибидаги фосфорнинг мавжуд миқдорини тасдиқловчи маълумотнома</p>
<p align="center">(агрокимёвий хаританома)</p></td></tr>
<tr>
<td style="BORDER-RIGHT: windowtext 1pt solid; PADDING-RIGHT: 2.85pt; BORDER-TOP: #ece9d8; PADDING-LEFT: 2.85pt; PADDING-BOTTOM: 0cm; BORDER-LEFT: #ece9d8; PADDING-TOP: 0cm; BORDER-BOTTOM: windowtext 1pt solid" width="23%">
<p align="center">кўп</p>
<p align="center">(46-60)</p></td>
<td style="BORDER-RIGHT: windowtext 1pt solid; PADDING-RIGHT: 2.85pt; BORDER-TOP: #ece9d8; PADDING-LEFT: 2.85pt; PADDING-BOTTOM: 0cm; BORDER-LEFT: #ece9d8; PADDING-TOP: 0cm; BORDER-BOTTOM: windowtext 1pt solid" width="12%">
<p align="center">4 балл</p></td></tr>
<tr>
<td style="BORDER-RIGHT: windowtext 1pt solid; PADDING-RIGHT: 2.85pt; BORDER-TOP: #ece9d8; PADDING-LEFT: 2.85pt; PADDING-BOTTOM: 0cm; BORDER-LEFT: #ece9d8; PADDING-TOP: 0cm; BORDER-BOTTOM: windowtext 1pt solid" width="23%">
<p align="center">ўртача</p>
<p align="center">(31-45)</p></td>
<td style="BORDER-RIGHT: windowtext 1pt solid; PADDING-RIGHT: 2.85pt; BORDER-TOP: #ece9d8; PADDING-LEFT: 2.85pt; PADDING-BOTTOM: 0cm; BORDER-LEFT: #ece9d8; PADDING-TOP: 0cm; BORDER-BOTTOM: windowtext 1pt solid" width="12%">
<p align="center">3 балл</p></td></tr>
<tr>
<td style="BORDER-RIGHT: windowtext 1pt solid; PADDING-RIGHT: 2.85pt; BORDER-TOP: #ece9d8; PADDING-LEFT: 2.85pt; PADDING-BOTTOM: 0cm; BORDER-LEFT: #ece9d8; PADDING-TOP: 0cm; BORDER-BOTTOM: windowtext 1pt solid" width="23%">
<p align="center">кам</p>
<p align="center">(16-30)</p></td>
<td style="BORDER-RIGHT: windowtext 1pt solid; PADDING-RIGHT: 2.85pt; BORDER-TOP: #ece9d8; PADDING-LEFT: 2.85pt; PADDING-BOTTOM: 0cm; BORDER-LEFT: #ece9d8; PADDING-TOP: 0cm; BORDER-BOTTOM: windowtext 1pt solid" width="12%">
<p align="center">2 балл</p></td></tr>
<tr>
<td style="BORDER-RIGHT: windowtext 1pt solid; PADDING-RIGHT: 2.85pt; BORDER-TOP: #ece9d8; PADDING-LEFT: 2.85pt; PADDING-BOTTOM: 0cm; BORDER-LEFT: #ece9d8; PADDING-TOP: 0cm; BORDER-BOTTOM: windowtext 1pt solid" width="23%">
<p align="center">жуда кам</p>
<p align="center">(0-15)</p></td>
<td style="BORDER-RIGHT: windowtext 1pt solid; PADDING-RIGHT: 2.85pt; BORDER-TOP: #ece9d8; PADDING-LEFT: 2.85pt; PADDING-BOTTOM: 0cm; BORDER-LEFT: #ece9d8; PADDING-TOP: 0cm; BORDER-BOTTOM: windowtext 1pt solid" width="12%">
<p align="center">0 балл</p></td></tr>
<tr>
<td style="BORDER-RIGHT: windowtext 1pt solid; PADDING-RIGHT: 2.85pt; BORDER-TOP: #ece9d8; PADDING-LEFT: 2.85pt; PADDING-BOTTOM: 0cm; BORDER-LEFT: windowtext 1pt solid; PADDING-TOP: 0cm; BORDER-BOTTOM: windowtext 1pt solid" width="5%" rowspan="5">
<p align="center"><b>5.</b></p></td>
<td style="BORDER-RIGHT: windowtext 1pt solid; PADDING-RIGHT: 2.85pt; BORDER-TOP: #ece9d8; PADDING-LEFT: 2.85pt; PADDING-BOTTOM: 0cm; BORDER-LEFT: #ece9d8; PADDING-TOP: 0cm; BORDER-BOTTOM: windowtext 1pt solid" width="31%" rowspan="5">
<p align="center">Тупроғи таркибидаги калийнинг миқдори</p>
<p align="center">(мг / 1 кг)</p></td>
<td style="BORDER-RIGHT: windowtext 1pt solid; PADDING-RIGHT: 2.85pt; BORDER-TOP: #ece9d8; PADDING-LEFT: 2.85pt; PADDING-BOTTOM: 0cm; BORDER-LEFT: #ece9d8; PADDING-TOP: 0cm; BORDER-BOTTOM: windowtext 1pt solid" width="23%">
<p align="center">жуда кўп</p>
<p align="center">(400 ва ундан кўп)</p></td>
<td style="BORDER-RIGHT: windowtext 1pt solid; PADDING-RIGHT: 2.85pt; BORDER-TOP: #ece9d8; PADDING-LEFT: 2.85pt; PADDING-BOTTOM: 0cm; BORDER-LEFT: #ece9d8; PADDING-TOP: 0cm; BORDER-BOTTOM: windowtext 1pt solid" width="12%">
<p align="center">5 балл</p></td>
<td style="BORDER-RIGHT: windowtext 1pt solid; PADDING-RIGHT: 2.85pt; BORDER-TOP: #ece9d8; PADDING-LEFT: 2.85pt; PADDING-BOTTOM: 0cm; BORDER-LEFT: #ece9d8; PADDING-TOP: 0cm; BORDER-BOTTOM: windowtext 1pt solid" width="26%" rowspan="5">
<p align="center">Тупроқ таркибидаги калийнинг мавжуд миқдорини тасдиқловчи маълумотнома</p>
<p align="center">(агрокимёвий хаританома)</p></td></tr>
<tr>
<td style="BORDER-RIGHT: windowtext 1pt solid; PADDING-RIGHT: 2.85pt; BORDER-TOP: #ece9d8; PADDING-LEFT: 2.85pt; PADDING-BOTTOM: 0cm; BORDER-LEFT: #ece9d8; PADDING-TOP: 0cm; BORDER-BOTTOM: windowtext 1pt solid" width="23%">
<p align="center">кўп</p>
<p align="center">(301-400)</p></td>
<td style="BORDER-RIGHT: windowtext 1pt solid; PADDING-RIGHT: 2.85pt; BORDER-TOP: #ece9d8; PADDING-LEFT: 2.85pt; PADDING-BOTTOM: 0cm; BORDER-LEFT: #ece9d8; PADDING-TOP: 0cm; BORDER-BOTTOM: windowtext 1pt solid" width="12%">
<p align="center">4 балл</p></td></tr>
<tr>
<td style="BORDER-RIGHT: windowtext 1pt solid; PADDING-RIGHT: 2.85pt; BORDER-TOP: #ece9d8; PADDING-LEFT: 2.85pt; PADDING-BOTTOM: 0cm; BORDER-LEFT: #ece9d8; PADDING-TOP: 0cm; BORDER-BOTTOM: windowtext 1pt solid" width="23%">
<p align="center">ўртача</p>
<p align="center">(201-300)</p></td>
<td style="BORDER-RIGHT: windowtext 1pt solid; PADDING-RIGHT: 2.85pt; BORDER-TOP: #ece9d8; PADDING-LEFT: 2.85pt; PADDING-BOTTOM: 0cm; BORDER-LEFT: #ece9d8; PADDING-TOP: 0cm; BORDER-BOTTOM: windowtext 1pt solid" width="12%">
<p align="center">3 балл</p></td></tr>
<tr>
<td style="BORDER-RIGHT: windowtext 1pt solid; PADDING-RIGHT: 2.85pt; BORDER-TOP: #ece9d8; PADDING-LEFT: 2.85pt; PADDING-BOTTOM: 0cm; BORDER-LEFT: #ece9d8; PADDING-TOP: 0cm; BORDER-BOTTOM: windowtext 1pt solid" width="23%">
<p align="center">кам</p>
<p align="center">(101-200)</p></td>
<td style="BORDER-RIGHT: windowtext 1pt solid; PADDING-RIGHT: 2.85pt; BORDER-TOP: #ece9d8; PADDING-LEFT: 2.85pt; PADDING-BOTTOM: 0cm; BORDER-LEFT: #ece9d8; PADDING-TOP: 0cm; BORDER-BOTTOM: windowtext 1pt solid" width="12%">
<p align="center">2 балл</p></td></tr>
<tr>
<td style="BORDER-RIGHT: windowtext 1pt solid; PADDING-RIGHT: 2.85pt; BORDER-TOP: #ece9d8; PADDING-LEFT: 2.85pt; PADDING-BOTTOM: 0cm; BORDER-LEFT: #ece9d8; PADDING-TOP: 0cm; BORDER-BOTTOM: windowtext 1pt solid" width="23%">
<p align="center">жуда кам</p>
<p align="center">(0-100)</p></td>
<td style="BORDER-RIGHT: windowtext 1pt solid; PADDING-RIGHT: 2.85pt; BORDER-TOP: #ece9d8; PADDING-LEFT: 2.85pt; PADDING-BOTTOM: 0cm; BORDER-LEFT: #ece9d8; PADDING-TOP: 0cm; BORDER-BOTTOM: windowtext 1pt solid" width="12%">
<p align="center">0 балл</p></td></tr>
<tr>
<td style="BORDER-RIGHT: windowtext 1pt solid; PADDING-RIGHT: 2.85pt; BORDER-TOP: #ece9d8; PADDING-LEFT: 2.85pt; PADDING-BOTTOM: 0cm; BORDER-LEFT: windowtext 1pt solid; PADDING-TOP: 0cm; BORDER-BOTTOM: windowtext 1pt solid" width="5%" rowspan="5">
<p align="center"><b>6.</b></p></td>
<td style="BORDER-RIGHT: windowtext 1pt solid; PADDING-RIGHT: 2.85pt; BORDER-TOP: #ece9d8; PADDING-LEFT: 2.85pt; PADDING-BOTTOM: 0cm; BORDER-LEFT: #ece9d8; PADDING-TOP: 0cm; BORDER-BOTTOM: windowtext 1pt solid" width="31%" rowspan="5">
<p align="center">Тупроғи таркибидаги гумуснинг миқдори</p>
<p align="center">(фоизда)</p></td>
<td style="BORDER-RIGHT: windowtext 1pt solid; PADDING-RIGHT: 2.85pt; BORDER-TOP: #ece9d8; PADDING-LEFT: 2.85pt; PADDING-BOTTOM: 0cm; BORDER-LEFT: #ece9d8; PADDING-TOP: 0cm; BORDER-BOTTOM: windowtext 1pt solid" width="23%">
<p align="center">жуда кўп</p>
<p align="center">(1.61 ва ундан кўп)</p></td>
<td style="BORDER-RIGHT: windowtext 1pt solid; PADDING-RIGHT: 2.85pt; BORDER-TOP: #ece9d8; PADDING-LEFT: 2.85pt; PADDING-BOTTOM: 0cm; BORDER-LEFT: #ece9d8; PADDING-TOP: 0cm; BORDER-BOTTOM: windowtext 1pt solid" width="12%">
<p align="center">5 балл</p></td>
<td style="BORDER-RIGHT: windowtext 1pt solid; PADDING-RIGHT: 2.85pt; BORDER-TOP: #ece9d8; PADDING-LEFT: 2.85pt; PADDING-BOTTOM: 0cm; BORDER-LEFT: #ece9d8; PADDING-TOP: 0cm; BORDER-BOTTOM: windowtext 1pt solid" width="26%" rowspan="5">
<p align="center">Тупроқ таркибидаги гумуснинг мавжуд миқдорини тасдиқловчи маълумотнома</p>
<p align="center">(агрокимёвий хаританома)</p></td></tr>
<tr>
<td style="BORDER-RIGHT: windowtext 1pt solid; PADDING-RIGHT: 2.85pt; BORDER-TOP: #ece9d8; PADDING-LEFT: 2.85pt; PADDING-BOTTOM: 0cm; BORDER-LEFT: #ece9d8; PADDING-TOP: 0cm; BORDER-BOTTOM: windowtext 1pt solid" width="23%">
<p align="center">кўп</p>
<p align="center">(1.21-.160)</p></td>
<td style="BORDER-RIGHT: windowtext 1pt solid; PADDING-RIGHT: 2.85pt; BORDER-TOP: #ece9d8; PADDING-LEFT: 2.85pt; PADDING-BOTTOM: 0cm; BORDER-LEFT: #ece9d8; PADDING-TOP: 0cm; BORDER-BOTTOM: windowtext 1pt solid" width="12%">
<p align="center">4 балл</p></td></tr>
<tr>
<td style="BORDER-RIGHT: windowtext 1pt solid; PADDING-RIGHT: 2.85pt; BORDER-TOP: #ece9d8; PADDING-LEFT: 2.85pt; PADDING-BOTTOM: 0cm; BORDER-LEFT: #ece9d8; PADDING-TOP: 0cm; BORDER-BOTTOM: windowtext 1pt solid" width="23%">
<p align="center">ўртача</p>
<p align="center">(0.81-1.20)</p></td>
<td style="BORDER-RIGHT: windowtext 1pt solid; PADDING-RIGHT: 2.85pt; BORDER-TOP: #ece9d8; PADDING-LEFT: 2.85pt; PADDING-BOTTOM: 0cm; BORDER-LEFT: #ece9d8; PADDING-TOP: 0cm; BORDER-BOTTOM: windowtext 1pt solid" width="12%">
<p align="center">3 балл</p></td></tr>
<tr>
<td style="BORDER-RIGHT: windowtext 1pt solid; PADDING-RIGHT: 2.85pt; BORDER-TOP: #ece9d8; PADDING-LEFT: 2.85pt; PADDING-BOTTOM: 0cm; BORDER-LEFT: #ece9d8; PADDING-TOP: 0cm; BORDER-BOTTOM: windowtext 1pt solid" width="23%">
<p align="center">кам</p>
<p align="center">(0.41-0.80)</p></td>
