

<!DOCTYPE html>
<html lang="uz-Cyrl-UZ">
<head>
    
   <!-- Global site tag (gtag.js) - Google Analytics -->
   <script async src="https://www.googletagmanager.com/gtag/js?id=UA-2682682-1"></script>
   <script>
      window.dataLayer = window.dataLayer || [];
      function gtag() { dataLayer.push(arguments); }
      gtag('js', new Date());
      gtag('config', 'UA-2682682-1');
   </script>

    <title>&nbsp;0193-06-сон 05.01.2006.&nbsp;Нормы радиационной безопасности (НРБ-2006) и основные санитарные правила обеспечения радиационной безопасности (ОСПОРБ-2006)</title>
    
<meta charset="utf-8" />
<meta name="viewport" content="width=device-width, initial-scale=1">
<meta name="google" content="notranslate">
<meta http-equiv="x-ua-compatible" content="ie=edge">
    <link href="/bundle/css2?v=NDIKJDoPuwZPy1MfOJpzXNiwBDUzdtQHywcNyEx0mjI1" rel="stylesheet"/>

    <script src="/bundle/js2?v=TYDc0n5cWRYNF8rf6nCuzSQBVlRXZ0BA8QWlo5AxYqQ1"></script>

    <link href="/bundle/css_actform?v=E2H5feooh50MK4BN8LKb-BQOM3rTyLoFxEQduTgJFcU1" rel="stylesheet"/>

    
    <script type="text/javascript" src="https://www.google.com/recaptcha/api.js?onload=onloadCallback&render=explicit" async defer></script>
    
    <style>
        .lx_revive_adserver.lx_adv_doc {
            margin-left: auto;
            margin-right: auto;
            z-index: 998;
        }

        #lx_gte {
            line-height: 1;
            background-color: #0064A9;
            border: solid 4px #0064A9;
            border-radius: 4px;
            padding: 2px 4px 0;
            margin: 0 0 0 4px;
        }

            #lx_gte img {
                max-width: 19px;
            }

            #lx_gte #google_translate_element {
                margin-bottom: 4px;
            }

            #lx_gte .lx_ot {
                font-size: 12px;
                color: #fff;
                text-align: center;
            }

            #lx_gte .goog-te-gadget-simple {
                width: 100%;
                padding: 2px 1px 2.5px 1px !important;
            }

                #lx_gte .goog-te-gadget-simple > span {
                    display: inline-block;
                }

                    #lx_gte .goog-te-gadget-simple > span > a {
                        display: inline-block;
                        margin: 0;
                    }

                        #lx_gte .goog-te-gadget-simple > span > a > span {
                            display: none;
                        }

                            #lx_gte .goog-te-gadget-simple > span > a > span:first-of-type {
                                display: inline;
                            }

                #lx_gte .goog-te-gadget-simple:hover {
                    color: #fff;
                    background-color: #0064A9;
                }

                    #lx_gte .goog-te-gadget-simple:hover a {
                        color: #fff;
                        background-color: #0064A9;
                        text-decoration: none;
                    }

        .toc_show {
            display: block !important;
        }

            .toc_show .fas {
                display: none !important;
            }

        .toc_hide {
            display: none !important;
        }

        .show_context {
            background-color: #FFFF00;
            color: inherit;
        }

        .act_warning {
            color: red;
        }

        .lx_date_ddm {
            padding: 0 !important;
            width: 170px !important;
            max-height: 70vh !important;
            overflow-y: auto !important;
        }

            .lx_date_ddm > div {
                padding: 5px 20px !important;
                margin-bottom: 0 !important;
            }

        .lx_date_selected {
            cursor: default;
            color: gray;
        }

        .lx_date_link:hover {
            cursor: pointer;
            background: #0064a9;
            color: #fff;
        }

        .docContentHeader__item-link .icon {
            height: 25px;
            fill: #0064a9;
        }

            .docContentHeader__item-link .icon.sm {
                height: 17px;
            }

        .docContentHeader__item-link:hover .icon {
            fill: #fff;
        }

        .lx_text_on_other_lang {
            margin: 12px 0 8px 0;
            padding: 8px 16px;
            color: black;
            background-color: #fef1e1;
            font-style: italic;
        }

        #lxPlayButton {
            display: none;
            position: absolute;
            background-color: #007bff;
            color: white;
            border: none;
            border-radius: 5px;
            cursor: pointer;
            font-size: 18px;
            width: 32px;
            height: 32px;
            margin: 0;
            padding: 0;
            z-index: 1000;
        }

            #lxPlayButton:focus {
                outline: none;
            }

        #divCont a.lx_next_ver {
            margin: 4px 0px;
            padding: 4px 16px;
            color: #ffffff;
            background-color: #0064a9;
            border-radius: 16px;
            display: inline-block;
            text-align: center;
            text-indent: initial;
        }

            #divCont a.lx_next_ver:hover {
                color: #ffffff;
            }

        @media (max-width:720px) {
            #divCont a.lx_next_ver {
                display: block;
            }
        }
    </style>

    
    <style>
        /*#divCont > div {
            overflow-x: auto;
            max-width: calc(100vw - 42px);
            padding-right: 30px;
        }*/

        /* .TABLE_STD, .BY_DEFAULT {
            overflow-y: auto;
            max-height: 80vh;
        }*/
    </style>
    
</head>
<body class="sidebar-show">
    
    <div class="wrapper">
        
        <div id="lx_adv_doc" class="lx_revive_adserver lx_adv_doc">
            

<script type='text/javascript'><!--//<![CDATA[
    var m3_u = (location.protocol == 'https:' ? 'https://rk.adolatmarkazi.uz/www/delivery/ajs.php' : 'http://rk.adolatmarkazi.uz/www/delivery/ajs.php');
    var m3_r = Math.floor(Math.random() * 99999999999);
    if (!document.MAX_used) document.MAX_used = ',';
    document.write("<scr" + "ipt type='text/javascript' src='" + m3_u);
    document.write("?zoneid=6");
    document.write('&amp;cb=' + m3_r);
    if (document.MAX_used != ',') document.write("&amp;exclude=" + document.MAX_used);
    document.write(document.charset ? '&amp;charset=' + document.charset : (document.characterSet ? '&amp;charset=' + document.characterSet : ''));
    document.write("&amp;loc=" + escape(window.location));
    if (document.referrer) document.write("&amp;referer=" + escape(document.referrer));
    if (document.context) document.write("&context=" + escape(document.context));
    document.write("'><\/scr" + "ipt>");
    //]]>--></script>

        </div>
        
        <header id="doc_header" class="header">
            <div class="header__top">
                <div class="container">
                    <div id="lx_lact_num_top">
                        
                        от 05.01.2006 г. № 0193-06
                    </div>
                    <div class="header__top-right">
                        <div class="header__icons">
                            
                            <div class="header__icon">
                                <a target="_blank" href="https://t.me/lexuzofficial"><i class="fab fa-telegram-plane"></i></a>
                            </div>
                            <div class="header__icon">
                                <a target="_blank" href="https://www.facebook.com/minjustuz"><i class="fab fa-facebook-f"></i></a>
                            </div>
                            <div class="header__icon">
                                <a target="_blank" href="https://www.instagram.com/adliyanews/"><i class="fab fa-instagram-square"></i></a>
                            </div>
                            <div class="header__icon">
                                <a target="_blank" href="https://www.youtube.com/c/adliya"><i class="fab fa-youtube"></i></a>
                            </div>
                            
                        </div>
                    </div>
                </div>
            </div>
            <div class="header__bottom">
                <div class="container">
                    <div class="header__bottom-left w-100 skiptranslate">
                        <a class="header__logo" href="/">
                            <img src="/assets/img/lex_uz.svg">
                        </a>
                        <div class="docBody__content ml-4 docBody_top-nav">
                            <div class="docContentHeader">
                                <div class="docContentHeader__item docContentHeader__item-mobile-left docContentHeader__item--action">
                                    
                                    <div class="docContentHeader__item-link lx_border_left" id="docContent__sideBar-show" title="Мундарижани кўрсатиш">
                                        <i class="fas fa-bars"></i>
                                    </div>
                                    <div class="docContentHeader__item-link" onclick="addToFavorite()" title="Танланганларга қўшиш">
                                        <i class="far fa-star"></i>
                                    </div>
                                    
                                    <div class="dropdown docContentHeader__item-link-dropdown">
                                        <div class="docContentHeader__item-link" id="dropdownMenuButton_t" title="Қўшимча модуллар" data-toggle="dropdown" aria-haspopup="true" aria-expanded="false">
                                            <i class="fas fa-tags"></i>
                                        </div>
                                        <div class="dropdown-menu" aria-labelledby="dropdownMenuButton_t" id="t_dropdown_check">
                                            <div class="dropdown-menu__item">
                                                <div class="custom-control custom-checkbox stopProp">
                                                    <input class="custom-control-input" id="t_checkAll" type="checkbox" onclick="clickAllChk('t_checkAll', this,'t','b')">
                                                    <label class="custom-control-label" for="t_checkAll"></label>
                                                </div>
                                                Ҳаммаси
                                            </div>
                                            <div class="dropdown-menu__item">
                                                <div class="custom-control custom-checkbox stopProp">
                                                    <input class="custom-control-input" id="t_3935" type="checkbox" onclick="hideItem(this)" checked="checked">
                                                    <label class="custom-control-label" for="t_3935"></label>
                                                </div>
                                                Кейинги таҳрирга ҳавола
                                            </div>
                                            <div class="dropdown-menu__item">
                                                <div class="custom-control custom-checkbox stopProp">
                                                    <input class="custom-control-input" id="t_3934" type="checkbox" onclick="hideItem(this)" checked="checked">
                                                    <label class="custom-control-label" for="t_3934"></label>
                                                </div>
                                                Олдинги таҳрирга ҳавола
                                            </div>
                                            <div class="dropdown-menu__item">
                                                <div class="custom-control custom-checkbox stopProp">
                                                    <input class="custom-control-input" id="t_5987" type="checkbox" onclick="hideItem(this)">
                                                    <label class="custom-control-label" for="t_5987"></label>
                                                </div>
                                                ҚТУК бўйича индекслаш
                                            </div>
                                            <div class="dropdown-menu__item">
                                                <div class="custom-control custom-checkbox stopProp">
                                                    <input class="custom-control-input" id="t_5988" type="checkbox" onclick="hideItem(this)">
                                                    <label class="custom-control-label" for="t_5988"></label>
                                                </div>
                                                ҚМҚ бўйича индекслаш
                                            </div>
                                            <div class="dropdown-menu__item">
                                                <div class="custom-control custom-checkbox stopProp">
                                                    <input class="custom-control-input" id="t_1104" type="checkbox" onclick="hideItem(this)" checked="checked">
                                                    <label class="custom-control-label" for="t_1104"></label>
                                                </div>
                                                Ўзгартиришлар манбаси
                                            </div>
                                            <div class="dropdown-menu__item">
                                                <div class="custom-control custom-checkbox stopProp">
                                                    <input class="custom-control-input" id="t_1089" type="checkbox" onclick="hideItem(this)" checked="checked">
                                                    <label class="custom-control-label" for="t_1089"></label>
                                                </div>
                                                Расмий нашр манбаси
                                            </div>
                                        </div>
                                    </div>
                                    <div class="docContentHeader__item-link" id="t_btn_lex_comment" onclick="toggleLexComments()" title="Комментарий LexUz">
                                        <i class="fas fa-file-signature"></i>
                                    </div>
                                    
                                    <div class="docContentHeader__item-link" onclick="downloadDoc()" title="MS Word га сақлаш">
                                        <svg class="icon">
                                            <use xlink:href="/assets/img/sprite2.svg#word"></use></svg>
                                    </div>
                                    
                                    <div class="docContentHeader__item-link lx_border_right" onclick="window.print()" title="Чоп этиш">
                                        <i class="fas fa-print"></i>
                                    </div>
                                    
                                </div>
                                <div class="docContentHeader__item docContentHeader__item-mobile-right skiptranslate">
                                    <div class="dropdown">
                                        <div class="docContentHeader__item-link lx_border_both mr-1" data-toggle="dropdown">
                                            <i class="fas fa-eye"></i>
                                        </div>
                                        <div class="dropdown-menu drop_menu">
                                            <h6 class="show_size">Кўриниш</h6>
                                            <div class="row" style="margin-right: 1.3rem; margin-left: 0rem;">
                                                <div class="col-4">
                                                    <button class="btnA btn__left" onclick="toggleTheme('light');">A</button>
                                                </div>
                                                <div class="col-4">
                                                    <button class="btnA btn__cebter" onclick="toggleTheme('grey');">A</button>
                                                </div>
                                                <div class="col-4">
                                                    <button class="btnA btn__reght" onclick="toggleTheme('dark');">A</button>
                                                </div>
                                            </div>
                                        </div>
                                    </div>
                                    <div class="docContentHeader__item-link lx_border_left active" title="На русском">Рус</div><div class="docContentHeader__item-link" onclick="openUrl('/docs/1928674')" title="Ўзбекча">Ўзб</div><div class="docContentHeader__item-link" onclick="openUrl('/docs/-1928674')" title="O'zbekcha">O’zb</div><div class="docContentHeader__item-link-language" onclick="openTwoLang(3)" title="Иккита тилда">Рус|Ўзб</div><div class="docContentHeader__item-link-language lx_border_right" onclick="openTwoLang(4)" title="Иккита тилда">Рус|O‘zb</div>
                                    
                                    <div id="lx_gte">
                                        <div id="google_translate_element"></div>
                                        <div class="lx_ot skiptranslate">ONLINE TRANSLATE</div>
                                    </div>
                                    
                                </div>
                            </div>
                        </div>
                    </div>
                </div>
            </div>
        </header>
        
        <div id="docBody__sidebar" class="docBody__sidebar">
            <div class="docBody__sidebar-em">
                <div class="docNavbar">
                    <div class="docBody__search input-group">
                        <input id="search-criteria" class="form-control" type="text" placeholder="Излаш">
                        <div class="input-group-append">
                            <button class="btn" type="button" onclick="clearSearch();" title="Излашни тозалаш"><i class="fas fa-times"></i></button>
                        </div>
                    </div>
                    
                    <div class="lx_revive_adserver">
                        

<script type='text/javascript'><!--//<![CDATA[
    var m3_u = (location.protocol == 'https:' ? 'https://rk.adolatmarkazi.uz/www/delivery/ajs.php' : 'http://rk.adolatmarkazi.uz/www/delivery/ajs.php');
    var m3_r = Math.floor(Math.random() * 99999999999);
    if (!document.MAX_used) document.MAX_used = ',';
    document.write("<scr" + "ipt type='text/javascript' src='" + m3_u);
    document.write("?zoneid=7");
    document.write('&amp;cb=' + m3_r);
    if (document.MAX_used != ',') document.write("&amp;exclude=" + document.MAX_used);
    document.write(document.charset ? '&amp;charset=' + document.charset : (document.characterSet ? '&amp;charset=' + document.characterSet : ''));
    document.write("&amp;loc=" + escape(window.location));
    if (document.referrer) document.write("&amp;referer=" + escape(document.referrer));
    if (document.context) document.write("&context=" + escape(document.context));
    document.write("'><\/scr" + "ipt>");
    //]]>--></script>

                    </div>
                    <div id="dvToc" style="margin: 5px;"><div class="docNavbar__item"><div class="docNavbar__item-link search-toggle" data-toggle="collapse" href="#collapse1908090" role="button" aria-expanded="false" aria-controls="collapse1908090"><div class="docNavbar__item-link-title"><a class="stopProp search-text" href="javascript:scrollText('1908090');">НОРМЫ РАДИАЦИОННОЙ БЕЗОПАСНОСТИ (НРБ-2006) И ОСНОВНЫЕ САНИТАРНЫЕ ПРАВИЛА ОБЕСПЕЧЕНИЯ РАДИАЦИОННОЙ БЕЗОПАСНОСТИ (ОСПОРБ-2006)</a></div></div></div><div class="docNavbar__item"><div class="docNavbar__item-link search-toggle" data-toggle="collapse" href="#collapse1923957" role="button" aria-expanded="false" aria-controls="collapse1923957"><div class="docNavbar__item-link-title"><a class="stopProp search-text" href="javascript:scrollText('1923957');">Термины и определения </a></div></div></div><div class="docNavbar__item"><div class="docNavbar__item-link search-toggle" data-toggle="collapse" href="#collapse1923955" role="button" aria-expanded="false" aria-controls="collapse1923955"><div class="docNavbar__item-link-title"><a class="stopProp search-text" href="javascript:scrollText('1923955');">НОРМЫ РАДИАЦИОННОЙ БЕЗОПАСНОСТИ (НРБ-2006) </a></div></div></div><div class="docNavbar__item"><div class="docNavbar__item-link search-toggle" data-toggle="collapse" href="#collapse1908092" role="button" aria-expanded="false" aria-controls="collapse1908092"><div class="docNavbar__item-link-title"><a class="stopProp search-text" href="javascript:scrollText('1908092');">1. Область применения</a></div></div></div><div class="docNavbar__item"><div class="docNavbar__item-link search-toggle" data-toggle="collapse" href="#collapse1908107" role="button" aria-expanded="false" aria-controls="collapse1908107"><div class="docNavbar__item-link-title"><a class="stopProp search-text" href="javascript:scrollText('1908107');">2. Общие положения</a></div></div></div><div class="docNavbar__item"><div class="docNavbar__item-link search-toggle" data-toggle="collapse" href="#collapse1919722" role="button" aria-expanded="false" aria-controls="collapse1919722"><div class="docNavbar__item-link-title"><a class="stopProp search-text" href="javascript:scrollText('1919722');">3. Ограничение техногенного облучения в контролируемых условиях</a></div></div></div><div class="docNavbar__item"><div class="docNavbar__item-link search-toggle" data-toggle="collapse" href="#collapse1919895" role="button" aria-expanded="false" aria-controls="collapse1919895"><div class="docNavbar__item-link-title"><a class="stopProp search-text" href="javascript:scrollText('1919895');">4. Защита от природного облучения в производственных условиях</a></div></div></div><div class="docNavbar__item"><div class="docNavbar__item-link search-toggle" data-toggle="collapse" href="#collapse1919919" role="button" aria-expanded="false" aria-controls="collapse1919919"><div class="docNavbar__item-link-title"><a class="stopProp search-text" href="javascript:scrollText('1919919');">5. Ограничение облучения населения</a></div></div></div><div class="docNavbar__item"><div class="docNavbar__item-link search-toggle" data-toggle="collapse" href="#collapse1920156" role="button" aria-expanded="false" aria-controls="collapse1920156"><div class="docNavbar__item-link-title"><a class="stopProp search-text" href="javascript:scrollText('1920156');">6. Ограничение облучения населения в условиях радиационной аварии</a></div></div></div><div class="docNavbar__item"><div class="docNavbar__item-link search-toggle" data-toggle="collapse" href="#collapse1920279" role="button" aria-expanded="false" aria-controls="collapse1920279"><div class="docNavbar__item-link-title"><a class="stopProp search-text" href="javascript:scrollText('1920279');">7. Контроль за выполнением Норм</a></div></div></div><div class="docNavbar__item"><div class="docNavbar__item-link search-toggle" data-toggle="collapse" href="#collapse1920557" role="button" aria-expanded="false" aria-controls="collapse1920557"><div class="docNavbar__item-link-title"><a class="stopProp search-text" href="javascript:scrollText('1920557');">8. Значения допустимых уровней радиационного воздействия</a></div></div></div><div class="docNavbar__item"><div class="docNavbar__item-link search-toggle" data-toggle="collapse" href="#collapse1924429" role="button" aria-expanded="false" aria-controls="collapse1924429"><div class="docNavbar__item-link-title"><a class="stopProp search-text" href="javascript:scrollText('1924429');">Основные санитарные правила обеспечения радиационной безопасности (ОСПОРБ-2006) </a></div></div></div><div class="docNavbar__item"><div class="docNavbar__item-link search-toggle" data-toggle="collapse" href="#collapse1924430" role="button" aria-expanded="false" aria-controls="collapse1924430"><div class="docNavbar__item-link-title"><a class="stopProp search-text" href="javascript:scrollText('1924430');">1. Область применения</a></div></div></div><div class="docNavbar__item"><div class="docNavbar__item-link search-toggle" data-toggle="collapse" href="#collapse1924448" role="button" aria-expanded="false" aria-controls="collapse1924448"><div class="docNavbar__item-link-title"><a class="stopProp search-text" href="javascript:scrollText('1924448');">2. Общие положения</a></div></div></div><div class="docNavbar__item"><div class="docNavbar__item-link search-toggle" data-toggle="collapse" href="#collapse1925253" role="button" aria-expanded="false" aria-controls="collapse1925253"><div class="docNavbar__item-link-title"><a class="stopProp search-text" href="javascript:scrollText('1925253');">ПРАКТИЧЕСКАЯ РЕАЛИЗАЦИЯ ОСНОВНЫХ ПРИНЦИПОВ РАДИАЦИОННОЙ БЕЗОПАСНОСТИ</a></div></div></div><div class="docNavbar__item"><div class="docNavbar__item-link search-toggle" data-toggle="collapse" href="#collapse1925256" role="button" aria-expanded="false" aria-controls="collapse1925256"><div class="docNavbar__item-link-title"><a class="stopProp search-text" href="javascript:scrollText('1925256');">Принцип обоснования</a></div></div></div><div class="docNavbar__item"><div class="docNavbar__item-link search-toggle" data-toggle="collapse" href="#collapse1925355" role="button" aria-expanded="false" aria-controls="collapse1925355"><div class="docNavbar__item-link-title"><a class="stopProp search-text" href="javascript:scrollText('1925355');">Принцип оптимизации</a></div></div></div><div class="docNavbar__item"><div class="docNavbar__item-link search-toggle" data-toggle="collapse" href="#collapse1925472" role="button" aria-expanded="false" aria-controls="collapse1925472"><div class="docNavbar__item-link-title"><a class="stopProp search-text" href="javascript:scrollText('1925472');">УКАЗАНИЯ ПО ЗАПОЛНЕНИЮ ТАБЛИЦЫ САНИТАРНО-ЭПИДЕМИОЛОГИЧЕСКОГО ЗАКЛЮЧЕНИЯ </a></div></div></div><div class="docNavbar__item"><div class="docNavbar__item-link search-toggle" data-toggle="collapse" href="#collapse1927460" role="button" aria-expanded="false" aria-controls="collapse1927460"><div class="docNavbar__item-link-title"><a class="stopProp search-text" href="javascript:scrollText('1927460');">КРИТЕРИИ ВМЕШАТЕЛЬСТВА НА ЗАГРЯЗНЕННЫХ ТЕРРИТОРИЯХ</a></div></div></div></div>
                </div>
            </div>
        </div>
        
        <main class="main" id="doc_main">
            <div class="container">
                <div class="docHeader skiptranslate">
                    <div class="docHeader__col docHeader__col__1">
                        <div class="docHeader__item d-flex">
                            <div class="docHeader__item-label">от 05.01.2006 г. № 0193-06</div>
                        </div>
                    </div>
                    <div class="docHeader__col docHeader__col__2">
                        <div class="docHeader__item d-flex">
                            <div class="docHeader__item-label" style="width: 60%">Кучга кириш санаси</div>
                            <div class="docHeader__item-value d-flex" style="width: 40%;">05.01.2006</div>
                        </div>
                    </div>
                    <div class="docHeader__col docHeader__col__3">
                        <div class="docHeader__item d-flex">
                            <div style="width: 60%">
                                <div class="dropdown mr-3">
                                    <a role="button" data-toggle="dropdown" aria-expanded="false">Қўшимча ахборот</a>
                                    <div class="dropdown-menu" style="margin-top: -2px;">
                                        <a class="dropdown-item" onclick="showAddCard(1)">Асосий реквизитлар</a>
                                        <a class="dropdown-item" onclick="showAddCard(2)">Кодификация</a>
                                        <a class="dropdown-item" onclick="showAddCard(3)">Қайта кўриб чиқилган ҳужжатлар</a>
                                        <a class="dropdown-item" onclick="showAddCard(4)">Ҳужжатни қайта кўриб чиқишга асос бўлган ҳужжатлар</a>
                                        <a class="dropdown-item" onclick="showAddCard(5)">Корреспондентлар</a>
                                        <a class="dropdown-item" onclick="showAddCard(6)">Респондентлар</a>
                                    </div>
                                </div>
                            </div>
                            <div style="width: 40%">
                                <div class="dropdown">
                                    <a role="button" data-toggle="dropdown" aria-expanded="false"><i class="fa fa-share-alt mr-2"></i>Улашиш</a>
                                    <div class="dropdown-menu" style="margin-top: -2px;">
                                        <a class="dropdown-item" target="_blank" href="https://telegram.me/share/url?url=http://lex.uz//docs/1908086 Нормы радиационной безопасности (НРБ-2006) и основные санитарные правила обеспечения радиационной безопасности (ОСПОРБ-2006)">Telegram</a>
                                        <a class="dropdown-item" target="_blank" href="https://www.facebook.com/sharer/sharer.php?u=http://lex.uz//docs/1908086">Facebook</a>
                                        <a class="dropdown-item" target="_blank" href="">Twitter</a>
                                        <a class="dropdown-item" target="_blank" href="">Instagram</a>
                                    </div>
                                </div>
                            </div>
                        </div>
                    </div>
                </div>
            </div>
            <div class="container docBody-container">
                <div class="docBody d-flex">
                    <div class="docBody__content">
                        <div class="docContentHeader docBody_bottom-nav">
                            <div class="docContentHeader__item docContentHeader__item-mobile-left docContentHeader__item--action">
                                <div class="docContentHeader__item-link lx_border_left" onclick="addToFavorite()" title="Танланганларга қўшиш">
                                    <i class="far fa-star"></i>
                                </div>
                                
                                <div class="dropdown docContentHeader__item-link-dropdown">
                                    <div class="docContentHeader__item-link" id="dropdownMenuButton_b" title="Қўшимча модуллар" data-toggle="dropdown" aria-haspopup="true" aria-expanded="false">
                                        <i class="fas fa-tags"></i>
                                    </div>
                                    <div class="dropdown-menu" aria-labelledby="dropdownMenuButton_b" id="b_dropdown_check">
                                        <div class="dropdown-menu__item">
                                            <div class="custom-control custom-checkbox">
                                                <input class="custom-control-input" id="b_checkAll" type="checkbox" onclick="clickAllChk('b_checkAll', this,'b','t')">
                                                <label class="custom-control-label" for="b_checkAll"></label>
                                            </div>
                                            Ҳаммаси
                                        </div>
                                        <div class="dropdown-menu__item">
                                            <div class="custom-control custom-checkbox">
                                                <input class="custom-control-input" id="b_3935" type="checkbox" onclick="hideItem(this)" checked="checked">
                                                <label class="custom-control-label" for="b_3935"></label>
                                            </div>
                                            Кейинги таҳрирга ҳавола
                                        </div>
                                        <div class="dropdown-menu__item">
                                            <div class="custom-control custom-checkbox">
                                                <input class="custom-control-input" id="b_3934" type="checkbox" onclick="hideItem(this)" checked="checked">
                                                <label class="custom-control-label" for="b_3934"></label>
                                            </div>
                                            Олдинги таҳрирга ҳавола
                                        </div>
                                        <div class="dropdown-menu__item">
                                            <div class="custom-control custom-checkbox">
                                                <input class="custom-control-input" id="b_5987" type="checkbox" onclick="hideItem(this)">
                                                <label class="custom-control-label" for="b_5987"></label>
                                            </div>
                                            ҚТУК бўйича индекслаш
                                        </div>
                                        <div class="dropdown-menu__item">
                                            <div class="custom-control custom-checkbox">
                                                <input class="custom-control-input" id="b_5988" type="checkbox" onclick="hideItem(this)">
                                                <label class="custom-control-label" for="b_5988"></label>
                                            </div>
                                            ҚМҚ бўйича индекслаш
                                        </div>
                                        <div class="dropdown-menu__item">
                                            <div class="custom-control custom-checkbox">
                                                <input class="custom-control-input" id="b_1104" type="checkbox" onclick="hideItem(this)" checked="checked">
                                                <label class="custom-control-label" for="b_1104"></label>
                                            </div>
                                            Ўзгартиришлар манбаси
                                        </div>
                                        <div class="dropdown-menu__item">
                                            <div class="custom-control custom-checkbox">
                                                <input class="custom-control-input" id="b_1089" type="checkbox" onclick="hideItem(this)" checked="checked">
                                                <label class="custom-control-label" for="b_1089"></label>
                                            </div>
                                            Расмий нашр манбаси
                                        </div>
                                    </div>
                                </div>
                                <div class="docContentHeader__item-link" id="b_btn_lex_comment" onclick="toggleLexComments()">
                                    <i class="fas fa-file-signature"></i>
                                </div>
                                
                                <div class="docContentHeader__item-link" onclick="downloadDoc()" title="MS Word га сақлаш">
                                    <svg class="icon sm">
                                        <use xlink:href="/assets/img/sprite2.svg#word"></use></svg>
                                </div>
                                
                                <div class="docContentHeader__item-link lx_border_right" onclick="window.print()" title="Чоп этиш">
                                    <i class="fas fa-print"></i>
                                </div>
                            </div>
                            <div class="docContentHeader__item docContentHeader__item-mobile-right skiptranslate">
                                <div class="dropdown eye_btn">
                                    <div class="docContentHeader__item-link lx_border_both mr-1" data-toggle="dropdown">
                                        <i class="fas fa-eye"></i>
                                    </div>
                                    <div class="dropdown-menu drop_menu">
                                        <h6 class="show_size">Кўриниш</h6>
                                        <div class="row" style="margin-right: 1.3rem; margin-left: 0rem;">
                                            <div class="col-4">
                                                <button class="btnA btn__left" onclick="toggleTheme('light');">A</button>
                                            </div>
                                            <div class="col-4">
                                                <button class="btnA btn__cebter" onclick="toggleTheme('grey');">A</button>
                                            </div>
                                            <div class="col-4">
                                                <button class="btnA btn__reght" onclick="toggleTheme('dark');">A</button>
                                            </div>
                                        </div>
                                    </div>
                                </div>
                                <div class="docContentHeader__item-link lx_border_left active" title="На русском">Рус</div><div class="docContentHeader__item-link" onclick="openUrl('/docs/1928674')" title="Ўзбекча">Ўзб</div><div class="docContentHeader__item-link" onclick="openUrl('/docs/-1928674')" title="O'zbekcha">O’zb</div><div class="docContentHeader__item-link-language" onclick="openTwoLang(3)" title="Иккита тилда">Рус|Ўзб</div><div class="docContentHeader__item-link-language lx_border_right" onclick="openTwoLang(4)" title="Иккита тилда">Рус|O‘zb</div>
                            </div>
                        </div>
                        <div class="docBody__container">
                            <div class="docBody__content-em" id='main_container1'>
                                
                                    <div style="background-color: #fff; padding: 16px 14px 16px 8px;">
                                        <table style="width: 100%; font-family: Arial; font-size: 14px; font-weight: bold;">
                                            <tr>
                                                <td style="width: 50%; border: 0;">
                                                    
                                                </td>
                                                <td style="width: 50%; border: 0;" align="right">
                                                    