<td style="BORDER-RIGHT: windowtext 1pt solid; PADDING-RIGHT: 2.85pt; BORDER-TOP: #ece9d8; PADDING-LEFT: 2.85pt; PADDING-BOTTOM: 0cm; BORDER-LEFT: #ece9d8; PADDING-TOP: 0cm; BORDER-BOTTOM: windowtext 1pt solid" width="12%">
<p align="center">2 балл</p></td></tr>
<tr>
<td style="BORDER-RIGHT: windowtext 1pt solid; PADDING-RIGHT: 2.85pt; BORDER-TOP: #ece9d8; PADDING-LEFT: 2.85pt; PADDING-BOTTOM: 0cm; BORDER-LEFT: #ece9d8; PADDING-TOP: 0cm; BORDER-BOTTOM: windowtext 1pt solid" width="23%">
<p align="center">жуда кам</p>
<p align="center">(0-0.40)</p></td>
<td style="BORDER-RIGHT: windowtext 1pt solid; PADDING-RIGHT: 2.85pt; BORDER-TOP: #ece9d8; PADDING-LEFT: 2.85pt; PADDING-BOTTOM: 0cm; BORDER-LEFT: #ece9d8; PADDING-TOP: 0cm; BORDER-BOTTOM: windowtext 1pt solid" width="12%">
<p align="center">0 балл</p></td></tr>
<tr>
<td style="BORDER-RIGHT: windowtext 1pt solid; PADDING-RIGHT: 2.85pt; BORDER-TOP: #ece9d8; PADDING-LEFT: 2.85pt; PADDING-BOTTOM: 0cm; BORDER-LEFT: windowtext 1pt solid; PADDING-TOP: 0cm; BORDER-BOTTOM: windowtext 1pt solid" width="5%" rowspan="4">
<p align="center"><b>7.</b></p></td>
<td style="BORDER-RIGHT: windowtext 1pt solid; PADDING-RIGHT: 2.85pt; BORDER-TOP: #ece9d8; PADDING-LEFT: 2.85pt; PADDING-BOTTOM: 0cm; BORDER-LEFT: #ece9d8; PADDING-TOP: 0cm; BORDER-BOTTOM: windowtext 1pt solid" width="31%" rowspan="4">
<p align="center">Сўнгги 3 йил ичида ғалла майдонлари касалликларга чалинмаганлиги ва зараркунандалар билан зарарланмаганлиги,</p>
<p align="center">шунингдек уларда бегона ўтлар тарқалмаганлиги</p></td>
<td style="BORDER-RIGHT: windowtext 1pt solid; PADDING-RIGHT: 2.85pt; BORDER-TOP: #ece9d8; PADDING-LEFT: 2.85pt; PADDING-BOTTOM: 0cm; BORDER-LEFT: #ece9d8; PADDING-TOP: 0cm; BORDER-BOTTOM: windowtext 1pt solid" width="23%">
<p align="center">сўнгги 3 йилда кузатилмаган</p></td>
<td style="BORDER-RIGHT: windowtext 1pt solid; PADDING-RIGHT: 2.85pt; BORDER-TOP: #ece9d8; PADDING-LEFT: 2.85pt; PADDING-BOTTOM: 0cm; BORDER-LEFT: #ece9d8; PADDING-TOP: 0cm; BORDER-BOTTOM: windowtext 1pt solid" width="12%">
<p align="center">10 балл</p></td>
<td style="BORDER-RIGHT: windowtext 1pt solid; PADDING-RIGHT: 2.85pt; BORDER-TOP: #ece9d8; PADDING-LEFT: 2.85pt; PADDING-BOTTOM: 0cm; BORDER-LEFT: #ece9d8; PADDING-TOP: 0cm; BORDER-BOTTOM: windowtext 1pt solid" width="26%" rowspan="4">
<p align="center">«Агрокимёҳимоя» ҳудудий акциядорлик жамиятининг туман (шаҳар) филиали маълумотномаси</p></td></tr>
<tr>
<td style="BORDER-RIGHT: windowtext 1pt solid; PADDING-RIGHT: 2.85pt; BORDER-TOP: #ece9d8; PADDING-LEFT: 2.85pt; PADDING-BOTTOM: 0cm; BORDER-LEFT: #ece9d8; PADDING-TOP: 0cm; BORDER-BOTTOM: windowtext 1pt solid" width="23%">
<p align="center">сўнгги 2 йилда кузатилмаган</p></td>
<td style="BORDER-RIGHT: windowtext 1pt solid; PADDING-RIGHT: 2.85pt; BORDER-TOP: #ece9d8; PADDING-LEFT: 2.85pt; PADDING-BOTTOM: 0cm; BORDER-LEFT: #ece9d8; PADDING-TOP: 0cm; BORDER-BOTTOM: windowtext 1pt solid" width="12%">
<p align="center">5 балл</p></td></tr>
<tr>
<td style="BORDER-RIGHT: windowtext 1pt solid; PADDING-RIGHT: 2.85pt; BORDER-TOP: #ece9d8; PADDING-LEFT: 2.85pt; PADDING-BOTTOM: 0cm; BORDER-LEFT: #ece9d8; PADDING-TOP: 0cm; BORDER-BOTTOM: windowtext 1pt solid" width="23%">
<p align="center">сўнгги 1 йил давомида кузатилган</p></td>
<td style="BORDER-RIGHT: windowtext 1pt solid; PADDING-RIGHT: 2.85pt; BORDER-TOP: #ece9d8; PADDING-LEFT: 2.85pt; PADDING-BOTTOM: 0cm; BORDER-LEFT: #ece9d8; PADDING-TOP: 0cm; BORDER-BOTTOM: windowtext 1pt solid" width="12%">
<p align="center">1 балл</p></td></tr>
<tr>
<td style="BORDER-RIGHT: windowtext 1pt solid; PADDING-RIGHT: 2.85pt; BORDER-TOP: #ece9d8; PADDING-LEFT: 2.85pt; PADDING-BOTTOM: 0cm; BORDER-LEFT: #ece9d8; PADDING-TOP: 0cm; BORDER-BOTTOM: windowtext 1pt solid" width="23%">
<p align="center">сўнгги 3 йил давомида кузатилган</p></td>
<td style="BORDER-RIGHT: windowtext 1pt solid; PADDING-RIGHT: 2.85pt; BORDER-TOP: #ece9d8; PADDING-LEFT: 2.85pt; PADDING-BOTTOM: 0cm; BORDER-LEFT: #ece9d8; PADDING-TOP: 0cm; BORDER-BOTTOM: windowtext 1pt solid" width="12%">
<p align="center">0 балл</p></td></tr>
<tr>
<td style="BORDER-RIGHT: windowtext 1pt solid; PADDING-RIGHT: 2.85pt; BORDER-TOP: #ece9d8; PADDING-LEFT: 2.85pt; PADDING-BOTTOM: 0cm; BORDER-LEFT: windowtext 1pt solid; PADDING-TOP: 0cm; BORDER-BOTTOM: windowtext 1pt solid" width="5%" rowspan="6">
<p align="center"><b>8.</b></p></td>
<td style="BORDER-RIGHT: windowtext 1pt solid; PADDING-RIGHT: 2.85pt; BORDER-TOP: #ece9d8; PADDING-LEFT: 2.85pt; PADDING-BOTTOM: 0cm; BORDER-LEFT: #ece9d8; PADDING-TOP: 0cm; BORDER-BOTTOM: windowtext 1pt solid" width="31%" rowspan="6">
<p align="center">Хўжалик раҳбарининг мутахассислиги </p></td>
<td style="BORDER-RIGHT: windowtext 1pt solid; PADDING-RIGHT: 2.85pt; BORDER-TOP: #ece9d8; PADDING-LEFT: 2.85pt; PADDING-BOTTOM: 0cm; BORDER-LEFT: #ece9d8; PADDING-TOP: 0cm; BORDER-BOTTOM: windowtext 1pt solid" width="23%">
<p align="center">уруғчилик бўйича агроном</p></td>
<td style="BORDER-RIGHT: windowtext 1pt solid; PADDING-RIGHT: 2.85pt; BORDER-TOP: #ece9d8; PADDING-LEFT: 2.85pt; PADDING-BOTTOM: 0cm; BORDER-LEFT: #ece9d8; PADDING-TOP: 0cm; BORDER-BOTTOM: windowtext 1pt solid" width="12%">
<p align="center">10 балл</p></td>
<td style="BORDER-RIGHT: windowtext 1pt solid; PADDING-RIGHT: 2.85pt; BORDER-TOP: #ece9d8; PADDING-LEFT: 2.85pt; PADDING-BOTTOM: 0cm; BORDER-LEFT: #ece9d8; PADDING-TOP: 0cm; BORDER-BOTTOM: windowtext 1pt solid" width="26%" rowspan="6">
<p align="center">Маълумоти тўғрисидаги ҳужжат</p></td></tr>
<tr>
<td style="BORDER-RIGHT: windowtext 1pt solid; PADDING-RIGHT: 2.85pt; BORDER-TOP: #ece9d8; PADDING-LEFT: 2.85pt; PADDING-BOTTOM: 0cm; BORDER-LEFT: #ece9d8; PADDING-TOP: 0cm; BORDER-BOTTOM: windowtext 1pt solid" width="23%">
<p align="center">агроном</p></td>
<td style="BORDER-RIGHT: windowtext 1pt solid; PADDING-RIGHT: 2.85pt; BORDER-TOP: #ece9d8; PADDING-LEFT: 2.85pt; PADDING-BOTTOM: 0cm; BORDER-LEFT: #ece9d8; PADDING-TOP: 0cm; BORDER-BOTTOM: windowtext 1pt solid" width="12%">
<p align="center">9 балл</p></td></tr>
<tr>
<td style="BORDER-RIGHT: windowtext 1pt solid; PADDING-RIGHT: 2.85pt; BORDER-TOP: #ece9d8; PADDING-LEFT: 2.85pt; PADDING-BOTTOM: 0cm; BORDER-LEFT: #ece9d8; PADDING-TOP: 0cm; BORDER-BOTTOM: windowtext 1pt solid" width="23%">
<p align="center">иқтисодчи</p></td>
<td style="BORDER-RIGHT: windowtext 1pt solid; PADDING-RIGHT: 2.85pt; BORDER-TOP: #ece9d8; PADDING-LEFT: 2.85pt; PADDING-BOTTOM: 0cm; BORDER-LEFT: #ece9d8; PADDING-TOP: 0cm; BORDER-BOTTOM: windowtext 1pt solid" width="12%">
<p align="center">8 балл</p></td></tr>
<tr>
<td style="BORDER-RIGHT: windowtext 1pt solid; PADDING-RIGHT: 2.85pt; BORDER-TOP: #ece9d8; PADDING-LEFT: 2.85pt; PADDING-BOTTOM: 0cm; BORDER-LEFT: #ece9d8; PADDING-TOP: 0cm; BORDER-BOTTOM: windowtext 1pt solid" width="23%">
<p align="center">ҳуқуқшунос</p></td>
<td style="BORDER-RIGHT: windowtext 1pt solid; PADDING-RIGHT: 2.85pt; BORDER-TOP: #ece9d8; PADDING-LEFT: 2.85pt; PADDING-BOTTOM: 0cm; BORDER-LEFT: #ece9d8; PADDING-TOP: 0cm; BORDER-BOTTOM: windowtext 1pt solid" width="12%">
<p align="center">7 балл</p></td></tr>
<tr>
<td style="BORDER-RIGHT: windowtext 1pt solid; PADDING-RIGHT: 2.85pt; BORDER-TOP: #ece9d8; PADDING-LEFT: 2.85pt; PADDING-BOTTOM: 0cm; BORDER-LEFT: #ece9d8; PADDING-TOP: 0cm; BORDER-BOTTOM: windowtext 1pt solid" width="23%">
<p align="center">инженер, ҳисобчи</p></td>
<td style="BORDER-RIGHT: windowtext 1pt solid; PADDING-RIGHT: 2.85pt; BORDER-TOP: #ece9d8; PADDING-LEFT: 2.85pt; PADDING-BOTTOM: 0cm; BORDER-LEFT: #ece9d8; PADDING-TOP: 0cm; BORDER-BOTTOM: windowtext 1pt solid" width="12%">
<p align="center">5 балл</p></td></tr>
<tr>
<td style="BORDER-RIGHT: windowtext 1pt solid; PADDING-RIGHT: 2.85pt; BORDER-TOP: #ece9d8; PADDING-LEFT: 2.85pt; PADDING-BOTTOM: 0cm; BORDER-LEFT: #ece9d8; PADDING-TOP: 0cm; BORDER-BOTTOM: windowtext 1pt solid" width="23%">
<p align="center">механик, зоотехник, ветеринар<br />ва бошқа мутахассислар</p></td>
<td style="BORDER-RIGHT: windowtext 1pt solid; PADDING-RIGHT: 2.85pt; BORDER-TOP: #ece9d8; PADDING-LEFT: 2.85pt; PADDING-BOTTOM: 0cm; BORDER-LEFT: #ece9d8; PADDING-TOP: 0cm; BORDER-BOTTOM: windowtext 1pt solid" width="12%">
<p align="center">4 балл</p></td></tr>
<tr>
<td style="BORDER-RIGHT: windowtext 1pt solid; PADDING-RIGHT: 2.85pt; BORDER-TOP: #ece9d8; PADDING-LEFT: 2.85pt; PADDING-BOTTOM: 0cm; BORDER-LEFT: windowtext 1pt solid; PADDING-TOP: 0cm; BORDER-BOTTOM: windowtext 1pt solid" valign="top" width="5%" rowspan="2">
<p align="center"><b>9.</b></p></td>
<td style="BORDER-RIGHT: windowtext 1pt solid; PADDING-RIGHT: 2.85pt; BORDER-TOP: #ece9d8; PADDING-LEFT: 2.85pt; PADDING-BOTTOM: 0cm; BORDER-LEFT: #ece9d8; PADDING-TOP: 0cm; BORDER-BOTTOM: windowtext 1pt solid" valign="top" width="31%" rowspan="2">
<p align="center">Хўжалик раҳбарининг маълумоти</p></td>
<td style="BORDER-RIGHT: windowtext 1pt solid; PADDING-RIGHT: 2.85pt; BORDER-TOP: #ece9d8; PADDING-LEFT: 2.85pt; PADDING-BOTTOM: 0cm; BORDER-LEFT: #ece9d8; PADDING-TOP: 0cm; BORDER-BOTTOM: windowtext 1pt solid" width="23%">
<p align="center">олий</p></td>
<td style="BORDER-RIGHT: windowtext 1pt solid; PADDING-RIGHT: 2.85pt; BORDER-TOP: #ece9d8; PADDING-LEFT: 2.85pt; PADDING-BOTTOM: 0cm; BORDER-LEFT: #ece9d8; PADDING-TOP: 0cm; BORDER-BOTTOM: windowtext 1pt solid" width="12%">
<p align="center">10 балл</p></td>