                                                    
                                                </td>
                                            </tr>
                                            
                                        </table>
                                        <div id="mD" class="main-column document" style="margin: 0px;">
                                            <div id="divBody">
                                                <div id="divCont" style="background:#ffffff;border:none;margin:auto;"><div class="APPL_BANNER_PORTRAIT_TITLE lx_elem" onmousemove="lx_mo(event,1908088)"><div class="lx_elem2"><div class="lx_elem3"><span onclick="lx_sf(1908088)"><img src="/img/cmt.svg" />Ҳужжатга таклиф юбориш</span><span onclick="lx_pa(1908088)"><img src="/img/vlm.svg" />Аудиони тинглаш</span><span onclick="lx_cl(1908088)"><img src="/img/lnk.svg" />Ҳужжат элементидан ҳавола олиш</span></div></div><div name="1908088" id="1908088"><p>«УТВЕРЖДАЮ»</p>
<p>Главный государственный санитарный врач Республики Узбекистана Б.И. Ниязматов от 5 января 2006 г. № 0193-06</p></div></div><div class="ACT_FORM lx_elem" onmousemove="lx_mo(event,1908089)"><div class="lx_elem2"><div class="lx_elem3"><span onclick="lx_sf(1908089)"><img src="/img/cmt.svg" />Ҳужжатга таклиф юбориш</span><span onclick="lx_pa(1908089)"><img src="/img/vlm.svg" />Аудиони тинглаш</span><span onclick="lx_cl(1908089)"><img src="/img/lnk.svg" />Ҳужжат элементидан ҳавола олиш</span></div></div><div name="1908089" id="1908089"></div></div><div class="ACT_TITLE lx_elem" onmousemove="lx_mo(event,1908090)"><div class="lx_elem2"><div class="lx_elem3"><span onclick="lx_sf(1908090)"><img src="/img/cmt.svg" />Ҳужжатга таклиф юбориш</span><span onclick="lx_pa(1908090)"><img src="/img/vlm.svg" />Аудиони тинглаш</span><span onclick="lx_cl(1908090)"><img src="/img/lnk.svg" />Ҳужжат элементидан ҳавола олиш</span></div></div><div name="1908090" id="1908090">НОРМЫ РАДИАЦИОННОЙ БЕЗОПАСНОСТИ (НРБ-2006) И ОСНОВНЫЕ САНИТАРНЫЕ ПРАВИЛА ОБЕСПЕЧЕНИЯ РАДИАЦИОННОЙ БЕЗОПАСНОСТИ (ОСПОРБ-2006)</div></div><div class="BY_DEFAULT lx_elem" onmousemove="lx_mo(event,1908091)"><div class="lx_elem2"><div class="lx_elem3"><span onclick="lx_sf(1908091)"><img src="/img/cmt.svg" />Ҳужжатга таклиф юбориш</span><span onclick="lx_pa(1908091)"><img src="/img/vlm.svg" />Аудиони тинглаш</span><span onclick="lx_cl(1908091)"><img src="/img/lnk.svg" />Ҳужжат элементидан ҳавола олиш</span></div></div><div name="1908091" id="1908091"></div></div><div class="TEXT_HEADER_DEFAULT lx_elem" onmousemove="lx_mo(event,1923957)"><div class="lx_elem2"><div class="lx_elem3"><span onclick="lx_sf(1923957)"><img src="/img/cmt.svg" />Ҳужжатга таклиф юбориш</span><span onclick="lx_pa(1923957)"><img src="/img/vlm.svg" />Аудиони тинглаш</span><span onclick="lx_cl(1923957)"><img src="/img/lnk.svg" />Ҳужжат элементидан ҳавола олиш</span></div></div><div name="1923957" id="1923957">Термины и определения </div></div><div class="ACT_TEXT lx_elem" onmousemove="lx_mo(event,1923988)"><div class="lx_elem2"><div class="lx_elem3"><span onclick="lx_sf(1923988)"><img src="/img/cmt.svg" />Ҳужжатга таклиф юбориш</span><span onclick="lx_pa(1923988)"><img src="/img/vlm.svg" />Аудиони тинглаш</span><span onclick="lx_cl(1923988)"><img src="/img/lnk.svg" />Ҳужжат элементидан ҳавола олиш</span></div></div><div name="1923988" id="1923988">Применительно к настоящим Нормам и правилам приняты следующие термины и определения:</div></div><div class="ACT_TEXT lx_elem" onmousemove="lx_mo(event,1923990)"><div class="lx_elem2"><div class="lx_elem3"><span onclick="lx_sf(1923990)"><img src="/img/cmt.svg" />Ҳужжатга таклиф юбориш</span><span onclick="lx_pa(1923990)"><img src="/img/vlm.svg" />Аудиони тинглаш</span><span onclick="lx_cl(1923990)"><img src="/img/lnk.svg" />Ҳужжат элементидан ҳавола олиш</span></div></div><div name="1923990" id="1923990"><strong>Авария радиационная </strong>— потеря управления источником ионизирующего излучения, вызванная неисправностью оборудования, неправильными действиями персонала, стихийными бедствиями или иными причинами, которая привела к облучению людей или радиоактивному загрязнению окружающей среды, превышающим величины, регламентированные для контролируемых условий.</div></div><div class="ACT_TEXT lx_elem" onmousemove="lx_mo(event,1923993)"><div class="lx_elem2"><div class="lx_elem3"><span onclick="lx_sf(1923993)"><img src="/img/cmt.svg" />Ҳужжатга таклиф юбориш</span><span onclick="lx_pa(1923993)"><img src="/img/vlm.svg" />Аудиони тинглаш</span><span onclick="lx_cl(1923993)"><img src="/img/lnk.svg" />Ҳужжат элементидан ҳавола олиш</span></div></div><div name="1923993" id="1923993"><strong>Авария радиационная проектная </strong>— авария, для которой проектом определены исходные и конечные состояния радиационной обстановки и предусмотрены системы безопасности.</div></div><div class="ACT_TEXT lx_elem" onmousemove="lx_mo(event,1924002)"><div class="lx_elem2"><div class="lx_elem3"><span onclick="lx_sf(1924002)"><img src="/img/cmt.svg" />Ҳужжатга таклиф юбориш</span><span onclick="lx_pa(1924002)"><img src="/img/vlm.svg" />Аудиони тинглаш</span><span onclick="lx_cl(1924002)"><img src="/img/lnk.svg" />Ҳужжат элементидан ҳавола олиш</span></div></div><div name="1924002" id="1924002"><strong>Аварийная ситуация </strong>— инцидент потери управления источником ионизирующего излучения, который мог привести, но не привел к незапланированному облучению людей или радиоактивному загрязнению окружающей среды.</div></div><div class="ACT_TEXT lx_elem" onmousemove="lx_mo(event,1924006)"><div class="lx_elem2"><div class="lx_elem3"><span onclick="lx_sf(1924006)"><img src="/img/cmt.svg" />Ҳужжатга таклиф юбориш</span><span onclick="lx_pa(1924006)"><img src="/img/vlm.svg" />Аудиони тинглаш</span><span onclick="lx_cl(1924006)"><img src="/img/lnk.svg" />Ҳужжат элементидан ҳавола олиш</span></div></div><div name="1924006" id="1924006"><strong>Активность (А) </strong>— мера радиоактивности какого-либо количества радионуклида, находящегося в данном энергетическом состоянии в данный момент времени:</div></div><div class="TEXT_CENTER lx_elem" onmousemove="lx_mo(event,1924009)"><div class="lx_elem2"><div class="lx_elem3"><span onclick="lx_sf(1924009)"><img src="/img/cmt.svg" />Ҳужжатга таклиф юбориш</span><span onclick="lx_pa(1924009)"><img src="/img/vlm.svg" />Аудиони тинглаш</span><span onclick="lx_cl(1924009)"><img src="/img/lnk.svg" />Ҳужжат элементидан ҳавола олиш</span></div></div><div name="1924009" id="1924009"><img src="/files/1924021" /> где:</div></div><div class="ACT_TEXT lx_elem" onmousemove="lx_mo(event,1924036)"><div class="lx_elem2"><div class="lx_elem3"><span onclick="lx_sf(1924036)"><img src="/img/cmt.svg" />Ҳужжатга таклиф юбориш</span><span onclick="lx_pa(1924036)"><img src="/img/vlm.svg" />Аудиони тинглаш</span><span onclick="lx_cl(1924036)"><img src="/img/lnk.svg" />Ҳужжат элементидан ҳавола олиш</span></div></div><div name="1924036" id="1924036"><strong>dN </strong>— ожидаемое число спонтанных ядерных превращений из данного энергетического состояния;</div></div><div class="ACT_TEXT lx_elem" onmousemove="lx_mo(event,1924038)"><div class="lx_elem2"><div class="lx_elem3"><span onclick="lx_sf(1924038)"><img src="/img/cmt.svg" />Ҳужжатга таклиф юбориш</span><span onclick="lx_pa(1924038)"><img src="/img/vlm.svg" />Аудиони тинглаш</span><span onclick="lx_cl(1924038)"><img src="/img/lnk.svg" />Ҳужжат элементидан ҳавола олиш</span></div></div><div name="1924038" id="1924038"><strong>dt —</strong> промежуток времени.</div></div><div class="ACT_TEXT lx_elem" onmousemove="lx_mo(event,1924039)"><div class="lx_elem2"><div class="lx_elem3"><span onclick="lx_sf(1924039)"><img src="/img/cmt.svg" />Ҳужжатга таклиф юбориш</span><span onclick="lx_pa(1924039)"><img src="/img/vlm.svg" />Аудиони тинглаш</span><span onclick="lx_cl(1924039)"><img src="/img/lnk.svg" />Ҳужжат элементидан ҳавола олиш</span></div></div><div name="1924039" id="1924039">Единица активности — беккерель (Бк).</div></div><div class="ACT_TEXT lx_elem" onmousemove="lx_mo(event,1924040)"><div class="lx_elem2"><div class="lx_elem3"><span onclick="lx_sf(1924040)"><img src="/img/cmt.svg" />Ҳужжатга таклиф юбориш</span><span onclick="lx_pa(1924040)"><img src="/img/vlm.svg" />Аудиони тинглаш</span><span onclick="lx_cl(1924040)"><img src="/img/lnk.svg" />Ҳужжат элементидан ҳавола олиш</span></div></div><div name="1924040" id="1924040">Использовавшаяся ранее внесистемная единица активности кюри (Ки) составляет 3,7x10<sup>10</sup> Бк.</div></div><div class="ACT_TEXT lx_elem" onmousemove="lx_mo(event,1924041)"><div class="lx_elem2"><div class="lx_elem3"><span onclick="lx_sf(1924041)"><img src="/img/cmt.svg" />Ҳужжатга таклиф юбориш</span><span onclick="lx_pa(1924041)"><img src="/img/vlm.svg" />Аудиони тинглаш</span><span onclick="lx_cl(1924041)"><img src="/img/lnk.svg" />Ҳужжат элементидан ҳавола олиш</span></div></div><div name="1924041" id="1924041"><strong>Активность минимально значимая (МЗА) </strong>— активность открытого источника ионизирующего излучения в помещении или на рабочем месте, при превышении которой требуется разрешение ЦГСЭН на использование этих источников, если при этом также превышено значение минимально значимой удельной активности.</div></div><div class="ACT_TEXT lx_elem" onmousemove="lx_mo(event,1924042)"><div class="lx_elem2"><div class="lx_elem3"><span onclick="lx_sf(1924042)"><img src="/img/cmt.svg" />Ҳужжатга таклиф юбориш</span><span onclick="lx_pa(1924042)"><img src="/img/vlm.svg" />Аудиони тинглаш</span><span onclick="lx_cl(1924042)"><img src="/img/lnk.svg" />Ҳужжат элементидан ҳавола олиш</span></div></div><div name="1924042" id="1924042"><strong>Активность минимально значимая удельная (МЗУА) </strong>— удельная активность открытого источника ионизирующего излучения в помещении или на рабочем месте, при превышении которой требуется разрешение ЦГСЭН на использование этого источника, если при этом также превышено значение минимально значимой активности.</div></div><div class="ACT_TEXT lx_elem" onmousemove="lx_mo(event,1924043)"><div class="lx_elem2"><div class="lx_elem3"><span onclick="lx_sf(1924043)"><img src="/img/cmt.svg" />Ҳужжатга таклиф юбориш</span><span onclick="lx_pa(1924043)"><img src="/img/vlm.svg" />Аудиони тинглаш</span><span onclick="lx_cl(1924043)"><img src="/img/lnk.svg" />Ҳужжат элементидан ҳавола олиш</span></div></div><div name="1924043" id="1924043"><strong>Активность удельная (объемная) </strong>— отношение активности А радионуклида в веществе к массе m (объему V) вещества: 1</div></div><div class="TEXT_CENTER lx_elem" onmousemove="lx_mo(event,1924048)"><div class="lx_elem2"><div class="lx_elem3"><span onclick="lx_sf(1924048)"><img src="/img/cmt.svg" />Ҳужжатга таклиф юбориш</span><span onclick="lx_pa(1924048)"><img src="/img/vlm.svg" />Аудиони тинглаш</span><span onclick="lx_cl(1924048)"><img src="/img/lnk.svg" />Ҳужжат элементидан ҳавола олиш</span></div></div><div name="1924048" id="1924048"><img src="/files/1924049" /></div></div><div class="FOOTNOTE lx_elem" onmousemove="lx_mo(event,1924050)"><div class="lx_elem2"><div class="lx_elem3"><span onclick="lx_sf(1924050)"><img src="/img/cmt.svg" />Ҳужжатга таклиф юбориш</span><span onclick="lx_pa(1924050)"><img src="/img/vlm.svg" />Аудиони тинглаш</span><span onclick="lx_cl(1924050)"><img src="/img/lnk.svg" />Ҳужжат элементидан ҳавола олиш</span></div></div><div name="1924050" id="1924050">Единица удельной активности — беккерель на килограмм, беккерель на литр (Бк/кг, Бк/л). </div></div><div class="FOOTNOTE lx_elem" onmousemove="lx_mo(event,1924051)"><div class="lx_elem2"><div class="lx_elem3"><span onclick="lx_sf(1924051)"><img src="/img/cmt.svg" />Ҳужжатга таклиф юбориш</span><span onclick="lx_pa(1924051)"><img src="/img/vlm.svg" />Аудиони тинглаш</span><span onclick="lx_cl(1924051)"><img src="/img/lnk.svg" />Ҳужжат элементидан ҳавола олиш</span></div></div><div name="1924051" id="1924051">Единица объемной активности — беккерель на метр кубический (Бк/м<sup>3</sup>).</div></div><div class="ACT_TEXT lx_elem" onmousemove="lx_mo(event,1924052)"><div class="lx_elem2"><div class="lx_elem3"><span onclick="lx_sf(1924052)"><img src="/img/cmt.svg" />Ҳужжатга таклиф юбориш</span><span onclick="lx_pa(1924052)"><img src="/img/vlm.svg" />Аудиони тинглаш</span><span onclick="lx_cl(1924052)"><img src="/img/lnk.svg" />Ҳужжат элементидан ҳавола олиш</span></div></div><div name="1924052" id="1924052"><strong>Активность эквивалентная равновесная объемная (ЭРОА) дочерних изотопов радона— <sup>222</sup>Rn и торона <sup>220</sup>Тn </strong>— взвешенная сумма объемных активностей короткоживущих дочерних изотопов радона<sup> <sub>— </sub>218</sup>Ро (RaA); <sup>214</sup>Pb (RaB); <sup>214</sup>Bi (RaC); <sup>212</sup>РЪ (ThB); <sup>212</sup>Bi (ThC) соответственно: </div></div><div class="ACT_TEXT lx_elem" onmousemove="lx_mo(event,1924054)"><div class="lx_elem2"><div class="lx_elem3"><span onclick="lx_sf(1924054)"><img src="/img/cmt.svg" />Ҳужжатга таклиф юбориш</span><span onclick="lx_pa(1924054)"><img src="/img/vlm.svg" />Аудиони тинглаш</span><span onclick="lx_cl(1924054)"><img src="/img/lnk.svg" />Ҳужжат элементидан ҳавола олиш</span></div></div><div name="1924054" id="1924054"><strong>(ЭPOA)<sub>Rn</sub> = 0,10 A<sub>RaA</sub> + 0,52 A<sub>RaB</sub> + 0,38 A<sub>RaC</sub>;</strong> </div></div><div class="ACT_TEXT lx_elem" onmousemove="lx_mo(event,1924055)"><div class="lx_elem2"><div class="lx_elem3"><span onclick="lx_sf(1924055)"><img src="/img/cmt.svg" />Ҳужжатга таклиф юбориш</span><span onclick="lx_pa(1924055)"><img src="/img/vlm.svg" />Аудиони тинглаш</span><span onclick="lx_cl(1924055)"><img src="/img/lnk.svg" />Ҳужжат элементидан ҳавола олиш</span></div></div><div name="1924055" id="1924055"><strong>(ЭРОА)<sub>Tn</sub> = 0,91 А<sub>ThB</sub> + 0,09 A<sub>ThС</sub>, </strong>где:</div></div><div class="FOOTNOTE lx_elem" onmousemove="lx_mo(event,1924056)"><div class="lx_elem2"><div class="lx_elem3"><span onclick="lx_sf(1924056)"><img src="/img/cmt.svg" />Ҳужжатга таклиф юбориш</span><span onclick="lx_pa(1924056)"><img src="/img/vlm.svg" />Аудиони тинглаш</span><span onclick="lx_cl(1924056)"><img src="/img/lnk.svg" />Ҳужжат элементидан ҳавола олиш</span></div></div><div name="1924056" id="1924056">A<sub>i </sub>— объемные активности дочерних изотопов радона.</div></div><div class="ACT_TEXT lx_elem" onmousemove="lx_mo(event,1924057)"><div class="lx_elem2"><div class="lx_elem3"><span onclick="lx_sf(1924057)"><img src="/img/cmt.svg" />Ҳужжатга таклиф юбориш</span><span onclick="lx_pa(1924057)"><img src="/img/vlm.svg" />Аудиони тинглаш</span><span onclick="lx_cl(1924057)"><img src="/img/lnk.svg" />Ҳужжат элементидан ҳавола олиш</span></div></div><div name="1924057" id="1924057"><strong>Вещество радиоактивное </strong>— вещество в любом агрегатном состоянии, содержащее радионуклиды с активностью, на которые распространяются требования настоящих Норм и правил.</div></div><div class="ACT_TEXT lx_elem" onmousemove="lx_mo(event,1924058)"><div class="lx_elem2"><div class="lx_elem3"><span onclick="lx_sf(1924058)"><img src="/img/cmt.svg" />Ҳужжатга таклиф юбориш</span><span onclick="lx_pa(1924058)"><img src="/img/vlm.svg" />Аудиони тинглаш</span><span onclick="lx_cl(1924058)"><img src="/img/lnk.svg" />Ҳужжат элементидан ҳавола олиш</span></div></div><div name="1924058" id="1924058"><strong>Взвешивающие коэффициенты для отдельных видов излучения при расчете эквивалентной дозы (W<sub>R</sub>) </strong>— используемые в радиационной защите множители поглощенной дозы, учитывающие относительную эффективность различных видов излучения в индуцировании биологических эффектов</div></div><div class="TABLE_STD lx_elem" id="theDefCssID" onmousemove="lx_mo(event,1924059)"><div class="lx_elem2"><div class="lx_elem3"><span onclick="lx_sf(1924059)"><img src="/img/cmt.svg" />Ҳужжатга таклиф юбориш</span><span onclick="lx_pa(1924059)"><img src="/img/vlm.svg" />Аудиони тинглаш</span><span onclick="lx_cl(1924059)"><img src="/img/lnk.svg" />Ҳужжат элементидан ҳавола олиш</span></div></div><div name="1924059" id="1924059" class="tabBox"><table id="theTableID" style="TABLE-LAYOUT: auto; PADDING-RIGHT: 0px; ; PADDING-LEFT: 0px; LEFT: 2px; PADDING-BOTTOM: 0px; WIDTH: 100%; PADDING-TOP: 0px; TOP: 0px" cellspacing="1" cols="2" border="1">
<colgroup>
<col />
<col /></colgroup>
<tbody>
<tr>
<td>Фотоны любых энергий‎</td>
<td>
<p align="center">1‎</p></td></tr>
<tr>
<td>Электроны и мюоны любых энергий‎</td>
<td>
<p align="center">1‎</p></td></tr>
<tr>
<td>Нейтроны с энергией менее 10 кэВ‎</td>
<td>
<p align="center">5‎</p></td></tr>
<tr>
<td>
<p align="left">от 10 кэВ до 100 кэВ‎</p></td>
<td>
<p align="center">10‎</p></td></tr>
<tr>
<td>от 100 кэВ до 2 МэВ‎</td>
<td>
<p align="center">20‎</p></td></tr>
<tr>
<td>от 2 МэВ до 20 МэВ‎</td>
<td>
<p align="center">10‎</p></td></tr>
<tr>
<td>более 20 МэВ‎</td>
<td>
<p align="center">5‎</p></td></tr>
<tr>
<td>Протоны с энергией более 2 МэВ, кроме протонов отдачи‎</td>
<td>
<p align="center">5‎</p></td></tr>
<tr>
<td>Альфа-частицы, осколки деления, тяжелые ядра‎</td>
<td>
<p align="center">20‎</p></td></tr></tbody></table></div></div><div class="FOOTNOTE lx_elem" onmousemove="lx_mo(event,1924060)"><div class="lx_elem2"><div class="lx_elem3"><span onclick="lx_sf(1924060)"><img src="/img/cmt.svg" />Ҳужжатга таклиф юбориш</span><span onclick="lx_pa(1924060)"><img src="/img/vlm.svg" />Аудиони тинглаш</span><span onclick="lx_cl(1924060)"><img src="/img/lnk.svg" />Ҳужжат элементидан ҳавола олиш</span></div></div><div name="1924060" id="1924060">Примечание: все значения относятся к излучению, падающему на тело, а в случае внутреннего облучения — испускаемому при ядерном превращении.</div></div><div class="ACT_TEXT lx_elem" onmousemove="lx_mo(event,1924061)"><div class="lx_elem2"><div class="lx_elem3"><span onclick="lx_sf(1924061)"><img src="/img/cmt.svg" />Ҳужжатга таклиф юбориш</span><span onclick="lx_pa(1924061)"><img src="/img/vlm.svg" />Аудиони тинглаш</span><span onclick="lx_cl(1924061)"><img src="/img/lnk.svg" />Ҳужжат элементидан ҳавола олиш</span></div></div><div name="1924061" id="1924061"><strong>Взвешивающие коэффициенты для тканей и органов при расчете эффективной дозы (WT) </strong>— множители эквивалентной дозы в органах и тканях, используемые в радиационной защите для учета различной чувствительности разных органов и тканей в возникновении стохастических эффектов радиации: </div></div><div class="TABLE_STD lx_elem" id="theDefCssID" onmousemove="lx_mo(event,1924062)"><div class="lx_elem2"><div class="lx_elem3"><span onclick="lx_sf(1924062)"><img src="/img/cmt.svg" />Ҳужжатга таклиф юбориш</span><span onclick="lx_pa(1924062)"><img src="/img/vlm.svg" />Аудиони тинглаш</span><span onclick="lx_cl(1924062)"><img src="/img/lnk.svg" />Ҳужжат элементидан ҳавола олиш</span></div></div><div name="1924062" id="1924062" class="tabBox"><table id="theTableID" style="TABLE-LAYOUT: auto; PADDING-RIGHT: 0px; ; PADDING-LEFT: 0px; LEFT: 2px; PADDING-BOTTOM: 0px; WIDTH: 100%; PADDING-TOP: 0px; TOP: 0px" cellspacing="1" cols="4" border="1">
<colgroup>
<col />
<col />
<col />
<col /></colgroup>
<tbody>
<tr>
<td>Гонады‎</td>
<td>
<p align="center">0,20‎</p></td>
<td>Печень‎</td>
<td>
<p align="center">0,05‎</p></td></tr>
<tr>
<td>Костный мозг (красный)‎</td>
<td>
<p align="center">0,12‎</p></td>
<td>Пищевод‎</td>
<td>
<p align="center">0,05‎</p></td></tr>
<tr>
<td>Толстый кишечник‎</td>
<td>
<p align="center">0,12‎</p></td>
<td>Щитовидная железа‎</td>
<td>
<p align="center">0,05‎</p></td></tr>
<tr>
<td>Легкие‎</td>
<td>
<p align="center">0,12‎</p></td>
<td>Кожа‎</td>
<td>
<p align="center">0,01‎</p></td></tr>
<tr>
<td>Желудок‎</td>
<td>
<p align="center">0,12‎</p></td>
<td>Клетки костных поверхностей‎</td>
<td>
<p align="center">0,01‎</p></td></tr>
<tr>
<td>Мочевой пузырь‎</td>
<td>
<p align="center">0,05‎</p></td>
<td>Остальное‎</td>
<td>
<p align="center">0,05<a href="/docs/1908086#1924068">*</a></p></td></tr>
<tr>
<td>Грудная железа‎</td>
<td>
<p align="center">0,05</p></td>
<td>Все ‎тело</td>
<td>
<p align="center"><em>1</em></p></td></tr></tbody></table></div></div><div class="FOOTNOTE lx_elem" onmousemove="lx_mo(event,1924068)"><div class="lx_elem2"><div class="lx_elem3"><span onclick="lx_sf(1924068)"><img src="/img/cmt.svg" />Ҳужжатга таклиф юбориш</span><span onclick="lx_pa(1924068)"><img src="/img/vlm.svg" />Аудиони тинглаш</span><span onclick="lx_cl(1924068)"><img src="/img/lnk.svg" />Ҳужжат элементидан ҳавола олиш</span></div></div><div name="1924068" id="1924068">Примечание: * при расчетах следует учитывать, что «Остальное» включает надпочечник, головной мозг, экстраторокальный отдел органов дыхания, тонкий кишечник, почки, мышечную ткань, поджелудочную железу, селезенку, вилочковую железу и матку. В тех исключительных случаях, когда один из перечисленных органов или тканей получает эквивалентную дозу, превышающую самую большую дозу, полученную любым из двенадцати органов или тканей, для которых определены взвешивающие коэффициенты, следует приписать этому органу или ткани взвешивающий коэффициент, равный 0,025, а оставшимся органам или тканям из рубрики «Остальное» приписать суммарный коэффициент, равный 0,025.</div></div><div class="ACT_TEXT lx_elem" onmousemove="lx_mo(event,1924076)"><div class="lx_elem2"><div class="lx_elem3"><span onclick="lx_sf(1924076)"><img src="/img/cmt.svg" />Ҳужжатга таклиф юбориш</span><span onclick="lx_pa(1924076)"><img src="/img/vlm.svg" />Аудиони тинглаш</span><span onclick="lx_cl(1924076)"><img src="/img/lnk.svg" />Ҳужжат элементидан ҳавола олиш</span></div></div><div name="1924076" id="1924076"><strong>Вмешательство </strong>— действие, направленное на снижение вероятности облучения, либо дозы или неблагоприятных последствий облучения.</div></div><div class="ACT_TEXT lx_elem" onmousemove="lx_mo(event,1924079)"><div class="lx_elem2"><div class="lx_elem3"><span onclick="lx_sf(1924079)"><img src="/img/cmt.svg" />Ҳужжатга таклиф юбориш</span><span onclick="lx_pa(1924079)"><img src="/img/vlm.svg" />Аудиони тинглаш</span><span onclick="lx_cl(1924079)"><img src="/img/lnk.svg" />Ҳужжат элементидан ҳавола олиш</span></div></div><div name="1924079" id="1924079"><strong>Группа критическая </strong>— группа лиц из населения (не менее 10 человек), однородная по одному или нескольким признакам— полу, возрасту, социальным или профессиональным условиям, месту проживания, рациону питания, которая подвергается наибольшему радиационному воздействию по данному пути облучения от данного источника излучения.</div></div><div class="ACT_TEXT lx_elem" onmousemove="lx_mo(event,1924080)"><div class="lx_elem2"><div class="lx_elem3"><span onclick="lx_sf(1924080)"><img src="/img/cmt.svg" />Ҳужжатга таклиф юбориш</span><span onclick="lx_pa(1924080)"><img src="/img/vlm.svg" />Аудиони тинглаш</span><span onclick="lx_cl(1924080)"><img src="/img/lnk.svg" />Ҳужжат элементидан ҳавола олиш</span></div></div><div name="1924080" id="1924080"><strong>Дезактивация —</strong> удаление или снижение радиоактивного загрязнения с какой-либо поверхности или из какой-либо среды.</div></div><div class="ACT_TEXT lx_elem" onmousemove="lx_mo(event,1924083)"><div class="lx_elem2"><div class="lx_elem3"><span onclick="lx_sf(1924083)"><img src="/img/cmt.svg" />Ҳужжатга таклиф юбориш</span><span onclick="lx_pa(1924083)"><img src="/img/vlm.svg" />Аудиони тинглаш</span><span onclick="lx_cl(1924083)"><img src="/img/lnk.svg" />Ҳужжат элементидан ҳавола олиш</span></div></div><div name="1924083" id="1924083"><strong>Доза поглощенная (D) </strong>— величина энергии ионизирующего излучения, переданная веществу: </div></div><div class="TEXT_CENTER lx_elem" onmousemove="lx_mo(event,1924084)"><div class="lx_elem2"><div class="lx_elem3"><span onclick="lx_sf(1924084)"><img src="/img/cmt.svg" />Ҳужжатга таклиф юбориш</span><span onclick="lx_pa(1924084)"><img src="/img/vlm.svg" />Аудиони тинглаш</span><span onclick="lx_cl(1924084)"><img src="/img/lnk.svg" />Ҳужжат элементидан ҳавола олиш</span></div></div><div name="1924084" id="1924084"><img src="/files/1924082" />:</div></div><div class="ACT_TEXT lx_elem" onmousemove="lx_mo(event,1924085)"><div class="lx_elem2"><div class="lx_elem3"><span onclick="lx_sf(1924085)"><img src="/img/cmt.svg" />Ҳужжатга таклиф юбориш</span><span onclick="lx_pa(1924085)"><img src="/img/vlm.svg" />Аудиони тинглаш</span><span onclick="lx_cl(1924085)"><img src="/img/lnk.svg" />Ҳужжат элементидан ҳавола олиш</span></div></div><div name="1924085" id="1924085"><strong>de</strong> — средняя энергия, переданная ионизирующим излучением веществу, находящемуся в элементарном объеме;</div></div><div class="ACT_TEXT lx_elem" onmousemove="lx_mo(event,1924086)"><div class="lx_elem2"><div class="lx_elem3"><span onclick="lx_sf(1924086)"><img src="/img/cmt.svg" />Ҳужжатга таклиф юбориш</span><span onclick="lx_pa(1924086)"><img src="/img/vlm.svg" />Аудиони тинглаш</span><span onclick="lx_cl(1924086)"><img src="/img/lnk.svg" />Ҳужжат элементидан ҳавола олиш</span></div></div><div name="1924086" id="1924086"><strong>dm</strong> — масса вещества в этом объеме.</div></div><div class="ACT_TEXT lx_elem" onmousemove="lx_mo(event,1924087)"><div class="lx_elem2"><div class="lx_elem3"><span onclick="lx_sf(1924087)"><img src="/img/cmt.svg" />Ҳужжатга таклиф юбориш</span><span onclick="lx_pa(1924087)"><img src="/img/vlm.svg" />Аудиони тинглаш</span><span onclick="lx_cl(1924087)"><img src="/img/lnk.svg" />Ҳужжат элементидан ҳавола олиш</span></div></div><div name="1924087" id="1924087">Энергия может быть усреднена по любому определенному объему, и в этом случае средняя доза будет равна полной энергии, переданной объему, деленной на массу этого объема.</div></div><div class="ACT_TEXT lx_elem" onmousemove="lx_mo(event,1924088)"><div class="lx_elem2"><div class="lx_elem3"><span onclick="lx_sf(1924088)"><img src="/img/cmt.svg" />Ҳужжатга таклиф юбориш</span><span onclick="lx_pa(1924088)"><img src="/img/vlm.svg" />Аудиони тинглаш</span><span onclick="lx_cl(1924088)"><img src="/img/lnk.svg" />Ҳужжат элементидан ҳавола олиш</span></div></div><div name="1924088" id="1924088">Единица измерения — джоуль деленный на килограмм (Дж/кг), имеет специальное название - грей (Гр). </div></div><div class="ACT_TEXT lx_elem" onmousemove="lx_mo(event,1924090)"><div class="lx_elem2"><div class="lx_elem3"><span onclick="lx_sf(1924090)"><img src="/img/cmt.svg" />Ҳужжатга таклиф юбориш</span><span onclick="lx_pa(1924090)"><img src="/img/vlm.svg" />Аудиони тинглаш</span><span onclick="lx_cl(1924090)"><img src="/img/lnk.svg" />Ҳужжат элементидан ҳавола олиш</span></div></div><div name="1924090" id="1924090">Использовавшаяся ранее внесистемная единица рад равна 0,01 Гр.</div></div><div class="ACT_TEXT lx_elem" onmousemove="lx_mo(event,1924091)"><div class="lx_elem2"><div class="lx_elem3"><span onclick="lx_sf(1924091)"><img src="/img/cmt.svg" />Ҳужжатга таклиф юбориш</span><span onclick="lx_pa(1924091)"><img src="/img/vlm.svg" />Аудиони тинглаш</span><span onclick="lx_cl(1924091)"><img src="/img/lnk.svg" />Ҳужжат элементидан ҳавола олиш</span></div></div><div name="1924091" id="1924091"><strong>Доза в органе или ткани (D<sub>T</sub>) </strong>— средняя поглощенная доза в определенном органе или ткани человеческого тела:</div></div><div class="TEXT_CENTER lx_elem" onmousemove="lx_mo(event,1924092)"><div class="lx_elem2"><div class="lx_elem3"><span onclick="lx_sf(1924092)"><img src="/img/cmt.svg" />Ҳужжатга таклиф юбориш</span><span onclick="lx_pa(1924092)"><img src="/img/vlm.svg" />Аудиони тинглаш</span><span onclick="lx_cl(1924092)"><img src="/img/lnk.svg" />Ҳужжат элементидан ҳавола олиш</span></div></div><div name="1924092" id="1924092"><img src="/files/1924093" /> где:</div></div><div class="ACT_TEXT lx_elem" onmousemove="lx_mo(event,1924094)"><div class="lx_elem2"><div class="lx_elem3"><span onclick="lx_sf(1924094)"><img src="/img/cmt.svg" />Ҳужжатга таклиф юбориш</span><span onclick="lx_pa(1924094)"><img src="/img/vlm.svg" />Аудиони тинглаш</span><span onclick="lx_cl(1924094)"><img src="/img/lnk.svg" />Ҳужжат элементидан ҳавола олиш</span></div></div><div name="1924094" id="1924094"><strong>m<sub>т </sub></strong>— масса органа или ткани</div></div><div class="ACT_TEXT lx_elem" onmousemove="lx_mo(event,1924095)"><div class="lx_elem2"><div class="lx_elem3"><span onclick="lx_sf(1924095)"><img src="/img/cmt.svg" />Ҳужжатга таклиф юбориш</span><span onclick="lx_pa(1924095)"><img src="/img/vlm.svg" />Аудиони тинглаш</span><span onclick="lx_cl(1924095)"><img src="/img/lnk.svg" />Ҳужжат элементидан ҳавола олиш</span></div></div><div name="1924095" id="1924095"><strong>D </strong>— поглощенная доза в элементе массы dm.</div></div><div class="ACT_TEXT lx_elem" onmousemove="lx_mo(event,1924096)"><div class="lx_elem2"><div class="lx_elem3"><span onclick="lx_sf(1924096)"><img src="/img/cmt.svg" />Ҳужжатга таклиф юбориш</span><span onclick="lx_pa(1924096)"><img src="/img/vlm.svg" />Аудиони тинглаш</span><span onclick="lx_cl(1924096)"><img src="/img/lnk.svg" />Ҳужжат элементидан ҳавола олиш</span></div></div><div name="1924096" id="1924096"><strong>Доза эквивалентная (Н<sub>T,R</sub>)</strong> — поглощенная доза в органе или ткани, умноженная на соответствующий взвешивающий коэффициент для данного вида излучения, W<sub>R</sub>:</div></div><div class="TEXT_CENTER lx_elem" onmousemove="lx_mo(event,1924097)"><div class="lx_elem2"><div class="lx_elem3"><span onclick="lx_sf(1924097)"><img src="/img/cmt.svg" />Ҳужжатга таклиф юбориш</span><span onclick="lx_pa(1924097)"><img src="/img/vlm.svg" />Аудиони тинглаш</span><span onclick="lx_cl(1924097)"><img src="/img/lnk.svg" />Ҳужжат элементидан ҳавола олиш</span></div></div><div name="1924097" id="1924097"><img src="/files/1924098" /> где:</div></div><div class="ACT_TEXT lx_elem" onmousemove="lx_mo(event,1924099)"><div class="lx_elem2"><div class="lx_elem3"><span onclick="lx_sf(1924099)"><img src="/img/cmt.svg" />Ҳужжатга таклиф юбориш</span><span onclick="lx_pa(1924099)"><img src="/img/vlm.svg" />Аудиони тинглаш</span><span onclick="lx_cl(1924099)"><img src="/img/lnk.svg" />Ҳужжат элементидан ҳавола олиш</span></div></div><div name="1924099" id="1924099"><strong>D<sub>T,R</sub></strong> — средняя поглощенная доза в органе или ткани Т; </div></div><div class="ACT_TEXT lx_elem" onmousemove="lx_mo(event,1924100)"><div class="lx_elem2"><div class="lx_elem3"><span onclick="lx_sf(1924100)"><img src="/img/cmt.svg" />Ҳужжатга таклиф юбориш</span><span onclick="lx_pa(1924100)"><img src="/img/vlm.svg" />Аудиони тинглаш</span><span onclick="lx_cl(1924100)"><img src="/img/lnk.svg" />Ҳужжат элементидан ҳавола олиш</span></div></div><div name="1924100" id="1924100"><strong>W<sub>R </sub>—</strong> взвешивающий коэффициент для излучения R.</div></div><div class="ACT_TEXT lx_elem" onmousemove="lx_mo(event,1924101)"><div class="lx_elem2"><div class="lx_elem3"><span onclick="lx_sf(1924101)"><img src="/img/cmt.svg" />Ҳужжатга таклиф юбориш</span><span onclick="lx_pa(1924101)"><img src="/img/vlm.svg" />Аудиони тинглаш</span><span onclick="lx_cl(1924101)"><img src="/img/lnk.svg" />Ҳужжат элементидан ҳавола олиш</span></div></div><div name="1924101" id="1924101">При воздействии различных видов излучения с различными взвешивающими коэффициентами эквивалентная доза определяется как сумма эквивалентных доз для этих видов излучения.</div></div><div class="TEXT_CENTER lx_elem" onmousemove="lx_mo(event,1924102)"><div class="lx_elem2"><div class="lx_elem3"><span onclick="lx_sf(1924102)"><img src="/img/cmt.svg" />Ҳужжатга таклиф юбориш</span><span onclick="lx_pa(1924102)"><img src="/img/vlm.svg" />Аудиони тинглаш</span><span onclick="lx_cl(1924102)"><img src="/img/lnk.svg" />Ҳужжат элементидан ҳавола олиш</span></div></div><div name="1924102" id="1924102"><img src="/files/1924103" /></div></div><div class="ACT_TEXT lx_elem" onmousemove="lx_mo(event,1924104)"><div class="lx_elem2"><div class="lx_elem3"><span onclick="lx_sf(1924104)"><img src="/img/cmt.svg" />Ҳужжатга таклиф юбориш</span><span onclick="lx_pa(1924104)"><img src="/img/vlm.svg" />Аудиони тинглаш</span><span onclick="lx_cl(1924104)"><img src="/img/lnk.svg" />Ҳужжат элементидан ҳавола олиш</span></div></div><div name="1924104" id="1924104">Единица эквивалентной дозы — зиверт (Зв). </div></div><div class="ACT_TEXT lx_elem" onmousemove="lx_mo(event,1924105)"><div class="lx_elem2"><div class="lx_elem3"><span onclick="lx_sf(1924105)"><img src="/img/cmt.svg" />Ҳужжатга таклиф юбориш</span><span onclick="lx_pa(1924105)"><img src="/img/vlm.svg" />Аудиони тинглаш</span><span onclick="lx_cl(1924105)"><img src="/img/lnk.svg" />Ҳужжат элементидан ҳавола олиш</span></div></div><div name="1924105" id="1924105">Ранее использовалась единица Бэр. 1 Бэр = 0,01 Зв</div></div><div class="ACT_TEXT lx_elem" onmousemove="lx_mo(event,1924107)"><div class="lx_elem2"><div class="lx_elem3"><span onclick="lx_sf(1924107)"><img src="/img/cmt.svg" />Ҳужжатга таклиф юбориш</span><span onclick="lx_pa(1924107)"><img src="/img/vlm.svg" />Аудиони тинглаш</span><span onclick="lx_cl(1924107)"><img src="/img/lnk.svg" />Ҳужжат элементидан ҳавола олиш</span></div></div><div name="1924107" id="1924107"><strong>Доза экспозиционная (Д<sub>экп</sub>)</strong> — количественная характеристика рентгеновского и гамма-излучения, основанная на их ионизирующем действии и выраженная суммарным электрическим зарядом ионов одного знака, образованных в единице массы воздуха.</div></div><div class="TEXT_CENTER lx_elem" onmousemove="lx_mo(event,1924108)"><div class="lx_elem2"><div class="lx_elem3"><span onclick="lx_sf(1924108)"><img src="/img/cmt.svg" />Ҳужжатга таклиф юбориш</span><span onclick="lx_pa(1924108)"><img src="/img/vlm.svg" />Аудиони тинглаш</span><span onclick="lx_cl(1924108)"><img src="/img/lnk.svg" />Ҳужжат элементидан ҳавола олиш</span></div></div><div name="1924108" id="1924108"><strong>X = dQ/dm</strong></div></div><div class="ACT_TEXT lx_elem" onmousemove="lx_mo(event,1924109)"><div class="lx_elem2"><div class="lx_elem3"><span onclick="lx_sf(1924109)"><img src="/img/cmt.svg" />Ҳужжатга таклиф юбориш</span><span onclick="lx_pa(1924109)"><img src="/img/vlm.svg" />Аудиони тинглаш</span><span onclick="lx_cl(1924109)"><img src="/img/lnk.svg" />Ҳужжат элементидан ҳавола олиш</span></div></div><div name="1924109" id="1924109"><strong>dQ </strong>— суммарный заряд всех ионов одного знака, образовавшихся в элементарном объеме воздуха при облучении его ионизирующим излучением;</div></div><div class="ACT_TEXT lx_elem" onmousemove="lx_mo(event,1924110)"><div class="lx_elem2"><div class="lx_elem3"><span onclick="lx_sf(1924110)"><img src="/img/cmt.svg" />Ҳужжатга таклиф юбориш</span><span onclick="lx_pa(1924110)"><img src="/img/vlm.svg" />Аудиони тинглаш</span><span onclick="lx_cl(1924110)"><img src="/img/lnk.svg" />Ҳужжат элементидан ҳавола олиш</span></div></div><div name="1924110" id="1924110"><strong>dm </strong>— масса воздуха в этом объеме</div></div><div class="ACT_TEXT lx_elem" onmousemove="lx_mo(event,1924111)"><div class="lx_elem2"><div class="lx_elem3"><span onclick="lx_sf(1924111)"><img src="/img/cmt.svg" />Ҳужжатга таклиф юбориш</span><span onclick="lx_pa(1924111)"><img src="/img/vlm.svg" />Аудиони тинглаш</span><span onclick="lx_cl(1924111)"><img src="/img/lnk.svg" />Ҳужжат элементидан ҳавола олиш</span></div></div><div name="1924111" id="1924111">Единица измерения кулон деленный на килограмм (Кл/кг).</div></div><div class="ACT_TEXT lx_elem" onmousemove="lx_mo(event,1924112)"><div class="lx_elem2"><div class="lx_elem3"><span onclick="lx_sf(1924112)"><img src="/img/cmt.svg" />Ҳужжатга таклиф юбориш</span><span onclick="lx_pa(1924112)"><img src="/img/vlm.svg" />Аудиони тинглаш</span><span onclick="lx_cl(1924112)"><img src="/img/lnk.svg" />Ҳужжат элементидан ҳавола олиш</span></div></div><div name="1924112" id="1924112">Ранее использовалась внесистемная единица рентген (Р). 1Р=2,58х10<sup>-4</sup> Кл/кг.</div></div><div class="ACT_TEXT lx_elem" onmousemove="lx_mo(event,1924113)"><div class="lx_elem2"><div class="lx_elem3"><span onclick="lx_sf(1924113)"><img src="/img/cmt.svg" />Ҳужжатга таклиф юбориш</span><span onclick="lx_pa(1924113)"><img src="/img/vlm.svg" />Аудиони тинглаш</span><span onclick="lx_cl(1924113)"><img src="/img/lnk.svg" />Ҳужжат элементидан ҳавола олиш</span></div></div><div name="1924113" id="1924113"><strong>Доза эффективная (Е) </strong>— величина, используемая как мера риска возникновения отдаленных последствий облучения всего тела человека и отдельных его органов и тканей с учетом их радиочувствительности. Она представляет сумму произведений эквивалентной дозы в органах и тканях на соответствующие взвешивающие коэффициенты:</div></div><div class="TEXT_CENTER lx_elem" onmousemove="lx_mo(event,1924114)"><div class="lx_elem2"><div class="lx_elem3"><span onclick="lx_sf(1924114)"><img src="/img/cmt.svg" />Ҳужжатга таклиф юбориш</span><span onclick="lx_pa(1924114)"><img src="/img/vlm.svg" />Аудиони тинглаш</span><span onclick="lx_cl(1924114)"><img src="/img/lnk.svg" />Ҳужжат элементидан ҳавола олиш</span></div></div><div name="1924114" id="1924114"><img src="/files/1924115" /> где:</div></div><div class="ACT_TEXT lx_elem" onmousemove="lx_mo(event,1924116)"><div class="lx_elem2"><div class="lx_elem3"><span onclick="lx_sf(1924116)"><img src="/img/cmt.svg" />Ҳужжатга таклиф юбориш</span><span onclick="lx_pa(1924116)"><img src="/img/vlm.svg" />Аудиони тинглаш</span><span onclick="lx_cl(1924116)"><img src="/img/lnk.svg" />Ҳужжат элементидан ҳавола олиш</span></div></div><div name="1924116" id="1924116"><strong>Н</strong><sub><strong>Ti</strong> </sub>— эквивалентная доза в органе или ткани T<sub>i</sub>;</div></div><div class="ACT_TEXT lx_elem" onmousemove="lx_mo(event,1924117)"><div class="lx_elem2"><div class="lx_elem3"><span onclick="lx_sf(1924117)"><img src="/img/cmt.svg" />Ҳужжатга таклиф юбориш</span><span onclick="lx_pa(1924117)"><img src="/img/vlm.svg" />Аудиони тинглаш</span><span onclick="lx_cl(1924117)"><img src="/img/lnk.svg" />Ҳужжат элементидан ҳавола олиш</span></div></div><div name="1924117" id="1924117"><strong>W<sub>Ti </sub></strong>— взвешивающий коэффициент для органа или ткани Т<sub>i</sub>.</div></div><div class="ACT_TEXT lx_elem" onmousemove="lx_mo(event,1924118)"><div class="lx_elem2"><div class="lx_elem3"><span onclick="lx_sf(1924118)"><img src="/img/cmt.svg" />Ҳужжатга таклиф юбориш</span><span onclick="lx_pa(1924118)"><img src="/img/vlm.svg" />Аудиони тинглаш</span><span onclick="lx_cl(1924118)"><img src="/img/lnk.svg" />Ҳужжат элементидан ҳавола олиш</span></div></div><div name="1924118" id="1924118">Единица эффективной дозы — зиверт (Зв).</div></div><div class="ACT_TEXT lx_elem" onmousemove="lx_mo(event,1924119)"><div class="lx_elem2"><div class="lx_elem3"><span onclick="lx_sf(1924119)"><img src="/img/cmt.svg" />Ҳужжатга таклиф юбориш</span><span onclick="lx_pa(1924119)"><img src="/img/vlm.svg" />Аудиони тинглаш</span><span onclick="lx_cl(1924119)"><img src="/img/lnk.svg" />Ҳужжат элементидан ҳавола олиш</span></div></div><div name="1924119" id="1924119">Ранее использовалась единица Бэр. 1 Бэр = 0,01 Зв</div></div><div class="ACT_TEXT lx_elem" onmousemove="lx_mo(event,1924120)"><div class="lx_elem2"><div class="lx_elem3"><span onclick="lx_sf(1924120)"><img src="/img/cmt.svg" />Ҳужжатга таклиф юбориш</span><span onclick="lx_pa(1924120)"><img src="/img/vlm.svg" />Аудиони тинглаш</span><span onclick="lx_cl(1924120)"><img src="/img/lnk.svg" />Ҳужжат элементидан ҳавола олиш</span></div></div><div name="1924120" id="1924120"><strong>Доза эквивалентная (Нт(τ)) или эффективная (Е(τ)) ожидаемая при внутреннем облучении </strong>— доза за время τ, прошедшее после поступления радиоактивных веществ в организм:</div></div><div class="TEXT_CENTER lx_elem" onmousemove="lx_mo(event,1924121)"><div class="lx_elem2"><div class="lx_elem3"><span onclick="lx_sf(1924121)"><img src="/img/cmt.svg" />Ҳужжатга таклиф юбориш</span><span onclick="lx_pa(1924121)"><img src="/img/vlm.svg" />Аудиони тинглаш</span><span onclick="lx_cl(1924121)"><img src="/img/lnk.svg" />Ҳужжат элементидан ҳавола олиш</span></div></div><div name="1924121" id="1924121"><img src="/files/1924122" /> где:</div></div><div class="ACT_TEXT lx_elem" onmousemove="lx_mo(event,1924123)"><div class="lx_elem2"><div class="lx_elem3"><span onclick="lx_sf(1924123)"><img src="/img/cmt.svg" />Ҳужжатга таклиф юбориш</span><span onclick="lx_pa(1924123)"><img src="/img/vlm.svg" />Аудиони тинглаш</span><span onclick="lx_cl(1924123)"><img src="/img/lnk.svg" />Ҳужжат элементидан ҳавола олиш</span></div></div><div name="1924123" id="1924123"><strong>t</strong><sub><strong>0</strong> </sub>— момент поступления РВ;</div></div><div class="ACT_TEXT lx_elem" onmousemove="lx_mo(event,1924124)"><div class="lx_elem2"><div class="lx_elem3"><span onclick="lx_sf(1924124)"><img src="/img/cmt.svg" />Ҳужжатга таклиф юбориш</span><span onclick="lx_pa(1924124)"><img src="/img/vlm.svg" />Аудиони тинглаш</span><span onclick="lx_cl(1924124)"><img src="/img/lnk.svg" />Ҳужжат элементидан ҳавола олиш</span></div></div><div name="1924124" id="1924124"><strong>Н<sub>Т</sub>(t)</strong> — мощность эквивалентной дозы к моменту времени t в органе или ткани Т.</div></div><div class="ACT_TEXT lx_elem" onmousemove="lx_mo(event,1924125)"><div class="lx_elem2"><div class="lx_elem3"><span onclick="lx_sf(1924125)"><img src="/img/cmt.svg" />Ҳужжатга таклиф юбориш</span><span onclick="lx_pa(1924125)"><img src="/img/vlm.svg" />Аудиони тинглаш</span><span onclick="lx_cl(1924125)"><img src="/img/lnk.svg" />Ҳужжат элементидан ҳавола олиш</span></div></div><div name="1924125" id="1924125">Когда τ не определено, то его следует принять равным 50 годам для взрослых и 70 (70-t<sub>0</sub>) - для детей—</div></div><div class="ACT_TEXT lx_elem" onmousemove="lx_mo(event,1924126)"><div class="lx_elem2"><div class="lx_elem3"><span onclick="lx_sf(1924126)"><img src="/img/cmt.svg" />Ҳужжатга таклиф юбориш</span><span onclick="lx_pa(1924126)"><img src="/img/vlm.svg" />Аудиони тинглаш</span><span onclick="lx_cl(1924126)"><img src="/img/lnk.svg" />Ҳужжат элементидан ҳавола олиш</span></div></div><div name="1924126" id="1924126"><strong>Доза эффективная (эквивалентная) годовая </strong>— сумма эффективной (эквивалентной) дозы внешнего облучения, полученной за календарный год, и ожидаемой эффективной (эквивалентной) дозы внутреннего облучения, обусловленной поступлением в организм радионуклидов за этот же год.</div></div><div class="ACT_TEXT lx_elem" onmousemove="lx_mo(event,1924127)"><div class="lx_elem2"><div class="lx_elem3"><span onclick="lx_sf(1924127)"><img src="/img/cmt.svg" />Ҳужжатга таклиф юбориш</span><span onclick="lx_pa(1924127)"><img src="/img/vlm.svg" />Аудиони тинглаш</span><span onclick="lx_cl(1924127)"><img src="/img/lnk.svg" />Ҳужжат элементидан ҳавола олиш</span></div></div><div name="1924127" id="1924127">Единица годовой эффективной дозы — зиверт (Зв).</div></div><div class="ACT_TEXT lx_elem" onmousemove="lx_mo(event,1924128)"><div class="lx_elem2"><div class="lx_elem3"><span onclick="lx_sf(1924128)"><img src="/img/cmt.svg" />Ҳужжатга таклиф юбориш</span><span onclick="lx_pa(1924128)"><img src="/img/vlm.svg" />Аудиони тинглаш</span><span onclick="lx_cl(1924128)"><img src="/img/lnk.svg" />Ҳужжат элементидан ҳавола олиш</span></div></div><div name="1924128" id="1924128"><strong>Доза эффективная коллективная </strong>— мера коллективного риска возникновения стохастических эффектов облучения; она равна сумме индивидуальных эффективных доз. Единица эффективной коллективной дозы— человеко-зиверт (чел.-Зв).</div></div><div class="ACT_TEXT lx_elem" onmousemove="lx_mo(event,1924129)"><div class="lx_elem2"><div class="lx_elem3"><span onclick="lx_sf(1924129)"><img src="/img/cmt.svg" />Ҳужжатга таклиф юбориш</span><span onclick="lx_pa(1924129)"><img src="/img/vlm.svg" />Аудиони тинглаш</span><span onclick="lx_cl(1924129)"><img src="/img/lnk.svg" />Ҳужжат элементидан ҳавола олиш</span></div></div><div name="1924129" id="1924129"><strong>Доза предотвращаемая </strong>— прогнозируемая доза вследствие радиационной аварии, которая может быть предотвращена защитными мероприятиями.</div></div><div class="ACT_TEXT lx_elem" onmousemove="lx_mo(event,1924130)"><div class="lx_elem2"><div class="lx_elem3"><span onclick="lx_sf(1924130)"><img src="/img/cmt.svg" />Ҳужжатга таклиф юбориш</span><span onclick="lx_pa(1924130)"><img src="/img/vlm.svg" />Аудиони тинглаш</span><span onclick="lx_cl(1924130)"><img src="/img/lnk.svg" />Ҳужжат элементидан ҳавола олиш</span></div></div><div name="1924130" id="1924130"><strong>Загрязнение радиоактивное</strong> — присутствие радиоактивных веществ на поверхности, внутри материала, в воздухе, в теле человека или в другом месте, в количестве, превышающем уровни, установленные настоящими Нормами и Правилами.</div></div><div class="ACT_TEXT lx_elem" onmousemove="lx_mo(event,1924131)"><div class="lx_elem2"><div class="lx_elem3"><span onclick="lx_sf(1924131)"><img src="/img/cmt.svg" />Ҳужжатга таклиф юбориш</span><span onclick="lx_pa(1924131)"><img src="/img/vlm.svg" />Аудиони тинглаш</span><span onclick="lx_cl(1924131)"><img src="/img/lnk.svg" />Ҳужжат элементидан ҳавола олиш</span></div></div><div name="1924131" id="1924131"><strong>Загрязнение поверхности неснимаемое (фиксированное) </strong>— радиоактивные вещества, которые не переносятся при контакте на другие предметы и не удаляются при дезактивации.</div></div><div class="ACT_TEXT lx_elem" onmousemove="lx_mo(event,1924132)"><div class="lx_elem2"><div class="lx_elem3"><span onclick="lx_sf(1924132)"><img src="/img/cmt.svg" />Ҳужжатга таклиф юбориш</span><span onclick="lx_pa(1924132)"><img src="/img/vlm.svg" />Аудиони тинглаш</span><span onclick="lx_cl(1924132)"><img src="/img/lnk.svg" />Ҳужжат элементидан ҳавола олиш</span></div></div><div name="1924132" id="1924132"><strong>Загрязнение поверхности снимаемое (нефиксированное</strong>) — радиоактивные вещества, которые переносятся при контакте на другие предметы и удаляются при дезактивации.</div></div><div class="ACT_TEXT lx_elem" onmousemove="lx_mo(event,1924133)"><div class="lx_elem2"><div class="lx_elem3"><span onclick="lx_sf(1924133)"><img src="/img/cmt.svg" />Ҳужжатга таклиф юбориш</span><span onclick="lx_pa(1924133)"><img src="/img/vlm.svg" />Аудиони тинглаш</span><span onclick="lx_cl(1924133)"><img src="/img/lnk.svg" />Ҳужжат элементидан ҳавола олиш</span></div></div><div name="1924133" id="1924133"><strong>Захоронение радиоактивных отходов </strong>— безопасное размещение радиоактивных отходов без намерения последующего их извлечения.</div></div><div class="ACT_TEXT lx_elem" onmousemove="lx_mo(event,1924134)"><div class="lx_elem2"><div class="lx_elem3"><span onclick="lx_sf(1924134)"><img src="/img/cmt.svg" />Ҳужжатга таклиф юбориш</span><span onclick="lx_pa(1924134)"><img src="/img/vlm.svg" />Аудиони тинглаш</span><span onclick="lx_cl(1924134)"><img src="/img/lnk.svg" />Ҳужжат элементидан ҳавола олиш</span></div></div><div name="1924134" id="1924134"><strong>Зона наблюдения </strong>— территория вокруг радиационного объекта за пределами санитарно-защитной зоны, где проводится радиационный контроль и на которой при возникновении проектной радиационной аварии может потребоваться проведение мер защиты населения.</div></div><div class="ACT_TEXT lx_elem" onmousemove="lx_mo(event,1924135)"><div class="lx_elem2"><div class="lx_elem3"><span onclick="lx_sf(1924135)"><img src="/img/cmt.svg" />Ҳужжатга таклиф юбориш</span><span onclick="lx_pa(1924135)"><img src="/img/vlm.svg" />Аудиони тинглаш</span><span onclick="lx_cl(1924135)"><img src="/img/lnk.svg" />Ҳужжат элементидан ҳавола олиш</span></div></div><div name="1924135" id="1924135"><strong>Зона радиационной аварии </strong>— территория, где уровни облучения населения или персонала, обусловленные аварией, могут превысить пределы доз, установленные для нормальной эксплуатации техногенных источников ионизирующего излучения.</div></div><div class="ACT_TEXT lx_elem" onmousemove="lx_mo(event,1924136)"><div class="lx_elem2"><div class="lx_elem3"><span onclick="lx_sf(1924136)"><img src="/img/cmt.svg" />Ҳужжатга таклиф юбориш</span><span onclick="lx_pa(1924136)"><img src="/img/vlm.svg" />Аудиони тинглаш</span><span onclick="lx_cl(1924136)"><img src="/img/lnk.svg" />Ҳужжат элементидан ҳавола олиш</span></div></div><div name="1924136" id="1924136"><strong>Зона санитарно-защитная </strong>— территория вокруг радиационного объекта, на которой уровень облучения людей в условиях нормальной эксплуатации техногенных источников ионизирующего излучения может превысить установленный предел дозы облучения населения.</div></div><div class="ACT_TEXT lx_elem" onmousemove="lx_mo(event,1924137)"><div class="lx_elem2"><div class="lx_elem3"><span onclick="lx_sf(1924137)"><img src="/img/cmt.svg" />Ҳужжатга таклиф юбориш</span><span onclick="lx_pa(1924137)"><img src="/img/vlm.svg" />Аудиони тинглаш</span><span onclick="lx_cl(1924137)"><img src="/img/lnk.svg" />Ҳужжат элементидан ҳавола олиш</span></div></div><div name="1924137" id="1924137"><strong>Источник ионизирующего излучения</strong> — (в рамках данного документа— источник излучения) радиоактивное вещество или устройство, испускающее или способное испускать ионизирующее излучение, на которое распространяется действие настоящих Норм и Правил.</div></div><div class="ACT_TEXT lx_elem" onmousemove="lx_mo(event,1924138)"><div class="lx_elem2"><div class="lx_elem3"><span onclick="lx_sf(1924138)"><img src="/img/cmt.svg" />Ҳужжатга таклиф юбориш</span><span onclick="lx_pa(1924138)"><img src="/img/vlm.svg" />Аудиони тинглаш</span><span onclick="lx_cl(1924138)"><img src="/img/lnk.svg" />Ҳужжат элементидан ҳавола олиш</span></div></div><div name="1924138" id="1924138"><strong>Источник излучения природный (естественный)</strong> — источник ионизирующего излучения природного происхождения, на который распространяется действие настоящих Норм и Правил.</div></div><div class="ACT_TEXT lx_elem" onmousemove="lx_mo(event,1924139)"><div class="lx_elem2"><div class="lx_elem3"><span onclick="lx_sf(1924139)"><img src="/img/cmt.svg" />Ҳужжатга таклиф юбориш</span><span onclick="lx_pa(1924139)"><img src="/img/vlm.svg" />Аудиони тинглаш</span><span onclick="lx_cl(1924139)"><img src="/img/lnk.svg" />Ҳужжат элементидан ҳавола олиш</span></div></div><div name="1924139" id="1924139"><strong>Источник излучения техногенный</strong> — источник ионизирующего излучения специально созданный для его полезного применения или являющийся побочным продуктом этой деятельности.</div></div><div class="ACT_TEXT lx_elem" onmousemove="lx_mo(event,1924140)"><div class="lx_elem2"><div class="lx_elem3"><span onclick="lx_sf(1924140)"><img src="/img/cmt.svg" />Ҳужжатга таклиф юбориш</span><span onclick="lx_pa(1924140)"><img src="/img/vlm.svg" />Аудиони тинглаш</span><span onclick="lx_cl(1924140)"><img src="/img/lnk.svg" />Ҳужжат элементидан ҳавола олиш</span></div></div><div name="1924140" id="1924140"><strong>Источник радионуклидный закрытый</strong> — источник излучения, устройство которого исключает поступление содержащихся в нем радионуклидов в окружающую среду в условиях применения и износа, на которые он рассчитан.</div></div><div class="ACT_TEXT lx_elem" onmousemove="lx_mo(event,1924141)"><div class="lx_elem2"><div class="lx_elem3"><span onclick="lx_sf(1924141)"><img src="/img/cmt.svg" />Ҳужжатга таклиф юбориш</span><span onclick="lx_pa(1924141)"><img src="/img/vlm.svg" />Аудиони тинглаш</span><span onclick="lx_cl(1924141)"><img src="/img/lnk.svg" />Ҳужжат элементидан ҳавола олиш</span></div></div><div name="1924141" id="1924141"><strong>Источник радионуклидный открытый </strong>— источник излучения, при использовании которого возможно поступление содержащихся в нем радионуклидов в окружающую среду.</div></div><div class="ACT_TEXT lx_elem" onmousemove="lx_mo(event,1924142)"><div class="lx_elem2"><div class="lx_elem3"><span onclick="lx_sf(1924142)"><img src="/img/cmt.svg" />Ҳужжатга таклиф юбориш</span><span onclick="lx_pa(1924142)"><img src="/img/vlm.svg" />Аудиони тинглаш</span><span onclick="lx_cl(1924142)"><img src="/img/lnk.svg" />Ҳужжат элементидан ҳавола олиш</span></div></div><div name="1924142" id="1924142"><strong>Категория объекта радиационного </strong>— характеристика объекта по степени потенциальной опасности объекта для населения в условиях его нормальной эксплуатации и при возможной аварии.</div></div><div class="ACT_TEXT lx_elem" onmousemove="lx_mo(event,1924143)"><div class="lx_elem2"><div class="lx_elem3"><span onclick="lx_sf(1924143)"><img src="/img/cmt.svg" />Ҳужжатга таклиф юбориш</span><span onclick="lx_pa(1924143)"><img src="/img/vlm.svg" />Аудиони тинглаш</span><span onclick="lx_cl(1924143)"><img src="/img/lnk.svg" />Ҳужжат элементидан ҳавола олиш</span></div></div><div name="1924143" id="1924143"><strong>Квота</strong> — часть предела дозы, установленная для ограничения облучения населения от конкретного техногенного источника излучения и пути облучения (внешнее, поступление с водой, пищей и воздухом).</div></div><div class="ACT_TEXT lx_elem" onmousemove="lx_mo(event,1924144)"><div class="lx_elem2"><div class="lx_elem3"><span onclick="lx_sf(1924144)"><img src="/img/cmt.svg" />Ҳужжатга таклиф юбориш</span><span onclick="lx_pa(1924144)"><img src="/img/vlm.svg" />Аудиони тинглаш</span><span onclick="lx_cl(1924144)"><img src="/img/lnk.svg" />Ҳужжат элементидан ҳавола олиш</span></div></div><div name="1924144" id="1924144"><strong>Класс работ</strong> — характеристика работ с открытыми источниками ионизирующего излучения по степени потенциальной опасности для персонала, определяющая требования по радиационной безопасности в зависимости от радиотоксичности и активности нуклидов.</div></div><div class="ACT_TEXT lx_elem" onmousemove="lx_mo(event,1924145)"><div class="lx_elem2"><div class="lx_elem3"><span onclick="lx_sf(1924145)"><img src="/img/cmt.svg" />Ҳужжатга таклиф юбориш</span><span onclick="lx_pa(1924145)"><img src="/img/vlm.svg" />Аудиони тинглаш</span><span onclick="lx_cl(1924145)"><img src="/img/lnk.svg" />Ҳужжат элементидан ҳавола олиш</span></div></div><div name="1924145" id="1924145"><strong>Контроль радиационный </strong>— получение информации о радиационной обстановке в организации, в окружающей среде и об уровнях облучения людей (включает в себя дозиметрический и радиометрический контроль).</div></div><div class="ACT_TEXT lx_elem" onmousemove="lx_mo(event,1924147)"><div class="lx_elem2"><div class="lx_elem3"><span onclick="lx_sf(1924147)"><img src="/img/cmt.svg" />Ҳужжатга таклиф юбориш</span><span onclick="lx_pa(1924147)"><img src="/img/vlm.svg" />Аудиони тинглаш</span><span onclick="lx_cl(1924147)"><img src="/img/lnk.svg" />Ҳужжат элементидан ҳавола олиш</span></div></div><div name="1924147" id="1924147"><strong>Лицензия</strong> — разрешение на конкретный вид деятельности, которое выдается регулирующими органами на основании оценки полезности и безопасности данной деятельности, сопровождающееся предписаниями и условиями, которые должны выполняться юридическим лицом, получившим лицензию.</div></div><div class="ACT_TEXT lx_elem" onmousemove="lx_mo(event,1924149)"><div class="lx_elem2"><div class="lx_elem3"><span onclick="lx_sf(1924149)"><img src="/img/cmt.svg" />Ҳужжатга таклиф юбориш</span><span onclick="lx_pa(1924149)"><img src="/img/vlm.svg" />Аудиони тинглаш</span><span onclick="lx_cl(1924149)"><img src="/img/lnk.svg" />Ҳужжат элементидан ҳавола олиш</span></div></div><div name="1924149" id="1924149"><strong>Место рабочее</strong> — место постоянного или временного пребывания персонала для выполнения производственных функций в условиях воздействия ионизирующего излучения в течение более половины рабочего времени или двух часов непрерывно.</div></div><div class="ACT_TEXT lx_elem" onmousemove="lx_mo(event,1924150)"><div class="lx_elem2"><div class="lx_elem3"><span onclick="lx_sf(1924150)"><img src="/img/cmt.svg" />Ҳужжатга таклиф юбориш</span><span onclick="lx_pa(1924150)"><img src="/img/vlm.svg" />Аудиони тинглаш</span><span onclick="lx_cl(1924150)"><img src="/img/lnk.svg" />Ҳужжат элементидан ҳавола олиш</span></div></div><div name="1924150" id="1924150"><strong>Мощность дозы</strong> — доза излучения за единицу времени (секунду, минуту, час).</div></div><div class="ACT_TEXT lx_elem" onmousemove="lx_mo(event,1924152)"><div class="lx_elem2"><div class="lx_elem3"><span onclick="lx_sf(1924152)"><img src="/img/cmt.svg" />Ҳужжатга таклиф юбориш</span><span onclick="lx_pa(1924152)"><img src="/img/vlm.svg" />Аудиони тинглаш</span><span onclick="lx_cl(1924152)"><img src="/img/lnk.svg" />Ҳужжат элементидан ҳавола олиш</span></div></div><div name="1924152" id="1924152"><strong>Население —</strong> все лица, включая лиц из персонала вне работы с источниками ионизирующего излучения (категория В).</div></div><div class="ACT_TEXT lx_elem" onmousemove="lx_mo(event,1924153)"><div class="lx_elem2"><div class="lx_elem3"><span onclick="lx_sf(1924153)"><img src="/img/cmt.svg" />Ҳужжатга таклиф юбориш</span><span onclick="lx_pa(1924153)"><img src="/img/vlm.svg" />Аудиони тинглаш</span><span onclick="lx_cl(1924153)"><img src="/img/lnk.svg" />Ҳужжат элементидан ҳавола олиш</span></div></div><div name="1924153" id="1924153"><strong>Нуклид</strong> — разновидность атомов с данным массовым числом (массой протонов и нейтронов в ядре) и атомным номером (числом протонов и нейтронов в ядре).</div></div><div class="ACT_TEXT lx_elem" onmousemove="lx_mo(event,1924154)"><div class="lx_elem2"><div class="lx_elem3"><span onclick="lx_sf(1924154)"><img src="/img/cmt.svg" />Ҳужжатга таклиф юбориш</span><span onclick="lx_pa(1924154)"><img src="/img/vlm.svg" />Аудиони тинглаш</span><span onclick="lx_cl(1924154)"><img src="/img/lnk.svg" />Ҳужжат элементидан ҳавола олиш</span></div></div><div name="1924154" id="1924154"><strong>Облучение</strong> — воздействие на человека ионизирующего излучения.</div></div><div class="ACT_TEXT lx_elem" onmousemove="lx_mo(event,1924155)"><div class="lx_elem2"><div class="lx_elem3"><span onclick="lx_sf(1924155)"><img src="/img/cmt.svg" />Ҳужжатга таклиф юбориш</span><span onclick="lx_pa(1924155)"><img src="/img/vlm.svg" />Аудиони тинглаш</span><span onclick="lx_cl(1924155)"><img src="/img/lnk.svg" />Ҳужжат элементидан ҳавола олиш</span></div></div><div name="1924155" id="1924155"><strong>Облучение аварийное</strong> — облучение в результате радиационной аварии.</div></div><div class="ACT_TEXT lx_elem" onmousemove="lx_mo(event,1924156)"><div class="lx_elem2"><div class="lx_elem3"><span onclick="lx_sf(1924156)"><img src="/img/cmt.svg" />Ҳужжатга таклиф юбориш</span><span onclick="lx_pa(1924156)"><img src="/img/vlm.svg" />Аудиони тинглаш</span><span onclick="lx_cl(1924156)"><img src="/img/lnk.svg" />Ҳужжат элементидан ҳавола олиш</span></div></div><div name="1924156" id="1924156"><strong>Облучение медицинское</strong> — облучение пациентов в результате медицинского обследования или лечения.</div></div><div class="ACT_TEXT lx_elem" onmousemove="lx_mo(event,1924157)"><div class="lx_elem2"><div class="lx_elem3"><span onclick="lx_sf(1924157)"><img src="/img/cmt.svg" />Ҳужжатга таклиф юбориш</span><span onclick="lx_pa(1924157)"><img src="/img/vlm.svg" />Аудиони тинглаш</span><span onclick="lx_cl(1924157)"><img src="/img/lnk.svg" />Ҳужжат элементидан ҳавола олиш</span></div></div><div name="1924157" id="1924157"><strong>Облучение планируемое повышенное</strong> — планируемое облучение персонала в дозах, превышающих установленные основные пределы доз, с целью предупреждения развития радиационной аварии или ограничения ее последствий.</div></div><div class="ACT_TEXT lx_elem" onmousemove="lx_mo(event,1924158)"><div class="lx_elem2"><div class="lx_elem3"><span onclick="lx_sf(1924158)"><img src="/img/cmt.svg" />Ҳужжатга таклиф юбориш</span><span onclick="lx_pa(1924158)"><img src="/img/vlm.svg" />Аудиони тинглаш</span><span onclick="lx_cl(1924158)"><img src="/img/lnk.svg" />Ҳужжат элементидан ҳавола олиш</span></div></div><div name="1924158" id="1924158"><strong>Облучение потенциальное</strong> — облучение, которое может возникнуть в результате радиационной аварии.</div></div><div class="ACT_TEXT lx_elem" onmousemove="lx_mo(event,1924159)"><div class="lx_elem2"><div class="lx_elem3"><span onclick="lx_sf(1924159)"><img src="/img/cmt.svg" />Ҳужжатга таклиф юбориш</span><span onclick="lx_pa(1924159)"><img src="/img/vlm.svg" />Аудиони тинглаш</span><span onclick="lx_cl(1924159)"><img src="/img/lnk.svg" />Ҳужжат элементидан ҳавола олиш</span></div></div><div name="1924159" id="1924159"><strong>Облучение природное</strong> — облучение, которое обусловлено природными источниками излучения.</div></div><div class="ACT_TEXT lx_elem" onmousemove="lx_mo(event,1924160)"><div class="lx_elem2"><div class="lx_elem3"><span onclick="lx_sf(1924160)"><img src="/img/cmt.svg" />Ҳужжатга таклиф юбориш</span><span onclick="lx_pa(1924160)"><img src="/img/vlm.svg" />Аудиони тинглаш</span><span onclick="lx_cl(1924160)"><img src="/img/lnk.svg" />Ҳужжат элементидан ҳавола олиш</span></div></div><div name="1924160" id="1924160"><strong>Облучение производственное</strong> — облучение работников от всех техногенных и природных источников ионизирующего излучения в процессе производственной деятельности.</div></div><div class="ACT_TEXT lx_elem" onmousemove="lx_mo(event,1924161)"><div class="lx_elem2"><div class="lx_elem3"><span onclick="lx_sf(1924161)"><img src="/img/cmt.svg" />Ҳужжатга таклиф юбориш</span><span onclick="lx_pa(1924161)"><img src="/img/vlm.svg" />Аудиони тинглаш</span><span onclick="lx_cl(1924161)"><img src="/img/lnk.svg" />Ҳужжат элементидан ҳавола олиш</span></div></div><div name="1924161" id="1924161"><strong>Облучение профессиональное</strong> — облучение персонала в процессе его работы с техногенными источниками ионизирующего излучения.</div></div><div class="ACT_TEXT lx_elem" onmousemove="lx_mo(event,1924162)"><div class="lx_elem2"><div class="lx_elem3"><span onclick="lx_sf(1924162)"><img src="/img/cmt.svg" />Ҳужжатга таклиф юбориш</span><span onclick="lx_pa(1924162)"><img src="/img/vlm.svg" />Аудиони тинглаш</span><span onclick="lx_cl(1924162)"><img src="/img/lnk.svg" />Ҳужжат элементидан ҳавола олиш</span></div></div><div name="1924162" id="1924162"><strong>Облучение техногенное</strong> — облучение от техногенных источников как в нормальных, так и в аварийных условиях, за исключением медицинского облучения пациентов.</div></div><div class="ACT_TEXT lx_elem" onmousemove="lx_mo(event,1924163)"><div class="lx_elem2"><div class="lx_elem3"><span onclick="lx_sf(1924163)"><img src="/img/cmt.svg" />Ҳужжатга таклиф юбориш</span><span onclick="lx_pa(1924163)"><img src="/img/vlm.svg" />Аудиони тинглаш</span><span onclick="lx_cl(1924163)"><img src="/img/lnk.svg" />Ҳужжат элементидан ҳавола олиш</span></div></div><div name="1924163" id="1924163"><strong>Обращение с отходами радиоактивными</strong> — все виды деятельности, связанные со сбором, транспортированием, переработкой, хранением и (или) захоронением радиоактивных отходов.</div></div><div class="ACT_TEXT lx_elem" onmousemove="lx_mo(event,1924164)"><div class="lx_elem2"><div class="lx_elem3"><span onclick="lx_sf(1924164)"><img src="/img/cmt.svg" />Ҳужжатга таклиф юбориш</span><span onclick="lx_pa(1924164)"><img src="/img/vlm.svg" />Аудиони тинглаш</span><span onclick="lx_cl(1924164)"><img src="/img/lnk.svg" />Ҳужжат элементидан ҳавола олиш</span></div></div><div name="1924164" id="1924164"><strong>Объект радиационный</strong> — организация, где осуществляется обращение с техногенными источниками ионизирующего излучения.</div></div><div class="ACT_TEXT lx_elem" onmousemove="lx_mo(event,1924165)"><div class="lx_elem2"><div class="lx_elem3"><span onclick="lx_sf(1924165)"><img src="/img/cmt.svg" />Ҳужжатга таклиф юбориш</span><span onclick="lx_pa(1924165)"><img src="/img/vlm.svg" />Аудиони тинглаш</span><span onclick="lx_cl(1924165)"><img src="/img/lnk.svg" />Ҳужжат элементидан ҳавола олиш</span></div></div><div name="1924165" id="1924165"><strong>Ограниченная часть населения</strong> — лица, которые не работают непосредственно с источниками излучения, но по условиям проживания, профессиональной деятельности или размещения рабочих мест могут подвергаться воздействию радиоактивных веществ и других источников излучения, применяемых в учреждениях и (или) удаляемых во внешнюю среду с отходами (категория Б).</div></div><div class="ACT_TEXT lx_elem" onmousemove="lx_mo(event,1924167)"><div class="lx_elem2"><div class="lx_elem3"><span onclick="lx_sf(1924167)"><img src="/img/cmt.svg" />Ҳужжатга таклиф юбориш</span><span onclick="lx_pa(1924167)"><img src="/img/vlm.svg" />Аудиони тинглаш</span><span onclick="lx_cl(1924167)"><img src="/img/lnk.svg" />Ҳужжат элементидан ҳавола олиш</span></div></div><div name="1924167" id="1924167"><strong>Органы государственного надзора за радиационной безопасностью</strong> — органы, которые уполномочены Правительством Республики Узбекистан осуществлять надзор за радиационной безопасностью.</div></div><div class="ACT_TEXT lx_elem" onmousemove="lx_mo(event,1924169)"><div class="lx_elem2"><div class="lx_elem3"><span onclick="lx_sf(1924169)"><img src="/img/cmt.svg" />Ҳужжатга таклиф юбориш</span><span onclick="lx_pa(1924169)"><img src="/img/vlm.svg" />Аудиони тинглаш</span><span onclick="lx_cl(1924169)"><img src="/img/lnk.svg" />Ҳужжат элементидан ҳавола олиш</span></div></div><div name="1924169" id="1924169"><strong>Отходы радиоактивные</strong> — не предназначенные для дальнейшего использования вещества в любом агрегатном состоянии, в которых содержание радионуклидов превышает уровни, установленные настоящими Нормами и Правилами.</div></div><div class="ACT_TEXT lx_elem" onmousemove="lx_mo(event,1924170)"><div class="lx_elem2"><div class="lx_elem3"><span onclick="lx_sf(1924170)"><img src="/img/cmt.svg" />Ҳужжатга таклиф юбориш</span><span onclick="lx_pa(1924170)"><img src="/img/vlm.svg" />Аудиони тинглаш</span><span onclick="lx_cl(1924170)"><img src="/img/lnk.svg" />Ҳужжат элементидан ҳавола олиш</span></div></div><div name="1924170" id="1924170"><strong>Паспорт радиационно-гигиенический организации</strong> — документ, характеризующий состояние радиационной безопасности в организации и содержащий рекомендации по ее улучшению.</div></div><div class="ACT_TEXT lx_elem" onmousemove="lx_mo(event,1924171)"><div class="lx_elem2"><div class="lx_elem3"><span onclick="lx_sf(1924171)"><img src="/img/cmt.svg" />Ҳужжатга таклиф юбориш</span><span onclick="lx_pa(1924171)"><img src="/img/vlm.svg" />Аудиони тинглаш</span><span onclick="lx_cl(1924171)"><img src="/img/lnk.svg" />Ҳужжат элементидан ҳавола олиш</span></div></div><div name="1924171" id="1924171"><strong>Персонал </strong>— лица, работающие с техногенными источниками излучения (категория А).</div></div><div class="ACT_TEXT lx_elem" onmousemove="lx_mo(event,1924172)"><div class="lx_elem2"><div class="lx_elem3"><span onclick="lx_sf(1924172)"><img src="/img/cmt.svg" />Ҳужжатга таклиф юбориш</span><span onclick="lx_pa(1924172)"><img src="/img/vlm.svg" />Аудиони тинглаш</span><span onclick="lx_cl(1924172)"><img src="/img/lnk.svg" />Ҳужжат элементидан ҳавола олиш</span></div></div><div name="1924172" id="1924172"><strong>Предел дозы (ПД)</strong> — величина годовой эффективной или эквивалентной дозы техногенного облучения, которая не должна превышаться в условиях нормальной работы. Соблюдение предела годовой дозы предотвращает возникновение детерминированных эффектов, а вероятность стохастических эффектов сохраняется при этом на приемлемом уровне.</div></div><div class="ACT_TEXT lx_elem" onmousemove="lx_mo(event,1924173)"><div class="lx_elem2"><div class="lx_elem3"><span onclick="lx_sf(1924173)"><img src="/img/cmt.svg" />Ҳужжатга таклиф юбориш</span><span onclick="lx_pa(1924173)"><img src="/img/vlm.svg" />Аудиони тинглаш</span><span onclick="lx_cl(1924173)"><img src="/img/lnk.svg" />Ҳужжат элементидан ҳавола олиш</span></div></div><div name="1924173" id="1924173"><strong>Предел годового поступления (ПГП)</strong> — допустимый уровень поступления данного радионуклида в организм в течение года, который при монофакторном воздействии приводит к облучению условного человека ожидаемой дозой, равной соответствующему пределу годовой дозы.</div></div><div class="ACT_TEXT lx_elem" onmousemove="lx_mo(event,1924174)"><div class="lx_elem2"><div class="lx_elem3"><span onclick="lx_sf(1924174)"><img src="/img/cmt.svg" />Ҳужжатга таклиф юбориш</span><span onclick="lx_pa(1924174)"><img src="/img/vlm.svg" />Аудиони тинглаш</span><span onclick="lx_cl(1924174)"><img src="/img/lnk.svg" />Ҳужжат элементидан ҳавола олиш</span></div></div><div name="1924174" id="1924174"><strong>Работа с источником ионизирующего излучения</strong> — все виды обращения с источником излучения на рабочем месте, включая радиационный контроль.</div></div><div class="ACT_TEXT lx_elem" onmousemove="lx_mo(event,1924175)"><div class="lx_elem2"><div class="lx_elem3"><span onclick="lx_sf(1924175)"><img src="/img/cmt.svg" />Ҳужжатга таклиф юбориш</span><span onclick="lx_pa(1924175)"><img src="/img/vlm.svg" />Аудиони тинглаш</span><span onclick="lx_cl(1924175)"><img src="/img/lnk.svg" />Ҳужжат элементидан ҳавола олиш</span></div></div><div name="1924175" id="1924175"><strong>Работа с радиоактивными веществами</strong> — все виды обращения с радиоактивными веществами на рабочем месте, включая радиационный контроль.</div></div><div class="ACT_TEXT lx_elem" onmousemove="lx_mo(event,1924176)"><div class="lx_elem2"><div class="lx_elem3"><span onclick="lx_sf(1924176)"><img src="/img/cmt.svg" />Ҳужжатга таклиф юбориш</span><span onclick="lx_pa(1924176)"><img src="/img/vlm.svg" />Аудиони тинглаш</span><span onclick="lx_cl(1924176)"><img src="/img/lnk.svg" />Ҳужжат элементидан ҳавола олиш</span></div></div><div name="1924176" id="1924176"><strong>Радиоактивность</strong> — самопроизвольное превращение (распад) атомных ядер, приводящее к изменению их атомного номера или массового числа.</div></div><div class="ACT_TEXT lx_elem" onmousemove="lx_mo(event,1924177)"><div class="lx_elem2"><div class="lx_elem3"><span onclick="lx_sf(1924177)"><img src="/img/cmt.svg" />Ҳужжатга таклиф юбориш</span><span onclick="lx_pa(1924177)"><img src="/img/vlm.svg" />Аудиони тинглаш</span><span onclick="lx_cl(1924177)"><img src="/img/lnk.svg" />Ҳужжат элементидан ҳавола олиш</span></div></div><div name="1924177" id="1924177"><strong>Радионуклид</strong> — радиоактивный нуклид.</div></div><div class="ACT_TEXT lx_elem" onmousemove="lx_mo(event,1924178)"><div class="lx_elem2"><div class="lx_elem3"><span onclick="lx_sf(1924178)"><img src="/img/cmt.svg" />Ҳужжатга таклиф юбориш</span><span onclick="lx_pa(1924178)"><img src="/img/vlm.svg" />Аудиони тинглаш</span><span onclick="lx_cl(1924178)"><img src="/img/lnk.svg" />Ҳужжат элементидан ҳавола олиш</span></div></div><div name="1924178" id="1924178"><strong>Радиационная безопасность населения</strong> — состояние защищенности настоящего и будущего поколения людей от вредного для их здоровья воздействия ионизирующего излучения.</div></div><div class="ACT_TEXT lx_elem" onmousemove="lx_mo(event,1924179)"><div class="lx_elem2"><div class="lx_elem3"><span onclick="lx_sf(1924179)"><img src="/img/cmt.svg" />Ҳужжатга таклиф юбориш</span><span onclick="lx_pa(1924179)"><img src="/img/vlm.svg" />Аудиони тинглаш</span><span onclick="lx_cl(1924179)"><img src="/img/lnk.svg" />Ҳужжат элементидан ҳавола олиш</span></div></div><div name="1924179" id="1924179"><strong>Радиоактивное вещество</strong> — вещество, имеющее в своем составе радионуклиды.</div></div><div class="ACT_TEXT lx_elem" onmousemove="lx_mo(event,1924180)"><div class="lx_elem2"><div class="lx_elem3"><span onclick="lx_sf(1924180)"><img src="/img/cmt.svg" />Ҳужжатга таклиф юбориш</span><span onclick="lx_pa(1924180)"><img src="/img/vlm.svg" />Аудиони тинглаш</span><span onclick="lx_cl(1924180)"><img src="/img/lnk.svg" />Ҳужжат элементидан ҳавола олиш</span></div></div><div name="1924180" id="1924180"><strong>Радиационно-гигиенический паспорт организации</strong> — документ, характеризующий состояние радиационной безопасности в организации и содержащий рекомендации по ее улучшению.</div></div><div class="ACT_TEXT lx_elem" onmousemove="lx_mo(event,1924181)"><div class="lx_elem2"><div class="lx_elem3"><span onclick="lx_sf(1924181)"><img src="/img/cmt.svg" />Ҳужжатга таклиф юбориш</span><span onclick="lx_pa(1924181)"><img src="/img/vlm.svg" />Аудиони тинглаш</span><span onclick="lx_cl(1924181)"><img src="/img/lnk.svg" />Ҳужжат элементидан ҳавола олиш</span></div></div><div name="1924181" id="1924181"><strong>Риск радиационный</strong> — вероятность возникновения у человека или его потомства какого-либо вредного эффекта в результате облучения.</div></div><div class="ACT_TEXT lx_elem" onmousemove="lx_mo(event,1924183)"><div class="lx_elem2"><div class="lx_elem3"><span onclick="lx_sf(1924183)"><img src="/img/cmt.svg" />Ҳужжатга таклиф юбориш</span><span onclick="lx_pa(1924183)"><img src="/img/vlm.svg" />Аудиони тинглаш</span><span onclick="lx_cl(1924183)"><img src="/img/lnk.svg" />Ҳужжат элементидан ҳавола олиш</span></div></div><div name="1924183" id="1924183"><strong>Санитарный пропускник (санпропускник)</strong> — комплекс помещений, предназначенных для смены одежды, обуви, санитарной обработки персонала, контроля радиоактивного загрязнения кожных покровов, средств индивидуальной защиты, специальной и личной одежды персонала.</div></div><div class="ACT_TEXT lx_elem" onmousemove="lx_mo(event,1924184)"><div class="lx_elem2"><div class="lx_elem3"><span onclick="lx_sf(1924184)"><img src="/img/cmt.svg" />Ҳужжатга таклиф юбориш</span><span onclick="lx_pa(1924184)"><img src="/img/vlm.svg" />Аудиони тинглаш</span><span onclick="lx_cl(1924184)"><img src="/img/lnk.svg" />Ҳужжат элементидан ҳавола олиш</span></div></div><div name="1924184" id="1924184"><strong>Саншлюз</strong> — помещение между зонами радиационного объекта, предназначенное для предварительной дезактивации и смены дополнительных средств индивидуальной защиты.</div></div><div class="ACT_TEXT lx_elem" onmousemove="lx_mo(event,1924186)"><div class="lx_elem2"><div class="lx_elem3"><span onclick="lx_sf(1924186)"><img src="/img/cmt.svg" />Ҳужжатга таклиф юбориш</span><span onclick="lx_pa(1924186)"><img src="/img/vlm.svg" />Аудиони тинглаш</span><span onclick="lx_cl(1924186)"><img src="/img/lnk.svg" />Ҳужжат элементидан ҳавола олиш</span></div></div><div name="1924186" id="1924186"><strong>Санитарно-эпидемиологическое заключение</strong> — документ, разрешающий организации в течение определенного времени проводить регламентированные работы с источниками ионизирующего излучения в конкретных помещениях, вне помещений и на транспортных средствах.</div></div><div class="ACT_TEXT lx_elem" onmousemove="lx_mo(event,1924187)"><div class="lx_elem2"><div class="lx_elem3"><span onclick="lx_sf(1924187)"><img src="/img/cmt.svg" />Ҳужжатга таклиф юбориш</span><span onclick="lx_pa(1924187)"><img src="/img/vlm.svg" />Аудиони тинглаш</span><span onclick="lx_cl(1924187)"><img src="/img/lnk.svg" />Ҳужжат элементидан ҳавола олиш</span></div></div><div name="1924187" id="1924187"><strong>Средство индивидуальной защиты</strong> — средство защиты персонала от внешнего облучения, поступления радиоактивных веществ внутрь организма и радиоактивного загрязнения кожных покровов.</div></div><div class="ACT_TEXT lx_elem" onmousemove="lx_mo(event,1924188)"><div class="lx_elem2"><div class="lx_elem3"><span onclick="lx_sf(1924188)"><img src="/img/cmt.svg" />Ҳужжатга таклиф юбориш</span><span onclick="lx_pa(1924188)"><img src="/img/vlm.svg" />Аудиони тинглаш</span><span onclick="lx_cl(1924188)"><img src="/img/lnk.svg" />Ҳужжат элементидан ҳавола олиш</span></div></div><div name="1924188" id="1924188"><strong>Уровень вмешательства (УВ)</strong> — уровень радиационного фактора, при превышении которого следует проводить определенные защитные мероприятия.</div></div><div class="ACT_TEXT lx_elem" onmousemove="lx_mo(event,1924190)"><div class="lx_elem2"><div class="lx_elem3"><span onclick="lx_sf(1924190)"><img src="/img/cmt.svg" />Ҳужжатга таклиф юбориш</span><span onclick="lx_pa(1924190)"><img src="/img/vlm.svg" />Аудиони тинглаш</span><span onclick="lx_cl(1924190)"><img src="/img/lnk.svg" />Ҳужжат элементидан ҳавола олиш</span></div></div><div name="1924190" id="1924190"><strong>Уровень контрольный</strong> — значение контролируемой величины дозы, мощности дозы, радиоактивного загрязнения и т. д., устанавливаемое для оперативного радиационного контроля, с целью закрепления достигнутого уровня радиационной безопасности, обеспечения дальнейшего снижения облучения персонала и населения, радиоактивного загрязнения окружающей среды.</div></div><div class="ACT_TEXT lx_elem" onmousemove="lx_mo(event,1924191)"><div class="lx_elem2"><div class="lx_elem3"><span onclick="lx_sf(1924191)"><img src="/img/cmt.svg" />Ҳужжатга таклиф юбориш</span><span onclick="lx_pa(1924191)"><img src="/img/vlm.svg" />Аудиони тинглаш</span><span onclick="lx_cl(1924191)"><img src="/img/lnk.svg" />Ҳужжат элементидан ҳавола олиш</span></div></div><div name="1924191" id="1924191"><strong>Устройство (источник), генерирующее ионизирующее излучение</strong> — электрофизическое устройство (рентгеновский аппарат, ускоритель, генератор и т.д.), в котором ионизирующее излучение возникает за счет изменения скорости заряженных частиц, их аннигиляции или ядерных реакций.</div></div><div class="ACT_TEXT lx_elem" onmousemove="lx_mo(event,1924192)"><div class="lx_elem2"><div class="lx_elem3"><span onclick="lx_sf(1924192)"><img src="/img/cmt.svg" />Ҳужжатга таклиф юбориш</span><span onclick="lx_pa(1924192)"><img src="/img/vlm.svg" />Аудиони тинглаш</span><span onclick="lx_cl(1924192)"><img src="/img/lnk.svg" />Ҳужжат элементидан ҳавола олиш</span></div></div><div name="1924192" id="1924192"><strong>ЦГСЭН</strong> — Центр(ы) Государственного санитарно-эпидемиологического надзора.</div></div><div class="ACT_TEXT lx_elem" onmousemove="lx_mo(event,1924193)"><div class="lx_elem2"><div class="lx_elem3"><span onclick="lx_sf(1924193)"><img src="/img/cmt.svg" />Ҳужжатга таклиф юбориш</span><span onclick="lx_pa(1924193)"><img src="/img/vlm.svg" />Аудиони тинглаш</span><span onclick="lx_cl(1924193)"><img src="/img/lnk.svg" />Ҳужжат элементидан ҳавола олиш</span></div></div><div name="1924193" id="1924193"><strong>Фон радиационный естественный</strong> — показатель космического излучения и излучения от рассеянных в земной коре, почве, воздухе, воде, и других объектах внешней среды естественных радионуклидов.</div></div><div class="ACT_TEXT lx_elem" onmousemove="lx_mo(event,1924194)"><div class="lx_elem2"><div class="lx_elem3"><span onclick="lx_sf(1924194)"><img src="/img/cmt.svg" />Ҳужжатга таклиф юбориш</span><span onclick="lx_pa(1924194)"><img src="/img/vlm.svg" />Аудиони тинглаш</span><span onclick="lx_cl(1924194)"><img src="/img/lnk.svg" />Ҳужжат элементидан ҳавола олиш</span></div></div><div name="1924194" id="1924194"><strong>Фон радиационный технологически измененный</strong> — естественный фон излучения, измененный в результате деятельности людей.</div></div><div class="ACT_TEXT lx_elem" onmousemove="lx_mo(event,1924195)"><div class="lx_elem2"><div class="lx_elem3"><span onclick="lx_sf(1924195)"><img src="/img/cmt.svg" />Ҳужжатга таклиф юбориш</span><span onclick="lx_pa(1924195)"><img src="/img/vlm.svg" />Аудиони тинглаш</span><span onclick="lx_cl(1924195)"><img src="/img/lnk.svg" />Ҳужжат элементидан ҳавола олиш</span></div></div><div name="1924195" id="1924195"><strong>Эффекты излучения детерминированные</strong> — клинически выявляемые вредные биологические эффекты, вызванные ионизирующим излучением, в отношении которых предполагается существование порога, ниже которого эффект отсутствует, а выше— тяжесть эффекта зависит от дозы.</div></div><div class="ACT_TEXT lx_elem" onmousemove="lx_mo(event,1924196)"><div class="lx_elem2"><div class="lx_elem3"><span onclick="lx_sf(1924196)"><img src="/img/cmt.svg" />Ҳужжатга таклиф юбориш</span><span onclick="lx_pa(1924196)"><img src="/img/vlm.svg" />Аудиони тинглаш</span><span onclick="lx_cl(1924196)"><img src="/img/lnk.svg" />Ҳужжат элементидан ҳавола олиш</span></div></div><div name="1924196" id="1924196"><strong>Эффекты излучения стохастические</strong> — вредные биологические эффекты, вызванные ионизирующим излучением, не имеющие дозового порога возникновения, вероятность возникновения которых пропорциональна дозе и для которых тяжесть проявления не зависит от дозы.</div></div><div class="TEXT_HEADER_DEFAULT lx_elem" onmousemove="lx_mo(event,1923955)"><div class="lx_elem2"><div class="lx_elem3"><span onclick="lx_sf(1923955)"><img src="/img/cmt.svg" />Ҳужжатга таклиф юбориш</span><span onclick="lx_pa(1923955)"><img src="/img/vlm.svg" />Аудиони тинглаш</span><span onclick="lx_cl(1923955)"><img src="/img/lnk.svg" />Ҳужжат элементидан ҳавола олиш</span></div></div><div name="1923955" id="1923955">НОРМЫ РАДИАЦИОННОЙ БЕЗОПАСНОСТИ (НРБ-2006) </div></div><div class="TEXT_HEADER_DEFAULT lx_elem" onmousemove="lx_mo(event,1908092)"><div class="lx_elem2"><div class="lx_elem3"><span onclick="lx_sf(1908092)"><img src="/img/cmt.svg" />Ҳужжатга таклиф юбориш</span><span onclick="lx_pa(1908092)"><img src="/img/vlm.svg" />Аудиони тинглаш</span><span onclick="lx_cl(1908092)"><img src="/img/lnk.svg" />Ҳужжат элементидан ҳавола олиш</span></div></div><div name="1908092" id="1908092">1. Область применения</div></div><div class="ACT_TEXT lx_elem" onmousemove="lx_mo(event,1908093)"><div class="lx_elem2"><div class="lx_elem3"><span onclick="lx_sf(1908093)"><img src="/img/cmt.svg" />Ҳужжатга таклиф юбориш</span><span onclick="lx_pa(1908093)"><img src="/img/vlm.svg" />Аудиони тинглаш</span><span onclick="lx_cl(1908093)"><img src="/img/lnk.svg" />Ҳужжат элементидан ҳавола олиш</span></div></div><div name="1908093" id="1908093">1.1. Настоящие Нормы являются основополагающим документом, регламентирующим требования <a href="/docs/13868">Закона </a>Республики Узбекистан «О радиационной безопасности» в форме основных пределов доз, допустимых уровней воздействия ионизирующего излучения и других требований по ограничению облучения человека. Никакие другие нормативные и методические документы не должны противоречить требованиям Норм.</div></div><div class="ACT_TEXT lx_elem" onmousemove="lx_mo(event,1908094)"><div class="lx_elem2"><div class="lx_elem3"><span onclick="lx_sf(1908094)"><img src="/img/cmt.svg" />Ҳужжатга таклиф юбориш</span><span onclick="lx_pa(1908094)"><img src="/img/vlm.svg" />Аудиони тинглаш</span><span onclick="lx_cl(1908094)"><img src="/img/lnk.svg" />Ҳужжат элементидан ҳавола олиш</span></div></div><div name="1908094" id="1908094">1.2. Нормы распространяются на следующие виды воздействия ионизирующего излучения на человека:</div></div><div class="ACT_TEXT lx_elem" onmousemove="lx_mo(event,1908095)"><div class="lx_elem2"><div class="lx_elem3"><span onclick="lx_sf(1908095)"><img src="/img/cmt.svg" />Ҳужжатга таклиф юбориш</span><span onclick="lx_pa(1908095)"><img src="/img/vlm.svg" />Аудиони тинглаш</span><span onclick="lx_cl(1908095)"><img src="/img/lnk.svg" />Ҳужжат элементидан ҳавола олиш</span></div></div><div name="1908095" id="1908095">в условиях нормальной эксплуатации техногенных источников излучения;</div></div><div class="ACT_TEXT lx_elem" onmousemove="lx_mo(event,1908096)"><div class="lx_elem2"><div class="lx_elem3"><span onclick="lx_sf(1908096)"><img src="/img/cmt.svg" />Ҳужжатга таклиф юбориш</span><span onclick="lx_pa(1908096)"><img src="/img/vlm.svg" />Аудиони тинглаш</span><span onclick="lx_cl(1908096)"><img src="/img/lnk.svg" />Ҳужжат элементидан ҳавола олиш</span></div></div><div name="1908096" id="1908096">в результате радиационной аварии;</div></div><div class="ACT_TEXT lx_elem" onmousemove="lx_mo(event,1908098)"><div class="lx_elem2"><div class="lx_elem3"><span onclick="lx_sf(1908098)"><img src="/img/cmt.svg" />Ҳужжатга таклиф юбориш</span><span onclick="lx_pa(1908098)"><img src="/img/vlm.svg" />Аудиони тинглаш</span><span onclick="lx_cl(1908098)"><img src="/img/lnk.svg" />Ҳужжат элементидан ҳавола олиш</span></div></div><div name="1908098" id="1908098">от природных источников излучения;</div></div><div class="ACT_TEXT lx_elem" onmousemove="lx_mo(event,1908099)"><div class="lx_elem2"><div class="lx_elem3"><span onclick="lx_sf(1908099)"><img src="/img/cmt.svg" />Ҳужжатга таклиф юбориш</span><span onclick="lx_pa(1908099)"><img src="/img/vlm.svg" />Аудиони тинглаш</span><span onclick="lx_cl(1908099)"><img src="/img/lnk.svg" />Ҳужжат элементидан ҳавола олиш</span></div></div><div name="1908099" id="1908099">при медицинском облучении.</div></div><div class="ACT_TEXT lx_elem" onmousemove="lx_mo(event,1908100)"><div class="lx_elem2"><div class="lx_elem3"><span onclick="lx_sf(1908100)"><img src="/img/cmt.svg" />Ҳужжатга таклиф юбориш</span><span onclick="lx_pa(1908100)"><img src="/img/vlm.svg" />Аудиони тинглаш</span><span onclick="lx_cl(1908100)"><img src="/img/lnk.svg" />Ҳужжат элементидан ҳавола олиш</span></div></div><div name="1908100" id="1908100">Требования по обеспечению радиационной безопасности сформулированы для каждого вида облучения. Суммарная доза от всех видов облучения используется для оценки радиационной обстановки и ожидаемых медицинских последствий, а также для обоснования защитных мероприятий и оценки их эффективности.</div></div><div class="ACT_TEXT lx_elem" onmousemove="lx_mo(event,1908101)"><div class="lx_elem2"><div class="lx_elem3"><span onclick="lx_sf(1908101)"><img src="/img/cmt.svg" />Ҳужжатга таклиф юбориш</span><span onclick="lx_pa(1908101)"><img src="/img/vlm.svg" />Аудиони тинглаш</span><span onclick="lx_cl(1908101)"><img src="/img/lnk.svg" />Ҳужжат элементидан ҳавола олиш</span></div></div><div name="1908101" id="1908101">1.3. Требования Норм и Правил не распространяются на источники излучения, создающие при любых условиях обращения с ними:</div></div><div class="ACT_TEXT lx_elem" onmousemove="lx_mo(event,1908102)"><div class="lx_elem2"><div class="lx_elem3"><span onclick="lx_sf(1908102)"><img src="/img/cmt.svg" />Ҳужжатга таклиф юбориш</span><span onclick="lx_pa(1908102)"><img src="/img/vlm.svg" />Аудиони тинглаш</span><span onclick="lx_cl(1908102)"><img src="/img/lnk.svg" />Ҳужжат элементидан ҳавола олиш</span></div></div><div name="1908102" id="1908102">индивидуальную годовую эффективную дозу не более 0,1 мЗв;</div></div><div class="ACT_TEXT lx_elem" onmousemove="lx_mo(event,1908103)"><div class="lx_elem2"><div class="lx_elem3"><span onclick="lx_sf(1908103)"><img src="/img/cmt.svg" />Ҳужжатга таклиф юбориш</span><span onclick="lx_pa(1908103)"><img src="/img/vlm.svg" />Аудиони тинглаш</span><span onclick="lx_cl(1908103)"><img src="/img/lnk.svg" />Ҳужжат элементидан ҳавола олиш</span></div></div><div name="1908103" id="1908103">индивидуальную годовую эквивалентную дозу в коже, кистях, стопах не более 50 мЗв и в хрусталике не более 15 мЗв;</div></div><div class="ACT_TEXT lx_elem" onmousemove="lx_mo(event,1908104)"><div class="lx_elem2"><div class="lx_elem3"><span onclick="lx_sf(1908104)"><img src="/img/cmt.svg" />Ҳужжатга таклиф юбориш</span><span onclick="lx_pa(1908104)"><img src="/img/vlm.svg" />Аудиони тинглаш</span><span onclick="lx_cl(1908104)"><img src="/img/lnk.svg" />Ҳужжат элементидан ҳавола олиш</span></div></div><div name="1908104" id="1908104">коллективную эффективную годовую дозу не более 1 чел.-Зв, либо когда при коллективной дозе более 1 чел.-Зв оценка по принципу оптимизации показывает нецелесообразность снижения коллективной дозы.</div></div><div class="ACT_TEXT lx_elem" onmousemove="lx_mo(event,1908105)"><div class="lx_elem2"><div class="lx_elem3"><span onclick="lx_sf(1908105)"><img src="/img/cmt.svg" />Ҳужжатга таклиф юбориш</span><span onclick="lx_pa(1908105)"><img src="/img/vlm.svg" />Аудиони тинглаш</span><span onclick="lx_cl(1908105)"><img src="/img/lnk.svg" />Ҳужжат элементидан ҳавола олиш</span></div></div><div name="1908105" id="1908105">Требования Норм и Правил не распространяются также на космическое излучение на поверхности Земли и внутреннее облучение человека, создаваемое природным калием, на которые практически невозможно влиять.</div></div><div class="ACT_TEXT lx_elem" onmousemove="lx_mo(event,1908106)"><div class="lx_elem2"><div class="lx_elem3"><span onclick="lx_sf(1908106)"><img src="/img/cmt.svg" />Ҳужжатга таклиф юбориш</span><span onclick="lx_pa(1908106)"><img src="/img/vlm.svg" />Аудиони тинглаш</span><span onclick="lx_cl(1908106)"><img src="/img/lnk.svg" />Ҳужжат элементидан ҳавола олиш</span></div></div><div name="1908106" id="1908106">Перечень и порядок освобождения источников излучения от радиационного контроля (лицензирования, учета и других аспектов контроля по радиационному фактору), приводится в <a href="/docs/1908086#1924429">ОСПОРБ-2006</a>.</div></div><div class="TEXT_HEADER_DEFAULT lx_elem" onmousemove="lx_mo(event,1908107)"><div class="lx_elem2"><div class="lx_elem3"><span onclick="lx_sf(1908107)"><img src="/img/cmt.svg" />Ҳужжатга таклиф юбориш</span><span onclick="lx_pa(1908107)"><img src="/img/vlm.svg" />Аудиони тинглаш</span><span onclick="lx_cl(1908107)"><img src="/img/lnk.svg" />Ҳужжат элементидан ҳавола олиш</span></div></div><div name="1908107" id="1908107">2. Общие положения</div></div><div class="ACT_TEXT lx_elem" onmousemove="lx_mo(event,1908108)"><div class="lx_elem2"><div class="lx_elem3"><span onclick="lx_sf(1908108)"><img src="/img/cmt.svg" />Ҳужжатга таклиф юбориш</span><span onclick="lx_pa(1908108)"><img src="/img/vlm.svg" />Аудиони тинглаш</span><span onclick="lx_cl(1908108)"><img src="/img/lnk.svg" />Ҳужжат элементидан ҳавола олиш</span></div></div><div name="1908108" id="1908108">2.1. Главной целью радиационной безопасности является охрана здоровья населения, включая персонал, от вредного воздействия ионизирующего излучения путем соблюдения основных принципов и норм радиационной безопасности без необоснованных ограничений полезной деятельности при использовании излучения в различных областях хозяйства, в науке и медицине.</div></div><div class="ACT_TEXT lx_elem" onmousemove="lx_mo(event,1908109)"><div class="lx_elem2"><div class="lx_elem3"><span onclick="lx_sf(1908109)"><img src="/img/cmt.svg" />Ҳужжатга таклиф юбориш</span><span onclick="lx_pa(1908109)"><img src="/img/vlm.svg" />Аудиони тинглаш</span><span onclick="lx_cl(1908109)"><img src="/img/lnk.svg" />Ҳужжат элементидан ҳавола олиш</span></div></div><div name="1908109" id="1908109">2.2. Основу системы радиационной безопасности, сформулированной в данных Нормах, составляют современные международные научные рекомендации, опыт стран, достигших высокого уровня радиационной защиты населения, и опыт Республики Узбекистан. Данные мировой науки показывают, что соблюдение Международных основных норм безопасности, которые легли в основу Норм, надежно гарантирует безопасность работающих с источниками излучения и всего населения.</div></div><div class="ACT_TEXT lx_elem" onmousemove="lx_mo(event,1908110)"><div class="lx_elem2"><div class="lx_elem3"><span onclick="lx_sf(1908110)"><img src="/img/cmt.svg" />Ҳужжатга таклиф юбориш</span><span onclick="lx_pa(1908110)"><img src="/img/vlm.svg" />Аудиони тинглаш</span><span onclick="lx_cl(1908110)"><img src="/img/lnk.svg" />Ҳужжат элементидан ҳавола олиш</span></div></div><div name="1908110" id="1908110">2.3. Ионизирующая радиация при воздействии на организм человека может вызвать два вида эффектов, которые клинической медициной относятся к болезням: детерминированные пороговые эффекты (лучевая болезнь, лучевой дерматит, лучевая катаракта, лучевое бесплодие, аномалии в развитии плода и др.) и стохастические (вероятностные) беспороговые эффекты (злокачественные опухоли, лейкозы, наследственные болезни).</div></div><div class="ACT_TEXT lx_elem" onmousemove="lx_mo(event,1908111)"><div class="lx_elem2"><div class="lx_elem3"><span onclick="lx_sf(1908111)"><img src="/img/cmt.svg" />Ҳужжатга таклиф юбориш</span><span onclick="lx_pa(1908111)"><img src="/img/vlm.svg" />Аудиони тинглаш</span><span onclick="lx_cl(1908111)"><img src="/img/lnk.svg" />Ҳужжат элементидан ҳавола олиш</span></div></div><div name="1908111" id="1908111">2.4. <a href="/docs/1908086#1923955">НРБ-2006</a> относятся только к ионизирующему излучению. В Нормах учтено, что ионизирующее излучение является одним из множества источников риска для здоровья человека, и что риски, связанные с воздействием излучения, не должны соотноситься только с выгодами от его использования, но их следует сопоставлять и с рисками нерадиационного происхождения.</div></div><div class="ACT_TEXT lx_elem" onmousemove="lx_mo(event,1908112)"><div class="lx_elem2"><div class="lx_elem3"><span onclick="lx_sf(1908112)"><img src="/img/cmt.svg" />Ҳужжатга таклиф юбориш</span><span onclick="lx_pa(1908112)"><img src="/img/vlm.svg" />Аудиони тинглаш</span><span onclick="lx_cl(1908112)"><img src="/img/lnk.svg" />Ҳужжат элементидан ҳавола олиш</span></div></div><div name="1908112" id="1908112">2.5. Для обеспечения радиационной безопасности при нормальной эксплуатации источников излучения необходимо руководствоваться следующими основными принципами:</div></div><div class="ACT_TEXT lx_elem" onmousemove="lx_mo(event,1908113)"><div class="lx_elem2"><div class="lx_elem3"><span onclick="lx_sf(1908113)"><img src="/img/cmt.svg" />Ҳужжатга таклиф юбориш</span><span onclick="lx_pa(1908113)"><img src="/img/vlm.svg" />Аудиони тинглаш</span><span onclick="lx_cl(1908113)"><img src="/img/lnk.svg" />Ҳужжат элементидан ҳавола олиш</span></div></div><div name="1908113" id="1908113">непревышение допустимых пределов индивидуальных доз облучения граждан от всех источников излучения <strong>(принцип нормирования);</strong></div></div><div class="ACT_TEXT lx_elem" onmousemove="lx_mo(event,1908114)"><div class="lx_elem2"><div class="lx_elem3"><span onclick="lx_sf(1908114)"><img src="/img/cmt.svg" />Ҳужжатга таклиф юбориш</span><span onclick="lx_pa(1908114)"><img src="/img/vlm.svg" />Аудиони тинглаш</span><span onclick="lx_cl(1908114)"><img src="/img/lnk.svg" />Ҳужжат элементидан ҳавола олиш</span></div></div><div name="1908114" id="1908114">запрещение всех видов деятельности по использованию источников излучения, при которых полученная для человека и общества польза не превышает риск возможного вреда, причиненного дополнительным облучением <strong>(принцип обоснования);</strong></div></div><div class="ACT_TEXT lx_elem" onmousemove="lx_mo(event,1908115)"><div class="lx_elem2"><div class="lx_elem3"><span onclick="lx_sf(1908115)"><img src="/img/cmt.svg" />Ҳужжатга таклиф юбориш</span><span onclick="lx_pa(1908115)"><img src="/img/vlm.svg" />Аудиони тинглаш</span><span onclick="lx_cl(1908115)"><img src="/img/lnk.svg" />Ҳужжат элементидан ҳавола олиш</span></div></div><div name="1908115" id="1908115">поддержание на возможно низком и достижимом уровне с учетом экономических и социальных факторов индивидуальных доз облучения и числа облучаемых лиц при использовании любого источника излучения <strong>(принцип оптимизации).</strong></div></div><div class="ACT_TEXT lx_elem" onmousemove="lx_mo(event,1908116)"><div class="lx_elem2"><div class="lx_elem3"><span onclick="lx_sf(1908116)"><img src="/img/cmt.svg" />Ҳужжатга таклиф юбориш</span><span onclick="lx_pa(1908116)"><img src="/img/vlm.svg" />Аудиони тинглаш</span><span onclick="lx_cl(1908116)"><img src="/img/lnk.svg" />Ҳужжат элементидан ҳавола олиш</span></div></div><div name="1908116" id="1908116">2.6. Для обоснования расходов на радиационную защиту при реализации принципа оптимизации принимается, что облучение в коллективной эффективной дозе в 1 чел.-Зв приводит к потенциальному ущербу, равному потере 1 чел.-года жизни населения. Величина денежного эквивалента потери 1 чел.-года жизни населения устанавливается методическими указаниями МЗ РУз в размере не менее 1 годового душевого национального дохода.</div></div><div class="ACT_TEXT lx_elem" onmousemove="lx_mo(event,1908117)"><div class="lx_elem2"><div class="lx_elem3"><span onclick="lx_sf(1908117)"><img src="/img/cmt.svg" />Ҳужжатга таклиф юбориш</span><span onclick="lx_pa(1908117)"><img src="/img/vlm.svg" />Аудиони тинглаш</span><span onclick="lx_cl(1908117)"><img src="/img/lnk.svg" />Ҳужжат элементидан ҳавола олиш</span></div></div><div name="1908117" id="1908117">2.7. Индивидуальный и коллективный пожизненный риск возникновения стохастических эффектов определяется соответственно:</div></div><div class="TEXT_CENTER lx_elem" onmousemove="lx_mo(event,1919599)"><div class="lx_elem2"><div class="lx_elem3"><span onclick="lx_sf(1919599)"><img src="/img/cmt.svg" />Ҳужжатга таклиф юбориш</span><span onclick="lx_pa(1919599)"><img src="/img/vlm.svg" />Аудиони тинглаш</span><span onclick="lx_cl(1919599)"><img src="/img/lnk.svg" />Ҳужжат элементидан ҳавола олиш</span></div></div><div name="1919599" id="1919599"><img src="/files/1919595" /></div></div><div class="TEXT_CENTER lx_elem" onmousemove="lx_mo(event,1919600)"><div class="lx_elem2"><div class="lx_elem3"><span onclick="lx_sf(1919600)"><img src="/img/cmt.svg" />Ҳужжатга таклиф юбориш</span><span onclick="lx_pa(1919600)"><img src="/img/vlm.svg" />Аудиони тинглаш</span><span onclick="lx_cl(1919600)"><img src="/img/lnk.svg" />Ҳужжат элементидан ҳавола олиш</span></div></div><div name="1919600" id="1919600"><img src="/files/1919603" />, где:</div></div><div class="ACT_TEXT lx_elem" onmousemove="lx_mo(event,1919610)"><div class="lx_elem2"><div class="lx_elem3"><span onclick="lx_sf(1919610)"><img src="/img/cmt.svg" />Ҳужжатга таклиф юбориш</span><span onclick="lx_pa(1919610)"><img src="/img/vlm.svg" />Аудиони тинглаш</span><span onclick="lx_cl(1919610)"><img src="/img/lnk.svg" />Ҳужжат элементидан ҳавола олиш</span></div></div><div name="1919610" id="1919610"><strong>r, R </strong>— индивидуальный и коллективный пожизненный риск соответственно; </div></div><div class="ACT_TEXT lx_elem" onmousemove="lx_mo(event,1919614)"><div class="lx_elem2"><div class="lx_elem3"><span onclick="lx_sf(1919614)"><img src="/img/cmt.svg" />Ҳужжатга таклиф юбориш</span><span onclick="lx_pa(1919614)"><img src="/img/vlm.svg" />Аудиони тинглаш</span><span onclick="lx_cl(1919614)"><img src="/img/lnk.svg" />Ҳужжат элементидан ҳавола олиш</span></div></div><div name="1919614" id="1919614"><strong>Е —</strong> индивидуальная эффективная доза;</div></div><div class="ACT_TEXT lx_elem" onmousemove="lx_mo(event,1919619)"><div class="lx_elem2"><div class="lx_elem3"><span onclick="lx_sf(1919619)"><img src="/img/cmt.svg" />Ҳужжатга таклиф юбориш</span><span onclick="lx_pa(1919619)"><img src="/img/vlm.svg" />Аудиони тинглаш</span><span onclick="lx_cl(1919619)"><img src="/img/lnk.svg" />Ҳужжат элементидан ҳавола олиш</span></div></div><div name="1919619" id="1919619"><strong>P<sub>i</sub>(E)dE </strong>— вероятность для i-го индивидуума получить годовую эффективную дозу от Е до E+dE; </div></div><div class="ACT_TEXT lx_elem" onmousemove="lx_mo(event,1919622)"><div class="lx_elem2"><div class="lx_elem3"><span onclick="lx_sf(1919622)"><img src="/img/cmt.svg" />Ҳужжатга таклиф юбориш</span><span onclick="lx_pa(1919622)"><img src="/img/vlm.svg" />Аудиони тинглаш</span><span onclick="lx_cl(1919622)"><img src="/img/lnk.svg" />Ҳужжат элементидан ҳавола олиш</span></div></div><div name="1919622" id="1919622"><strong>r<sub>E</sub></strong>— коэффициент пожизненного риска сокращения длительности периода полноценной жизни в среднем на 15 лет на один стохастический эффект (от смертельного рака, серьезных наследственных эффектов и несмертельного рака, приведенного по вреду к последствиям от смертельного рака), равный:</div></div><div class="ACT_TEXT lx_elem" onmousemove="lx_mo(event,1919627)"><div class="lx_elem2"><div class="lx_elem3"><span onclick="lx_sf(1919627)"><img src="/img/cmt.svg" />Ҳужжатга таклиф юбориш</span><span onclick="lx_pa(1919627)"><img src="/img/vlm.svg" />Аудиони тинглаш</span><span onclick="lx_cl(1919627)"><img src="/img/lnk.svg" />Ҳужжат элементидан ҳавола олиш</span></div></div><div name="1919627" id="1919627"><strong>для производственного облучения:</strong></div></div><div class="TEXT_CENTER lx_elem" onmousemove="lx_mo(event,1919637)"><div class="lx_elem2"><div class="lx_elem3"><span onclick="lx_sf(1919637)"><img src="/img/cmt.svg" />Ҳужжатга таклиф юбориш</span><span onclick="lx_pa(1919637)"><img src="/img/vlm.svg" />Аудиони тинглаш</span><span onclick="lx_cl(1919637)"><img src="/img/lnk.svg" />Ҳужжат элементидан ҳавола олиш</span></div></div><div name="1919637" id="1919637">r<sub>E</sub> =5,6x10<sup>-2</sup>» 1/чел.-Зв при Е < 200 мЗв/год;</div></div><div class="TEXT_CENTER lx_elem" onmousemove="lx_mo(event,1919641)"><div class="lx_elem2"><div class="lx_elem3"><span onclick="lx_sf(1919641)"><img src="/img/cmt.svg" />Ҳужжатга таклиф юбориш</span><span onclick="lx_pa(1919641)"><img src="/img/vlm.svg" />Аудиони тинглаш</span><span onclick="lx_cl(1919641)"><img src="/img/lnk.svg" />Ҳужжат элементидан ҳавола олиш</span></div></div><div name="1919641" id="1919641">r<sub>E</sub> =1,1x10<sup>-2</sup> 1/чел.-Зв при Е<u>></u> 200 мЗв/год;</div></div><div class="ACT_TEXT lx_elem" onmousemove="lx_mo(event,1919644)"><div class="lx_elem2"><div class="lx_elem3"><span onclick="lx_sf(1919644)"><img src="/img/cmt.svg" />Ҳужжатга таклиф юбориш</span><span onclick="lx_pa(1919644)"><img src="/img/vlm.svg" />Аудиони тинглаш</span><span onclick="lx_cl(1919644)"><img src="/img/lnk.svg" />Ҳужжат элементидан ҳавола олиш</span></div></div><div name="1919644" id="1919644"><strong>для облучения населения:</strong></div></div><div class="TEXT_CENTER lx_elem" onmousemove="lx_mo(event,1919647)"><div class="lx_elem2"><div class="lx_elem3"><span onclick="lx_sf(1919647)"><img src="/img/cmt.svg" />Ҳужжатга таклиф юбориш</span><span onclick="lx_pa(1919647)"><img src="/img/vlm.svg" />Аудиони тинглаш</span><span onclick="lx_cl(1919647)"><img src="/img/lnk.svg" />Ҳужжат элементидан ҳавола олиш</span></div></div><div name="1919647" id="1919647">r<sub>E</sub> = 7,3x10<sup>-2</sup>1/чел.-Зв при Е < 200 мЗв/год; </div></div><div class="TEXT_CENTER lx_elem" onmousemove="lx_mo(event,1919653)"><div class="lx_elem2"><div class="lx_elem3"><span onclick="lx_sf(1919653)"><img src="/img/cmt.svg" />Ҳужжатга таклиф юбориш</span><span onclick="lx_pa(1919653)"><img src="/img/vlm.svg" />Аудиони тинглаш</span><span onclick="lx_cl(1919653)"><img src="/img/lnk.svg" />Ҳужжат элементидан ҳавола олиш</span></div></div><div name="1919653" id="1919653">г<sub>Е</sub>= 1,5x10<sup>-1 </sup>1/чел.-Зв при Е<u> ></u> 200 мЗв/год.</div></div><div class="ACT_TEXT lx_elem" onmousemove="lx_mo(event,1919655)"><div class="lx_elem2"><div class="lx_elem3"><span onclick="lx_sf(1919655)"><img src="/img/cmt.svg" />Ҳужжатга таклиф юбориш</span><span onclick="lx_pa(1919655)"><img src="/img/vlm.svg" />Аудиони тинглаш</span><span onclick="lx_cl(1919655)"><img src="/img/lnk.svg" />Ҳужжат элементидан ҳавола олиш</span></div></div><div name="1919655" id="1919655">2.8. Для целей радиационной безопасности при облучении в течение года индивидуальный риск сокращения длительности периода полноценной жизни в результате возникновения тяжелых последствий от детерминированных эффектов консервативно принимается равным:</div></div><div class="TEXT_CENTER lx_elem" onmousemove="lx_mo(event,1919657)"><div class="lx_elem2"><div class="lx_elem3"><span onclick="lx_sf(1919657)"><img src="/img/cmt.svg" />Ҳужжатга таклиф юбориш</span><span onclick="lx_pa(1919657)"><img src="/img/vlm.svg" />Аудиони тинглаш</span><span onclick="lx_cl(1919657)"><img src="/img/lnk.svg" />Ҳужжат элементидан ҳавола олиш</span></div></div><div name="1919657" id="1919657"><img src="/files/1919671" /> где:</div></div><div class="ACT_TEXT lx_elem" onmousemove="lx_mo(event,1919681)"><div class="lx_elem2"><div class="lx_elem3"><span onclick="lx_sf(1919681)"><img src="/img/cmt.svg" />Ҳужжатга таклиф юбориш</span><span onclick="lx_pa(1919681)"><img src="/img/vlm.svg" />Аудиони тинглаш</span><span onclick="lx_cl(1919681)"><img src="/img/lnk.svg" />Ҳужжат элементидан ҳавола олиш</span></div></div><div name="1919681" id="1919681"><strong>Р<sub>i</sub>(D>Д] </strong>— вероятность для i-го индивидуума быть облученным с дозой больше Д при обращении с источником в течение года; </div></div><div class="ACT_TEXT lx_elem" onmousemove="lx_mo(event,1919682)"><div class="lx_elem2"><div class="lx_elem3"><span onclick="lx_sf(1919682)"><img src="/img/cmt.svg" />Ҳужжатга таклиф юбориш</span><span onclick="lx_pa(1919682)"><img src="/img/vlm.svg" />Аудиони тинглаш</span><span onclick="lx_cl(1919682)"><img src="/img/lnk.svg" />Ҳужжат элементидан ҳавола олиш</span></div></div><div name="1919682" id="1919682"><strong>Д —</strong> пороговая доза для детерминированного эффекта.</div></div><div class="ACT_TEXT lx_elem" onmousemove="lx_mo(event,1919685)"><div class="lx_elem2"><div class="lx_elem3"><span onclick="lx_sf(1919685)"><img src="/img/cmt.svg" />Ҳужжатга таклиф юбориш</span><span onclick="lx_pa(1919685)"><img src="/img/vlm.svg" />Аудиони тинглаш</span><span onclick="lx_cl(1919685)"><img src="/img/lnk.svg" />Ҳужжат элементидан ҳавола олиш</span></div></div><div name="1919685" id="1919685">2.9. Потенциальное облучение коллектива из N индивидуумов оправдано, если</div></div><div class="TEXT_CENTER lx_elem" onmousemove="lx_mo(event,1919686)"><div class="lx_elem2"><div class="lx_elem3"><span onclick="lx_sf(1919686)"><img src="/img/cmt.svg" />Ҳужжатга таклиф юбориш</span><span onclick="lx_pa(1919686)"><img src="/img/vlm.svg" />Аудиони тинглаш</span><span onclick="lx_cl(1919686)"><img src="/img/lnk.svg" />Ҳужжат элементидан ҳавола олиш</span></div></div><div name="1919686" id="1919686"><img src="/files/1919690" />где:</div></div><div class="ACT_TEXT lx_elem" onmousemove="lx_mo(event,1919692)"><div class="lx_elem2"><div class="lx_elem3"><span onclick="lx_sf(1919692)"><img src="/img/cmt.svg" />Ҳужжатга таклиф юбориш</span><span onclick="lx_pa(1919692)"><img src="/img/vlm.svg" />Аудиони тинглаш</span><span onclick="lx_cl(1919692)"><img src="/img/lnk.svg" />Ҳужжат элементидан ҳавола олиш</span></div></div><div name="1919692" id="1919692"><strong>О<sub>с</sub></strong> — среднее сокращение длительности периода полноценной жизни в результате возникновения стохастических эффектов, равное 15 лет;</div></div><div class="ACT_TEXT lx_elem" onmousemove="lx_mo(event,1919697)"><div class="lx_elem2"><div class="lx_elem3"><span onclick="lx_sf(1919697)"><img src="/img/cmt.svg" />Ҳужжатга таклиф юбориш</span><span onclick="lx_pa(1919697)"><img src="/img/vlm.svg" />Аудиони тинглаш</span><span onclick="lx_cl(1919697)"><img src="/img/lnk.svg" />Ҳужжат элементидан ҳавола олиш</span></div></div><div name="1919697" id="1919697">О<sub>д </sub>— среднее сокращение длительности периода полноценной жизни в результате возникновения тяжелых последствий от детерминированных эффектов, равное 45 лет;</div></div><div class="ACT_TEXT lx_elem" onmousemove="lx_mo(event,1919701)"><div class="lx_elem2"><div class="lx_elem3"><span onclick="lx_sf(1919701)"><img src="/img/cmt.svg" />Ҳужжатга таклиф юбориш</span><span onclick="lx_pa(1919701)"><img src="/img/vlm.svg" />Аудиони тинглаш</span><span onclick="lx_cl(1919701)"><img src="/img/lnk.svg" />Ҳужжат элементидан ҳавола олиш</span></div></div><div name="1919701" id="1919701"><strong>с<sub>т </sub></strong>— денежный эквивалент потери 1 чел.-года жизни населения;</div></div><div class="ACT_TEXT lx_elem" onmousemove="lx_mo(event,1919703)"><div class="lx_elem2"><div class="lx_elem3"><span onclick="lx_sf(1919703)"><img src="/img/cmt.svg" />Ҳужжатга таклиф юбориш</span><span onclick="lx_pa(1919703)"><img src="/img/vlm.svg" />Аудиони тинглаш</span><span onclick="lx_cl(1919703)"><img src="/img/lnk.svg" />Ҳужжат элементидан ҳавола олиш</span></div></div><div name="1919703" id="1919703"><strong>V </strong>— доход от производства;</div></div><div class="ACT_TEXT lx_elem" onmousemove="lx_mo(event,1919706)"><div class="lx_elem2"><div class="lx_elem3"><span onclick="lx_sf(1919706)"><img src="/img/cmt.svg" />Ҳужжатга таклиф юбориш</span><span onclick="lx_pa(1919706)"><img src="/img/vlm.svg" />Аудиони тинглаш</span><span onclick="lx_cl(1919706)"><img src="/img/lnk.svg" />Ҳужжат элементидан ҳавола олиш</span></div></div><div name="1919706" id="1919706"><strong>Р </strong>— затраты на основное производство, кроме ущерба от защиты; </div></div><div class="ACT_TEXT lx_elem" onmousemove="lx_mo(event,1919711)"><div class="lx_elem2"><div class="lx_elem3"><span onclick="lx_sf(1919711)"><img src="/img/cmt.svg" />Ҳужжатга таклиф юбориш</span><span onclick="lx_pa(1919711)"><img src="/img/vlm.svg" />Аудиони тинглаш</span><span onclick="lx_cl(1919711)"><img src="/img/lnk.svg" />Ҳужжат элементидан ҳавола олиш</span></div></div><div name="1919711" id="1919711"><strong>Y </strong>— ущерб от защиты.</div></div><div class="ACT_TEXT lx_elem" onmousemove="lx_mo(event,1919713)"><div class="lx_elem2"><div class="lx_elem3"><span onclick="lx_sf(1919713)"><img src="/img/cmt.svg" />Ҳужжатга таклиф юбориш</span><span onclick="lx_pa(1919713)"><img src="/img/vlm.svg" />Аудиони тинглаш</span><span onclick="lx_cl(1919713)"><img src="/img/lnk.svg" />Ҳужжат элементидан ҳавола олиш</span></div></div><div name="1919713" id="1919713">Снижение риска до возможно низкого уровня (оптимизацию) следует осуществлять с учетом двух обстоятельств:</div></div><div class="ACT_TEXT lx_elem" onmousemove="lx_mo(event,1919715)"><div class="lx_elem2"><div class="lx_elem3"><span onclick="lx_sf(1919715)"><img src="/img/cmt.svg" />Ҳужжатга таклиф юбориш</span><span onclick="lx_pa(1919715)"><img src="/img/vlm.svg" />Аудиони тинглаш</span><span onclick="lx_cl(1919715)"><img src="/img/lnk.svg" />Ҳужжат элементидан ҳавола олиш</span></div></div><div name="1919715" id="1919715">предела риска регламентирующего потенциальное облучение от всех возможных источников излучения. Поэтому для каждого источника излучения при оптимизации устанавливается граница риска;</div></div><div class="ACT_TEXT lx_elem" onmousemove="lx_mo(event,1919716)"><div class="lx_elem2"><div class="lx_elem3"><span onclick="lx_sf(1919716)"><img src="/img/cmt.svg" />Ҳужжатга таклиф юбориш</span><span onclick="lx_pa(1919716)"><img src="/img/vlm.svg" />Аудиони тинглаш</span><span onclick="lx_cl(1919716)"><img src="/img/lnk.svg" />Ҳужжат элементидан ҳавола олиш</span></div></div><div name="1919716" id="1919716">при снижении риска потенциального облучения существует минимальный уровень риска, ниже которого риск считается пренебрежимым и дальнейшее снижение риска нецелесообразно.</div></div><div class="ACT_TEXT lx_elem" onmousemove="lx_mo(event,1919719)"><div class="lx_elem2"><div class="lx_elem3"><span onclick="lx_sf(1919719)"><img src="/img/cmt.svg" />Ҳужжатга таклиф юбориш</span><span onclick="lx_pa(1919719)"><img src="/img/vlm.svg" />Аудиони тинглаш</span><span onclick="lx_cl(1919719)"><img src="/img/lnk.svg" />Ҳужжат элементидан ҳавола олиш</span></div></div><div name="1919719" id="1919719">2.10. Предел индивидуального пожизненного риска в условиях нормальной эксплуатации для техногенного облучения в течение года персонала принимается округленно 1,0 х 10<sup>-3</sup> , а для населения— 5,0 х 10<sup>-5</sup>.</div></div><div class="ACT_TEXT lx_elem" onmousemove="lx_mo(event,1919721)"><div class="lx_elem2"><div class="lx_elem3"><span onclick="lx_sf(1919721)"><img src="/img/cmt.svg" />Ҳужжатга таклиф юбориш</span><span onclick="lx_pa(1919721)"><img src="/img/vlm.svg" />Аудиони тинглаш</span><span onclick="lx_cl(1919721)"><img src="/img/lnk.svg" />Ҳужжат элементидан ҳавола олиш</span></div></div><div name="1919721" id="1919721">Уровень пренебрежимого риска разделяет область оптимизации риска и область безусловно приемлемого риска и составляет 10<sup>-6</sup>.</div></div><div class="TEXT_HEADER_DEFAULT lx_elem" onmousemove="lx_mo(event,1919722)"><div class="lx_elem2"><div class="lx_elem3"><span onclick="lx_sf(1919722)"><img src="/img/cmt.svg" />Ҳужжатга таклиф юбориш</span><span onclick="lx_pa(1919722)"><img src="/img/vlm.svg" />Аудиони тинглаш</span><span onclick="lx_cl(1919722)"><img src="/img/lnk.svg" />Ҳужжат элементидан ҳавола олиш</span></div></div><div name="1919722" id="1919722">3. Ограничение техногенного облучения в контролируемых условиях</div></div><div class="ACT_TEXT lx_elem" onmousemove="lx_mo(event,1919723)"><div class="lx_elem2"><div class="lx_elem3"><span onclick="lx_sf(1919723)"><img src="/img/cmt.svg" />Ҳужжатга таклиф юбориш</span><span onclick="lx_pa(1919723)"><img src="/img/vlm.svg" />Аудиони тинглаш</span><span onclick="lx_cl(1919723)"><img src="/img/lnk.svg" />Ҳужжат элементидан ҳавола олиш</span></div></div><div name="1919723" id="1919723">3.1. Нормальные условия эксплуатации источников излучения</div></div><div class="ACT_TEXT lx_elem" onmousemove="lx_mo(event,1919724)"><div class="lx_elem2"><div class="lx_elem3"><span onclick="lx_sf(1919724)"><img src="/img/cmt.svg" />Ҳужжатга таклиф юбориш</span><span onclick="lx_pa(1919724)"><img src="/img/vlm.svg" />Аудиони тинглаш</span><span onclick="lx_cl(1919724)"><img src="/img/lnk.svg" />Ҳужжат элементидан ҳавола олиш</span></div></div><div name="1919724" id="1919724">3.1.1. Устанавливаются следующие категории облучаемых лиц:</div></div><div class="ACT_TEXT lx_elem" onmousemove="lx_mo(event,1919725)"><div class="lx_elem2"><div class="lx_elem3"><span onclick="lx_sf(1919725)"><img src="/img/cmt.svg" />Ҳужжатга таклиф юбориш</span><span onclick="lx_pa(1919725)"><img src="/img/vlm.svg" />Аудиони тинглаш</span><span onclick="lx_cl(1919725)"><img src="/img/lnk.svg" />Ҳужжат элементидан ҳавола олиш</span></div></div><div name="1919725" id="1919725">категория А— персонал;</div></div><div class="ACT_TEXT lx_elem" onmousemove="lx_mo(event,1919726)"><div class="lx_elem2"><div class="lx_elem3"><span onclick="lx_sf(1919726)"><img src="/img/cmt.svg" />Ҳужжатга таклиф юбориш</span><span onclick="lx_pa(1919726)"><img src="/img/vlm.svg" />Аудиони тинглаш</span><span onclick="lx_cl(1919726)"><img src="/img/lnk.svg" />Ҳужжат элементидан ҳавола олиш</span></div></div><div name="1919726" id="1919726">категория Б— ограниченная часть населения;</div></div><div class="ACT_TEXT lx_elem" onmousemove="lx_mo(event,1919727)"><div class="lx_elem2"><div class="lx_elem3"><span onclick="lx_sf(1919727)"><img src="/img/cmt.svg" />Ҳужжатга таклиф юбориш</span><span onclick="lx_pa(1919727)"><img src="/img/vlm.svg" />Аудиони тинглаш</span><span onclick="lx_cl(1919727)"><img src="/img/lnk.svg" />Ҳужжат элементидан ҳавола олиш</span></div></div><div name="1919727" id="1919727">категория В— все население, включая лиц из персонала, вне работы с источниками ионизирующего излучения.</div></div><div class="ACT_TEXT lx_elem" onmousemove="lx_mo(event,1919728)"><div class="lx_elem2"><div class="lx_elem3"><span onclick="lx_sf(1919728)"><img src="/img/cmt.svg" />Ҳужжатга таклиф юбориш</span><span onclick="lx_pa(1919728)"><img src="/img/vlm.svg" />Аудиони тинглаш</span><span onclick="lx_cl(1919728)"><img src="/img/lnk.svg" />Ҳужжат элементидан ҳавола олиш</span></div></div><div name="1919728" id="1919728">3.1.2. Для категорий облучаемых лиц устанавливаются три класса нормативов:</div></div><div class="ACT_TEXT lx_elem" onmousemove="lx_mo(event,1919729)"><div class="lx_elem2"><div class="lx_elem3"><span onclick="lx_sf(1919729)"><img src="/img/cmt.svg" />Ҳужжатга таклиф юбориш</span><span onclick="lx_pa(1919729)"><img src="/img/vlm.svg" />Аудиони тинглаш</span><span onclick="lx_cl(1919729)"><img src="/img/lnk.svg" />Ҳужжат элементидан ҳавола олиш</span></div></div><div name="1919729" id="1919729">основные пределы доз (ПД), приведенные в <a href="/docs/1908086#1919784">таблице 3.1</a>;</div></div><div class="ACT_TEXT lx_elem" onmousemove="lx_mo(event,1919730)"><div class="lx_elem2"><div class="lx_elem3"><span onclick="lx_sf(1919730)"><img src="/img/cmt.svg" />Ҳужжатга таклиф юбориш</span><span onclick="lx_pa(1919730)"><img src="/img/vlm.svg" />Аудиони тинглаш</span><span onclick="lx_cl(1919730)"><img src="/img/lnk.svg" />Ҳужжат элементидан ҳавола олиш</span></div></div><div name="1919730" id="1919730">допустимые уровни монофакторного воздействия (для одного вида радионуклида, пути поступления радионуклида или одного вида внешнего облучения), являющиеся производными от основных пределов доз: пределы годового поступления (ПГП), допустимые среднегодовые объемные активности (ДОА), среднегодовые удельные активности (СУА) и другие;</div></div><div class="ACT_TEXT lx_elem" onmousemove="lx_mo(event,1919731)"><div class="lx_elem2"><div class="lx_elem3"><span onclick="lx_sf(1919731)"><img src="/img/cmt.svg" />Ҳужжатга таклиф юбориш</span><span onclick="lx_pa(1919731)"><img src="/img/vlm.svg" />Аудиони тинглаш</span><span onclick="lx_cl(1919731)"><img src="/img/lnk.svg" />Ҳужжат элементидан ҳавола олиш</span></div></div><div name="1919731" id="1919731">контрольные уровни (дозы, уровни, активности, плотности потоков и др.). Их значения должны учитывать достигнутый в организации уровень радиационной безопасности и обеспечивать условия, при которых радиационное воздействие будет ниже допустимого.</div></div><div class="ACT_TEXT lx_elem" onmousemove="lx_mo(event,1919732)"><div class="lx_elem2"><div class="lx_elem3"><span onclick="lx_sf(1919732)"><img src="/img/cmt.svg" />Ҳужжатга таклиф юбориш</span><span onclick="lx_pa(1919732)"><img src="/img/vlm.svg" />Аудиони тинглаш</span><span onclick="lx_cl(1919732)"><img src="/img/lnk.svg" />Ҳужжат элементидан ҳавола олиш</span></div></div><div name="1919732" id="1919732">3.1.3. Основные пределы доз облучения не включают в себя дозы от природного и медицинского облучения, а также дозы вследствие радиационных аварий. На эти виды облучения устанавливаются специальные ограничения.</div></div><div class="ACT_TEXT lx_elem" onmousemove="lx_mo(event,1919733)"><div class="lx_elem2"><div class="lx_elem3"><span onclick="lx_sf(1919733)"><img src="/img/cmt.svg" />Ҳужжатга таклиф юбориш</span><span onclick="lx_pa(1919733)"><img src="/img/vlm.svg" />Аудиони тинглаш</span><span onclick="lx_cl(1919733)"><img src="/img/lnk.svg" />Ҳужжат элементидан ҳавола олиш</span></div></div><div name="1919733" id="1919733">3.1.4. Эффективная доза для персонала не должна превышать за период трудовой деятельности (50 лет)— 1000 мЗв, а для населения за период жизни (70 лет)— 70 мЗв.</div></div><div class="ACT_TEXT lx_elem" onmousemove="lx_mo(event,1919734)"><div class="lx_elem2"><div class="lx_elem3"><span onclick="lx_sf(1919734)"><img src="/img/cmt.svg" />Ҳужжатга таклиф юбориш</span><span onclick="lx_pa(1919734)"><img src="/img/vlm.svg" />Аудиони тинглаш</span><span onclick="lx_cl(1919734)"><img src="/img/lnk.svg" />Ҳужжат элементидан ҳавола олиш</span></div></div><div name="1919734" id="1919734">3.1.5. При одновременном воздействии на человека источников внешнего и внутреннего облучения годовая эффективная доза не должна превышать пределов доз, установленных в <a href="/docs/1908086#1919784">таблице 3.1</a>.</div></div><div class="ACT_TEXT lx_elem" onmousemove="lx_mo(event,1919735)"><div class="lx_elem2"><div class="lx_elem3"><span onclick="lx_sf(1919735)"><img src="/img/cmt.svg" />Ҳужжатга таклиф юбориш</span><span onclick="lx_pa(1919735)"><img src="/img/vlm.svg" />Аудиони тинглаш</span><span onclick="lx_cl(1919735)"><img src="/img/lnk.svg" />Ҳужжат элементидан ҳавола олиш</span></div></div><div name="1919735" id="1919735">3.1.6. В стандартных условиях монофакторного поступления радионуклидов, определенных в разделе 8 Норм, годовое поступление радионуклидов через органы дыхания и среднегодовая объемная активность их во вдыхаемом воздухе не должны превышать числовых значений ПГП и ДОА, приведенных в <a href="/docs/1908086#1920074">таблицах 5.1</a> и <a href="/docs/1908086#1920743">8.2</a>, где пределы доз взяты равными 20 мЗв в год для персонала и 1 мЗв в год для населения.</div></div><div class="ACT_TEXT lx_elem" onmousemove="lx_mo(event,1919736)"><div class="lx_elem2"><div class="lx_elem3"><span onclick="lx_sf(1919736)"><img src="/img/cmt.svg" />Ҳужжатга таклиф юбориш</span><span onclick="lx_pa(1919736)"><img src="/img/vlm.svg" />Аудиони тинглаш</span><span onclick="lx_cl(1919736)"><img src="/img/lnk.svg" />Ҳужжат элементидан ҳавола олиш</span></div></div><div name="1919736" id="1919736">ПГПα долгоживущих альфа-излучателей ряда урана— 238 в витающей пыли для категории А не должна превышать 1920 Бк/год, для взрослых из населения— 96 Бк/год при их среднегодовых допустимых объемных активностях ДОА равных соответственно 800 мБк/м<sup>3</sup> и 12 мБк/м<sup>3</sup>.</div></div><div class="ACT_TEXT lx_elem" onmousemove="lx_mo(event,1919737)"><div class="lx_elem2"><div class="lx_elem3"><span onclick="lx_sf(1919737)"><img src="/img/cmt.svg" />Ҳужжатга таклиф юбориш</span><span onclick="lx_pa(1919737)"><img src="/img/vlm.svg" />Аудиони тинглаш</span><span onclick="lx_cl(1919737)"><img src="/img/lnk.svg" />Ҳужжат элементидан ҳавола олиш</span></div></div><div name="1919737" id="1919737">ПГПα долгоживущих альфа-излучателей ряда тория— 232 в витающей пыли для категории А не должна превышать 778 Бк/год, для взрослых из населения — 39 Бк/год при их среднегодовых допустимых объемных активностях ДОА равных соответственно 324 мБк/м<sup>3</sup> и 5 мБк/м<sup>3</sup>.</div></div><div class="ACT_TEXT lx_elem" onmousemove="lx_mo(event,1919739)"><div class="lx_elem2"><div class="lx_elem3"><span onclick="lx_sf(1919739)"><img src="/img/cmt.svg" />Ҳужжатга таклиф юбориш</span><span onclick="lx_pa(1919739)"><img src="/img/vlm.svg" />Аудиони тинглаш</span><span onclick="lx_cl(1919739)"><img src="/img/lnk.svg" />Ҳужжат элементидан ҳавола олиш</span></div></div><div name="1919739" id="1919739">В условиях нестандартного поступления радионуклидов величины ПГП и ДОА устанавливаются методическими указаниями МЗ РУз.</div></div><div class="TABLE_STD lx_elem" id="theDefCssID" onmousemove="lx_mo(event,1919784)"><div class="lx_elem2"><div class="lx_elem3"><span onclick="lx_sf(1919784)"><img src="/img/cmt.svg" />Ҳужжатга таклиф юбориш</span><span onclick="lx_pa(1919784)"><img src="/img/vlm.svg" />Аудиони тинглаш</span><span onclick="lx_cl(1919784)"><img src="/img/lnk.svg" />Ҳужжат элементидан ҳавола олиш</span></div></div><div name="1919784" id="1919784" class="tabBox"><table id="theTableID" style="TABLE-LAYOUT: auto; PADDING-RIGHT: 0px; ; PADDING-LEFT: 0px; LEFT: 2px; PADDING-BOTTOM: 0px; WIDTH: 100%; BORDER-TOP-STYLE: none; PADDING-TOP: 0px; BORDER-RIGHT-STYLE: none; BORDER-LEFT-STYLE: none; TOP: 0px; BORDER-BOTTOM-STYLE: none" cellspacing="1" cols="4" border="1">
<colgroup>
<col />
<col />
<col />
<col /></colgroup>
<tbody>
<tr>
<td style="BORDER-TOP-STYLE: none; BORDER-RIGHT-STYLE: none; BORDER-LEFT-STYLE: none; BORDER-BOTTOM-STYLE: none">‎‎</td>
<td style="BORDER-TOP-STYLE: none; BORDER-RIGHT-STYLE: none; BORDER-LEFT-STYLE: none; BORDER-BOTTOM-STYLE: none">‎</td>
<td style="BORDER-TOP-STYLE: none; BORDER-RIGHT-STYLE: none; BORDER-LEFT-STYLE: none; BORDER-BOTTOM-STYLE: none">‎</td>
<td style="BORDER-TOP-STYLE: none; BORDER-RIGHT-STYLE: none; BORDER-LEFT-STYLE: none; BORDER-BOTTOM-STYLE: none">
<p align="right"><strong>Таблица 3.1‎</strong></p></td></tr>
<tr>
<td style="BORDER-TOP-STYLE: none; BORDER-RIGHT-STYLE: none; BORDER-LEFT-STYLE: none; BORDER-BOTTOM-STYLE: none" colspan="4">
<p align="center"><strong>ОСНОВНЫЕ ПРЕДЕЛЫ ДОЗ<br />‎‎‎</strong></p></td></tr>
<tr>
<td rowspan="2">
<p align="center">Нормируемые величины<a href="/docs/1908086#1919787">*</a></p></td>
<td colspan="3">
<p align="center">Пределы доз</p></td></tr>
<tr>
<td>
<p align="center">Категория А‎</p></td>
<td>
<p align="center">Категория Б‎</p></td>
<td>
<p align="center">Категория В‎</p></td></tr>
<tr>
<td>
<p align="center">Эффективная доза‎</p></td>
<td>20 мЗв в год в среднем за любые последовательные 5 лет, но не более 50 мЗв в год‎</td>
<td>5 мЗв в год в среднем за любые последовательные 5 лет, но не более 12,5 мЗв в год‎</td>
<td>1 мЗв в год в среднем за любые последовательные 5 лет, но не более 5 мЗв в год‎</td></tr>
<tr>
<td>
<p align="center">Эквивалентная доза за год: ‎</p></td>
<td>
<p align="center">‎</p></td>
<td>
<p align="center">‎</p></td>
<td>
<p align="center">‎</p></td></tr>
<tr>
<td>
<p align="left">в хрусталике глаза<a href="/docs/1908086#1919788">**</a>‎</p></td>
<td>
<p align="center">150 мЗв‎</p></td>
<td>
<p align="center">38 мЗв‎</p></td>
<td>
<p align="center">15 мЗв‎</p></td></tr>
<tr>
<td>
<p align="left">коже<a href="/docs/1908086#1919790">***‎</a></p></td>
<td>
<p align="center">500 мЗв‎</p></td>
<td>
<p align="center">125 мЗв‎</p></td>
<td>
<p align="center">50 мЗв‎</p></td></tr>
<tr>
<td>
<p align="left">кистях и стопы‎</p></td>
<td>
<p align="center">500 мЗв‎</p></td>
<td>
<p align="center">125 мЗв‎</p></td>
<td>