<td style="BORDER-RIGHT: windowtext 1pt solid; PADDING-RIGHT: 2.85pt; BORDER-TOP: #ece9d8; PADDING-LEFT: 2.85pt; PADDING-BOTTOM: 0cm; BORDER-LEFT: #ece9d8; PADDING-TOP: 0cm; BORDER-BOTTOM: windowtext 1pt solid" valign="top" width="26%" rowspan="2">
<p align="center">Маълумоти тўғрисидаги ҳужжат</p></td></tr>
<tr>
<td style="BORDER-RIGHT: windowtext 1pt solid; PADDING-RIGHT: 2.85pt; BORDER-TOP: #ece9d8; PADDING-LEFT: 2.85pt; PADDING-BOTTOM: 0cm; BORDER-LEFT: #ece9d8; PADDING-TOP: 0cm; BORDER-BOTTOM: windowtext 1pt solid" width="23%">
<p align="center">ўрта махсус</p></td>
<td style="BORDER-RIGHT: windowtext 1pt solid; PADDING-RIGHT: 2.85pt; BORDER-TOP: #ece9d8; PADDING-LEFT: 2.85pt; PADDING-BOTTOM: 0cm; BORDER-LEFT: #ece9d8; PADDING-TOP: 0cm; BORDER-BOTTOM: windowtext 1pt solid" width="12%">
<p align="center">5 балл</p></td></tr>
<tr>
<td style="BORDER-RIGHT: windowtext 1pt solid; PADDING-RIGHT: 2.85pt; BORDER-TOP: #ece9d8; PADDING-LEFT: 2.85pt; PADDING-BOTTOM: 0cm; BORDER-LEFT: windowtext 1pt solid; PADDING-TOP: 0cm; BORDER-BOTTOM: windowtext 1pt solid" width="5%" rowspan="5">
<p align="center"><b>10.</b></p></td>
<td style="BORDER-RIGHT: windowtext 1pt solid; PADDING-RIGHT: 2.85pt; BORDER-TOP: #ece9d8; PADDING-LEFT: 2.85pt; PADDING-BOTTOM: 0cm; BORDER-LEFT: #ece9d8; PADDING-TOP: 0cm; BORDER-BOTTOM: windowtext 1pt solid" width="31%" rowspan="5">
<p align="center">Хўжалик раҳбарининг қишлоқ хўжалиги соҳасидаги иш стажи</p></td>
<td style="BORDER-RIGHT: windowtext 1pt solid; PADDING-RIGHT: 2.85pt; BORDER-TOP: #ece9d8; PADDING-LEFT: 2.85pt; PADDING-BOTTOM: 0cm; BORDER-LEFT: #ece9d8; PADDING-TOP: 0cm; BORDER-BOTTOM: windowtext 1pt solid" width="23%">
<p align="center">15 йил</p>
<p align="center">ва ундан юқори</p></td>
<td style="BORDER-RIGHT: windowtext 1pt solid; PADDING-RIGHT: 2.85pt; BORDER-TOP: #ece9d8; PADDING-LEFT: 2.85pt; PADDING-BOTTOM: 0cm; BORDER-LEFT: #ece9d8; PADDING-TOP: 0cm; BORDER-BOTTOM: windowtext 1pt solid" width="12%">
<p align="center">10 балл</p></td>
<td style="BORDER-RIGHT: windowtext 1pt solid; PADDING-RIGHT: 2.85pt; BORDER-TOP: #ece9d8; PADDING-LEFT: 2.85pt; PADDING-BOTTOM: 0cm; BORDER-LEFT: #ece9d8; PADDING-TOP: 0cm; BORDER-BOTTOM: windowtext 1pt solid" width="26%" rowspan="5">
<p align="center">Меҳнат дафтарчаси</p></td></tr>
<tr>
<td style="BORDER-RIGHT: windowtext 1pt solid; PADDING-RIGHT: 2.85pt; BORDER-TOP: #ece9d8; PADDING-LEFT: 2.85pt; PADDING-BOTTOM: 0cm; BORDER-LEFT: #ece9d8; PADDING-TOP: 0cm; BORDER-BOTTOM: windowtext 1pt solid" width="23%">
<p align="center">10 йилдан</p>
<p align="center">15 йилгача</p></td>
<td style="BORDER-RIGHT: windowtext 1pt solid; PADDING-RIGHT: 2.85pt; BORDER-TOP: #ece9d8; PADDING-LEFT: 2.85pt; PADDING-BOTTOM: 0cm; BORDER-LEFT: #ece9d8; PADDING-TOP: 0cm; BORDER-BOTTOM: windowtext 1pt solid" width="12%">
<p align="center">8 балл</p></td></tr>
<tr>
<td style="BORDER-RIGHT: windowtext 1pt solid; PADDING-RIGHT: 2.85pt; BORDER-TOP: #ece9d8; PADDING-LEFT: 2.85pt; PADDING-BOTTOM: 0cm; BORDER-LEFT: #ece9d8; PADDING-TOP: 0cm; BORDER-BOTTOM: windowtext 1pt solid" width="23%">
<p align="center">5 йилдан</p>
<p align="center">10 йилгача</p></td>
<td style="BORDER-RIGHT: windowtext 1pt solid; PADDING-RIGHT: 2.85pt; BORDER-TOP: #ece9d8; PADDING-LEFT: 2.85pt; PADDING-BOTTOM: 0cm; BORDER-LEFT: #ece9d8; PADDING-TOP: 0cm; BORDER-BOTTOM: windowtext 1pt solid" width="12%">
<p align="center">6 балл</p></td></tr>
<tr>
<td style="BORDER-RIGHT: windowtext 1pt solid; PADDING-RIGHT: 2.85pt; BORDER-TOP: #ece9d8; PADDING-LEFT: 2.85pt; PADDING-BOTTOM: 0cm; BORDER-LEFT: #ece9d8; PADDING-TOP: 0cm; BORDER-BOTTOM: windowtext 1pt solid" width="23%">
<p align="center">3 йилдан</p>
<p align="center">5 йилгача</p></td>
<td style="BORDER-RIGHT: windowtext 1pt solid; PADDING-RIGHT: 2.85pt; BORDER-TOP: #ece9d8; PADDING-LEFT: 2.85pt; PADDING-BOTTOM: 0cm; BORDER-LEFT: #ece9d8; PADDING-TOP: 0cm; BORDER-BOTTOM: windowtext 1pt solid" width="12%">
<p align="center">4 балл</p></td></tr>
<tr>
<td style="BORDER-RIGHT: windowtext 1pt solid; PADDING-RIGHT: 2.85pt; BORDER-TOP: #ece9d8; PADDING-LEFT: 2.85pt; PADDING-BOTTOM: 0cm; BORDER-LEFT: #ece9d8; PADDING-TOP: 0cm; BORDER-BOTTOM: windowtext 1pt solid" width="23%">
<p align="center">1 йилдан</p>
<p align="center">3 йилгача</p></td>
<td style="BORDER-RIGHT: windowtext 1pt solid; PADDING-RIGHT: 2.85pt; BORDER-TOP: #ece9d8; PADDING-LEFT: 2.85pt; PADDING-BOTTOM: 0cm; BORDER-LEFT: #ece9d8; PADDING-TOP: 0cm; BORDER-BOTTOM: windowtext 1pt solid" width="12%">
<p align="center">2 балл</p></td></tr>
<tr>
<td style="BORDER-RIGHT: windowtext 1pt solid; PADDING-RIGHT: 2.85pt; BORDER-TOP: #ece9d8; PADDING-LEFT: 2.85pt; PADDING-BOTTOM: 0cm; BORDER-LEFT: windowtext 1pt solid; PADDING-TOP: 0cm; BORDER-BOTTOM: windowtext 1pt solid" width="5%" rowspan="4">
<p align="center"><b>11.</b></p></td>
<td style="BORDER-RIGHT: windowtext 1pt solid; PADDING-RIGHT: 2.85pt; BORDER-TOP: #ece9d8; PADDING-LEFT: 2.85pt; PADDING-BOTTOM: 0cm; BORDER-LEFT: #ece9d8; PADDING-TOP: 0cm; BORDER-BOTTOM: windowtext 1pt solid" width="31%" rowspan="4">
<p align="center">Талабгорнинг банк ҳисобварағидаги мажбуриятлардан ҳоли бўлган пул маблағлари</p></td>
<td style="BORDER-RIGHT: windowtext 1pt solid; PADDING-RIGHT: 2.85pt; BORDER-TOP: #ece9d8; PADDING-LEFT: 2.85pt; PADDING-BOTTOM: 0cm; BORDER-LEFT: #ece9d8; PADDING-TOP: 0cm; BORDER-BOTTOM: windowtext 1pt solid" width="23%">
<p align="center">энг кам иш ҳақининг</p>
<p align="center">200 баробари</p>
<p align="center">ва ундан юқори миқдорда</p></td>
<td style="BORDER-RIGHT: windowtext 1pt solid; PADDING-RIGHT: 2.85pt; BORDER-TOP: #ece9d8; PADDING-LEFT: 2.85pt; PADDING-BOTTOM: 0cm; BORDER-LEFT: #ece9d8; PADDING-TOP: 0cm; BORDER-BOTTOM: windowtext 1pt solid" width="12%">
<p align="center">10 балл</p></td>
<td style="BORDER-RIGHT: windowtext 1pt solid; PADDING-RIGHT: 2.85pt; BORDER-TOP: #ece9d8; PADDING-LEFT: 2.85pt; PADDING-BOTTOM: 0cm; BORDER-LEFT: #ece9d8; PADDING-TOP: 0cm; BORDER-BOTTOM: windowtext 1pt solid" width="26%" rowspan="4">
<p align="center">Банк томонидан берилган маълумотнома</p></td></tr>
<tr>
<td style="BORDER-RIGHT: windowtext 1pt solid; PADDING-RIGHT: 2.85pt; BORDER-TOP: #ece9d8; PADDING-LEFT: 2.85pt; PADDING-BOTTOM: 0cm; BORDER-LEFT: #ece9d8; PADDING-TOP: 0cm; BORDER-BOTTOM: windowtext 1pt solid" width="23%">
<p align="center">энг кам иш ҳақининг</p>
<p align="center">150 баробаридан 200 баробаригача миқдорда</p></td>
<td style="BORDER-RIGHT: windowtext 1pt solid; PADDING-RIGHT: 2.85pt; BORDER-TOP: #ece9d8; PADDING-LEFT: 2.85pt; PADDING-BOTTOM: 0cm; BORDER-LEFT: #ece9d8; PADDING-TOP: 0cm; BORDER-BOTTOM: windowtext 1pt solid" width="12%">
<p align="center">8 балл</p></td></tr>
<tr>
<td style="BORDER-RIGHT: windowtext 1pt solid; PADDING-RIGHT: 2.85pt; BORDER-TOP: #ece9d8; PADDING-LEFT: 2.85pt; PADDING-BOTTOM: 0cm; BORDER-LEFT: #ece9d8; PADDING-TOP: 0cm; BORDER-BOTTOM: windowtext 1pt solid" width="23%">
<p align="center">энг кам иш ҳақининг</p>
<p align="center">100 баробаридан 150 баробаригача миқдорда</p></td>
<td style="BORDER-RIGHT: windowtext 1pt solid; PADDING-RIGHT: 2.85pt; BORDER-TOP: #ece9d8; PADDING-LEFT: 2.85pt; PADDING-BOTTOM: 0cm; BORDER-LEFT: #ece9d8; PADDING-TOP: 0cm; BORDER-BOTTOM: windowtext 1pt solid" width="12%">
<p align="center">6 балл</p></td></tr>
<tr>
<td style="BORDER-RIGHT: windowtext 1pt solid; PADDING-RIGHT: 2.85pt; BORDER-TOP: #ece9d8; PADDING-LEFT: 2.85pt; PADDING-BOTTOM: 0cm; BORDER-LEFT: #ece9d8; PADDING-TOP: 0cm; BORDER-BOTTOM: windowtext 1pt solid" width="23%">
<p align="center">энг кам иш ҳақининг</p>
<p align="center">100 баробаридан кам бўлса</p></td>
<td style="BORDER-RIGHT: windowtext 1pt solid; PADDING-RIGHT: 2.85pt; BORDER-TOP: #ece9d8; PADDING-LEFT: 2.85pt; PADDING-BOTTOM: 0cm; BORDER-LEFT: #ece9d8; PADDING-TOP: 0cm; BORDER-BOTTOM: windowtext 1pt solid" width="12%">
<p align="center">4 балл</p></td></tr>
<tr>
<td style="BORDER-RIGHT: windowtext 1pt solid; PADDING-RIGHT: 2.85pt; BORDER-TOP: #ece9d8; PADDING-LEFT: 2.85pt; PADDING-BOTTOM: 0cm; BORDER-LEFT: windowtext 1pt solid; PADDING-TOP: 0cm; BORDER-BOTTOM: windowtext 1pt solid" width="5%" rowspan="5">
<p align="center"><b>12.</b></p></td>
<td style="BORDER-RIGHT: windowtext 1pt solid; PADDING-RIGHT: 2.85pt; BORDER-TOP: #ece9d8; PADDING-LEFT: 2.85pt; PADDING-BOTTOM: 0cm; BORDER-LEFT: #ece9d8; PADDING-TOP: 0cm; BORDER-BOTTOM: windowtext 1pt solid" width="31%" rowspan="5">
<p align="center">Талабгорнинг техника воситалари билан таъминланганлиги</p></td>
<td style="BORDER-RIGHT: windowtext 1pt solid; PADDING-RIGHT: 2.85pt; BORDER-TOP: #ece9d8; PADDING-LEFT: 2.85pt; PADDING-BOTTOM: 0cm; BORDER-LEFT: #ece9d8; PADDING-TOP: 0cm; BORDER-BOTTOM: windowtext 1pt solid" width="23%">
<p align="center">ҳайдов трактори</p></td>
<td style="BORDER-RIGHT: windowtext 1pt solid; PADDING-RIGHT: 2.85pt; BORDER-TOP: #ece9d8; PADDING-LEFT: 2.85pt; PADDING-BOTTOM: 0cm; BORDER-LEFT: #ece9d8; PADDING-TOP: 0cm; BORDER-BOTTOM: windowtext 1pt solid" width="12%">
<p align="center">2 балл</p></td>
<td style="BORDER-RIGHT: windowtext 1pt solid; PADDING-RIGHT: 2.85pt; BORDER-TOP: #ece9d8; PADDING-LEFT: 2.85pt; PADDING-BOTTOM: 0cm; BORDER-LEFT: #ece9d8; PADDING-TOP: 0cm; BORDER-BOTTOM: windowtext 1pt solid" width="26%" rowspan="5">