<p align="center">50 мЗв‎</p></td></tr></tbody></table></div></div><div class="FOOTNOTE lx_elem" onmousemove="lx_mo(event,1919786)"><div class="lx_elem2"><div class="lx_elem3"><span onclick="lx_sf(1919786)"><img src="/img/cmt.svg" />Ҳужжатга таклиф юбориш</span><span onclick="lx_pa(1919786)"><img src="/img/vlm.svg" />Аудиони тинглаш</span><span onclick="lx_cl(1919786)"><img src="/img/lnk.svg" />Ҳужжат элементидан ҳавола олиш</span></div></div><div name="1919786" id="1919786">Примечания: </div></div><div class="FOOTNOTE lx_elem" onmousemove="lx_mo(event,1919787)"><div class="lx_elem2"><div class="lx_elem3"><span onclick="lx_sf(1919787)"><img src="/img/cmt.svg" />Ҳужжатга таклиф юбориш</span><span onclick="lx_pa(1919787)"><img src="/img/vlm.svg" />Аудиони тинглаш</span><span onclick="lx_cl(1919787)"><img src="/img/lnk.svg" />Ҳужжат элементидан ҳавола олиш</span></div></div><div name="1919787" id="1919787">* Допускается одновременное облучение до указанных пределов по всем нормируемым величинам.</div></div><div class="FOOTNOTE lx_elem" onmousemove="lx_mo(event,1919788)"><div class="lx_elem2"><div class="lx_elem3"><span onclick="lx_sf(1919788)"><img src="/img/cmt.svg" />Ҳужжатга таклиф юбориш</span><span onclick="lx_pa(1919788)"><img src="/img/vlm.svg" />Аудиони тинглаш</span><span onclick="lx_cl(1919788)"><img src="/img/lnk.svg" />Ҳужжат элементидан ҳавола олиш</span></div></div><div name="1919788" id="1919788">** Относится к дозе на глубине 300 мг/см<sup>2</sup>.</div></div><div class="FOOTNOTE lx_elem" onmousemove="lx_mo(event,1919790)"><div class="lx_elem2"><div class="lx_elem3"><span onclick="lx_sf(1919790)"><img src="/img/cmt.svg" />Ҳужжатга таклиф юбориш</span><span onclick="lx_pa(1919790)"><img src="/img/vlm.svg" />Аудиони тинглаш</span><span onclick="lx_cl(1919790)"><img src="/img/lnk.svg" />Ҳужжат элементидан ҳавола олиш</span></div></div><div name="1919790" id="1919790">*** Относится к среднему по площади в 1 см<sup>2</sup> значению в базальном слое кожи толщиной 5 мг/см<sup>2</sup> под покровным слоем толщиной 5 мг/см<sup>2</sup>. На ладонях толщина покровного слоя— 40 мг/см<sup>2</sup>. Указанным пределом допускается облучение всей кожи человека при условии, что в пределах усредненного облучения любого 1 см<sup>2</sup> площади кожи этот предел не будет превышен. Предел дозы при облучении кожи лица обеспечивает непревышение предела дозы на хрусталик от бета-частиц.</div></div><div class="ACT_TEXT lx_elem" onmousemove="lx_mo(event,1919843)"><div class="lx_elem2"><div class="lx_elem3"><span onclick="lx_sf(1919843)"><img src="/img/cmt.svg" />Ҳужжатга таклиф юбориш</span><span onclick="lx_pa(1919843)"><img src="/img/vlm.svg" />Аудиони тинглаш</span><span onclick="lx_cl(1919843)"><img src="/img/lnk.svg" />Ҳужжат элементидан ҳавола олиш</span></div></div><div name="1919843" id="1919843">3.1.7. Для персонала группы А значения ПГП и ДО А дочерних изотопов радона (<sup>222</sup>Rn и <sup>220</sup>Rn)— <sup>218</sup>Ро (RaA); <sup>214</sup>Pb (RaB); <sup>214</sup>Bi (RaC); <sup>212</sup>Pb (ThB); <sup>212</sup>Bi (ThC) в единицах эквивалентной равновесной активности составляют:</div></div><div class="ACT_TEXT lx_elem" onmousemove="lx_mo(event,1919845)"><div class="lx_elem2"><div class="lx_elem3"><span onclick="lx_sf(1919845)"><img src="/img/cmt.svg" />Ҳужжатга таклиф юбориш</span><span onclick="lx_pa(1919845)"><img src="/img/vlm.svg" />Аудиони тинглаш</span><span onclick="lx_cl(1919845)"><img src="/img/lnk.svg" />Ҳужжат элементидан ҳавола олиш</span></div></div><div name="1919845" id="1919845"><strong>Для категории А:</strong></div></div><div class="ACT_TEXT lx_elem" onmousemove="lx_mo(event,1919848)"><div class="lx_elem2"><div class="lx_elem3"><span onclick="lx_sf(1919848)"><img src="/img/cmt.svg" />Ҳужжатга таклиф юбориш</span><span onclick="lx_pa(1919848)"><img src="/img/vlm.svg" />Аудиони тинглаш</span><span onclick="lx_cl(1919848)"><img src="/img/lnk.svg" />Ҳужжат элементидан ҳавола олиш</span></div></div><div name="1919848" id="1919848">ПГП: 0,10 П<sub>RаА</sub> + 0,52 П<sub>RаВ</sub> + 0,38 П<sub>RаС</sub> = 3,0 МБк</div></div><div class="ACT_TEXT lx_elem" onmousemove="lx_mo(event,1919849)"><div class="lx_elem2"><div class="lx_elem3"><span onclick="lx_sf(1919849)"><img src="/img/cmt.svg" />Ҳужжатга таклиф юбориш</span><span onclick="lx_pa(1919849)"><img src="/img/vlm.svg" />Аудиони тинглаш</span><span onclick="lx_cl(1919849)"><img src="/img/lnk.svg" />Ҳужжат элементидан ҳавола олиш</span></div></div><div name="1919849" id="1919849">0,91 П<sub>ThB</sub> + 0,09 П<sub>ThB</sub> = 0,68 МБк </div></div><div class="ACT_TEXT lx_elem" onmousemove="lx_mo(event,1919853)"><div class="lx_elem2"><div class="lx_elem3"><span onclick="lx_sf(1919853)"><img src="/img/cmt.svg" />Ҳужжатга таклиф юбориш</span><span onclick="lx_pa(1919853)"><img src="/img/vlm.svg" />Аудиони тинглаш</span><span onclick="lx_cl(1919853)"><img src="/img/lnk.svg" />Ҳужжат элементидан ҳавола олиш</span></div></div><div name="1919853" id="1919853">ДОА: 0,10 A<sub>RaA</sub> +0,52 A<sub>RaB</sub> + 0,38 A<sub>RaC</sub> = 1250 Бк/м<sup>3</sup></div></div><div class="ACT_TEXT lx_elem" onmousemove="lx_mo(event,1919855)"><div class="lx_elem2"><div class="lx_elem3"><span onclick="lx_sf(1919855)"><img src="/img/cmt.svg" />Ҳужжатга таклиф юбориш</span><span onclick="lx_pa(1919855)"><img src="/img/vlm.svg" />Аудиони тинглаш</span><span onclick="lx_cl(1919855)"><img src="/img/lnk.svg" />Ҳужжат элементидан ҳавола олиш</span></div></div><div name="1919855" id="1919855">0,91 A<sub>ThB</sub> + 0,09 А<sub>ThC</sub> = 270 Бк/м<sup>3</sup>, где</div></div><div class="ACT_TEXT lx_elem" onmousemove="lx_mo(event,1919856)"><div class="lx_elem2"><div class="lx_elem3"><span onclick="lx_sf(1919856)"><img src="/img/cmt.svg" />Ҳужжатга таклиф юбориш</span><span onclick="lx_pa(1919856)"><img src="/img/vlm.svg" />Аудиони тинглаш</span><span onclick="lx_cl(1919856)"><img src="/img/lnk.svg" />Ҳужжат элементидан ҳавола олиш</span></div></div><div name="1919856" id="1919856"><strong>Для взрослых лиц из населения (категория В):</strong></div></div><div class="ACT_TEXT lx_elem" onmousemove="lx_mo(event,1919857)"><div class="lx_elem2"><div class="lx_elem3"><span onclick="lx_sf(1919857)"><img src="/img/cmt.svg" />Ҳужжатга таклиф юбориш</span><span onclick="lx_pa(1919857)"><img src="/img/vlm.svg" />Аудиони тинглаш</span><span onclick="lx_cl(1919857)"><img src="/img/lnk.svg" />Ҳужжат элементидан ҳавола олиш</span></div></div><div name="1919857" id="1919857">ПГП: 0,10П<sub>RаА</sub> + 0,52П<sub>RаB</sub> + 0,38П<sub>Rаc</sub>= 150 кБк</div></div><div class="ACT_TEXT lx_elem" onmousemove="lx_mo(event,1919858)"><div class="lx_elem2"><div class="lx_elem3"><span onclick="lx_sf(1919858)"><img src="/img/cmt.svg" />Ҳужжатга таклиф юбориш</span><span onclick="lx_pa(1919858)"><img src="/img/vlm.svg" />Аудиони тинглаш</span><span onclick="lx_cl(1919858)"><img src="/img/lnk.svg" />Ҳужжат элементидан ҳавола олиш</span></div></div><div name="1919858" id="1919858">0,91 П<sub>ThB</sub> + 0,09 П<sub>ThC</sub> = 34 кБк</div></div><div class="ACT_TEXT lx_elem" onmousemove="lx_mo(event,1919859)"><div class="lx_elem2"><div class="lx_elem3"><span onclick="lx_sf(1919859)"><img src="/img/cmt.svg" />Ҳужжатга таклиф юбориш</span><span onclick="lx_pa(1919859)"><img src="/img/vlm.svg" />Аудиони тинглаш</span><span onclick="lx_cl(1919859)"><img src="/img/lnk.svg" />Ҳужжат элементидан ҳавола олиш</span></div></div><div name="1919859" id="1919859">ДОА: 0,10 A<sub>RaA</sub> + 0,52 A<sub>RaB</sub> + 0,38 A<sub>RaC</sub> = 18,5 Бк/м<sup>3</sup></div></div><div class="ACT_TEXT lx_elem" onmousemove="lx_mo(event,1919861)"><div class="lx_elem2"><div class="lx_elem3"><span onclick="lx_sf(1919861)"><img src="/img/cmt.svg" />Ҳужжатга таклиф юбориш</span><span onclick="lx_pa(1919861)"><img src="/img/vlm.svg" />Аудиони тинглаш</span><span onclick="lx_cl(1919861)"><img src="/img/lnk.svg" />Ҳужжат элементидан ҳавола олиш</span></div></div><div name="1919861" id="1919861">0,91 A<sub>ThB</sub> + 0,09 А<sub>ThC</sub> = 270 Бк/м<sup>3</sup>, где</div></div><div class="FOOTNOTE lx_elem" onmousemove="lx_mo(event,1919865)"><div class="lx_elem2"><div class="lx_elem3"><span onclick="lx_sf(1919865)"><img src="/img/cmt.svg" />Ҳужжатга таклиф юбориш</span><span onclick="lx_pa(1919865)"><img src="/img/vlm.svg" />Аудиони тинглаш</span><span onclick="lx_cl(1919865)"><img src="/img/lnk.svg" />Ҳужжат элементидан ҳавола олиш</span></div></div><div name="1919865" id="1919865">П<sub>i</sub> и A<sub>i </sub>— <sub></sub>годовые поступления и среднегодовые объемные активности в зоне дыхания соответствующих дочерних изотопов радона.</div></div><div class="ACT_TEXT lx_elem" onmousemove="lx_mo(event,1919868)"><div class="lx_elem2"><div class="lx_elem3"><span onclick="lx_sf(1919868)"><img src="/img/cmt.svg" />Ҳужжатга таклиф юбориш</span><span onclick="lx_pa(1919868)"><img src="/img/vlm.svg" />Аудиони тинглаш</span><span onclick="lx_cl(1919868)"><img src="/img/lnk.svg" />Ҳужжат элементидан ҳавола олиш</span></div></div><div name="1919868" id="1919868">3.1.8. Для женщин в возрасте до 45 лет, работающих с источниками излучения, вводятся дополнительные ограничения: эквивалентная доза на поверхности нижней части области живота не должна превышать 1 мЗв в месяц, а поступление радионуклидов в организм за год не должно быть более 1/20 предела годового поступления для персонала. В этих условиях эквивалентная доза облучения плода за 2 месяца не выявленной беременности не превысит 1 мЗв. Для обеспечения выполнения указанного норматива при одновременном воздействии источников внешнего и внутреннего облучения должно выполняться требование <a href="/docs/1908086#1919734">п. 3.1.5</a>.</div></div><div class="ACT_TEXT lx_elem" onmousemove="lx_mo(event,1919871)"><div class="lx_elem2"><div class="lx_elem3"><span onclick="lx_sf(1919871)"><img src="/img/cmt.svg" />Ҳужжатга таклиф юбориш</span><span onclick="lx_pa(1919871)"><img src="/img/vlm.svg" />Аудиони тинглаш</span><span onclick="lx_cl(1919871)"><img src="/img/lnk.svg" />Ҳужжат элементидан ҳавола олиш</span></div></div><div name="1919871" id="1919871">3.1.9. При установлении беременности женщина обязана информировать об этом администрацию. Женщины освобождаются от непосредственной работы с источниками ионизирующего излучения на весь период беременности и грудного вскармливания ребенка.</div></div><div class="ACT_TEXT lx_elem" onmousemove="lx_mo(event,1919872)"><div class="lx_elem2"><div class="lx_elem3"><span onclick="lx_sf(1919872)"><img src="/img/cmt.svg" />Ҳужжатга таклиф юбориш</span><span onclick="lx_pa(1919872)"><img src="/img/vlm.svg" />Аудиони тинглаш</span><span onclick="lx_cl(1919872)"><img src="/img/lnk.svg" />Ҳужжат элементидан ҳавола олиш</span></div></div><div name="1919872" id="1919872">3.1.10. Для студентов и учащихся старше 16 лет, проходящих профессиональное обучение с использованием источников излучения, годовые дозы не должны превышать значений, установленных для категории Б.</div></div><div class="ACT_TEXT lx_elem" onmousemove="lx_mo(event,1919874)"><div class="lx_elem2"><div class="lx_elem3"><span onclick="lx_sf(1919874)"><img src="/img/cmt.svg" />Ҳужжатга таклиф юбориш</span><span onclick="lx_pa(1919874)"><img src="/img/vlm.svg" />Аудиони тинглаш</span><span onclick="lx_cl(1919874)"><img src="/img/lnk.svg" />Ҳужжат элементидан ҳавола олиш</span></div></div><div name="1919874" id="1919874">3.2. Планируемое повышенное облучение</div></div><div class="ACT_TEXT lx_elem" onmousemove="lx_mo(event,1919877)"><div class="lx_elem2"><div class="lx_elem3"><span onclick="lx_sf(1919877)"><img src="/img/cmt.svg" />Ҳужжатга таклиф юбориш</span><span onclick="lx_pa(1919877)"><img src="/img/vlm.svg" />Аудиони тинглаш</span><span onclick="lx_cl(1919877)"><img src="/img/lnk.svg" />Ҳужжат элементидан ҳавола олиш</span></div></div><div name="1919877" id="1919877">3.2.1. Планируемое облучение персонала категории А выше установленных пределов доз (<a href="/docs/1908086#1919784">см. табл. 3.1</a>.) при ликвидации или предотвращении аварии может быть разрешено только в случае необходимости спасения людей и (или) предотвращения их облучения. Планируемое повышенное облучение допускается для мужчин старше 30 лет лишь при их добровольном письменном согласии, после информирования о возможных дозах облучения и риске для здоровья.</div></div><div class="ACT_TEXT lx_elem" onmousemove="lx_mo(event,1919879)"><div class="lx_elem2"><div class="lx_elem3"><span onclick="lx_sf(1919879)"><img src="/img/cmt.svg" />Ҳужжатга таклиф юбориш</span><span onclick="lx_pa(1919879)"><img src="/img/vlm.svg" />Аудиони тинглаш</span><span onclick="lx_cl(1919879)"><img src="/img/lnk.svg" />Ҳужжат элементидан ҳавола олиш</span></div></div><div name="1919879" id="1919879">3.2.2. Планируемое повышенное облучение персонала в эффективной дозе до 100 мЗв в год и эквивалентных дозах не более двукратных значений, приведенных в <a href="/docs/1908086#1919784">табл. 3.1</a>, допускается с разрешения территориальных ЦГСЭН, а облучение в эффективной дозе до 200 мЗв в год и четырехкратных значений эквивалентных доз по <a href="/docs/1908086#1919784">табл. 3.1</a> - только с разрешения МЗ РУз.</div></div><div class="ACT_TEXT lx_elem" onmousemove="lx_mo(event,1919881)"><div class="lx_elem2"><div class="lx_elem3"><span onclick="lx_sf(1919881)"><img src="/img/cmt.svg" />Ҳужжатга таклиф юбориш</span><span onclick="lx_pa(1919881)"><img src="/img/vlm.svg" />Аудиони тинглаш</span><span onclick="lx_cl(1919881)"><img src="/img/lnk.svg" />Ҳужжат элементидан ҳавола олиш</span></div></div><div name="1919881" id="1919881">Повышенное облучение не допускается:</div></div><div class="ACT_TEXT lx_elem" onmousemove="lx_mo(event,1919886)"><div class="lx_elem2"><div class="lx_elem3"><span onclick="lx_sf(1919886)"><img src="/img/cmt.svg" />Ҳужжатга таклиф юбориш</span><span onclick="lx_pa(1919886)"><img src="/img/vlm.svg" />Аудиони тинглаш</span><span onclick="lx_cl(1919886)"><img src="/img/lnk.svg" />Ҳужжат элементидан ҳавола олиш</span></div></div><div name="1919886" id="1919886">для работников, ранее уже облученных в течение года в результате аварии или запланированного повышенного облучения с эффективной дозой 200 мЗв или с эквивалентной дозой, превышающей в четыре раза соответствующие пределы доз, приведенные в <a href="/docs/1908086#1919784">табл.3.1</a>;</div></div><div class="ACT_TEXT lx_elem" onmousemove="lx_mo(event,1919887)"><div class="lx_elem2"><div class="lx_elem3"><span onclick="lx_sf(1919887)"><img src="/img/cmt.svg" />Ҳужжатга таклиф юбориш</span><span onclick="lx_pa(1919887)"><img src="/img/vlm.svg" />Аудиони тинглаш</span><span onclick="lx_cl(1919887)"><img src="/img/lnk.svg" />Ҳужжат элементидан ҳавола олиш</span></div></div><div name="1919887" id="1919887">для лиц, имеющих медицинские противопоказания для работы с источниками излучения.</div></div><div class="ACT_TEXT lx_elem" onmousemove="lx_mo(event,1919890)"><div class="lx_elem2"><div class="lx_elem3"><span onclick="lx_sf(1919890)"><img src="/img/cmt.svg" />Ҳужжатга таклиф юбориш</span><span onclick="lx_pa(1919890)"><img src="/img/vlm.svg" />Аудиони тинглаш</span><span onclick="lx_cl(1919890)"><img src="/img/lnk.svg" />Ҳужжат элементидан ҳавола олиш</span></div></div><div name="1919890" id="1919890">3.2.3. Лица, подвергшиеся облучению в эффективной дозе, превышающей 100 мЗв в течение года, при дальнейшей работе не должны подвергаться облучению в дозе свыше 20 мЗв за год.</div></div><div class="ACT_TEXT lx_elem" onmousemove="lx_mo(event,1919892)"><div class="lx_elem2"><div class="lx_elem3"><span onclick="lx_sf(1919892)"><img src="/img/cmt.svg" />Ҳужжатга таклиф юбориш</span><span onclick="lx_pa(1919892)"><img src="/img/vlm.svg" />Аудиони тинглаш</span><span onclick="lx_cl(1919892)"><img src="/img/lnk.svg" />Ҳужжат элементидан ҳавола олиш</span></div></div><div name="1919892" id="1919892">Облучение эффективной дозой свыше 200 мЗв в течение года должно рассматриваться как потенциально опасное. Лица, подвергшиеся такому облучению, должны немедленно выводиться из зоны облучения и направляться на медицинское обследование. Последующая работа с источниками излучения этим лицам может быть разрешена только в индивидуальном порядке с учетом их согласия по решению компетентной медицинской комиссии.</div></div><div class="ACT_TEXT lx_elem" onmousemove="lx_mo(event,1919894)"><div class="lx_elem2"><div class="lx_elem3"><span onclick="lx_sf(1919894)"><img src="/img/cmt.svg" />Ҳужжатга таклиф юбориш</span><span onclick="lx_pa(1919894)"><img src="/img/vlm.svg" />Аудиони тинглаш</span><span onclick="lx_cl(1919894)"><img src="/img/lnk.svg" />Ҳужжат элементидан ҳавола олиш</span></div></div><div name="1919894" id="1919894">3.2.4. Лица, не относящиеся к персоналу, привлекаемые для проведения аварийных и спасательных работ, приравниваются к персоналу категории А, и на них распространяются положения <a href="/docs/1908086#1919874">раздела 3.2</a> настоящих Норм. Эти лица должны быть обучены (с проверкой знаний) для работы в зоне радиационной аварии и пройти медицинский осмотр.</div></div><div class="TEXT_HEADER_DEFAULT lx_elem" onmousemove="lx_mo(event,1919895)"><div class="lx_elem2"><div class="lx_elem3"><span onclick="lx_sf(1919895)"><img src="/img/cmt.svg" />Ҳужжатга таклиф юбориш</span><span onclick="lx_pa(1919895)"><img src="/img/vlm.svg" />Аудиони тинглаш</span><span onclick="lx_cl(1919895)"><img src="/img/lnk.svg" />Ҳужжат элементидан ҳавола олиш</span></div></div><div name="1919895" id="1919895">4. Защита от природного облучения в производственных условиях</div></div><div class="ACT_TEXT lx_elem" onmousemove="lx_mo(event,1919896)"><div class="lx_elem2"><div class="lx_elem3"><span onclick="lx_sf(1919896)"><img src="/img/cmt.svg" />Ҳужжатга таклиф юбориш</span><span onclick="lx_pa(1919896)"><img src="/img/vlm.svg" />Аудиони тинглаш</span><span onclick="lx_cl(1919896)"><img src="/img/lnk.svg" />Ҳужжат элементидан ҳавола олиш</span></div></div><div name="1919896" id="1919896">4.1. Эффективная доза облучения природными источниками излучения всех работников, включая персонал, не должна превышать 5 мЗв в год в производственных условиях (любые профессии и производства).</div></div><div class="ACT_TEXT lx_elem" onmousemove="lx_mo(event,1919898)"><div class="lx_elem2"><div class="lx_elem3"><span onclick="lx_sf(1919898)"><img src="/img/cmt.svg" />Ҳужжатга таклиф юбориш</span><span onclick="lx_pa(1919898)"><img src="/img/vlm.svg" />Аудиони тинглаш</span><span onclick="lx_cl(1919898)"><img src="/img/lnk.svg" />Ҳужжат элементидан ҳавола олиш</span></div></div><div name="1919898" id="1919898">4.2. Средние значения радиационных факторов в течение года, соответствующие при монофакторном воздействии эффективной дозе 5 мЗв за год при продолжительности работы 2000 ч/год, средней скорости дыхания 1,2 м<sup>3</sup>/ч и радиоактивном равновесии радионуклидов уранового и ториевого рядов в производственной пыли, составляют:</div></div><div class="ACT_TEXT lx_elem" onmousemove="lx_mo(event,1919899)"><div class="lx_elem2"><div class="lx_elem3"><span onclick="lx_sf(1919899)"><img src="/img/cmt.svg" />Ҳужжатга таклиф юбориш</span><span onclick="lx_pa(1919899)"><img src="/img/vlm.svg" />Аудиони тинглаш</span><span onclick="lx_cl(1919899)"><img src="/img/lnk.svg" />Ҳужжат элементидан ҳавола олиш</span></div></div><div name="1919899" id="1919899">мощность эффективной дозы гамма-излучения на рабочем месте —1 мкЗв/ч;</div></div><div class="ACT_TEXT lx_elem" onmousemove="lx_mo(event,1919901)"><div class="lx_elem2"><div class="lx_elem3"><span onclick="lx_sf(1919901)"><img src="/img/cmt.svg" />Ҳужжатга таклиф юбориш</span><span onclick="lx_pa(1919901)"><img src="/img/vlm.svg" />Аудиони тинглаш</span><span onclick="lx_cl(1919901)"><img src="/img/lnk.svg" />Ҳужжат элементидан ҳавола олиш</span></div></div><div name="1919901" id="1919901">ЭPOA<sub>Rn</sub> в воздухе зоны дыхания— 310 Бк/м<sup>3</sup>;</div></div><div class="ACT_TEXT lx_elem" onmousemove="lx_mo(event,1919903)"><div class="lx_elem2"><div class="lx_elem3"><span onclick="lx_sf(1919903)"><img src="/img/cmt.svg" />Ҳужжатга таклиф юбориш</span><span onclick="lx_pa(1919903)"><img src="/img/vlm.svg" />Аудиони тинглаш</span><span onclick="lx_cl(1919903)"><img src="/img/lnk.svg" />Ҳужжат элементидан ҳавола олиш</span></div></div><div name="1919903" id="1919903">ЭРОА<sub>Tп</sub> в воздухе зоны дыхания— 70 Бк/м<sup>3</sup>;</div></div><div class="ACT_TEXT lx_elem" onmousemove="lx_mo(event,1919906)"><div class="lx_elem2"><div class="lx_elem3"><span onclick="lx_sf(1919906)"><img src="/img/cmt.svg" />Ҳужжатга таклиф юбориш</span><span onclick="lx_pa(1919906)"><img src="/img/vlm.svg" />Аудиони тинглаш</span><span onclick="lx_cl(1919906)"><img src="/img/lnk.svg" />Ҳужжат элементидан ҳавола олиш</span></div></div><div name="1919906" id="1919906">удельная активность в производственной пыли урана-238, находящегося в радиоактивном равновесии с членами своего ряда— 40/f, кБк/кг, где f— среднегодовая общая запыленность воздуха в зоне дыхания, мг/м<sup>3</sup>;</div></div><div class="ACT_TEXT lx_elem" onmousemove="lx_mo(event,1919907)"><div class="lx_elem2"><div class="lx_elem3"><span onclick="lx_sf(1919907)"><img src="/img/cmt.svg" />Ҳужжатга таклиф юбориш</span><span onclick="lx_pa(1919907)"><img src="/img/vlm.svg" />Аудиони тинглаш</span><span onclick="lx_cl(1919907)"><img src="/img/lnk.svg" />Ҳужжат элементидан ҳавола олиш</span></div></div><div name="1919907" id="1919907">удельная активность в производственной пыли тория-232, находящегося в радиоактивном равновесии с членами своего ряда,— 27/f, кБк/кг.</div></div><div class="ACT_TEXT lx_elem" onmousemove="lx_mo(event,1919910)"><div class="lx_elem2"><div class="lx_elem3"><span onclick="lx_sf(1919910)"><img src="/img/cmt.svg" />Ҳужжатга таклиф юбориш</span><span onclick="lx_pa(1919910)"><img src="/img/vlm.svg" />Аудиони тинглаш</span><span onclick="lx_cl(1919910)"><img src="/img/lnk.svg" />Ҳужжат элементидан ҳавола олиш</span></div></div><div name="1919910" id="1919910">При многофакторном воздействии должно выполняться условие: сумма отношений воздействующих факторов к значениям, приведенным выше, не должна превышать 1.</div></div><div class="ACT_TEXT lx_elem" onmousemove="lx_mo(event,1919912)"><div class="lx_elem2"><div class="lx_elem3"><span onclick="lx_sf(1919912)"><img src="/img/cmt.svg" />Ҳужжатга таклиф юбориш</span><span onclick="lx_pa(1919912)"><img src="/img/vlm.svg" />Аудиони тинглаш</span><span onclick="lx_cl(1919912)"><img src="/img/lnk.svg" />Ҳужжат элементидан ҳавола олиш</span></div></div><div name="1919912" id="1919912">ПГПα долгоживущих альфа-излучателей ряда урана-238 в витающей пыли не должна превышать 480 Бк/год при их среднегодовой объемной альфа-активности ДАОα равной 200 Бк/м<sup>3</sup>.</div></div><div class="ACT_TEXT lx_elem" onmousemove="lx_mo(event,1919915)"><div class="lx_elem2"><div class="lx_elem3"><span onclick="lx_sf(1919915)"><img src="/img/cmt.svg" />Ҳужжатга таклиф юбориш</span><span onclick="lx_pa(1919915)"><img src="/img/vlm.svg" />Аудиони тинглаш</span><span onclick="lx_cl(1919915)"><img src="/img/lnk.svg" />Ҳужжат элементидан ҳавола олиш</span></div></div><div name="1919915" id="1919915">ПГПα долгоживущих альфа-излучателей ряда тория-232 в витающей пыли не должна превышать 194,4 Бк/год при ДАОа равной 81 мБк/м<sup>3</sup>.</div></div><div class="ACT_TEXT lx_elem" onmousemove="lx_mo(event,1919916)"><div class="lx_elem2"><div class="lx_elem3"><span onclick="lx_sf(1919916)"><img src="/img/cmt.svg" />Ҳужжатга таклиф юбориш</span><span onclick="lx_pa(1919916)"><img src="/img/vlm.svg" />Аудиони тинглаш</span><span onclick="lx_cl(1919916)"><img src="/img/lnk.svg" />Ҳужжат элементидан ҳавола олиш</span></div></div><div name="1919916" id="1919916">4.3. Воздействие космических излучений на экипажи самолетов нормируется как природное облучение в производственных условиях по <a href="/docs/1908086#1919896">п. 4.1</a>.</div></div><div class="TEXT_HEADER_DEFAULT lx_elem" onmousemove="lx_mo(event,1919919)"><div class="lx_elem2"><div class="lx_elem3"><span onclick="lx_sf(1919919)"><img src="/img/cmt.svg" />Ҳужжатга таклиф юбориш</span><span onclick="lx_pa(1919919)"><img src="/img/vlm.svg" />Аудиони тинглаш</span><span onclick="lx_cl(1919919)"><img src="/img/lnk.svg" />Ҳужжат элементидан ҳавола олиш</span></div></div><div name="1919919" id="1919919">5. Ограничение облучения населения</div></div><div class="ACT_TEXT lx_elem" onmousemove="lx_mo(event,1919920)"><div class="lx_elem2"><div class="lx_elem3"><span onclick="lx_sf(1919920)"><img src="/img/cmt.svg" />Ҳужжатга таклиф юбориш</span><span onclick="lx_pa(1919920)"><img src="/img/vlm.svg" />Аудиони тинглаш</span><span onclick="lx_cl(1919920)"><img src="/img/lnk.svg" />Ҳужжат элементидан ҳавола олиш</span></div></div><div name="1919920" id="1919920">5.1. Общие положения</div></div><div class="ACT_TEXT lx_elem" onmousemove="lx_mo(event,1919922)"><div class="lx_elem2"><div class="lx_elem3"><span onclick="lx_sf(1919922)"><img src="/img/cmt.svg" />Ҳужжатга таклиф юбориш</span><span onclick="lx_pa(1919922)"><img src="/img/vlm.svg" />Аудиони тинглаш</span><span onclick="lx_cl(1919922)"><img src="/img/lnk.svg" />Ҳужжат элементидан ҳавола олиш</span></div></div><div name="1919922" id="1919922">5.1.1. Радиационная безопасность населения достигается путем ограничения воздействия от всех основных видов облучения (<a href="/docs/1908086#1908101">п. 1.3</a>). Возможности регулирования разных видов облучения существенно различаются, поэтому регламентация их осуществляется раздельно с применением разных методологических подходов и технических способов.</div></div><div class="ACT_TEXT lx_elem" onmousemove="lx_mo(event,1919924)"><div class="lx_elem2"><div class="lx_elem3"><span onclick="lx_sf(1919924)"><img src="/img/cmt.svg" />Ҳужжатга таклиф юбориш</span><span onclick="lx_pa(1919924)"><img src="/img/vlm.svg" />Аудиони тинглаш</span><span onclick="lx_cl(1919924)"><img src="/img/lnk.svg" />Ҳужжат элементидан ҳавола олиш</span></div></div><div name="1919924" id="1919924">5.1.2. В отношении всех источников облучения населения следует принимать меры как по снижению дозы облучения у отдельных лиц, так и по уменьшению числа лиц, подвергающихся облучению, в соответствии с принципом оптимизации.</div></div><div class="ACT_TEXT lx_elem" onmousemove="lx_mo(event,1919925)"><div class="lx_elem2"><div class="lx_elem3"><span onclick="lx_sf(1919925)"><img src="/img/cmt.svg" />Ҳужжатга таклиф юбориш</span><span onclick="lx_pa(1919925)"><img src="/img/vlm.svg" />Аудиони тинглаш</span><span onclick="lx_cl(1919925)"><img src="/img/lnk.svg" />Ҳужжат элементидан ҳавола олиш</span></div></div><div name="1919925" id="1919925">5.2. Ограничение техногенного облучения в нормальных условиях</div></div><div class="ACT_TEXT lx_elem" onmousemove="lx_mo(event,1919927)"><div class="lx_elem2"><div class="lx_elem3"><span onclick="lx_sf(1919927)"><img src="/img/cmt.svg" />Ҳужжатга таклиф юбориш</span><span onclick="lx_pa(1919927)"><img src="/img/vlm.svg" />Аудиони тинглаш</span><span onclick="lx_cl(1919927)"><img src="/img/lnk.svg" />Ҳужжат элементидан ҳавола олиш</span></div></div><div name="1919927" id="1919927">5.2.1. Годовая доза облучения населения не должна превышать основные пределы доз (<a href="/docs/1908086#1919784">табл. 3.1</a>). Указанные пределы доз относятся к средней дозе критической группы населения, рассматриваемой как сумма доз внешнего облучения за текущий год и ожидаемой дозы до 70 лет вследствие поступления радионуклидов в организм за текущий год.</div></div><div class="ACT_TEXT lx_elem" onmousemove="lx_mo(event,1919930)"><div class="lx_elem2"><div class="lx_elem3"><span onclick="lx_sf(1919930)"><img src="/img/cmt.svg" />Ҳужжатга таклиф юбориш</span><span onclick="lx_pa(1919930)"><img src="/img/vlm.svg" />Аудиони тинглаш</span><span onclick="lx_cl(1919930)"><img src="/img/lnk.svg" />Ҳужжат элементидан ҳавола олиш</span></div></div><div name="1919930" id="1919930">5.2.2. Облучение населения техногенными источниками излучения ограничивается путем обеспечения сохранности источников излучения, контроля технологических процессов и ограничения выброса (сброса) радионуклидов в окружающую среду, а также другими мероприятиями на стадии проектирования, эксплуатации и прекращения использования источников излучения.</div></div><div class="ACT_TEXT lx_elem" onmousemove="lx_mo(event,1919931)"><div class="lx_elem2"><div class="lx_elem3"><span onclick="lx_sf(1919931)"><img src="/img/cmt.svg" />Ҳужжатга таклиф юбориш</span><span onclick="lx_pa(1919931)"><img src="/img/vlm.svg" />Аудиони тинглаш</span><span onclick="lx_cl(1919931)"><img src="/img/lnk.svg" />Ҳужжат элементидан ҳавола олиш</span></div></div><div name="1919931" id="1919931">5.2.3. На основании значений ПГП радионуклидов через органы пищеварения, соответствующих пределу дозы 1 мЗв за год и квот от этого предела, может быть рассчитана для конкретных условий допустимая удельная активность основных пищевых продуктов с учетом их распределения по компонентам рациона и в питьевой воде, а также с учетом поступления радионуклида через органы дыхания и внешнего облучения. Значения ПГП радионуклидов для населения через органы дыхания и пищеварения, а также соответствующие им значения ДОА и УВ приведены в <a href="/docs/1908086#1920074">таблице 5.1</a>.</div></div><div class="ACT_TEXT lx_elem" onmousemove="lx_mo(event,1919932)"><div class="lx_elem2"><div class="lx_elem3"><span onclick="lx_sf(1919932)"><img src="/img/cmt.svg" />Ҳужжатга таклиф юбориш</span><span onclick="lx_pa(1919932)"><img src="/img/vlm.svg" />Аудиони тинглаш</span><span onclick="lx_cl(1919932)"><img src="/img/lnk.svg" />Ҳужжат элементидан ҳавола олиш</span></div></div><div name="1919932" id="1919932">5.3. Ограничение природного облучения</div></div><div class="ACT_TEXT lx_elem" onmousemove="lx_mo(event,1919933)"><div class="lx_elem2"><div class="lx_elem3"><span onclick="lx_sf(1919933)"><img src="/img/cmt.svg" />Ҳужжатга таклиф юбориш</span><span onclick="lx_pa(1919933)"><img src="/img/vlm.svg" />Аудиони тинглаш</span><span onclick="lx_cl(1919933)"><img src="/img/lnk.svg" />Ҳужжат элементидан ҳавола олиш</span></div></div><div name="1919933" id="1919933">5.3.1. Допустимое значение эффективной дозы, обусловленной суммарным воздействием природных источников излучения, для населения не устанавливается. Снижение облучения населения достигается путем установления системы ограничений на облучение населения от отдельных природных источников излучения.</div></div><div class="ACT_TEXT lx_elem" onmousemove="lx_mo(event,1919938)"><div class="lx_elem2"><div class="lx_elem3"><span onclick="lx_sf(1919938)"><img src="/img/cmt.svg" />Ҳужжатга таклиф юбориш</span><span onclick="lx_pa(1919938)"><img src="/img/vlm.svg" />Аудиони тинглаш</span><span onclick="lx_cl(1919938)"><img src="/img/lnk.svg" />Ҳужжат элементидан ҳавола олиш</span></div></div><div name="1919938" id="1919938">5.3.2. При проектировании новых зданий жилищного и общественного назначения должно быть предусмотрено, чтобы среднегодовая эквивалентная равновесная объемная активность короткоживущих дочерних изотопов радона и торона в воздухе помещений ЭРОА<sub>Rn</sub> + 4,6 • ЭРОА<sub>Тn</sub> не превышала 200 Бк/м<sup>3</sup>, а мощность эффективной дозы гамма-излучения не превышала мощность дозы на открытой местности более чем на 0,3 мкЗв/ч.</div></div><div class="ACT_TEXT lx_elem" onmousemove="lx_mo(event,1919941)"><div class="lx_elem2"><div class="lx_elem3"><span onclick="lx_sf(1919941)"><img src="/img/cmt.svg" />Ҳужжатга таклиф юбориш</span><span onclick="lx_pa(1919941)"><img src="/img/vlm.svg" />Аудиони тинглаш</span><span onclick="lx_cl(1919941)"><img src="/img/lnk.svg" />Ҳужжат элементидан ҳавола олиш</span></div></div><div name="1919941" id="1919941">5.3.3. В эксплуатируемых зданиях среднегодовая эквивалентная равновесная объемная активность дочерних изотопов радона и торона в воздухе жилых помещений не должна превышать 400 Бк/м<sup>3</sup>. При более высоких значениях объемной активности должны проводиться защитные мероприятия, направленные на снижение поступления радона в воздух помещений и улучшение вентиляции помещений. Защитные мероприятия должны проводиться также, если мощность эффективной дозы гамма-излучения в помещениях превышает мощность дозы на открытой местности более чем на 0,3 мкЗв/ч.</div></div><div class="ACT_TEXT lx_elem" onmousemove="lx_mo(event,1919943)"><div class="lx_elem2"><div class="lx_elem3"><span onclick="lx_sf(1919943)"><img src="/img/cmt.svg" />Ҳужжатга таклиф юбориш</span><span onclick="lx_pa(1919943)"><img src="/img/vlm.svg" />Аудиони тинглаш</span><span onclick="lx_cl(1919943)"><img src="/img/lnk.svg" />Ҳужжат элементидан ҳавола олиш</span></div></div><div name="1919943" id="1919943">5.3.4. Эффективная удельная активность (А<sub>эфф</sub>) природных радионуклидов в строительных материалах (щебень, гравий, песок, бутовый и пилонный камень, цементное и кирпичное сырье и пр.), добываемых на их месторождениях или являющихся побочным продуктом промышленности, а также отходы промышленного производства, используемые для изготовления строительных материалов (золы, шлаки и пр.), не должна превышать:</div></div><div class="ACT_TEXT lx_elem" onmousemove="lx_mo(event,1919945)"><div class="lx_elem2"><div class="lx_elem3"><span onclick="lx_sf(1919945)"><img src="/img/cmt.svg" />Ҳужжатга таклиф юбориш</span><span onclick="lx_pa(1919945)"><img src="/img/vlm.svg" />Аудиони тинглаш</span><span onclick="lx_cl(1919945)"><img src="/img/lnk.svg" />Ҳужжат элементидан ҳавола олиш</span></div></div><div name="1919945" id="1919945">для материалов, используемых в строящихся и реконструируемых жилых и общественных зданиях (I класс): </div></div><div class="TEXT_CENTER lx_elem" onmousemove="lx_mo(event,1919976)"><div class="lx_elem2"><div class="lx_elem3"><span onclick="lx_sf(1919976)"><img src="/img/cmt.svg" />Ҳужжатга таклиф юбориш</span><span onclick="lx_pa(1919976)"><img src="/img/vlm.svg" />Аудиони тинглаш</span><span onclick="lx_cl(1919976)"><img src="/img/lnk.svg" />Ҳужжат элементидан ҳавола олиш</span></div></div><div name="1919976" id="1919976"><em>А</em><sub>ЭФФ</sub> = <em>А</em><sub>Ra</sub>+1,3 <em>A</em><sub>Th</sub>, + 0,09 <em>А</em><sub>к</sub> <u><</u> 370 Бк / кг. где</div></div><div class="FOOTNOTE lx_elem" onmousemove="lx_mo(event,1919980)"><div class="lx_elem2"><div class="lx_elem3"><span onclick="lx_sf(1919980)"><img src="/img/cmt.svg" />Ҳужжатга таклиф юбориш</span><span onclick="lx_pa(1919980)"><img src="/img/vlm.svg" />Аудиони тинглаш</span><span onclick="lx_cl(1919980)"><img src="/img/lnk.svg" />Ҳужжат элементидан ҳавола олиш</span></div></div><div name="1919980" id="1919980"><strong>A<sub>Rа</sub> и А</strong><sub><strong>Th</strong> </sub>— удельные активности<sup> 226</sup>Ra и <sup>232</sup>Th, находящихся в равновесии с остальными членами уранового и ториевого рядов;</div></div><div class="FOOTNOTE lx_elem" onmousemove="lx_mo(event,1919987)"><div class="lx_elem2"><div class="lx_elem3"><span onclick="lx_sf(1919987)"><img src="/img/cmt.svg" />Ҳужжатга таклиф юбориш</span><span onclick="lx_pa(1919987)"><img src="/img/vlm.svg" />Аудиони тинглаш</span><span onclick="lx_cl(1919987)"><img src="/img/lnk.svg" />Ҳужжат элементидан ҳавола олиш</span></div></div><div name="1919987" id="1919987"><strong>А<sub>К </sub></strong>— удельная активность К-40 (Бк/кг);</div></div><div class="ACT_TEXT lx_elem" onmousemove="lx_mo(event,1919993)"><div class="lx_elem2"><div class="lx_elem3"><span onclick="lx_sf(1919993)"><img src="/img/cmt.svg" />Ҳужжатга таклиф юбориш</span><span onclick="lx_pa(1919993)"><img src="/img/vlm.svg" />Аудиони тинглаш</span><span onclick="lx_cl(1919993)"><img src="/img/lnk.svg" />Ҳужжат элементидан ҳавола олиш</span></div></div><div name="1919993" id="1919993">для материалов, используемых в дорожном строительстве в пределах территории населенных пунктов и зон перспективной застройки, а также при возведении производственных сооружений (II класс):</div></div><div class="TEXT_CENTER lx_elem" onmousemove="lx_mo(event,1919995)"><div class="lx_elem2"><div class="lx_elem3"><span onclick="lx_sf(1919995)"><img src="/img/cmt.svg" />Ҳужжатга таклиф юбориш</span><span onclick="lx_pa(1919995)"><img src="/img/vlm.svg" />Аудиони тинглаш</span><span onclick="lx_cl(1919995)"><img src="/img/lnk.svg" />Ҳужжат элементидан ҳавола олиш</span></div></div><div name="1919995" id="1919995"><em>А</em><sub>эфф</sub> <u><</u>740 Бк/кг</div></div><div class="ACT_TEXT lx_elem" onmousemove="lx_mo(event,1919998)"><div class="lx_elem2"><div class="lx_elem3"><span onclick="lx_sf(1919998)"><img src="/img/cmt.svg" />Ҳужжатга таклиф юбориш</span><span onclick="lx_pa(1919998)"><img src="/img/vlm.svg" />Аудиони тинглаш</span><span onclick="lx_cl(1919998)"><img src="/img/lnk.svg" />Ҳужжат элементидан ҳавола олиш</span></div></div><div name="1919998" id="1919998">для материалов, используемых в дорожном строительстве вне населенных пунктов (III класс): </div></div><div class="TEXT_CENTER lx_elem" onmousemove="lx_mo(event,1920001)"><div class="lx_elem2"><div class="lx_elem3"><span onclick="lx_sf(1920001)"><img src="/img/cmt.svg" />Ҳужжатга таклиф юбориш</span><span onclick="lx_pa(1920001)"><img src="/img/vlm.svg" />Аудиони тинглаш</span><span onclick="lx_cl(1920001)"><img src="/img/lnk.svg" />Ҳужжат элементидан ҳавола олиш</span></div></div><div name="1920001" id="1920001"><em>А</em><sub>эфф</sub> < 1,5 Бк/кг</div></div><div class="ACT_TEXT lx_elem" onmousemove="lx_mo(event,1920005)"><div class="lx_elem2"><div class="lx_elem3"><span onclick="lx_sf(1920005)"><img src="/img/cmt.svg" />Ҳужжатга таклиф юбориш</span><span onclick="lx_pa(1920005)"><img src="/img/vlm.svg" />Аудиони тинглаш</span><span onclick="lx_cl(1920005)"><img src="/img/lnk.svg" />Ҳужжат элементидан ҳавола олиш</span></div></div><div name="1920005" id="1920005">5.3.5. При содержании природных и искусственных радионуклидов в питьевой воде, создающих эффективную дозу меньше 0,3 мЗв за год, не требуется проведения мероприятий по снижению ее радиоактивности. Этому значению дозы при потреблении воды 2 кг в сутки соответствуют средние значения удельной активности за год (уровни вмешательства— УВ), приведенные в <a href="/docs/1908086#1920074">таблице 5.1</a>. При совместном присутствии в воде нескольких радионуклидов должно выполняться условие:</div></div><div class="TEXT_CENTER lx_elem" onmousemove="lx_mo(event,1920049)"><div class="lx_elem2"><div class="lx_elem3"><span onclick="lx_sf(1920049)"><img src="/img/cmt.svg" />Ҳужжатга таклиф юбориш</span><span onclick="lx_pa(1920049)"><img src="/img/vlm.svg" />Аудиони тинглаш</span><span onclick="lx_cl(1920049)"><img src="/img/lnk.svg" />Ҳужжат элементидан ҳавола олиш</span></div></div><div name="1920049" id="1920049"><img src="/files/1928586" /></div></div><div class="FOOTNOTE lx_elem" onmousemove="lx_mo(event,1920053)"><div class="lx_elem2"><div class="lx_elem3"><span onclick="lx_sf(1920053)"><img src="/img/cmt.svg" />Ҳужжатга таклиф юбориш</span><span onclick="lx_pa(1920053)"><img src="/img/vlm.svg" />Аудиони тинглаш</span><span onclick="lx_cl(1920053)"><img src="/img/lnk.svg" />Ҳужжат элементидан ҳавола олиш</span></div></div><div name="1920053" id="1920053"><strong>A<sub>i</sub></strong> - удельная активность i-гo радионуклида в воде; </div></div><div class="FOOTNOTE lx_elem" onmousemove="lx_mo(event,1920054)"><div class="lx_elem2"><div class="lx_elem3"><span onclick="lx_sf(1920054)"><img src="/img/cmt.svg" />Ҳужжатга таклиф юбориш</span><span onclick="lx_pa(1920054)"><img src="/img/vlm.svg" />Аудиони тинглаш</span><span onclick="lx_cl(1920054)"><img src="/img/lnk.svg" />Ҳужжат элементидан ҳавола олиш</span></div></div><div name="1920054" id="1920054"><strong>УВ<sub>i</sub> </strong>- соответствующий уровень вмешательства.</div></div><div class="ACT_TEXT lx_elem" onmousemove="lx_mo(event,1920055)"><div class="lx_elem2"><div class="lx_elem3"><span onclick="lx_sf(1920055)"><img src="/img/cmt.svg" />Ҳужжатга таклиф юбориш</span><span onclick="lx_pa(1920055)"><img src="/img/vlm.svg" />Аудиони тинглаш</span><span onclick="lx_cl(1920055)"><img src="/img/lnk.svg" />Ҳужжат элементидан ҳавола олиш</span></div></div><div name="1920055" id="1920055">При невыполнении указанного условия защитные действия должны осуществляться с учетом принципа оптимизации.</div></div><div class="ACT_TEXT lx_elem" onmousemove="lx_mo(event,1920056)"><div class="lx_elem2"><div class="lx_elem3"><span onclick="lx_sf(1920056)"><img src="/img/cmt.svg" />Ҳужжатга таклиф юбориш</span><span onclick="lx_pa(1920056)"><img src="/img/vlm.svg" />Аудиони тинглаш</span><span onclick="lx_cl(1920056)"><img src="/img/lnk.svg" />Ҳужжат элементидан ҳавола олиш</span></div></div><div name="1920056" id="1920056">Предварительная оценка допустимости использования воды для питьевых целей может быть дана по удельной суммарной альфа (А<sub>α</sub>)- и бета (А<sub>β</sub>)-активности, которая не должна превышать 0,2 и 2,0 Бк/кг, соответственно.</div></div><div class="ACT_TEXT lx_elem" onmousemove="lx_mo(event,1920057)"><div class="lx_elem2"><div class="lx_elem3"><span onclick="lx_sf(1920057)"><img src="/img/cmt.svg" />Ҳужжатга таклиф юбориш</span><span onclick="lx_pa(1920057)"><img src="/img/vlm.svg" />Аудиони тинглаш</span><span onclick="lx_cl(1920057)"><img src="/img/lnk.svg" />Ҳужжат элементидан ҳавола олиш</span></div></div><div name="1920057" id="1920057">При возможном присутствии в воде <sup>210</sup>Pb, <sup>228</sup>Ra и <sup>232</sup>Th определение удельной активности этих радионуклидов в воде является обязательным.</div></div><div class="FOOTNOTE lx_elem" onmousemove="lx_mo(event,1920058)"><div class="lx_elem2"><div class="lx_elem3"><span onclick="lx_sf(1920058)"><img src="/img/cmt.svg" />Ҳужжатга таклиф юбориш</span><span onclick="lx_pa(1920058)"><img src="/img/vlm.svg" />Аудиони тинглаш</span><span onclick="lx_cl(1920058)"><img src="/img/lnk.svg" />Ҳужжат элементидан ҳавола олиш</span></div></div><div name="1920058" id="1920058">Примечание: критическим путем облучения людей за счет радона, содержащегося в питьевой воде, является переход радона в воздух помещения и последующее ингаляционное поступление дочерних продуктов радона.</div></div><div class="ACT_TEXT lx_elem" onmousemove="lx_mo(event,1920059)"><div class="lx_elem2"><div class="lx_elem3"><span onclick="lx_sf(1920059)"><img src="/img/cmt.svg" />Ҳужжатга таклиф юбориш</span><span onclick="lx_pa(1920059)"><img src="/img/vlm.svg" />Аудиони тинглаш</span><span onclick="lx_cl(1920059)"><img src="/img/lnk.svg" />Ҳужжат элементидан ҳавола олиш</span></div></div><div name="1920059" id="1920059">Для минеральных и лечебных вод устанавливаются специальные нормативы.</div></div><div class="ACT_TEXT lx_elem" onmousemove="lx_mo(event,1920064)"><div class="lx_elem2"><div class="lx_elem3"><span onclick="lx_sf(1920064)"><img src="/img/cmt.svg" />Ҳужжатга таклиф юбориш</span><span onclick="lx_pa(1920064)"><img src="/img/vlm.svg" />Аудиони тинглаш</span><span onclick="lx_cl(1920064)"><img src="/img/lnk.svg" />Ҳужжат элементидан ҳавола олиш</span></div></div><div name="1920064" id="1920064">5.3.6. Удельная активность природных радионуклидов в фосфорных удобрениях и мелиорантах не должна превышать:</div></div><div class="TEXT_CENTER lx_elem" onmousemove="lx_mo(event,1920067)"><div class="lx_elem2"><div class="lx_elem3"><span onclick="lx_sf(1920067)"><img src="/img/cmt.svg" />Ҳужжатга таклиф юбориш</span><span onclick="lx_pa(1920067)"><img src="/img/vlm.svg" />Аудиони тинглаш</span><span onclick="lx_cl(1920067)"><img src="/img/lnk.svg" />Ҳужжат элементидан ҳавола олиш</span></div></div><div name="1920067" id="1920067"><em>A</em><sub>U</sub> + <em>A</em><sub>Th</sub> <u><</u> 1,2 кБк/кг, где:</div></div><div class="FOOTNOTE lx_elem" onmousemove="lx_mo(event,1920069)"><div class="lx_elem2"><div class="lx_elem3"><span onclick="lx_sf(1920069)"><img src="/img/cmt.svg" />Ҳужжатга таклиф юбориш</span><span onclick="lx_pa(1920069)"><img src="/img/vlm.svg" />Аудиони тинглаш</span><span onclick="lx_cl(1920069)"><img src="/img/lnk.svg" />Ҳужжат элементидан ҳавола олиш</span></div></div><div name="1920069" id="1920069"><strong>A<sub>U</sub> и A</strong><sub><strong>Th</strong> </sub>— удельные активности урана-238 (радия-226) и тория-232 (тория-228), находящихся в радиоактивном равновесии с остальными членами уранового и ториевого рядов, соответственно.</div></div><div class="ACT_TEXT lx_elem" onmousemove="lx_mo(event,1920071)"><div class="lx_elem2"><div class="lx_elem3"><span onclick="lx_sf(1920071)"><img src="/img/cmt.svg" />Ҳужжатга таклиф юбориш</span><span onclick="lx_pa(1920071)"><img src="/img/vlm.svg" />Аудиони тинглаш</span><span onclick="lx_cl(1920071)"><img src="/img/lnk.svg" />Ҳужжат элементидан ҳавола олиш</span></div></div><div name="1920071" id="1920071">5.3.7. Суммарная удельная альфа-активность радионуклидов (урана-238, тория-232 и их продуктов распада) в сырье для производства удобрений и мелиорантов не должна превышать 10 кБк/кг.</div></div><div class="ACT_TEXT lx_elem" onmousemove="lx_mo(event,1920072)"><div class="lx_elem2"><div class="lx_elem3"><span onclick="lx_sf(1920072)"><img src="/img/cmt.svg" />Ҳужжатга таклиф юбориш</span><span onclick="lx_pa(1920072)"><img src="/img/vlm.svg" />Аудиони тинглаш</span><span onclick="lx_cl(1920072)"><img src="/img/lnk.svg" />Ҳужжат элементидан ҳавола олиш</span></div></div><div name="1920072" id="1920072">Содержание естественных радионуклидов в сырье, контактирующем с пищевыми продуктами в ходе технологического процесса, не должно превышать по урану—238— 0,73 Бк/кг, торию—232— 5,40 Бк/кг, радию—226— 4,50 Бк/кг.</div></div><div class="TABLE_STD lx_elem" id="theDefCssID" onmousemove="lx_mo(event,1920074)"><div class="lx_elem2"><div class="lx_elem3"><span onclick="lx_sf(1920074)"><img src="/img/cmt.svg" />Ҳужжатга таклиф юбориш</span><span onclick="lx_pa(1920074)"><img src="/img/vlm.svg" />Аудиони тинглаш</span><span onclick="lx_cl(1920074)"><img src="/img/lnk.svg" />Ҳужжат элементидан ҳавола олиш</span></div></div><div name="1920074" id="1920074" class="tabBox"><table id="theTableID" style="TABLE-LAYOUT: fixed; PADDING-RIGHT: 0px; ; PADDING-LEFT: 0px; LEFT: 2px; PADDING-BOTTOM: 0px; WIDTH: 100%; BORDER-TOP-STYLE: none; PADDING-TOP: 0px; BORDER-RIGHT-STYLE: none; BORDER-LEFT-STYLE: none; TOP: 0px; BORDER-BOTTOM-STYLE: none" cellspacing="1" cols="12" border="1">
<colgroup>
<col />
<col />
<col />
<col />
<col />
<col />
<col />
<col />
<col />
<col />
<col />
<col /></colgroup>
<tbody>
<tr>
<td style="BORDER-TOP-STYLE: none; BORDER-RIGHT-STYLE: none; BORDER-LEFT-STYLE: none; BORDER-BOTTOM-STYLE: none">‎</td>
<td style="BORDER-TOP-STYLE: none; BORDER-RIGHT-STYLE: none; BORDER-LEFT-STYLE: none; BORDER-BOTTOM-STYLE: none">‎</td>
<td style="BORDER-TOP-STYLE: none; BORDER-RIGHT-STYLE: none; BORDER-LEFT-STYLE: none; BORDER-BOTTOM-STYLE: none">‎</td>
<td style="BORDER-TOP-STYLE: none; BORDER-RIGHT-STYLE: none; BORDER-LEFT-STYLE: none; BORDER-BOTTOM-STYLE: none">‎</td>
<td style="BORDER-TOP-STYLE: none; BORDER-RIGHT-STYLE: none; BORDER-LEFT-STYLE: none; BORDER-BOTTOM-STYLE: none">‎</td>
<td style="BORDER-TOP-STYLE: none; BORDER-RIGHT-STYLE: none; BORDER-LEFT-STYLE: none; BORDER-BOTTOM-STYLE: none">‎</td>
<td style="BORDER-TOP-STYLE: none; BORDER-RIGHT-STYLE: none; BORDER-LEFT-STYLE: none; BORDER-BOTTOM-STYLE: none">‎</td>
<td style="BORDER-TOP-STYLE: none; BORDER-RIGHT-STYLE: none; BORDER-LEFT-STYLE: none; BORDER-BOTTOM-STYLE: none">‎</td>
<td style="BORDER-TOP-STYLE: none; BORDER-RIGHT-STYLE: none; BORDER-LEFT-STYLE: none; BORDER-BOTTOM-STYLE: none">‎</td>
<td style="BORDER-TOP-STYLE: none; BORDER-RIGHT-STYLE: none; BORDER-LEFT-STYLE: none; BORDER-BOTTOM-STYLE: none">‎</td>
<td style="BORDER-TOP-STYLE: none; BORDER-RIGHT-STYLE: none; BORDER-LEFT-STYLE: none; BORDER-BOTTOM-STYLE: none">‎</td>
<td style="BORDER-TOP-STYLE: none; BORDER-RIGHT-STYLE: none; BORDER-LEFT-STYLE: none; BORDER-BOTTOM-STYLE: none">Таблица 5.1‎</td></tr>
<tr>
<td style="BORDER-TOP-STYLE: none; BORDER-RIGHT-STYLE: none; BORDER-LEFT-STYLE: none; BORDER-BOTTOM-STYLE: none" colspan="12">
<p align="center"><strong>‎‎Значения дозовых коэффициентов, величин предельного годового поступления с воздухом и пищей, допустимой объемной активности во вдыхаемом воздухе и уровни вмешательства при поступлении с водой отдельных радионуклидов для населения Республики Узбекистан<sup>1<br />‎</sup></strong></p></td></tr>
<tr>
<td rowspan="2">
<p align="center">‎‏Радионуклид РН<br />‎</p></td>
<td rowspan="2">
<p align="center">‎‏Период полураспада<br />‎Tl/2‎</p></td>
<td colspan="5">
<p align="center"><strong>Поступление с воздухом</strong></p></td>
<td colspan="5">
<p align="center"><strong>Поступление с водой и пищей‎</strong></p></td></tr>
<tr>
<td colspan="2">
<p align="center">критическая группа <a href="/docs/1908086#1920134"><sup>[1]</sup></a> КГ ‎‎</p></td>
<td>
<p align="center">дозовый коэффициент, возд εнас ,Зв/Бк‎</p></td>
<td>
<p align="center">предел годового поступления, возд ПГПнас Бк в год ‎</p></td>
<td>
<p align="center">допустимая среднегодовая объемная активность, ДОАнас Бк/м3 ‎</p></td>
<td colspan="2">
<p align="center">критическая группа<sup><a href="/docs/1908086#1920134">[1]</a></sup> КГ </p></td>
<td>
<p align="center">дозовый коэффициент, пищ εнас, Зв/Бк ‎</p></td>
<td>
<p align="center">предел годового поступления, пищ ПГПнас Бк в год ‎</p></td>
<td>
<p align="center">уровень вмешательства вода УВ, Бк/кг ‎</p></td></tr>
<tr>
<td>
<p align="center"><strong>1‎</strong></p></td>
<td>
<p align="center"><strong>2‎</strong></p></td>
<td>
<p align="center"><strong>3‎</strong></p></td>
<td>
<p align="center"><strong>4‎</strong></p></td>
<td>
<p align="center"><strong>5‎</strong></p></td>
<td>
<p align="center"><strong>6‎</strong></p></td>
<td>
<p align="center"><strong>7‎</strong></p></td>
<td>
<p align="center"><strong>8‎</strong></p></td>
<td>
<p align="center"><strong>9‎</strong></p></td>
<td>
<p align="center"><strong>10‎</strong></p></td>
<td>
<p align="center"><strong>11‎</strong></p></td>
<td>
<p align="center"><strong>12‎</strong></p></td></tr>
<tr>
<td>
<p align="center">H-3<strong>‎</strong></p></td>
<td>
<p align="center">12,3‎</p></td>
<td>
<p align="center"></p></td>
<td>
<p align="center">#2‎ ‎</p></td>
<td>
<p align="center">‎2,7 Е-10</p></td>
<td>
<p align="center">3,7 Е+6‎</p></td>
<td>
<p align="center">1,9 Е+3‎</p></td>
<td>
<p align="center"><a href="/docs/1908086#1920139">[2]‎</a></p></td>
<td>
<p align="center">#2‎</p></td>
<td>
<p align="center">4,8Е-11‎</p></td>
<td>
<p align="center">2,1 Е+7‎</p></td>
<td>
<p align="center">7,7 Е+3‎</p></td></tr>
<tr>
<td>
<p align="center">‎</p></td>
<td>
<p align="center">‎</p></td>
<td>
<p align="center">‎</p></td>
<td>
<p align="center">‎</p></td>
<td>
<p align="center">‎</p></td>
<td>
<p align="center">‎</p></td>
<td>
<p align="center">‎</p></td>
<td>
<p align="center"><a href="/docs/1908086#1920140">[3]‎</a></p></td>
<td>
<p align="center">#2‎</p></td>
<td>
<p align="center">1,2 Е-10‎</p></td>
<td>
<p align="center">8,3 Е+6‎</p></td>
<td>
<p align="center">3,3 Е+3‎</p></td></tr>
<tr>
<td>
<p align="center">Sr-82‎</p></td>
<td>
<p align="center">25 сут‎</p></td>
<td>
<p align="center"></p></td>
<td>
<p align="center">#2‎‎</p></td>
<td>
<p align="center">4,0 Е-8‎</p></td>
<td>
<p align="center">2,5 Е+4‎</p></td>
<td>
<p align="center">1,3 Е+1‎</p></td>
<td>
<p align="center">‎</p></td>
<td>
<p align="center">#2‎</p></td>
<td>
<p align="center">4,1 Е-8‎</p></td>
<td>
<p align="center">2,4 Е+4‎</p></td>
<td>
<p align="center">2,3 Е+1‎</p></td></tr>
<tr>
<td>
<p align="center">Sr-83</p></td>
<td>
<p align="center">1,35 сут‎</p></td>
<td>
<p align="center"></p></td>
<td>
<p align="center">#2‎‎</p></td>
<td>
<p align="center">1,9 Е-9‎</p></td>
<td>
<p align="center">5,3 Е+5‎</p></td>
<td>
<p align="center">2,8 Е+2‎</p></td>
<td>
<p align="center">‎</p></td>
<td>
<p align="center">#2‎</p></td>
<td>
<p align="center">2,7 Е-9‎</p></td>
<td>
<p align="center">3,7 Е+5‎</p></td>
<td>
<p align="center">2,8 Е+2‎</p></td></tr>
<tr>
<td>
<p align="center">Sr-85‎‎</p></td>
<td>
<p align="center">64,8 сут‎</p></td>
<td>
<p align="center"></p></td>
<td>
<p align="center">#5‎‎</p></td>
<td>
<p align="center">8,8 Е-10‎</p></td>
<td>
<p align="center">1,1 Е+6‎</p></td>
<td>
<p align="center">1,6 Е+2‎</p></td>
<td>
<p align="center">‎</p></td>
<td>
<p align="center">#2‎</p></td>
<td>
<p align="center">3,1 Е-9‎</p></td>
<td>
<p align="center">3,2 Е+5‎</p></td>
<td>
<p align="center">2,5 Е+2‎</p></td></tr>
<tr>
<td>
<p align="center">Sr-89‎‎</p></td>
<td>
<p align="center">50,5 сут‎</p></td>
<td>
<p align="center"></p></td>
<td>
<p align="center">#5‎‎</p></td>
<td>
<p align="center">7,3 Е-9‎</p></td>
<td>
<p align="center">1,4 Е+52,0 ‎</p></td>
<td>
<p align="center">1,9 Е+1‎</p></td>
<td>
<p align="center">‎</p></td>
<td>
<p align="center">#2‎</p></td>
<td>
<p align="center">1,8 Е-8‎</p></td>
<td>
<p align="center">5,6 Е+4‎</p></td>
<td>
<p align="center">5,3 Е+1‎</p></td></tr>
<tr>
<td>
<p align="center">Sr-90‎</p></td>
<td>
<p align="center">29,1 лет‎</p></td>
<td>
<p align="center"></p></td>
<td>
<p align="center">#5‎‎</p></td>
<td>
<p align="center">5,0 Е-8‎</p></td>
<td>
<p align="center">2,0 Е+4‎</p></td>
<td>
<p align="center">2,7‎</p></td>
<td>
<p align="center">‎</p></td>
<td>
<p align="center">#5‎</p></td>
<td>
<p align="center">8,0 Е-8‎</p></td>
<td>
<p align="center">1,3 Е+4‎</p></td>
<td>
<p align="center">5,0‎</p></td></tr>
<tr>
<td>
<p align="center">Y-87‎</p></td>
<td>
<p align="center">3,35 сут‎</p></td>
<td>
<p align="center"></p></td>
<td>
<p align="center">#2‎‎</p></td>
<td>
<p align="center">2,2 Е-9‎</p></td>
<td>
<p align="center">4,5 Е+5‎</p></td>
<td>
<p align="center">2,4 Е+2‎</p></td>
<td>
<p align="center">‎</p></td>
<td>
<p align="center">#2‎‎</p></td>
<td>
<p align="center">3,2 Е-9‎</p></td>
<td>
<p align="center">3,1 Е+5‎</p></td>
<td>
<p align="center">2,5 Е+2‎</p></td></tr>
<tr>
<td>
<p align="center">Y-88‎</p></td>
<td>
<p align="center">107 сут‎</p></td>
<td>
<p align="center"></p></td>
<td>
<p align="center">#5‎‎‎</p></td>
<td>
<p align="center">5,4 Е-9‎</p></td>
<td>
<p align="center">1,9 Е+5‎</p></td>
<td>
<p align="center">2,5 Е+1‎</p></td>
<td>
<p align="center">‎</p></td>
<td>
<p align="center">#2‎‎</p></td>
<td>
<p align="center">6,0 Е-9‎</p></td>
<td>
<p align="center">1,7 Е+5‎</p></td>
<td>
<p align="center">1,1 Е+2‎</p></td></tr>
<tr>
<td>
<p align="center">Y-90‎</p></td>
<td>
<p align="center">2,67 сут‎</p></td>
<td>
<p align="center"></p></td>
<td>
<p align="center">#2‎‎</p></td>
<td>
<p align="center">8,8 Е-9‎</p></td>
<td>
<p align="center">1,1 Е+5‎</p></td>
<td>
<p align="center">6,0 Е+1‎</p></td>
<td>
<p align="center">‎</p></td>
<td>
<p align="center">#2‎‎</p></td>
<td>
<p align="center">2,0 Е-8‎</p></td>
<td>
<p align="center">5,0 Е+4‎</p></td>
<td>
<p align="center">5,1 Е+1‎</p></td></tr>
<tr>
<td>
<p align="center">Y-91‎</p></td>
<td>
<p align="center">58,5 сут‎</p></td>
<td>
<p align="center"></p></td>
<td>
<p align="center">#5‎‎</p></td>
<td>
<p align="center">1,0 Е-8‎</p></td>
<td>
<p align="center">1,0 Е+5‎</p></td>
<td>
<p align="center">1,4 Е+1‎</p></td>
<td>
<p align="center">‎</p></td>
<td>
<p align="center">#2‎‎</p></td>
<td>
<p align="center">1,8 Е-8‎</p></td>
<td>
<p align="center">5,6 Е+4‎</p></td>
<td>
<p align="center">5,8 Е+1‎</p></td></tr>
<tr>
<td>
<p align="center">Tc-95m</p></td>
<td>
<p align="center">61,0 сут‎</p></td>
<td>
<p align="center"></p></td>
<td>
<p align="center">#5‎‎</p></td>
<td>
<p align="center">1,1 Е-9‎</p></td>
<td>
<p align="center">9,1 Е+5‎</p></td>
<td>
<p align="center">1,2 Е+2‎</p></td>
<td>
<p align="center">‎</p></td>
<td>
<p align="center">#2‎‎</p></td>
<td>
<p align="center">2,8 Е-9‎</p></td>
<td>
<p align="center">3,6 Е+5‎</p></td>
<td>
<p align="center">2,5 Е+2‎</p></td></tr>
<tr>
<td>
<p align="center">Tc-96‎</p></td>
<td>
<p align="center">4,28 сут‎</p></td>
<td>
<p align="center"></p></td>
<td>
<p align="center">#2‎‎</p></td>
<td>
<p align="center">3,9 Е-9‎</p></td>
<td>
<p align="center">2,6 Е+5‎</p></td>
<td>
<p align="center">1,3 Е+2‎</p></td>
<td>
<p align="center">‎</p></td>
<td>
<p align="center">#2‎‎</p></td>
<td>
<p align="center">5,1 Е-9‎</p></td>
<td>
<p align="center">2,0 Е+5‎</p></td>
<td>
<p align="center">1,3 Е+2‎</p></td></tr>
<tr>
<td>
<p align="center">Tc-97‎</p></td>
<td>
<p align="center">2,60+6 лет‎</p></td>
<td>
<p align="center"></p></td>
<td>
<p align="center">#5‎‎</p></td>
<td>
<p align="center">2,8 Е-10‎</p></td>
<td>
<p align="center">3,6 Е+6‎</p></td>
<td>
<p align="center">4,9 Е+2‎</p></td>
<td>
<p align="center">‎</p></td>
<td>
<p align="center">#2‎‎</p></td>
<td>
<p align="center">4,9 Е-10‎</p></td>
<td>
<p align="center">2,8 Е+6‎</p></td>
<td>
<p align="center">2,0 Е+3‎</p></td></tr>
<tr>
<td>
<p align="center">Tc-97m‎</p></td>
<td>
<p align="center">87,0 сут‎</p></td>
<td>
<p align="center"></p></td>
<td>
<p align="center">#5‎‎</p></td>
<td>
<p align="center">4,1 Е-9‎</p></td>
<td>
<p align="center">2,4 Е+5‎</p></td>
<td>
<p align="center">3,3 Е+1‎</p></td>
<td>
<p align="center">‎</p></td>
<td>
<p align="center">#2‎‎</p></td>
<td>
<p align="center">4,1 Е-9‎</p></td>
<td>
<p align="center">2,4 Е+5‎</p></td>
<td>
<p align="center">2,5 Е+2‎</p></td></tr>
<tr>
<td>
<p align="center">Tc-98‎</p></td>
<td>
<p align="center">4,20+6 лет‎</p></td>
<td>
<p align="center"></p></td>
<td>
<p align="center">#5‎‎</p></td>
<td>
<p align="center">1,0 Е-8‎</p></td>
<td>
<p align="center">1,0 Е+5‎</p></td>
<td>
<p align="center">1,4 Е+1‎</p></td>
<td>
<p align="center">‎</p></td>
<td>
<p align="center">#2‎‎</p></td>
<td>
<p align="center">1,2 Е-8‎</p></td>
<td>
<p align="center">8,3 Е+4‎</p></td>
<td>
<p align="center">6,9 Е+1‎</p></td></tr>
<tr>
<td>
<p align="center">Tc-99‎</p></td>
<td>
<p align="center">2,13+5 лет‎</p></td>
<td>
<p align="center"></p></td>
<td>
<p align="center">#2‎‎</p></td>
<td>
<p align="center">5,0 Е-9‎</p></td>
<td>
<p align="center">2,0 Е+5‎</p></td>
<td>
<p align="center">2,7 Е+1‎</p></td>
<td>
<p align="center">‎</p></td>
<td>
<p align="center">#2‎‎</p></td>
<td>
<p align="center">4,8 Е-9‎</p></td>
<td>
<p align="center">2,1 Е+5‎</p></td>
<td>
<p align="center">2,2 Е+2‎</p></td></tr>
<tr>
<td>
<p align="center">1-124‎</p></td>
<td>
<p align="center">4,18 сут‎</p></td>
<td>
<p align="center"></p></td>
<td>
<p align="center">#2‎‎</p></td>
<td>
<p align="center">4,5 Е-8‎</p></td>
<td>
<p align="center">2,2 Е+4‎</p></td>
<td>
<p align="center">1,2 Е+1‎</p></td>
<td>
<p align="center">‎</p></td>
<td>
<p align="center">#2‎‎</p></td>
<td>
<p align="center">1,1 Е-7‎</p></td>
<td>
<p align="center">9,1 Е+3‎</p></td>
<td>
<p align="center">1,1 Е+1‎</p></td></tr>
<tr>
<td>
<p align="center">1-125‎</p></td>
<td>
<p align="center">60,1 сут‎</p></td>
<td>
<p align="center"></p></td>
<td>
<p align="center">#4‎‎</p></td>
<td>
<p align="center">1,1 Е-8‎</p></td>
<td>
<p align="center">9,1 Е+4‎</p></td>
<td>
<p align="center">1,7 Е+1‎</p></td>
<td>
<p align="center">‎</p></td>
<td>
<p align="center">#2‎‎</p></td>
<td>
<p align="center">5,7 Е-8‎</p></td>
<td>
<p align="center">1,8 Е+4‎</p></td>
<td>
<p align="center">9,3‎</p></td></tr>
<tr>
<td>
<p align="center">1-126‎</p></td>
<td>
<p align="center">13,0 сут‎</p></td>
<td>
<p align="center"></p></td>
<td>
<p align="center">#2‎‎</p></td>
<td>
<p align="center">8,3 Е-8‎</p></td>
<td>
<p align="center">1,2 Е+4‎</p></td>
<td>
<p align="center">6,3‎</p></td>
<td>
<p align="center">‎</p></td>
<td>
<p align="center">#2‎‎</p></td>
<td>
<p align="center">2,1 Е-7‎</p></td>
<td>
<p align="center">4,8 Е+3‎</p></td>
<td>
<p align="center">4,8‎</p></td></tr>
<tr>
<td>
<p align="center">1-129‎</p></td>
<td>
<p align="center">1,57+7 лет‎</p></td>
<td>
<p align="center"></p></td>
<td>
<p align="center">#4‎</p></td>
<td>
<p align="center">6,7 Е-8‎</p></td>
<td>
<p align="center">1,5 Е+4‎</p></td>
<td>
<p align="center">2,9‎</p></td>
<td>
<p align="center">‎</p></td>
<td>
<p align="center">#4‎</p></td>
<td>
<p align="center">1,9 Е-7‎</p></td>
<td>
<p align="center">5,3 Е+3‎</p></td>
<td>
<p align="center">1,3‎</p></td></tr>
<tr>
<td>
<p align="center">1-131‎</p></td>
<td>
<p align="center">8,04 сут‎</p></td>
<td>
<p align="center"></p></td>
<td>
<p align="center">#2‎‎</p></td>
<td>
<p align="center">7,2 Е-8‎</p></td>
<td>
<p align="center">1,4 Е+4‎</p></td>
<td>
<p align="center">7,3‎</p></td>
<td>
<p align="center">‎</p></td>
<td>
<p align="center">#2‎</p></td>
<td>
<p align="center">1,8 Е-7</p></td>
<td>
<p align="center">5,6 Е+3‎</p></td>
<td>
<p align="center">6,3‎</p></td></tr>
<tr>
<td>
<p align="center">Cs-129‎</p></td>
<td>
<p align="center">1,34 сут‎</p></td>
<td>
<p align="center"></p></td>
<td>
<p align="center">#2‎‎</p></td>
<td>
<p align="center">2,8 Е-10‎</p></td>
<td>
<p align="center">3,6 Е+6‎</p></td>
<td>
<p align="center">1,9 Е+3‎</p></td>
<td>
<p align="center">‎</p></td>
<td>
<p align="center">#2‎</p></td>
<td>
<p align="center">3,0 Е-10‎</p></td>
<td>
<p align="center">3,3 Е+6‎</p></td>
<td>
<p align="center">2,3 Е+3‎</p></td></tr>
<tr>
<td>
<p align="center">Cs-131‎</p></td>
<td>
<p align="center">9,69 сут‎</p></td>
<td>
<p align="center"></p></td>
<td>
<p align="center">#2‎‎</p></td>
<td>
<p align="center">1,7 Е-10‎</p></td>
<td>
<p align="center">5,9 Е+6‎</p></td>
<td>
<p align="center">3,1 Е-3‎</p></td>
<td>
<p align="center">‎</p></td>
<td>
<p align="center">#2‎</p></td>
<td>
<p align="center">2,9 Е-10‎</p></td>
<td>
<p align="center">3,4 Е+6‎</p></td>
<td>
<p align="center">2,4 Е+3‎</p></td></tr>
<tr>
<td>
<p align="center">Cs-132‎</p></td>
<td>
<p align="center">4,48 сут‎</p></td>
<td>
<p align="center"></p></td>
<td>
<p align="center">#2‎‎</p></td>
<td>
<p align="center">1,2 Е-9‎</p></td>
<td>
<p align="center">8,3 Е+5‎</p></td>
<td>
<p align="center">4,4 Е+2‎</p></td>
<td>
<p align="center">‎</p></td>
<td>
<p align="center">#2‎</p></td>
<td>
<p align="center">1,8 Е-9‎</p></td>
<td>
<p align="center">5,6 Е+5‎</p></td>
<td>
<p align="center">2,8 Е+2‎</p></td></tr>
<tr>
<td>
<p align="center">Cs-134‎</p></td>
<td>
<p align="center">2,06 лет‎</p></td>
<td>
<p align="center"></p></td>
<td>
<p align="center">#6‎‎</p></td>
<td>
<p align="center">6,6 Е-9‎</p></td>
<td>
<p align="center">1,5 Е+5‎</p></td>
<td>
<p align="center">1,9 Е+1‎</p></td>
<td>
<p align="center">‎</p></td>
<td>
<p align="center">#6‎</p></td>
<td>
<p align="center">1,9 Е-8‎</p></td>
<td>
<p align="center">5,3 Е+4‎</p></td>
<td>
<p align="center">7,3‎</p></td></tr>
<tr>
<td>
<p align="center">Cs-135‎</p></td>
<td>
<p align="center">2,30+6 лет‎</p></td>
<td>
<p align="center"></p></td>
<td>
<p align="center">#6‎‎</p></td>
<td>
<p align="center">6,9 Е-10‎</p></td>
<td>
<p align="center">1,4 Е+6‎</p></td>
<td>
<p align="center">1,8 Е+2‎</p></td>
<td>
<p align="center">‎</p></td>
<td>
<p align="center">#6‎</p></td>
<td>
<p align="center">2,0 Е-9‎</p></td>
<td>
<p align="center">5,0 Е+5‎</p></td>
<td>
<p align="center">6,9 Е+1‎</p></td></tr>
<tr>
<td>
<p align="center">Cs-136‎</p></td>
<td>
<p align="center">13,1 сут‎</p></td>
<td>
<p align="center"></p></td>
<td>
<p align="center">#4‎‎</p></td>
<td>
<p align="center">2,0 Е-9‎</p></td>
<td>
<p align="center">5,0 Е+5‎</p></td>
<td>
<p align="center">9,6 Е+1‎</p></td>
<td>
<p align="center">‎</p></td>
<td>
<p align="center">#2‎</p></td>
<td>
<p align="center">9,5 Е-9‎</p></td>
<td>
<p align="center">1,1 Е+5‎</p></td>
<td>
<p align="center">4,6 Е+1‎</p></td></tr>
<tr>
<td>
<p align="center">Cs-137‎</p></td>
<td>
<p align="center">30,0 лет‎</p></td>
<td>
<p align="center"></p></td>
<td>
<p align="center">#6‎‎</p></td>
<td>
<p align="center">4,6 Е-9‎</p></td>
<td>
<p align="center">2,2 Е+5‎</p></td>
<td>
<p align="center">2,7 Е+1‎</p></td>
<td>
<p align="center">‎</p></td>
<td>
<p align="center">#6‎</p></td>
<td>
<p align="center">1,3 Е-8‎</p></td>
<td>
<p align="center">7,7 Е+4‎</p></td>
<td>
<p align="center">1,1 Е+1‎</p></td></tr>
<tr>
<td>
<p align="center">Pb-210‎</p></td>
<td>
<p align="center">22,3 лет‎</p></td>
<td>
<p align="center"></p></td>
<td>
<p align="center">#5‎‎</p></td>
<td>
<p align="center">1,3 Е-6‎</p></td>
<td>
<p align="center">7,7 Е+2‎</p></td>
<td>
<p align="center">1,1 Е-1‎</p></td>
<td>
<p align="center">‎</p></td>
<td>
<p align="center">#2‎</p></td>
<td>
<p align="center">3,6 Е-6‎</p></td>
<td>
<p align="center">2,8 Е+2‎</p></td>
<td>
<p align="center">4,0 Е-1‎</p></td></tr>
<tr>
<td>
<p align="center">Bi-210‎</p></td>
<td>
<p align="center">5,01 сут‎</p></td>
<td>
<p align="center"></p></td>
<td>
<p align="center">#5‎‎</p></td>
<td>
<p align="center">1,1 Е-7‎</p></td>
<td>
<p align="center">9,1 Е+3‎</p></td>
<td>
<p align="center">1,2‎</p></td>
<td>
<p align="center">‎</p></td>
<td>
<p align="center">#2‎</p></td>
<td>
<p align="center">9,7 Е-9‎</p></td>
<td>
<p align="center">1,0 Е+5‎</p></td>
<td>
<p align="center">2,2 Е+2‎</p></td></tr>
<tr>
<td>
<p align="center">Po-210‎</p></td>
<td>
<p align="center">138 сут‎</p></td>
<td>
<p align="center"></p></td>
<td>
<p align="center">#5‎‎</p></td>
<td>
<p align="center">4,0 Е-6‎</p></td>
<td>
<p align="center">2,5 Е+2‎</p></td>
<td>
<p align="center">3,4 Е-2‎</p></td>
<td>
<p align="center">‎</p></td>
<td>
<p align="center">#2‎</p></td>
<td>
<p align="center">8,8 Е-6‎</p></td>
<td>
<p align="center">1,1 Е+2‎</p></td>
<td>
<p align="center">2,4 Е-1‎</p></td></tr>
<tr>
<td>
<p align="center">Ra-224‎</p></td>
<td>
<p align="center">3,66 сут‎</p></td>
<td>
<p align="center"></p></td>
<td>
<p align="center">#5‎‎</p></td>
<td>
<p align="center">3,7 Е-6‎</p></td>
<td>
<p align="center">2,7 Е+2‎</p></td>
<td>
<p align="center">3,7 Е-2‎</p></td>
<td>
<p align="center">‎</p></td>
<td>
<p align="center">#2‎</p></td>
<td>
<p align="center">6,6 Е-7‎</p></td>
<td>
<p align="center">1,5 Е+3‎</p></td>
<td>
<p align="center">4,2‎</p></td></tr>
<tr>
<td>
<p align="center">Ra-226‎</p></td>
<td>
<p align="center">1,60+3 лет‎</p></td>
<td>
<p align="center"></p></td>
<td>
<p align="center">#5‎‎</p></td>
<td>
<p align="center">4,5 Е-6‎</p></td>
<td>
<p align="center">2,2 Е+2‎</p></td>
<td>
<p align="center">3,0 Е-2‎</p></td>
<td>
<p align="center">‎</p></td>
<td>
<p align="center">#5‎</p></td>
<td>
<p align="center">1,5 Е-6‎</p></td>
<td>
<p align="center">6,7 Е+2‎</p></td>
<td>
<p align="center">1,0‎</p></td></tr>
<tr>
<td>
<p align="center">Ra-228‎</p></td>
<td>
<p align="center">5,75 лет‎</p></td>
<td>
<p align="center"></p></td>
<td>
<p align="center">#5‎‎</p></td>
<td>
<p align="center">4,4 Е-6‎</p></td>
<td>
<p align="center">2,3 Е+2‎</p></td>
<td>
<p align="center">3,1 Е-2‎</p></td>
<td>
<p align="center">‎</p></td>
<td>
<p align="center">#5‎</p></td>
<td>
<p align="center">5,3 Е-6‎</p></td>
<td>
<p align="center">1,9 Е+2‎</p></td>
<td>
<p align="center">4,0 Е-1‎</p></td></tr>
<tr>
<td>
<p align="center">Th-228‎</p></td>
<td>
<p align="center">1,91 лет‎</p></td>
<td>
<p align="center"></p></td>
<td>
<p align="center">#5‎‎</p></td>
<td>
<p align="center">4,7 Е-5‎</p></td>
<td>
<p align="center">2,1 Е+1‎</p></td>
<td>
<p align="center">2,9 Е-3‎</p></td>
<td>
<p align="center">‎</p></td>
<td>
<p align="center">#2‎</p></td>
<td>
<p align="center">3,7 Е-7‎</p></td>
<td>
<p align="center">2,7 Е+3‎</p></td>
<td>
<p align="center">3,8‎</p></td></tr>
<tr>
<td>
<p align="center">Th-230‎</p></td>
<td>
<p align="center">- 7,70+4 лет‎</p></td>
<td>
<p align="center"></p></td>
<td>
<p align="center">#6‎‎</p></td>
<td>
<p align="center">1,4 Е-5‎</p></td>
<td>
<p align="center">7,1 Е+1‎</p></td>
<td>
<p align="center">8,8 Е-3‎</p></td>
<td>
<p align="center">‎</p></td>
<td>
<p align="center">#2‎</p></td>
<td>
<p align="center">4,1 Е-7‎</p></td>
<td>
<p align="center">2,4 Е+3‎</p></td>
<td>
<p align="center">1,32‎</p></td></tr>
<tr>
<td>
<p align="center">Th-232‎</p></td>
<td>
<p align="center">1,40+10 лет‎</p></td>
<td>
<p align="center"></p></td>
<td>
<p align="center">#6‎‎</p></td>
<td>
<p align="center">2,5 Е-5‎</p></td>
<td>
<p align="center">4,0 Е+1‎</p></td>
<td>
<p align="center">4,9 Е-3‎</p></td>
<td>
<p align="center">‎</p></td>
<td>
<p align="center">#2‎</p></td>
<td>
<p align="center">4,5 Е-7‎</p></td>
<td>
<p align="center">2,2 Е+3‎</p></td>
<td>
<p align="center">1,2‎</p></td></tr>
<tr>
<td>
<p align="center">U-234‎</p></td>
<td>
<p align="center">2,44+5 лет‎</p></td>
<td>
<p align="center"></p></td>
<td>
<p align="center">#5‎‎</p></td>
<td>
<p align="center">4,2 Е-6‎</p></td>
<td>
<p align="center">2,4 Е+2‎</p></td>
<td>
<p align="center">3,3 Е-2‎</p></td>
<td>
<p align="center">‎</p></td>
<td>
<p align="center">#2‎</p></td>
<td>
<p align="center">1,3 Е-7‎</p></td>
<td>
<p align="center">7,7 Е+3‎</p></td>
<td>
<p align="center">5,8‎</p></td></tr>
<tr>
<td>
<p align="center">U-235‎</p></td>
<td>
<p align="center">7,04+8 лет‎</p></td>
<td>
<p align="center"></p></td>
<td>
<p align="center">#5‎‎</p></td>
<td>
<p align="center">3,7 Е-6‎</p></td>
<td>
<p align="center">2,7 Е+2‎</p></td>
<td>
<p align="center">3,7 Е-2‎</p></td>
<td>
<p align="center">‎</p></td>
<td>
<p align="center">#2‎</p></td>
<td>
<p align="center">1,3 Е-7‎</p></td>
<td>
<p align="center">7,7 Е+3‎</p></td>
<td>
<p align="center">6,0‎</p></td></tr>
<tr>
<td>
<p align="center">U-238‎</p></td>
<td>
<p align="center">4,47+9 лет‎</p></td>
<td>
<p align="center"></p></td>
<td>
<p align="center">#5‎‎</p></td>
<td>
<p align="center">3,4 Е-6‎</p></td>
<td>
<p align="center">2,9 Е+2‎</p></td>
<td>
<p align="center">4,0 Е-2‎</p></td>
<td>
<p align="center">‎</p></td>
<td>
<p align="center">#2‎</p></td>
<td>
<p align="center">1,2 Е-7‎</p></td>
<td>
<p align="center">8,4 Е+3‎</p></td>
<td>
<p align="center">6,2‎</p></td></tr></tbody></table></div></div><div class="FOOTNOTE lx_elem" onmousemove="lx_mo(event,1920133)"><div class="lx_elem2"><div class="lx_elem3"><span onclick="lx_sf(1920133)"><img src="/img/cmt.svg" />Ҳужжатга таклиф юбориш</span><span onclick="lx_pa(1920133)"><img src="/img/vlm.svg" />Аудиони тинглаш</span><span onclick="lx_cl(1920133)"><img src="/img/lnk.svg" />Ҳужжат элементидан ҳавола олиш</span></div></div><div name="1920133" id="1920133">Примечание: </div></div><div class="FOOTNOTE lx_elem" onmousemove="lx_mo(event,1928510)"><div class="lx_elem2"><div class="lx_elem3"><span onclick="lx_sf(1928510)"><img src="/img/cmt.svg" />Ҳужжатга таклиф юбориш</span><span onclick="lx_pa(1928510)"><img src="/img/vlm.svg" />Аудиони тинглаш</span><span onclick="lx_cl(1928510)"><img src="/img/lnk.svg" />Ҳужжат элементидан ҳавола олиш</span></div></div><div name="1928510" id="1928510">При условиях образования радионуклидов не указанных в <a href="/docs/1908086#1920074">табл. 5.1</a> значений дозовых коэффициентов, величин предельного годового поступления воздухом и пищей радионуклидов для населения устанавливаются МЗ РУз.</div></div><div class="FOOTNOTE lx_elem" onmousemove="lx_mo(event,1920134)"><div class="lx_elem2"><div class="lx_elem3"><span onclick="lx_sf(1920134)"><img src="/img/cmt.svg" />Ҳужжатга таклиф юбориш</span><span onclick="lx_pa(1920134)"><img src="/img/vlm.svg" />Аудиони тинглаш</span><span onclick="lx_cl(1920134)"><img src="/img/lnk.svg" />Ҳужжат элементидан ҳавола олиш</span></div></div><div name="1920134" id="1920134"><sup>[1]</sup> Обозначение критических групп: </div></div><div class="FOOTNOTE lx_elem" onmousemove="lx_mo(event,1920135)"><div class="lx_elem2"><div class="lx_elem3"><span onclick="lx_sf(1920135)"><img src="/img/cmt.svg" />Ҳужжатга таклиф юбориш</span><span onclick="lx_pa(1920135)"><img src="/img/vlm.svg" />Аудиони тинглаш</span><span onclick="lx_cl(1920135)"><img src="/img/lnk.svg" />Ҳужжат элементидан ҳавола олиш</span></div></div><div name="1920135" id="1920135">#2 — дети в возрасте 1-2 года;</div></div><div class="FOOTNOTE lx_elem" onmousemove="lx_mo(event,1920136)"><div class="lx_elem2"><div class="lx_elem3"><span onclick="lx_sf(1920136)"><img src="/img/cmt.svg" />Ҳужжатга таклиф юбориш</span><span onclick="lx_pa(1920136)"><img src="/img/vlm.svg" />Аудиони тинглаш</span><span onclick="lx_cl(1920136)"><img src="/img/lnk.svg" />Ҳужжат элементидан ҳавола олиш</span></div></div><div name="1920136" id="1920136">#4 — дети в возрасте 7 — 12 лет;</div></div><div class="FOOTNOTE lx_elem" onmousemove="lx_mo(event,1920137)"><div class="lx_elem2"><div class="lx_elem3"><span onclick="lx_sf(1920137)"><img src="/img/cmt.svg" />Ҳужжатга таклиф юбориш</span><span onclick="lx_pa(1920137)"><img src="/img/vlm.svg" />Аудиони тинглаш</span><span onclick="lx_cl(1920137)"><img src="/img/lnk.svg" />Ҳужжат элементидан ҳавола олиш</span></div></div><div name="1920137" id="1920137">#5 — дети в возрасте 12 — 17 лет;</div></div><div class="FOOTNOTE lx_elem" onmousemove="lx_mo(event,1920138)"><div class="lx_elem2"><div class="lx_elem3"><span onclick="lx_sf(1920138)"><img src="/img/cmt.svg" />Ҳужжатга таклиф юбориш</span><span onclick="lx_pa(1920138)"><img src="/img/vlm.svg" />Аудиони тинглаш</span><span onclick="lx_cl(1920138)"><img src="/img/lnk.svg" />Ҳужжат элементидан ҳавола олиш</span></div></div><div name="1920138" id="1920138">#6 — взрослые старше 17 лет; </div></div><div class="FOOTNOTE lx_elem" onmousemove="lx_mo(event,1920139)"><div class="lx_elem2"><div class="lx_elem3"><span onclick="lx_sf(1920139)"><img src="/img/cmt.svg" />Ҳужжатга таклиф юбориш</span><span onclick="lx_pa(1920139)"><img src="/img/vlm.svg" />Аудиони тинглаш</span><span onclick="lx_cl(1920139)"><img src="/img/lnk.svg" />Ҳужжат элементидан ҳавола олиш</span></div></div><div name="1920139" id="1920139"><sup>[2]</sup> неорганические соединения трития </div></div><div class="FOOTNOTE lx_elem" onmousemove="lx_mo(event,1920140)"><div class="lx_elem2"><div class="lx_elem3"><span onclick="lx_sf(1920140)"><img src="/img/cmt.svg" />Ҳужжатга таклиф юбориш</span><span onclick="lx_pa(1920140)"><img src="/img/vlm.svg" />Аудиони тинглаш</span><span onclick="lx_cl(1920140)"><img src="/img/lnk.svg" />Ҳужжат элементидан ҳавола олиш</span></div></div><div name="1920140" id="1920140"><sup>[3]</sup> органические соединения трития.</div></div><div class="ACT_TEXT lx_elem" onmousemove="lx_mo(event,1920144)"><div class="lx_elem2"><div class="lx_elem3"><span onclick="lx_sf(1920144)"><img src="/img/cmt.svg" />Ҳужжатга таклиф юбориш</span><span onclick="lx_pa(1920144)"><img src="/img/vlm.svg" />Аудиони тинглаш</span><span onclick="lx_cl(1920144)"><img src="/img/lnk.svg" />Ҳужжат элементидан ҳавола олиш</span></div></div><div name="1920144" id="1920144">5.4. Ограничение медицинского облучения</div></div><div class="ACT_TEXT lx_elem" onmousemove="lx_mo(event,1920145)"><div class="lx_elem2"><div class="lx_elem3"><span onclick="lx_sf(1920145)"><img src="/img/cmt.svg" />Ҳужжатга таклиф юбориш</span><span onclick="lx_pa(1920145)"><img src="/img/vlm.svg" />Аудиони тинглаш</span><span onclick="lx_cl(1920145)"><img src="/img/lnk.svg" />Ҳужжат элементидан ҳавола олиш</span></div></div><div name="1920145" id="1920145">5.4.1. Принципы контроля и ограничения радиационных воздействий в медицине основаны на получении необходимой и полезной диагностической информации или терапевтического эффекта при минимально возможных уровнях облучения. При этом не устанавливаются пределы доз, но используются принципы обоснования назначения радиологических медицинских процедур и оптимизации мер защиты пациентов.</div></div><div class="ACT_TEXT lx_elem" onmousemove="lx_mo(event,1920146)"><div class="lx_elem2"><div class="lx_elem3"><span onclick="lx_sf(1920146)"><img src="/img/cmt.svg" />Ҳужжатга таклиф юбориш</span><span onclick="lx_pa(1920146)"><img src="/img/vlm.svg" />Аудиони тинглаш</span><span onclick="lx_cl(1920146)"><img src="/img/lnk.svg" />Ҳужжат элементидан ҳавола олиш</span></div></div><div name="1920146" id="1920146">5.4.2. При проведении профилактических медицинских рентгенологических исследований и научных исследований практически здоровых лиц годовая эффективная доза облучения этих лиц не должна превышать 1 мЗв.</div></div><div class="ACT_TEXT lx_elem" onmousemove="lx_mo(event,1920148)"><div class="lx_elem2"><div class="lx_elem3"><span onclick="lx_sf(1920148)"><img src="/img/cmt.svg" />Ҳужжатга таклиф юбориш</span><span onclick="lx_pa(1920148)"><img src="/img/vlm.svg" />Аудиони тинглаш</span><span onclick="lx_cl(1920148)"><img src="/img/lnk.svg" />Ҳужжат элементидан ҳавола олиш</span></div></div><div name="1920148" id="1920148">Установленный норматив годового профилактического облучения может быть превышен лишь в условиях неблагоприятной эпидемиологической обстановки, требующей проведения дополнительных исследований или вынужденного использования методов с большим дозообразованием. Такое решение о временном вынужденном превышении этого норматива профилактического облучения принимается областным управлением здравоохранения.</div></div><div class="ACT_TEXT lx_elem" onmousemove="lx_mo(event,1920151)"><div class="lx_elem2"><div class="lx_elem3"><span onclick="lx_sf(1920151)"><img src="/img/cmt.svg" />Ҳужжатга таклиф юбориш</span><span onclick="lx_pa(1920151)"><img src="/img/vlm.svg" />Аудиони тинглаш</span><span onclick="lx_cl(1920151)"><img src="/img/lnk.svg" />Ҳужжат элементидан ҳавола олиш</span></div></div><div name="1920151" id="1920151">5.4.3. Проведение научных исследований на людях с источниками излучения должно осуществляться по решению МЗ РУз. При этом требуется обязательное письменное согласие испытуемого и предоставление ему информации о возможных последствиях облучения.</div></div><div class="ACT_TEXT lx_elem" onmousemove="lx_mo(event,1920153)"><div class="lx_elem2"><div class="lx_elem3"><span onclick="lx_sf(1920153)"><img src="/img/cmt.svg" />Ҳужжатга таклиф юбориш</span><span onclick="lx_pa(1920153)"><img src="/img/vlm.svg" />Аудиони тинглаш</span><span onclick="lx_cl(1920153)"><img src="/img/lnk.svg" />Ҳужжат элементидан ҳавола олиш</span></div></div><div name="1920153" id="1920153">5.4.4. Лица (не являющиеся работниками рентгенорадиологического отделения), оказывающие помощь в поддержке пациентов (тяжелобольных, детей) при выполнении рентгенора-диологических процедур, не должны подвергаться облучению в дозе, превышающей 5 мЗв в год.</div></div><div class="ACT_TEXT lx_elem" onmousemove="lx_mo(event,1920154)"><div class="lx_elem2"><div class="lx_elem3"><span onclick="lx_sf(1920154)"><img src="/img/cmt.svg" />Ҳужжатга таклиф юбориш</span><span onclick="lx_pa(1920154)"><img src="/img/vlm.svg" />Аудиони тинглаш</span><span onclick="lx_cl(1920154)"><img src="/img/lnk.svg" />Ҳужжат элементидан ҳавола олиш</span></div></div><div name="1920154" id="1920154">5.4.5. Мощность дозы гамма-излучения на расстоянии 1-го метра от пациента, которому с терапевтической целью введены радиоактивные фармацевтические препараты (РФП), не должна превышать при выходе из радиологического отделения 3 мкЗв/ч.</div></div><div class="ACT_TEXT lx_elem" onmousemove="lx_mo(event,1920155)"><div class="lx_elem2"><div class="lx_elem3"><span onclick="lx_sf(1920155)"><img src="/img/cmt.svg" />Ҳужжатга таклиф юбориш</span><span onclick="lx_pa(1920155)"><img src="/img/vlm.svg" />Аудиони тинглаш</span><span onclick="lx_cl(1920155)"><img src="/img/lnk.svg" />Ҳужжат элементидан ҳавола олиш</span></div></div><div name="1920155" id="1920155">5.4.6. При использовании источников излучения в медицинских целях контроль доз облучения пациентов является обязательным.</div></div><div class="TEXT_HEADER_DEFAULT lx_elem" onmousemove="lx_mo(event,1920156)"><div class="lx_elem2"><div class="lx_elem3"><span onclick="lx_sf(1920156)"><img src="/img/cmt.svg" />Ҳужжатга таклиф юбориш</span><span onclick="lx_pa(1920156)"><img src="/img/vlm.svg" />Аудиони тинглаш</span><span onclick="lx_cl(1920156)"><img src="/img/lnk.svg" />Ҳужжат элементидан ҳавола олиш</span></div></div><div name="1920156" id="1920156">6. Ограничение облучения населения в условиях радиационной аварии</div></div><div class="ACT_TEXT lx_elem" onmousemove="lx_mo(event,1920157)"><div class="lx_elem2"><div class="lx_elem3"><span onclick="lx_sf(1920157)"><img src="/img/cmt.svg" />Ҳужжатга таклиф юбориш</span><span onclick="lx_pa(1920157)"><img src="/img/vlm.svg" />Аудиони тинглаш</span><span onclick="lx_cl(1920157)"><img src="/img/lnk.svg" />Ҳужжат элементидан ҳавола олиш</span></div></div><div name="1920157" id="1920157">6.1. В случае возникновения аварии должны быть приняты практические меры для восстановления контроля над источником излучения и сведения к минимуму доз облучения, количества облученных лиц, радиоактивного загрязнения окружающей среды, экономических и социальных потерь, вызванных радиоактивным загрязнением.</div></div><div class="ACT_TEXT lx_elem" onmousemove="lx_mo(event,1920158)"><div class="lx_elem2"><div class="lx_elem3"><span onclick="lx_sf(1920158)"><img src="/img/cmt.svg" />Ҳужжатга таклиф юбориш</span><span onclick="lx_pa(1920158)"><img src="/img/vlm.svg" />Аудиони тинглаш</span><span onclick="lx_cl(1920158)"><img src="/img/lnk.svg" />Ҳужжат элементидан ҳавола олиш</span></div></div><div name="1920158" id="1920158">6.2. При радиационной аварии или обнаружении радиоактивного загрязнения ограничение облучения осуществляется защитными мероприятиями (вмешательство), применимыми, как правило, к окружающей среде и (или) к человеку. Поэтому при принятии решений о характере вмешательства (защитных мероприятий) следует руководствоваться следующими принципами:</div></div><div class="ACT_TEXT lx_elem" onmousemove="lx_mo(event,1920159)"><div class="lx_elem2"><div class="lx_elem3"><span onclick="lx_sf(1920159)"><img src="/img/cmt.svg" />Ҳужжатга таклиф юбориш</span><span onclick="lx_pa(1920159)"><img src="/img/vlm.svg" />Аудиони тинглаш</span><span onclick="lx_cl(1920159)"><img src="/img/lnk.svg" />Ҳужжат элементидан ҳавола олиш</span></div></div><div name="1920159" id="1920159">предлагаемое вмешательство должно принести обществу и, прежде всего, облучаемым лицам больше пользы, чем вреда, т. е. уменьшение ущерба в результате снижения дозы должно быть достаточным, чтобы оправдать вред и стоимость вмешательства, включая его социальную стоимость (принцип обоснования вмешательства);</div></div><div class="ACT_TEXT lx_elem" onmousemove="lx_mo(event,1920160)"><div class="lx_elem2"><div class="lx_elem3"><span onclick="lx_sf(1920160)"><img src="/img/cmt.svg" />Ҳужжатга таклиф юбориш</span><span onclick="lx_pa(1920160)"><img src="/img/vlm.svg" />Аудиони тинглаш</span><span onclick="lx_cl(1920160)"><img src="/img/lnk.svg" />Ҳужжат элементидан ҳавола олиш</span></div></div><div name="1920160" id="1920160">форма, масштаб и длительность вмешательства должны быть оптимизированы таким образом, чтобы чистая польза от снижения дозы, т. е. польза от снижения радиационного ущерба за вычетом ущерба, связанного с вмешательством, была бы максимальной (принцип оптимизации вмешательства).</div></div><div class="ACT_TEXT lx_elem" onmousemove="lx_mo(event,1920161)"><div class="lx_elem2"><div class="lx_elem3"><span onclick="lx_sf(1920161)"><img src="/img/cmt.svg" />Ҳужжатга таклиф юбориш</span><span onclick="lx_pa(1920161)"><img src="/img/vlm.svg" />Аудиони тинглаш</span><span onclick="lx_cl(1920161)"><img src="/img/lnk.svg" />Ҳужжат элементидан ҳавола олиш</span></div></div><div name="1920161" id="1920161">Если предполагаемая доза излучения за короткий срок (2 суток) достигает уровней, при превышении которых возможны клинически определяемые детерминированные эффекты (<a href="/docs/1908086#1920167">табл. 6.1</a>), необходимо срочное вмешательство (меры защиты). При этом вред здоровью от мер защиты не должен превышать пользы здоровью пострадавших от облучения.</div></div><div class="TABLE_STD lx_elem" id="theDefCssID" onmousemove="lx_mo(event,1920167)"><div class="lx_elem2"><div class="lx_elem3"><span onclick="lx_sf(1920167)"><img src="/img/cmt.svg" />Ҳужжатга таклиф юбориш</span><span onclick="lx_pa(1920167)"><img src="/img/vlm.svg" />Аудиони тинглаш</span><span onclick="lx_cl(1920167)"><img src="/img/lnk.svg" />Ҳужжат элементидан ҳавола олиш</span></div></div><div name="1920167" id="1920167" class="tabBox"><table id="theTableID" style="TABLE-LAYOUT: auto; PADDING-RIGHT: 0px; ; PADDING-LEFT: 0px; LEFT: 2px; PADDING-BOTTOM: 0px; WIDTH: 100%; BORDER-TOP-STYLE: none; PADDING-TOP: 0px; BORDER-RIGHT-STYLE: none; BORDER-LEFT-STYLE: none; TOP: 0px; BORDER-BOTTOM-STYLE: none" cellspacing="1" cols="2" border="1">
<colgroup>
<col />
<col /></colgroup>
<tbody>
<tr>
<td style="BORDER-TOP-STYLE: none; BORDER-RIGHT-STYLE: none; BORDER-LEFT-STYLE: none; BORDER-BOTTOM-STYLE: none">‎</td>
<td style="BORDER-TOP-STYLE: none; BORDER-RIGHT-STYLE: none; BORDER-LEFT-STYLE: none; BORDER-BOTTOM-STYLE: none">
<p align="right">Таблица 6.1 ‎</p></td></tr>
<tr>
<td style="BORDER-TOP-STYLE: none; BORDER-RIGHT-STYLE: none; BORDER-LEFT-STYLE: none; BORDER-BOTTOM-STYLE: none" colspan="2">
<p align="center"><strong>Прогнозируемые уровни облучения, при которых необходимо срочное вмешательство<br />‎</strong> </p></td></tr>
<tr>
<td>
<p align="center"><strong>Орган или ткань‎</strong></p></td>
<td>
<p align="center"><strong>Поглощенная доза в органе или ткани за 2 суток, Гр‎</strong></p></td></tr>
<tr>
<td style="BORDER-TOP-STYLE: solid; BORDER-RIGHT-STYLE: solid; BORDER-LEFT-STYLE: solid; BORDER-BOTTOM-STYLE: solid">Все тело‎</td>
<td style="BORDER-TOP-STYLE: solid; BORDER-RIGHT-STYLE: solid; BORDER-LEFT-STYLE: solid; BORDER-BOTTOM-STYLE: solid">
<p align="center">1‎</p></td></tr>
<tr>
<td>Легкие‎</td>
<td>
<p align="center">6‎</p></td></tr>
<tr>
<td>Кожа‎</td>
<td>
<p align="center">3‎</p></td></tr>
<tr>
<td>Щитовидная железа‎</td>
<td>
<p align="center">5‎</p></td></tr>
<tr>
<td>Хрусталик глаза‎</td>
<td>
<p align="center">2‎</p></td></tr>
<tr>
<td>Гонады‎</td>
<td>
<p align="center">3‎</p></td></tr>
<tr>
<td>Плод‎</td>
<td>
<p align="center">0,1‎</p></td></tr></tbody></table></div></div><div class="ACT_TEXT lx_elem" onmousemove="lx_mo(event,1920168)"><div class="lx_elem2"><div class="lx_elem3"><span onclick="lx_sf(1920168)"><img src="/img/cmt.svg" />Ҳужжатга таклиф юбориш</span><span onclick="lx_pa(1920168)"><img src="/img/vlm.svg" />Аудиони тинглаш</span><span onclick="lx_cl(1920168)"><img src="/img/lnk.svg" />Ҳужжат элементидан ҳавола олиш</span></div></div><div name="1920168" id="1920168">6.3. При хроническом облучении в течение жизни защитные мероприятия становятся обязательными, если годовые поглощенные дозы превышают значения, приведенные в <a href="/docs/1908086#1920202">таблице 6.2</a>. Превышение этих доз приводит к серьезным детерминированным эффектам.</div></div><div class="TABLE_STD lx_elem" id="theDefCssID" onmousemove="lx_mo(event,1920202)"><div class="lx_elem2"><div class="lx_elem3"><span onclick="lx_sf(1920202)"><img src="/img/cmt.svg" />Ҳужжатга таклиф юбориш</span><span onclick="lx_pa(1920202)"><img src="/img/vlm.svg" />Аудиони тинглаш</span><span onclick="lx_cl(1920202)"><img src="/img/lnk.svg" />Ҳужжат элементидан ҳавола олиш</span></div></div><div name="1920202" id="1920202" class="tabBox"><table id="theTableID" style="TABLE-LAYOUT: auto; PADDING-RIGHT: 0px; ; PADDING-LEFT: 0px; PADDING-BOTTOM: 0px; WIDTH: 100%; BORDER-TOP-STYLE: none; PADDING-TOP: 0px; BORDER-RIGHT-STYLE: none; BORDER-LEFT-STYLE: none; BORDER-BOTTOM-STYLE: none" cellspacing="1" cols="2" border="1">
<colgroup>
<col />
<col /></colgroup>
<tbody>
<tr>
<td style="BORDER-TOP-STYLE: none; BORDER-RIGHT-STYLE: none; BORDER-LEFT-STYLE: none; BORDER-BOTTOM-STYLE: none">‎</td>
<td style="BORDER-TOP-STYLE: none; BORDER-RIGHT-STYLE: none; BORDER-LEFT-STYLE: none; BORDER-BOTTOM-STYLE: none">
<p align="right">Таблица 6.2‎</p></td></tr>
<tr>
<td style="BORDER-TOP-STYLE: none; BORDER-RIGHT-STYLE: none; BORDER-LEFT-STYLE: none; BORDER-BOTTOM-STYLE: none" colspan="2">
<p align="center"><strong>Уровни вмешательства при хроническом облучении<br />‎</strong></p></td></tr>
<tr>
<td>
<p align="center"><strong>Орган или ткань‎</strong></p></td>
<td>
<p align="center"><strong>Годовая поглощенная доза, Гр‎</strong></p></td></tr>
<tr>
<td>Гонады‎</td>
<td>
<p align="center">0,2‎</p></td></tr>
<tr>
<td>Хрусталик глаза ‎</td>
<td>
<p align="center">0,1‎</p></td></tr>
<tr>
<td>Красный костный мозг‎</td>
<td>
<p align="center">0,4‎</p></td></tr></tbody></table></div></div><div class="ACT_TEXT lx_elem" onmousemove="lx_mo(event,1920206)"><div class="lx_elem2"><div class="lx_elem3"><span onclick="lx_sf(1920206)"><img src="/img/cmt.svg" />Ҳужжатга таклиф юбориш</span><span onclick="lx_pa(1920206)"><img src="/img/vlm.svg" />Аудиони тинглаш</span><span onclick="lx_cl(1920206)"><img src="/img/lnk.svg" />Ҳужжат элементидан ҳавола олиш</span></div></div><div name="1920206" id="1920206">6.4. Общие оптимизированные уровни вмешательства для начала и прекращения временного отселения составляют, соответственно, 30 мЗв в месяц и 10 мЗв в месяц. Если прогнозируется, что накапливаемая за месяц доза будет находиться выше этих пределов в течение года или двух лет, следует рассматривать вопрос об отселении людей на постоянное жительство.</div></div><div class="ACT_TEXT lx_elem" onmousemove="lx_mo(event,1920208)"><div class="lx_elem2"><div class="lx_elem3"><span onclick="lx_sf(1920208)"><img src="/img/cmt.svg" />Ҳужжатга таклиф юбориш</span><span onclick="lx_pa(1920208)"><img src="/img/vlm.svg" />Аудиони тинглаш</span><span onclick="lx_cl(1920208)"><img src="/img/lnk.svg" />Ҳужжат элементидан ҳавола олиш</span></div></div><div name="1920208" id="1920208">6.5. При проведении вмешательств пределы доз (<a href="/docs/1908086#1919784">табл. 3.1</a>) не применяются. Исходя из указанных принципов, при планировании защитных мероприятий на случай радиационной аварии МЗ РУз устанавливаются уровни вмешательства (дозы и мощности доз облучения, уровни радиоактивного загрязнения) применительно к конкретному радиационному объекту и условиям его размещения с учетом вероятных типов аварии, сценариев развития аварийной ситуации и складывающейся радиационной обстановки.</div></div><div class="ACT_TEXT lx_elem" onmousemove="lx_mo(event,1920209)"><div class="lx_elem2"><div class="lx_elem3"><span onclick="lx_sf(1920209)"><img src="/img/cmt.svg" />Ҳужжатга таклиф юбориш</span><span onclick="lx_pa(1920209)"><img src="/img/vlm.svg" />Аудиони тинглаш</span><span onclick="lx_cl(1920209)"><img src="/img/lnk.svg" />Ҳужжат элементидан ҳавола олиш</span></div></div><div name="1920209" id="1920209">6.6. При аварии, повлекшей за собой радиоактивное загрязнение обширной территории, на основании контроля и прогноза радиационной обстановки устанавливается зона радиационной аварии. В зоне радиационной аварии проводится контроль радиационной обстановки и осуществляются мероприятия по снижению уровней облучения населения на основе изложенных в <a href="/docs/1908086#1920157">п.п. 6.1</a>; <a href="/docs/1908086#1920158">6.2</a>; <a href="/docs/1908086#1920206">6.4</a> принципов и подходов.</div></div><div class="ACT_TEXT lx_elem" onmousemove="lx_mo(event,1920210)"><div class="lx_elem2"><div class="lx_elem3"><span onclick="lx_sf(1920210)"><img src="/img/cmt.svg" />Ҳужжатга таклиф юбориш</span><span onclick="lx_pa(1920210)"><img src="/img/vlm.svg" />Аудиони тинглаш</span><span onclick="lx_cl(1920210)"><img src="/img/lnk.svg" />Ҳужжат элементидан ҳавола олиш</span></div></div><div name="1920210" id="1920210">6.7. Принятие решений о мерах защиты населения в случае крупной радиационной аварии с радиоактивным загрязнением территории проводится на основании сравнения прогнозируемой дозы, предотвращаемой защитным мероприятием, и уровней загрязнения с уровнями А и Б, приведенными в табл. <a href="/docs/1908086#1920242">6.3—6.5</a>.</div></div><div class="ACT_TEXT lx_elem" onmousemove="lx_mo(event,1920212)"><div class="lx_elem2"><div class="lx_elem3"><span onclick="lx_sf(1920212)"><img src="/img/cmt.svg" />Ҳужжатга таклиф юбориш</span><span onclick="lx_pa(1920212)"><img src="/img/vlm.svg" />Аудиони тинглаш</span><span onclick="lx_cl(1920212)"><img src="/img/lnk.svg" />Ҳужжат элементидан ҳавола олиш</span></div></div><div name="1920212" id="1920212">Если уровень облучения, предотвращаемого защитным мероприятием, не превосходит уровень А, нет необходимости в выполнении мер защиты, связанных с нарушением нормальной жизнедеятельности населения, а также хозяйственного и социального функционирования территории.</div></div><div class="ACT_TEXT lx_elem" onmousemove="lx_mo(event,1920214)"><div class="lx_elem2"><div class="lx_elem3"><span onclick="lx_sf(1920214)"><img src="/img/cmt.svg" />Ҳужжатга таклиф юбориш</span><span onclick="lx_pa(1920214)"><img src="/img/vlm.svg" />Аудиони тинглаш</span><span onclick="lx_cl(1920214)"><img src="/img/lnk.svg" />Ҳужжат элементидан ҳавола олиш</span></div></div><div name="1920214" id="1920214">Если предотвращаемое защитным мероприятием облучение превосходит уровень А, но не достигает уровня Б, решение о выполнении мер защиты принимается по принципам обоснования и оптимизации с учетом конкретной обстановки и местных условий.</div></div><div class="ACT_TEXT lx_elem" onmousemove="lx_mo(event,1920216)"><div class="lx_elem2"><div class="lx_elem3"><span onclick="lx_sf(1920216)"><img src="/img/cmt.svg" />Ҳужжатга таклиф юбориш</span><span onclick="lx_pa(1920216)"><img src="/img/vlm.svg" />Аудиони тинглаш</span><span onclick="lx_cl(1920216)"><img src="/img/lnk.svg" />Ҳужжат элементидан ҳавола олиш</span></div></div><div name="1920216" id="1920216">Если уровень облучения, предотвращаемого защитным мероприятием, достигает и превосходит уровень Б, необходимо выполнение соответствующих мер защиты, даже если они связаны с нарушением нормальной жизнедеятельности населения, хозяйственного и социального функционирования территории.</div></div><div class="ACT_TEXT lx_elem" onmousemove="lx_mo(event,1920217)"><div class="lx_elem2"><div class="lx_elem3"><span onclick="lx_sf(1920217)"><img src="/img/cmt.svg" />Ҳужжатга таклиф юбориш</span><span onclick="lx_pa(1920217)"><img src="/img/vlm.svg" />Аудиони тинглаш</span><span onclick="lx_cl(1920217)"><img src="/img/lnk.svg" />Ҳужжат элементидан ҳавола олиш</span></div></div><div name="1920217" id="1920217">6.8. На поздних стадиях радиационной аварии, повлекшей за собой загрязнение обширных территорий долгоживущими радионуклидами, решения о защитных мероприятиях принимаются с учетом сложившейся радиационной обстановки и конкретных социально-экономических условий.</div></div><div class="ACT_TEXT lx_elem" onmousemove="lx_mo(event,1920220)"><div class="lx_elem2"><div class="lx_elem3"><span onclick="lx_sf(1920220)"><img src="/img/cmt.svg" />Ҳужжатга таклиф юбориш</span><span onclick="lx_pa(1920220)"><img src="/img/vlm.svg" />Аудиони тинглаш</span><span onclick="lx_cl(1920220)"><img src="/img/lnk.svg" />Ҳужжат элементидан ҳавола олиш</span></div></div><div name="1920220" id="1920220">Вариант принятия решений применительно к последствиям аварийных прецедентов и локальных радиоактивных загрязнений приведен в <a href="/docs/1908086#1927456">приложении О</a>.</div></div><div class="TABLE_STD lx_elem" id="theDefCssID" onmousemove="lx_mo(event,1920242)"><div class="lx_elem2"><div class="lx_elem3"><span onclick="lx_sf(1920242)"><img src="/img/cmt.svg" />Ҳужжатга таклиф юбориш</span><span onclick="lx_pa(1920242)"><img src="/img/vlm.svg" />Аудиони тинглаш</span><span onclick="lx_cl(1920242)"><img src="/img/lnk.svg" />Ҳужжат элементидан ҳавола олиш</span></div></div><div name="1920242" id="1920242" class="tabBox"><table id="theTableID" style="TABLE-LAYOUT: auto; PADDING-RIGHT: 0px; ; PADDING-LEFT: 0px; LEFT: 2px; PADDING-BOTTOM: 0px; WIDTH: 100%; BORDER-TOP-STYLE: none; PADDING-TOP: 0px; BORDER-RIGHT-STYLE: none; BORDER-LEFT-STYLE: none; TOP: 0px; BORDER-BOTTOM-STYLE: none" cellspacing="1" cols="5" border="1">
<colgroup>
<col />
<col />
<col />
<col />
<col /></colgroup>
<tbody>
<tr>
<td style="BORDER-TOP-STYLE: none; BORDER-RIGHT-STYLE: none; BORDER-LEFT-STYLE: none; BORDER-BOTTOM-STYLE: none">‎</td>
<td style="BORDER-TOP-STYLE: none; BORDER-RIGHT-STYLE: none; BORDER-LEFT-STYLE: none; BORDER-BOTTOM-STYLE: none">‎</td>
<td style="BORDER-TOP-STYLE: none; BORDER-RIGHT-STYLE: none; BORDER-LEFT-STYLE: none; BORDER-BOTTOM-STYLE: none">‎</td>
<td style="BORDER-TOP-STYLE: none; BORDER-RIGHT-STYLE: none; BORDER-LEFT-STYLE: none; BORDER-BOTTOM-STYLE: none">‎</td>
<td style="BORDER-TOP-STYLE: none; BORDER-RIGHT-STYLE: none; BORDER-LEFT-STYLE: none; BORDER-BOTTOM-STYLE: none">
<p align="right">Таблица 6.3‎</p></td></tr>
<tr>
<td style="BORDER-TOP-STYLE: none; BORDER-RIGHT-STYLE: none; BORDER-LEFT-STYLE: none; BORDER-BOTTOM-STYLE: none" colspan="5">
<p align="center"><strong>Критерии для принятия неотложных решений в начальном периоде аварийной ситуации <br />‎</strong></p></td></tr>
<tr>
<td rowspan="3">
<p align="center"><strong>‏Меры защиты</strong></p></td>
<td colspan="4">
<p align="center"><strong>Предотвращаемая доза за первые 10 суток, м Гр‎‎</strong></p></td></tr>
<tr>
<td colspan="2">
<p align="center"><strong>на все тело‎‎</strong></p></td>
<td colspan="2">
<p align="center"><strong>щитовидная железа, легкие, кожа‎‎‎</strong></p></td></tr>
<tr>
<td>
<p align="center"><strong>уровень А‎</strong></p></td>
<td>
<p align="center"><strong>уровень Б‎</strong></p></td>
<td>
<p align="center"><strong>уровень А‎</strong></p></td>
<td>
<p align="center"><strong>уровень Б‎</strong></p></td></tr>
<tr>
<td>
<p align="center">Укрытие‎</p></td>
<td>
<p align="center">5‎</p></td>
<td>
<p align="center">50‎</p></td>
<td>
<p align="center">50‎</p></td>
<td>
<p align="center">500‎</p></td></tr>
<tr>
<td>
<p align="center">Йодная профилактика:‎</p></td>
<td>
<p align="center">‎</p></td>
<td>
<p align="center"></p></td>
<td>
<p align="center"></p></td>
<td>
<p align="center"></p></td></tr>
<tr>
<td>
<p align="center">взрослые‎</p></td>
<td>
<p align="center">-‎</p></td>
<td>
<p align="center">-‎</p></td>
<td>
<p align="center">250<a href="/docs/1908086#1920247">*</a> </p></td>
<td>
<p align="center">2500<a href="/docs/1908086#1920247">*</a> </p></td></tr>
<tr>
<td>
<p align="center">дети‎</p></td>
<td>
<p align="center">-‎</p></td>
<td>
<p align="center">-‎</p></td>
<td>
<p align="center">100<a href="/docs/1908086#1920247">*</a>‎</p></td>
<td>
<p align="center">1000<a href="/docs/1908086#1920247">*</a>‎‎‎</p></td></tr>
<tr>
<td>
<p align="center">Эвакуация‎</p></td>
<td>
<p align="center">50‎</p></td>
<td>
<p align="center">500‎</p></td>
<td>
<p align="center">500‎</p></td>
<td>
<p align="center">5000‎</p></td></tr></tbody></table></div></div><div class="FOOTNOTE lx_elem" onmousemove="lx_mo(event,1920247)"><div class="lx_elem2"><div class="lx_elem3"><span onclick="lx_sf(1920247)"><img src="/img/cmt.svg" />Ҳужжатга таклиф юбориш</span><span onclick="lx_pa(1920247)"><img src="/img/vlm.svg" />Аудиони тинглаш</span><span onclick="lx_cl(1920247)"><img src="/img/lnk.svg" />Ҳужжат элементидан ҳавола олиш</span></div></div><div name="1920247" id="1920247">Примечание: * только для щитовидной железы</div></div><div class="TABLE_STD lx_elem" id="theDefCssID" onmousemove="lx_mo(event,1920256)"><div class="lx_elem2"><div class="lx_elem3"><span onclick="lx_sf(1920256)"><img src="/img/cmt.svg" />Ҳужжатга таклиф юбориш</span><span onclick="lx_pa(1920256)"><img src="/img/vlm.svg" />Аудиони тинглаш</span><span onclick="lx_cl(1920256)"><img src="/img/lnk.svg" />Ҳужжат элементидан ҳавола олиш</span></div></div><div name="1920256" id="1920256" class="tabBox"><table id="theTableID" style="TABLE-LAYOUT: auto; PADDING-RIGHT: 0px; ; PADDING-LEFT: 0px; LEFT: 2px; PADDING-BOTTOM: 0px; WIDTH: 100%; BORDER-TOP-STYLE: none; PADDING-TOP: 0px; BORDER-RIGHT-STYLE: none; BORDER-LEFT-STYLE: none; TOP: 0px; BORDER-BOTTOM-STYLE: none" cellspacing="1" cols="3" border="1">
<colgroup>
<col />
<col />
<col /></colgroup>
<tbody>
<tr>
<td style="BORDER-TOP-STYLE: none; BORDER-RIGHT-STYLE: none; BORDER-LEFT-STYLE: none; BORDER-BOTTOM-STYLE: none">‎</td>
<td style="BORDER-TOP-STYLE: none; BORDER-RIGHT-STYLE: none; BORDER-LEFT-STYLE: none; BORDER-BOTTOM-STYLE: none">‎</td>
<td style="BORDER-TOP-STYLE: none; BORDER-RIGHT-STYLE: none; BORDER-LEFT-STYLE: none; BORDER-BOTTOM-STYLE: none">
<p align="right">Таблица 6.4‎</p></td></tr>
<tr>
<td style="BORDER-TOP-STYLE: none; BORDER-RIGHT-STYLE: none; BORDER-LEFT-STYLE: none; BORDER-BOTTOM-STYLE: none" colspan="3">
<p align="center"><strong>Критерии для принятия решений об отселении и ограничении потребления загрязненный пищевых продуктов ‎‎<br />‎</strong></p></td></tr>
<tr>
<td rowspan="2">
<p align="center"><strong>‎‏Меры защиты<br />‎</strong></p></td>
<td colspan="2">
<p align="center"><strong>Предотвращаемая эффективная доза, мЗв‎‎‎</strong></p></td></tr>
<tr>
<td>
<p align="center"><strong>уровень А‎</strong></p></td>
<td>
<p align="center"><strong>уровень Б‎</strong></p></td></tr>
<tr>
<td>Ограничение потребления загрязненных продуктов питания и питьевой воды‎</td>
<td>5 за первый год 1/год в последующие годы ‎</td>
<td>50 за первый год 10/год в последующие годы ‎</td></tr>
<tr>
<td rowspan="2">‎‏Отселение<br />‎</td>
<td>50 за первый год‎</td>
<td>500 за первый год‎</td></tr>
<tr>
<td colspan="2">‎‎1000 за все время отселения‎</td></tr></tbody></table></div></div><div class="TABLE_STD lx_elem" id="theDefCssID" onmousemove="lx_mo(event,1920270)"><div class="lx_elem2"><div class="lx_elem3"><span onclick="lx_sf(1920270)"><img src="/img/cmt.svg" />Ҳужжатга таклиф юбориш</span><span onclick="lx_pa(1920270)"><img src="/img/vlm.svg" />Аудиони тинглаш</span><span onclick="lx_cl(1920270)"><img src="/img/lnk.svg" />Ҳужжат элементидан ҳавола олиш</span></div></div><div name="1920270" id="1920270" class="tabBox"><table id="theTableID" style="TABLE-LAYOUT: auto; PADDING-RIGHT: 0px; ; PADDING-LEFT: 0px; LEFT: 2px; PADDING-BOTTOM: 0px; WIDTH: 100%; BORDER-TOP-STYLE: none; PADDING-TOP: 0px; BORDER-RIGHT-STYLE: none; BORDER-LEFT-STYLE: none; TOP: 0px; BORDER-BOTTOM-STYLE: none" cellspacing="1" cols="3" border="1">
<colgroup>
<col />
<col />
<col /></colgroup>
<tbody>
<tr>
<td style="BORDER-TOP-STYLE: none; BORDER-RIGHT-STYLE: none; BORDER-LEFT-STYLE: none; BORDER-BOTTOM-STYLE: none">‎</td>
<td style="BORDER-TOP-STYLE: none; BORDER-RIGHT-STYLE: none; BORDER-LEFT-STYLE: none; BORDER-BOTTOM-STYLE: none">‎</td>
<td style="BORDER-TOP-STYLE: none; BORDER-RIGHT-STYLE: none; BORDER-LEFT-STYLE: none; BORDER-BOTTOM-STYLE: none">
<p align="right">Таблица 6.5‎</p></td></tr>
<tr>
<td style="BORDER-TOP-STYLE: none; BORDER-RIGHT-STYLE: none; BORDER-LEFT-STYLE: none; BORDER-BOTTOM-STYLE: none" colspan="3">
<p align="center"><strong>Критерии для принятия решений об ограничении потребления загрязненных продуктов питания в первый год после возникновения аварии‎‎<br />‎</strong></p></td></tr>
<tr>
<td rowspan="2"><strong>Радионуклиды‎‏</strong><br />‎</td>
<td colspan="2">
<p align="center"><strong>Удельная активность радионуклида в пищевых продуктах, кБк/кг</strong></p></td></tr>
<tr>
<td>
<p align="center"><strong>уровень А‎</strong></p></td>
<td>
<p align="center"><strong>уровень Б‎</strong></p></td></tr>
<tr>
<td><sup>131</sup>I, <sup>134</sup>Cs, <sup>137</sup>Cs‎</td>
<td>
<p align="center">1‎</p></td>
<td>
<p align="center">10‎</p></td></tr>
<tr>
<td>
<p align="left">90Sr‎</p></td>
<td>
<p align="center">0,1‎</p></td>
<td>
<p align="center">1,0‎</p></td></tr>
<tr>
<td>
<p align="left"><sup>238</sup>Pu, <sup>239</sup>Pu, <sup>241</sup>Am‎</p></td>
<td>
<p align="center">0,01‎</p></td>
<td>
<p align="center">0,1‎</p></td></tr></tbody></table></div></div><div class="ACT_TEXT lx_elem" onmousemove="lx_mo(event,1920277)"><div class="lx_elem2"><div class="lx_elem3"><span onclick="lx_sf(1920277)"><img src="/img/cmt.svg" />Ҳужжатга таклиф юбориш</span><span onclick="lx_pa(1920277)"><img src="/img/vlm.svg" />Аудиони тинглаш</span><span onclick="lx_cl(1920277)"><img src="/img/lnk.svg" />Ҳужжат элементидан ҳавола олиш</span></div></div><div name="1920277" id="1920277">6.9. Критерии принятия решений и производные уровни для ограничительных мер при авариях с диспергированием преимущественно урана, плутония, других трансурановых элементов устанавливаются специальным нормативным документом.</div></div><div class="TEXT_HEADER_DEFAULT lx_elem" onmousemove="lx_mo(event,1920279)"><div class="lx_elem2"><div class="lx_elem3"><span onclick="lx_sf(1920279)"><img src="/img/cmt.svg" />Ҳужжатга таклиф юбориш</span><span onclick="lx_pa(1920279)"><img src="/img/vlm.svg" />Аудиони тинглаш</span><span onclick="lx_cl(1920279)"><img src="/img/lnk.svg" />Ҳужжат элементидан ҳавола олиш</span></div></div><div name="1920279" id="1920279">7. Контроль за выполнением Норм</div></div><div class="ACT_TEXT lx_elem" onmousemove="lx_mo(event,1920280)"><div class="lx_elem2"><div class="lx_elem3"><span onclick="lx_sf(1920280)"><img src="/img/cmt.svg" />Ҳужжатга таклиф юбориш</span><span onclick="lx_pa(1920280)"><img src="/img/vlm.svg" />Аудиони тинглаш</span><span onclick="lx_cl(1920280)"><img src="/img/lnk.svg" />Ҳужжат элементидан ҳавола олиш</span></div></div><div name="1920280" id="1920280">7.1. Радиационный контроль является важнейшей частью обеспечения радиационной безопасности, начиная со стадии проектирования радиационно-опасных объектов. Его цель— определение степени соблюдения принципов радиационной безопасности и требований нормативов, включая непревышение установленных основных пределов доз и допустимых уровней при нормальной работе, получение необходимой информации для оптимизации защиты и принятия решений о вмешательстве в случае радиационных аварий, загрязнения местности и зданий радионуклидами, а также на территориях и в зданиях с повышенным уровнем природного облучения. Радиационный контроль осуществляется за всеми источниками излучения, кроме приведенных в <a href="/docs/1908086#1908101">п. 1.3</a> Норм.</div></div><div class="ACT_TEXT lx_elem" onmousemove="lx_mo(event,1920281)"><div class="lx_elem2"><div class="lx_elem3"><span onclick="lx_sf(1920281)"><img src="/img/cmt.svg" />Ҳужжатга таклиф юбориш</span><span onclick="lx_pa(1920281)"><img src="/img/vlm.svg" />Аудиони тинглаш</span><span onclick="lx_cl(1920281)"><img src="/img/lnk.svg" />Ҳужжат элементидан ҳавола олиш</span></div></div><div name="1920281" id="1920281">7.2. Радиационному контролю подлежат:</div></div><div class="ACT_TEXT lx_elem" onmousemove="lx_mo(event,1920282)"><div class="lx_elem2"><div class="lx_elem3"><span onclick="lx_sf(1920282)"><img src="/img/cmt.svg" />Ҳужжатга таклиф юбориш</span><span onclick="lx_pa(1920282)"><img src="/img/vlm.svg" />Аудиони тинглаш</span><span onclick="lx_cl(1920282)"><img src="/img/lnk.svg" />Ҳужжат элементидан ҳавола олиш</span></div></div><div name="1920282" id="1920282">радиационные характеристики источников излучения, выбросов в атмосферу, жидких и твердых радиоактивных отходов;</div></div><div class="ACT_TEXT lx_elem" onmousemove="lx_mo(event,1920284)"><div class="lx_elem2"><div class="lx_elem3"><span onclick="lx_sf(1920284)"><img src="/img/cmt.svg" />Ҳужжатга таклиф юбориш</span><span onclick="lx_pa(1920284)"><img src="/img/vlm.svg" />Аудиони тинглаш</span><span onclick="lx_cl(1920284)"><img src="/img/lnk.svg" />Ҳужжат элементидан ҳавола олиш</span></div></div><div name="1920284" id="1920284">радиационные факторы, создаваемые технологическим процессом на рабочих местах и в окружающей среде;</div></div><div class="ACT_TEXT lx_elem" onmousemove="lx_mo(event,1920285)"><div class="lx_elem2"><div class="lx_elem3"><span onclick="lx_sf(1920285)"><img src="/img/cmt.svg" />Ҳужжатга таклиф юбориш</span><span onclick="lx_pa(1920285)"><img src="/img/vlm.svg" />Аудиони тинглаш</span><span onclick="lx_cl(1920285)"><img src="/img/lnk.svg" />Ҳужжат элементидан ҳавола олиш</span></div></div><div name="1920285" id="1920285">радиационные факторы на загрязненных территориях и в зданиях с повышенным уровнем природного облучения;</div></div><div class="ACT_TEXT lx_elem" onmousemove="lx_mo(event,1920286)"><div class="lx_elem2"><div class="lx_elem3"><span onclick="lx_sf(1920286)"><img src="/img/cmt.svg" />Ҳужжатга таклиф юбориш</span><span onclick="lx_pa(1920286)"><img src="/img/vlm.svg" />Аудиони тинглаш</span><span onclick="lx_cl(1920286)"><img src="/img/lnk.svg" />Ҳужжат элементидан ҳавола олиш</span></div></div><div name="1920286" id="1920286">уровни облучения персонала и населения от всех источников излучения, на которые распространяется действие настоящих Норм.</div></div><div class="ACT_TEXT lx_elem" onmousemove="lx_mo(event,1920287)"><div class="lx_elem2"><div class="lx_elem3"><span onclick="lx_sf(1920287)"><img src="/img/cmt.svg" />Ҳужжатга таклиф юбориш</span><span onclick="lx_pa(1920287)"><img src="/img/vlm.svg" />Аудиони тинглаш</span><span onclick="lx_cl(1920287)"><img src="/img/lnk.svg" />Ҳужжат элементидан ҳавола олиш</span></div></div><div name="1920287" id="1920287">7.3. Основными контролируемыми параметрами являются:</div></div><div class="ACT_TEXT lx_elem" onmousemove="lx_mo(event,1920288)"><div class="lx_elem2"><div class="lx_elem3"><span onclick="lx_sf(1920288)"><img src="/img/cmt.svg" />Ҳужжатга таклиф юбориш</span><span onclick="lx_pa(1920288)"><img src="/img/vlm.svg" />Аудиони тинглаш</span><span onclick="lx_cl(1920288)"><img src="/img/lnk.svg" />Ҳужжат элементидан ҳавола олиш</span></div></div><div name="1920288" id="1920288">годовая эффективная и эквивалентная дозы (<a href="/docs/1908086#1919784">см. табл. 3.1</a>);</div></div><div class="ACT_TEXT lx_elem" onmousemove="lx_mo(event,1920289)"><div class="lx_elem2"><div class="lx_elem3"><span onclick="lx_sf(1920289)"><img src="/img/cmt.svg" />Ҳужжатга таклиф юбориш</span><span onclick="lx_pa(1920289)"><img src="/img/vlm.svg" />Аудиони тинглаш</span><span onclick="lx_cl(1920289)"><img src="/img/lnk.svg" />Ҳужжат элементидан ҳавола олиш</span></div></div><div name="1920289" id="1920289">поступление радионуклидов в организм и их содержание в организме для оценки годового поступления;</div></div><div class="ACT_TEXT lx_elem" onmousemove="lx_mo(event,1920290)"><div class="lx_elem2"><div class="lx_elem3"><span onclick="lx_sf(1920290)"><img src="/img/cmt.svg" />Ҳужжатга таклиф юбориш</span><span onclick="lx_pa(1920290)"><img src="/img/vlm.svg" />Аудиони тинглаш</span><span onclick="lx_cl(1920290)"><img src="/img/lnk.svg" />Ҳужжат элементидан ҳавола олиш</span></div></div><div name="1920290" id="1920290">объемная или удельная активность радионуклидов в воздухе, воде, продуктах питания, строительных материалах и др.;</div></div><div class="ACT_TEXT lx_elem" onmousemove="lx_mo(event,1920291)"><div class="lx_elem2"><div class="lx_elem3"><span onclick="lx_sf(1920291)"><img src="/img/cmt.svg" />Ҳужжатга таклиф юбориш</span><span onclick="lx_pa(1920291)"><img src="/img/vlm.svg" />Аудиони тинглаш</span><span onclick="lx_cl(1920291)"><img src="/img/lnk.svg" />Ҳужжат элементидан ҳавола олиш</span></div></div><div name="1920291" id="1920291">радиоактивное загрязнение кожных покровов, одежды, обуви, рабочих поверхностей;</div></div><div class="ACT_TEXT lx_elem" onmousemove="lx_mo(event,1920292)"><div class="lx_elem2"><div class="lx_elem3"><span onclick="lx_sf(1920292)"><img src="/img/cmt.svg" />Ҳужжатга таклиф юбориш</span><span onclick="lx_pa(1920292)"><img src="/img/vlm.svg" />Аудиони тинглаш</span><span onclick="lx_cl(1920292)"><img src="/img/lnk.svg" />Ҳужжат элементидан ҳавола олиш</span></div></div><div name="1920292" id="1920292">доза и мощность дозы внешнего излучения;</div></div><div class="ACT_TEXT lx_elem" onmousemove="lx_mo(event,1920293)"><div class="lx_elem2"><div class="lx_elem3"><span onclick="lx_sf(1920293)"><img src="/img/cmt.svg" />Ҳужжатга таклиф юбориш</span><span onclick="lx_pa(1920293)"><img src="/img/vlm.svg" />Аудиони тинглаш</span><span onclick="lx_cl(1920293)"><img src="/img/lnk.svg" />Ҳужжат элементидан ҳавола олиш</span></div></div><div name="1920293" id="1920293">плотность потока частиц и фотонов.</div></div><div class="ACT_TEXT lx_elem" onmousemove="lx_mo(event,1920294)"><div class="lx_elem2"><div class="lx_elem3"><span onclick="lx_sf(1920294)"><img src="/img/cmt.svg" />Ҳужжатга таклиф юбориш</span><span onclick="lx_pa(1920294)"><img src="/img/vlm.svg" />Аудиони тинглаш</span><span onclick="lx_cl(1920294)"><img src="/img/lnk.svg" />Ҳужжат элементидан ҳавола олиш</span></div></div><div name="1920294" id="1920294">Переход от измеряемых величин внешнего излучения к нормируемым определяется специальными методическими указаниями.</div></div><div class="ACT_TEXT lx_elem" onmousemove="lx_mo(event,1920295)"><div class="lx_elem2"><div class="lx_elem3"><span onclick="lx_sf(1920295)"><img src="/img/cmt.svg" />Ҳужжатга таклиф юбориш</span><span onclick="lx_pa(1920295)"><img src="/img/vlm.svg" />Аудиони тинглаш</span><span onclick="lx_cl(1920295)"><img src="/img/lnk.svg" />Ҳужжат элементидан ҳавола олиш</span></div></div><div name="1920295" id="1920295">7.4. С целью оперативного контроля для всех контролируемых параметров по <a href="/docs/1908086#1920287">п.7.3</a> устанавливаются контрольные уровни. Порядок установления контрольных уровней изложен в <a href="/docs/1908086#1924429">ОСПОРБ-2006.</a> Значение этих уровней устанавливается таким образом, чтобы было гарантировано непревышение основных пределов доз и реализация принципа снижения уровней облучения до возможно низкого уровня.</div></div><div class="ACT_TEXT lx_elem" onmousemove="lx_mo(event,1920296)"><div class="lx_elem2"><div class="lx_elem3"><span onclick="lx_sf(1920296)"><img src="/img/cmt.svg" />Ҳужжатга таклиф юбориш</span><span onclick="lx_pa(1920296)"><img src="/img/vlm.svg" />Аудиони тинглаш</span><span onclick="lx_cl(1920296)"><img src="/img/lnk.svg" />Ҳужжат элементидан ҳавола олиш</span></div></div><div name="1920296" id="1920296">При этом учитывается облучение от всех подлежащих контролю источников излучения, достигнутый уровень защищенности, возможность его дальнейшего снижения с учетом требований принципа оптимизации. Обнаруженное превышение контрольных уровней является основанием для выяснения причин этого превышения.</div></div><div class="ACT_TEXT lx_elem" onmousemove="lx_mo(event,1920297)"><div class="lx_elem2"><div class="lx_elem3"><span onclick="lx_sf(1920297)"><img src="/img/cmt.svg" />Ҳужжатга таклиф юбориш</span><span onclick="lx_pa(1920297)"><img src="/img/vlm.svg" />Аудиони тинглаш</span><span onclick="lx_cl(1920297)"><img src="/img/lnk.svg" />Ҳужжат элементидан ҳавола олиш</span></div></div><div name="1920297" id="1920297">7.5. Администрация организации может вводить дополнительные, более жесткие числовые значения контролируемых параметров в сторону уменьшения— административные уровни.</div></div><div class="ACT_TEXT lx_elem" onmousemove="lx_mo(event,1920298)"><div class="lx_elem2"><div class="lx_elem3"><span onclick="lx_sf(1920298)"><img src="/img/cmt.svg" />Ҳужжатга таклиф юбориш</span><span onclick="lx_pa(1920298)"><img src="/img/vlm.svg" />Аудиони тинглаш</span><span onclick="lx_cl(1920298)"><img src="/img/lnk.svg" />Ҳужжат элементидан ҳавола олиш</span></div></div><div name="1920298" id="1920298">7.6. Государственный контроль в области обеспечения радиационной безопасности осуществляется Министерством здравоохранения Республики Узбекистан.</div></div><div class="ACT_TEXT lx_elem" onmousemove="lx_mo(event,1920299)"><div class="lx_elem2"><div class="lx_elem3"><span onclick="lx_sf(1920299)"><img src="/img/cmt.svg" />Ҳужжатга таклиф юбориш</span><span onclick="lx_pa(1920299)"><img src="/img/vlm.svg" />Аудиони тинглаш</span><span onclick="lx_cl(1920299)"><img src="/img/lnk.svg" />Ҳужжат элементидан ҳавола олиш</span></div></div><div name="1920299" id="1920299">7.7. Производственный контроль в области обеспечения радиационной безопасности в организации, независимо от форм собственности, возлагается на администрации этих организаций.</div></div><div class="ACT_TEXT lx_elem" onmousemove="lx_mo(event,1920300)"><div class="lx_elem2"><div class="lx_elem3"><span onclick="lx_sf(1920300)"><img src="/img/cmt.svg" />Ҳужжатга таклиф юбориш</span><span onclick="lx_pa(1920300)"><img src="/img/vlm.svg" />Аудиони тинглаш</span><span onclick="lx_cl(1920300)"><img src="/img/lnk.svg" />Ҳужжат элементидан ҳавола олиш</span></div></div><div name="1920300" id="1920300">При возникновении радиационной аварии:</div></div><div class="ACT_TEXT lx_elem" onmousemove="lx_mo(event,1920301)"><div class="lx_elem2"><div class="lx_elem3"><span onclick="lx_sf(1920301)"><img src="/img/cmt.svg" />Ҳужжатга таклиф юбориш</span><span onclick="lx_pa(1920301)"><img src="/img/vlm.svg" />Аудиони тинглаш</span><span onclick="lx_cl(1920301)"><img src="/img/lnk.svg" />Ҳужжат элементидан ҳавола олиш</span></div></div><div name="1920301" id="1920301">контроль за ее развитием, защитой персонала в организации и аварийных бригад осуществляется администрацией этой организации;</div></div><div class="ACT_TEXT lx_elem" onmousemove="lx_mo(event,1920302)"><div class="lx_elem2"><div class="lx_elem3"><span onclick="lx_sf(1920302)"><img src="/img/cmt.svg" />Ҳужжатга таклиф юбориш</span><span onclick="lx_pa(1920302)"><img src="/img/vlm.svg" />Аудиони тинглаш</span><span onclick="lx_cl(1920302)"><img src="/img/lnk.svg" />Ҳужжат элементидан ҳавола олиш</span></div></div><div name="1920302" id="1920302">контроль за облучением населения осуществляется местными органами власти и органами государственного надзора за радиационной безопасностью.</div></div><div class="ACT_TEXT lx_elem" onmousemove="lx_mo(event,1920303)"><div class="lx_elem2"><div class="lx_elem3"><span onclick="lx_sf(1920303)"><img src="/img/cmt.svg" />Ҳужжатга таклиф юбориш</span><span onclick="lx_pa(1920303)"><img src="/img/vlm.svg" />Аудиони тинглаш</span><span onclick="lx_cl(1920303)"><img src="/img/lnk.svg" />Ҳужжат элементидан ҳавола олиш</span></div></div><div name="1920303" id="1920303">Контроль за медицинским облучением пациентов возлагается на администрацию органов и учреждений здравоохранения.</div></div><div class="TEXT_HEADER_DEFAULT lx_elem" onmousemove="lx_mo(event,1920557)"><div class="lx_elem2"><div class="lx_elem3"><span onclick="lx_sf(1920557)"><img src="/img/cmt.svg" />Ҳужжатга таклиф юбориш</span><span onclick="lx_pa(1920557)"><img src="/img/vlm.svg" />Аудиони тинглаш</span><span onclick="lx_cl(1920557)"><img src="/img/lnk.svg" />Ҳужжат элементидан ҳавола олиш</span></div></div><div name="1920557" id="1920557">8. Значения допустимых уровней радиационного воздействия</div></div><div class="ACT_TEXT lx_elem" onmousemove="lx_mo(event,1920558)"><div class="lx_elem2"><div class="lx_elem3"><span onclick="lx_sf(1920558)"><img src="/img/cmt.svg" />Ҳужжатга таклиф юбориш</span><span onclick="lx_pa(1920558)"><img src="/img/vlm.svg" />Аудиони тинглаш</span><span onclick="lx_cl(1920558)"><img src="/img/lnk.svg" />Ҳужжат элементидан ҳавола олиш</span></div></div><div name="1920558" id="1920558">8.1. Для каждой категории облучаемых лиц значение допустимого уровня радиационного воздействия для данного пути облучения определено таким образом, чтобы при таком уровне воздействия только одного данного фактора облучения в течение года величина дозы равнялась величине соответствующего годового предела (усредненного за пять лет), указанного в <a href="/docs/1908086#1919784">таблице 3.1</a>.</div></div><div class="ACT_TEXT lx_elem" onmousemove="lx_mo(event,1920575)"><div class="lx_elem2"><div class="lx_elem3"><span onclick="lx_sf(1920575)"><img src="/img/cmt.svg" />Ҳужжатга таклиф юбориш</span><span onclick="lx_pa(1920575)"><img src="/img/vlm.svg" />Аудиони тинглаш</span><span onclick="lx_cl(1920575)"><img src="/img/lnk.svg" />Ҳужжат элементидан ҳавола олиш</span></div></div><div name="1920575" id="1920575">В таблицах запись вида 1,6 Е-12 означает 1,6 х 10<sup>-12</sup> , а 1,6 <sup>-12</sup> - 1,6 х 10<sup>12 </sup>. В <a href="/docs/1908086#1920851">таблице 8.4</a>. запись вида 1 Е+4 означает 1x10<sup>4</sup>.</div></div><div class="ACT_TEXT lx_elem" onmousemove="lx_mo(event,1920577)"><div class="lx_elem2"><div class="lx_elem3"><span onclick="lx_sf(1920577)"><img src="/img/cmt.svg" />Ҳужжатга таклиф юбориш</span><span onclick="lx_pa(1920577)"><img src="/img/vlm.svg" />Аудиони тинглаш</span><span onclick="lx_cl(1920577)"><img src="/img/lnk.svg" />Ҳужжат элементидан ҳавола олиш</span></div></div><div name="1920577" id="1920577">8.2. Значения допустимых уровней для всех путей облучения определены для стандартных условий, которые характеризуются следующими параметрами:</div></div><div class="ACT_TEXT lx_elem" onmousemove="lx_mo(event,1920579)"><div class="lx_elem2"><div class="lx_elem3"><span onclick="lx_sf(1920579)"><img src="/img/cmt.svg" />Ҳужжатга таклиф юбориш</span><span onclick="lx_pa(1920579)"><img src="/img/vlm.svg" />Аудиони тинглаш</span><span onclick="lx_cl(1920579)"><img src="/img/lnk.svg" />Ҳужжат элементидан ҳавола олиш</span></div></div><div name="1920579" id="1920579">объемом вдыхаемого воздуха V, с которым радионуклид поступает в организм на протяжении календарного года;</div></div><div class="ACT_TEXT lx_elem" onmousemove="lx_mo(event,1920580)"><div class="lx_elem2"><div class="lx_elem3"><span onclick="lx_sf(1920580)"><img src="/img/cmt.svg" />Ҳужжатга таклиф юбориш</span><span onclick="lx_pa(1920580)"><img src="/img/vlm.svg" />Аудиони тинглаш</span><span onclick="lx_cl(1920580)"><img src="/img/lnk.svg" />Ҳужжат элементидан ҳавола олиш</span></div></div><div name="1920580" id="1920580">временем облучения t в течение календарного года;</div></div><div class="ACT_TEXT lx_elem" onmousemove="lx_mo(event,1920581)"><div class="lx_elem2"><div class="lx_elem3"><span onclick="lx_sf(1920581)"><img src="/img/cmt.svg" />Ҳужжатга таклиф юбориш</span><span onclick="lx_pa(1920581)"><img src="/img/vlm.svg" />Аудиони тинглаш</span><span onclick="lx_cl(1920581)"><img src="/img/lnk.svg" />Ҳужжат элементидан ҳавола олиш</span></div></div><div name="1920581" id="1920581">массой питьевой воды М, с которой радионуклид поступает в организм на протяжении календарного года;</div></div><div class="ACT_TEXT lx_elem" onmousemove="lx_mo(event,1920582)"><div class="lx_elem2"><div class="lx_elem3"><span onclick="lx_sf(1920582)"><img src="/img/cmt.svg" />Ҳужжатга таклиф юбориш</span><span onclick="lx_pa(1920582)"><img src="/img/vlm.svg" />Аудиони тинглаш</span><span onclick="lx_cl(1920582)"><img src="/img/lnk.svg" />Ҳужжат элементидан ҳавола олиш</span></div></div><div name="1920582" id="1920582">геометрией внешнего облучения потоками ионизирующего излучения. </div></div><div class="ACT_TEXT lx_elem" onmousemove="lx_mo(event,1920585)"><div class="lx_elem2"><div class="lx_elem3"><span onclick="lx_sf(1920585)"><img src="/img/cmt.svg" />Ҳужжатга таклиф юбориш</span><span onclick="lx_pa(1920585)"><img src="/img/vlm.svg" />Аудиони тинглаш</span><span onclick="lx_cl(1920585)"><img src="/img/lnk.svg" />Ҳужжат элементидан ҳавола олиш</span></div></div><div name="1920585" id="1920585">Для персонала установлены следующие значения стандартных параметров: </div></div><div class="ACT_TEXT lx_elem" onmousemove="lx_mo(event,1920590)"><div class="lx_elem2"><div class="lx_elem3"><span onclick="lx_sf(1920590)"><img src="/img/cmt.svg" />Ҳужжатга таклиф юбориш</span><span onclick="lx_pa(1920590)"><img src="/img/vlm.svg" />Аудиони тинглаш</span><span onclick="lx_cl(1920590)"><img src="/img/lnk.svg" />Ҳужжат элементидан ҳавола олиш</span></div></div><div name="1920590" id="1920590">V<sub>nepc</sub> = 2,4 х 10<sup>3</sup> куб.м в год; t<sub>nepc</sub> = 1700 ч в год; М<sub>перс</sub> = 0.</div></div><div class="ACT_TEXT lx_elem" onmousemove="lx_mo(event,1920595)"><div class="lx_elem2"><div class="lx_elem3"><span onclick="lx_sf(1920595)"><img src="/img/cmt.svg" />Ҳужжатга таклиф юбориш</span><span onclick="lx_pa(1920595)"><img src="/img/vlm.svg" />Аудиони тинглаш</span><span onclick="lx_cl(1920595)"><img src="/img/lnk.svg" />Ҳужжат элементидан ҳавола олиш</span></div></div><div name="1920595" id="1920595">Для населения установлены следующие значения стандартных параметров:</div></div><div class="ACT_TEXT lx_elem" onmousemove="lx_mo(event,1920605)"><div class="lx_elem2"><div class="lx_elem3"><span onclick="lx_sf(1920605)"><img src="/img/cmt.svg" />Ҳужжатга таклиф юбориш</span><span onclick="lx_pa(1920605)"><img src="/img/vlm.svg" />Аудиони тинглаш</span><span onclick="lx_cl(1920605)"><img src="/img/lnk.svg" />Ҳужжат элементидан ҳавола олиш</span></div></div><div name="1920605" id="1920605">t<sub>нас</sub>= 8800 ч в год; М<sub>нас</sub> ~ 730 кг в год для взрослых. Годовой объем вдыхаемого воздуха установлен в зависимости от возраста:</div></div><div class="TABLE_STD lx_elem" id="theDefCssID" onmousemove="lx_mo(event,1920614)"><div class="lx_elem2"><div class="lx_elem3"><span onclick="lx_sf(1920614)"><img src="/img/cmt.svg" />Ҳужжатга таклиф юбориш</span><span onclick="lx_pa(1920614)"><img src="/img/vlm.svg" />Аудиони тинглаш</span><span onclick="lx_cl(1920614)"><img src="/img/lnk.svg" />Ҳужжат элементидан ҳавола олиш</span></div></div><div name="1920614" id="1920614" class="tabBox"><table id="theTableID" style="TABLE-LAYOUT: auto; PADDING-RIGHT: 0px; ; PADDING-LEFT: 0px; LEFT: 2px; PADDING-BOTTOM: 0px; WIDTH: 100%; BORDER-TOP-STYLE: none; PADDING-TOP: 0px; BORDER-RIGHT-STYLE: none; BORDER-LEFT-STYLE: none; TOP: 0px; BORDER-BOTTOM-STYLE: none" cellspacing="1" cols="7" border="1">
<colgroup>
<col />
<col />
<col />
<col />
<col />
<col />
<col /></colgroup>
<tbody>
<tr>
<td style="BORDER-TOP-STYLE: none; BORDER-RIGHT-STYLE: none; BORDER-LEFT-STYLE: none; BORDER-BOTTOM-STYLE: none">‎</td>
<td style="BORDER-TOP-STYLE: none; BORDER-RIGHT-STYLE: none; BORDER-LEFT-STYLE: none; BORDER-BOTTOM-STYLE: none">‎</td>
<td style="BORDER-TOP-STYLE: none; BORDER-RIGHT-STYLE: none; BORDER-LEFT-STYLE: none; BORDER-BOTTOM-STYLE: none">‎</td>
<td style="BORDER-TOP-STYLE: none; BORDER-RIGHT-STYLE: none; BORDER-LEFT-STYLE: none; BORDER-BOTTOM-STYLE: none">‎</td>
<td style="BORDER-TOP-STYLE: none; BORDER-RIGHT-STYLE: none; BORDER-LEFT-STYLE: none; BORDER-BOTTOM-STYLE: none">‎</td>
<td style="BORDER-TOP-STYLE: none; BORDER-RIGHT-STYLE: none; BORDER-LEFT-STYLE: none; BORDER-BOTTOM-STYLE: none">‎</td>
<td style="BORDER-TOP-STYLE: none; BORDER-RIGHT-STYLE: none; BORDER-LEFT-STYLE: none; BORDER-BOTTOM-STYLE: none">
<p align="right">Таблица 8.1‎</p></td></tr>
<tr>
<td style="BORDER-TOP-STYLE: none; BORDER-RIGHT-STYLE: none; BORDER-LEFT-STYLE: none; BORDER-BOTTOM-STYLE: none" colspan="7">
<p align="center"><strong>‎‎Годовой объем вдыхаемого воздуха для разных возрастных групп населения<br />‎</strong></p></td></tr>
<tr>
<td>
<p align="center">Возраст, лет‎</p></td>
<td>
<p align="center">до 1‎</p></td>
<td>
<p align="center">1-2‎</p></td>
<td>
<p align="center">2—7‎</p></td>
<td>
<p align="center">7—12‎</p></td>
<td>
<p align="center">12—17‎</p></td>
<td>
<p align="center">Взрослые (больше 17)‎</p></td></tr>
<tr>
<td>
<p align="center">V, тыс.куб.м в год‎</p></td>
<td>
<p align="center">1,0‎</p></td>
<td>
<p align="center">1,9‎</p></td>
<td>
<p align="center">3,2‎</p></td>
<td>
<p align="center">5,2‎</p></td>
<td>
<p align="center">7,3‎</p></td>
<td>
<p align="center">8,1‎</p></td></tr></tbody></table></div></div><div class="ACT_TEXT lx_elem" onmousemove="lx_mo(event,1920615)"><div class="lx_elem2"><div class="lx_elem3"><span onclick="lx_sf(1920615)"><img src="/img/cmt.svg" />Ҳужжатга таклиф юбориш</span><span onclick="lx_pa(1920615)"><img src="/img/vlm.svg" />Аудиони тинглаш</span><span onclick="lx_cl(1920615)"><img src="/img/lnk.svg" />Ҳужжат элементидан ҳавола олиш</span></div></div><div name="1920615" id="1920615">8.3. Для целей нормирования поступления радионуклидов через органы дыхания в форме радиоактивных аэрозолей их химические соединения разделены на три типа в зависимости от скорости перехода радионуклида из легких в кровь:</div></div><div class="ACT_TEXT lx_elem" onmousemove="lx_mo(event,1920616)"><div class="lx_elem2"><div class="lx_elem3"><span onclick="lx_sf(1920616)"><img src="/img/cmt.svg" />Ҳужжатга таклиф юбориш</span><span onclick="lx_pa(1920616)"><img src="/img/vlm.svg" />Аудиони тинглаш</span><span onclick="lx_cl(1920616)"><img src="/img/lnk.svg" />Ҳужжат элементидан ҳавола олиш</span></div></div><div name="1920616" id="1920616">тип «М» (медленно растворимые соединения): при растворении в легких веществ, отнесенных к этому типу, наблюдается компонент активности радионуклида, поступающая в кровь со скоростью 0,0001 сут<sup>-1</sup>;</div></div><div class="ACT_TEXT lx_elem" onmousemove="lx_mo(event,1920617)"><div class="lx_elem2"><div class="lx_elem3"><span onclick="lx_sf(1920617)"><img src="/img/cmt.svg" />Ҳужжатга таклиф юбориш</span><span onclick="lx_pa(1920617)"><img src="/img/vlm.svg" />Аудиони тинглаш</span><span onclick="lx_cl(1920617)"><img src="/img/lnk.svg" />Ҳужжат элементидан ҳавола олиш</span></div></div><div name="1920617" id="1920617">тип «П» (соединения, растворимые с промежуточной скоростью): при растворении в легких веществ, отнесенных к этому типу, основная активность радионуклида поступает в кровь со скоростью 0,005 сут<sup>-1</sup>;</div></div><div class="ACT_TEXT lx_elem" onmousemove="lx_mo(event,1920618)"><div class="lx_elem2"><div class="lx_elem3"><span onclick="lx_sf(1920618)"><img src="/img/cmt.svg" />Ҳужжатга таклиф юбориш</span><span onclick="lx_pa(1920618)"><img src="/img/vlm.svg" />Аудиони тинглаш</span><span onclick="lx_cl(1920618)"><img src="/img/lnk.svg" />Ҳужжат элементидан ҳавола олиш</span></div></div><div name="1920618" id="1920618">тип «Б» (быстро растворимые соединения): при растворении в легких веществ, отнесенных к этому типу, основная активность радионуклида поступает в кровь со скоростью 100 сут<sup>-1</sup>.</div></div><div class="ACT_TEXT lx_elem" onmousemove="lx_mo(event,1920619)"><div class="lx_elem2"><div class="lx_elem3"><span onclick="lx_sf(1920619)"><img src="/img/cmt.svg" />Ҳужжатга таклиф юбориш</span><span onclick="lx_pa(1920619)"><img src="/img/vlm.svg" />Аудиони тинглаш</span><span onclick="lx_cl(1920619)"><img src="/img/lnk.svg" />Ҳужжат элементидан ҳавола олиш</span></div></div><div name="1920619" id="1920619">Значение дозовых коэффициентов (отношение предела годовой эффективной дозы облучения ПД к пределу годового поступления радионуклида ПГП), предела годового поступления с воздухом и допустимой среднегодовой объемной активности отдельных радионуклидов для персонала организаций Республики Узбекистан приведены в <a href="/docs/1908086#1920743">таблице 8.2</a>.</div></div><div class="ACT_TEXT lx_elem" onmousemove="lx_mo(event,1920621)"><div class="lx_elem2"><div class="lx_elem3"><span onclick="lx_sf(1920621)"><img src="/img/cmt.svg" />Ҳужжатга таклиф юбориш</span><span onclick="lx_pa(1920621)"><img src="/img/vlm.svg" />Аудиони тинглаш</span><span onclick="lx_cl(1920621)"><img src="/img/lnk.svg" />Ҳужжат элементидан ҳавола олиш</span></div></div><div name="1920621" id="1920621">Распределение отдельных соединений элементов по типам при ингаляции в производственных условиях приведено в <a href="/docs/1908086#1920754">таблице 8.3</a> и минимально значимые удельная активность (МЗУА), активность в помещении или на рабочем месте (МЗА) и группа опасности отдельных пунктов— в <a href="/docs/1908086#1920851">таблице 8.4</a>.</div></div><div class="ACT_TEXT lx_elem" onmousemove="lx_mo(event,1920622)"><div class="lx_elem2"><div class="lx_elem3"><span onclick="lx_sf(1920622)"><img src="/img/cmt.svg" />Ҳужжатга таклиф юбориш</span><span onclick="lx_pa(1920622)"><img src="/img/vlm.svg" />Аудиони тинглаш</span><span onclick="lx_cl(1920622)"><img src="/img/lnk.svg" />Ҳужжат элементидан ҳавола олиш</span></div></div><div name="1920622" id="1920622">8.4. Приведенные в <a href="/docs/1908086#1920074">таблицах 5.1</a> и 8.2. значения дозовых коэффициентов, а также величин ПГПП<sub>перс</sub>, ПГП<sub>нас</sub>, ДОА<sub>перс</sub> и ДОА<sub>нас</sub> для воздуха рассчитаны для аэрозолей с логарифмически нормальным распределением частиц по активности при медианном по активности аэродинамическом диаметре 1 мкм и стандартном геометрическом отклонении, равном 2,5. В расчетах использована модель органов дыхания, рекомендованная Публикацией 66 МКРЗ.</div></div><div class="ACT_TEXT lx_elem" onmousemove="lx_mo(event,1920626)"><div class="lx_elem2"><div class="lx_elem3"><span onclick="lx_sf(1920626)"><img src="/img/cmt.svg" />Ҳужжатга таклиф юбориш</span><span onclick="lx_pa(1920626)"><img src="/img/vlm.svg" />Аудиони тинглаш</span><span onclick="lx_cl(1920626)"><img src="/img/lnk.svg" />Ҳужжат элементидан ҳавола олиш</span></div></div><div name="1920626" id="1920626">8.5 В <a href="/docs/1908086#1920743">таблицу 8.2</a> не входят инертные газы, поскольку они являются источниками внешнего облучения, а также изотопы радона с короткоживущими продуктами их распада (см. разделы 4 и 5). Из-за химической токсичности урана-238 поступление через ораны дыхания его соединений типов Б или П не должно превышать 2,5 (30 Бк) мг в сутки и 500 (6000 Бк) мг в год.</div></div><div class="ACT_TEXT lx_elem" onmousemove="lx_mo(event,1920629)"><div class="lx_elem2"><div class="lx_elem3"><span onclick="lx_sf(1920629)"><img src="/img/cmt.svg" />Ҳужжатга таклиф юбориш</span><span onclick="lx_pa(1920629)"><img src="/img/vlm.svg" />Аудиони тинглаш</span><span onclick="lx_cl(1920629)"><img src="/img/lnk.svg" />Ҳужжат элементидан ҳавола олиш</span></div></div><div name="1920629" id="1920629">Если химическая форма соединения данного радионуклида неизвестна, то следует использовать данные из <a href="/docs/1908086#1920743">таблицы 8.2</a> для соединения с наибольшим значением величины дозового коэффициента и, соответственно, наименьшими значениями ПГП<sub>перс</sub> и ДОА<sub>перс</sub></div></div><div class="ACT_TEXT lx_elem" onmousemove="lx_mo(event,1920631)"><div class="lx_elem2"><div class="lx_elem3"><span onclick="lx_sf(1920631)"><img src="/img/cmt.svg" />Ҳужжатга таклиф юбориш</span><span onclick="lx_pa(1920631)"><img src="/img/vlm.svg" />Аудиони тинглаш</span><span onclick="lx_cl(1920631)"><img src="/img/lnk.svg" />Ҳужжат элементидан ҳавола олиш</span></div></div><div name="1920631" id="1920631">8.6. В <a href="/docs/1908086#1920074">таблице 5.1.</a> для населения приведены:</div></div><div class="ACT_TEXT lx_elem" onmousemove="lx_mo(event,1920643)"><div class="lx_elem2"><div class="lx_elem3"><span onclick="lx_sf(1920643)"><img src="/img/cmt.svg" />Ҳужжатга таклиф юбориш</span><span onclick="lx_pa(1920643)"><img src="/img/vlm.svg" />Аудиони тинглаш</span><span onclick="lx_cl(1920643)"><img src="/img/lnk.svg" />Ҳужжат элементидан ҳавола олиш</span></div></div><div name="1920643" id="1920643">а) для случая поступления радионуклидов с вдыхаемым воздухом— критическая возрастная группа, а также значения дозового коэффициента и предела годового поступления ПГП<sub>нас</sub> для этой же возрастной группы и типа соединений, для которых допустимая среднегодовая объемная активность ДОА<sub>нас</sub> оказалась наименьшей;</div></div><div class="ACT_TEXT lx_elem" onmousemove="lx_mo(event,1920644)"><div class="lx_elem2"><div class="lx_elem3"><span onclick="lx_sf(1920644)"><img src="/img/cmt.svg" />Ҳужжатга таклиф юбориш</span><span onclick="lx_pa(1920644)"><img src="/img/vlm.svg" />Аудиони тинглаш</span><span onclick="lx_cl(1920644)"><img src="/img/lnk.svg" />Ҳужжат элементидан ҳавола олиш</span></div></div><div name="1920644" id="1920644">б) для случая поступления радионуклидов с водой и пищей— критическая возрастная группа, значения дозового коэффициента и предела годового поступления ПГП<sub>нас</sub> для этой же группы, где ПГП<sub>нас</sub> наименьшее, а также уровень вмешательства по среднегодовой удельной активности в питьевой воде УВ<sub>нас</sub>, рассчитанный согласно <a href="/docs/1908086#1920005">п. 5.3.5.</a> УВ в пищевых продуктах не приводятся и должны определяться по специальным методическим указаниям с учетом местных особенностей внутреннего и внешнего облучения населения— см. п. 5.2.4 и с обеспечением непревышение основных пределов доз (<a href="/docs/1908086#1919784">табл. 3.1</a>) в нормальных условиях и критериев <a href="/docs/1908086#1920242">таблиц 6.3</a>, <a href="/docs/1908086#1920256">6.4</a> и <a href="/docs/1908086#1920270">6.5</a> при аварийном облучении.</div></div><div class="ACT_TEXT lx_elem" onmousemove="lx_mo(event,1920739)"><div class="lx_elem2"><div class="lx_elem3"><span onclick="lx_sf(1920739)"><img src="/img/cmt.svg" />Ҳужжатга таклиф юбориш</span><span onclick="lx_pa(1920739)"><img src="/img/vlm.svg" />Аудиони тинглаш</span><span onclick="lx_cl(1920739)"><img src="/img/lnk.svg" />Ҳужжат элементидан ҳавола олиш</span></div></div><div name="1920739" id="1920739">8.7. В <a href="/docs/1908086#1923038">таблицах 8.5 — 8.11</a> приведены числовые значения среднегодовых допустимых плотностей потоков частиц при внешнем облучении всего тела, кожи и хрусталика глаза лиц из персонала моноэнергетическими электронами (<a href="/docs/1908086#1923038">табл. 8.5 — 8.6</a>), бета-частицами (<a href="/docs/1908086#1923185">табл. 8.7</a>), моноэнергетическими фотонами (<a href="/docs/1908086#1923191">табл. 8.8 — 8.10</a>) и моноэнергетическими нейтронами (<a href="/docs/1908086#1923829">табл. 8.11</a>). Значения среднегодовых допустимых плотностей потоков частиц даны для широкого диапазона энергий излучения и двух наиболее вероятных геометрий облучения: изотропного (2я или 4ж) поля излучения и падения параллельного пучка излучения на тело спереди (переднезадняя геометрия).</div></div><div class="ACT_TEXT lx_elem" onmousemove="lx_mo(event,1920740)"><div class="lx_elem2"><div class="lx_elem3"><span onclick="lx_sf(1920740)"><img src="/img/cmt.svg" />Ҳужжатга таклиф юбориш</span><span onclick="lx_pa(1920740)"><img src="/img/vlm.svg" />Аудиони тинглаш</span><span onclick="lx_cl(1920740)"><img src="/img/lnk.svg" />Ҳужжат элементидан ҳавола олиш</span></div></div><div name="1920740" id="1920740">8.8. В <a href="/docs/1908086#1923831">таблице 8.12</a> приведены значения допустимого радиоактивного загрязнения рабочих поверхностей, кожи, спецодежды, спецобуви, средств индивидуальной защиты персонала. Для кожи, спецодежды, спецобуви, средств индивидуальной защиты нормируется общее (снимаемое и неснимаемое) радиоактивное загрязнение. В остальных случаях нормируется только снимаемое загрязнение.</div></div><div class="ACT_TEXT lx_elem" onmousemove="lx_mo(event,1920741)"><div class="lx_elem2"><div class="lx_elem3"><span onclick="lx_sf(1920741)"><img src="/img/cmt.svg" />Ҳужжатга таклиф юбориш</span><span onclick="lx_pa(1920741)"><img src="/img/vlm.svg" />Аудиони тинглаш</span><span onclick="lx_cl(1920741)"><img src="/img/lnk.svg" />Ҳужжат элементидан ҳавола олиш</span></div></div><div name="1920741" id="1920741">Уровни общего радиоактивного загрязнения кожи определены с учетом проникновения доли радионуклида в кожу и в организм. Расчет произведен в предположении, что общая площадь загрязнения не должна превосходить 300 см<sup>2</sup>.</div></div><div class="ACT_TEXT lx_elem" onmousemove="lx_mo(event,1920742)"><div class="lx_elem2"><div class="lx_elem3"><span onclick="lx_sf(1920742)"><img src="/img/cmt.svg" />Ҳужжатга таклиф юбориш</span><span onclick="lx_pa(1920742)"><img src="/img/vlm.svg" />Аудиони тинглаш</span><span onclick="lx_cl(1920742)"><img src="/img/lnk.svg" />Ҳужжат элементидан ҳавола олиш</span></div></div><div name="1920742" id="1920742">8.9. В <a href="/docs/1908086#1923844">таблице 8.13</a> приведены допустимые уровни радиоактивного загрязнения поверхности транспортных средств.</div></div><div class="TABLE_STD lx_elem" id="theDefCssID" onmousemove="lx_mo(event,1920743)"><div class="lx_elem2"><div class="lx_elem3"><span onclick="lx_sf(1920743)"><img src="/img/cmt.svg" />Ҳужжатга таклиф юбориш</span><span onclick="lx_pa(1920743)"><img src="/img/vlm.svg" />Аудиони тинглаш</span><span onclick="lx_cl(1920743)"><img src="/img/lnk.svg" />Ҳужжат элементидан ҳавола олиш</span></div></div><div name="1920743" id="1920743" class="tabBox"><table id="theTableID" style="TABLE-LAYOUT: fixed; PADDING-RIGHT: 0px; ; PADDING-LEFT: 0px; LEFT: 2px; PADDING-BOTTOM: 0px; WIDTH: 100%; BORDER-TOP-STYLE: none; PADDING-TOP: 0px; BORDER-RIGHT-STYLE: none; BORDER-LEFT-STYLE: none; TOP: 0px; BORDER-BOTTOM-STYLE: none" cellspacing="1" cols="6" border="1">