<p align="center">Техника воситалари техник паспорти, «Давтехназорат» инспекцияси маълумотномаси</p></td></tr>
<tr>
<td style="BORDER-RIGHT: windowtext 1pt solid; PADDING-RIGHT: 2.85pt; BORDER-TOP: #ece9d8; PADDING-LEFT: 2.85pt; PADDING-BOTTOM: 0cm; BORDER-LEFT: #ece9d8; PADDING-TOP: 0cm; BORDER-BOTTOM: windowtext 1pt solid" width="23%">
<p align="center">ғалла экиш сеялка (мосламаси) </p></td>
<td style="BORDER-RIGHT: windowtext 1pt solid; PADDING-RIGHT: 2.85pt; BORDER-TOP: #ece9d8; PADDING-LEFT: 2.85pt; PADDING-BOTTOM: 0cm; BORDER-LEFT: #ece9d8; PADDING-TOP: 0cm; BORDER-BOTTOM: windowtext 1pt solid" width="12%">
<p align="center">2 балл</p></td></tr>
<tr>
<td style="BORDER-RIGHT: windowtext 1pt solid; PADDING-RIGHT: 2.85pt; BORDER-TOP: #ece9d8; PADDING-LEFT: 2.85pt; PADDING-BOTTOM: 0cm; BORDER-LEFT: #ece9d8; PADDING-TOP: 0cm; BORDER-BOTTOM: windowtext 1pt solid" width="23%">
<p align="center">транспорт трактори</p>
<p align="center">(ОВХ-600)</p>
<p align="center">(2 та тиркама билан)</p></td>
<td style="BORDER-RIGHT: windowtext 1pt solid; PADDING-RIGHT: 2.85pt; BORDER-TOP: #ece9d8; PADDING-LEFT: 2.85pt; PADDING-BOTTOM: 0cm; BORDER-LEFT: #ece9d8; PADDING-TOP: 0cm; BORDER-BOTTOM: windowtext 1pt solid" width="12%">
<p align="center">2 балл</p></td></tr>
<tr>
<td style="BORDER-RIGHT: windowtext 1pt solid; PADDING-RIGHT: 2.85pt; BORDER-TOP: #ece9d8; PADDING-LEFT: 2.85pt; PADDING-BOTTOM: 0cm; BORDER-LEFT: #ece9d8; PADDING-TOP: 0cm; BORDER-BOTTOM: windowtext 1pt solid" width="23%">
<p align="center">ер текислагич, грейдер, чизел</p>
<p align="center">(мола, борона комплектда)</p></td>
<td style="BORDER-RIGHT: windowtext 1pt solid; PADDING-RIGHT: 2.85pt; BORDER-TOP: #ece9d8; PADDING-LEFT: 2.85pt; PADDING-BOTTOM: 0cm; BORDER-LEFT: #ece9d8; PADDING-TOP: 0cm; BORDER-BOTTOM: windowtext 1pt solid" width="12%">
<p align="center">2 балл</p></td></tr>
<tr>
<td style="BORDER-RIGHT: windowtext 1pt solid; PADDING-RIGHT: 2.85pt; BORDER-TOP: #ece9d8; PADDING-LEFT: 2.85pt; PADDING-BOTTOM: 0cm; BORDER-LEFT: #ece9d8; PADDING-TOP: 0cm; BORDER-BOTTOM: windowtext 1pt solid" width="23%">
<p align="center">ғалла ўриш комбайни</p></td>
<td style="BORDER-RIGHT: windowtext 1pt solid; PADDING-RIGHT: 2.85pt; BORDER-TOP: #ece9d8; PADDING-LEFT: 2.85pt; PADDING-BOTTOM: 0cm; BORDER-LEFT: #ece9d8; PADDING-TOP: 0cm; BORDER-BOTTOM: windowtext 1pt solid" width="12%">
<p align="center">2 балл</p></td></tr>
<tr>
<td style="BORDER-RIGHT: windowtext 1pt solid; PADDING-RIGHT: 2.85pt; BORDER-TOP: #ece9d8; PADDING-LEFT: 2.85pt; PADDING-BOTTOM: 0cm; BORDER-LEFT: windowtext 1pt solid; PADDING-TOP: 0cm; BORDER-BOTTOM: windowtext 1pt solid" width="5%" rowspan="3">
<p align="center"><b>13.</b></p></td>
<td style="BORDER-RIGHT: windowtext 1pt solid; PADDING-RIGHT: 2.85pt; BORDER-TOP: #ece9d8; PADDING-LEFT: 2.85pt; PADDING-BOTTOM: 0cm; BORDER-LEFT: #ece9d8; PADDING-TOP: 0cm; BORDER-BOTTOM: windowtext 1pt solid" width="31%" rowspan="3">
<p align="center">Сўнгги 3 йил ичида ғалла сотиш бўйича тузилган контрактация шартномаларининг бажарилганлиги</p></td>
<td style="BORDER-RIGHT: windowtext 1pt solid; PADDING-RIGHT: 2.85pt; BORDER-TOP: #ece9d8; PADDING-LEFT: 2.85pt; PADDING-BOTTOM: 0cm; BORDER-LEFT: #ece9d8; PADDING-TOP: 0cm; BORDER-BOTTOM: windowtext 1pt solid" width="23%">
<p align="center">сўнгги 3 йил</p>
<p align="center">ичида бажарган</p></td>
<td style="BORDER-RIGHT: windowtext 1pt solid; PADDING-RIGHT: 2.85pt; BORDER-TOP: #ece9d8; PADDING-LEFT: 2.85pt; PADDING-BOTTOM: 0cm; BORDER-LEFT: #ece9d8; PADDING-TOP: 0cm; BORDER-BOTTOM: windowtext 1pt solid" width="12%">
<p align="center">10 балл</p></td>
<td style="BORDER-RIGHT: windowtext 1pt solid; PADDING-RIGHT: 2.85pt; BORDER-TOP: #ece9d8; PADDING-LEFT: 2.85pt; PADDING-BOTTOM: 0cm; BORDER-LEFT: #ece9d8; PADDING-TOP: 0cm; BORDER-BOTTOM: windowtext 1pt solid" width="26%" rowspan="3">
<p align="center">Шартнома тузилган корхона томонидан берилган маълумотнома</p></td></tr>
<tr>
<td style="BORDER-RIGHT: windowtext 1pt solid; PADDING-RIGHT: 2.85pt; BORDER-TOP: #ece9d8; PADDING-LEFT: 2.85pt; PADDING-BOTTOM: 0cm; BORDER-LEFT: #ece9d8; PADDING-TOP: 0cm; BORDER-BOTTOM: windowtext 1pt solid" width="23%">
<p align="center">сўнгги 2 йил</p>
<p align="center">ичида бажарган</p></td>
<td style="BORDER-RIGHT: windowtext 1pt solid; PADDING-RIGHT: 2.85pt; BORDER-TOP: #ece9d8; PADDING-LEFT: 2.85pt; PADDING-BOTTOM: 0cm; BORDER-LEFT: #ece9d8; PADDING-TOP: 0cm; BORDER-BOTTOM: windowtext 1pt solid" width="12%">
<p align="center">6 балл</p></td></tr>
<tr>
<td style="BORDER-RIGHT: windowtext 1pt solid; PADDING-RIGHT: 2.85pt; BORDER-TOP: #ece9d8; PADDING-LEFT: 2.85pt; PADDING-BOTTOM: 0cm; BORDER-LEFT: #ece9d8; PADDING-TOP: 0cm; BORDER-BOTTOM: windowtext 1pt solid" width="23%">
<p align="center">сўнгги 1 йил</p>
<p align="center">ичида бажарган</p></td>
<td style="BORDER-RIGHT: windowtext 1pt solid; PADDING-RIGHT: 2.85pt; BORDER-TOP: #ece9d8; PADDING-LEFT: 2.85pt; PADDING-BOTTOM: 0cm; BORDER-LEFT: #ece9d8; PADDING-TOP: 0cm; BORDER-BOTTOM: windowtext 1pt solid" width="12%">
<p align="center">2 балл</p></td></tr></tbody></table></div></div><div class="CHANGES_ORIGINS"><label id="s1104"></label><div name="3564285" id="3564285">(2-илова Ўзбекистон Республикаси қишлоқ ва сув хўжалиги вазирининг 2018 йил 5 февралдаги 44-сонли <a href="/ru/m/acts/3562996?ONDATE=19.02.2018 00#3564112">буйруғи </a>(рўйхат рақами 1794-3, 19.02.2018 й.) таҳририда — Қонун ҳужжатлари маълумотлари миллий базаси, 19.02.2018 й., 10/18/1794-3/0785-сон)</div></div><div class="BY_DEFAULT"><div name="2904428" id="2904428"></div></div><div class="APPL_BANNER_LANDSCAPE_TITLE"><div name="2904430" id="2904430">Супер элита, элита ва кейинги авлодларга мансуб бошоқли дон экинлари уруғларини етиштириш ҳуқуқига эга бўлиш учун хўжаликлар ўртасида танлов ўтказиш тартиби тўғрисидаги <a href="/ru/m/acts/1341956#1342003">низомга</a><br />3-ИЛОВА </div></div><div class="ACT_TITLE_APPL"><div name="2904432" id="2904432">Танловда иштирок этиш учун қатнашувчиларни танлашда талабгорларнинг лалми ерлари бўйича имкониятларини баҳолайдиган</div></div><div class="ACT_FORM"><div name="2904434" id="2904434"><strong>РЕЙТИНГ БАЛЛАРИ</strong></div></div><div class="BY_DEFAULT"><div name="2904435" id="2904435"></div></div><div class="BY_DEFAULT"><div name="2904436" id="2904436"><table style="BACKGROUND: white; BORDER-COLLAPSE: collapse" cellspacing="0" cellpadding="0" width="100%" border="0">
<tbody>
<tr>
<td style="BORDER-RIGHT: windowtext 1pt solid; PADDING-RIGHT: 2.85pt; BORDER-TOP: windowtext 1pt solid; PADDING-LEFT: 2.85pt; PADDING-BOTTOM: 0cm; BORDER-LEFT: windowtext 1pt solid; PADDING-TOP: 0cm; BORDER-BOTTOM: windowtext 1pt solid" width="5%">
<p align="center"><a name="2903335"><b>Т/р</b></a></p></td>
<td style="BORDER-RIGHT: windowtext 1pt solid; PADDING-RIGHT: 2.85pt; BORDER-TOP: windowtext 1pt solid; PADDING-LEFT: 2.85pt; PADDING-BOTTOM: 0cm; BORDER-LEFT: #ece9d8; PADDING-TOP: 0cm; BORDER-BOTTOM: windowtext 1pt solid" width="31%">
<p align="center"><span><b>Баҳоланадиган имкониятлар (ҳолатлар)</b></span></p></td>
<td style="BORDER-RIGHT: windowtext 1pt solid; PADDING-RIGHT: 2.85pt; BORDER-TOP: windowtext 1pt solid; PADDING-LEFT: 2.85pt; PADDING-BOTTOM: 0cm; BORDER-LEFT: #ece9d8; PADDING-TOP: 0cm; BORDER-BOTTOM: windowtext 1pt solid" width="23%">
<p align="center"><span><b>Рейтинг кўрсаткичлари</b></span></p></td>
<td style="BORDER-RIGHT: windowtext 1pt solid; PADDING-RIGHT: 2.85pt; BORDER-TOP: windowtext 1pt solid; PADDING-LEFT: 2.85pt; PADDING-BOTTOM: 0cm; BORDER-LEFT: #ece9d8; PADDING-TOP: 0cm; BORDER-BOTTOM: windowtext 1pt solid" width="12%">
<p align="center"><span><b>Рейтинг баллар</b></span></p></td>
<td style="BORDER-RIGHT: windowtext 1pt solid; PADDING-RIGHT: 2.85pt; BORDER-TOP: windowtext 1pt solid; PADDING-LEFT: 2.85pt; PADDING-BOTTOM: 0cm; BORDER-LEFT: #ece9d8; PADDING-TOP: 0cm; BORDER-BOTTOM: windowtext 1pt solid" width="27%">
<p align="center"><span><b>Асослаш учун тақдим этилган ҳужжат(лар)</b></span></p></td></tr>
<tr>
<td style="BORDER-RIGHT: windowtext 1pt solid; PADDING-RIGHT: 2.85pt; BORDER-TOP: #ece9d8; PADDING-LEFT: 2.85pt; PADDING-BOTTOM: 0cm; BORDER-LEFT: windowtext 1pt solid; PADDING-TOP: 0cm; BORDER-BOTTOM: windowtext 1pt solid" width="5%" rowspan="3">
<p align="center"><span>1.</span></p></td>
<td style="BORDER-RIGHT: windowtext 1pt solid; PADDING-RIGHT: 2.85pt; BORDER-TOP: #ece9d8; PADDING-LEFT: 2.85pt; PADDING-BOTTOM: 0cm; BORDER-LEFT: #ece9d8; PADDING-TOP: 0cm; BORDER-BOTTOM: windowtext 1pt solid" width="31%" rowspan="3">
<p align="center"><span>Тупроқ унумдорлиги</span></p>
<p align="center"><span>(бонитет балл)</span></p></td>
<td style="BORDER-RIGHT: windowtext 1pt solid; PADDING-RIGHT: 2.85pt; BORDER-TOP: #ece9d8; PADDING-LEFT: 2.85pt; PADDING-BOTTOM: 0cm; BORDER-LEFT: #ece9d8; PADDING-TOP: 0cm; BORDER-BOTTOM: windowtext 1pt solid" width="23%">
<p align="center"><span>40 балл</span></p>
<p align="center"><span>ва ундан юқори</span></p></td>
<td style="BORDER-RIGHT: windowtext 1pt solid; PADDING-RIGHT: 2.85pt; BORDER-TOP: #ece9d8; PADDING-LEFT: 2.85pt; PADDING-BOTTOM: 0cm; BORDER-LEFT: #ece9d8; PADDING-TOP: 0cm; BORDER-BOTTOM: windowtext 1pt solid" width="12%">