<colgroup>
<col />
<col />
<col />
<col />
<col />
<col /></colgroup>
<tbody>
<tr>
<td style="BORDER-TOP-STYLE: none; BORDER-RIGHT-STYLE: none; BORDER-LEFT-STYLE: none; BORDER-BOTTOM-STYLE: none">‎</td>
<td style="BORDER-TOP-STYLE: none; BORDER-RIGHT-STYLE: none; BORDER-LEFT-STYLE: none; BORDER-BOTTOM-STYLE: none">‎</td>
<td style="BORDER-TOP-STYLE: none; BORDER-RIGHT-STYLE: none; BORDER-LEFT-STYLE: none; BORDER-BOTTOM-STYLE: none">‎</td>
<td style="BORDER-TOP-STYLE: none; BORDER-RIGHT-STYLE: none; BORDER-LEFT-STYLE: none; BORDER-BOTTOM-STYLE: none">‎</td>
<td style="BORDER-TOP-STYLE: none; BORDER-RIGHT-STYLE: none; BORDER-LEFT-STYLE: none; BORDER-BOTTOM-STYLE: none">‎</td>
<td style="BORDER-TOP-STYLE: none; BORDER-RIGHT-STYLE: none; BORDER-LEFT-STYLE: none; BORDER-BOTTOM-STYLE: none">
<p align="right">Таблица 8.2‎</p></td></tr>
<tr>
<td style="BORDER-TOP-STYLE: none; BORDER-RIGHT-STYLE: none; BORDER-LEFT-STYLE: none; BORDER-BOTTOM-STYLE: none" colspan="6">
<p align="center"><strong>Значения дозовых коэффициентов, предела годового поступления с воздухом и допустимой среднегодовой объемной активности в воздухе отдельных радионуклидов для персонала организаций Республики Узбекистан</strong></p></td></tr>
<tr>
<td>
<p align="center"><strong>Радионуклид РН‎</strong></p></td>
<td>
<p align="center"><strong>Период полураспада Т<sub>1/2</sub> ‎</strong></p></td>
<td>
<p align="center"><strong>Тип соединения при ингаляции<sup><font size="1"><a href="/docs/1908086#1928521">[1]</a></font> </sup>‎</strong></p></td>
<td>
<p align="center"><strong>Дозовый коэффициент воздействияε<sub>перс</sub> , Зв/Бк‎</strong></p></td>
<td>
<p align="center"><strong>Предел годового поступления ПГПперо Бк в год‎</strong></p></td>
<td>
<p align="center"><strong>Допустимая среднегодовая объемная активность, ДОА<sub>перс</sub>, Бк/м<sup>3</sup>‎</strong></p></td></tr>
<tr>
<td>
<p align="center">‎РЬ-210</p></td>
<td>
<p align="center">22,3 лет‎</p></td>
<td>
<p align="center">Б‎</p></td>
<td>
<p align="center">8,9-07‎</p></td>
<td>
<p align="center">2,2+04‎</p></td>
<td>
<p align="center">9,0‎</p></td></tr>
<tr>
<td>
<p align="center">РЬ-212‎</p></td>
<td>
<p align="center">10,6 час‎</p></td>
<td>
<p align="center">Б‎</p></td>
<td>
<p align="center">1,9-08‎</p></td>
<td>
<p align="center">1,1+06‎</p></td>
<td>
<p align="center">4,2+02‎</p></td></tr>
<tr>
<td>
<p align="center">РЬ-214‎</p></td>
<td>
<p align="center">0,447 час‎</p></td>
<td>
<p align="center">Б‎</p></td>
<td>
<p align="center">2,9-09‎</p></td>
<td>
<p align="center">6,9+06‎</p></td>
<td>
<p align="center">2,8+03‎</p></td></tr>
<tr>
<td>
<p align="center">Bi-210‎</p></td>
<td>
<p align="center">5,01 сут.</p></td>
<td>
<p align="center">Б‎</p></td>
<td>
<p align="center">1,1-09‎</p></td>
<td>
<p align="center">1,8+07‎</p></td>
<td>
<p align="center">7,3+03‎</p></td></tr>
<tr>
<td>
<p align="center">‎</p></td>
<td>
<p align="center">‎</p></td>
<td>
<p align="center">П‎</p></td>
<td>
<p align="center">8,4-08</p></td>
<td>
<p align="center">2,4+05‎</p></td>
<td>
<p align="center">9,5+01‎</p></td></tr>
<tr>
<td>
<p align="center">Bi-212‎</p></td>
<td>
<p align="center">1,01 час‎</p></td>
<td>
<p align="center">Б‎</p></td>
<td>
<p align="center">9,3-09‎</p></td>
<td>
<p align="center">2,2+06‎</p></td>
<td>
<p align="center">8,6+02‎</p></td></tr>
<tr>
<td>
<p align="center">‎</p></td>
<td>
<p align="center">‎</p></td>
<td>
<p align="center">П‎</p></td>
<td>
<p align="center">3,0-08‎</p></td>
<td>
<p align="center">6,7+05‎</p></td>
<td>
<p align="center">2,7+02‎</p></td></tr>
<tr>
<td>
<p align="center">Bi-214‎</p></td>
<td>
<p align="center">0,332 час‎</p></td>
<td>
<p align="center">Б‎</p></td>
<td>
<p align="center">7,2-09‎</p></td>
<td>
<p align="center">2,8+06‎</p></td>
<td>
<p align="center">1,1+03‎</p></td></tr>
<tr>
<td>
<p align="center">‎</p></td>
<td>
<p align="center">‎</p></td>
<td>
<p align="center">П‎</p></td>
<td>
<p align="center">1,4-08‎</p></td>
<td>
<p align="center">1,4+06‎</p></td>
<td>
<p align="center">5,7+02‎</p></td></tr>
<tr>
<td>
<p align="center">Ро-210‎</p></td>
<td>
<p align="center">138 сут‎.</p></td>
<td>
<p align="center">Б‎</p></td>
<td>
<p align="center">6,0-07‎</p></td>
<td>
<p align="center">3,3+04‎</p></td>
<td>
<p align="center">1,3+01‎</p></td></tr>
<tr>
<td>
<p align="center">‎</p></td>
<td>
<p align="center">‎</p></td>
<td>
<p align="center">П‎</p></td>
<td>
<p align="center">3,0-06‎</p></td>
<td>
<p align="center">6,7+03‎</p></td>
<td>
<p align="center">2,7‎</p></td></tr>
<tr>
<td>
<p align="center">Ra-224‎</p></td>
<td>
<p align="center">3,66 сут‎.</p></td>
<td>
<p align="center">П‎</p></td>
<td>
<p align="center">2,9-06‎</p></td>
<td>
<p align="center">6,9+03‎</p></td>
<td>
<p align="center">2,8‎</p></td></tr>
<tr>
<td>
<p align="center">Ra-226‎</p></td>
<td>
<p align="center">1,60+03 лет‎</p></td>
<td>
<p align="center">П‎</p></td>
<td>
<p align="center">3,2-06‎</p></td>
<td>
<p align="center">6,3+03‎</p></td>
<td>
<p align="center">2,5‎</p></td></tr>
<tr>
<td>
<p align="center">Ra-228‎</p></td>
<td>
<p align="center">5,75 лет‎</p></td>
<td>
<p align="center">П‎</p></td>
<td>
<p align="center">2,6-06</p></td>
<td>
<p align="center">7,7+03‎</p></td>
<td>
<p align="center">3,1‎</p></td></tr>
<tr>
<td>
<p align="center">Ac-228‎</p></td>
<td>
<p align="center">6,13 час‎</p></td>
<td>
<p align="center">Б‎</p></td>
<td>
<p align="center">2,5-08‎</p></td>
<td>
<p align="center">8,0+05‎</p></td>
<td>
<p align="center">3,2+02‎</p></td></tr>
<tr>
<td>
<p align="center">‎</p></td>
<td>
<p align="center">‎</p></td>
<td>
<p align="center">П‎</p></td>
<td>
<p align="center">1,6-08‎</p></td>
<td>
<p align="center">1,3+06‎</p></td>
<td>
<p align="center">5,0+02‎</p></td></tr>
<tr>
<td>
<p align="center">‎</p></td>
<td>
<p align="center">‎</p></td>
<td>
<p align="center">М‎</p></td>
<td>
<p align="center">1,4-08‎</p></td>
<td>
<p align="center">1,4+06‎</p></td>
<td>
<p align="center">5,7+02‎</p></td></tr>
<tr>
<td>
<p align="center">Th-228‎</p></td>
<td>
<p align="center">1,91 лет‎</p></td>
<td>
<p align="center">П‎</p></td>
<td>
<p align="center">3,1-05‎</p></td>
<td>
<p align="center">6,5+02‎</p></td>
<td>
<p align="center">2,6-01‎</p></td></tr>
<tr>
<td>
<p align="center">‎</p></td>
<td>
<p align="center">‎</p></td>
<td>
<p align="center">М‎</p></td>
<td>
<p align="center">3,9-05‎</p></td>
<td>
<p align="center">5,1+02‎</p></td>
<td>
<p align="center">2,1-01‎</p></td></tr>
<tr>
<td>
<p align="center">Th-230‎</p></td>
<td>
<p align="center">7,70+04 лет‎</p></td>
<td>
<p align="center">П‎</p></td>
<td>
<p align="center">4,0-05‎</p></td>
<td>
<p align="center">5,0+02‎</p></td>
<td>
<p align="center">2,0-01‎</p></td></tr>
<tr>
<td>
<p align="center">‎</p></td>
<td>
<p align="center">‎</p></td>
<td>
<p align="center">М‎</p></td>
<td>
<p align="center">1,3-05‎</p></td>
<td>
<p align="center">1,5+03‎</p></td>
<td>
<p align="center">6,2-01‎</p></td></tr>
<tr>
<td>
<p align="center">Th-232‎</p></td>
<td>
<p align="center">1,40+10 лет‎</p></td>
<td>
<p align="center">П‎</p></td>
<td>
<p align="center">4,2-05‎</p></td>
<td>
<p align="center">4,8+02‎</p></td>
<td>
<p align="center">1,9-01‎</p></td></tr>
<tr>
<td>
<p align="center">‎</p></td>
<td>
<p align="center">‎</p></td>
<td>
<p align="center">М‎</p></td>
<td>
<p align="center">2,3-05‎</p></td>
<td>
<p align="center">8,7+02‎</p></td>
<td>
<p align="center">3,5-01‎</p></td></tr>
<tr>
<td>
<p align="center">Pa-234‎</p></td>
<td>
<p align="center">6,70 час‎</p></td>
<td>
<p align="center">П‎</p></td>
<td>
<p align="center">3,8-10‎</p></td>
<td>
<p align="center">5,3+07‎</p></td>
<td>
<p align="center">2,1+04‎</p></td></tr>
<tr>
<td>
<p align="center">‎</p></td>
<td>
<p align="center">‎</p></td>
<td>
<p align="center">М‎</p></td>
<td>
<p align="center">4,0-10‎</p></td>
<td>
<p align="center">5,0+07‎</p></td>
<td>
<p align="center">2,0+04‎</p></td></tr>
<tr>
<td>
<p align="center">U-234‎</p></td>
<td>
<p align="center">2,44+05 лет‎</p></td>
<td>
<p align="center">Б‎</p></td>
<td>
<p align="center">5,5-07‎</p></td>
<td>
<p align="center">3,6+04‎</p></td>
<td>
<p align="center">1,5+01‎</p></td></tr>
<tr>
<td>
<p align="center">‎</p></td>
<td>
<p align="center">‎</p></td>
<td>
<p align="center">П‎</p></td>
<td>
<p align="center">3,1-06 </p></td>
<td>
<p align="center">6,5+03‎</p></td>
<td>
<p align="center">2,6‎</p></td></tr>
<tr>
<td>
<p align="center">‎</p></td>
<td>
<p align="center">‎</p></td>
<td>
<p align="center">М‎</p></td>
<td>
<p align="center">8,5-06‎</p></td>
<td>
<p align="center">2,4+03‎</p></td>
<td>
<p align="center">9,4-01‎</p></td></tr>
<tr>
<td>
<p align="center">U-235‎</p></td>
<td>
<p align="center">7,04+08 лет‎</p></td>
<td>
<p align="center">Б‎</p></td>
<td>
<p align="center">5,1-07‎</p></td>
<td>
<p align="center">2,7+04<sup><a href="/docs/1908086#1920751">[1]‎</a></sup></p></td>
<td>
<p align="center">1,1+01<sup><a href="/docs/1908086#1920751">[1]</a></sup></p></td></tr>
<tr>
<td>
<p align="center">‎</p></td>
<td>
<p align="center">‎</p></td>
<td>
<p align="center">П‎</p></td>
<td>
<p align="center">2,8-06‎</p></td>
<td>
<p align="center">7,1+03‎</p></td>
<td>
<p align="center">2,9‎</p></td></tr>
<tr>
<td>
<p align="center">‎</p></td>
<td>
<p align="center">‎</p></td>
<td>
<p align="center">М‎</p></td>
<td>
<p align="center">7,7-06‎</p></td>
<td>
<p align="center">2,6+03‎</p></td>
<td>
<p align="center">1,0‎</p></td></tr>
<tr>
<td>
<p align="center">U-238‎</p></td>
<td>
<p align="center">4,47+09 лет‎</p></td>
<td>
<p align="center">Б‎</p></td>
<td>
<p align="center">4,9-07‎</p></td>
<td>
<p align="center">6,0+03‎<sup><a href="/docs/1908086#1920751">[1]</a></sup></p></td>
<td>
<p align="center">2,4<sup><a href="/docs/1908086#1920751">[1]</a></sup> ‎ </p></td></tr>
<tr>
<td>
<p align="center">‎</p></td>
<td>
<p align="center">‎</p></td>
<td>
<p align="center">П‎</p></td>
<td>
<p align="center">2,6-06‎</p></td>
<td>
<p align="center">6,0+03<sup><a href="/docs/1908086#1920751">[1]</a></sup></p></td>
<td>
<p align="center">2,4<sup><a href="/docs/1908086#1920751">[1]</a></sup> ‎ </p></td></tr>
<tr>
<td>
<p align="center">‎</p></td>
<td>
<p align="center">‎</p></td>
<td>
<p align="center">М‎</p></td>
<td>
<p align="center">7,3-06‎</p></td>
<td>
<p align="center">2,7+03‎</p></td>
<td>
<p align="center">1,1‎</p></td></tr></tbody></table></div></div><div class="FOOTNOTE lx_elem" onmousemove="lx_mo(event,1920751)"><div class="lx_elem2"><div class="lx_elem3"><span onclick="lx_sf(1920751)"><img src="/img/cmt.svg" />Ҳужжатга таклиф юбориш</span><span onclick="lx_pa(1920751)"><img src="/img/vlm.svg" />Аудиони тинглаш</span><span onclick="lx_cl(1920751)"><img src="/img/lnk.svg" />Ҳужжат элементидан ҳавола олиш</span></div></div><div name="1920751" id="1920751">Примечание:</div></div><div class="FOOTNOTE lx_elem" onmousemove="lx_mo(event,1928521)"><div class="lx_elem2"><div class="lx_elem3"><span onclick="lx_sf(1928521)"><img src="/img/cmt.svg" />Ҳужжатга таклиф юбориш</span><span onclick="lx_pa(1928521)"><img src="/img/vlm.svg" />Аудиони тинглаш</span><span onclick="lx_cl(1928521)"><img src="/img/lnk.svg" />Ҳужжат элементидан ҳавола олиш</span></div></div><div name="1928521" id="1928521">[1] — классификация соединений приведена в <a href="/docs/1908086#1920754">таблице 8.3</a>.</div></div><div class="FOOTNOTE lx_elem" onmousemove="lx_mo(event,1920752)"><div class="lx_elem2"><div class="lx_elem3"><span onclick="lx_sf(1920752)"><img src="/img/cmt.svg" />Ҳужжатга таклиф юбориш</span><span onclick="lx_pa(1920752)"><img src="/img/vlm.svg" />Аудиони тинглаш</span><span onclick="lx_cl(1920752)"><img src="/img/lnk.svg" />Ҳужжат элементидан ҳавола олиш</span></div></div><div name="1920752" id="1920752">[2] — соответствует годовому поступлению урана, равного 500 мг в год и величина которого определяется химической токсичностью соединений урана.</div></div><div class="FOOTNOTE lx_elem" onmousemove="lx_mo(event,1920753)"><div class="lx_elem2"><div class="lx_elem3"><span onclick="lx_sf(1920753)"><img src="/img/cmt.svg" />Ҳужжатга таклиф юбориш</span><span onclick="lx_pa(1920753)"><img src="/img/vlm.svg" />Аудиони тинглаш</span><span onclick="lx_cl(1920753)"><img src="/img/lnk.svg" />Ҳужжат элементидан ҳавола олиш</span></div></div><div name="1920753" id="1920753">Поступление радионуклидов с пищей не рассматривается у детей в возрасте менее 1 года, поскольку они питаются преимущественно грудным молоком.</div></div><div class="TABLE_STD lx_elem" id="theDefCssID" onmousemove="lx_mo(event,1920754)"><div class="lx_elem2"><div class="lx_elem3"><span onclick="lx_sf(1920754)"><img src="/img/cmt.svg" />Ҳужжатга таклиф юбориш</span><span onclick="lx_pa(1920754)"><img src="/img/vlm.svg" />Аудиони тинглаш</span><span onclick="lx_cl(1920754)"><img src="/img/lnk.svg" />Ҳужжат элементидан ҳавола олиш</span></div></div><div name="1920754" id="1920754" class="tabBox"><table id="theTableID" style="TABLE-LAYOUT: auto; PADDING-RIGHT: 0px; ; PADDING-LEFT: 0px; LEFT: 2px; PADDING-BOTTOM: 0px; WIDTH: 100%; BORDER-TOP-STYLE: none; PADDING-TOP: 0px; BORDER-RIGHT-STYLE: none; BORDER-LEFT-STYLE: none; TOP: 0px; BORDER-BOTTOM-STYLE: none" cellspacing="1" cols="4" border="1">
<colgroup>
<col />
<col />
<col />
<col /></colgroup>
<tbody>
<tr>
<td style="BORDER-TOP-STYLE: none; BORDER-RIGHT-STYLE: none; BORDER-LEFT-STYLE: none; BORDER-BOTTOM-STYLE: none">‎</td>
<td style="BORDER-TOP-STYLE: none; BORDER-RIGHT-STYLE: none; BORDER-LEFT-STYLE: none; BORDER-BOTTOM-STYLE: none">‎</td>
<td style="BORDER-TOP-STYLE: none; BORDER-RIGHT-STYLE: none; BORDER-LEFT-STYLE: none; BORDER-BOTTOM-STYLE: none">‎</td>
<td style="BORDER-TOP-STYLE: none; BORDER-RIGHT-STYLE: none; BORDER-LEFT-STYLE: none; BORDER-BOTTOM-STYLE: none">
<p align="right">‎<span class="FontStyle116"><span style="FONT-SIZE: 11pt"><strong>Таблица 8.3</strong></span></span></p></td></tr>
<tr>
<td style="BORDER-TOP-STYLE: none; BORDER-RIGHT-STYLE: none; BORDER-LEFT-STYLE: none; BORDER-BOTTOM-STYLE: none" colspan="4">
<p align="center"><strong>Распределение отдельных соединений элементов по типам при ингаляции‎‎<br />‎</strong></p></td></tr>
<tr>
<td>
<p align="center"><strong>Элемент‎</strong></p></td>
<td>
<p align="center"><strong>Символ‎</strong></p></td>
<td>
<p align="center"><strong>Тип‎</strong></p></td>
<td>
<p align="center"><strong>Химические соединения‎</strong></p></td></tr>
<tr>
<td>Свинец‎</td>
<td>
<p align="center">РЬ‎</p></td>
<td>
<p align="center">Б‎</p></td>
<td>Все соединения‎</td></tr>
<tr>
<td>Висмут</td>
<td>
<p align="center">Bi</p></td>
<td>
<p align="center">П</p></td>
<td>Нитраты‎</td></tr>
<tr>
<td>‎</td>
<td>‎</td>
<td>
<p align="center">П‎</p></td>
<td>|Иные соединения‎</td></tr>
<tr>
<td>Полоний‎</td>
<td>
<p align="center">Ро‎</p></td>
<td>
<p align="center">П‎</p></td>
<td>Оксиды, гидроксиды, нитраты‎</td></tr>
<tr>
<td>‎</td>
<td>‎</td>
<td>
<p align="center">Б‎</p></td>
<td>Иные соединения‎</td></tr>
<tr>
<td>Астат‎</td>
<td>
<p align="center">At‎</p></td>
<td>
<p align="center">Б‎</p></td>
<td>Соединения с Н, Li, Na, К, Rb, Cs, Fr‎</td></tr>
<tr>
<td>‎</td>
<td>‎</td>
<td>
<p align="center">П‎</p></td>
<td>Иные соединения‎</td></tr>
<tr>
<td>Франций‎</td>
<td>
<p align="center">Fr‎</p></td>
<td>
<p align="center">Б‎</p></td>
<td>Всё соединения‎</td></tr>
<tr>
<td>Радий‎</td>
<td>
<p align="center">Ra‎</p></td>
<td>
<p align="center">П‎</p></td>
<td>Все соединения‎</td></tr>
<tr>
<td>Актиний‎</td>
<td>
<p align="center">Ac‎</p></td>
<td>
<p align="center">М‎</p></td>
<td>Оксиды, гидроксиды</td></tr>
<tr>
<td>‎</td>
<td>‎</td>
<td>
<p align="center">П‎</p></td>
<td>Галогениды, нитраты‎</td></tr>
<tr>
<td>‎</td>
<td>‎</td>
<td>
<p align="center">Б‎</p></td>
<td>Иные соединения‎</td></tr>
<tr>
<td>Торий‎</td>
<td>
<p align="center">Th‎</p></td>
<td>
<p align="center">М‎</p></td>
<td>Оксиды, гидроксиды‎</td></tr>
<tr>
<td>‎</td>
<td>‎</td>
<td>
<p align="center">П‎</p></td>
<td>Иные соединения‎</td></tr>
<tr>
<td>Уран‎</td>
<td>
<p align="center">U‎</p></td>
<td>
<p align="center">Б‎</p></td>
<td>UF<sub>6</sub>, U0<sub>2</sub>F<sub>2</sub>, U0<sub>2</sub>(N0<sub>3</sub>)<sub>2</sub>‎</td></tr>
<tr>
<td>‎</td>
<td>‎</td>
<td>
<p align="center">П‎</p></td>
<td>U0<sub>3</sub>, UF<sub>4</sub>, UC1<sub>4</sub>‎</td></tr>
<tr>
<td>‎</td>
<td>‎</td>
<td>
<p align="center">М‎</p></td>
<td>U0<sub>2</sub>, U<sub>3</sub>O<sub>8</sub></td></tr>
<tr>
<td style="BORDER-TOP-STYLE: none; BORDER-RIGHT-STYLE: none; BORDER-LEFT-STYLE: none; BORDER-BOTTOM-STYLE: none">_____________________________________‎</td>
<td style="BORDER-TOP-STYLE: none; BORDER-RIGHT-STYLE: none; BORDER-LEFT-STYLE: none; BORDER-BOTTOM-STYLE: none">‎</td>
<td style="BORDER-TOP-STYLE: none; BORDER-RIGHT-STYLE: none; BORDER-LEFT-STYLE: none; BORDER-BOTTOM-STYLE: none">‎</td>
<td style="BORDER-TOP-STYLE: none; BORDER-RIGHT-STYLE: none; BORDER-LEFT-STYLE: none; BORDER-BOTTOM-STYLE: none">‎</td></tr></tbody></table></div></div><div class="TABLE_STD lx_elem" id="theDefCssID" onmousemove="lx_mo(event,1920851)"><div class="lx_elem2"><div class="lx_elem3"><span onclick="lx_sf(1920851)"><img src="/img/cmt.svg" />Ҳужжатга таклиф юбориш</span><span onclick="lx_pa(1920851)"><img src="/img/vlm.svg" />Аудиони тинглаш</span><span onclick="lx_cl(1920851)"><img src="/img/lnk.svg" />Ҳужжат элементидан ҳавола олиш</span></div></div><div name="1920851" id="1920851" class="tabBox"><table id="theTableID" style="TABLE-LAYOUT: auto; PADDING-RIGHT: 0px; ; PADDING-LEFT: 0px; LEFT: 2px; PADDING-BOTTOM: 0px; WIDTH: 100%; BORDER-TOP-STYLE: none; PADDING-TOP: 0px; BORDER-RIGHT-STYLE: none; BORDER-LEFT-STYLE: none; TOP: 0px; BORDER-BOTTOM-STYLE: none" cellspacing="1" cols="4" border="1">
<colgroup>
<col />
<col />
<col />
<col /></colgroup>
<tbody>
<tr>
<td style="BORDER-TOP-STYLE: none; BORDER-RIGHT-STYLE: none; BORDER-LEFT-STYLE: none; BORDER-BOTTOM-STYLE: none">‎</td>
<td style="BORDER-TOP-STYLE: none; BORDER-RIGHT-STYLE: none; BORDER-LEFT-STYLE: none; BORDER-BOTTOM-STYLE: none">‎</td>
<td style="BORDER-TOP-STYLE: none; BORDER-RIGHT-STYLE: none; BORDER-LEFT-STYLE: none; BORDER-BOTTOM-STYLE: none">‎</td>
<td style="BORDER-TOP-STYLE: none; BORDER-RIGHT-STYLE: none; BORDER-LEFT-STYLE: none; BORDER-BOTTOM-STYLE: none">
<p align="right">Таблица 8.4‎</p></td></tr>
<tr>
<td style="BORDER-TOP-STYLE: none; BORDER-RIGHT-STYLE: none; BORDER-LEFT-STYLE: none; BORDER-BOTTOM-STYLE: none" colspan="4"><strong>Минимально значимые удельная активность (МЗУА), активность в помещении или на рабочем месте (МЗА) и группа радиационной опасности отдельных нуклидов ‎‎</strong></td></tr>
<tr>
<td>
<p align="center"><strong>Нуклид‎</strong></p></td>
<td>
<p align="center"><strong>МЗУА, Бк/г‎</strong></p></td>
<td>
<p align="center"><strong>M3A, Бк‎</strong></p></td>
<td>
<p align="center"><strong>Группа опасности‎</strong></p></td></tr>
<tr>
<td>
<p align="center"><strong>1‎</strong></p></td>
<td>
<p align="center"><strong>2‎</strong></p></td>
<td>
<p align="center"><strong>3‎</strong></p></td>
<td>
<p align="center"><strong>4‎</strong></p></td></tr>
<tr>
<td>
<p align="center">С-14‎</p></td>
<td>
<p align="center">1 E+04‎</p></td>
<td>
<p align="center">1 E+07‎</p></td>
<td>
<p align="center">В‎</p></td></tr>
<tr>
<td>
<p align="center">Р-32 ‎</p></td>
<td>
<p align="center">1 E+03‎</p></td>
<td>
<p align="center">1 E+05‎</p></td>
<td>
<p align="center">Б‎</p></td></tr>
<tr>
<td>
<p align="center">Р-33‎</p></td>
<td>
<p align="center">1 E+05‎</p></td>
<td>
<p align="center">1 E+08‎</p></td>
<td>
<p align="center">Г‎</p></td></tr>
<tr>
<td>
<p align="center">Fe-55‎</p></td>
<td>
<p align="center">1 E+04‎</p></td>
<td>
<p align="center">1 E+06‎</p></td>
<td>
<p align="center">В‎</p></td></tr>
<tr>
<td>
<p align="center">Fe-591‎</p></td>
<td>
<p align="center">1 E+01‎</p></td>
<td>
<p align="center">1 E+06‎</p></td>
<td>
<p align="center">В‎</p></td></tr>
<tr>
<td>
<p align="center">Со-57‎</p></td>
<td>
<p align="center">1 E+02</p></td>
<td>
<p align="center">1 E+06‎</p></td>
<td>
<p align="center">В‎</p></td></tr>
<tr>
<td>
<p align="center">Со-60‎</p></td>
<td>
<p align="center">1 E+01‎</p></td>
<td>
<p align="center">1 E+05‎</p></td>
<td>
<p align="center">Б‎</p></td></tr>
<tr>
<td>
<p align="center">Zn-65‎</p></td>
<td>
<p align="center">1 E+01‎</p></td>
<td>
<p align="center">1 E+01‎</p></td>
<td>
<p align="center">В‎</p></td></tr>
<tr>
<td>
<p align="center">Sr-90*‎</p></td>
<td>
<p align="center">1 E+02‎</p></td>
<td>
<p align="center">1 E+04‎</p></td>
<td>
<p align="center">Б‎</p></td></tr>
<tr>
<td>
<p align="center">Y-90‎</p></td>
<td>
<p align="center">1 E+03‎</p></td>
<td>
<p align="center">1 E+05‎</p></td>
<td>
<p align="center">Б‎</p></td></tr>
<tr>
<td>
<p align="center">Тс-96‎</p></td>
<td>
<p align="center">1 E+01‎</p></td>
<td>
<p align="center">1 E+06‎</p></td>
<td>
<p align="center">В‎</p></td></tr>
<tr>
<td>
<p align="center">Tc-96m‎</p></td>
<td>
<p align="center">1 E+03‎</p></td>
<td>
<p align="center">1 E+07‎</p></td>
<td>
<p align="center">В‎</p></td></tr>
<tr>
<td>
<p align="center">Тс-97‎</p></td>
<td>
<p align="center">1 E+03</p></td>
<td>
<p align="center">1 E+08‎</p></td>
<td>
<p align="center">Г‎</p></td></tr>
<tr>
<td>
<p align="center">Tc-97m‎</p></td>
<td>
<p align="center">1 E+03‎</p></td>
<td>
<p align="center">1E+07‎</p></td>
<td>
<p align="center">В‎</p></td></tr>
<tr>
<td>
<p align="center">Тс-99‎</p></td>
<td>
<p align="center">1 E+04‎</p></td>
<td>
<p align="center">1 E+07‎</p></td>
<td>
<p align="center">В‎</p></td></tr>
<tr>
<td>
<p align="center">Tc-99m‎</p></td>
<td>
<p align="center">1 E+02‎</p></td>
<td>
<p align="center">1 E+07‎</p></td>
<td>
<p align="center">в‎</p></td></tr>
<tr>
<td>
<p align="center">Ag-110tn‎</p></td>
<td>
<p align="center">1 E+01‎</p></td>
<td>
<p align="center">1 E+06‎</p></td>
<td>
<p align="center">в‎</p></td></tr>
<tr>
<td>
<p align="center">Sb-124‎</p></td>
<td>
<p align="center">1 E+01‎</p></td>
<td>
<p align="center">1 E+06‎</p></td>
<td>
<p align="center">в</p></td></tr>
<tr>
<td>
<p align="center">1-123</p></td>
<td>
<p align="center">1 E+02‎</p></td>
<td>
<p align="center">1 E+07‎</p></td>
<td>
<p align="center">в‎</p></td></tr>
<tr>
<td>
<p align="center">1-125‎</p></td>
<td>
<p align="center">1 E+03‎</p></td>
<td>
<p align="center">1 E+06‎</p></td>
<td>
<p align="center">в‎</p></td></tr>
<tr>
<td>
<p align="center">1-126‎</p></td>
<td>
<p align="center">1 E+02‎</p></td>
<td>
<p align="center">1 E+06‎</p></td>
<td>
<p align="center">в‎</p></td></tr>
<tr>
<td>
<p align="center">Cs-137*‎</p></td>
<td>
<p align="center">1 E+01‎</p></td>
<td>
<p align="center">1 E+04‎</p></td>
<td>
<p align="center">Б‎</p></td></tr>
<tr>
<td>
<p align="center">Eu-152‎</p></td>
<td>
<p align="center">1 E+01‎</p></td>
<td>
<p align="center">1 E+06‎</p></td>
<td>
<p align="center">В‎</p></td></tr>
<tr>
<td>
<p align="center">Gd-153‎</p></td>
<td>
<p align="center">1 E+02‎</p></td>
<td>
<p align="center">1 E+07‎</p></td>
<td>
<p align="center">В‎</p></td></tr>
<tr>
<td>
<p align="center">Tm-170‎</p></td>
<td>
<p align="center">1 E+03‎</p></td>
<td>
<p align="center">1 E+06‎</p></td>
<td>
<p align="center">В‎</p></td></tr>
<tr>
<td>
<p align="center">W-181‎</p></td>
<td>
<p align="center">1 E+03‎</p></td>
<td>
<p align="center">1 E+07‎</p></td>
<td>
<p align="center">В‎</p></td></tr>
<tr>
<td>
<p align="center">W-185‎</p></td>
<td>
<p align="center">1 E+04‎</p></td>
<td>
<p align="center">1 E+07‎</p></td>
<td>
<p align="center">в‎</p></td></tr>
<tr>
<td>
<p align="center">Tl-204‎</p></td>
<td>
<p align="center">1 E+04‎</p></td>
<td>
<p align="center">1 E+04‎</p></td>
<td>
<p align="center">Б‎</p></td></tr>
<tr>
<td>
<p align="center">Pb-210*‎</p></td>
<td>
<p align="center">1 E+01‎</p></td>
<td>
<p align="center">1 E+04‎</p></td>
<td>
<p align="center">Б‎</p></td></tr>
<tr>
<td>
<p align="center">Bi-210‎</p></td>
<td>
<p align="center">1 E+03‎</p></td>
<td>
<p align="center">1 E+06‎</p></td>
<td>
<p align="center">в‎</p></td></tr>
<tr>
<td>
<p align="center">Po-210‎</p></td>
<td>
<p align="center">1 E+01‎</p></td>
<td>
<p align="center">1 E+04‎</p></td>
<td>
<p align="center">Б‎</p></td></tr>
<tr>
<td>
<p align="center">Rn-220*‎</p></td>
<td>
<p align="center">1 E+04‎</p></td>
<td>
<p align="center">1 E+07‎</p></td>
<td>
<p align="center">В‎</p></td></tr>
<tr>
<td>
<p align="center">Rn-222*‎</p></td>
<td>
<p align="center">1 E+01‎</p></td>
<td>
<p align="center">1 E+08‎</p></td>
<td>
<p align="center">Г‎</p></td></tr>
<tr>
<td>
<p align="center">Ra-226*‎</p></td>
<td>
<p align="center">1 E+01</p></td>
<td>
<p align="center">1 E+04‎</p></td>
<td>
<p align="center">Б‎</p></td></tr>
<tr>
<td>
<p align="center">Ra-228*‎</p></td>
<td>
<p align="center">1 E+01‎</p></td>
<td>
<p align="center">1 E+05‎</p></td>
<td>
<p align="center">Б‎</p></td></tr>
<tr>
<td>
<p align="center">Ac-228</p></td>
<td>
<p align="center">1 E+01‎</p></td>
<td>
<p align="center">1 E+06‎</p></td>
<td>
<p align="center">В‎</p></td></tr>
<tr>
<td>
<p align="center">Th-228*</p></td>
<td>
<p align="center">1 E+00‎</p></td>
<td>
<p align="center">1 E+04‎</p></td>
<td>
<p align="center">Б‎</p></td></tr>
<tr>
<td>
<p align="center">Th-230‎</p></td>
<td>
<p align="center">1 E+00‎</p></td>
<td>
<p align="center">1 E+04‎</p></td>
<td>
<p align="center">Б‎</p></td></tr>
<tr>
<td>
<p align="center">Th природный (включая Th-232)‎</p></td>
<td>
<p align="center">1 E+00‎</p></td>
<td>
<p align="center">1 E+03‎</p></td>
<td>
<p align="center">А‎</p></td></tr>
<tr>
<td>
<p align="center">Cd-109‎</p></td>
<td>
<p align="center">1 E+04‎</p></td>
<td>
<p align="center">1 E+06‎</p></td>
<td>
<p align="center">В‎</p></td></tr>
<tr>
<td>
<p align="center">Th-234*‎</p></td>
<td>
<p align="center">1 E+03‎</p></td>
<td>
<p align="center">1 E+05‎</p></td>
<td>
<p align="center">Б‎</p></td></tr>
<tr>
<td>
<p align="center">U-234‎</p></td>
<td>
<p align="center">1 E+01‎</p></td>
<td>
<p align="center">1E+04‎</p></td>
<td>
<p align="center">Б‎</p></td></tr>
<tr>
<td>
<p align="center">U-235*‎</p></td>
<td>
<p align="center">1E+00‎</p></td>
<td>
<p align="center">1 E+04‎</p></td>
<td>
<p align="center">Б‎</p></td></tr>
<tr>
<td>
<p align="center">U-238*‎</p></td>
<td>
<p align="center">1 E+01‎</p></td>
<td>
<p align="center">1 E+04‎</p></td>
<td>
<p align="center">Б‎</p></td></tr>
<tr>
<td>
<p align="center">U-риродный </p></td>
<td>
<p align="center">1 Е+00‎</p></td>
<td>
<p align="center">1 Е+03‎</p></td>
<td>
<p align="center">А‎</p></td></tr>
<tr>
<td>
<p align="center">Рu-239‎</p></td>
<td>
<p align="center">1 E+00‎</p></td>
<td>
<p align="center">1 E+04‎</p></td>
<td>
<p align="center">Б‎</p></td></tr>
<tr>
<td>
<p align="center">Am-241‎</p></td>
<td>
<p align="center">1 E+00‎</p></td>
<td>
<p align="center">1 E+04‎</p></td>
<td>
<p align="center">Б‎</p></td></tr>
<tr>
<td>
<p align="center">Cf-252‎</p></td>
<td>
<p align="center">1 E+01‎</p></td>
<td>
<p align="center">1 E+04‎</p></td>
<td>
<p align="center">Б‎</p></td></tr>
<tr>
<td>
<p align="center">Pm-147‎</p></td>
<td>
<p align="center">1 E+04‎</p></td>
<td>
<p align="center">1E+07‎</p></td>
<td>
<p align="center">Б‎</p></td></tr></tbody></table></div></div><div class="TABLE_STD lx_elem" id="theDefCssID" onmousemove="lx_mo(event,1923006)"><div class="lx_elem2"><div class="lx_elem3"><span onclick="lx_sf(1923006)"><img src="/img/cmt.svg" />Ҳужжатга таклиф юбориш</span><span onclick="lx_pa(1923006)"><img src="/img/vlm.svg" />Аудиони тинглаш</span><span onclick="lx_cl(1923006)"><img src="/img/lnk.svg" />Ҳужжат элементидан ҳавола олиш</span></div></div><div name="1923006" id="1923006" class="tabBox"><table id="theTableID" style="TABLE-LAYOUT: auto; PADDING-RIGHT: 0px; ; PADDING-LEFT: 0px; LEFT: 2px; PADDING-BOTTOM: 0px; WIDTH: 100%; BORDER-TOP-STYLE: none; PADDING-TOP: 0px; BORDER-RIGHT-STYLE: none; BORDER-LEFT-STYLE: none; TOP: 0px; BORDER-BOTTOM-STYLE: none" cellspacing="1" cols="2" border="1">
<colgroup>
<col />
<col /></colgroup>
<tbody>
<tr>
<td style="BORDER-TOP-STYLE: none; BORDER-RIGHT-STYLE: none; BORDER-LEFT-STYLE: none; BORDER-BOTTOM-STYLE: none">‎</td>
<td style="BORDER-TOP-STYLE: none; BORDER-RIGHT-STYLE: none; BORDER-LEFT-STYLE: none; BORDER-BOTTOM-STYLE: none">
<p align="right"><strong>Продолжение таблицы 8.4.‎</strong></p></td></tr>
<tr>
<td>РЬ-210‎</td>
<td>Bi-210, Po-210</td></tr>
<tr>
<td>Rn-220‎</td>
<td>Po-216‎</td></tr>
<tr>
<td>Rn-222‎</td>
<td>Po-218, Pb-214, Bi-214, Po-214‎</td></tr>
<tr>
<td>Ra-226‎</td>
<td>Rn-222, Po-218, Pb-214, Bi-214, Po-214, Pb-210, Bi-210, Po-210‎</td></tr>
<tr>
<td>Ra-228‎</td>
<td>Ac-228‎</td></tr>
<tr>
<td>Th-228‎</td>
<td>Ra-224, Rn-220, Po-216, Pb-212, Bi-212, Tl-208 (0.36), Po-212 (0.64)‎</td></tr>
<tr>
<td>Th-природный‎</td>
<td>Ra-228, Ac-228, Th-228, Ra-224, Rn-220, Po-216, Pb-212, Bi-212, Tl-208 (0.36), Po-212 (0.64)‎</td></tr>
<tr>
<td>Th-234‎</td>
<td>Pa-234m‎</td></tr>
<tr>
<td>U-235‎</td>
<td>Th-231‎</td></tr>
<tr>
<td>U-238‎</td>
<td>Th-234, Pa-234m‎</td></tr>
<tr>
<td>U-природный‎</td>
<td>Th-234, Pa-234m, U-234, Th-230, Ra-226, Rn-222, Po-218, Pb-214, Bi-214, Po-214, Pb-210, Bi-210, Po-210‎</td></tr></tbody></table></div></div><div class="FOOTNOTE lx_elem" onmousemove="lx_mo(event,1923010)"><div class="lx_elem2"><div class="lx_elem3"><span onclick="lx_sf(1923010)"><img src="/img/cmt.svg" />Ҳужжатга таклиф юбориш</span><span onclick="lx_pa(1923010)"><img src="/img/vlm.svg" />Аудиони тинглаш</span><span onclick="lx_cl(1923010)"><img src="/img/lnk.svg" />Ҳужжат элементидан ҳавола олиш</span></div></div><div name="1923010" id="1923010">Примечание: перечисленные выше материнские радионуклиды приведены в условиях их равновесия с дочерними.</div></div><div class="ACT_TEXT lx_elem" onmousemove="lx_mo(event,1923011)"><div class="lx_elem2"><div class="lx_elem3"><span onclick="lx_sf(1923011)"><img src="/img/cmt.svg" />Ҳужжатга таклиф юбориш</span><span onclick="lx_pa(1923011)"><img src="/img/vlm.svg" />Аудиони тинглаш</span><span onclick="lx_cl(1923011)"><img src="/img/lnk.svg" />Ҳужжат элементидан ҳавола олиш</span></div></div><div name="1923011" id="1923011">При уровнях активности, меньше приведенных в таблице, эффективная индивидуальная годовая доза облучения лиц из персонала и населения не превысит 10 мкЗв и в аварийных случаях 1 мЗв, а коллективная эффективная доза— 1 чел.-Зв при любых условиях использования. Эквивалентная доза на кожу не превысит 50 мЗв/год.</div></div><div class="ACT_TEXT lx_elem" onmousemove="lx_mo(event,1923013)"><div class="lx_elem2"><div class="lx_elem3"><span onclick="lx_sf(1923013)"><img src="/img/cmt.svg" />Ҳужжатга таклиф юбориш</span><span onclick="lx_pa(1923013)"><img src="/img/vlm.svg" />Аудиони тинглаш</span><span onclick="lx_cl(1923013)"><img src="/img/lnk.svg" />Ҳужжат элементидан ҳавола олиш</span></div></div><div name="1923013" id="1923013">Природные радионуклиды оценивались при их попадании в потребительские товары из техногенных источников (например, Ra-226, Po-210) или по их химической токсичности (для тория, урана и др.).</div></div><div class="ACT_TEXT lx_elem" onmousemove="lx_mo(event,1923014)"><div class="lx_elem2"><div class="lx_elem3"><span onclick="lx_sf(1923014)"><img src="/img/cmt.svg" />Ҳужжатга таклиф юбориш</span><span onclick="lx_pa(1923014)"><img src="/img/vlm.svg" />Аудиони тинглаш</span><span onclick="lx_cl(1923014)"><img src="/img/lnk.svg" />Ҳужжат элементидан ҳавола олиш</span></div></div><div name="1923014" id="1923014">Если присутствует несколько нуклидов, то сумма отношений активности к их табличным значениям не должна превышать единицу. Приведенные в <a href="/docs/1908086#1923006">таблице 8.4.</a> радионуклиды в зависимости от минимально значимой суммарной активности (МЗА) делятся на 4 группы радиационной опасности:</div></div><div class="ACT_TEXT lx_elem" onmousemove="lx_mo(event,1923016)"><div class="lx_elem2"><div class="lx_elem3"><span onclick="lx_sf(1923016)"><img src="/img/cmt.svg" />Ҳужжатга таклиф юбориш</span><span onclick="lx_pa(1923016)"><img src="/img/vlm.svg" />Аудиони тинглаш</span><span onclick="lx_cl(1923016)"><img src="/img/lnk.svg" />Ҳужжат элементидан ҳавола олиш</span></div></div><div name="1923016" id="1923016">А— 1 х 10<sup>3</sup> Бк;</div></div><div class="ACT_TEXT lx_elem" onmousemove="lx_mo(event,1923017)"><div class="lx_elem2"><div class="lx_elem3"><span onclick="lx_sf(1923017)"><img src="/img/cmt.svg" />Ҳужжатга таклиф юбориш</span><span onclick="lx_pa(1923017)"><img src="/img/vlm.svg" />Аудиони тинглаш</span><span onclick="lx_cl(1923017)"><img src="/img/lnk.svg" />Ҳужжат элементидан ҳавола олиш</span></div></div><div name="1923017" id="1923017">Б — 1х10<sup>4</sup>и 1х10<sup>5</sup>Бк;</div></div><div class="ACT_TEXT lx_elem" onmousemove="lx_mo(event,1923018)"><div class="lx_elem2"><div class="lx_elem3"><span onclick="lx_sf(1923018)"><img src="/img/cmt.svg" />Ҳужжатга таклиф юбориш</span><span onclick="lx_pa(1923018)"><img src="/img/vlm.svg" />Аудиони тинглаш</span><span onclick="lx_cl(1923018)"><img src="/img/lnk.svg" />Ҳужжат элементидан ҳавола олиш</span></div></div><div name="1923018" id="1923018">В — 1х10<sup>6</sup>и 1х10<sup>7</sup>Бк; .</div></div><div class="ACT_TEXT lx_elem" onmousemove="lx_mo(event,1923019)"><div class="lx_elem2"><div class="lx_elem3"><span onclick="lx_sf(1923019)"><img src="/img/cmt.svg" />Ҳужжатга таклиф юбориш</span><span onclick="lx_pa(1923019)"><img src="/img/vlm.svg" />Аудиони тинглаш</span><span onclick="lx_cl(1923019)"><img src="/img/lnk.svg" />Ҳужжат элементидан ҳавола олиш</span></div></div><div name="1923019" id="1923019">Г— 1х10<sup>8</sup> и 1х10<sup>9</sup> Бк, а также Kr-83m, Kr-85m и Xe-135m.</div></div><div class="ACT_TEXT lx_elem" onmousemove="lx_mo(event,1923020)"><div class="lx_elem2"><div class="lx_elem3"><span onclick="lx_sf(1923020)"><img src="/img/cmt.svg" />Ҳужжатга таклиф юбориш</span><span onclick="lx_pa(1923020)"><img src="/img/vlm.svg" />Аудиони тинглаш</span><span onclick="lx_cl(1923020)"><img src="/img/lnk.svg" />Ҳужжат элементидан ҳавола олиш</span></div></div><div name="1923020" id="1923020">МЗУА, МЗА и группы радиационной опасности радионуклидов, не указанных в таблице, устанавливаются Министерством здравоохранения Республики Узбекистан.</div></div><div class="TABLE_STD lx_elem" id="theDefCssID" onmousemove="lx_mo(event,1923038)"><div class="lx_elem2"><div class="lx_elem3"><span onclick="lx_sf(1923038)"><img src="/img/cmt.svg" />Ҳужжатга таклиф юбориш</span><span onclick="lx_pa(1923038)"><img src="/img/vlm.svg" />Аудиони тинглаш</span><span onclick="lx_cl(1923038)"><img src="/img/lnk.svg" />Ҳужжат элементидан ҳавола олиш</span></div></div><div name="1923038" id="1923038" class="tabBox"><table id="theTableID" style="TABLE-LAYOUT: auto; PADDING-RIGHT: 0px; ; PADDING-LEFT: 0px; LEFT: 2px; PADDING-BOTTOM: 0px; WIDTH: 100%; BORDER-TOP-STYLE: none; PADDING-TOP: 0px; BORDER-RIGHT-STYLE: none; BORDER-LEFT-STYLE: none; TOP: 0px; BORDER-BOTTOM-STYLE: none" cellspacing="1" cols="5" border="1">
<colgroup>
<col />
<col />
<col />
<col />
<col /></colgroup>
<tbody>
<tr>
<td style="BORDER-TOP-STYLE: none; BORDER-RIGHT-STYLE: none; BORDER-LEFT-STYLE: none; BORDER-BOTTOM-STYLE: none">‎</td>
<td style="BORDER-TOP-STYLE: none; BORDER-RIGHT-STYLE: none; BORDER-LEFT-STYLE: none; BORDER-BOTTOM-STYLE: none">‎</td>
<td style="BORDER-TOP-STYLE: none; BORDER-RIGHT-STYLE: none; BORDER-LEFT-STYLE: none; BORDER-BOTTOM-STYLE: none">‎</td>
<td style="BORDER-TOP-STYLE: none; BORDER-RIGHT-STYLE: none; BORDER-LEFT-STYLE: none; BORDER-BOTTOM-STYLE: none">‎</td>
<td style="BORDER-TOP-STYLE: none; BORDER-RIGHT-STYLE: none; BORDER-LEFT-STYLE: none; BORDER-BOTTOM-STYLE: none">
<p align="right">Таблица 8.<strong>5‎</strong></p></td></tr>
<tr>
<td style="BORDER-TOP-STYLE: none; BORDER-RIGHT-STYLE: none; BORDER-LEFT-STYLE: none; BORDER-BOTTOM-STYLE: none" colspan="5">
<p align="center"><strong>Значения эквивалентной дозы и среднегодовые допустимые плотности потока моноэнер‎‎гетических электронов для лиц из персонала при облучении кожи</strong></p></td></tr>
<tr>
<td style="VERTICAL-ALIGN: middle" rowspan="2">
<p align="center"><strong>Энергия электронов, МэВ‎‏</strong></p></td>
<td colspan="2">
<p align="center"><strong>Эквивалентная доза в коже на. единичный флюенс, ИГ<sup>-10</sup> Зв см<sup>2</sup>‎‎</strong></p></td>
<td style="VERTICAL-ALIGN: middle" colspan="2">
<p align="center"><strong>Среднегодовая допустимая плотность потока ДПП<sub>перс</sub>, см<sup>-2.</sup>с<sup>-1</sup>‎‎‎</strong></p></td></tr>
<tr>
<td>
<p align="center"><strong><a href="/docs/1908086#1923072">*</a>ИЗО</strong></p></td>
<td>
<p align="center"><strong><a href="/docs/1908086#1923074">*</a>ПЗ‎</strong></p></td>
<td>
<p align="center"><strong><a href="/docs/1908086#1923072">*</a>ИЗО‎</strong></p></td>
<td>
<p align="center"><strong><a href="/docs/1908086#1923074">*</a>ПЗ‎</strong></p></td></tr>
<tr>
<td>
<p align="center"><strong>‎1</strong></p></td>
<td>
<p align="center"><strong>‎2</strong></p></td>
<td>
<p align="center"><strong>3‎</strong></p></td>
<td>
<p align="center"><strong>‎4</strong></p></td>
<td>
<p align="center"><strong>5‎</strong></p></td></tr>
<tr>
<td>
<p align="center">0,07‎</p></td>
<td>
<p align="center">0,3‎</p></td>
<td>
<p align="center">2,2‎</p></td>
<td>
<p align="center">2700‎</p></td>
<td>
<p align="center">370‎</p></td></tr>
<tr>
<td>
<p align="center">0,10‎</p></td>
<td>
<p align="center">5,7‎</p></td>
<td>
<p align="center">16,6‎</p></td>
<td>
<p align="center">140‎</p></td>
<td>
<p align="center">50‎</p></td></tr>
<tr>
<td>
<p align="center">0,20‎</p></td>
<td>
<p align="center">5,6‎</p></td>
<td>
<p align="center">8,3‎</p></td>
<td>
<p align="center">140‎</p></td>
<td>
<p align="center">100‎</p></td></tr>
<tr>
<td>
<p align="center">0,40‎</p></td>
<td>
<p align="center">4,3‎</p></td>
<td>
<p align="center">4,6‎</p></td>
<td>
<p align="center">190‎</p></td>
<td>
<p align="center">180‎</p></td></tr>
<tr>
<td>
<p align="center">1‎</p></td>
<td>
<p align="center">2‎</p></td>
<td>
<p align="center">3‎</p></td>
<td>
<p align="center">4‎</p></td>
<td>
<p align="center">5‎</p></td></tr>
<tr>
<td>
<p align="center">0,70‎</p></td>
<td>
<p align="center">3,7‎</p></td>
<td>
<p align="center">3,4‎</p></td>
<td>
<p align="center">220‎</p></td>
<td>
<p align="center">240‎</p></td></tr>
<tr>
<td>
<p align="center">1,00‎</p></td>
<td>
<p align="center">3,5‎</p></td>
<td>
<p align="center">‎</p></td>
<td>
<p align="center">230‎</p></td>
<td>
<p align="center">260‎</p></td></tr>
<tr>
<td>
<p align="center">1‎</p></td>
<td>
<p align="center">2‎</p></td>
<td>
<p align="center">3‎</p></td>
<td>
<p align="center">4</p></td>
<td>
<p align="center">5‎</p></td></tr>
<tr>
<td>
<p align="center">2,00‎</p></td>
<td>
<p align="center">3,2‎</p></td>
<td>
<p align="center">2,8‎</p></td>
<td>
<p align="center">260‎</p></td>
<td>
<p align="center">290‎</p></td></tr>
<tr>
<td>
<p align="center">4,00‎</p></td>
<td>
<p align="center">3,2‎</p></td>
<td>
<p align="center">2,7‎</p></td>
<td>
<p align="center">260‎</p></td>
<td>
<p align="center">300‎</p></td></tr>
<tr>
<td>
<p align="center">7,00‎</p></td>
<td>
<p align="center">3,2‎</p></td>
<td>
<p align="center">2,7‎</p></td>
<td>
<p align="center">260‎</p></td>
<td>
<p align="center">300‎</p></td></tr>
<tr>
<td>
<p align="center">10,0‎</p></td>
<td>
<p align="center">3,2‎</p></td>
<td>
<p align="center">2,7‎</p></td>
<td>
<p align="center">260‎</p></td>
<td>
<p align="center">300‎</p></td></tr></tbody></table></div></div><div class="FOOTNOTE lx_elem" onmousemove="lx_mo(event,1923072)"><div class="lx_elem2"><div class="lx_elem3"><span onclick="lx_sf(1923072)"><img src="/img/cmt.svg" />Ҳужжатга таклиф юбориш</span><span onclick="lx_pa(1923072)"><img src="/img/vlm.svg" />Аудиони тинглаш</span><span onclick="lx_cl(1923072)"><img src="/img/lnk.svg" />Ҳужжат элементидан ҳавола олиш</span></div></div><div name="1923072" id="1923072">Примечание: </div></div><div class="FOOTNOTE lx_elem" onmousemove="lx_mo(event,1928524)"><div class="lx_elem2"><div class="lx_elem3"><span onclick="lx_sf(1928524)"><img src="/img/cmt.svg" />Ҳужжатга таклиф юбориш</span><span onclick="lx_pa(1928524)"><img src="/img/vlm.svg" />Аудиони тинглаш</span><span onclick="lx_cl(1928524)"><img src="/img/lnk.svg" />Ҳужжат элементидан ҳавола олиш</span></div></div><div name="1928524" id="1928524">*ИЗО — изотропное (2π) поле излучения;</div></div><div class="FOOTNOTE lx_elem" onmousemove="lx_mo(event,1923074)"><div class="lx_elem2"><div class="lx_elem3"><span onclick="lx_sf(1923074)"><img src="/img/cmt.svg" />Ҳужжатга таклиф юбориш</span><span onclick="lx_pa(1923074)"><img src="/img/vlm.svg" />Аудиони тинглаш</span><span onclick="lx_cl(1923074)"><img src="/img/lnk.svg" />Ҳужжат элементидан ҳавола олиш</span></div></div><div name="1923074" id="1923074">*ПЗ — облучение параллельным пучком в переднее задней геометрии.</div></div><div class="TABLE_STD lx_elem" id="theDefCssID" onmousemove="lx_mo(event,1923086)"><div class="lx_elem2"><div class="lx_elem3"><span onclick="lx_sf(1923086)"><img src="/img/cmt.svg" />Ҳужжатга таклиф юбориш</span><span onclick="lx_pa(1923086)"><img src="/img/vlm.svg" />Аудиони тинглаш</span><span onclick="lx_cl(1923086)"><img src="/img/lnk.svg" />Ҳужжат элементидан ҳавола олиш</span></div></div><div name="1923086" id="1923086" class="tabBox"><table id="theTableID" style="TABLE-LAYOUT: auto; PADDING-RIGHT: 0px; ; PADDING-LEFT: 0px; LEFT: 2px; PADDING-BOTTOM: 0px; WIDTH: 100%; BORDER-TOP-STYLE: none; PADDING-TOP: 0px; BORDER-RIGHT-STYLE: none; BORDER-LEFT-STYLE: none; TOP: 0px; BORDER-BOTTOM-STYLE: none" cellspacing="1" cols="5" border="1">
<colgroup>
<col />
<col />
<col />
<col />
<col /></colgroup>
<tbody>
<tr>
<td style="BORDER-TOP-STYLE: none; BORDER-RIGHT-STYLE: none; BORDER-LEFT-STYLE: none; BORDER-BOTTOM-STYLE: none">‎</td>
<td style="BORDER-TOP-STYLE: none; BORDER-RIGHT-STYLE: none; BORDER-LEFT-STYLE: none; BORDER-BOTTOM-STYLE: none">‎</td>
<td style="BORDER-TOP-STYLE: none; BORDER-RIGHT-STYLE: none; BORDER-LEFT-STYLE: none; BORDER-BOTTOM-STYLE: none">‎</td>
<td style="BORDER-TOP-STYLE: none; BORDER-RIGHT-STYLE: none; BORDER-LEFT-STYLE: none; BORDER-BOTTOM-STYLE: none">‎</td>
<td style="BORDER-TOP-STYLE: none; BORDER-RIGHT-STYLE: none; BORDER-LEFT-STYLE: none; BORDER-BOTTOM-STYLE: none">
<p align="right">Таблица 8.6‎</p></td></tr>
<tr>
<td style="BORDER-TOP-STYLE: none; BORDER-RIGHT-STYLE: none; BORDER-LEFT-STYLE: none; BORDER-BOTTOM-STYLE: none" colspan="5">
<p align="center"><strong>‎‎Значения эквивалентной дозы и среднегодовые допустимые плотности потока моноэнергетических электронов для лиц из персонала при облучении хрусталиков глаз</strong></p></td></tr>
<tr>
<td style="VERTICAL-ALIGN: middle" rowspan="2">
<p align="center"><strong>Энергия электронов, МэВ‎‏</strong></p></td>
<td colspan="2">
<p align="center"><strong>Эквивалентная доза в хрусталике на единичный флюенс, 10<sup>-10</sup> Зв-см<sup>2</sup>‎‎</strong></p></td>
<td colspan="2">
<p align="center"><strong>Среднегодовая допустимая плотность потока ДПП<sub>перс</sub>, см<sup>-2.</sup>с<sup>-1</sup>‎‎‎</strong></p></td></tr>
<tr>
<td>
<p align="center"><strong><a href="/docs/1908086#1923118">*</a>ИЗО‎</strong></p></td>
<td>
<p align="center"><strong><a href="/docs/1908086#1923122">*</a>ПЗ‎</strong></p></td>
<td>
<p align="center"><strong><a href="/docs/1908086#1923118">*</a>ИЗО‎‎</strong></p></td>
<td>
<p align="center"><strong><a href="/docs/1908086#1923122">*</a>ПЗ‎‎</strong></p></td></tr>
<tr>
<td>
<p align="center">0,80‎</p></td>
<td>
<p align="center">0,08‎</p></td>
<td>
<p align="center">0,45‎</p></td>
<td>
<p align="center">3100‎</p></td>
<td>
<p align="center">540‎</p></td></tr>
<tr>
<td>
<p align="center">1,00‎</p></td>
<td>
<p align="center">0,75‎</p></td>
<td>
<p align="center">3,0‎</p></td>
<td>
<p align="center">330‎</p></td>
<td>
<p align="center">80‎</p></td></tr>
<tr>
<td>
<p align="center">1,50‎</p></td>
<td>
<p align="center">1,9‎</p></td>
<td>
<p align="center">5,2‎</p></td>
<td>
<p align="center">130‎</p></td>
<td>
<p align="center">50‎</p></td></tr>
<tr>
<td>
<p align="center">2,00‎</p></td>
<td>
<p align="center">1,9‎</p></td>
<td>
<p align="center">4,8‎</p></td>
<td>
<p align="center">110‎</p></td>
<td>
<p align="center">50‎</p></td></tr>
<tr>
<td>
<p align="center">4,00‎</p></td>
<td>
<p align="center">2,6‎</p></td>
<td>
<p align="center">3,3‎</p></td>
<td>
<p align="center">95‎</p></td>
<td>
<p align="center">75‎</p></td></tr>
<tr>
<td>
<p align="center">7,00‎</p></td>
<td>
<p align="center">2,9‎</p></td>
<td>
<p align="center">3,1‎</p></td>
<td>
<p align="center">85‎</p></td>
<td>
<p align="center">80‎</p></td></tr>
<tr>
<td>
<p align="center">10,0‎</p></td>
<td>
<p align="center">3,0‎</p></td>
<td>
<p align="center">3,0‎</p></td>
<td>
<p align="center">80‎</p></td>
<td>
<p align="center">80‎</p></td></tr></tbody></table></div></div><div class="FOOTNOTE lx_elem" onmousemove="lx_mo(event,1928525)"><div class="lx_elem2"><div class="lx_elem3"><span onclick="lx_sf(1928525)"><img src="/img/cmt.svg" />Ҳужжатга таклиф юбориш</span><span onclick="lx_pa(1928525)"><img src="/img/vlm.svg" />Аудиони тинглаш</span><span onclick="lx_cl(1928525)"><img src="/img/lnk.svg" />Ҳужжат элементидан ҳавола олиш</span></div></div><div name="1928525" id="1928525">Примечание:</div></div><div class="FOOTNOTE lx_elem" onmousemove="lx_mo(event,1923118)"><div class="lx_elem2"><div class="lx_elem3"><span onclick="lx_sf(1923118)"><img src="/img/cmt.svg" />Ҳужжатга таклиф юбориш</span><span onclick="lx_pa(1923118)"><img src="/img/vlm.svg" />Аудиони тинглаш</span><span onclick="lx_cl(1923118)"><img src="/img/lnk.svg" />Ҳужжат элементидан ҳавола олиш</span></div></div><div name="1923118" id="1923118">* ИЗО — изотропное (2π) поле излучения; </div></div><div class="FOOTNOTE lx_elem" onmousemove="lx_mo(event,1923122)"><div class="lx_elem2"><div class="lx_elem3"><span onclick="lx_sf(1923122)"><img src="/img/cmt.svg" />Ҳужжатга таклиф юбориш</span><span onclick="lx_pa(1923122)"><img src="/img/vlm.svg" />Аудиони тинглаш</span><span onclick="lx_cl(1923122)"><img src="/img/lnk.svg" />Ҳужжат элементидан ҳавола олиш</span></div></div><div name="1923122" id="1923122">*ПЗ — облучение параллельным пучком в переднезадней геометрии.</div></div><div class="TEXT_CENTER lx_elem" onmousemove="lx_mo(event,1928540)"><div class="lx_elem2"><div class="lx_elem3"><span onclick="lx_sf(1928540)"><img src="/img/cmt.svg" />Ҳужжатга таклиф юбориш</span><span onclick="lx_pa(1928540)"><img src="/img/vlm.svg" />Аудиони тинглаш</span><span onclick="lx_cl(1928540)"><img src="/img/lnk.svg" />Ҳужжат элементидан ҳавола олиш</span></div></div><div name="1928540" id="1928540">Ф = dN / dα, м<sup>2</sup></div></div><div class="ACT_TEXT lx_elem" onmousemove="lx_mo(event,1923151)"><div class="lx_elem2"><div class="lx_elem3"><span onclick="lx_sf(1923151)"><img src="/img/cmt.svg" />Ҳужжатга таклиф юбориш</span><span onclick="lx_pa(1923151)"><img src="/img/vlm.svg" />Аудиони тинглаш</span><span onclick="lx_cl(1923151)"><img src="/img/lnk.svg" />Ҳужжат элементидан ҳавола олиш</span></div></div><div name="1923151" id="1923151"><strong>Флюенс частиц Ф</strong>— отношение dN/dα, где dN— количество частиц, падающих на сферу с площадью поперечного сечения dα:</div></div><div class="TEXT_CENTER lx_elem" onmousemove="lx_mo(event,1923154)"><div class="lx_elem2"><div class="lx_elem3"><span onclick="lx_sf(1923154)"><img src="/img/cmt.svg" />Ҳужжатга таклиф юбориш</span><span onclick="lx_pa(1923154)"><img src="/img/vlm.svg" />Аудиони тинглаш</span><span onclick="lx_cl(1923154)"><img src="/img/lnk.svg" />Ҳужжат элементидан ҳавола олиш</span></div></div><div name="1923154" id="1923154">Ф = dN/dα, м<sup>2</sup></div></div><div class="ACT_TEXT lx_elem" onmousemove="lx_mo(event,1923159)"><div class="lx_elem2"><div class="lx_elem3"><span onclick="lx_sf(1923159)"><img src="/img/cmt.svg" />Ҳужжатга таклиф юбориш</span><span onclick="lx_pa(1923159)"><img src="/img/vlm.svg" />Аудиони тинглаш</span><span onclick="lx_cl(1923159)"><img src="/img/lnk.svg" />Ҳужжат элементидан ҳавола олиш</span></div></div><div name="1923159" id="1923159"><strong>Плотность потока частиц n</strong> — отношение dN/(dα-dt), где dN - количество частиц, падающих на сферу с площадью поперечного сечения da за интервал времени dt:</div></div><div class="TEXT_CENTER lx_elem" onmousemove="lx_mo(event,1923162)"><div class="lx_elem2"><div class="lx_elem3"><span onclick="lx_sf(1923162)"><img src="/img/cmt.svg" />Ҳужжатга таклиф юбориш</span><span onclick="lx_pa(1923162)"><img src="/img/vlm.svg" />Аудиони тинглаш</span><span onclick="lx_cl(1923162)"><img src="/img/lnk.svg" />Ҳужжат элементидан ҳавола олиш</span></div></div><div name="1923162" id="1923162"><strong>n</strong> = dN/(dα dt), м<sup>-2.</sup>с<sup>-1<sub>;</sub></sup></div></div><div class="TEXT_CENTER lx_elem" onmousemove="lx_mo(event,1928553)"><div class="lx_elem2"><div class="lx_elem3"><span onclick="lx_sf(1928553)"><img src="/img/cmt.svg" />Ҳужжатга таклиф юбориш</span><span onclick="lx_pa(1928553)"><img src="/img/vlm.svg" />Аудиони тинглаш</span><span onclick="lx_cl(1928553)"><img src="/img/lnk.svg" />Ҳужжат элементидан ҳавола олиш</span></div></div><div name="1928553" id="1928553"><strong>n</strong> = dN / (dα dt),m<sup>-2</sup> c<sup>-1</sup> ,<sup></sup></div></div><div class="TABLE_STD lx_elem" id="theDefCssID" onmousemove="lx_mo(event,1923185)"><div class="lx_elem2"><div class="lx_elem3"><span onclick="lx_sf(1923185)"><img src="/img/cmt.svg" />Ҳужжатга таклиф юбориш</span><span onclick="lx_pa(1923185)"><img src="/img/vlm.svg" />Аудиони тинглаш</span><span onclick="lx_cl(1923185)"><img src="/img/lnk.svg" />Ҳужжат элементидан ҳавола олиш</span></div></div><div name="1923185" id="1923185" class="tabBox"><table id="theTableID" style="TABLE-LAYOUT: auto; PADDING-RIGHT: 0px; ; PADDING-LEFT: 0px; LEFT: 2px; PADDING-BOTTOM: 0px; WIDTH: 100%; BORDER-TOP-STYLE: none; PADDING-TOP: 0px; BORDER-RIGHT-STYLE: none; BORDER-LEFT-STYLE: none; TOP: 0px; BORDER-BOTTOM-STYLE: none" cellspacing="1" cols="3" border="1">
<colgroup>
<col />
<col />
<col /></colgroup>
<tbody>
<tr>
<td style="BORDER-TOP-STYLE: none; BORDER-RIGHT-STYLE: none; BORDER-LEFT-STYLE: none; BORDER-BOTTOM-STYLE: none">‎</td>
<td style="BORDER-TOP-STYLE: none; BORDER-RIGHT-STYLE: none; BORDER-LEFT-STYLE: none; BORDER-BOTTOM-STYLE: none">‎</td>
<td style="BORDER-TOP-STYLE: none; BORDER-RIGHT-STYLE: none; BORDER-LEFT-STYLE: none; BORDER-BOTTOM-STYLE: none">
<p align="right">Таблица 8.7‎</p></td></tr>
<tr>
<td style="BORDER-TOP-STYLE: none; BORDER-RIGHT-STYLE: none; BORDER-LEFT-STYLE: none; BORDER-BOTTOM-STYLE: none" colspan="3">
<p align="center"><strong>Значения эквивалентной дозы и среднегодовые допустимые плотности потока бета-частиц для лиц из персонала при контактном облучении кожи</strong></p></td></tr>
<tr>
<td>
<p align="center"><strong>Средняя энергия бетаспектра, МэВ‎</strong></p></td>
<td>
<p align="center"><strong>Эквивалентная доза в коже на единичный флюенс, 10<sup>-10</sup> Зв см<sup>2</sup>‎</strong></p></td>
<td>
<p align="center"><strong>Среднегодовая допустимая плотность потока ДПП<sub>перс</sub>, см<sup>-2</sup> с</strong><sup><strong>-1</strong></sup></p></td></tr>
<tr>
<td>
<p align="center">0,05‎</p></td>
<td>
<p align="center">1,0‎</p></td>
<td>
<p align="center">820‎</p></td></tr>
<tr>
<td>
<p align="center">0,07‎</p></td>
<td>
<p align="center">1,8‎</p></td>
<td>
<p align="center">450‎</p></td></tr>
<tr>
<td>
<p align="center">0,10‎</p></td>
<td>
<p align="center">2,6‎</p></td>
<td>
<p align="center">310‎</p></td></tr>
<tr>
<td>
<p align="center">0,15‎</p></td>
<td>
<p align="center">3,4‎</p></td>
<td>
<p align="center">240‎</p></td></tr>
<tr>
<td>
<p align="center">0,20‎</p></td>
<td>
<p align="center">3,8‎</p></td>
<td>
<p align="center">215‎</p></td></tr>
<tr>
<td>
<p align="center">0,30‎</p></td>
<td>
<p align="center">4,3‎</p></td>
<td>
<p align="center">190‎</p></td></tr>
<tr>
<td>
<p align="center">0,40‎</p></td>
<td>
<p align="center">4,5‎</p></td>
<td>
<p align="center">180‎</p></td></tr>
<tr>
<td>
<p align="center">0,50‎</p></td>
<td>
<p align="center">4,6‎</p></td>
<td>
<p align="center">180‎</p></td></tr>
<tr>
<td>
<p align="center">0,70‎</p></td>
<td>
<p align="center">4,8‎</p></td>
<td>
<p align="center">170‎</p></td></tr>
<tr>
<td>
<p align="center">1,00‎</p></td>
<td>
<p align="center">5,0‎</p></td>
<td>
<p align="center">165‎</p></td></tr>
<tr>
<td>
<p align="center">1,50‎</p></td>
<td>
<p align="center">5,2‎</p></td>
<td>
<p align="center">160‎</p></td></tr>
<tr>
<td>
<p align="center">2,00‎</p></td>
<td>
<p align="center">5,3‎</p></td>
<td>
<p align="center">155‎</p></td></tr></tbody></table></div></div><div class="TABLE_STD lx_elem" id="theDefCssID" onmousemove="lx_mo(event,1923191)"><div class="lx_elem2"><div class="lx_elem3"><span onclick="lx_sf(1923191)"><img src="/img/cmt.svg" />Ҳужжатга таклиф юбориш</span><span onclick="lx_pa(1923191)"><img src="/img/vlm.svg" />Аудиони тинглаш</span><span onclick="lx_cl(1923191)"><img src="/img/lnk.svg" />Ҳужжат элементидан ҳавола олиш</span></div></div><div name="1923191" id="1923191" class="tabBox"><table id="theTableID" style="TABLE-LAYOUT: auto; PADDING-RIGHT: 0px; ; PADDING-LEFT: 0px; LEFT: 2px; PADDING-BOTTOM: 0px; WIDTH: 100%; BORDER-TOP-STYLE: none; PADDING-TOP: 0px; BORDER-RIGHT-STYLE: none; BORDER-LEFT-STYLE: none; TOP: 0px; BORDER-BOTTOM-STYLE: none" cellspacing="1" cols="6" border="1">
<colgroup>
<col />
<col />
<col />
<col />
<col />
<col /></colgroup>
<tbody>
<tr>
<td style="BORDER-TOP-STYLE: none; BORDER-RIGHT-STYLE: none; BORDER-LEFT-STYLE: none; BORDER-BOTTOM-STYLE: none">‎</td>
<td style="BORDER-TOP-STYLE: none; BORDER-RIGHT-STYLE: none; BORDER-LEFT-STYLE: none; BORDER-BOTTOM-STYLE: none">‎</td>
<td style="BORDER-TOP-STYLE: none; BORDER-RIGHT-STYLE: none; BORDER-LEFT-STYLE: none; BORDER-BOTTOM-STYLE: none">‎</td>
<td style="BORDER-TOP-STYLE: none; BORDER-RIGHT-STYLE: none; BORDER-LEFT-STYLE: none; BORDER-BOTTOM-STYLE: none">‎</td>
<td style="BORDER-TOP-STYLE: none; BORDER-RIGHT-STYLE: none; BORDER-LEFT-STYLE: none; BORDER-BOTTOM-STYLE: none">‎</td>
<td style="BORDER-TOP-STYLE: none; BORDER-RIGHT-STYLE: none; BORDER-LEFT-STYLE: none; BORDER-BOTTOM-STYLE: none">
<p align="right">Таблица 8.8‎</p></td></tr>
<tr>
<td style="BORDER-TOP-STYLE: none; BORDER-RIGHT-STYLE: none; BORDER-LEFT-STYLE: none; BORDER-BOTTOM-STYLE: none" colspan="6">
<p align="center"><strong>Значения эффективной дозы и среднегодовые допустимые плотности потока моноэнергетических фотонов для лиц из персонала при внешнем облучении всего тела</strong></p></td></tr>
<tr>
<td rowspan="2">
<p align="center"><strong>Энергия фотонов, МэВ‎</strong></p></td>
<td colspan="2">
<p align="center"><strong>‎‎Эффективная доза на единичный флюенс, 10<sup>-12</sup> Зв см<sup>2</sup></strong></p></td>
<td colspan="2">
<p align="center"><strong>‎‎Среднегодовая допустимая плотность потока, ДПП<sub>перс</sub>, см<sup>-2</sup> с<sup>-1</sup></strong></p></td>
<td rowspan="2">
<p align="center"><strong>Керма в воздухе на единичный флюенс, 10<sup>-12</sup> Гр см<sup>2</sup>‎</strong></p></td></tr>
<tr>
<td>
<p align="center"><strong><a href="/docs/1908086#1928528">*</a>ИЗО‎</strong></p></td>
<td>
<p align="center"><strong><a href="/docs/1908086#1923456">*</a>ПЗ</strong></p></td>
<td>
<p align="center"><strong><a href="/docs/1908086#1928528">*</a>ИЗО‎‎ </strong></p></td>
<td>
<p align="center"><strong>‎‎ ‎<a href="/docs/1908086#1923456">*</a>ПЗ‎ </strong></p></td></tr>
<tr>
<td>
<p align="center">1,0-2‎</p></td>
<td>
<p align="center">0,0201‎</p></td>
<td>
<p align="center">0,0485</p></td>
<td>
<p align="center">1,63+05‎</p></td>
<td>
<p align="center">6,77+04‎</p></td>
<td>
<p align="center">7,43‎</p></td></tr>
<tr>
<td>
<p align="center">1,5-2‎</p></td>
<td>
<p align="center">0,0384‎</p></td>
<td>
<p align="center">0,125</p></td>
<td>
<p align="center">8,73+04‎</p></td>
<td>
<p align="center">2,62+04‎</p></td>
<td>
<p align="center">3,12‎</p></td></tr>
<tr>
<td>
<p align="center">3,0-2‎</p></td>
<td>
<p align="center">0,103‎</p></td>
<td>
<p align="center">0,300</p></td>
<td>
<p align="center">3,24+04‎</p></td>
<td>
<p align="center">1,08+04‎</p></td>
<td>
<p align="center">0,721‎</p></td></tr>
<tr>
<td>
<p align="center">4,0-2‎</p></td>
<td>
<p align="center">0,140‎</p></td>
<td>
<p align="center">0,338</p></td>
<td>
<p align="center">2,31+04‎</p></td>
<td>
<p align="center">9,65+03‎</p></td>
<td>
<p align="center">0,429‎</p></td></tr>
<tr>
<td>
<p align="center">5,0-2‎</p></td>
<td>
<p align="center">0,165‎</p></td>
<td>
<p align="center">0,357</p></td>
<td>
<p align="center">1,99+04‎</p></td>
<td>
<p align="center">9,12+03‎</p></td>
<td>
<p align="center">0,323‎</p></td></tr>
<tr>
<td>
<p align="center">6,0-2‎</p></td>
<td>
<p align="center">0,186‎</p></td>
<td>
<p align="center">0,378</p></td>
<td>
<p align="center">1,77+04‎</p></td>
<td>
<p align="center">8,63+03‎</p></td>
<td>
<p align="center">0,289‎</p></td></tr>
<tr>
<td>
<p align="center">8,0-2‎</p></td>
<td>
<p align="center">0,230‎</p></td>
<td>
<p align="center">0,440</p></td>
<td>
<p align="center">1,42+04‎</p></td>
<td>
<p align="center">7,44+03‎</p></td>
<td>
<p align="center">0,307‎</p></td></tr>
<tr>
<td>
<p align="center">1,0-1‎</p></td>
<td>
<p align="center">0,278‎</p></td>
<td>
<p align="center">0,517</p></td>
<td>
<p align="center">1,18+04‎</p></td>
<td>
<p align="center">6,33+03‎</p></td>
<td>
<p align="center">0,371‎</p></td></tr>
<tr>
<td>
<p align="center">1,5-1‎</p></td>
<td>
<p align="center">0,419‎</p></td>
<td>
<p align="center">0,752</p></td>
<td>
<p align="center">7,79+03‎</p></td>
<td>
<p align="center">4,33+03‎</p></td>
<td>
<p align="center">0,599‎</p></td></tr>
<tr>
<td>
<p align="center">2,0-1‎</p></td>
<td>
<p align="center">0,581‎</p></td>
<td>
<p align="center">1,00</p></td>
<td>
<p align="center">5,61+03‎</p></td>
<td>
<p align="center">3,28+03‎</p></td>
<td>
<p align="center">0,856‎</p></td></tr>
<tr>
<td>
<p align="center">3,0-1‎</p></td>
<td>
<p align="center">0,916‎</p></td>
<td>
<p align="center">1,51</p></td>
<td>
<p align="center">3,54+03‎</p></td>
<td>
<p align="center">2,17+03‎</p></td>
<td>
<p align="center">1,38‎</p></td></tr>
<tr>
<td>
<p align="center">4,0-1‎</p></td>
<td>
<p align="center">1,26‎</p></td>
<td>
<p align="center">2,00</p></td>
<td>
<p align="center">2,59+03‎</p></td>
<td>
<p align="center">1,63+03‎</p></td>
<td>
<p align="center">1,89‎</p></td></tr>
<tr>
<td>
<p align="center">5,0-1‎</p></td>
<td>
<p align="center">1,61‎</p></td>
<td>
<p align="center">2,47</p></td>
<td>
<p align="center">2,02+03‎</p></td>
<td>
<p align="center">1,32+03‎</p></td>
<td>
<p align="center">2,38‎</p></td></tr>
<tr>
<td>
<p align="center">6,0-1‎</p></td>
<td>
<p align="center">1,94‎</p></td>
<td>
<p align="center">2,91</p></td>
<td>
<p align="center">1,69+03‎</p></td>
<td>
<p align="center">1,12+03‎</p></td>
<td>
<p align="center">2,84‎</p></td></tr>
<tr>
<td>
<p align="center">8,0-1‎</p></td>
<td>
<p align="center">2,59</p></td>
<td>
<p align="center">3,73</p></td>
<td>
<p align="center">1,26+03‎</p></td>
<td>
<p align="center">8,73+02‎</p></td>
<td>
<p align="center">3,69‎</p></td></tr>
<tr>
<td>
<p align="center">1,0</p></td>
<td>
<p align="center">3,21</p></td>
<td>
<p align="center">4,48</p></td>
<td>
<p align="center">1,01+03</p></td>
<td>
<p align="center">7,33+02‎</p></td>
<td>
<p align="center">4,47‎</p></td></tr>
<tr>
<td>
<p align="center">2,0</p></td>
<td>
<p align="center">5,84</p></td>
<td>
<p align="center">7,49</p></td>
<td>
<p align="center">5,63+02</p></td>
<td>
<p align="center">4,38+02‎</p></td>
<td>
<p align="center">7,55‎</p></td></tr>
<tr>
<td>
<p align="center">4,0</p></td>
<td>
<p align="center">9,97</p></td>
<td>
<p align="center">12,0</p></td>
<td>
<p align="center">3,28+02‎‎</p></td>
<td>
<p align="center">2,73+02‎</p></td>
<td>
<p align="center">12,1‎</p></td></tr>
<tr>
<td>
<p align="center">6,0</p></td>
<td>
<p align="center">13,6</p></td>
<td>
<p align="center">16,0</p></td>
<td>
<p align="center">2,38+02</p></td>
<td>
<p align="center">2,05+02‎</p></td>
<td>
<p align="center">16,1‎</p></td></tr>
<tr>
<td>
<p align="center">8,0</p></td>
<td>
<p align="center">17,3</p></td>
<td>
<p align="center">19,9</p></td>
<td>
<p align="center">1,89+02 ‎ ‎</p></td>
<td>
<p align="center">1,64+02‎</p></td>
<td>
<p align="center">20,1‎</p></td></tr>
<tr>
<td>
<p align="center">10,0‎</p></td>
<td>
<p align="center">20,0‎</p></td>
<td>
<p align="center">23,8‎</p></td>
<td>
<p align="center">1,56+02‎</p></td>
<td>
<p align="center">1,38+02</p></td>
<td>
<p align="center">24,0‎</p></td></tr></tbody></table></div></div><div class="FOOTNOTE lx_elem" onmousemove="lx_mo(event,1923455)"><div class="lx_elem2"><div class="lx_elem3"><span onclick="lx_sf(1923455)"><img src="/img/cmt.svg" />Ҳужжатга таклиф юбориш</span><span onclick="lx_pa(1923455)"><img src="/img/vlm.svg" />Аудиони тинглаш</span><span onclick="lx_cl(1923455)"><img src="/img/lnk.svg" />Ҳужжат элементидан ҳавола олиш</span></div></div><div name="1923455" id="1923455">Примечание:</div></div><div class="FOOTNOTE lx_elem" onmousemove="lx_mo(event,1928528)"><div class="lx_elem2"><div class="lx_elem3"><span onclick="lx_sf(1928528)"><img src="/img/cmt.svg" />Ҳужжатга таклиф юбориш</span><span onclick="lx_pa(1928528)"><img src="/img/vlm.svg" />Аудиони тинглаш</span><span onclick="lx_cl(1928528)"><img src="/img/lnk.svg" />Ҳужжат элементидан ҳавола олиш</span></div></div><div name="1928528" id="1928528">*ИЗО — изотропное (4π) поле излучения;</div></div><div class="FOOTNOTE lx_elem" onmousemove="lx_mo(event,1923456)"><div class="lx_elem2"><div class="lx_elem3"><span onclick="lx_sf(1923456)"><img src="/img/cmt.svg" />Ҳужжатга таклиф юбориш</span><span onclick="lx_pa(1923456)"><img src="/img/vlm.svg" />Аудиони тинглаш</span><span onclick="lx_cl(1923456)"><img src="/img/lnk.svg" />Ҳужжат элементидан ҳавола олиш</span></div></div><div name="1923456" id="1923456">*ПЗ — облучение параллельным пучком в переднезадней геометрии.</div></div><div class="ACT_TEXT lx_elem" onmousemove="lx_mo(event,1923467)"><div class="lx_elem2"><div class="lx_elem3"><span onclick="lx_sf(1923467)"><img src="/img/cmt.svg" />Ҳужжатга таклиф юбориш</span><span onclick="lx_pa(1923467)"><img src="/img/vlm.svg" />Аудиони тинглаш</span><span onclick="lx_cl(1923467)"><img src="/img/lnk.svg" />Ҳужжат элементидан ҳавола олиш</span></div></div><div name="1923467" id="1923467">Керма — отношение суммы начальных кинетических энергий dE<sub>k</sub> всех заряженных ионизирующих частиц, образовавшихся под действием косвенно ионизирующего излучения в элементарном объеме вещества, к массе dm вещества в этом объеме: </div></div><div class="TEXT_CENTER lx_elem" onmousemove="lx_mo(event,1923468)"><div class="lx_elem2"><div class="lx_elem3"><span onclick="lx_sf(1923468)"><img src="/img/cmt.svg" />Ҳужжатга таклиф юбориш</span><span onclick="lx_pa(1923468)"><img src="/img/vlm.svg" />Аудиони тинглаш</span><span onclick="lx_cl(1923468)"><img src="/img/lnk.svg" />Ҳужжат элементидан ҳавола олиш</span></div></div><div name="1923468" id="1923468"><img src="/files/1928584" /></div></div><div class="ACT_TEXT lx_elem" onmousemove="lx_mo(event,1923469)"><div class="lx_elem2"><div class="lx_elem3"><span onclick="lx_sf(1923469)"><img src="/img/cmt.svg" />Ҳужжатга таклиф юбориш</span><span onclick="lx_pa(1923469)"><img src="/img/vlm.svg" />Аудиони тинглаш</span><span onclick="lx_cl(1923469)"><img src="/img/lnk.svg" />Ҳужжат элементидан ҳавола олиш</span></div></div><div name="1923469" id="1923469">Единица кермы— грей (Гр).</div></div><div class="ACT_TEXT lx_elem" onmousemove="lx_mo(event,1923470)"><div class="lx_elem2"><div class="lx_elem3"><span onclick="lx_sf(1923470)"><img src="/img/cmt.svg" />Ҳужжатга таклиф юбориш</span><span onclick="lx_pa(1923470)"><img src="/img/vlm.svg" />Аудиони тинглаш</span><span onclick="lx_cl(1923470)"><img src="/img/lnk.svg" />Ҳужжат элементидан ҳавола олиш</span></div></div><div name="1923470" id="1923470">Керма и поглощенная доза равны друг другу в той степени, с какой достигается равновесие заряженных частиц и с какой можно пренебречь тормозным излучением и ослаблением потока фотонов на пути пробега вторичных электронов.</div></div><div class="TABLE_STD lx_elem" id="theDefCssID" onmousemove="lx_mo(event,1923471)"><div class="lx_elem2"><div class="lx_elem3"><span onclick="lx_sf(1923471)"><img src="/img/cmt.svg" />Ҳужжатга таклиф юбориш</span><span onclick="lx_pa(1923471)"><img src="/img/vlm.svg" />Аудиони тинглаш</span><span onclick="lx_cl(1923471)"><img src="/img/lnk.svg" />Ҳужжат элементидан ҳавола олиш</span></div></div><div name="1923471" id="1923471" class="tabBox"><table id="theTableID" style="TABLE-LAYOUT: auto; PADDING-RIGHT: 0px; ; PADDING-LEFT: 0px; LEFT: 2px; PADDING-BOTTOM: 0px; WIDTH: 100%; BORDER-TOP-STYLE: none; PADDING-TOP: 0px; BORDER-RIGHT-STYLE: none; BORDER-LEFT-STYLE: none; TOP: 0px; BORDER-BOTTOM-STYLE: none" cellspacing="1" cols="5" border="1">
<colgroup>
<col />
<col />
<col />
<col />
<col /></colgroup>
<tbody>
<tr>
<td style="BORDER-TOP-STYLE: none; BORDER-RIGHT-STYLE: none; BORDER-LEFT-STYLE: none; BORDER-BOTTOM-STYLE: none">‎</td>
<td style="BORDER-TOP-STYLE: none; BORDER-RIGHT-STYLE: none; BORDER-LEFT-STYLE: none; BORDER-BOTTOM-STYLE: none">‎</td>
<td style="BORDER-TOP-STYLE: none; BORDER-RIGHT-STYLE: none; BORDER-LEFT-STYLE: none; BORDER-BOTTOM-STYLE: none">‎</td>
<td style="BORDER-TOP-STYLE: none; BORDER-RIGHT-STYLE: none; BORDER-LEFT-STYLE: none; BORDER-BOTTOM-STYLE: none">‎</td>
<td style="BORDER-TOP-STYLE: none; BORDER-RIGHT-STYLE: none; BORDER-LEFT-STYLE: none; BORDER-BOTTOM-STYLE: none">
<p align="right">Таблица 8.9‎</p></td></tr>
<tr>
<td style="BORDER-TOP-STYLE: none; BORDER-RIGHT-STYLE: none; BORDER-LEFT-STYLE: none; BORDER-BOTTOM-STYLE: none" colspan="5">
<p align="center"><strong>‎‎Значения эквивалентной дозы и среднегодовые допустимые плотности потока</strong></p></td></tr>
<tr>
<td rowspan="2">
<p align="center"><strong>‎‏Энергия фотонов, МэВ</strong></p></td>
<td colspan="2">
<p align="center"><strong>Эквивалентная доза в коже на единичный флюенс, 10<sup>-12</sup> Зв-см<sup>2</sup>‎‎‎</strong></p></td>
<td colspan="2">
<p align="center"><strong>Среднегодовая допустимая плотность потока ДПП<sub>перс</sub>, см<sup>-2</sup>-с<sup>-1</sup></strong></p></td></tr>
<tr>
<td>
<p align="center"><strong><a href="/docs/1908086#1923500">*</a>ИЗО‎</strong></p></td>
<td>
<p align="center"><strong><a href="/docs/1908086#1928532">*</a>ПЗ‎</strong></p></td>
<td>
<p align="center"><strong><a href="/docs/1908086#1923500">*</a>ИЗО‎</strong></p></td>
<td>
<p align="center"><strong><a href="/docs/1908086#1928532">*</a>ПЗ‎</strong></p></td></tr>
<tr>
<td>
<p align="center">1,0-2‎</p></td>
<td>
<p align="center">6,17‎</p></td>
<td>
<p align="center">7,06‎</p></td>
<td>
<p align="center">1,31+04‎</p></td>
<td>
<p align="center">1,16+04‎</p></td></tr>
<tr>
<td>
<p align="center">2,0-2‎</p></td>
<td>
<p align="center">1,66‎</p></td>
<td>
<p align="center">1,76‎</p></td>
<td>
<p align="center">4,96+04‎</p></td>
<td>
<p align="center">4,63+04‎</p></td></tr>
<tr>
<td>
<p align="center">3,0-2‎</p></td>
<td>
<p align="center">0,822‎</p></td>
<td>
<p align="center">0,880‎</p></td>
<td>
<p align="center">1,00+05‎</p></td>
<td>
<p align="center">9,25+04‎</p></td></tr>
<tr>
<td>
<p align="center">5,0-2‎</p></td>
<td>
<p align="center">0,462‎</p></td>
<td>
<p align="center">0,494‎</p></td>
<td>
<p align="center">1,81+05‎</p></td>
<td>
<p align="center">1,63+05‎</p></td></tr>
<tr>
<td>
<p align="center">1,0-1‎</p></td>
<td>
<p align="center">0,549‎</p></td>
<td>
<p align="center">0,575‎</p></td>
<td>
<p align="center">1,50+05‎</p></td>
<td>
<p align="center">1,42+05‎</p></td></tr>
<tr>
<td>
<p align="center">1,5-1‎</p></td>
<td>
<p align="center">0,827‎</p></td>
<td>
<p align="center">0,851‎</p></td>
<td>
<p align="center">9,74+04‎</p></td>
<td>
<p align="center">9,74+04‎</p></td></tr>
<tr>
<td>
<p align="center">3,0-1‎</p></td>
<td>
<p align="center">1,79‎</p></td>
<td>
<p align="center">1,81‎</p></td>
<td>
<p align="center">4,53+04‎</p></td>
<td>
<p align="center">4,53+04‎</p></td></tr>
<tr>
<td>
<p align="center">4,0-1‎</p></td>
<td>
<p align="center">2,38‎</p></td>
<td>
<p align="center">2,38‎</p></td>
<td>
<p align="center">3,38+04‎</p></td>
<td>
<p align="center">3,38+04‎</p></td></tr>
<tr>
<td>
<p align="center">5,0-1‎</p></td>
<td>
<p align="center">2,93‎</p></td>
<td>
<p align="center">2,93‎</p></td>
<td>
<p align="center">2,80+04‎</p></td>
<td>
<p align="center">2,80+04‎</p></td></tr>
<tr>
<td>
<p align="center">6,0-1‎</p></td>
<td>
<p align="center">3,44‎</p></td>
<td>
<p align="center">3,44‎</p></td>
<td>
<p align="center">2,40+04‎</p></td>
<td>
<p align="center">2,40+04‎</p></td></tr>
<tr>
<td>
<p align="center">8,0-1‎</p></td>
<td>
<p align="center">4,39‎</p></td>
<td>
<p align="center">4,39‎</p></td>
<td>
<p align="center">1,88+04‎</p></td>
<td>
<p align="center">1,88+04‎</p></td></tr>
<tr>
<td>
<p align="center">1,0‎</p></td>
<td>
<p align="center">5,23‎</p></td>
<td>
<p align="center">5,23‎</p></td>
<td>
<p align="center">1,55+04‎</p></td>
<td>
<p align="center">1,55+04‎</p></td></tr>
<tr>
<td>
<p align="center">2,0‎</p></td>
<td>
<p align="center">8,61‎</p></td>
<td>
<p align="center">8,61‎</p></td>
<td>
<p align="center">9,57+03‎</p></td>
<td>
<p align="center">9,57+03‎</p></td></tr>
<tr>
<td>
<p align="center">4,0‎</p></td>
<td>
<p align="center">13,6‎</p></td>
<td>
<p align="center">13,6‎</p></td>
<td>
<p align="center">6,08+03‎</p></td>
<td>
<p align="center">6,08+03‎</p></td></tr>
<tr>
<td>
<p align="center">6,0‎</p></td>
<td>
<p align="center">17,9‎</p></td>
<td>
<p align="center">17,9‎</p></td>
<td>
<p align="center">4,57+03‎</p></td>
<td>
<p align="center">4,57+03‎</p></td></tr>
<tr>
<td>
<p align="center">8,0‎</p></td>
<td>
<p align="center">22,3‎</p></td>
<td>
<p align="center">22,3‎</p></td>
<td>
<p align="center">3,66+03‎</p></td>
<td>
<p align="center">3,66+03‎</p></td></tr>
<tr>
<td>
<p align="center">10,0‎</p></td>
<td>
<p align="center">26,4‎</p></td>
<td>
<p align="center">26,4‎</p></td>
<td>
<p align="center">3,13+03‎</p></td>
<td>
<p align="center">3,13+03‎</p></td></tr></tbody></table></div></div><div class="FOOTNOTE lx_elem" onmousemove="lx_mo(event,1923500)"><div class="lx_elem2"><div class="lx_elem3"><span onclick="lx_sf(1923500)"><img src="/img/cmt.svg" />Ҳужжатга таклиф юбориш</span><span onclick="lx_pa(1923500)"><img src="/img/vlm.svg" />Аудиони тинглаш</span><span onclick="lx_cl(1923500)"><img src="/img/lnk.svg" />Ҳужжат элементидан ҳавола олиш</span></div></div><div name="1923500" id="1923500">*ИЗО — изотропное (2π) поле излучения;</div></div><div class="FOOTNOTE lx_elem" onmousemove="lx_mo(event,1928532)"><div class="lx_elem2"><div class="lx_elem3"><span onclick="lx_sf(1928532)"><img src="/img/cmt.svg" />Ҳужжатга таклиф юбориш</span><span onclick="lx_pa(1928532)"><img src="/img/vlm.svg" />Аудиони тинглаш</span><span onclick="lx_cl(1928532)"><img src="/img/lnk.svg" />Ҳужжат элементидан ҳавола олиш</span></div></div><div name="1928532" id="1928532">*ПЗ — облучение параллельным пучком в переднеезадней геометрии.</div></div><div class="TABLE_STD lx_elem" id="theDefCssID" onmousemove="lx_mo(event,1923503)"><div class="lx_elem2"><div class="lx_elem3"><span onclick="lx_sf(1923503)"><img src="/img/cmt.svg" />Ҳужжатга таклиф юбориш</span><span onclick="lx_pa(1923503)"><img src="/img/vlm.svg" />Аудиони тинглаш</span><span onclick="lx_cl(1923503)"><img src="/img/lnk.svg" />Ҳужжат элементидан ҳавола олиш</span></div></div><div name="1923503" id="1923503" class="tabBox"><table id="theTableID" style="TABLE-LAYOUT: auto; PADDING-RIGHT: 0px; ; PADDING-LEFT: 0px; LEFT: 2px; PADDING-BOTTOM: 0px; WIDTH: 100%; BORDER-TOP-STYLE: none; PADDING-TOP: 0px; BORDER-RIGHT-STYLE: none; BORDER-LEFT-STYLE: none; TOP: 0px; BORDER-BOTTOM-STYLE: none" cellspacing="1" cols="5" border="1">
<colgroup>
<col />
<col />
<col />
<col />
<col /></colgroup>
<tbody>
<tr>
<td style="BORDER-TOP-STYLE: none; BORDER-RIGHT-STYLE: none; BORDER-LEFT-STYLE: none; BORDER-BOTTOM-STYLE: none">‎</td>
<td style="BORDER-TOP-STYLE: none; BORDER-RIGHT-STYLE: none; BORDER-LEFT-STYLE: none; BORDER-BOTTOM-STYLE: none">‎</td>
<td style="BORDER-TOP-STYLE: none; BORDER-RIGHT-STYLE: none; BORDER-LEFT-STYLE: none; BORDER-BOTTOM-STYLE: none">‎</td>
<td style="BORDER-TOP-STYLE: none; BORDER-RIGHT-STYLE: none; BORDER-LEFT-STYLE: none; BORDER-BOTTOM-STYLE: none">‎</td>
<td style="BORDER-TOP-STYLE: none; BORDER-RIGHT-STYLE: none; BORDER-LEFT-STYLE: none; BORDER-BOTTOM-STYLE: none">
<p align="right">Таблица 8.10‎</p></td></tr>
<tr>
<td style="BORDER-TOP-STYLE: none; BORDER-RIGHT-STYLE: none; BORDER-LEFT-STYLE: none; BORDER-BOTTOM-STYLE: none" colspan="5">
<p align="center"><strong>Значения эквивалентной дозы и среднегодовые допустимые плотности потока моноэнергетических фотонов для лиц из персонала при обучении хрусталиков глаз</strong></p></td></tr>
<tr>
<td rowspan="2">
<p align="center"><strong>Энергия фотонов, МэВ‎‏</strong></p></td>
<td colspan="2">
<p align="center"><strong>Эквивалентная доза в коже на единичный флюенс, 10<sup>-12</sup> Зв-см<sup>2</sup></strong></p></td>
<td colspan="2">
<p align="center"><strong>Среднегодовая допустимая плотность потока ДПП<sub>перс</sub>, см<sup>-2</sup>-с<sup>-1</sup>‎‎‎</strong></p></td></tr>
<tr>
<td>
<p align="center"><strong><a href="/docs/1908086#1923578">*</a>ИЗО‎</strong></p></td>
<td>
<p align="center"><strong><a href="/docs/1908086#1928531">*</a>ПЗ‎</strong></p></td>
<td>
<p align="center"><strong><a href="/docs/1908086#1923578">*</a>ИЗО‎</strong></p></td>
<td>
<p align="center"><strong><a href="/docs/1908086#1928531">*</a>ПЗ‎</strong></p></td></tr>
<tr>
<td>
<p align="center">1,0-2‎</p></td>
<td>
<p align="center">0,669</p></td>
<td>
<p align="center">2,23</p></td>
<td>
<p align="center">3,66+04</p></td>
<td>
<p align="center">1,08+04‎</p></td></tr>
<tr>
<td>
<p align="center">1,5-2</p></td>
<td>
<p align="center">0,749</p></td>
<td>
<p align="center">2,06</p></td>
<td>
<p align="center">3,29+04</p></td>
<td>
<p align="center">1,16+04‎</p></td></tr>
<tr>
<td>
<p align="center">2,0-2</p></td>
<td>
<p align="center">0,622</p></td>
<td>
<p align="center">1,53</p></td>
<td>
<p align="center">3,97+04</p></td>
<td>
<p align="center">1,60+04‎</p></td></tr>
<tr>
<td>
<p align="center">3,0-2</p></td>
<td>
<p align="center">0,375</p></td>
<td>
<p align="center">0,865</p></td>
<td>
<p align="center">6,55+04</p></td>
<td>
<p align="center">2,85+04‎</p></td></tr>
<tr>
<td>
<p align="center">4,0-2</p></td>
<td>
<p align="center">0,275</p></td>
<td>
<p align="center">0,571</p></td>
<td>
<p align="center">9,07+04</p></td>
<td>
<p align="center">4,27+04‎</p></td></tr>
<tr>
<td>
<p align="center">5,0-2</p></td>
<td>
<p align="center">0,239</p></td>
<td>
<p align="center">0,459</p></td>
<td>
<p align="center">1,03+05</p></td>
<td>
<p align="center">5,33+04‎</p></td></tr>
<tr>
<td>
<p align="center">6,0-2</p></td>
<td>
<p align="center">0,234</p></td>
<td>
<p align="center">0,431</p></td>
<td>
<p align="center">1,06+05</p></td>
<td>
<p align="center">5,67+04‎</p></td></tr>
<tr>
<td>
<p align="center">8,0-2</p></td>
<td>
<p align="center">0,264</p></td>
<td>
<p align="center">0,476</p></td>
<td>
<p align="center">9,05+04</p></td>
<td>
<p align="center">5,16+04‎</p></td></tr>
<tr>
<td>
<p align="center">1,0-1</p></td>
<td>
<p align="center">0,326</p></td>
<td>
<p align="center">0,568</p></td>
<td>
<p align="center">7,26+04</p></td>
<td>
<p align="center">4,34+04‎</p></td></tr>
<tr>
<td>
<p align="center">1,5-1</p></td>
<td>
<p align="center">0,545</p></td>
<td>
<p align="center">0,857</p></td>
<td>
<p align="center">4,59+04</p></td>
<td>
<p align="center">2,88+04‎</p></td></tr>
<tr>
<td>
<p align="center">2,0-1</p></td>
<td>
<p align="center">0,762</p></td>
<td>
<p align="center">1,16</p></td>
<td>
<p align="center">3,31+04</p></td>
<td>
<p align="center">2,11‎+04</p></td></tr>
<tr>
<td>
<p align="center">3,0-1</p></td>
<td>
<p align="center">1,20</p></td>
<td>
<p align="center">1,77</p></td>
<td>
<p align="center">2,09+04</p></td>
<td>
<p align="center">1,39+04‎</p></td></tr>
<tr>
<td>
<p align="center">4,0-1</p></td>
<td>
<p align="center">1,59</p></td>
<td>
<p align="center">2,33</p></td>
<td>
<p align="center">1,54+04</p></td>
<td>
<p align="center">1,06+04‎</p></td></tr>
<tr>
<td>
<p align="center">5,0-1</p></td>
<td>
<p align="center">2,00</p></td>
<td>
<p align="center">2,86</p></td>
<td>
<p align="center">1,24+04</p></td>
<td>
<p align="center">8,64+03‎</p></td></tr>
<tr>
<td>
<p align="center">6,0-1</p></td>
<td>
<p align="center">2,39</p></td>
<td>
<p align="center">3,32</p></td>
<td>
<p align="center">1,04+04</p></td>
<td>
<p align="center">7,34+03‎</p></td></tr>
<tr>
<td>
<p align="center">8,0-1</p></td>
<td>
<p align="center">3,10</p></td>
<td>
<p align="center">4,21</p></td>
<td>
<p align="center">7,90+03</p></td>
<td>
<p align="center">5,87+03‎</p></td></tr>
<tr>
<td>
<p align="center">1,0</p></td>
<td>
<p align="center">3,76</p></td>
<td>
<p align="center">4,96</p></td>
<td>
<p align="center">6,53+03‎</p></td>
<td>
<p align="center">4,91+03‎</p></td></tr>
<tr>
<td>
<p align="center">2,0‎</p></td>
<td>
<p align="center">6,64‎</p></td>
<td>
<p align="center">7,93‎</p></td>
<td>
<p align="center">3,68+03‎</p></td>
<td>
<p align="center">3,09+03‎</p></td></tr>
<tr>
<td>
<p align="center">4,0‎</p></td>
<td>
<p align="center">11,1‎</p></td>
<td>
<p align="center">12,1‎</p></td>
<td>
<p align="center">2,20+03‎</p></td>
<td>
<p align="center">2,00+03‎</p></td></tr>
<tr>
<td>
<p align="center">6,0‎</p></td>
<td>
<p align="center">15,1‎</p></td>
<td>
<p align="center">15,6‎</p></td>
<td>
<p align="center">1,62+03‎</p></td>
<td>
<p align="center">1,57+03‎</p></td></tr>
<tr>
<td>
<p align="center">8,0‎</p></td>
<td>
<p align="center">19,1‎</p></td>
<td>
<p align="center">19,1‎</p></td>
<td>
<p align="center">1,29+03‎</p></td>
<td>
<p align="center">1,29+03‎</p></td></tr>
<tr>
<td>
<p align="center">10,0‎</p></td>
<td>
<p align="center">23,0‎</p></td>
<td>
<p align="center">22,3‎</p></td>
<td>
<p align="center">1,06+03‎</p></td>
<td>
<p align="center">1,10+03‎</p></td></tr></tbody></table></div></div><div class="FOOTNOTE lx_elem" onmousemove="lx_mo(event,1923578)"><div class="lx_elem2"><div class="lx_elem3"><span onclick="lx_sf(1923578)"><img src="/img/cmt.svg" />Ҳужжатга таклиф юбориш</span><span onclick="lx_pa(1923578)"><img src="/img/vlm.svg" />Аудиони тинглаш</span><span onclick="lx_cl(1923578)"><img src="/img/lnk.svg" />Ҳужжат элементидан ҳавола олиш</span></div></div><div name="1923578" id="1923578">*ИЗО — изотропное (4π) поле излучения;</div></div><div class="FOOTNOTE lx_elem" onmousemove="lx_mo(event,1928531)"><div class="lx_elem2"><div class="lx_elem3"><span onclick="lx_sf(1928531)"><img src="/img/cmt.svg" />Ҳужжатга таклиф юбориш</span><span onclick="lx_pa(1928531)"><img src="/img/vlm.svg" />Аудиони тинглаш</span><span onclick="lx_cl(1928531)"><img src="/img/lnk.svg" />Ҳужжат элементидан ҳавола олиш</span></div></div><div name="1928531" id="1928531">*ПЗ — облучение параллельным пучком, в переднеезадней геометрии</div></div><div class="TABLE_STD lx_elem" id="theDefCssID" onmousemove="lx_mo(event,1923829)"><div class="lx_elem2"><div class="lx_elem3"><span onclick="lx_sf(1923829)"><img src="/img/cmt.svg" />Ҳужжатга таклиф юбориш</span><span onclick="lx_pa(1923829)"><img src="/img/vlm.svg" />Аудиони тинглаш</span><span onclick="lx_cl(1923829)"><img src="/img/lnk.svg" />Ҳужжат элементидан ҳавола олиш</span></div></div><div name="1923829" id="1923829" class="tabBox"><table id="theTableID" style="TABLE-LAYOUT: auto; PADDING-RIGHT: 0px; ; PADDING-LEFT: 0px; LEFT: 2px; PADDING-BOTTOM: 0px; WIDTH: 100%; BORDER-TOP-STYLE: none; PADDING-TOP: 0px; BORDER-RIGHT-STYLE: none; BORDER-LEFT-STYLE: none; TOP: 0px; BORDER-BOTTOM-STYLE: none" cellspacing="1" cols="5" border="1">
<colgroup>
<col />
<col />
<col />
<col />
<col /></colgroup>
<tbody>
<tr>
<td style="BORDER-TOP-STYLE: none; BORDER-RIGHT-STYLE: none; BORDER-LEFT-STYLE: none; BORDER-BOTTOM-STYLE: none">‎</td>
<td style="BORDER-TOP-STYLE: none; BORDER-RIGHT-STYLE: none; BORDER-LEFT-STYLE: none; BORDER-BOTTOM-STYLE: none">‎</td>
<td style="BORDER-TOP-STYLE: none; BORDER-RIGHT-STYLE: none; BORDER-LEFT-STYLE: none; BORDER-BOTTOM-STYLE: none">‎</td>
<td style="BORDER-TOP-STYLE: none; BORDER-RIGHT-STYLE: none; BORDER-LEFT-STYLE: none; BORDER-BOTTOM-STYLE: none">‎</td>
<td style="BORDER-TOP-STYLE: none; BORDER-RIGHT-STYLE: none; BORDER-LEFT-STYLE: none; BORDER-BOTTOM-STYLE: none">
<p align="right">Таблица 8.11‎</p></td></tr>
<tr>
<td style="BORDER-TOP-STYLE: none; BORDER-RIGHT-STYLE: none; BORDER-LEFT-STYLE: none; BORDER-BOTTOM-STYLE: none" colspan="5">
<p align="center"><strong>Значения эффективной дозы и среднегодовые допустимые плотности потока моноэнергетических нейтронов для лиц из персонала при внешнем облучении всего тела</strong></p></td></tr>
<tr>
<td rowspan="2">
<p align="center"><strong>Энергия нейтронов, МэВ</strong></p></td>
<td colspan="2">
<p align="center"><strong>Эффективная доза на единичный флюенс, 10<sup>-12</sup> Зв-см<sup>2</sup></strong></p></td>
<td colspan="2">
<p align="center"><strong>Среднегодовая допустимая плотность потока ДПП<sub>перс</sub>, см<sup>-2</sup>-с<sup>-1</sup>‎‎‎</strong></p></td></tr>
<tr>
<td>
<p align="center"><strong><a href="/docs/1908086#1923830">*</a>ИЗО‎</strong></p></td>
<td>
<p align="center"><strong><a href="/docs/1908086#1928437">*</a>ПЗ‎</strong></p></td>
<td>
<p align="center"><strong><a href="/docs/1908086#1923830">*</a>ИЗО‎</strong></p></td>
<td>
<p align="center"><strong><a href="/docs/1908086#1928437">*</a>ПЗ‎</strong></p></td></tr>
<tr>
<td>
<p align="center">тепловые нейтроны</p></td>
<td>
<p align="center">3,30</p></td>
<td>
<p align="center">7,60</p></td>
<td>
<p align="center">9,90+2</p></td>
<td>
<p align="center">4,30+2</p></td></tr>
<tr>
<td>
<p align="center">1,0-7</p></td>
<td>
<p align="center">4,13</p></td>
<td>
<p align="center">9,95</p></td>
<td>
<p align="center">7,91+2</p></td>
<td>
<p align="center">3,28+2</p></td></tr>
<tr>
<td>
<p align="center">1,0-6</p></td>
<td>
<p align="center">5,63</p></td>
<td>
<p align="center">1,38+1</p></td>
<td>
<p align="center">5,80+2</p></td>
<td>
<p align="center">2,37+2</p></td></tr>
<tr>
<td>
<p align="center">1,0-5</p></td>
<td>
<p align="center">6,44</p></td>
<td>
<p align="center">1,51+1</p></td>
<td>
<p align="center">5,07+2</p></td>
<td>
<p align="center">2,16+2</p></td></tr>
<tr>
<td>
<p align="center">1,0-4</p></td>
<td>
<p align="center">6,45</p></td>
<td>
<p align="center">1,46+1</p></td>
<td>
<p align="center">5,07+2</p></td>
<td>
<p align="center">2,24+2</p></td></tr>
<tr>
<td>
<p align="center">1,0-3</p></td>
<td>
<p align="center">6,04</p></td>
<td>
<p align="center">1,42+1</p></td>
<td>
<p align="center">5,41+2</p></td>
<td>
<p align="center">2,30+2</p></td></tr>
<tr>
<td>
<p align="center">1,0-2</p></td>
<td>
<p align="center">7,70</p></td>
<td>
<p align="center">1,83+1</p></td>
<td>
<p align="center">4,24+2</p></td>
<td>
<p align="center">1,79+2</p></td></tr>
<tr>
<td>
<p align="center">2,0-2</p></td>
<td>
<p align="center">1,02+1</p></td>
<td>
<p align="center">2,38+1</p></td>
<td>
<p align="center">3,20+2</p></td>
<td>
<p align="center">1,37+2</p></td></tr>
<tr>
<td>
<p align="center">5,0-2</p></td>
<td>
<p align="center">1,73+1</p></td>
<td>
<p align="center">3,85+1</p></td>
<td>
<p align="center">1,89+2</p></td>
<td>
<p align="center">8,49+1</p></td></tr>
<tr>
<td>
<p align="center">1,0-1</p></td>
<td>
<p align="center">2,72+1</p></td>
<td>
<p align="center">5,98+1</p></td>
<td>
<p align="center">1,20+2</p></td>
<td>
<p align="center">5,46+1</p></td></tr>
<tr>
<td>
<p align="center">2,0-1</p></td>
<td>
<p align="center">4,24+1</p></td>
<td>
<p align="center">9,90+1</p></td>
<td>
<p align="center">7,71+1</p></td>
<td>
<p align="center">3,30+1</p></td></tr>
<tr>
<td>
<p align="center">5,0-1</p></td>
<td>
<p align="center">7,50+1</p></td>
<td>
<p align="center">1,88+2</p></td>
<td>
<p align="center">4,36+1</p></td>
<td>
<p align="center">1,74+1</p></td></tr>
<tr>
<td>
<p align="center">1,0</p></td>
<td>
<p align="center">1,16+2</p></td>
<td>
<p align="center">2,82+2</p></td>
<td>
<p align="center">2,82+1</p></td>
<td>
<p align="center">1,16+1</p></td></tr>
<tr>
<td>
<p align="center">1,2</p></td>
<td>
<p align="center">1,30+2</p></td>
<td>
<p align="center">3,10+2</p></td>
<td>
<p align="center">2,51+1</p></td>
<td>
<p align="center">1,05+1</p></td></tr>
<tr>
<td>
<p align="center">2,0</p></td>
<td>
<p align="center">1,78+2</p></td>
<td>
<p align="center">3,83+2</p></td>
<td>
<p align="center">1,84+1</p></td>
<td>
<p align="center">8,53</p></td></tr>
<tr>
<td>
<p align="center">3,0</p></td>
<td>
<p align="center">2,20+2</p></td>
<td>
<p align="center">4,32+2</p></td>
<td>
<p align="center">1,49+1</p></td>
<td>
<p align="center">7,56</p></td></tr>
<tr>
<td>
<p align="center">4,0</p></td>
<td>
<p align="center">2,50+2</p></td>
<td>
<p align="center">4,58+2</p></td>
<td>
<p align="center">1,31+1</p></td>
<td>
<p align="center">7,13</p></td></tr>
<tr>
<td>
<p align="center">5,0</p></td>
<td>
<p align="center">2,72+2</p></td>
<td>
<p align="center">4,74+2</p></td>
<td>
<p align="center">1,20+1</p></td>
<td>
<p align="center">6,89</p></td></tr>
<tr>
<td>
<p align="center">6,0</p></td>
<td>
<p align="center">2,82+2</p></td>
<td>
<p align="center">4,83+2</p></td>
<td>
<p align="center">1,16+1</p></td>
<td>
<p align="center">6,76</p></td></tr>
<tr>
<td>
<p align="center">7,0</p></td>
<td>
<p align="center">2,90+2</p></td>
<td>
<p align="center">4,90+2</p></td>
<td>
<p align="center">1,13+1</p></td>
<td>
<p align="center">6,67</p></td></tr>
<tr>
<td>
<p align="center">8,0</p></td>
<td>
<p align="center">2,97+2</p></td>
<td>
<p align="center">4,94+2</p></td>
<td>
<p align="center">1,10+1</p></td>
<td>
<p align="center">6,61</p></td></tr>
<tr>
<td>
<p align="center">10</p></td>
<td>
<p align="center">3,09+2</p></td>
<td>
<p align="center">4,99+2</p></td>
<td>
<p align="center">1,06+1</p></td>
<td>
<p align="center">6,55</p></td></tr>
<tr>
<td>
<p align="center">14‎</p></td>
<td>
<p align="center">3,33+2‎</p></td>
<td>
<p align="center">4,96+2‎</p></td>
<td>
<p align="center">9,81</p></td>
<td>
<p align="center">6,59‎</p></td></tr>
<tr>
<td>
<p align="center">20‎</p></td>
<td>
<p align="center">3,43+2‎</p></td>
<td>
<p align="center">4,80+2‎</p></td>
<td>
<p align="center">9,52‎</p></td>
<td>
<p align="center">6,81‎</p></td></tr></tbody></table></div></div><div class="FOOTNOTE lx_elem" onmousemove="lx_mo(event,1923830)"><div class="lx_elem2"><div class="lx_elem3"><span onclick="lx_sf(1923830)"><img src="/img/cmt.svg" />Ҳужжатга таклиф юбориш</span><span onclick="lx_pa(1923830)"><img src="/img/vlm.svg" />Аудиони тинглаш</span><span onclick="lx_cl(1923830)"><img src="/img/lnk.svg" />Ҳужжат элементидан ҳавола олиш</span></div></div><div name="1923830" id="1923830">*ИЗО — изотропное (4 π) поле излучения; </div></div><div class="FOOTNOTE lx_elem" onmousemove="lx_mo(event,1928437)"><div class="lx_elem2"><div class="lx_elem3"><span onclick="lx_sf(1928437)"><img src="/img/cmt.svg" />Ҳужжатга таклиф юбориш</span><span onclick="lx_pa(1928437)"><img src="/img/vlm.svg" />Аудиони тинглаш</span><span onclick="lx_cl(1928437)"><img src="/img/lnk.svg" />Ҳужжат элементидан ҳавола олиш</span></div></div><div name="1928437" id="1928437">*ПЗ — облучение параллельным пучком в переднезадней геометрии.</div></div><div class="TABLE_STD lx_elem" id="theDefCssID" onmousemove="lx_mo(event,1923831)"><div class="lx_elem2"><div class="lx_elem3"><span onclick="lx_sf(1923831)"><img src="/img/cmt.svg" />Ҳужжатга таклиф юбориш</span><span onclick="lx_pa(1923831)"><img src="/img/vlm.svg" />Аудиони тинглаш</span><span onclick="lx_cl(1923831)"><img src="/img/lnk.svg" />Ҳужжат элементидан ҳавола олиш</span></div></div><div name="1923831" id="1923831" class="tabBox"><table id="theTableID" style="TABLE-LAYOUT: fixed; PADDING-RIGHT: 0px; ; PADDING-LEFT: 0px; LEFT: 2px; PADDING-BOTTOM: 0px; WIDTH: 100%; BORDER-TOP-STYLE: none; PADDING-TOP: 0px; BORDER-RIGHT-STYLE: none; BORDER-LEFT-STYLE: none; TOP: 0px; BORDER-BOTTOM-STYLE: none" cellspacing="1" cols="4" border="1">
<colgroup>
<col />
<col />
<col />
<col /></colgroup>
<tbody>
<tr>
<td style="BORDER-TOP-STYLE: none; BORDER-RIGHT-STYLE: none; BORDER-LEFT-STYLE: none; BORDER-BOTTOM-STYLE: none">‎</td>
<td style="BORDER-TOP-STYLE: none; BORDER-RIGHT-STYLE: none; BORDER-LEFT-STYLE: none; BORDER-BOTTOM-STYLE: none">‎</td>
<td style="BORDER-TOP-STYLE: none; BORDER-RIGHT-STYLE: none; BORDER-LEFT-STYLE: none; BORDER-BOTTOM-STYLE: none">‎</td>
<td style="BORDER-TOP-STYLE: none; BORDER-RIGHT-STYLE: none; BORDER-LEFT-STYLE: none; BORDER-BOTTOM-STYLE: none">
<p align="right">Таблица 8.12 ‎</p></td></tr>
<tr>
<td style="BORDER-TOP-STYLE: none; BORDER-RIGHT-STYLE: none; BORDER-LEFT-STYLE: none; BORDER-BOTTOM-STYLE: none" colspan="4">
<p align="center"><strong>‎‎Допустимые уровни радиоактивного загрязнения рабочих поверхностей, кожи, спецодежды и средств индивидуальной защиты, част/(см<sup>2</sup> х мин)</strong></p></td></tr>
<tr>
<td rowspan="2">
<p align="center"><strong>Объект загрязнения‎‏<br />‎</strong></p></td>
<td colspan="2">
<p align="center"><strong>‎‎Альфа-активные нуклиды<a href="/docs/1908086#1928454">*</a></strong></p></td>
<td>
<p align="center"><strong>Бета- активные‎</strong></p></td></tr>
<tr>
<td>
<p align="center"><strong>отдельные<a href="/docs/1908086#1923839">**</a>‎</strong></p></td>
<td>
<p align="center"><strong>прочие‎</strong></p></td>
<td>
<p align="center"><strong>нуклиды‎</strong></p></td></tr>
<tr>
<td>
<p align="justify">Неповрежденная кожа, спецбелье, полотенца, внутренняя поверхность лицевых частей средств индивидуальной защиты‎</p></td>
<td>
<p align="center">2‎</p></td>
<td>
<p align="center">2‎</p></td>
<td>
<p align="center">200<a href="/docs/1908086#1923840">***</a>‎</p></td></tr>
<tr>
<td>
<p align="justify">Основная спецодежда, внутренняя поверхность дополнительных средств индивидуальной защиты, наружная поверхность спецобуви‎</p></td>
<td>
<p align="center">2‎</p></td>
<td>
<p align="center">20‎</p></td>
<td>
<p align="center">2000‎</p></td></tr>
<tr>
<td>
<p align="justify">Поверхности помещений постоянного пребывания персонала и находящегося в них оборудования‎</p></td>
<td>
<p align="center">5‎</p></td>
<td>
<p align="center">20‎</p></td>
<td>
<p align="center">2000‎</p></td></tr>
<tr>
<td>
<p align="justify">Поверхности помещений периодического пребывания персонала и находящегося в них оборудования‎</p></td>
<td>
<p align="center">50‎</p></td>
<td>
<p align="center">200‎</p></td>
<td>
<p align="center">10000‎</p></td></tr>
<tr>
<td>
<p align="justify">Наружная поверхность дополнительных средств индивидуальной защиты, снимаемой в саншлюзах‎</p></td>
<td>
<p align="center">50‎</p></td>
<td>
<p align="center">200‎</p></td>
<td>
<p align="center">10000‎</p></td></tr></tbody></table></div></div><div class="FOOTNOTE lx_elem" onmousemove="lx_mo(event,1923838)"><div class="lx_elem2"><div class="lx_elem3"><span onclick="lx_sf(1923838)"><img src="/img/cmt.svg" />Ҳужжатга таклиф юбориш</span><span onclick="lx_pa(1923838)"><img src="/img/vlm.svg" />Аудиони тинглаш</span><span onclick="lx_cl(1923838)"><img src="/img/lnk.svg" />Ҳужжат элементидан ҳавола олиш</span></div></div><div name="1923838" id="1923838">Примечания: </div></div><div class="FOOTNOTE lx_elem" onmousemove="lx_mo(event,1928454)"><div class="lx_elem2"><div class="lx_elem3"><span onclick="lx_sf(1928454)"><img src="/img/cmt.svg" />Ҳужжатга таклиф юбориш</span><span onclick="lx_pa(1928454)"><img src="/img/vlm.svg" />Аудиони тинглаш</span><span onclick="lx_cl(1928454)"><img src="/img/lnk.svg" />Ҳужжат элементидан ҳавола олиш</span></div></div><div name="1928454" id="1928454">*Для поверхности рабочих помещений и оборудования, загрязненных альфа-активными радионуклидами, нормируется снимаемое (нефиксированное) загрязнение; для остальных поверхностей— суммарное (снимаемое и не снимаемое) загрязнение.</div></div><div class="FOOTNOTE lx_elem" onmousemove="lx_mo(event,1923839)"><div class="lx_elem2"><div class="lx_elem3"><span onclick="lx_sf(1923839)"><img src="/img/cmt.svg" />Ҳужжатга таклиф юбориш</span><span onclick="lx_pa(1923839)"><img src="/img/vlm.svg" />Аудиони тинглаш</span><span onclick="lx_cl(1923839)"><img src="/img/lnk.svg" />Ҳужжат элементидан ҳавола олиш</span></div></div><div name="1923839" id="1923839">** К отдельным относятся альфа-активные нуклиды, среднегодовая допустимая объемная активность которых в воздухе рабочих помещений ДОА < 0,3 Бк/м<sup>3</sup>.</div></div><div class="FOOTNOTE lx_elem" onmousemove="lx_mo(event,1923840)"><div class="lx_elem2"><div class="lx_elem3"><span onclick="lx_sf(1923840)"><img src="/img/cmt.svg" />Ҳужжатга таклиф юбориш</span><span onclick="lx_pa(1923840)"><img src="/img/vlm.svg" />Аудиони тинглаш</span><span onclick="lx_cl(1923840)"><img src="/img/lnk.svg" />Ҳужжат элементидан ҳавола олиш</span></div></div><div name="1923840" id="1923840">*** Установлены следующие значения допустимых уровней загрязнения кожи, спецбелья и внутренней поверхности лицевых частей средств индивидуальной защиты для отдельных радионуклидов:</div></div><div class="FOOTNOTE lx_elem" onmousemove="lx_mo(event,1923841)"><div class="lx_elem2"><div class="lx_elem3"><span onclick="lx_sf(1923841)"><img src="/img/cmt.svg" />Ҳужжатга таклиф юбориш</span><span onclick="lx_pa(1923841)"><img src="/img/vlm.svg" />Аудиони тинглаш</span><span onclick="lx_cl(1923841)"><img src="/img/lnk.svg" />Ҳужжат элементидан ҳавола олиш</span></div></div><div name="1923841" id="1923841">для Sr-90 + Y-90— 40 част/(см<sup>2</sup> х мин);</div></div><div class="FOOTNOTE lx_elem" onmousemove="lx_mo(event,1923842)"><div class="lx_elem2"><div class="lx_elem3"><span onclick="lx_sf(1923842)"><img src="/img/cmt.svg" />Ҳужжатга таклиф юбориш</span><span onclick="lx_pa(1923842)"><img src="/img/vlm.svg" />Аудиони тинглаш</span><span onclick="lx_cl(1923842)"><img src="/img/lnk.svg" />Ҳужжат элементидан ҳавола олиш</span></div></div><div name="1923842" id="1923842">для нелетучих соединений трития —10 000 част/ (см х мин<sup>2</sup>).</div></div><div class="FOOTNOTE lx_elem" onmousemove="lx_mo(event,1923843)"><div class="lx_elem2"><div class="lx_elem3"><span onclick="lx_sf(1923843)"><img src="/img/cmt.svg" />Ҳужжатга таклиф юбориш</span><span onclick="lx_pa(1923843)"><img src="/img/vlm.svg" />Аудиони тинглаш</span><span onclick="lx_cl(1923843)"><img src="/img/lnk.svg" />Ҳужжат элементидан ҳавола олиш</span></div></div><div name="1923843" id="1923843">Загрязнение поверхностей летучими формами трития (оксиды) и короткоживущими дочерними изотопами радона не нормируется.</div></div><div class="TABLE_STD lx_elem" id="theDefCssID" onmousemove="lx_mo(event,1923844)"><div class="lx_elem2"><div class="lx_elem3"><span onclick="lx_sf(1923844)"><img src="/img/cmt.svg" />Ҳужжатга таклиф юбориш</span><span onclick="lx_pa(1923844)"><img src="/img/vlm.svg" />Аудиони тинглаш</span><span onclick="lx_cl(1923844)"><img src="/img/lnk.svg" />Ҳужжат элементидан ҳавола олиш</span></div></div><div name="1923844" id="1923844" class="tabBox"><table id="theTableID" style="TABLE-LAYOUT: auto; PADDING-RIGHT: 0px; ; PADDING-LEFT: 0px; LEFT: 2px; PADDING-BOTTOM: 0px; WIDTH: 100%; BORDER-TOP-STYLE: none; PADDING-TOP: 0px; BORDER-RIGHT-STYLE: none; BORDER-LEFT-STYLE: none; TOP: 0px; BORDER-BOTTOM-STYLE: none" cellspacing="1" cols="5" border="1">
<colgroup>
<col />
<col />
<col />
<col />
<col /></colgroup>
<tbody>
<tr>
<td style="BORDER-TOP-STYLE: none; BORDER-RIGHT-STYLE: none; BORDER-LEFT-STYLE: none; BORDER-BOTTOM-STYLE: none">‎</td>
<td style="BORDER-TOP-STYLE: none; BORDER-RIGHT-STYLE: none; BORDER-LEFT-STYLE: none; BORDER-BOTTOM-STYLE: none">‎</td>
<td style="BORDER-TOP-STYLE: none; BORDER-RIGHT-STYLE: none; BORDER-LEFT-STYLE: none; BORDER-BOTTOM-STYLE: none">‎</td>
<td style="BORDER-TOP-STYLE: none; BORDER-RIGHT-STYLE: none; BORDER-LEFT-STYLE: none; BORDER-BOTTOM-STYLE: none">‎</td>
<td style="BORDER-TOP-STYLE: none; BORDER-RIGHT-STYLE: none; BORDER-LEFT-STYLE: none; BORDER-BOTTOM-STYLE: none">
<p align="right">Таблица 8.13‎</p></td></tr>
<tr>
<td style="BORDER-TOP-STYLE: none; BORDER-RIGHT-STYLE: none; BORDER-LEFT-STYLE: none; BORDER-BOTTOM-STYLE: none" colspan="5">
<p align="center"><strong>Допустимые уровни радиоактивного загрязнения поверхности транспортных средств, част/(см<sup>2</sup> х мин)<br />‎</strong> </p></td></tr>
<tr>
<td rowspan="3">
<p align="center"><strong>‎‏Объект загрязнения</strong></p></td>
<td colspan="4">
<p align="center"><strong>Вид загрязнения‎‎</strong></p></td></tr>
<tr>
<td colspan="2">
<p align="center"><strong>снимаемое (нефиксированное) ‎‎</strong></p></td>
<td colspan="2">
<p align="center"><strong>неснимаемое (фиксированное) ‎‎</strong></p></td></tr>
<tr>
<td>
<p align="center"><strong>альфа-активные радионуклиды‎</strong></p></td>
<td>
<p align="center"><strong>бета-активные радионуклиды‎</strong></p></td>
<td>
<p align="center"><strong>альфа-активные радионуклиды‎</strong></p></td>
<td>
<p align="center"><strong>бета-активные радионуклиды‎</strong></p></td></tr>
<tr>
<td>
<p align="left">Наружная поверхность охранной тары контейнера‎</p></td>
<td>
<p align="center">Не допускается‎</p></td>
<td>
<p align="center">Не допускается‎</p></td>
<td>
<p align="center">Не регламентируется‎</p></td>
<td>
<p align="center">200‎</p></td></tr>
<tr>
<td>
<p align="left">Наружная поверхность вагона-контейнера‎</p></td>
<td>
<p align="center">Не допускается‎</p></td>
<td>
<p align="center">Не допускается‎</p></td>
<td>
<p align="center">Не регламентируется‎</p></td>
<td>
<p align="center">200‎</p></td></tr>
<tr>
<td>
<p align="left">Внутренняя поверхность охранной тары контейнера‎</p></td>
<td>
<p align="center">1,0‎</p></td>
<td>
<p align="center">100‎</p></td>
<td>
<p align="center">Не регламентируется‎</p></td>
<td>
<p align="center">2000‎</p></td></tr>
<tr>
<td>
<p align="left">Наружная поверхность транспортного контейнера‎</p></td>
<td>
<p align="center">1,0‎</p></td>
<td>
<p align="center">100‎</p></td>
<td>
<p align="center">Не регламентируется‎</p></td>
<td>
<p align="center">2000‎</p></td></tr></tbody></table></div></div><div class="TEXT_HEADER_DEFAULT lx_elem" onmousemove="lx_mo(event,1924429)"><div class="lx_elem2"><div class="lx_elem3"><span onclick="lx_sf(1924429)"><img src="/img/cmt.svg" />Ҳужжатга таклиф юбориш</span><span onclick="lx_pa(1924429)"><img src="/img/vlm.svg" />Аудиони тинглаш</span><span onclick="lx_cl(1924429)"><img src="/img/lnk.svg" />Ҳужжат элементидан ҳавола олиш</span></div></div><div name="1924429" id="1924429">Основные санитарные правила обеспечения радиационной безопасности (ОСПОРБ-2006) </div></div><div class="TEXT_HEADER_DEFAULT lx_elem" onmousemove="lx_mo(event,1924430)"><div class="lx_elem2"><div class="lx_elem3"><span onclick="lx_sf(1924430)"><img src="/img/cmt.svg" />Ҳужжатга таклиф юбориш</span><span onclick="lx_pa(1924430)"><img src="/img/vlm.svg" />Аудиони тинглаш</span><span onclick="lx_cl(1924430)"><img src="/img/lnk.svg" />Ҳужжат элементидан ҳавола олиш</span></div></div><div name="1924430" id="1924430">1. Область применения</div></div><div class="ACT_TEXT lx_elem" onmousemove="lx_mo(event,1924431)"><div class="lx_elem2"><div class="lx_elem3"><span onclick="lx_sf(1924431)"><img src="/img/cmt.svg" />Ҳужжатга таклиф юбориш</span><span onclick="lx_pa(1924431)"><img src="/img/vlm.svg" />Аудиони тинглаш</span><span onclick="lx_cl(1924431)"><img src="/img/lnk.svg" />Ҳужжат элементидан ҳавола олиш</span></div></div><div name="1924431" id="1924431">1.1. Настоящие Правила устанавливают требования по защите людей от вредного радиационного воздействия при всех условиях облучения от источников ионизирующего излучения (далее— источников излучения) ,на которые распространяется действие <a href="/docs/1908086#1923955">НРБ-2006</a>.</div></div><div class="ACT_TEXT lx_elem" onmousemove="lx_mo(event,1924432)"><div class="lx_elem2"><div class="lx_elem3"><span onclick="lx_sf(1924432)"><img src="/img/cmt.svg" />Ҳужжатга таклиф юбориш</span><span onclick="lx_pa(1924432)"><img src="/img/vlm.svg" />Аудиони тинглаш</span><span onclick="lx_cl(1924432)"><img src="/img/lnk.svg" />Ҳужжат элементидан ҳавола олиш</span></div></div><div name="1924432" id="1924432">1.2. Правила распространяются на все организации, проектирующие, производящие, хранящие, использующие, транспортирующие, перерабатывающие и захоранивающие радиоактивные вещества и другие источники излучения; организации, осуществляющие монтаж, ремонт и наладку приборов, установок и аппаратов, действие которых основано на использовании ионизирующего излучения, и устройств, генерирующих это излучение; организации, от деятельности которых зависит уровень облучения людей природными источниками излучения; организации, выполняющие работы на территориях, загрязненных радиоактивными веществами.</div></div><div class="ACT_TEXT lx_elem" onmousemove="lx_mo(event,1924434)"><div class="lx_elem2"><div class="lx_elem3"><span onclick="lx_sf(1924434)"><img src="/img/cmt.svg" />Ҳужжатга таклиф юбориш</span><span onclick="lx_pa(1924434)"><img src="/img/vlm.svg" />Аудиони тинглаш</span><span onclick="lx_cl(1924434)"><img src="/img/lnk.svg" />Ҳужжат элементидан ҳавола олиш</span></div></div><div name="1924434" id="1924434">1.3. Правила являются обязательными при проектировании, строительстве, эксплуатации, реконструкции, ликвидации, консервации и перепрофилировании радиационных объектов.</div></div><div class="ACT_TEXT lx_elem" onmousemove="lx_mo(event,1924435)"><div class="lx_elem2"><div class="lx_elem3"><span onclick="lx_sf(1924435)"><img src="/img/cmt.svg" />Ҳужжатга таклиф юбориш</span><span onclick="lx_pa(1924435)"><img src="/img/vlm.svg" />Аудиони тинглаш</span><span onclick="lx_cl(1924435)"><img src="/img/lnk.svg" />Ҳужжат элементидан ҳавола олиш</span></div></div><div name="1924435" id="1924435">1.4. Настоящими Правилами должны руководствоваться в своей работе органы исполнительной власти, уполномоченные осуществлять государственный контроль в области обеспечения радиационной безопасности (далее —органы надзора за радиационной безопасностью), специальные службы, осуществляющие контроль за безопасностью.</div></div><div class="ACT_TEXT lx_elem" onmousemove="lx_mo(event,1924436)"><div class="lx_elem2"><div class="lx_elem3"><span onclick="lx_sf(1924436)"><img src="/img/cmt.svg" />Ҳужжатга таклиф юбориш</span><span onclick="lx_pa(1924436)"><img src="/img/vlm.svg" />Аудиони тинглаш</span><span onclick="lx_cl(1924436)"><img src="/img/lnk.svg" />Ҳужжат элементидан ҳавола олиш</span></div></div><div name="1924436" id="1924436">1.5. Нормативные правовые акты в области обеспечения радиационной безопасности, принимаемые государственными органами исполнительной власти, органами исполнительной власти, органами местного самоуправления, решения юридических лиц по указанным вопросам, государственные стандарты, строительные нормы и правила, правила охраны труда, ветеринарные правила не должны противоречить положениям настоящих Правил.</div></div><div class="ACT_TEXT lx_elem" onmousemove="lx_mo(event,1924437)"><div class="lx_elem2"><div class="lx_elem3"><span onclick="lx_sf(1924437)"><img src="/img/cmt.svg" />Ҳужжатга таклиф юбориш</span><span onclick="lx_pa(1924437)"><img src="/img/vlm.svg" />Аудиони тинглаш</span><span onclick="lx_cl(1924437)"><img src="/img/lnk.svg" />Ҳужжат элементидан ҳавола олиш</span></div></div><div name="1924437" id="1924437">1.6. Источники излучения подлежат обязательному учету и контролю. От радиационного контроля и учета полностью освобождаются:</div></div><div class="ACT_TEXT lx_elem" onmousemove="lx_mo(event,1924438)"><div class="lx_elem2"><div class="lx_elem3"><span onclick="lx_sf(1924438)"><img src="/img/cmt.svg" />Ҳужжатга таклиф юбориш</span><span onclick="lx_pa(1924438)"><img src="/img/vlm.svg" />Аудиони тинглаш</span><span onclick="lx_cl(1924438)"><img src="/img/lnk.svg" />Ҳужжат элементидан ҳавола олиш</span></div></div><div name="1924438" id="1924438">электрофизические устройства, генерирующие ионизирующее излучение с максимальной энергией не более 5 кэВ;</div></div><div class="ACT_TEXT lx_elem" onmousemove="lx_mo(event,1924439)"><div class="lx_elem2"><div class="lx_elem3"><span onclick="lx_sf(1924439)"><img src="/img/cmt.svg" />Ҳужжатга таклиф юбориш</span><span onclick="lx_pa(1924439)"><img src="/img/vlm.svg" />Аудиони тинглаш</span><span onclick="lx_cl(1924439)"><img src="/img/lnk.svg" />Ҳужжат элементидан ҳавола олиш</span></div></div><div name="1924439" id="1924439">другие электрофизические устройства, генерирующие ионизирующее излучение, в условиях нормальной эксплуатации которых мощность эквивалентной дозы в любой доступной точке на расстоянии 0,1 м от поверхности аппаратуры не превышает 1,0 мкЗв/ч;</div></div><div class="ACT_TEXT lx_elem" onmousemove="lx_mo(event,1924441)"><div class="lx_elem2"><div class="lx_elem3"><span onclick="lx_sf(1924441)"><img src="/img/cmt.svg" />Ҳужжатга таклиф юбориш</span><span onclick="lx_pa(1924441)"><img src="/img/vlm.svg" />Аудиони тинглаш</span><span onclick="lx_cl(1924441)"><img src="/img/lnk.svg" />Ҳужжат элементидан ҳавола олиш</span></div></div><div name="1924441" id="1924441">продукция, товары, содержащие радионуклиды, на которые имеется санитарно-эпидемиологическое заключение органов государственного санитарно-эпидемиологического надзора о том, что создаваемые ими дозы облучения не могут превышать значения, приведенные в <a href="/docs/1908086#1908101">п. 1.3</a> НРБ-2006.</div></div><div class="ACT_TEXT lx_elem" onmousemove="lx_mo(event,1924442)"><div class="lx_elem2"><div class="lx_elem3"><span onclick="lx_sf(1924442)"><img src="/img/cmt.svg" />Ҳужжатга таклиф юбориш</span><span onclick="lx_pa(1924442)"><img src="/img/vlm.svg" />Аудиони тинглаш</span><span onclick="lx_cl(1924442)"><img src="/img/lnk.svg" />Ҳужжат элементидан ҳавола олиш</span></div></div><div name="1924442" id="1924442">1.7. Организациям, индивидуальным предпринимателям, осуществляющим деятельность в области обращения с источниками излучения, необходимо иметь специальное разрешение (лицензию) на право проведения этих работ, выданное органами, уполномоченными на ведение лицензирования.</div></div><div class="ACT_TEXT lx_elem" onmousemove="lx_mo(event,1924443)"><div class="lx_elem2"><div class="lx_elem3"><span onclick="lx_sf(1924443)"><img src="/img/cmt.svg" />Ҳужжатга таклиф юбориш</span><span onclick="lx_pa(1924443)"><img src="/img/vlm.svg" />Аудиони тинглаш</span><span onclick="lx_cl(1924443)"><img src="/img/lnk.svg" />Ҳужжат элементидан ҳавола олиш</span></div></div><div name="1924443" id="1924443">Разрешение на работу с источниками излучения не требуется в случаях, если:</div></div><div class="ACT_TEXT lx_elem" onmousemove="lx_mo(event,1924445)"><div class="lx_elem2"><div class="lx_elem3"><span onclick="lx_sf(1924445)"><img src="/img/cmt.svg" />Ҳужжатга таклиф юбориш</span><span onclick="lx_pa(1924445)"><img src="/img/vlm.svg" />Аудиони тинглаш</span><span onclick="lx_cl(1924445)"><img src="/img/lnk.svg" />Ҳужжат элементидан ҳавола олиш</span></div></div><div name="1924445" id="1924445">используются продукция, товары, перечисленные в <a href="/docs/1908086#1924437">п. 1.6</a> Правил;</div></div><div class="ACT_TEXT lx_elem" onmousemove="lx_mo(event,1924446)"><div class="lx_elem2"><div class="lx_elem3"><span onclick="lx_sf(1924446)"><img src="/img/cmt.svg" />Ҳужжатга таклиф юбориш</span><span onclick="lx_pa(1924446)"><img src="/img/vlm.svg" />Аудиони тинглаш</span><span onclick="lx_cl(1924446)"><img src="/img/lnk.svg" />Ҳужжат элементидан ҳавола олиш</span></div></div><div name="1924446" id="1924446">на рабочем месте: удельная активность радионуклидов меньше минимально значимой удельной активности (МЗУА) или активность радионуклида в открытом источнике излучения меньше минимально значимой активности (МЗА), приведенных в <a href="/docs/1908086#1923006">таблице 8.4</a> НРБ-2006, или сумма отношений активности радионуклидов к их табличным значениям меньше 1; а в организации: общая активность радионуклидов в открытых источниках излучения не превышает более чем в 10 раз МЗА или сумму отношений активности разных радионуклидов к их табличным значениям, приведенным в <a href="/docs/1908086#1923006">таблице 8.4</a> НРБ-2006;</div></div><div class="ACT_TEXT lx_elem" onmousemove="lx_mo(event,1924447)"><div class="lx_elem2"><div class="lx_elem3"><span onclick="lx_sf(1924447)"><img src="/img/cmt.svg" />Ҳужжатга таклиф юбориш</span><span onclick="lx_pa(1924447)"><img src="/img/vlm.svg" />Аудиони тинглаш</span><span onclick="lx_cl(1924447)"><img src="/img/lnk.svg" />Ҳужжат элементидан ҳавола олиш</span></div></div><div name="1924447" id="1924447">мощность эквивалентной дозы в любой точке, находящейся на расстоянии 0,1 м от поверхности закрытого радионуклидного источника излучения, не превышает 1,0 мкЗв/ч над фоном. При этом должна быть обеспечена надежная герметизация находящихся внутри устройства радиоактивных веществ, а его нормативно-техническая документация иметь санитарно-эпидемиологическое заключение ЦГСЭН.</div></div><div class="TEXT_HEADER_DEFAULT lx_elem" onmousemove="lx_mo(event,1924448)"><div class="lx_elem2"><div class="lx_elem3"><span onclick="lx_sf(1924448)"><img src="/img/cmt.svg" />Ҳужжатга таклиф юбориш</span><span onclick="lx_pa(1924448)"><img src="/img/vlm.svg" />Аудиони тинглаш</span><span onclick="lx_cl(1924448)"><img src="/img/lnk.svg" />Ҳужжат элементидан ҳавола олиш</span></div></div><div name="1924448" id="1924448">2. Общие положения</div></div><div class="ACT_TEXT lx_elem" onmousemove="lx_mo(event,1924449)"><div class="lx_elem2"><div class="lx_elem3"><span onclick="lx_sf(1924449)"><img src="/img/cmt.svg" />Ҳужжатга таклиф юбориш</span><span onclick="lx_pa(1924449)"><img src="/img/vlm.svg" />Аудиони тинглаш</span><span onclick="lx_cl(1924449)"><img src="/img/lnk.svg" />Ҳужжат элементидан ҳавола олиш</span></div></div><div name="1924449" id="1924449">2.1. Основные принципы обеспечения радиационной безопасности</div></div><div class="ACT_TEXT lx_elem" onmousemove="lx_mo(event,1924452)"><div class="lx_elem2"><div class="lx_elem3"><span onclick="lx_sf(1924452)"><img src="/img/cmt.svg" />Ҳужжатга таклиф юбориш</span><span onclick="lx_pa(1924452)"><img src="/img/vlm.svg" />Аудиони тинглаш</span><span onclick="lx_cl(1924452)"><img src="/img/lnk.svg" />Ҳужжат элементидан ҳавола олиш</span></div></div><div name="1924452" id="1924452">Радиационная безопасность персонала, населения и окружающей природной среды считается обеспеченной, если соблюдаются основные принципы радиационной безопасности (обоснование, оптимизация, нормирование) и требования радиационной защиты, установленные <a href="/docs/13868">Законом</a> Республики Узбекистан «О радиационной безопасности», НРБ-2006 и настоящими Правилами.</div></div><div class="ACT_TEXT lx_elem" onmousemove="lx_mo(event,1924454)"><div class="lx_elem2"><div class="lx_elem3"><span onclick="lx_sf(1924454)"><img src="/img/cmt.svg" />Ҳужжатга таклиф юбориш</span><span onclick="lx_pa(1924454)"><img src="/img/vlm.svg" />Аудиони тинглаш</span><span onclick="lx_cl(1924454)"><img src="/img/lnk.svg" />Ҳужжат элементидан ҳавола олиш</span></div></div><div name="1924454" id="1924454">Контроль за реализацией основных принципов должен осуществляться путем проверки выполнения следующих требований:</div></div><div class="ACT_TEXT lx_elem" onmousemove="lx_mo(event,1924455)"><div class="lx_elem2"><div class="lx_elem3"><span onclick="lx_sf(1924455)"><img src="/img/cmt.svg" />Ҳужжатга таклиф юбориш</span><span onclick="lx_pa(1924455)"><img src="/img/vlm.svg" />Аудиони тинглаш</span><span onclick="lx_cl(1924455)"><img src="/img/lnk.svg" />Ҳужжат элементидан ҳавола олиш</span></div></div><div name="1924455" id="1924455">2.1.1. Принцип обоснования должен применяться на стадии принятия решения уполномоченными органами при проектировании новых источников излучения и радиационных объектов, выдаче лицензий и утверждении нормативно-технической документации на использование источников излучения, а также при изменении условий их эксплуатации (<a href="/docs/1908086#1925252">приложение А</a>).</div></div><div class="ACT_TEXT lx_elem" onmousemove="lx_mo(event,1924456)"><div class="lx_elem2"><div class="lx_elem3"><span onclick="lx_sf(1924456)"><img src="/img/cmt.svg" />Ҳужжатга таклиф юбориш</span><span onclick="lx_pa(1924456)"><img src="/img/vlm.svg" />Аудиони тинглаш</span><span onclick="lx_cl(1924456)"><img src="/img/lnk.svg" />Ҳужжат элементидан ҳавола олиш</span></div></div><div name="1924456" id="1924456">В условиях радиационной аварии принцип обоснования относится не к источникам излучения и условиям облучения, а к защитному мероприятию. При этом в качестве величины пользы следует оценивать предотвращенную данным мероприятием дозу. Однако, мероприятия, направленные на восстановление контроля над источниками излучения, должны проводиться в обязательном порядке.</div></div><div class="ACT_TEXT lx_elem" onmousemove="lx_mo(event,1924457)"><div class="lx_elem2"><div class="lx_elem3"><span onclick="lx_sf(1924457)"><img src="/img/cmt.svg" />Ҳужжатга таклиф юбориш</span><span onclick="lx_pa(1924457)"><img src="/img/vlm.svg" />Аудиони тинглаш</span><span onclick="lx_cl(1924457)"><img src="/img/lnk.svg" />Ҳужжат элементидан ҳавола олиш</span></div></div><div name="1924457" id="1924457">2.1.2. Принцип оптимизации предусматривает поддержание на возможно низком и достижимом уровне как индивидуальных (ниже пределов, установленных НРБ-2006), так и коллективных доз облучения, с учетом социальных и экономических факторов (<a href="/docs/1908086#1925252">приложение А</a>).</div></div><div class="ACT_TEXT lx_elem" onmousemove="lx_mo(event,1924458)"><div class="lx_elem2"><div class="lx_elem3"><span onclick="lx_sf(1924458)"><img src="/img/cmt.svg" />Ҳужжатга таклиф юбориш</span><span onclick="lx_pa(1924458)"><img src="/img/vlm.svg" />Аудиони тинглаш</span><span onclick="lx_cl(1924458)"><img src="/img/lnk.svg" />Ҳужжат элементидан ҳавола олиш</span></div></div><div name="1924458" id="1924458">В условиях радиационной аварии, когда вместо пределов доз действуют более высокие уровни вмешательства, принцип оптимизации должен применяться к защитному мероприятию с учетом предотвращаемой дозы облучения и ущерба, связанного с вмешательством.</div></div><div class="ACT_TEXT lx_elem" onmousemove="lx_mo(event,1924460)"><div class="lx_elem2"><div class="lx_elem3"><span onclick="lx_sf(1924460)"><img src="/img/cmt.svg" />Ҳужжатга таклиф юбориш</span><span onclick="lx_pa(1924460)"><img src="/img/vlm.svg" />Аудиони тинглаш</span><span onclick="lx_cl(1924460)"><img src="/img/lnk.svg" />Ҳужжат элементидан ҳавола олиш</span></div></div><div name="1924460" id="1924460">2.1.3. Принцип нормирования, требующий непревышения установленных <a href="/docs/13868">законом</a> Республики Узбекистан «О радиационной безопасности» и <a href="/docs/1908086#1923955">НРБ-2006</a> индивидуальных пределов доз и других нормативов радиационной безопасности, должен соблюдаться всеми организациями и лицами, от которых зависит уровень облучения людей.</div></div><div class="ACT_TEXT lx_elem" onmousemove="lx_mo(event,1924461)"><div class="lx_elem2"><div class="lx_elem3"><span onclick="lx_sf(1924461)"><img src="/img/cmt.svg" />Ҳужжатга таклиф юбориш</span><span onclick="lx_pa(1924461)"><img src="/img/vlm.svg" />Аудиони тинглаш</span><span onclick="lx_cl(1924461)"><img src="/img/lnk.svg" />Ҳужжат элементидан ҳавола олиш</span></div></div><div name="1924461" id="1924461">2.1.4. Для контроля за эффективными и эквивалентными дозами облучения, регламентированными <a href="/docs/1908086#1923955">НРБ-2006</a>, вводится система дополнительных производных нормативов от пределов доз в виде допустимых значений: мощности дозы, годового поступления радионуклидов в организм и других показателей.</div></div><div class="ACT_TEXT lx_elem" onmousemove="lx_mo(event,1924462)"><div class="lx_elem2"><div class="lx_elem3"><span onclick="lx_sf(1924462)"><img src="/img/cmt.svg" />Ҳужжатга таклиф юбориш</span><span onclick="lx_pa(1924462)"><img src="/img/vlm.svg" />Аудиони тинглаш</span><span onclick="lx_cl(1924462)"><img src="/img/lnk.svg" />Ҳужжат элементидан ҳавола олиш</span></div></div><div name="1924462" id="1924462">Поскольку производные нормативы при техногенном облучении рассчитаны для однофакторного воздействия и каждый из них исчерпывает весь предел дозы, то их использование должно быть основано на условии непревышения единицы суммой отношений всех контролируемых величин к их допустимым значениям.</div></div><div class="ACT_TEXT lx_elem" onmousemove="lx_mo(event,1924463)"><div class="lx_elem2"><div class="lx_elem3"><span onclick="lx_sf(1924463)"><img src="/img/cmt.svg" />Ҳужжатга таклиф юбориш</span><span onclick="lx_pa(1924463)"><img src="/img/vlm.svg" />Аудиони тинглаш</span><span onclick="lx_cl(1924463)"><img src="/img/lnk.svg" />Ҳужжат элементидан ҳавола олиш</span></div></div><div name="1924463" id="1924463">2.2. Оценка состояния радиационной безопасности</div></div><div class="ACT_TEXT lx_elem" onmousemove="lx_mo(event,1924464)"><div class="lx_elem2"><div class="lx_elem3"><span onclick="lx_sf(1924464)"><img src="/img/cmt.svg" />Ҳужжатга таклиф юбориш</span><span onclick="lx_pa(1924464)"><img src="/img/vlm.svg" />Аудиони тинглаш</span><span onclick="lx_cl(1924464)"><img src="/img/lnk.svg" />Ҳужжат элементидан ҳавола олиш</span></div></div><div name="1924464" id="1924464">2.2.1. Оценка действующей системы обеспечения радиационной безопасности в организации и в каждом регионе должна основываться на следующих основных показателях, предусмотренных <a href="/docs/13868">Законом</a> Республики Узбекистан «О радиационной безопасности»:</div></div><div class="ACT_TEXT lx_elem" onmousemove="lx_mo(event,1924466)"><div class="lx_elem2"><div class="lx_elem3"><span onclick="lx_sf(1924466)"><img src="/img/cmt.svg" />Ҳужжатга таклиф юбориш</span><span onclick="lx_pa(1924466)"><img src="/img/vlm.svg" />Аудиони тинглаш</span><span onclick="lx_cl(1924466)"><img src="/img/lnk.svg" />Ҳужжат элементидан ҳавола олиш</span></div></div><div name="1924466" id="1924466">характеристике радиоактивного загрязнения окружающей среды;</div></div><div class="ACT_TEXT lx_elem" onmousemove="lx_mo(event,1924467)"><div class="lx_elem2"><div class="lx_elem3"><span onclick="lx_sf(1924467)"><img src="/img/cmt.svg" />Ҳужжатга таклиф юбориш</span><span onclick="lx_pa(1924467)"><img src="/img/vlm.svg" />Аудиони тинглаш</span><span onclick="lx_cl(1924467)"><img src="/img/lnk.svg" />Ҳужжат элементидан ҳавола олиш</span></div></div><div name="1924467" id="1924467">анализе обеспечения мероприятий по радиационной безопасности и выполнения норм, правил и гигиенических нормативов в области радиационной безопасности;</div></div><div class="ACT_TEXT lx_elem" onmousemove="lx_mo(event,1924468)"><div class="lx_elem2"><div class="lx_elem3"><span onclick="lx_sf(1924468)"><img src="/img/cmt.svg" />Ҳужжатга таклиф юбориш</span><span onclick="lx_pa(1924468)"><img src="/img/vlm.svg" />Аудиони тинглаш</span><span onclick="lx_cl(1924468)"><img src="/img/lnk.svg" />Ҳужжат элементидан ҳавола олиш</span></div></div><div name="1924468" id="1924468">вероятности радиационных аварий и их масштабе;</div></div><div class="ACT_TEXT lx_elem" onmousemove="lx_mo(event,1924469)"><div class="lx_elem2"><div class="lx_elem3"><span onclick="lx_sf(1924469)"><img src="/img/cmt.svg" />Ҳужжатга таклиф юбориш</span><span onclick="lx_pa(1924469)"><img src="/img/vlm.svg" />Аудиони тинглаш</span><span onclick="lx_cl(1924469)"><img src="/img/lnk.svg" />Ҳужжат элементидан ҳавола олиш</span></div></div><div name="1924469" id="1924469">степени готовности к эффективной ликвидации радиационных аварий и их последствий;</div></div><div class="ACT_TEXT lx_elem" onmousemove="lx_mo(event,1924471)"><div class="lx_elem2"><div class="lx_elem3"><span onclick="lx_sf(1924471)"><img src="/img/cmt.svg" />Ҳужжатга таклиф юбориш</span><span onclick="lx_pa(1924471)"><img src="/img/vlm.svg" />Аудиони тинглаш</span><span onclick="lx_cl(1924471)"><img src="/img/lnk.svg" />Ҳужжат элементидан ҳавола олиш</span></div></div><div name="1924471" id="1924471">анализе доз облучения, получаемых, полученных и предполагаемых к получению работниками (персоналом) и населением от всех источников ионизирующего излучения;</div></div><div class="ACT_TEXT lx_elem" onmousemove="lx_mo(event,1924472)"><div class="lx_elem2"><div class="lx_elem3"><span onclick="lx_sf(1924472)"><img src="/img/cmt.svg" />Ҳужжатга таклиф юбориш</span><span onclick="lx_pa(1924472)"><img src="/img/vlm.svg" />Аудиони тинглаш</span><span onclick="lx_cl(1924472)"><img src="/img/lnk.svg" />Ҳужжат элементидан ҳавола олиш</span></div></div><div name="1924472" id="1924472">числе лиц, подвергшихся облучению выше установленных основных пределов доз облучения.</div></div><div class="ACT_TEXT lx_elem" onmousemove="lx_mo(event,1924473)"><div class="lx_elem2"><div class="lx_elem3"><span onclick="lx_sf(1924473)"><img src="/img/cmt.svg" />Ҳужжатга таклиф юбориш</span><span onclick="lx_pa(1924473)"><img src="/img/vlm.svg" />Аудиони тинглаш</span><span onclick="lx_cl(1924473)"><img src="/img/lnk.svg" />Ҳужжат элементидан ҳавола олиш</span></div></div><div name="1924473" id="1924473">2.2.2. Все вышеуказанные показатели необходимо представить в радиационно- гигиенических паспортах организаций, характеризующих уровень обеспечения радиационной безопасности работников данной организации, которые разработаны и утверждены в порядке, установленном МЗ РУз.</div></div><div class="ACT_TEXT lx_elem" onmousemove="lx_mo(event,1924474)"><div class="lx_elem2"><div class="lx_elem3"><span onclick="lx_sf(1924474)"><img src="/img/cmt.svg" />Ҳужжатга таклиф юбориш</span><span onclick="lx_pa(1924474)"><img src="/img/vlm.svg" />Аудиони тинглаш</span><span onclick="lx_cl(1924474)"><img src="/img/lnk.svg" />Ҳужжат элементидан ҳавола олиш</span></div></div><div name="1924474" id="1924474">2.2.3. Анализ данных, приведенных в радиационно-гигиенических паспортах организаций, следует проводить путем сопоставления их с требованиями <a href="/docs/1908086#1923955">НРБ-2006</a> и настоящих Правил, с данными предыдущих лет.</div></div><div class="ACT_TEXT lx_elem" onmousemove="lx_mo(event,1924475)"><div class="lx_elem2"><div class="lx_elem3"><span onclick="lx_sf(1924475)"><img src="/img/cmt.svg" />Ҳужжатга таклиф юбориш</span><span onclick="lx_pa(1924475)"><img src="/img/vlm.svg" />Аудиони тинглаш</span><span onclick="lx_cl(1924475)"><img src="/img/lnk.svg" />Ҳужжат элементидан ҳавола олиш</span></div></div><div name="1924475" id="1924475">2.2.4. Для оценки состояния радиационной безопасности используется показатель радиационного риска. В наибольшей степени этот риск характеризует суммарная накопленная эффективная доза от всех источников излучения. Значимость каждого источника излучения следует оценивать по его вкладу в суммарную эффективную дозу.</div></div><div class="ACT_TEXT lx_elem" onmousemove="lx_mo(event,1924476)"><div class="lx_elem2"><div class="lx_elem3"><span onclick="lx_sf(1924476)"><img src="/img/cmt.svg" />Ҳужжатга таклиф юбориш</span><span onclick="lx_pa(1924476)"><img src="/img/vlm.svg" />Аудиони тинглаш</span><span onclick="lx_cl(1924476)"><img src="/img/lnk.svg" />Ҳужжат элементидан ҳавола олиш</span></div></div><div name="1924476" id="1924476">2.3. Пути обеспечения радиационной безопасности</div></div><div class="ACT_TEXT lx_elem" onmousemove="lx_mo(event,1924477)"><div class="lx_elem2"><div class="lx_elem3"><span onclick="lx_sf(1924477)"><img src="/img/cmt.svg" />Ҳужжатга таклиф юбориш</span><span onclick="lx_pa(1924477)"><img src="/img/vlm.svg" />Аудиони тинглаш</span><span onclick="lx_cl(1924477)"><img src="/img/lnk.svg" />Ҳужжат элементидан ҳавола олиш</span></div></div><div name="1924477" id="1924477">2.3.1. Радиационная безопасность на объекте и вокруг него обеспечивается за счет:</div></div><div class="ACT_TEXT lx_elem" onmousemove="lx_mo(event,1924478)"><div class="lx_elem2"><div class="lx_elem3"><span onclick="lx_sf(1924478)"><img src="/img/cmt.svg" />Ҳужжатга таклиф юбориш</span><span onclick="lx_pa(1924478)"><img src="/img/vlm.svg" />Аудиони тинглаш</span><span onclick="lx_cl(1924478)"><img src="/img/lnk.svg" />Ҳужжат элементидан ҳавола олиш</span></div></div><div name="1924478" id="1924478">качества проекта радиационного объекта;</div></div><div class="ACT_TEXT lx_elem" onmousemove="lx_mo(event,1924479)"><div class="lx_elem2"><div class="lx_elem3"><span onclick="lx_sf(1924479)"><img src="/img/cmt.svg" />Ҳужжатга таклиф юбориш</span><span onclick="lx_pa(1924479)"><img src="/img/vlm.svg" />Аудиони тинглаш</span><span onclick="lx_cl(1924479)"><img src="/img/lnk.svg" />Ҳужжат элементидан ҳавола олиш</span></div></div><div name="1924479" id="1924479">обоснованного выбора района и площадки для размещения радиационного объекта;</div></div><div class="ACT_TEXT lx_elem" onmousemove="lx_mo(event,1924480)"><div class="lx_elem2"><div class="lx_elem3"><span onclick="lx_sf(1924480)"><img src="/img/cmt.svg" />Ҳужжатга таклиф юбориш</span><span onclick="lx_pa(1924480)"><img src="/img/vlm.svg" />Аудиони тинглаш</span><span onclick="lx_cl(1924480)"><img src="/img/lnk.svg" />Ҳужжат элементидан ҳавола олиш</span></div></div><div name="1924480" id="1924480">физической защиты источников излучения;</div></div><div class="ACT_TEXT lx_elem" onmousemove="lx_mo(event,1924484)"><div class="lx_elem2"><div class="lx_elem3"><span onclick="lx_sf(1924484)"><img src="/img/cmt.svg" />Ҳужжатга таклиф юбориш</span><span onclick="lx_pa(1924484)"><img src="/img/vlm.svg" />Аудиони тинглаш</span><span onclick="lx_cl(1924484)"><img src="/img/lnk.svg" />Ҳужжат элементидан ҳавола олиш</span></div></div><div name="1924484" id="1924484">зонирования территории вокруг наиболее опасных объектов и внутри них;</div></div><div class="ACT_TEXT lx_elem" onmousemove="lx_mo(event,1924487)"><div class="lx_elem2"><div class="lx_elem3"><span onclick="lx_sf(1924487)"><img src="/img/cmt.svg" />Ҳужжатга таклиф юбориш</span><span onclick="lx_pa(1924487)"><img src="/img/vlm.svg" />Аудиони тинглаш</span><span onclick="lx_cl(1924487)"><img src="/img/lnk.svg" />Ҳужжат элементидан ҳавола олиш</span></div></div><div name="1924487" id="1924487">условий эксплуатации технологических систем;</div></div><div class="ACT_TEXT lx_elem" onmousemove="lx_mo(event,1924488)"><div class="lx_elem2"><div class="lx_elem3"><span onclick="lx_sf(1924488)"><img src="/img/cmt.svg" />Ҳужжатга таклиф юбориш</span><span onclick="lx_pa(1924488)"><img src="/img/vlm.svg" />Аудиони тинглаш</span><span onclick="lx_cl(1924488)"><img src="/img/lnk.svg" />Ҳужжат элементидан ҳавола олиш</span></div></div><div name="1924488" id="1924488">радиационно-гигиенической оценки и лицензирования деятельности с источниками излучения;</div></div><div class="ACT_TEXT lx_elem" onmousemove="lx_mo(event,1924489)"><div class="lx_elem2"><div class="lx_elem3"><span onclick="lx_sf(1924489)"><img src="/img/cmt.svg" />Ҳужжатга таклиф юбориш</span><span onclick="lx_pa(1924489)"><img src="/img/vlm.svg" />Аудиони тинглаш</span><span onclick="lx_cl(1924489)"><img src="/img/lnk.svg" />Ҳужжат элементидан ҳавола олиш</span></div></div><div name="1924489" id="1924489">радиационно-гигиенической оценки изделий и технологий;</div></div><div class="ACT_TEXT lx_elem" onmousemove="lx_mo(event,1924491)"><div class="lx_elem2"><div class="lx_elem3"><span onclick="lx_sf(1924491)"><img src="/img/cmt.svg" />Ҳужжатга таклиф юбориш</span><span onclick="lx_pa(1924491)"><img src="/img/vlm.svg" />Аудиони тинглаш</span><span onclick="lx_cl(1924491)"><img src="/img/lnk.svg" />Ҳужжат элементидан ҳавола олиш</span></div></div><div name="1924491" id="1924491">наличия системы радиационного контроля;</div></div><div class="ACT_TEXT lx_elem" onmousemove="lx_mo(event,1924492)"><div class="lx_elem2"><div class="lx_elem3"><span onclick="lx_sf(1924492)"><img src="/img/cmt.svg" />Ҳужжатга таклиф юбориш</span><span onclick="lx_pa(1924492)"><img src="/img/vlm.svg" />Аудиони тинглаш</span><span onclick="lx_cl(1924492)"><img src="/img/lnk.svg" />Ҳужжат элементидан ҳавола олиш</span></div></div><div name="1924492" id="1924492">планирования и проведения мероприятий по обеспечению радиационной безопасности персонала и населения при нормальной работе объекта, его реконструкции и выводе из эксплуатации (ликвидации);</div></div><div class="ACT_TEXT lx_elem" onmousemove="lx_mo(event,1924493)"><div class="lx_elem2"><div class="lx_elem3"><span onclick="lx_sf(1924493)"><img src="/img/cmt.svg" />Ҳужжатга таклиф юбориш</span><span onclick="lx_pa(1924493)"><img src="/img/vlm.svg" />Аудиони тинглаш</span><span onclick="lx_cl(1924493)"><img src="/img/lnk.svg" />Ҳужжат элементидан ҳавола олиш</span></div></div><div name="1924493" id="1924493">повышения радиационно-гигиенической грамотности персонала и населения.</div></div><div class="ACT_TEXT lx_elem" onmousemove="lx_mo(event,1924494)"><div class="lx_elem2"><div class="lx_elem3"><span onclick="lx_sf(1924494)"><img src="/img/cmt.svg" />Ҳужжатга таклиф юбориш</span><span onclick="lx_pa(1924494)"><img src="/img/vlm.svg" />Аудиони тинглаш</span><span onclick="lx_cl(1924494)"><img src="/img/lnk.svg" />Ҳужжат элементидан ҳавола олиш</span></div></div><div name="1924494" id="1924494">2.3.2. Радиационная безопасность персонала обеспечивается:</div></div><div class="ACT_TEXT lx_elem" onmousemove="lx_mo(event,1924495)"><div class="lx_elem2"><div class="lx_elem3"><span onclick="lx_sf(1924495)"><img src="/img/cmt.svg" />Ҳужжатга таклиф юбориш</span><span onclick="lx_pa(1924495)"><img src="/img/vlm.svg" />Аудиони тинглаш</span><span onclick="lx_cl(1924495)"><img src="/img/lnk.svg" />Ҳужжат элементидан ҳавола олиш</span></div></div><div name="1924495" id="1924495">ограничениями допуска к работе с источниками излучения по возрасту, полу, состоянию здоровья, уровню предыдущего облучения и другим показателям;</div></div><div class="ACT_TEXT lx_elem" onmousemove="lx_mo(event,1924496)"><div class="lx_elem2"><div class="lx_elem3"><span onclick="lx_sf(1924496)"><img src="/img/cmt.svg" />Ҳужжатга таклиф юбориш</span><span onclick="lx_pa(1924496)"><img src="/img/vlm.svg" />Аудиони тинглаш</span><span onclick="lx_cl(1924496)"><img src="/img/lnk.svg" />Ҳужжат элементидан ҳавола олиш</span></div></div><div name="1924496" id="1924496">знанием и соблюдением правил работы с источниками излучения;</div></div><div class="ACT_TEXT lx_elem" onmousemove="lx_mo(event,1924497)"><div class="lx_elem2"><div class="lx_elem3"><span onclick="lx_sf(1924497)"><img src="/img/cmt.svg" />Ҳужжатга таклиф юбориш</span><span onclick="lx_pa(1924497)"><img src="/img/vlm.svg" />Аудиони тинглаш</span><span onclick="lx_cl(1924497)"><img src="/img/lnk.svg" />Ҳужжат элементидан ҳавола олиш</span></div></div><div name="1924497" id="1924497">достаточностью защитных барьеров, экранов и расстояния от источников излучения, а также ограничением времени работы с источниками излучения;</div></div><div class="ACT_TEXT lx_elem" onmousemove="lx_mo(event,1924498)"><div class="lx_elem2"><div class="lx_elem3"><span onclick="lx_sf(1924498)"><img src="/img/cmt.svg" />Ҳужжатга таклиф юбориш</span><span onclick="lx_pa(1924498)"><img src="/img/vlm.svg" />Аудиони тинглаш</span><span onclick="lx_cl(1924498)"><img src="/img/lnk.svg" />Ҳужжат элементидан ҳавола олиш</span></div></div><div name="1924498" id="1924498">созданием условий труда, отвечающих требованиям <a href="/docs/1908086#1923955">НРБ-2006</a> и настоящих Правил;</div></div><div class="ACT_TEXT lx_elem" onmousemove="lx_mo(event,1924499)"><div class="lx_elem2"><div class="lx_elem3"><span onclick="lx_sf(1924499)"><img src="/img/cmt.svg" />Ҳужжатга таклиф юбориш</span><span onclick="lx_pa(1924499)"><img src="/img/vlm.svg" />Аудиони тинглаш</span><span onclick="lx_cl(1924499)"><img src="/img/lnk.svg" />Ҳужжат элементидан ҳавола олиш</span></div></div><div name="1924499" id="1924499">применением индивидуальных средств защиты;</div></div><div class="ACT_TEXT lx_elem" onmousemove="lx_mo(event,1924500)"><div class="lx_elem2"><div class="lx_elem3"><span onclick="lx_sf(1924500)"><img src="/img/cmt.svg" />Ҳужжатга таклиф юбориш</span><span onclick="lx_pa(1924500)"><img src="/img/vlm.svg" />Аудиони тинглаш</span><span onclick="lx_cl(1924500)"><img src="/img/lnk.svg" />Ҳужжат элементидан ҳавола олиш</span></div></div><div name="1924500" id="1924500">соблюдением установленных контрольных уровней;</div></div><div class="ACT_TEXT lx_elem" onmousemove="lx_mo(event,1924502)"><div class="lx_elem2"><div class="lx_elem3"><span onclick="lx_sf(1924502)"><img src="/img/cmt.svg" />Ҳужжатга таклиф юбориш</span><span onclick="lx_pa(1924502)"><img src="/img/vlm.svg" />Аудиони тинглаш</span><span onclick="lx_cl(1924502)"><img src="/img/lnk.svg" />Ҳужжат элементидан ҳавола олиш</span></div></div><div name="1924502" id="1924502">организацией радиационного контроля;</div></div><div class="ACT_TEXT lx_elem" onmousemove="lx_mo(event,1924503)"><div class="lx_elem2"><div class="lx_elem3"><span onclick="lx_sf(1924503)"><img src="/img/cmt.svg" />Ҳужжатга таклиф юбориш</span><span onclick="lx_pa(1924503)"><img src="/img/vlm.svg" />Аудиони тинглаш</span><span onclick="lx_cl(1924503)"><img src="/img/lnk.svg" />Ҳужжат элементидан ҳавола олиш</span></div></div><div name="1924503" id="1924503">организацией системы информации о радиационной обстановке;</div></div><div class="ACT_TEXT lx_elem" onmousemove="lx_mo(event,1924505)"><div class="lx_elem2"><div class="lx_elem3"><span onclick="lx_sf(1924505)"><img src="/img/cmt.svg" />Ҳужжатга таклиф юбориш</span><span onclick="lx_pa(1924505)"><img src="/img/vlm.svg" />Аудиони тинглаш</span><span onclick="lx_cl(1924505)"><img src="/img/lnk.svg" />Ҳужжат элементидан ҳавола олиш</span></div></div><div name="1924505" id="1924505">проведением эффективных мероприятий по защите персонала при планировании повышенного облучения в случае угрозы и возникновении аварии.