<p align="center"><span>10 балл</span></p></td>
<td style="BORDER-RIGHT: windowtext 1pt solid; PADDING-RIGHT: 2.85pt; BORDER-TOP: #ece9d8; PADDING-LEFT: 2.85pt; PADDING-BOTTOM: 0cm; BORDER-LEFT: #ece9d8; PADDING-TOP: 0cm; BORDER-BOTTOM: windowtext 1pt solid" width="27%" rowspan="3">
<p align="center"><span>Туман ер ресурслари ва давлат кадастри бўлими маълумотномаси</span></p></td></tr>
<tr>
<td style="BORDER-RIGHT: windowtext 1pt solid; PADDING-RIGHT: 2.85pt; BORDER-TOP: #ece9d8; PADDING-LEFT: 2.85pt; PADDING-BOTTOM: 0cm; BORDER-LEFT: #ece9d8; PADDING-TOP: 0cm; BORDER-BOTTOM: windowtext 1pt solid" width="23%">
<p align="center"><span>30 баллдан</span></p>
<p align="center"><span>40 баллгача</span></p></td>
<td style="BORDER-RIGHT: windowtext 1pt solid; PADDING-RIGHT: 2.85pt; BORDER-TOP: #ece9d8; PADDING-LEFT: 2.85pt; PADDING-BOTTOM: 0cm; BORDER-LEFT: #ece9d8; PADDING-TOP: 0cm; BORDER-BOTTOM: windowtext 1pt solid" width="12%">
<p align="center"><span>8 балл</span></p></td></tr>
<tr>
<td style="BORDER-RIGHT: windowtext 1pt solid; PADDING-RIGHT: 2.85pt; BORDER-TOP: #ece9d8; PADDING-LEFT: 2.85pt; PADDING-BOTTOM: 0cm; BORDER-LEFT: #ece9d8; PADDING-TOP: 0cm; BORDER-BOTTOM: windowtext 1pt solid" width="23%">
<p align="center"><span>20 баллдан</span></p>
<p align="center"><span>30 баллгача</span></p></td>
<td style="BORDER-RIGHT: windowtext 1pt solid; PADDING-RIGHT: 2.85pt; BORDER-TOP: #ece9d8; PADDING-LEFT: 2.85pt; PADDING-BOTTOM: 0cm; BORDER-LEFT: #ece9d8; PADDING-TOP: 0cm; BORDER-BOTTOM: windowtext 1pt solid" width="12%">
<p align="center"><span>4 балл</span></p></td></tr>
<tr>
<td style="BORDER-RIGHT: windowtext 1pt solid; PADDING-RIGHT: 2.85pt; BORDER-TOP: #ece9d8; PADDING-LEFT: 2.85pt; PADDING-BOTTOM: 0cm; BORDER-LEFT: windowtext 1pt solid; PADDING-TOP: 0cm; BORDER-BOTTOM: windowtext 1pt solid" width="5%" rowspan="6">
<p align="center"><span>2.</span></p></td>
<td style="BORDER-RIGHT: windowtext 1pt solid; PADDING-RIGHT: 2.85pt; BORDER-TOP: #ece9d8; PADDING-LEFT: 2.85pt; PADDING-BOTTOM: 0cm; BORDER-LEFT: #ece9d8; PADDING-TOP: 0cm; BORDER-BOTTOM: windowtext 1pt solid" width="31%" rowspan="6">
<p align="center"><span>Хўжалик раҳбарининг мутахассислиги</span></p></td>
<td style="BORDER-RIGHT: windowtext 1pt solid; PADDING-RIGHT: 2.85pt; BORDER-TOP: #ece9d8; PADDING-LEFT: 2.85pt; PADDING-BOTTOM: 0cm; BORDER-LEFT: #ece9d8; PADDING-TOP: 0cm; BORDER-BOTTOM: windowtext 1pt solid" width="23%">
<p align="center"><span>уруғчилик бўйича агроном</span></p></td>
<td style="BORDER-RIGHT: windowtext 1pt solid; PADDING-RIGHT: 2.85pt; BORDER-TOP: #ece9d8; PADDING-LEFT: 2.85pt; PADDING-BOTTOM: 0cm; BORDER-LEFT: #ece9d8; PADDING-TOP: 0cm; BORDER-BOTTOM: windowtext 1pt solid" width="12%">
<p align="center"><span>10 балл</span></p></td>
<td style="BORDER-RIGHT: windowtext 1pt solid; PADDING-RIGHT: 2.85pt; BORDER-TOP: #ece9d8; PADDING-LEFT: 2.85pt; PADDING-BOTTOM: 0cm; BORDER-LEFT: #ece9d8; PADDING-TOP: 0cm; BORDER-BOTTOM: windowtext 1pt solid" width="27%" rowspan="6">
<p align="center"><span>Маълумоти тўғрисидаги ҳужжат</span></p></td></tr>
<tr>
<td style="BORDER-RIGHT: windowtext 1pt solid; PADDING-RIGHT: 2.85pt; BORDER-TOP: #ece9d8; PADDING-LEFT: 2.85pt; PADDING-BOTTOM: 0cm; BORDER-LEFT: #ece9d8; PADDING-TOP: 0cm; BORDER-BOTTOM: windowtext 1pt solid" width="23%">
<p align="center"><span>агроном</span></p></td>
<td style="BORDER-RIGHT: windowtext 1pt solid; PADDING-RIGHT: 2.85pt; BORDER-TOP: #ece9d8; PADDING-LEFT: 2.85pt; PADDING-BOTTOM: 0cm; BORDER-LEFT: #ece9d8; PADDING-TOP: 0cm; BORDER-BOTTOM: windowtext 1pt solid" width="12%">
<p align="center"><span>9 балл</span></p></td></tr>
<tr>
<td style="BORDER-RIGHT: windowtext 1pt solid; PADDING-RIGHT: 2.85pt; BORDER-TOP: #ece9d8; PADDING-LEFT: 2.85pt; PADDING-BOTTOM: 0cm; BORDER-LEFT: #ece9d8; PADDING-TOP: 0cm; BORDER-BOTTOM: windowtext 1pt solid" width="23%">
<p align="center"><span>иқтисодчи</span></p></td>
<td style="BORDER-RIGHT: windowtext 1pt solid; PADDING-RIGHT: 2.85pt; BORDER-TOP: #ece9d8; PADDING-LEFT: 2.85pt; PADDING-BOTTOM: 0cm; BORDER-LEFT: #ece9d8; PADDING-TOP: 0cm; BORDER-BOTTOM: windowtext 1pt solid" width="12%">
<p align="center"><span>8 балл</span></p></td></tr>
<tr>
<td style="BORDER-RIGHT: windowtext 1pt solid; PADDING-RIGHT: 2.85pt; BORDER-TOP: #ece9d8; PADDING-LEFT: 2.85pt; PADDING-BOTTOM: 0cm; BORDER-LEFT: #ece9d8; PADDING-TOP: 0cm; BORDER-BOTTOM: windowtext 1pt solid" width="23%">
<p align="center"><span>ҳуқуқшунос</span></p></td>
<td style="BORDER-RIGHT: windowtext 1pt solid; PADDING-RIGHT: 2.85pt; BORDER-TOP: #ece9d8; PADDING-LEFT: 2.85pt; PADDING-BOTTOM: 0cm; BORDER-LEFT: #ece9d8; PADDING-TOP: 0cm; BORDER-BOTTOM: windowtext 1pt solid" width="12%">
<p align="center"><span>7 балл</span></p></td></tr>
<tr>
<td style="BORDER-RIGHT: windowtext 1pt solid; PADDING-RIGHT: 2.85pt; BORDER-TOP: #ece9d8; PADDING-LEFT: 2.85pt; PADDING-BOTTOM: 0cm; BORDER-LEFT: #ece9d8; PADDING-TOP: 0cm; BORDER-BOTTOM: windowtext 1pt solid" width="23%">
<p align="center"><span>инженер, ҳисобчи</span></p></td>
<td style="BORDER-RIGHT: windowtext 1pt solid; PADDING-RIGHT: 2.85pt; BORDER-TOP: #ece9d8; PADDING-LEFT: 2.85pt; PADDING-BOTTOM: 0cm; BORDER-LEFT: #ece9d8; PADDING-TOP: 0cm; BORDER-BOTTOM: windowtext 1pt solid" width="12%">
<p align="center"><span>5 балл</span></p></td></tr>
<tr>
<td style="BORDER-RIGHT: windowtext 1pt solid; PADDING-RIGHT: 2.85pt; BORDER-TOP: #ece9d8; PADDING-LEFT: 2.85pt; PADDING-BOTTOM: 0cm; BORDER-LEFT: #ece9d8; PADDING-TOP: 0cm; BORDER-BOTTOM: windowtext 1pt solid" width="23%">
<p align="center"><span>механик, зоотехник, ветеринар<br />ва бошқа мутахассислар</span></p></td>
<td style="BORDER-RIGHT: windowtext 1pt solid; PADDING-RIGHT: 2.85pt; BORDER-TOP: #ece9d8; PADDING-LEFT: 2.85pt; PADDING-BOTTOM: 0cm; BORDER-LEFT: #ece9d8; PADDING-TOP: 0cm; BORDER-BOTTOM: windowtext 1pt solid" width="12%">
<p align="center"><span>4 балл</span></p></td></tr>
<tr>
<td style="BORDER-RIGHT: windowtext 1pt solid; PADDING-RIGHT: 2.85pt; BORDER-TOP: #ece9d8; PADDING-LEFT: 2.85pt; PADDING-BOTTOM: 0cm; BORDER-LEFT: windowtext 1pt solid; PADDING-TOP: 0cm; BORDER-BOTTOM: windowtext 1pt solid" width="5%" rowspan="2">
<p align="center"><span>3.</span></p></td>
<td style="BORDER-RIGHT: windowtext 1pt solid; PADDING-RIGHT: 2.85pt; BORDER-TOP: #ece9d8; PADDING-LEFT: 2.85pt; PADDING-BOTTOM: 0cm; BORDER-LEFT: #ece9d8; PADDING-TOP: 0cm; BORDER-BOTTOM: windowtext 1pt solid" width="31%" rowspan="2">
<p align="center"><span>Хўжалик раҳбарининг маълумоти</span></p></td>
<td style="BORDER-RIGHT: windowtext 1pt solid; PADDING-RIGHT: 2.85pt; BORDER-TOP: #ece9d8; PADDING-LEFT: 2.85pt; PADDING-BOTTOM: 0cm; BORDER-LEFT: #ece9d8; PADDING-TOP: 0cm; BORDER-BOTTOM: windowtext 1pt solid" width="23%">
<p align="center"><span>олий</span></p></td>
<td style="BORDER-RIGHT: windowtext 1pt solid; PADDING-RIGHT: 2.85pt; BORDER-TOP: #ece9d8; PADDING-LEFT: 2.85pt; PADDING-BOTTOM: 0cm; BORDER-LEFT: #ece9d8; PADDING-TOP: 0cm; BORDER-BOTTOM: windowtext 1pt solid" width="12%">
<p align="center"><span>10 балл</span></p></td>
<td style="BORDER-RIGHT: windowtext 1pt solid; PADDING-RIGHT: 2.85pt; BORDER-TOP: #ece9d8; PADDING-LEFT: 2.85pt; PADDING-BOTTOM: 0cm; BORDER-LEFT: #ece9d8; PADDING-TOP: 0cm; BORDER-BOTTOM: windowtext 1pt solid" width="27%" rowspan="2">
<p align="center"><span>Маълумоти тўғрисидаги ҳужжат</span></p></td></tr>
<tr>
<td style="BORDER-RIGHT: windowtext 1pt solid; PADDING-RIGHT: 2.85pt; BORDER-TOP: #ece9d8; PADDING-LEFT: 2.85pt; PADDING-BOTTOM: 0cm; BORDER-LEFT: #ece9d8; PADDING-TOP: 0cm; BORDER-BOTTOM: windowtext 1pt solid" width="23%">
<p align="center"><span>ўрта махсус</span></p></td>
<td style="BORDER-RIGHT: windowtext 1pt solid; PADDING-RIGHT: 2.85pt; BORDER-TOP: #ece9d8; PADDING-LEFT: 2.85pt; PADDING-BOTTOM: 0cm; BORDER-LEFT: #ece9d8; PADDING-TOP: 0cm; BORDER-BOTTOM: windowtext 1pt solid" width="12%">
<p align="center"><span>5 балл</span></p></td></tr>
<tr>
<td style="BORDER-RIGHT: windowtext 1pt solid; PADDING-RIGHT: 2.85pt; BORDER-TOP: #ece9d8; PADDING-LEFT: 2.85pt; PADDING-BOTTOM: 0cm; BORDER-LEFT: windowtext 1pt solid; PADDING-TOP: 0cm; BORDER-BOTTOM: windowtext 1pt solid" width="5%" rowspan="5">
<p align="center"><span>4.</span></p></td>
<td style="BORDER-RIGHT: windowtext 1pt solid; PADDING-RIGHT: 2.85pt; BORDER-TOP: #ece9d8; PADDING-LEFT: 2.85pt; PADDING-BOTTOM: 0cm; BORDER-LEFT: #ece9d8; PADDING-TOP: 0cm; BORDER-BOTTOM: windowtext 1pt solid" width="31%" rowspan="5">
<p align="center"><span>Хўжалик раҳбарининг қишлоқ хўжалиги соҳасидаги иш стажи</span></p></td>
<td style="BORDER-RIGHT: windowtext 1pt solid; PADDING-RIGHT: 2.85pt; BORDER-TOP: #ece9d8; PADDING-LEFT: 2.85pt; PADDING-BOTTOM: 0cm; BORDER-LEFT: #ece9d8; PADDING-TOP: 0cm; BORDER-BOTTOM: windowtext 1pt solid" width="23%">
<p align="center"><span>15 йил</span></p>
<p align="center"><span>ва ундан юқори</span></p></td>
<td style="BORDER-RIGHT: windowtext 1pt solid; PADDING-RIGHT: 2.85pt; BORDER-TOP: #ece9d8; PADDING-LEFT: 2.85pt; PADDING-BOTTOM: 0cm; BORDER-LEFT: #ece9d8; PADDING-TOP: 0cm; BORDER-BOTTOM: windowtext 1pt solid" width="12%">
<p align="center"><span>10 балл</span></p></td>
<td style="BORDER-RIGHT: windowtext 1pt solid; PADDING-RIGHT: 2.85pt; BORDER-TOP: #ece9d8; PADDING-LEFT: 2.85pt; PADDING-BOTTOM: 0cm; BORDER-LEFT: #ece9d8; PADDING-TOP: 0cm; BORDER-BOTTOM: windowtext 1pt solid" width="27%" rowspan="5">
<p align="center"><span>Меҳнат дафтарчаси</span></p></td></tr>
<tr>
<td style="BORDER-RIGHT: windowtext 1pt solid; PADDING-RIGHT: 2.85pt; BORDER-TOP: #ece9d8; PADDING-LEFT: 2.85pt; PADDING-BOTTOM: 0cm; BORDER-LEFT: #ece9d8; PADDING-TOP: 0cm; BORDER-BOTTOM: windowtext 1pt solid" width="23%">
<p align="center"><span>10 йилдан</span></p>
<p align="center"><span>15 йилгача</span></p></td>
<td style="BORDER-RIGHT: windowtext 1pt solid; PADDING-RIGHT: 2.85pt; BORDER-TOP: #ece9d8; PADDING-LEFT: 2.85pt; PADDING-BOTTOM: 0cm; BORDER-LEFT: #ece9d8; PADDING-TOP: 0cm; BORDER-BOTTOM: windowtext 1pt solid" width="12%">
<p align="center"><span>8 балл</span></p></td></tr>
<tr>
<td style="BORDER-RIGHT: windowtext 1pt solid; PADDING-RIGHT: 2.85pt; BORDER-TOP: #ece9d8; PADDING-LEFT: 2.85pt; PADDING-BOTTOM: 0cm; BORDER-LEFT: #ece9d8; PADDING-TOP: 0cm; BORDER-BOTTOM: windowtext 1pt solid" width="23%">
<p align="center"><span>5 йилдан</span></p>
<p align="center"><span>10 йилгача</span></p></td>
<td style="BORDER-RIGHT: windowtext 1pt solid; PADDING-RIGHT: 2.85pt; BORDER-TOP: #ece9d8; PADDING-LEFT: 2.85pt; PADDING-BOTTOM: 0cm; BORDER-LEFT: #ece9d8; PADDING-TOP: 0cm; BORDER-BOTTOM: windowtext 1pt solid" width="12%">
<p align="center"><span>6 балл</span></p></td></tr>
<tr>
<td style="BORDER-RIGHT: windowtext 1pt solid; PADDING-RIGHT: 2.85pt; BORDER-TOP: #ece9d8; PADDING-LEFT: 2.85pt; PADDING-BOTTOM: 0cm; BORDER-LEFT: #ece9d8; PADDING-TOP: 0cm; BORDER-BOTTOM: windowtext 1pt solid" width="23%">
<p align="center"><span>3 йилдан</span></p>
<p align="center"><span>5 йилгача</span></p></td>
<td style="BORDER-RIGHT: windowtext 1pt solid; PADDING-RIGHT: 2.85pt; BORDER-TOP: #ece9d8; PADDING-LEFT: 2.85pt; PADDING-BOTTOM: 0cm; BORDER-LEFT: #ece9d8; PADDING-TOP: 0cm; BORDER-BOTTOM: windowtext 1pt solid" width="12%">
<p align="center"><span>4 балл</span></p></td></tr>
<tr>
<td style="BORDER-RIGHT: windowtext 1pt solid; PADDING-RIGHT: 2.85pt; BORDER-TOP: #ece9d8; PADDING-LEFT: 2.85pt; PADDING-BOTTOM: 0cm; BORDER-LEFT: #ece9d8; PADDING-TOP: 0cm; BORDER-BOTTOM: windowtext 1pt solid" width="23%">
<p align="center"><span>1 йилдан</span></p>
<p align="center"><span>3 йилгача</span></p></td>
<td style="BORDER-RIGHT: windowtext 1pt solid; PADDING-RIGHT: 2.85pt; BORDER-TOP: #ece9d8; PADDING-LEFT: 2.85pt; PADDING-BOTTOM: 0cm; BORDER-LEFT: #ece9d8; PADDING-TOP: 0cm; BORDER-BOTTOM: windowtext 1pt solid" width="12%">
<p align="center"><span>2 балл</span></p></td></tr>
<tr>
<td style="BORDER-RIGHT: windowtext 1pt solid; PADDING-RIGHT: 2.85pt; BORDER-TOP: #ece9d8; PADDING-LEFT: 2.85pt; PADDING-BOTTOM: 0cm; BORDER-LEFT: windowtext 1pt solid; PADDING-TOP: 0cm; BORDER-BOTTOM: windowtext 1pt solid" width="5%" rowspan="4">
<p align="center"><span>5.</span></p></td>
<td style="BORDER-RIGHT: windowtext 1pt solid; PADDING-RIGHT: 2.85pt; BORDER-TOP: #ece9d8; PADDING-LEFT: 2.85pt; PADDING-BOTTOM: 0cm; BORDER-LEFT: #ece9d8; PADDING-TOP: 0cm; BORDER-BOTTOM: windowtext 1pt solid" width="31%" rowspan="4">
<p align="center"><span>Талабгорнинг банк ҳисобварағидаги мажбуриятлардан ҳоли бўлган пул маблағлари</span></p></td>
<td style="BORDER-RIGHT: windowtext 1pt solid; PADDING-RIGHT: 2.85pt; BORDER-TOP: #ece9d8; PADDING-LEFT: 2.85pt; PADDING-BOTTOM: 0cm; BORDER-LEFT: #ece9d8; PADDING-TOP: 0cm; BORDER-BOTTOM: windowtext 1pt solid" width="23%">
<p align="center"><span>энг кам иш ҳақининг</span></p>
<p align="center"><span>150 баробари</span></p>
<p align="center"><span>ва ундан юқори миқдорда</span></p></td>
<td style="BORDER-RIGHT: windowtext 1pt solid; PADDING-RIGHT: 2.85pt; BORDER-TOP: #ece9d8; PADDING-LEFT: 2.85pt; PADDING-BOTTOM: 0cm; BORDER-LEFT: #ece9d8; PADDING-TOP: 0cm; BORDER-BOTTOM: windowtext 1pt solid" width="12%">
<p align="center"><span>10 балл</span></p></td>
<td style="BORDER-RIGHT: windowtext 1pt solid; PADDING-RIGHT: 2.85pt; BORDER-TOP: #ece9d8; PADDING-LEFT: 2.85pt; PADDING-BOTTOM: 0cm; BORDER-LEFT: #ece9d8; PADDING-TOP: 0cm; BORDER-BOTTOM: windowtext 1pt solid" width="27%" rowspan="4">
<p align="center"><span>Банк томонидан берилган маълумотнома</span></p></td></tr>
<tr>
<td style="BORDER-RIGHT: windowtext 1pt solid; PADDING-RIGHT: 2.85pt; BORDER-TOP: #ece9d8; PADDING-LEFT: 2.85pt; PADDING-BOTTOM: 0cm; BORDER-LEFT: #ece9d8; PADDING-TOP: 0cm; BORDER-BOTTOM: windowtext 1pt solid" width="23%">
<p align="center"><span>энг кам иш ҳақининг</span></p>
<p align="center"><span>100 баробаридан 150 баробаригача миқдорда</span></p></td>
<td style="BORDER-RIGHT: windowtext 1pt solid; PADDING-RIGHT: 2.85pt; BORDER-TOP: #ece9d8; PADDING-LEFT: 2.85pt; PADDING-BOTTOM: 0cm; BORDER-LEFT: #ece9d8; PADDING-TOP: 0cm; BORDER-BOTTOM: windowtext 1pt solid" width="12%">
<p align="center"><span>8 балл</span></p></td></tr>
<tr>
<td style="BORDER-RIGHT: windowtext 1pt solid; PADDING-RIGHT: 2.85pt; BORDER-TOP: #ece9d8; PADDING-LEFT: 2.85pt; PADDING-BOTTOM: 0cm; BORDER-LEFT: #ece9d8; PADDING-TOP: 0cm; BORDER-BOTTOM: windowtext 1pt solid" width="23%">
<p align="center"><span>энг кам иш ҳақининг</span></p>
<p align="center"><span>50 баробаридан 100 баробаригача миқдорда</span></p></td>
<td style="BORDER-RIGHT: windowtext 1pt solid; PADDING-RIGHT: 2.85pt; BORDER-TOP: #ece9d8; PADDING-LEFT: 2.85pt; PADDING-BOTTOM: 0cm; BORDER-LEFT: #ece9d8; PADDING-TOP: 0cm; BORDER-BOTTOM: windowtext 1pt solid" width="12%">
<p align="center"><span>6 балл</span></p></td></tr>
<tr>
<td style="BORDER-RIGHT: windowtext 1pt solid; PADDING-RIGHT: 2.85pt; BORDER-TOP: #ece9d8; PADDING-LEFT: 2.85pt; PADDING-BOTTOM: 0cm; BORDER-LEFT: #ece9d8; PADDING-TOP: 0cm; BORDER-BOTTOM: windowtext 1pt solid" width="23%">
<p align="center"><span>энг кам иш ҳақининг</span></p>
<p align="center"><span>50 баробаридан кам бўлса</span></p></td>
<td style="BORDER-RIGHT: windowtext 1pt solid; PADDING-RIGHT: 2.85pt; BORDER-TOP: #ece9d8; PADDING-LEFT: 2.85pt; PADDING-BOTTOM: 0cm; BORDER-LEFT: #ece9d8; PADDING-TOP: 0cm; BORDER-BOTTOM: windowtext 1pt solid" width="12%">
<p align="center"><span>4 балл</span></p></td></tr>
<tr>
<td style="BORDER-RIGHT: windowtext 1pt solid; PADDING-RIGHT: 2.85pt; BORDER-TOP: #ece9d8; PADDING-LEFT: 2.85pt; PADDING-BOTTOM: 0cm; BORDER-LEFT: windowtext 1pt solid; PADDING-TOP: 0cm; BORDER-BOTTOM: windowtext 1pt solid" width="5%" rowspan="5">
<p align="center"><span>6.</span></p></td>
<td style="BORDER-RIGHT: windowtext 1pt solid; PADDING-RIGHT: 2.85pt; BORDER-TOP: #ece9d8; PADDING-LEFT: 2.85pt; PADDING-BOTTOM: 0cm; BORDER-LEFT: #ece9d8; PADDING-TOP: 0cm; BORDER-BOTTOM: windowtext 1pt solid" width="31%" rowspan="5">
<p align="center"><span>Талабгорнинг техника воситалари билан таъминланганлиги</span></p></td>
<td style="BORDER-RIGHT: windowtext 1pt solid; PADDING-RIGHT: 2.85pt; BORDER-TOP: #ece9d8; PADDING-LEFT: 2.85pt; PADDING-BOTTOM: 0cm; BORDER-LEFT: #ece9d8; PADDING-TOP: 0cm; BORDER-BOTTOM: windowtext 1pt solid" width="23%">
<p align="center"><span>ҳайдов трактори</span></p></td>
<td style="BORDER-RIGHT: windowtext 1pt solid; PADDING-RIGHT: 2.85pt; BORDER-TOP: #ece9d8; PADDING-LEFT: 2.85pt; PADDING-BOTTOM: 0cm; BORDER-LEFT: #ece9d8; PADDING-TOP: 0cm; BORDER-BOTTOM: windowtext 1pt solid" width="12%">
<p align="center"><span>2 балл</span></p></td>
<td style="BORDER-RIGHT: windowtext 1pt solid; PADDING-RIGHT: 2.85pt; BORDER-TOP: #ece9d8; PADDING-LEFT: 2.85pt; PADDING-BOTTOM: 0cm; BORDER-LEFT: #ece9d8; PADDING-TOP: 0cm; BORDER-BOTTOM: windowtext 1pt solid" width="27%" rowspan="5">
<p align="center"><span>Техника воситалари техник паспорти, «Давтехназорат» инспекцияси маълумотномаси</span></p></td></tr>
<tr>
<td style="BORDER-RIGHT: windowtext 1pt solid; PADDING-RIGHT: 2.85pt; BORDER-TOP: #ece9d8; PADDING-LEFT: 2.85pt; PADDING-BOTTOM: 0cm; BORDER-LEFT: #ece9d8; PADDING-TOP: 0cm; BORDER-BOTTOM: windowtext 1pt solid" width="23%">
<p align="center"><span>ғалла экиш сеялка (мосламаси)</span></p></td>
<td style="BORDER-RIGHT: windowtext 1pt solid; PADDING-RIGHT: 2.85pt; BORDER-TOP: #ece9d8; PADDING-LEFT: 2.85pt; PADDING-BOTTOM: 0cm; BORDER-LEFT: #ece9d8; PADDING-TOP: 0cm; BORDER-BOTTOM: windowtext 1pt solid" width="12%">
<p align="center"><span>2 балл</span></p></td></tr>
<tr>
<td style="BORDER-RIGHT: windowtext 1pt solid; PADDING-RIGHT: 2.85pt; BORDER-TOP: #ece9d8; PADDING-LEFT: 2.85pt; PADDING-BOTTOM: 0cm; BORDER-LEFT: #ece9d8; PADDING-TOP: 0cm; BORDER-BOTTOM: windowtext 1pt solid" width="23%">
<p align="center"><span>транспорт трактори</span></p>
<p align="center"><span>(ОВХ-600)</span></p>
<p align="center"><span>(2 та тиркама билан)</span></p></td>
<td style="BORDER-RIGHT: windowtext 1pt solid; PADDING-RIGHT: 2.85pt; BORDER-TOP: #ece9d8; PADDING-LEFT: 2.85pt; PADDING-BOTTOM: 0cm; BORDER-LEFT: #ece9d8; PADDING-TOP: 0cm; BORDER-BOTTOM: windowtext 1pt solid" width="12%">
<p align="center"><span>2 балл</span></p></td></tr>
<tr>
<td style="BORDER-RIGHT: windowtext 1pt solid; PADDING-RIGHT: 2.85pt; BORDER-TOP: #ece9d8; PADDING-LEFT: 2.85pt; PADDING-BOTTOM: 0cm; BORDER-LEFT: #ece9d8; PADDING-TOP: 0cm; BORDER-BOTTOM: windowtext 1pt solid" width="23%">
<p align="center"><span>ер текислагич, грейдер, чизел</span></p>
<p align="center"><span>(мола, борона комплектда)</span></p></td>
<td style="BORDER-RIGHT: windowtext 1pt solid; PADDING-RIGHT: 2.85pt; BORDER-TOP: #ece9d8; PADDING-LEFT: 2.85pt; PADDING-BOTTOM: 0cm; BORDER-LEFT: #ece9d8; PADDING-TOP: 0cm; BORDER-BOTTOM: windowtext 1pt solid" width="12%">
<p align="center"><span>2 балл</span></p></td></tr>
<tr>
<td style="BORDER-RIGHT: windowtext 1pt solid; PADDING-RIGHT: 2.85pt; BORDER-TOP: #ece9d8; PADDING-LEFT: 2.85pt; PADDING-BOTTOM: 0cm; BORDER-LEFT: #ece9d8; PADDING-TOP: 0cm; BORDER-BOTTOM: windowtext 1pt solid" width="23%">
<p align="center"><span>ғалла ўриш комбайни</span></p></td>
<td style="BORDER-RIGHT: windowtext 1pt solid; PADDING-RIGHT: 2.85pt; BORDER-TOP: #ece9d8; PADDING-LEFT: 2.85pt; PADDING-BOTTOM: 0cm; BORDER-LEFT: #ece9d8; PADDING-TOP: 0cm; BORDER-BOTTOM: windowtext 1pt solid" width="12%">
<p align="center"><span>2 балл</span></p></td></tr>
<tr>
<td style="BORDER-RIGHT: windowtext 1pt solid; PADDING-RIGHT: 2.85pt; BORDER-TOP: #ece9d8; PADDING-LEFT: 2.85pt; PADDING-BOTTOM: 0cm; BORDER-LEFT: windowtext 1pt solid; PADDING-TOP: 0cm; BORDER-BOTTOM: windowtext 1pt solid" width="5%" rowspan="3">
<p align="center"><span>7.</span></p></td>
<td style="BORDER-RIGHT: windowtext 1pt solid; PADDING-RIGHT: 2.85pt; BORDER-TOP: #ece9d8; PADDING-LEFT: 2.85pt; PADDING-BOTTOM: 0cm; BORDER-LEFT: #ece9d8; PADDING-TOP: 0cm; BORDER-BOTTOM: windowtext 1pt solid" width="31%" rowspan="3">
<p align="center"><span>Сўнгги 3 йил ичида ғалла сотиш бўйича тузилган контрактация шартномаларининг бажарилганлиги</span></p></td>
<td style="BORDER-RIGHT: windowtext 1pt solid; PADDING-RIGHT: 2.85pt; BORDER-TOP: #ece9d8; PADDING-LEFT: 2.85pt; PADDING-BOTTOM: 0cm; BORDER-LEFT: #ece9d8; PADDING-TOP: 0cm; BORDER-BOTTOM: windowtext 1pt solid" width="23%">
<p align="center"><span>сўнгги 3 йил</span></p>
<p align="center"><span>ичида бажарган</span></p></td>
<td style="BORDER-RIGHT: windowtext 1pt solid; PADDING-RIGHT: 2.85pt; BORDER-TOP: #ece9d8; PADDING-LEFT: 2.85pt; PADDING-BOTTOM: 0cm; BORDER-LEFT: #ece9d8; PADDING-TOP: 0cm; BORDER-BOTTOM: windowtext 1pt solid" width="12%">
<p align="center"><span>10 балл</span></p></td>
<td style="BORDER-RIGHT: windowtext 1pt solid; PADDING-RIGHT: 2.85pt; BORDER-TOP: #ece9d8; PADDING-LEFT: 2.85pt; PADDING-BOTTOM: 0cm; BORDER-LEFT: #ece9d8; PADDING-TOP: 0cm; BORDER-BOTTOM: windowtext 1pt solid" width="27%" rowspan="3">
<p align="center"><span>Шартнома тузилган корхона томонидан берилган маълумотнома</span></p></td></tr>
<tr>
<td style="BORDER-RIGHT: windowtext 1pt solid; PADDING-RIGHT: 2.85pt; BORDER-TOP: #ece9d8; PADDING-LEFT: 2.85pt; PADDING-BOTTOM: 0cm; BORDER-LEFT: #ece9d8; PADDING-TOP: 0cm; BORDER-BOTTOM: windowtext 1pt solid" width="23%">
<p align="center"><span>сўнгги 2 йил</span></p>
<p align="center"><span>ичида бажарган</span></p></td>
<td style="BORDER-RIGHT: windowtext 1pt solid; PADDING-RIGHT: 2.85pt; BORDER-TOP: #ece9d8; PADDING-LEFT: 2.85pt; PADDING-BOTTOM: 0cm; BORDER-LEFT: #ece9d8; PADDING-TOP: 0cm; BORDER-BOTTOM: windowtext 1pt solid" width="12%">
<p align="center"><span>6 балл</span></p></td></tr>
<tr>
<td style="BORDER-RIGHT: windowtext 1pt solid; PADDING-RIGHT: 2.85pt; BORDER-TOP: #ece9d8; PADDING-LEFT: 2.85pt; PADDING-BOTTOM: 0cm; BORDER-LEFT: #ece9d8; PADDING-TOP: 0cm; BORDER-BOTTOM: windowtext 1pt solid" width="23%">
<p align="center"><span>сўнгги 1 йил</span></p>
<p align="center"><span>ичида бажарган</span></p></td>
<td style="BORDER-RIGHT: windowtext 1pt solid; PADDING-RIGHT: 2.85pt; BORDER-TOP: #ece9d8; PADDING-LEFT: 2.85pt; PADDING-BOTTOM: 0cm; BORDER-LEFT: #ece9d8; PADDING-TOP: 0cm; BORDER-BOTTOM: windowtext 1pt solid" width="12%">
<p align="center"><span>2 балл</span></p></td></tr></tbody></table></div></div><div class="CHANGES_ORIGINS"><label id="s1104"></label><div name="2904438" id="2904438">(3-илова Ўзбекистон Республикаси қишлоқ ва сув хўжалиги вазирининг 2016 йил 12 февралдаги 22-сонли <a href="/ru/m/acts/2903199?ONDATE=22.02.2016 00#2903307">буйруғи </a>(рўйхат рақами 1794-2, 17.02.2016 й.) таҳририда — ЎР ҚҲТ, 2016 й., 7-сон, 70-модда)</div></div><div class="BY_DEFAULT"><div name="1342152" id="1342152"></div></div><div class="BY_DEFAULT"><div name="2904403" id="2904403"></div></div><div class="APPL_BANNER_LANDSCAPE_TITLE"><div name="2904404" id="2904404">Супер элита, элита ва кейинги авлодларга мансуб бошоқли дон экинлари уруғларини етиштириш ҳуқуқига эга бўлиш учун хўжаликлар ўртасида танлов ўтказиш тартиби тўғрисидаги <a href="/ru/m/acts/1341956#1342003">низомга </a><br />4-ИЛОВА </div></div><div class="CHANGES_ORIGINS"><label id="s1104"></label><div name="2904409" id="2904409">(4-илованинг белгиси Ўзбекистон Республикаси қишлоқ ва сув хўжалиги вазирининг 2016 йил 12 февралдаги 22-сонли <a href="/ru/m/acts/2903199?ONDATE=22.02.2016 00#2903306">буйруғи </a>(рўйхат рақами 1794-2, 17.02.2016 й.) таҳририда — ЎР ҚҲТ, 2016 й., 7-сон, 70-модда)</div></div><div class="BY_DEFAULT"><div name="1342154" id="1342154"></div></div><div class="TABLE_STD" id="theDefCssID"><div name="1342155" id="1342155" class="tabBox"><table id="theTableID" style="TABLE-LAYOUT: auto; PADDING-RIGHT: 0px; ; PADDING-LEFT: 0px; LEFT: 0px; PADDING-BOTTOM: 0px; WIDTH: 544px; BORDER-TOP-STYLE: none; PADDING-TOP: 0px; BORDER-RIGHT-STYLE: none; BORDER-LEFT-STYLE: none; TOP: 0px; BORDER-BOTTOM-STYLE: none" cellspacing="1" cols="4" border="1">
<colgroup>
<col />
<col />
<col />
<col /></colgroup>
<tbody>
<tr>
<td style="WIDTH: 22px; BORDER-TOP-STYLE: none; BORDER-RIGHT-STYLE: none; BORDER-LEFT-STYLE: none; BORDER-BOTTOM-STYLE: none">‎</td>
<td style="WIDTH: 201px; BORDER-TOP-STYLE: none; BORDER-RIGHT-STYLE: none; BORDER-LEFT-STYLE: none; BORDER-BOTTOM-STYLE: none">‎</td>
<td style="WIDTH: 159px; BORDER-TOP-STYLE: none; BORDER-RIGHT-STYLE: none; BORDER-LEFT-STYLE: none; BORDER-BOTTOM-STYLE: none">‎</td>
<td style="WIDTH: 144px; BORDER-TOP-STYLE: none; BORDER-RIGHT-STYLE: none; BORDER-LEFT-STYLE: none; BORDER-BOTTOM-STYLE: none">‎</td></tr>
<tr>
<td style="BORDER-TOP-STYLE: none; BORDER-RIGHT-STYLE: none; BORDER-LEFT-STYLE: none; BORDER-BOTTOM-STYLE: none" colspan="4">
<p align="center"><strong>‎‎______________ вилояти ______________ тумани <br />‎__________________________ комиссияси йиғилишининг</strong></p></td></tr>
<tr>
<td style="BORDER-TOP-STYLE: none; BORDER-RIGHT-STYLE: none; BORDER-LEFT-STYLE: none; BORDER-BOTTOM-STYLE: none" colspan="3">
<p align="center"><sup><em>‎‎(комиссиянинг номи)</em></sup></p></td>
<td style="BORDER-TOP-STYLE: none; BORDER-RIGHT-STYLE: none; BORDER-LEFT-STYLE: none; BORDER-BOTTOM-STYLE: none">‎</td></tr>
<tr>
<td style="BORDER-TOP-STYLE: none; BORDER-RIGHT-STYLE: none; BORDER-LEFT-STYLE: none; BORDER-BOTTOM-STYLE: none" colspan="4">
<p align="center"><strong>‎‎____________ - СОНЛИ БАЁННОМАСИ</strong></p></td></tr>
<tr>
<td style="BORDER-TOP-STYLE: none; BORDER-RIGHT-STYLE: none; BORDER-LEFT-STYLE: none; BORDER-BOTTOM-STYLE: none" colspan="4">‎‎<br />_____________ вилояти ____________ тумани «___» __________ 200_ йил<br /><br />‎‎Раислик қилди: _____________________________________________________‎‎‎</td></tr>
<tr>
<td style="BORDER-TOP-STYLE: none; BORDER-RIGHT-STYLE: none; BORDER-LEFT-STYLE: none; BORDER-BOTTOM-STYLE: none">‎</td>
<td style="BORDER-TOP-STYLE: none; BORDER-RIGHT-STYLE: none; BORDER-LEFT-STYLE: none; BORDER-BOTTOM-STYLE: none" colspan="3">
<p align="center"><sup><em>‎‎(комиссия раиси Ф.И.Ш.)</em></sup></p></td></tr>
<tr>
<td style="BORDER-TOP-STYLE: none; BORDER-RIGHT-STYLE: none; BORDER-LEFT-STYLE: none; BORDER-BOTTOM-STYLE: none" colspan="4">‎‎Қатнашдилар: ______________________________________________________</td></tr>
<tr>
<td style="BORDER-TOP-STYLE: none; BORDER-RIGHT-STYLE: none; BORDER-LEFT-STYLE: none; BORDER-BOTTOM-STYLE: none">‎</td>
<td style="BORDER-TOP-STYLE: none; BORDER-RIGHT-STYLE: none; BORDER-LEFT-STYLE: none; BORDER-BOTTOM-STYLE: none" colspan="3">
<p align="center"><sup><em>‎‎(комиссия аъзоси Ф.И.Ш.)</em></sup></p></td></tr>
<tr>
<td style="BORDER-TOP-STYLE: none; BORDER-RIGHT-STYLE: none; BORDER-LEFT-STYLE: none; BORDER-BOTTOM-STYLE: none" colspan="4">
<p align="left">‎‎__________________________________________________________________</p></td></tr>
<tr>
<td style="BORDER-TOP-STYLE: none; BORDER-RIGHT-STYLE: none; BORDER-LEFT-STYLE: none; BORDER-BOTTOM-STYLE: none" colspan="4">
<p align="center"><sup><em>‎‎(комиссия аъзоси Ф.И.Ш.)</em></sup></p></td></tr>
<tr>
<td style="BORDER-TOP-STYLE: none; BORDER-RIGHT-STYLE: none; BORDER-LEFT-STYLE: none; BORDER-BOTTOM-STYLE: none" colspan="4">
<p align="center"><strong>‎‎<br />‎‎Кун тартиби<br />‎</strong></p></td></tr>
<tr>
<td style="BORDER-TOP-STYLE: none; BORDER-RIGHT-STYLE: none; BORDER-LEFT-STYLE: none; BORDER-BOTTOM-STYLE: none" colspan="4">_____________________________________________ уруғчилик хўжаликлари ўртасида ўтказилган танлов якунлари тўғрисида. <br />‎Кун тартибидаги масала юзасидан комиссия раиси _______________________<br />‎_________________________________________________ ахбороти эшитилди.<br />‎__________________________________________________________________<br />‎Кун тартибидаги масалани муҳокама қилиб, комиссия</td></tr>
<tr>
<td style="BORDER-TOP-STYLE: none; BORDER-RIGHT-STYLE: none; BORDER-LEFT-STYLE: none; BORDER-BOTTOM-STYLE: none" colspan="4">
<p align="center"><strong>‎‎<br />‎ҚАРОР ҚИЛАДИ:<br />‎</strong></p></td></tr>
<tr>
<td style="BORDER-TOP-STYLE: none; BORDER-RIGHT-STYLE: none; BORDER-LEFT-STYLE: none; BORDER-BOTTOM-STYLE: none" colspan="4">___________________________ уруғчилик хўжаликлари ўртасида ўтказилган танлов якунлари қуйидагича тасдиқлансин. <br />‎</td></tr>
<tr>
<td style="VERTICAL-ALIGN: middle; TEXT-ALIGN: center">Т/р‎</td>
<td style="VERTICAL-ALIGN: middle; TEXT-ALIGN: center">Танлов ғолибларининг номи‎</td>
<td style="VERTICAL-ALIGN: middle; TEXT-ALIGN: center">Майдони, га‎</td>
<td style="VERTICAL-ALIGN: middle; TEXT-ALIGN: center">Тўплаган бали‎</td></tr>
<tr>
<td>
<p align="center">1.‎</p></td>
<td>
<p align="center">‎</p></td>
<td>
<p align="center">‎</p></td>
<td>
<p align="center">‎</p></td></tr>
<tr>
<td>
<p align="center">2.‎</p></td>
<td>
<p align="center">‎</p></td>
<td>
<p align="center">‎</p></td>
<td>
<p align="center">‎</p></td></tr>
<tr>
<td>
<p align="center">3.‎</p></td>
<td>
<p align="center">‎</p></td>
<td>
<p align="center">‎</p></td>
<td>
<p align="center">‎</p></td></tr>
<tr>
<td>
<p align="center">4.‎</p></td>
<td>
<p align="center">‎</p></td>
<td>
<p align="center">‎</p></td>
<td>
<p align="center">‎</p></td></tr>
<tr>
<td>
<p align="center">5.‎</p></td>
<td>‎</td>
<td>‎</td>
<td>‎</td></tr>
<tr>
<td style="BORDER-TOP-STYLE: none; BORDER-RIGHT-STYLE: none; BORDER-LEFT-STYLE: none; BORDER-BOTTOM-STYLE: none">‎</td>
<td style="BORDER-TOP-STYLE: none; BORDER-RIGHT-STYLE: none; BORDER-LEFT-STYLE: none; BORDER-BOTTOM-STYLE: none">‎</td>
<td style="BORDER-TOP-STYLE: none; BORDER-RIGHT-STYLE: none; BORDER-LEFT-STYLE: none; BORDER-BOTTOM-STYLE: none">‎</td>
<td style="BORDER-TOP-STYLE: none; BORDER-RIGHT-STYLE: none; BORDER-LEFT-STYLE: none; BORDER-BOTTOM-STYLE: none">‎</td></tr>
<tr>
<td style="BORDER-TOP-STYLE: none; BORDER-RIGHT-STYLE: none; BORDER-LEFT-STYLE: none; BORDER-BOTTOM-STYLE: none">‎</td>
<td style="BORDER-TOP-STYLE: none; BORDER-RIGHT-STYLE: none; BORDER-LEFT-STYLE: none; BORDER-BOTTOM-STYLE: none">Комиссия раиси‎</td>
<td style="BORDER-TOP-STYLE: none; BORDER-RIGHT-STYLE: none; BORDER-LEFT-STYLE: none; BORDER-BOTTOM-STYLE: none">
<p align="center">__________________‎</p></td>
<td style="BORDER-TOP-STYLE: none; BORDER-RIGHT-STYLE: none; BORDER-LEFT-STYLE: none; BORDER-BOTTOM-STYLE: none">
<p align="center">____________‎</p></td></tr>
<tr>
<td style="BORDER-TOP-STYLE: none; BORDER-RIGHT-STYLE: none; BORDER-LEFT-STYLE: none; BORDER-BOTTOM-STYLE: none">‎</td>
<td style="BORDER-TOP-STYLE: none; BORDER-RIGHT-STYLE: none; BORDER-LEFT-STYLE: none; BORDER-BOTTOM-STYLE: none">‎</td>
<td style="BORDER-TOP-STYLE: none; BORDER-RIGHT-STYLE: none; BORDER-LEFT-STYLE: none; BORDER-BOTTOM-STYLE: none">
<p align="center"><sup><em>(Ф.И.Ш.)‎</em></sup></p></td>
<td style="BORDER-TOP-STYLE: none; BORDER-RIGHT-STYLE: none; BORDER-LEFT-STYLE: none; BORDER-BOTTOM-STYLE: none">
<p align="center"><sup><em>(имзо)‎</em></sup></p></td></tr>
<tr>
<td style="BORDER-TOP-STYLE: none; BORDER-RIGHT-STYLE: none; BORDER-LEFT-STYLE: none; BORDER-BOTTOM-STYLE: none">‎</td>
<td style="BORDER-TOP-STYLE: none; BORDER-RIGHT-STYLE: none; BORDER-LEFT-STYLE: none; BORDER-BOTTOM-STYLE: none">Комиссия аъзолари:‎</td>
<td style="BORDER-TOP-STYLE: none; BORDER-RIGHT-STYLE: none; BORDER-LEFT-STYLE: none; BORDER-BOTTOM-STYLE: none">
<p align="center">__________________‎</p></td>
<td style="BORDER-TOP-STYLE: none; BORDER-RIGHT-STYLE: none; BORDER-LEFT-STYLE: none; BORDER-BOTTOM-STYLE: none">
<p align="center">____________‎</p></td></tr>
<tr>
<td style="BORDER-TOP-STYLE: none; BORDER-RIGHT-STYLE: none; BORDER-LEFT-STYLE: none; BORDER-BOTTOM-STYLE: none">‎</td>
<td style="BORDER-TOP-STYLE: none; BORDER-RIGHT-STYLE: none; BORDER-LEFT-STYLE: none; BORDER-BOTTOM-STYLE: none">‎</td>
<td style="BORDER-TOP-STYLE: none; BORDER-RIGHT-STYLE: none; BORDER-LEFT-STYLE: none; BORDER-BOTTOM-STYLE: none">
<p align="center"><sup><em>(Ф.И.Ш.)‎</em></sup></p></td>
<td style="BORDER-TOP-STYLE: none; BORDER-RIGHT-STYLE: none; BORDER-LEFT-STYLE: none; BORDER-BOTTOM-STYLE: none">
<p align="center"><sup><em>(имзо)‎</em></sup></p></td></tr>
<tr>
<td style="BORDER-TOP-STYLE: none; BORDER-RIGHT-STYLE: none; BORDER-LEFT-STYLE: none; BORDER-BOTTOM-STYLE: none">‎</td>
<td style="BORDER-TOP-STYLE: none; BORDER-RIGHT-STYLE: none; BORDER-LEFT-STYLE: none; BORDER-BOTTOM-STYLE: none">Котиб‎</td>
<td style="BORDER-TOP-STYLE: none; BORDER-RIGHT-STYLE: none; BORDER-LEFT-STYLE: none; BORDER-BOTTOM-STYLE: none">
<p align="center">__________________‎</p></td>
<td style="BORDER-TOP-STYLE: none; BORDER-RIGHT-STYLE: none; BORDER-LEFT-STYLE: none; BORDER-BOTTOM-STYLE: none">
<p align="center">____________‎</p></td></tr>
<tr>
<td style="BORDER-TOP-STYLE: none; BORDER-RIGHT-STYLE: none; BORDER-LEFT-STYLE: none; BORDER-BOTTOM-STYLE: none">‎</td>
<td style="BORDER-TOP-STYLE: none; BORDER-RIGHT-STYLE: none; BORDER-LEFT-STYLE: none; BORDER-BOTTOM-STYLE: none">‎</td>
<td style="BORDER-TOP-STYLE: none; BORDER-RIGHT-STYLE: none; BORDER-LEFT-STYLE: none; BORDER-BOTTOM-STYLE: none">
<p align="center"><sup><em>(Ф.И.Ш.)‎</em></sup></p></td>
<td style="BORDER-TOP-STYLE: none; BORDER-RIGHT-STYLE: none; BORDER-LEFT-STYLE: none; BORDER-BOTTOM-STYLE: none">
<p align="center"><sup><em>(имзо)‎</em></sup></p></td></tr></tbody></table></div></div><div class="PUBLICATION_ORIGIN"><label id="s1089"></label><div name="2904311" id="2904311">(Ўзбекистон Республикаси қонун ҳужжатлари тўплами, 2008 й., 16-сон, 126-модда; 2012 й., 52-сон, 599-модда; 2016 й., 7-сон, 70-модда; Қонун ҳужжатлари маълумотлари миллий базаси, 19.02.2018 й., 10/18/1794-3/0785-сон; <em>Қонунчилик маълумотлари миллий базаси, 28.07.2021 й., 10/21/3313/0724-сон</em>)</div></div></div>
                                </div>
                            </div>
                        </div>
                    </td>
                </tr>
            </table>
        </div>
        <script language="javascript">
       

            //function tryResize() {
            //    try {
            //        document.getElementById("divAct").style.width = (screen.width - 15) + "px";
            //    }
            //    catch (err) {
            //        alert(err);
            //    }
            //}
            //tryResize();
        </script>
    </form>
    <div style="display: none;">
<!-- START WWW.UZ TOP-RATING -->
<SCRIPT language="javascript" type="text/javascript">
		<!--
		top_js = "1.0"; top_r = "id=4079&r=" + escape(document.referrer) + "&pg=" + escape(window.location.href); document.cookie = "smart_top=1; path=/"; top_r += "&c=" + (document.cookie ? "Y" : "N")
		//-->
</SCRIPT>
<SCRIPT language="javascript1.1" type="text/javascript">
<!--
		top_js = "1.1"; top_r += "&j=" + (navigator.javaEnabled() ? "Y" : "N")
//-->
</SCRIPT>
<SCRIPT language="javascript1.2" type="text/javascript">
<!--
		top_js = "1.2"; top_r += "&wh=" + screen.width + 'x' + screen.height + "&px=" + (((navigator.appName.substring(0, 3) == "Mic")) ? screen.colorDepth : screen.pixelDepth)
//-->
</SCRIPT>
<SCRIPT language="javascript1.3" type="text/javascript">
<!--
		top_js = "1.3";
//-->
</SCRIPT>
<SCRIPT language="JavaScript" type="text/javascript">
		<!--
		top_rat = "&col=0C57A6&t=ffffff&p=DD7900"; top_r += "&js=" + top_js + ""; document.write('<a href="https://www.uz/rus/toprating/cmd/stat/id/4079" target="_blank"><img src="https://www.uz/plugins/top_rating/count/cnt.png?' + top_r + top_rat + '" width=88 height=31 border=0 alt="Топ рейтинг www.uz"></a>')//-->
</SCRIPT>
<NOSCRIPT>
		<A href="https://www.uz/rus/toprating/cmd/stat/id/4079" target="_blank">
				<img height="31" src="https://www.uz/plugins/top_rating/count/nojs_cnt.png?id=4079&pg=http%3A//lex.uz&col=0C57A6&t=ffffff&p=DD7900" width="88" border="0" alt="Топ рейтинг www.uz">
		</A>
</NOSCRIPT>
<!-- FINISH WWW.UZ TOP-RATING --></div>
</body>
</html>

<style type="text/css">
    #divCont {
        border: 1px solid red;
        padding: 0;
    }

    div#header {
        position: fixed;
        top: 0;
        width: 100%;
        z-index: 10;
    }

    /*#revision_act {
        background-color: white;
        color: red;
        float: left;
        font-size: 14px;
        font-weight: bold;
        height: 5px;
        margin-left: 0;
        opacity: 0.7;
        padding-bottom: 15px;
        position: fixed;
        text-align: center;
        top: 87px;
        width: 150px;
    }*/

    /*#obsolute_act {
        color: red;
        background-color: white;
        opacity: 0.7;
        position: fixed;
        width: 250px;
        text-align: center;
        height: 46px;
        font-size: 14px;
        font-weight: bold;
        top: 75px;
        padding-top: 10px;
    }*/

    .act_warning { /*mobilega kerakmi*/
        -webkit-animation: color-change 1s infinite;
        -moz-animation: color-change 1s infinite;
        -o-animation: color-change 1s infinite;
        -ms-animation: color-change 1s infinite;
        animation: color-change 1s infinite;
    }
</style>


<style type="text/css">
    TABLE#theTableID {
        display: none;
    }
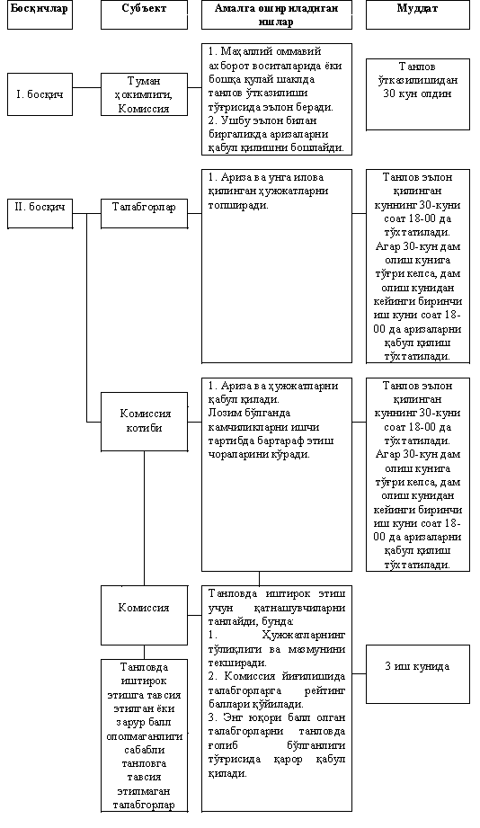
</style>