</div></div><div class="ACT_TEXT lx_elem" onmousemove="lx_mo(event,1924506)"><div class="lx_elem2"><div class="lx_elem3"><span onclick="lx_sf(1924506)"><img src="/img/cmt.svg" />Ҳужжатга таклиф юбориш</span><span onclick="lx_pa(1924506)"><img src="/img/vlm.svg" />Аудиони тинглаш</span><span onclick="lx_cl(1924506)"><img src="/img/lnk.svg" />Ҳужжат элементидан ҳавола олиш</span></div></div><div name="1924506" id="1924506">2.3.3. Радиационная безопасность населения обеспечивается:</div></div><div class="ACT_TEXT lx_elem" onmousemove="lx_mo(event,1924507)"><div class="lx_elem2"><div class="lx_elem3"><span onclick="lx_sf(1924507)"><img src="/img/cmt.svg" />Ҳужжатга таклиф юбориш</span><span onclick="lx_pa(1924507)"><img src="/img/vlm.svg" />Аудиони тинглаш</span><span onclick="lx_cl(1924507)"><img src="/img/lnk.svg" />Ҳужжат элементидан ҳавола олиш</span></div></div><div name="1924507" id="1924507">созданием условий жизнедеятельности людей, отвечающих требованиям <a href="/docs/1908086#1923955">НРБ-2006</a> и настоящих Правил;</div></div><div class="ACT_TEXT lx_elem" onmousemove="lx_mo(event,1924508)"><div class="lx_elem2"><div class="lx_elem3"><span onclick="lx_sf(1924508)"><img src="/img/cmt.svg" />Ҳужжатга таклиф юбориш</span><span onclick="lx_pa(1924508)"><img src="/img/vlm.svg" />Аудиони тинглаш</span><span onclick="lx_cl(1924508)"><img src="/img/lnk.svg" />Ҳужжат элементидан ҳавола олиш</span></div></div><div name="1924508" id="1924508">организацией радиационного контроля;</div></div><div class="ACT_TEXT lx_elem" onmousemove="lx_mo(event,1924509)"><div class="lx_elem2"><div class="lx_elem3"><span onclick="lx_sf(1924509)"><img src="/img/cmt.svg" />Ҳужжатга таклиф юбориш</span><span onclick="lx_pa(1924509)"><img src="/img/vlm.svg" />Аудиони тинглаш</span><span onclick="lx_cl(1924509)"><img src="/img/lnk.svg" />Ҳужжат элементидан ҳавола олиш</span></div></div><div name="1924509" id="1924509">эффективностью планирования и проведения мероприятий по радиационной защите в нормальных условиях и в случае радиационной аварии;</div></div><div class="ACT_TEXT lx_elem" onmousemove="lx_mo(event,1924510)"><div class="lx_elem2"><div class="lx_elem3"><span onclick="lx_sf(1924510)"><img src="/img/cmt.svg" />Ҳужжатга таклиф юбориш</span><span onclick="lx_pa(1924510)"><img src="/img/vlm.svg" />Аудиони тинглаш</span><span onclick="lx_cl(1924510)"><img src="/img/lnk.svg" />Ҳужжат элементидан ҳавола олиш</span></div></div><div name="1924510" id="1924510">организацией системы информации о радиационной обстановке.</div></div><div class="ACT_TEXT lx_elem" onmousemove="lx_mo(event,1924512)"><div class="lx_elem2"><div class="lx_elem3"><span onclick="lx_sf(1924512)"><img src="/img/cmt.svg" />Ҳужжатга таклиф юбориш</span><span onclick="lx_pa(1924512)"><img src="/img/vlm.svg" />Аудиони тинглаш</span><span onclick="lx_cl(1924512)"><img src="/img/lnk.svg" />Ҳужжат элементидан ҳавола олиш</span></div></div><div name="1924512" id="1924512">2.3.4. При разработке мероприятий по снижению доз облучения персонала и населения следует исходить из следующих основных положений:</div></div><div class="ACT_TEXT lx_elem" onmousemove="lx_mo(event,1924513)"><div class="lx_elem2"><div class="lx_elem3"><span onclick="lx_sf(1924513)"><img src="/img/cmt.svg" />Ҳужжатга таклиф юбориш</span><span onclick="lx_pa(1924513)"><img src="/img/vlm.svg" />Аудиони тинглаш</span><span onclick="lx_cl(1924513)"><img src="/img/lnk.svg" />Ҳужжат элементидан ҳавола олиш</span></div></div><div name="1924513" id="1924513">индивидуальные дозы должны в первую очередь снижаться там, где они превышают допустимый уровень облучения;</div></div><div class="ACT_TEXT lx_elem" onmousemove="lx_mo(event,1924514)"><div class="lx_elem2"><div class="lx_elem3"><span onclick="lx_sf(1924514)"><img src="/img/cmt.svg" />Ҳужжатга таклиф юбориш</span><span onclick="lx_pa(1924514)"><img src="/img/vlm.svg" />Аудиони тинглаш</span><span onclick="lx_cl(1924514)"><img src="/img/lnk.svg" />Ҳужжат элементидан ҳавола олиш</span></div></div><div name="1924514" id="1924514">мероприятия по коллективной защите людей в первую очередь должны осуществляться в отношении тех источников излучения, где возможно достичь наибольшего снижения коллективной дозы облучения при минимальных затратах;</div></div><div class="ACT_TEXT lx_elem" onmousemove="lx_mo(event,1924515)"><div class="lx_elem2"><div class="lx_elem3"><span onclick="lx_sf(1924515)"><img src="/img/cmt.svg" />Ҳужжатга таклиф юбориш</span><span onclick="lx_pa(1924515)"><img src="/img/vlm.svg" />Аудиони тинглаш</span><span onclick="lx_cl(1924515)"><img src="/img/lnk.svg" />Ҳужжат элементидан ҳавола олиш</span></div></div><div name="1924515" id="1924515">снижение доз от каждого источника излучения должно, прежде всего, достигаться за счет уменьшения облучения критических групп для этого источника излучения.</div></div><div class="ACT_TEXT lx_elem" onmousemove="lx_mo(event,1924516)"><div class="lx_elem2"><div class="lx_elem3"><span onclick="lx_sf(1924516)"><img src="/img/cmt.svg" />Ҳужжатга таклиф юбориш</span><span onclick="lx_pa(1924516)"><img src="/img/vlm.svg" />Аудиони тинглаш</span><span onclick="lx_cl(1924516)"><img src="/img/lnk.svg" />Ҳужжат элементидан ҳавола олиш</span></div></div><div name="1924516" id="1924516">2.3.5. Применение радиоактивных веществ в различных областях хозяйства путем их введения в вырабатываемую продукцию (независимо от физического состояния продукции) разрешается при наличии санитарно-эпидемиологического заключения, выдаваемого ЦГСЭН.</div></div><div class="ACT_TEXT lx_elem" onmousemove="lx_mo(event,1924527)"><div class="lx_elem2"><div class="lx_elem3"><span onclick="lx_sf(1924527)"><img src="/img/cmt.svg" />Ҳужжатга таклиф юбориш</span><span onclick="lx_pa(1924527)"><img src="/img/vlm.svg" />Аудиони тинглаш</span><span onclick="lx_cl(1924527)"><img src="/img/lnk.svg" />Ҳужжат элементидан ҳавола олиш</span></div></div><div name="1924527" id="1924527">2.4. Общие требования к контролю за радиационной безопасностью</div></div><div class="ACT_TEXT lx_elem" onmousemove="lx_mo(event,1924528)"><div class="lx_elem2"><div class="lx_elem3"><span onclick="lx_sf(1924528)"><img src="/img/cmt.svg" />Ҳужжатга таклиф юбориш</span><span onclick="lx_pa(1924528)"><img src="/img/vlm.svg" />Аудиони тинглаш</span><span onclick="lx_cl(1924528)"><img src="/img/lnk.svg" />Ҳужжат элементидан ҳавола олиш</span></div></div><div name="1924528" id="1924528">2.4.1. Радиационный контроль охватывает все основные виды воздействия ионизирующего излучения на человека, перечисленные в <a href="/docs/1908086#1908094">п. 1.2</a> НРБ-2006.</div></div><div class="ACT_TEXT lx_elem" onmousemove="lx_mo(event,1924530)"><div class="lx_elem2"><div class="lx_elem3"><span onclick="lx_sf(1924530)"><img src="/img/cmt.svg" />Ҳужжатга таклиф юбориш</span><span onclick="lx_pa(1924530)"><img src="/img/vlm.svg" />Аудиони тинглаш</span><span onclick="lx_cl(1924530)"><img src="/img/lnk.svg" />Ҳужжат элементидан ҳавола олиш</span></div></div><div name="1924530" id="1924530">2.4.2. Целью радиационного контроля является получение информации об индивидуальных и коллективных дозах облучения персонала, пациентов и населения при всех условиях жизнедеятельности человека, а также сведений о всех регламентируемых величинах, характеризующих радиационную обстановку.</div></div><div class="ACT_TEXT lx_elem" onmousemove="lx_mo(event,1924531)"><div class="lx_elem2"><div class="lx_elem3"><span onclick="lx_sf(1924531)"><img src="/img/cmt.svg" />Ҳужжатга таклиф юбориш</span><span onclick="lx_pa(1924531)"><img src="/img/vlm.svg" />Аудиони тинглаш</span><span onclick="lx_cl(1924531)"><img src="/img/lnk.svg" />Ҳужжат элементидан ҳавола олиш</span></div></div><div name="1924531" id="1924531">2.4.3. Объектами радиационного контроля являются:</div></div><div class="ACT_TEXT lx_elem" onmousemove="lx_mo(event,1924533)"><div class="lx_elem2"><div class="lx_elem3"><span onclick="lx_sf(1924533)"><img src="/img/cmt.svg" />Ҳужжатга таклиф юбориш</span><span onclick="lx_pa(1924533)"><img src="/img/vlm.svg" />Аудиони тинглаш</span><span onclick="lx_cl(1924533)"><img src="/img/lnk.svg" />Ҳужжат элементидан ҳавола олиш</span></div></div><div name="1924533" id="1924533">персонал категории А при воздействии на них ионизирующего излучения в производственных условиях;</div></div><div class="ACT_TEXT lx_elem" onmousemove="lx_mo(event,1924534)"><div class="lx_elem2"><div class="lx_elem3"><span onclick="lx_sf(1924534)"><img src="/img/cmt.svg" />Ҳужжатга таклиф юбориш</span><span onclick="lx_pa(1924534)"><img src="/img/vlm.svg" />Аудиони тинглаш</span><span onclick="lx_cl(1924534)"><img src="/img/lnk.svg" />Ҳужжат элементидан ҳавола олиш</span></div></div><div name="1924534" id="1924534">ограниченная часть населения;</div></div><div class="ACT_TEXT lx_elem" onmousemove="lx_mo(event,1924535)"><div class="lx_elem2"><div class="lx_elem3"><span onclick="lx_sf(1924535)"><img src="/img/cmt.svg" />Ҳужжатга таклиф юбориш</span><span onclick="lx_pa(1924535)"><img src="/img/vlm.svg" />Аудиони тинглаш</span><span onclick="lx_cl(1924535)"><img src="/img/lnk.svg" />Ҳужжат элементидан ҳавола олиш</span></div></div><div name="1924535" id="1924535">пациенты при выполнении медицинских рентгенорадиологических процедур;</div></div><div class="ACT_TEXT lx_elem" onmousemove="lx_mo(event,1924536)"><div class="lx_elem2"><div class="lx_elem3"><span onclick="lx_sf(1924536)"><img src="/img/cmt.svg" />Ҳужжатга таклиф юбориш</span><span onclick="lx_pa(1924536)"><img src="/img/vlm.svg" />Аудиони тинглаш</span><span onclick="lx_cl(1924536)"><img src="/img/lnk.svg" />Ҳужжат элементидан ҳавола олиш</span></div></div><div name="1924536" id="1924536">население при воздействии на него природных и техногенных источников излучения;</div></div><div class="ACT_TEXT lx_elem" onmousemove="lx_mo(event,1924538)"><div class="lx_elem2"><div class="lx_elem3"><span onclick="lx_sf(1924538)"><img src="/img/cmt.svg" />Ҳужжатга таклиф юбориш</span><span onclick="lx_pa(1924538)"><img src="/img/vlm.svg" />Аудиони тинглаш</span><span onclick="lx_cl(1924538)"><img src="/img/lnk.svg" />Ҳужжат элементидан ҳавола олиш</span></div></div><div name="1924538" id="1924538">среда обитания человека.</div></div><div class="ACT_TEXT lx_elem" onmousemove="lx_mo(event,1924548)"><div class="lx_elem2"><div class="lx_elem3"><span onclick="lx_sf(1924548)"><img src="/img/cmt.svg" />Ҳужжатга таклиф юбориш</span><span onclick="lx_pa(1924548)"><img src="/img/vlm.svg" />Аудиони тинглаш</span><span onclick="lx_cl(1924548)"><img src="/img/lnk.svg" />Ҳужжат элементидан ҳавола олиш</span></div></div><div name="1924548" id="1924548">2.4.4. Контроль за радиационной безопасностью в организации, где планируется обращение с источниками излучения, разрабатывается на стадии проектирования.</div></div><div class="ACT_TEXT lx_elem" onmousemove="lx_mo(event,1924549)"><div class="lx_elem2"><div class="lx_elem3"><span onclick="lx_sf(1924549)"><img src="/img/cmt.svg" />Ҳужжатга таклиф юбориш</span><span onclick="lx_pa(1924549)"><img src="/img/vlm.svg" />Аудиони тинглаш</span><span onclick="lx_cl(1924549)"><img src="/img/lnk.svg" />Ҳужжат элементидан ҳавола олиш</span></div></div><div name="1924549" id="1924549">В разделе «Радиационный контроль» определяются виды и объем радиометрического и дозиметрического контроля, перечень необходимых радиометрических и дозиметрических приборов, вспомогательного оборудования, размещение стационарных приборов и точек постоянного и периодического контроля, состав необходимых помещений, а также штат работников, осуществляющих радиационный контроль. На проект необходимо иметь санитарно-эпидемиологическое заключение ЦГСЭН.</div></div><div class="ACT_TEXT lx_elem" onmousemove="lx_mo(event,1924552)"><div class="lx_elem2"><div class="lx_elem3"><span onclick="lx_sf(1924552)"><img src="/img/cmt.svg" />Ҳужжатга таклиф юбориш</span><span onclick="lx_pa(1924552)"><img src="/img/vlm.svg" />Аудиони тинглаш</span><span onclick="lx_cl(1924552)"><img src="/img/lnk.svg" />Ҳужжат элементидан ҳавола олиш</span></div></div><div name="1924552" id="1924552">Контроль за радиационной безопасностью, определенный проектом, уточняется в зависимости от конкретной радиационной обстановки в данной организации и на прилегающей территории, и согласовывается с ЦГСЭН.</div></div><div class="ACT_TEXT lx_elem" onmousemove="lx_mo(event,1924554)"><div class="lx_elem2"><div class="lx_elem3"><span onclick="lx_sf(1924554)"><img src="/img/cmt.svg" />Ҳужжатга таклиф юбориш</span><span onclick="lx_pa(1924554)"><img src="/img/vlm.svg" />Аудиони тинглаш</span><span onclick="lx_cl(1924554)"><img src="/img/lnk.svg" />Ҳужжат элементидан ҳавола олиш</span></div></div><div name="1924554" id="1924554">2.4.5. В организации, в зависимости от объема и характера работ, производственный контроль за радиационной безопасностью осуществляется специальной службой или лицом, ответственным за радиационную безопасность, прошедшим специальную подготовку.</div></div><div class="ACT_TEXT lx_elem" onmousemove="lx_mo(event,1924555)"><div class="lx_elem2"><div class="lx_elem3"><span onclick="lx_sf(1924555)"><img src="/img/cmt.svg" />Ҳужжатга таклиф юбориш</span><span onclick="lx_pa(1924555)"><img src="/img/vlm.svg" />Аудиони тинглаш</span><span onclick="lx_cl(1924555)"><img src="/img/lnk.svg" />Ҳужжат элементидан ҳавола олиш</span></div></div><div name="1924555" id="1924555">2.4.6. Производственный контроль за радиационной безопасностью в организации, где происходит облучение работников природными источниками излучения в дозе более 5 мЗв в год, также осуществляется специальной службой или лицом, ответственным за радиационную безопасность.</div></div><div class="ACT_TEXT lx_elem" onmousemove="lx_mo(event,1924557)"><div class="lx_elem2"><div class="lx_elem3"><span onclick="lx_sf(1924557)"><img src="/img/cmt.svg" />Ҳужжатга таклиф юбориш</span><span onclick="lx_pa(1924557)"><img src="/img/vlm.svg" />Аудиони тинглаш</span><span onclick="lx_cl(1924557)"><img src="/img/lnk.svg" />Ҳужжат элементидан ҳавола олиш</span></div></div><div name="1924557" id="1924557">2.4.7. Порядок проведения производственного контроля за радиационной безопасностью специальной службой (или лицом, ответственным за радиационную безопасность), определяющий ее задачи с учетом особенностей и условий выполняемых ею работ, согласовывается с ЦГСЭН.</div></div><div class="ACT_TEXT lx_elem" onmousemove="lx_mo(event,1924558)"><div class="lx_elem2"><div class="lx_elem3"><span onclick="lx_sf(1924558)"><img src="/img/cmt.svg" />Ҳужжатга таклиф юбориш</span><span onclick="lx_pa(1924558)"><img src="/img/vlm.svg" />Аудиони тинглаш</span><span onclick="lx_cl(1924558)"><img src="/img/lnk.svg" />Ҳужжат элементидан ҳавола олиш</span></div></div><div name="1924558" id="1924558">2.4.8. Радиационный контроль организаций и территорий предусматривает проведение контроля и учета индивидуальных доз облучения работников (персонала). Регистрация доз облучения персонала должна проводиться в соответствии с единой государственной системой контроля и учета доз облучения.</div></div><div class="ACT_TEXT lx_elem" onmousemove="lx_mo(event,1924559)"><div class="lx_elem2"><div class="lx_elem3"><span onclick="lx_sf(1924559)"><img src="/img/cmt.svg" />Ҳужжатга таклиф юбориш</span><span onclick="lx_pa(1924559)"><img src="/img/vlm.svg" />Аудиони тинглаш</span><span onclick="lx_cl(1924559)"><img src="/img/lnk.svg" />Ҳужжат элементидан ҳавола олиш</span></div></div><div name="1924559" id="1924559">2.4.9. Средства измерений должны применяться по назначению и периодически проходить поверку, калибровку и сличение в установленном порядке.</div></div><div class="ACT_TEXT lx_elem" onmousemove="lx_mo(event,1924560)"><div class="lx_elem2"><div class="lx_elem3"><span onclick="lx_sf(1924560)"><img src="/img/cmt.svg" />Ҳужжатга таклиф юбориш</span><span onclick="lx_pa(1924560)"><img src="/img/vlm.svg" />Аудиони тинглаш</span><span onclick="lx_cl(1924560)"><img src="/img/lnk.svg" />Ҳужжат элементидан ҳавола олиш</span></div></div><div name="1924560" id="1924560">2.4.10. Анализ результатов производственного контроля за радиационной безопасностью осуществляется в каждой организации и результаты оценки ежегодно заносятся в радиационно-гигиенические паспорта организаций.</div></div><div class="ACT_TEXT lx_elem" onmousemove="lx_mo(event,1924561)"><div class="lx_elem2"><div class="lx_elem3"><span onclick="lx_sf(1924561)"><img src="/img/cmt.svg" />Ҳужжатга таклиф юбориш</span><span onclick="lx_pa(1924561)"><img src="/img/vlm.svg" />Аудиони тинглаш</span><span onclick="lx_cl(1924561)"><img src="/img/lnk.svg" />Ҳужжат элементидан ҳавола олиш</span></div></div><div name="1924561" id="1924561">2.4.11. Данные контроля за радиационной безопасностью используются для оценки радиационной обстановки, установления контрольных уровней, разработки мероприятий по снижению доз облучения и оценки их эффективности, ведения радиационно-гигиенических паспортов организаций.</div></div><div class="ACT_TEXT lx_elem" onmousemove="lx_mo(event,1924563)"><div class="lx_elem2"><div class="lx_elem3"><span onclick="lx_sf(1924563)"><img src="/img/cmt.svg" />Ҳужжатга таклиф юбориш</span><span onclick="lx_pa(1924563)"><img src="/img/vlm.svg" />Аудиони тинглаш</span><span onclick="lx_cl(1924563)"><img src="/img/lnk.svg" />Ҳужжат элементидан ҳавола олиш</span></div></div><div name="1924563" id="1924563">2.4.12. Для лиц, у которых накопленная доза от одного из основных видов облучения (по <a href="/docs/1908086#1908094">п. 1.2</a> НРБ-2006) превышает 0,5 Зв, должна, по возможности, проводиться восстановление доз от остальных видов облучения.</div></div><div class="ACT_TEXT lx_elem" onmousemove="lx_mo(event,1924566)"><div class="lx_elem2"><div class="lx_elem3"><span onclick="lx_sf(1924566)"><img src="/img/cmt.svg" />Ҳужжатга таклиф юбориш</span><span onclick="lx_pa(1924566)"><img src="/img/vlm.svg" />Аудиони тинглаш</span><span onclick="lx_cl(1924566)"><img src="/img/lnk.svg" />Ҳужжат элементидан ҳавола олиш</span></div></div><div name="1924566" id="1924566">2.5. Требования к администрации, персоналу и гражданам по обеспечению радиационной безопасности</div></div><div class="ACT_TEXT lx_elem" onmousemove="lx_mo(event,1924567)"><div class="lx_elem2"><div class="lx_elem3"><span onclick="lx_sf(1924567)"><img src="/img/cmt.svg" />Ҳужжатга таклиф юбориш</span><span onclick="lx_pa(1924567)"><img src="/img/vlm.svg" />Аудиони тинглаш</span><span onclick="lx_cl(1924567)"><img src="/img/lnk.svg" />Ҳужжат элементидан ҳавола олиш</span></div></div><div name="1924567" id="1924567">2.5.1. Министерствам (ведомствам) необходимо:</div></div><div class="ACT_TEXT lx_elem" onmousemove="lx_mo(event,1924571)"><div class="lx_elem2"><div class="lx_elem3"><span onclick="lx_sf(1924571)"><img src="/img/cmt.svg" />Ҳужжатга таклиф юбориш</span><span onclick="lx_pa(1924571)"><img src="/img/vlm.svg" />Аудиони тинглаш</span><span onclick="lx_cl(1924571)"><img src="/img/lnk.svg" />Ҳужжат элементидан ҳавола олиш</span></div></div><div name="1924571" id="1924571">осуществлять централизованное управление подведомственными организациями в области обеспечения радиационной безопасности;</div></div><div class="ACT_TEXT lx_elem" onmousemove="lx_mo(event,1924572)"><div class="lx_elem2"><div class="lx_elem3"><span onclick="lx_sf(1924572)"><img src="/img/cmt.svg" />Ҳужжатга таклиф юбориш</span><span onclick="lx_pa(1924572)"><img src="/img/vlm.svg" />Аудиони тинглаш</span><span onclick="lx_cl(1924572)"><img src="/img/lnk.svg" />Ҳужжат элементидан ҳавола олиш</span></div></div><div name="1924572" id="1924572">проводить анализ состояния радиационной безопасности в организациях, обмен опытом и доводить до них законодательную и нормативную информацию.</div></div><div class="ACT_TEXT lx_elem" onmousemove="lx_mo(event,1924575)"><div class="lx_elem2"><div class="lx_elem3"><span onclick="lx_sf(1924575)"><img src="/img/cmt.svg" />Ҳужжатга таклиф юбориш</span><span onclick="lx_pa(1924575)"><img src="/img/vlm.svg" />Аудиони тинглаш</span><span onclick="lx_cl(1924575)"><img src="/img/lnk.svg" />Ҳужжат элементидан ҳавола олиш</span></div></div><div name="1924575" id="1924575">2.5.2. Эксплуатирующая организация несет ответственность за радиационную безопасность и обеспечивает:</div></div><div class="ACT_TEXT lx_elem" onmousemove="lx_mo(event,1924577)"><div class="lx_elem2"><div class="lx_elem3"><span onclick="lx_sf(1924577)"><img src="/img/cmt.svg" />Ҳужжатга таклиф юбориш</span><span onclick="lx_pa(1924577)"><img src="/img/vlm.svg" />Аудиони тинглаш</span><span onclick="lx_cl(1924577)"><img src="/img/lnk.svg" />Ҳужжат элементидан ҳавола олиш</span></div></div><div name="1924577" id="1924577">соблюдение требований <a href="/docs/13868">Закона</a> Республики Узбекистан «О радиационной безопасности», <a href="/docs/1908086#1923955">НРБ-2006</a> и настоящих Правил;</div></div><div class="ACT_TEXT lx_elem" onmousemove="lx_mo(event,1924578)"><div class="lx_elem2"><div class="lx_elem3"><span onclick="lx_sf(1924578)"><img src="/img/cmt.svg" />Ҳужжатга таклиф юбориш</span><span onclick="lx_pa(1924578)"><img src="/img/vlm.svg" />Аудиони тинглаш</span><span onclick="lx_cl(1924578)"><img src="/img/lnk.svg" />Ҳужжат элементидан ҳавола олиш</span></div></div><div name="1924578" id="1924578">получение санитарно-эпидемиологического заключения и лицензии на проведение работ с источниками излучения на выпускаемую продукцию, содержащую источники излучения;</div></div><div class="ACT_TEXT lx_elem" onmousemove="lx_mo(event,1924580)"><div class="lx_elem2"><div class="lx_elem3"><span onclick="lx_sf(1924580)"><img src="/img/cmt.svg" />Ҳужжатга таклиф юбориш</span><span onclick="lx_pa(1924580)"><img src="/img/vlm.svg" />Аудиони тинглаш</span><span onclick="lx_cl(1924580)"><img src="/img/lnk.svg" />Ҳужжат элементидан ҳавола олиш</span></div></div><div name="1924580" id="1924580">разработку контрольных уровней воздействия радиационных факторов в организации и зоне наблюдения с целью закрепления достигнутого уровня радиационной безопасности, а также инструкций по радиационной безопасности;</div></div><div class="ACT_TEXT lx_elem" onmousemove="lx_mo(event,1924582)"><div class="lx_elem2"><div class="lx_elem3"><span onclick="lx_sf(1924582)"><img src="/img/cmt.svg" />Ҳужжатга таклиф юбориш</span><span onclick="lx_pa(1924582)"><img src="/img/vlm.svg" />Аудиони тинглаш</span><span onclick="lx_cl(1924582)"><img src="/img/lnk.svg" />Ҳужжат элементидан ҳавола олиш</span></div></div><div name="1924582" id="1924582">перечень лиц, относящихся к персоналу категории А;</div></div><div class="ACT_TEXT lx_elem" onmousemove="lx_mo(event,1924591)"><div class="lx_elem2"><div class="lx_elem3"><span onclick="lx_sf(1924591)"><img src="/img/cmt.svg" />Ҳужжатга таклиф юбориш</span><span onclick="lx_pa(1924591)"><img src="/img/vlm.svg" />Аудиони тинглаш</span><span onclick="lx_cl(1924591)"><img src="/img/lnk.svg" />Ҳужжат элементидан ҳавола олиш</span></div></div><div name="1924591" id="1924591">создание условий работы с источниками излучения, соответствующие настоящим Правилам, правилам по охране труда, технике безопасности, другим санитарным нормам и правилам, действие которых распространяется на данную организацию;</div></div><div class="ACT_TEXT lx_elem" onmousemove="lx_mo(event,1924592)"><div class="lx_elem2"><div class="lx_elem3"><span onclick="lx_sf(1924592)"><img src="/img/cmt.svg" />Ҳужжатга таклиф юбориш</span><span onclick="lx_pa(1924592)"><img src="/img/vlm.svg" />Аудиони тинглаш</span><span onclick="lx_cl(1924592)"><img src="/img/lnk.svg" />Ҳужжат элементидан ҳавола олиш</span></div></div><div name="1924592" id="1924592">планирование и осуществление мероприятий по обеспечению и совершенствованию радиационной безопасности в организации;</div></div><div class="ACT_TEXT lx_elem" onmousemove="lx_mo(event,1924594)"><div class="lx_elem2"><div class="lx_elem3"><span onclick="lx_sf(1924594)"><img src="/img/cmt.svg" />Ҳужжатга таклиф юбориш</span><span onclick="lx_pa(1924594)"><img src="/img/vlm.svg" />Аудиони тинглаш</span><span onclick="lx_cl(1924594)"><img src="/img/lnk.svg" />Ҳужжат элементидан ҳавола олиш</span></div></div><div name="1924594" id="1924594">систематический контроль радиационной обстановки на рабочих местах, в помещениях, на территории организации, в санитарно-защитной зоне и в зоне наблюдения, а также за выбросом и сбросом радиоактивных веществ;</div></div><div class="ACT_TEXT lx_elem" onmousemove="lx_mo(event,1924595)"><div class="lx_elem2"><div class="lx_elem3"><span onclick="lx_sf(1924595)"><img src="/img/cmt.svg" />Ҳужжатга таклиф юбориш</span><span onclick="lx_pa(1924595)"><img src="/img/vlm.svg" />Аудиони тинглаш</span><span onclick="lx_cl(1924595)"><img src="/img/lnk.svg" />Ҳужжат элементидан ҳавола олиш</span></div></div><div name="1924595" id="1924595">контроль и учет индивидуальных доз облучения персонала (обязательное проведение ИДК в установленном порядке);</div></div><div class="ACT_TEXT lx_elem" onmousemove="lx_mo(event,1924596)"><div class="lx_elem2"><div class="lx_elem3"><span onclick="lx_sf(1924596)"><img src="/img/cmt.svg" />Ҳужжатга таклиф юбориш</span><span onclick="lx_pa(1924596)"><img src="/img/vlm.svg" />Аудиони тинглаш</span><span onclick="lx_cl(1924596)"><img src="/img/lnk.svg" />Ҳужжат элементидан ҳавола олиш</span></div></div><div name="1924596" id="1924596">регулярное информирование персонала об уровнях излучения на рабочих местах и о величине полученных им индивидуальных доз облучения;</div></div><div class="ACT_TEXT lx_elem" onmousemove="lx_mo(event,1924597)"><div class="lx_elem2"><div class="lx_elem3"><span onclick="lx_sf(1924597)"><img src="/img/cmt.svg" />Ҳужжатга таклиф юбориш</span><span onclick="lx_pa(1924597)"><img src="/img/vlm.svg" />Аудиони тинглаш</span><span onclick="lx_cl(1924597)"><img src="/img/lnk.svg" />Ҳужжат элементидан ҳавола олиш</span></div></div><div name="1924597" id="1924597">подготовку и аттестацию по вопросам обеспечения радиационной безопасности руководителей и исполнителей работ, специалистов служб радиационной безопасности, других лиц, постоянно или временно выполняющих работы с источниками излучения;</div></div><div class="ACT_TEXT lx_elem" onmousemove="lx_mo(event,1924598)"><div class="lx_elem2"><div class="lx_elem3"><span onclick="lx_sf(1924598)"><img src="/img/cmt.svg" />Ҳужжатга таклиф юбориш</span><span onclick="lx_pa(1924598)"><img src="/img/vlm.svg" />Аудиони тинглаш</span><span onclick="lx_cl(1924598)"><img src="/img/lnk.svg" />Ҳужжат элементидан ҳавола олиш</span></div></div><div name="1924598" id="1924598">проведение инструктажа и проверку знаний персонала в области радиационной безопасности;</div></div><div class="ACT_TEXT lx_elem" onmousemove="lx_mo(event,1924599)"><div class="lx_elem2"><div class="lx_elem3"><span onclick="lx_sf(1924599)"><img src="/img/cmt.svg" />Ҳужжатга таклиф юбориш</span><span onclick="lx_pa(1924599)"><img src="/img/vlm.svg" />Аудиони тинглаш</span><span onclick="lx_cl(1924599)"><img src="/img/lnk.svg" />Ҳужжат элементидан ҳавола олиш</span></div></div><div name="1924599" id="1924599">проведение предварительных (при поступлении на работу) и периодических медицинских осмотров персонала;</div></div><div class="ACT_TEXT lx_elem" onmousemove="lx_mo(event,1924600)"><div class="lx_elem2"><div class="lx_elem3"><span onclick="lx_sf(1924600)"><img src="/img/cmt.svg" />Ҳужжатга таклиф юбориш</span><span onclick="lx_pa(1924600)"><img src="/img/vlm.svg" />Аудиони тинглаш</span><span onclick="lx_cl(1924600)"><img src="/img/lnk.svg" />Ҳужжат элементидан ҳавола олиш</span></div></div><div name="1924600" id="1924600">ежегодное в установленные сроки представление заполненного радиационно-гигиенического паспорта организации;</div></div><div class="ACT_TEXT lx_elem" onmousemove="lx_mo(event,1924602)"><div class="lx_elem2"><div class="lx_elem3"><span onclick="lx_sf(1924602)"><img src="/img/cmt.svg" />Ҳужжатга таклиф юбориш</span><span onclick="lx_pa(1924602)"><img src="/img/vlm.svg" />Аудиони тинглаш</span><span onclick="lx_cl(1924602)"><img src="/img/lnk.svg" />Ҳужжат элементидан ҳавола олиш</span></div></div><div name="1924602" id="1924602">своевременное информирование органов исполнительной власти, уполномоченных осуществлять государственное управление, государственный надзор и контроль в области радиационной безопасности, о возникновении аварийной ситуации или аварии;</div></div><div class="ACT_TEXT lx_elem" onmousemove="lx_mo(event,1924607)"><div class="lx_elem2"><div class="lx_elem3"><span onclick="lx_sf(1924607)"><img src="/img/cmt.svg" />Ҳужжатга таклиф юбориш</span><span onclick="lx_pa(1924607)"><img src="/img/vlm.svg" />Аудиони тинглаш</span><span onclick="lx_cl(1924607)"><img src="/img/lnk.svg" />Ҳужжат элементидан ҳавола олиш</span></div></div><div name="1924607" id="1924607">выполнение постановлений и предписаний должностных лиц органов исполнительной власти, осуществляющих государственное управление, государственный надзор и контроль в области обеспечения радиационной безопасности.</div></div><div class="ACT_TEXT lx_elem" onmousemove="lx_mo(event,1924609)"><div class="lx_elem2"><div class="lx_elem3"><span onclick="lx_sf(1924609)"><img src="/img/cmt.svg" />Ҳужжатга таклиф юбориш</span><span onclick="lx_pa(1924609)"><img src="/img/vlm.svg" />Аудиони тинглаш</span><span onclick="lx_cl(1924609)"><img src="/img/lnk.svg" />Ҳужжат элементидан ҳавола олиш</span></div></div><div name="1924609" id="1924609">2.5.3. Персоналу, работающему с источниками излучения (категория А), следует:</div></div><div class="ACT_TEXT lx_elem" onmousemove="lx_mo(event,1924613)"><div class="lx_elem2"><div class="lx_elem3"><span onclick="lx_sf(1924613)"><img src="/img/cmt.svg" />Ҳужжатга таклиф юбориш</span><span onclick="lx_pa(1924613)"><img src="/img/vlm.svg" />Аудиони тинглаш</span><span onclick="lx_cl(1924613)"><img src="/img/lnk.svg" />Ҳужжат элементидан ҳавола олиш</span></div></div><div name="1924613" id="1924613">знать и строго выполнять требования по обеспечению радиационной безопасности, установленные настоящими Правилами, инструкциями по радиационной безопасности и должностными инструкциями;</div></div><div class="ACT_TEXT lx_elem" onmousemove="lx_mo(event,1924614)"><div class="lx_elem2"><div class="lx_elem3"><span onclick="lx_sf(1924614)"><img src="/img/cmt.svg" />Ҳужжатга таклиф юбориш</span><span onclick="lx_pa(1924614)"><img src="/img/vlm.svg" />Аудиони тинглаш</span><span onclick="lx_cl(1924614)"><img src="/img/lnk.svg" />Ҳужжат элементидан ҳавола олиш</span></div></div><div name="1924614" id="1924614">использовать в предусмотренных случаях средства индивидуальной защиты;</div></div><div class="ACT_TEXT lx_elem" onmousemove="lx_mo(event,1924615)"><div class="lx_elem2"><div class="lx_elem3"><span onclick="lx_sf(1924615)"><img src="/img/cmt.svg" />Ҳужжатга таклиф юбориш</span><span onclick="lx_pa(1924615)"><img src="/img/vlm.svg" />Аудиони тинглаш</span><span onclick="lx_cl(1924615)"><img src="/img/lnk.svg" />Ҳужжат элементидан ҳавола олиш</span></div></div><div name="1924615" id="1924615">выполнять установленные требования по предупреждению радиационной аварии и правила поведения в случае ее возникновения;</div></div><div class="ACT_TEXT lx_elem" onmousemove="lx_mo(event,1924616)"><div class="lx_elem2"><div class="lx_elem3"><span onclick="lx_sf(1924616)"><img src="/img/cmt.svg" />Ҳужжатга таклиф юбориш</span><span onclick="lx_pa(1924616)"><img src="/img/vlm.svg" />Аудиони тинглаш</span><span onclick="lx_cl(1924616)"><img src="/img/lnk.svg" />Ҳужжат элементидан ҳавола олиш</span></div></div><div name="1924616" id="1924616">своевременно проходить периодические медицинские осмотры и выполнять рекомендации медицинской комиссии;</div></div><div class="ACT_TEXT lx_elem" onmousemove="lx_mo(event,1924617)"><div class="lx_elem2"><div class="lx_elem3"><span onclick="lx_sf(1924617)"><img src="/img/cmt.svg" />Ҳужжатга таклиф юбориш</span><span onclick="lx_pa(1924617)"><img src="/img/vlm.svg" />Аудиони тинглаш</span><span onclick="lx_cl(1924617)"><img src="/img/lnk.svg" />Ҳужжат элементидан ҳавола олиш</span></div></div><div name="1924617" id="1924617">обо всех обнаруженных неисправностях в работе установок, приборов и аппаратов, являющихся источниками излучения, немедленно ставить в известность руководителя (цеха, участка, лаборатории и т. п.) и службу радиационной безопасности (лицо, ответственное за радиационную безопасность);</div></div><div class="ACT_TEXT lx_elem" onmousemove="lx_mo(event,1924618)"><div class="lx_elem2"><div class="lx_elem3"><span onclick="lx_sf(1924618)"><img src="/img/cmt.svg" />Ҳужжатга таклиф юбориш</span><span onclick="lx_pa(1924618)"><img src="/img/vlm.svg" />Аудиони тинглаш</span><span onclick="lx_cl(1924618)"><img src="/img/lnk.svg" />Ҳужжат элементидан ҳавола олиш</span></div></div><div name="1924618" id="1924618">выполнять указания службы радиационной безопасности, касающиеся обеспечения радиационной безопасности при выполнении работ;</div></div><div class="ACT_TEXT lx_elem" onmousemove="lx_mo(event,1924619)"><div class="lx_elem2"><div class="lx_elem3"><span onclick="lx_sf(1924619)"><img src="/img/cmt.svg" />Ҳужжатга таклиф юбориш</span><span onclick="lx_pa(1924619)"><img src="/img/vlm.svg" />Аудиони тинглаш</span><span onclick="lx_cl(1924619)"><img src="/img/lnk.svg" />Ҳужжат элементидан ҳавола олиш</span></div></div><div name="1924619" id="1924619">по окончании смены покинуть свои рабочие места, если дальнейшее пребывание там не диктуется производственной необходимостью.</div></div><div class="ACT_TEXT lx_elem" onmousemove="lx_mo(event,1924620)"><div class="lx_elem2"><div class="lx_elem3"><span onclick="lx_sf(1924620)"><img src="/img/cmt.svg" />Ҳужжатга таклиф юбориш</span><span onclick="lx_pa(1924620)"><img src="/img/vlm.svg" />Аудиони тинглаш</span><span onclick="lx_cl(1924620)"><img src="/img/lnk.svg" />Ҳужжат элементидан ҳавола олиш</span></div></div><div name="1924620" id="1924620">2.5.4. Граждане Республики Узбекистан, иностранные граждане и лица без гражданства, проживающие на территории Республики Узбекистан, обязаны соблюдать законодательные требования по обеспечению радиационной безопасности и выполнять требования республиканских органов исполнительной власти по обеспечению радиационной безопасности, в соответствии со <a href="/docs/13868#13954">ст. 5</a> Закона Республики Узбекистан «О радиационной безопасности».</div></div><div class="TEXT_HEADER_AFTER_SRC lx_elem" onmousemove="lx_mo(event,1924621)"><div class="lx_elem2"><div class="lx_elem3"><span onclick="lx_sf(1924621)"><img src="/img/cmt.svg" />Ҳужжатга таклиф юбориш</span><span onclick="lx_pa(1924621)"><img src="/img/vlm.svg" />Аудиони тинглаш</span><span onclick="lx_cl(1924621)"><img src="/img/lnk.svg" />Ҳужжат элементидан ҳавола олиш</span></div></div><div name="1924621" id="1924621">3. Радиационная безопасность персонала и населения при эксплуатации техногенных источников излучения</div></div><div class="ACT_TEXT lx_elem" onmousemove="lx_mo(event,1924622)"><div class="lx_elem2"><div class="lx_elem3"><span onclick="lx_sf(1924622)"><img src="/img/cmt.svg" />Ҳужжатга таклиф юбориш</span><span onclick="lx_pa(1924622)"><img src="/img/vlm.svg" />Аудиони тинглаш</span><span onclick="lx_cl(1924622)"><img src="/img/lnk.svg" />Ҳужжат элементидан ҳавола олиш</span></div></div><div name="1924622" id="1924622">3.1. Классификация радиационных объектов по их потенциальной опасности</div></div><div class="ACT_TEXT lx_elem" onmousemove="lx_mo(event,1924623)"><div class="lx_elem2"><div class="lx_elem3"><span onclick="lx_sf(1924623)"><img src="/img/cmt.svg" />Ҳужжатга таклиф юбориш</span><span onclick="lx_pa(1924623)"><img src="/img/vlm.svg" />Аудиони тинглаш</span><span onclick="lx_cl(1924623)"><img src="/img/lnk.svg" />Ҳужжат элементидан ҳавола олиш</span></div></div><div name="1924623" id="1924623">3.1.1. Потенциальная опасность радиационного объекта определяется его возможным радиационным воздействием на население при радиационной аварии.</div></div><div class="ACT_TEXT lx_elem" onmousemove="lx_mo(event,1924624)"><div class="lx_elem2"><div class="lx_elem3"><span onclick="lx_sf(1924624)"><img src="/img/cmt.svg" />Ҳужжатга таклиф юбориш</span><span onclick="lx_pa(1924624)"><img src="/img/vlm.svg" />Аудиони тинглаш</span><span onclick="lx_cl(1924624)"><img src="/img/lnk.svg" />Ҳужжат элементидан ҳавола олиш</span></div></div><div name="1924624" id="1924624">Потенциально более опасными являются радиационные объекты, в результате деятельности которых при аварии возможно облучение не только работников объекта, но и населения. Наименее опасными радиационными объектами являются те, где исключена возможность облучения лиц, не относящихся к персоналу.</div></div><div class="ACT_TEXT lx_elem" onmousemove="lx_mo(event,1924625)"><div class="lx_elem2"><div class="lx_elem3"><span onclick="lx_sf(1924625)"><img src="/img/cmt.svg" />Ҳужжатга таклиф юбориш</span><span onclick="lx_pa(1924625)"><img src="/img/vlm.svg" />Аудиони тинглаш</span><span onclick="lx_cl(1924625)"><img src="/img/lnk.svg" />Ҳужжат элементидан ҳавола олиш</span></div></div><div name="1924625" id="1924625">По потенциальной радиационной опасности устанавливается четыре категории объектов.</div></div><div class="ACT_TEXT lx_elem" onmousemove="lx_mo(event,1924626)"><div class="lx_elem2"><div class="lx_elem3"><span onclick="lx_sf(1924626)"><img src="/img/cmt.svg" />Ҳужжатга таклиф юбориш</span><span onclick="lx_pa(1924626)"><img src="/img/vlm.svg" />Аудиони тинглаш</span><span onclick="lx_cl(1924626)"><img src="/img/lnk.svg" />Ҳужжат элементидан ҳавола олиш</span></div></div><div name="1924626" id="1924626">3.1.2. К I категории относятся радиационные объекты, при аварии на которых возможно их радиационное воздействие на население и могут потребоваться меры по его защите.</div></div><div class="ACT_TEXT lx_elem" onmousemove="lx_mo(event,1924627)"><div class="lx_elem2"><div class="lx_elem3"><span onclick="lx_sf(1924627)"><img src="/img/cmt.svg" />Ҳужжатга таклиф юбориш</span><span onclick="lx_pa(1924627)"><img src="/img/vlm.svg" />Аудиони тинглаш</span><span onclick="lx_cl(1924627)"><img src="/img/lnk.svg" />Ҳужжат элементидан ҳавола олиш</span></div></div><div name="1924627" id="1924627">3.1.3. Во II категории объектов радиационное воздействие при аварии ограничивается территорией санитарно-защитной зоны.</div></div><div class="ACT_TEXT lx_elem" onmousemove="lx_mo(event,1924628)"><div class="lx_elem2"><div class="lx_elem3"><span onclick="lx_sf(1924628)"><img src="/img/cmt.svg" />Ҳужжатга таклиф юбориш</span><span onclick="lx_pa(1924628)"><img src="/img/vlm.svg" />Аудиони тинглаш</span><span onclick="lx_cl(1924628)"><img src="/img/lnk.svg" />Ҳужжат элементидан ҳавола олиш</span></div></div><div name="1924628" id="1924628">3.1.4. К III категории относятся объекты, радиационное воздействие при аварии которых ограничивается территорией объекта.</div></div><div class="ACT_TEXT lx_elem" onmousemove="lx_mo(event,1924629)"><div class="lx_elem2"><div class="lx_elem3"><span onclick="lx_sf(1924629)"><img src="/img/cmt.svg" />Ҳужжатга таклиф юбориш</span><span onclick="lx_pa(1924629)"><img src="/img/vlm.svg" />Аудиони тинглаш</span><span onclick="lx_cl(1924629)"><img src="/img/lnk.svg" />Ҳужжат элементидан ҳавола олиш</span></div></div><div name="1924629" id="1924629">3.1.5. К IV категории относятся объекты, радиационное воздействие от которых при аварии ограничивается помещениями, где проводятся работы с источниками излучения.</div></div><div class="ACT_TEXT lx_elem" onmousemove="lx_mo(event,1924630)"><div class="lx_elem2"><div class="lx_elem3"><span onclick="lx_sf(1924630)"><img src="/img/cmt.svg" />Ҳужжатга таклиф юбориш</span><span onclick="lx_pa(1924630)"><img src="/img/vlm.svg" />Аудиони тинглаш</span><span onclick="lx_cl(1924630)"><img src="/img/lnk.svg" />Ҳужжат элементидан ҳавола олиш</span></div></div><div name="1924630" id="1924630">3.1.6. Категория радиационных объектов должна устанавливаться на этапе их проектирования по согласованию с органами государственного надзора в области обеспечения радиационной безопасности. Для действующих объектов категории устанавливаются администрацией по согласованию с ЦГСЭН.</div></div><div class="ACT_TEXT lx_elem" onmousemove="lx_mo(event,1924631)"><div class="lx_elem2"><div class="lx_elem3"><span onclick="lx_sf(1924631)"><img src="/img/cmt.svg" />Ҳужжатга таклиф юбориш</span><span onclick="lx_pa(1924631)"><img src="/img/vlm.svg" />Аудиони тинглаш</span><span onclick="lx_cl(1924631)"><img src="/img/lnk.svg" />Ҳужжат элементидан ҳавола олиш</span></div></div><div name="1924631" id="1924631">3.2. Размещение радиационных объектов и зонирование территорий</div></div><div class="ACT_TEXT lx_elem" onmousemove="lx_mo(event,1924632)"><div class="lx_elem2"><div class="lx_elem3"><span onclick="lx_sf(1924632)"><img src="/img/cmt.svg" />Ҳужжатга таклиф юбориш</span><span onclick="lx_pa(1924632)"><img src="/img/vlm.svg" />Аудиони тинглаш</span><span onclick="lx_cl(1924632)"><img src="/img/lnk.svg" />Ҳужжат элементидан ҳавола олиш</span></div></div><div name="1924632" id="1924632">3.2.1. При выборе места строительства радиационного объекта необходимо учитывать категорию объекта, его потенциальную радиационную, химическую и пожарную опасность для населения и окружающей среды. Площадка для вновь строящихся объектов должна отвечать требованиям строительных норм проектирования и настоящих Правил.</div></div><div class="ACT_TEXT lx_elem" onmousemove="lx_mo(event,1924633)"><div class="lx_elem2"><div class="lx_elem3"><span onclick="lx_sf(1924633)"><img src="/img/cmt.svg" />Ҳужжатга таклиф юбориш</span><span onclick="lx_pa(1924633)"><img src="/img/vlm.svg" />Аудиони тинглаш</span><span onclick="lx_cl(1924633)"><img src="/img/lnk.svg" />Ҳужжат элементидан ҳавола олиш</span></div></div><div name="1924633" id="1924633">3.2.2. При выборе места размещения радиационных объектов I и II категорий должны быть оценены метеорологические, гидрологические, геологические и сейсмические факторы при нормальной эксплуатации и при возможных авариях.</div></div><div class="ACT_TEXT lx_elem" onmousemove="lx_mo(event,1924635)"><div class="lx_elem2"><div class="lx_elem3"><span onclick="lx_sf(1924635)"><img src="/img/cmt.svg" />Ҳужжатга таклиф юбориш</span><span onclick="lx_pa(1924635)"><img src="/img/vlm.svg" />Аудиони тинглаш</span><span onclick="lx_cl(1924635)"><img src="/img/lnk.svg" />Ҳужжат элементидан ҳавола олиш</span></div></div><div name="1924635" id="1924635">3.2.3. При выборе площадки для строительства радиационных объектов I и II категорий следует отдавать предпочтение участкам:</div></div><div class="ACT_TEXT lx_elem" onmousemove="lx_mo(event,1924637)"><div class="lx_elem2"><div class="lx_elem3"><span onclick="lx_sf(1924637)"><img src="/img/cmt.svg" />Ҳужжатга таклиф юбориш</span><span onclick="lx_pa(1924637)"><img src="/img/vlm.svg" />Аудиони тинглаш</span><span onclick="lx_cl(1924637)"><img src="/img/lnk.svg" />Ҳужжат элементидан ҳавола олиш</span></div></div><div name="1924637" id="1924637">расположенным на малонаселенных незатопляемых территориях;</div></div><div class="ACT_TEXT lx_elem" onmousemove="lx_mo(event,1924638)"><div class="lx_elem2"><div class="lx_elem3"><span onclick="lx_sf(1924638)"><img src="/img/cmt.svg" />Ҳужжатга таклиф юбориш</span><span onclick="lx_pa(1924638)"><img src="/img/vlm.svg" />Аудиони тинглаш</span><span onclick="lx_cl(1924638)"><img src="/img/lnk.svg" />Ҳужжат элементидан ҳавола олиш</span></div></div><div name="1924638" id="1924638">имеющим устойчивый ветровой режим;</div></div><div class="ACT_TEXT lx_elem" onmousemove="lx_mo(event,1924639)"><div class="lx_elem2"><div class="lx_elem3"><span onclick="lx_sf(1924639)"><img src="/img/cmt.svg" />Ҳужжатга таклиф юбориш</span><span onclick="lx_pa(1924639)"><img src="/img/vlm.svg" />Аудиони тинглаш</span><span onclick="lx_cl(1924639)"><img src="/img/lnk.svg" />Ҳужжат элементидан ҳавола олиш</span></div></div><div name="1924639" id="1924639">ограничивающим возможность распространения радиоактивных веществ за пределы промышленной площадки объекта, благодаря своим топографическим и гидрогеологическим условиям.</div></div><div class="ACT_TEXT lx_elem" onmousemove="lx_mo(event,1924641)"><div class="lx_elem2"><div class="lx_elem3"><span onclick="lx_sf(1924641)"><img src="/img/cmt.svg" />Ҳужжатга таклиф юбориш</span><span onclick="lx_pa(1924641)"><img src="/img/vlm.svg" />Аудиони тинглаш</span><span onclick="lx_cl(1924641)"><img src="/img/lnk.svg" />Ҳужжат элементидан ҳавола олиш</span></div></div><div name="1924641" id="1924641">3.2.4. Радиационные объекты I и II категорий должны располагаться с учетом розы ветров преимущественно с подветренной стороны по отношению к жилой территории, лечебно-профилактическим и детским учреждениям, а также к местам отдыха и спортивным сооружениям.</div></div><div class="ACT_TEXT lx_elem" onmousemove="lx_mo(event,1924642)"><div class="lx_elem2"><div class="lx_elem3"><span onclick="lx_sf(1924642)"><img src="/img/cmt.svg" />Ҳужжатга таклиф юбориш</span><span onclick="lx_pa(1924642)"><img src="/img/vlm.svg" />Аудиони тинглаш</span><span onclick="lx_cl(1924642)"><img src="/img/lnk.svg" />Ҳужжат элементидан ҳавола олиш</span></div></div><div name="1924642" id="1924642">3.2.5. Генеральный план радиационного объекта должен разрабатываться с учетом развития производства, прогноза радиационной обстановки на объекте и вокруг него и возможности возникновения радиационных аварий.</div></div><div class="ACT_TEXT lx_elem" onmousemove="lx_mo(event,1924643)"><div class="lx_elem2"><div class="lx_elem3"><span onclick="lx_sf(1924643)"><img src="/img/cmt.svg" />Ҳужжатга таклиф юбориш</span><span onclick="lx_pa(1924643)"><img src="/img/vlm.svg" />Аудиони тинглаш</span><span onclick="lx_cl(1924643)"><img src="/img/lnk.svg" />Ҳужжат элементидан ҳавола олиш</span></div></div><div name="1924643" id="1924643">3.2.6. Размещение радиационного объекта должно быть согласовано с органами государственного санитарно-эпидемиологического надзора с учетом перспектив развития как самого объекта, так и района его размещения.</div></div><div class="ACT_TEXT lx_elem" onmousemove="lx_mo(event,1924644)"><div class="lx_elem2"><div class="lx_elem3"><span onclick="lx_sf(1924644)"><img src="/img/cmt.svg" />Ҳужжатга таклиф юбориш</span><span onclick="lx_pa(1924644)"><img src="/img/vlm.svg" />Аудиони тинглаш</span><span onclick="lx_cl(1924644)"><img src="/img/lnk.svg" />Ҳужжат элементидан ҳавола олиш</span></div></div><div name="1924644" id="1924644">3.2.7. Не допускается размещение организации или ее подразделения, осуществляющих работы с источниками излучения, в жилом здании или детском учреждении, кроме рентгеновских установок, применяемых в стоматологической практике, решение о возможности размещения которых в жилых зданиях принимается при наличии санитарно-эпидемиологического заключения ЦГСЭН.</div></div><div class="ACT_TEXT lx_elem" onmousemove="lx_mo(event,1924645)"><div class="lx_elem2"><div class="lx_elem3"><span onclick="lx_sf(1924645)"><img src="/img/cmt.svg" />Ҳужжатга таклиф юбориш</span><span onclick="lx_pa(1924645)"><img src="/img/vlm.svg" />Аудиони тинглаш</span><span onclick="lx_cl(1924645)"><img src="/img/lnk.svg" />Ҳужжат элементидан ҳавола олиш</span></div></div><div name="1924645" id="1924645">3.2.8. Вокруг радиационных объектов I и II категорий устанавливается санитарно-защитная зона, а вокруг радиационных объектов I категории— также и зона наблюдения. Санитарно-защитная зона для радиационных объектов III категории ограничивается территорией объекта, для радиационных объектов IV категории установления зон не предусмотрено.</div></div><div class="ACT_TEXT lx_elem" onmousemove="lx_mo(event,1924646)"><div class="lx_elem2"><div class="lx_elem3"><span onclick="lx_sf(1924646)"><img src="/img/cmt.svg" />Ҳужжатга таклиф юбориш</span><span onclick="lx_pa(1924646)"><img src="/img/vlm.svg" />Аудиони тинглаш</span><span onclick="lx_cl(1924646)"><img src="/img/lnk.svg" />Ҳужжат элементидан ҳавола олиш</span></div></div><div name="1924646" id="1924646">В отдельных случаях по согласованию с государственным органом исполнительной власти, уполномоченным осуществлять государственный санитарно-эпидемиологический надзор, санитарно-защитная зона радиационных объектов I и II категорий может быть ограничена пределами территории объекта.</div></div><div class="ACT_TEXT lx_elem" onmousemove="lx_mo(event,1924647)"><div class="lx_elem2"><div class="lx_elem3"><span onclick="lx_sf(1924647)"><img src="/img/cmt.svg" />Ҳужжатга таклиф юбориш</span><span onclick="lx_pa(1924647)"><img src="/img/vlm.svg" />Аудиони тинглаш</span><span onclick="lx_cl(1924647)"><img src="/img/lnk.svg" />Ҳужжат элементидан ҳавола олиш</span></div></div><div name="1924647" id="1924647">3.2.9. Размеры санитарно-защитной зоны и зоны наблюдения вокруг радиационного объекта устанавливаются с учетом уровней внешнего облучения, а также величины и площади возможного распространения радиоактивных выбросов и сбросов.</div></div><div class="ACT_TEXT lx_elem" onmousemove="lx_mo(event,1924648)"><div class="lx_elem2"><div class="lx_elem3"><span onclick="lx_sf(1924648)"><img src="/img/cmt.svg" />Ҳужжатга таклиф юбориш</span><span onclick="lx_pa(1924648)"><img src="/img/vlm.svg" />Аудиони тинглаш</span><span onclick="lx_cl(1924648)"><img src="/img/lnk.svg" />Ҳужжат элементидан ҳавола олиш</span></div></div><div name="1924648" id="1924648">При расположении на одной площадке комплекса радиационных объектов санитарно-защитная зона и зона наблюдения устанавливаются с учетом суммарного воздействия объектов.</div></div><div class="ACT_TEXT lx_elem" onmousemove="lx_mo(event,1924649)"><div class="lx_elem2"><div class="lx_elem3"><span onclick="lx_sf(1924649)"><img src="/img/cmt.svg" />Ҳужжатга таклиф юбориш</span><span onclick="lx_pa(1924649)"><img src="/img/vlm.svg" />Аудиони тинглаш</span><span onclick="lx_cl(1924649)"><img src="/img/lnk.svg" />Ҳужжат элементидан ҳавола олиш</span></div></div><div name="1924649" id="1924649">Внутренняя граница зоны наблюдения всегда совпадает с внешней границей санитарно-защитной зоны.</div></div><div class="ACT_TEXT lx_elem" onmousemove="lx_mo(event,1924650)"><div class="lx_elem2"><div class="lx_elem3"><span onclick="lx_sf(1924650)"><img src="/img/cmt.svg" />Ҳужжатга таклиф юбориш</span><span onclick="lx_pa(1924650)"><img src="/img/vlm.svg" />Аудиони тинглаш</span><span onclick="lx_cl(1924650)"><img src="/img/lnk.svg" />Ҳужжат элементидан ҳавола олиш</span></div></div><div name="1924650" id="1924650">3.2.10. Радиационное воздействие на население, проживающее в зоне наблюдения радиационного объекта I категории, при нормальной его эксплуатации должно быть ограничено пределом дозы техногенного облучения населения 1мЗв/год.</div></div><div class="ACT_TEXT lx_elem" onmousemove="lx_mo(event,1924651)"><div class="lx_elem2"><div class="lx_elem3"><span onclick="lx_sf(1924651)"><img src="/img/cmt.svg" />Ҳужжатга таклиф юбориш</span><span onclick="lx_pa(1924651)"><img src="/img/vlm.svg" />Аудиони тинглаш</span><span onclick="lx_cl(1924651)"><img src="/img/lnk.svg" />Ҳужжат элементидан ҳавола олиш</span></div></div><div name="1924651" id="1924651">3.2.11. Размеры санитарно-защитной зоны (полосы отчуждения) вдоль трассы трубопровода для удаления жидких радиоактивных отходов устанавливаются в зависимости от активности последних, рельефа местности, характера грунтов, глубины заложения трубопровода, уровня напора в ней и должны быть не менее 30 м в каждую сторону от трубопровода.</div></div><div class="ACT_TEXT lx_elem" onmousemove="lx_mo(event,1924652)"><div class="lx_elem2"><div class="lx_elem3"><span onclick="lx_sf(1924652)"><img src="/img/cmt.svg" />Ҳужжатга таклиф юбориш</span><span onclick="lx_pa(1924652)"><img src="/img/vlm.svg" />Аудиони тинглаш</span><span onclick="lx_cl(1924652)"><img src="/img/lnk.svg" />Ҳужжат элементидан ҳавола олиш</span></div></div><div name="1924652" id="1924652">3.2.12. Границы санитарно-защитной зоны и зоны наблюдения радиационного объекта на стадии проектирования должны быть согласованы с ЦГСЭН.</div></div><div class="ACT_TEXT lx_elem" onmousemove="lx_mo(event,1924653)"><div class="lx_elem2"><div class="lx_elem3"><span onclick="lx_sf(1924653)"><img src="/img/cmt.svg" />Ҳужжатга таклиф юбориш</span><span onclick="lx_pa(1924653)"><img src="/img/vlm.svg" />Аудиони тинглаш</span><span onclick="lx_cl(1924653)"><img src="/img/lnk.svg" />Ҳужжат элементидан ҳавола олиш</span></div></div><div name="1924653" id="1924653">3.2.13. В санитарно-защитной зоне радиационных объектов запрещается постоянное или временное проживание, размещение детских учреждений, больниц, санаториев и других оздоровительных учреждений, а также промышленных и подсобных сооружений, не относящихся к этому объекту. Территория санитарно-защитной зоны должна быть благоустроена и озеленена.</div></div><div class="ACT_TEXT lx_elem" onmousemove="lx_mo(event,1924654)"><div class="lx_elem2"><div class="lx_elem3"><span onclick="lx_sf(1924654)"><img src="/img/cmt.svg" />Ҳужжатга таклиф юбориш</span><span onclick="lx_pa(1924654)"><img src="/img/vlm.svg" />Аудиони тинглаш</span><span onclick="lx_cl(1924654)"><img src="/img/lnk.svg" />Ҳужжат элементидан ҳавола олиш</span></div></div><div name="1924654" id="1924654">3.2.14. В зоне наблюдения, включающей в себя санитарно-защитную зону, ЦГСЭН могут вводить ограничения на хозяйственную деятельность в соответствии с законодательством Республики Узбекистан.</div></div><div class="ACT_TEXT lx_elem" onmousemove="lx_mo(event,1924655)"><div class="lx_elem2"><div class="lx_elem3"><span onclick="lx_sf(1924655)"><img src="/img/cmt.svg" />Ҳужжатга таклиф юбориш</span><span onclick="lx_pa(1924655)"><img src="/img/vlm.svg" />Аудиони тинглаш</span><span onclick="lx_cl(1924655)"><img src="/img/lnk.svg" />Ҳужжат элементидан ҳавола олиш</span></div></div><div name="1924655" id="1924655">Использование земель санитарно-защитной зоны для сельскохозяйственных целей возможно только с разрешения ЦГСЭН. В этом случае вся вырабатываемая продукция подлежит санитарно-эпидемиологической оценке и радиационному контролю.</div></div><div class="ACT_TEXT lx_elem" onmousemove="lx_mo(event,1924656)"><div class="lx_elem2"><div class="lx_elem3"><span onclick="lx_sf(1924656)"><img src="/img/cmt.svg" />Ҳужжатга таклиф юбориш</span><span onclick="lx_pa(1924656)"><img src="/img/vlm.svg" />Аудиони тинглаш</span><span onclick="lx_cl(1924656)"><img src="/img/lnk.svg" />Ҳужжат элементидан ҳавола олиш</span></div></div><div name="1924656" id="1924656">3.2.15. В зоне наблюдения, на случай аварийного выброса радиоактивных веществ, администрацией территории должен быть предусмотрен комплекс защитных мероприятий в соответствии с требованиями <a href="/docs/1908086#1920156">раздела 6</a> НРБ-2006.</div></div><div class="ACT_TEXT lx_elem" onmousemove="lx_mo(event,1924657)"><div class="lx_elem2"><div class="lx_elem3"><span onclick="lx_sf(1924657)"><img src="/img/cmt.svg" />Ҳужжатга таклиф юбориш</span><span onclick="lx_pa(1924657)"><img src="/img/vlm.svg" />Аудиони тинглаш</span><span onclick="lx_cl(1924657)"><img src="/img/lnk.svg" />Ҳужжат элементидан ҳавола олиш</span></div></div><div name="1924657" id="1924657">3.2.16. В санитарно-защитной зоне и зоне наблюдения силами службы радиационной безопасности объекта должен проводиться радиационный контроль.</div></div><div class="ACT_TEXT lx_elem" onmousemove="lx_mo(event,1924658)"><div class="lx_elem2"><div class="lx_elem3"><span onclick="lx_sf(1924658)"><img src="/img/cmt.svg" />Ҳужжатга таклиф юбориш</span><span onclick="lx_pa(1924658)"><img src="/img/vlm.svg" />Аудиони тинглаш</span><span onclick="lx_cl(1924658)"><img src="/img/lnk.svg" />Ҳужжат элементидан ҳавола олиш</span></div></div><div name="1924658" id="1924658">3.3. Проектирование радиационных объектов</div></div><div class="ACT_TEXT lx_elem" onmousemove="lx_mo(event,1924659)"><div class="lx_elem2"><div class="lx_elem3"><span onclick="lx_sf(1924659)"><img src="/img/cmt.svg" />Ҳужжатга таклиф юбориш</span><span onclick="lx_pa(1924659)"><img src="/img/vlm.svg" />Аудиони тинглаш</span><span onclick="lx_cl(1924659)"><img src="/img/lnk.svg" />Ҳужжат элементидан ҳавола олиш</span></div></div><div name="1924659" id="1924659">3.3.1. Проектная документация на радиационные объекты должна содержать обоснование мер безопасности при конструировании, строительстве, реконструкции, эксплуатации, выводе из эксплуатации, а также в случае аварии. Утверждение этой документации допускается при наличии санитарно-эпидемиологического заключения органов государственного санитарно-эпидемиологического надзора.</div></div><div class="ACT_TEXT lx_elem" onmousemove="lx_mo(event,1924660)"><div class="lx_elem2"><div class="lx_elem3"><span onclick="lx_sf(1924660)"><img src="/img/cmt.svg" />Ҳужжатга таклиф юбориш</span><span onclick="lx_pa(1924660)"><img src="/img/vlm.svg" />Аудиони тинглаш</span><span onclick="lx_cl(1924660)"><img src="/img/lnk.svg" />Ҳужжат элементидан ҳавола олиш</span></div></div><div name="1924660" id="1924660">3.3.2. В проектной документации радиационного объекта для каждого помещения (участка, территории) указывается:</div></div><div class="ACT_TEXT lx_elem" onmousemove="lx_mo(event,1924661)"><div class="lx_elem2"><div class="lx_elem3"><span onclick="lx_sf(1924661)"><img src="/img/cmt.svg" />Ҳужжатга таклиф юбориш</span><span onclick="lx_pa(1924661)"><img src="/img/vlm.svg" />Аудиони тинглаш</span><span onclick="lx_cl(1924661)"><img src="/img/lnk.svg" />Ҳужжат элементидан ҳавола олиш</span></div></div><div name="1924661" id="1924661">при работе с открытыми источниками излучения: радионуклид, соединение, агрегатное состояние, активность на рабочем месте, годовое потребление, вид и характер планируемых работ, класс работ;</div></div><div class="ACT_TEXT lx_elem" onmousemove="lx_mo(event,1924663)"><div class="lx_elem2"><div class="lx_elem3"><span onclick="lx_sf(1924663)"><img src="/img/cmt.svg" />Ҳужжатга таклиф юбориш</span><span onclick="lx_pa(1924663)"><img src="/img/vlm.svg" />Аудиони тинглаш</span><span onclick="lx_cl(1924663)"><img src="/img/lnk.svg" />Ҳужжат элементидан ҳавола олиш</span></div></div><div name="1924663" id="1924663">при работе с закрытыми источниками излучения: радионуклид, его вид, активность, допустимое количество источников на рабочем месте и их суммарная активность, характер планируемых работ;</div></div><div class="ACT_TEXT lx_elem" onmousemove="lx_mo(event,1924664)"><div class="lx_elem2"><div class="lx_elem3"><span onclick="lx_sf(1924664)"><img src="/img/cmt.svg" />Ҳужжатга таклиф юбориш</span><span onclick="lx_pa(1924664)"><img src="/img/vlm.svg" />Аудиони тинглаш</span><span onclick="lx_cl(1924664)"><img src="/img/lnk.svg" />Ҳужжат элементидан ҳавола олиш</span></div></div><div name="1924664" id="1924664">при работе с устройствами, генерирующими ионизирующее излучение: тип устройства, вид, энергия и интенсивность генерируемого излучения и (или) анодное напряжение, сила тока, мощность и т. п., максимально допустимое число одновременно работающих устройств, размещенных в одном помещении (на участке, территории);</div></div><div class="ACT_TEXT lx_elem" onmousemove="lx_mo(event,1924665)"><div class="lx_elem2"><div class="lx_elem3"><span onclick="lx_sf(1924665)"><img src="/img/cmt.svg" />Ҳужжатга таклиф юбориш</span><span onclick="lx_pa(1924665)"><img src="/img/vlm.svg" />Аудиони тинглаш</span><span onclick="lx_cl(1924665)"><img src="/img/lnk.svg" />Ҳужжат элементидан ҳавола олиш</span></div></div><div name="1924665" id="1924665">при работах с ядерными реакторами, радиоактивными отходами и с другими источниками излучения со сложной радиационной характеристикой: вид источника излучения и его радиационные характеристики (радионуклидный состав, активность, энергия и интенсивность излучения и т. п.).</div></div><div class="ACT_TEXT lx_elem" onmousemove="lx_mo(event,1924666)"><div class="lx_elem2"><div class="lx_elem3"><span onclick="lx_sf(1924666)"><img src="/img/cmt.svg" />Ҳужжатга таклиф юбориш</span><span onclick="lx_pa(1924666)"><img src="/img/vlm.svg" />Аудиони тинглаш</span><span onclick="lx_cl(1924666)"><img src="/img/lnk.svg" />Ҳужжат элементидан ҳавола олиш</span></div></div><div name="1924666" id="1924666">Для всех работ указываются их характер и ограничительные условия.</div></div><div class="ACT_TEXT lx_elem" onmousemove="lx_mo(event,1924667)"><div class="lx_elem2"><div class="lx_elem3"><span onclick="lx_sf(1924667)"><img src="/img/cmt.svg" />Ҳужжатга таклиф юбориш</span><span onclick="lx_pa(1924667)"><img src="/img/vlm.svg" />Аудиони тинглаш</span><span onclick="lx_cl(1924667)"><img src="/img/lnk.svg" />Ҳужжат элементидан ҳавола олиш</span></div></div><div name="1924667" id="1924667">3.3.3. Проектирование защиты от внешнего облучения персонала и населения необходимо проводить с коэффициентом запаса по годовой эффективной дозе равным 2. При этом необходимо учитывать наличие других источников излучения и перспективное увеличение их мощности.</div></div><div class="ACT_TEXT lx_elem" onmousemove="lx_mo(event,1924668)"><div class="lx_elem2"><div class="lx_elem3"><span onclick="lx_sf(1924668)"><img src="/img/cmt.svg" />Ҳужжатга таклиф юбориш</span><span onclick="lx_pa(1924668)"><img src="/img/vlm.svg" />Аудиони тинглаш</span><span onclick="lx_cl(1924668)"><img src="/img/lnk.svg" />Ҳужжат элементидан ҳавола олиш</span></div></div><div name="1924668" id="1924668">3.3.4. Проектирование защиты от внешнего ионизирующего излучения должно выполняться с учетом назначения помещений, категорий облучаемых лиц и длительности облучения. При расчете защиты с коэффициентом запаса, равным 2, проектная мощность эквивалентной дозы излучения Н на поверхности защиты определяется по формуле:</div></div><div class="TEXT_CENTER lx_elem" onmousemove="lx_mo(event,1924669)"><div class="lx_elem2"><div class="lx_elem3"><span onclick="lx_sf(1924669)"><img src="/img/cmt.svg" />Ҳужжатга таклиф юбориш</span><span onclick="lx_pa(1924669)"><img src="/img/vlm.svg" />Аудиони тинглаш</span><span onclick="lx_cl(1924669)"><img src="/img/lnk.svg" />Ҳужжат элементидан ҳавола олиш</span></div></div><div name="1924669" id="1924669"><em>Н</em> = 500х <em>Д / t</em> мкЗв/ч, где</div></div><div class="ACT_TEXT lx_elem" onmousemove="lx_mo(event,1924670)"><div class="lx_elem2"><div class="lx_elem3"><span onclick="lx_sf(1924670)"><img src="/img/cmt.svg" />Ҳужжатга таклиф юбориш</span><span onclick="lx_pa(1924670)"><img src="/img/vlm.svg" />Аудиони тинглаш</span><span onclick="lx_cl(1924670)"><img src="/img/lnk.svg" />Ҳужжат элементидан ҳавола олиш</span></div></div><div name="1924670" id="1924670"><strong>Д </strong>— предел дозы для персонала или населения, мЗв в год;</div></div><div class="ACT_TEXT lx_elem" onmousemove="lx_mo(event,1924671)"><div class="lx_elem2"><div class="lx_elem3"><span onclick="lx_sf(1924671)"><img src="/img/cmt.svg" />Ҳужжатга таклиф юбориш</span><span onclick="lx_pa(1924671)"><img src="/img/vlm.svg" />Аудиони тинглаш</span><span onclick="lx_cl(1924671)"><img src="/img/lnk.svg" />Ҳужжат элементидан ҳавола олиш</span></div></div><div name="1924671" id="1924671"><strong>t </strong>— продолжительность облучения, часов в год.</div></div><div class="ACT_TEXT lx_elem" onmousemove="lx_mo(event,1924672)"><div class="lx_elem2"><div class="lx_elem3"><span onclick="lx_sf(1924672)"><img src="/img/cmt.svg" />Ҳужжатга таклиф юбориш</span><span onclick="lx_pa(1924672)"><img src="/img/vlm.svg" />Аудиони тинглаш</span><span onclick="lx_cl(1924672)"><img src="/img/lnk.svg" />Ҳужжат элементидан ҳавола олиш</span></div></div><div name="1924672" id="1924672">Значения проектной мощности эквивалентной дозы для стандартной продолжительности пребывания в помещениях и на территориях персонала и населения с коэффициентом запаса 2 приведены в <a href="/docs/1908086#1924683">таблице 3.3.1</a>.</div></div><div class="TABLE_STD lx_elem" id="theDefCssID" onmousemove="lx_mo(event,1924683)"><div class="lx_elem2"><div class="lx_elem3"><span onclick="lx_sf(1924683)"><img src="/img/cmt.svg" />Ҳужжатга таклиф юбориш</span><span onclick="lx_pa(1924683)"><img src="/img/vlm.svg" />Аудиони тинглаш</span><span onclick="lx_cl(1924683)"><img src="/img/lnk.svg" />Ҳужжат элементидан ҳавола олиш</span></div></div><div name="1924683" id="1924683" class="tabBox"><table id="theTableID" style="TABLE-LAYOUT: auto; PADDING-RIGHT: 0px; ; PADDING-LEFT: 0px; LEFT: 2px; PADDING-BOTTOM: 0px; WIDTH: 100%; BORDER-TOP-STYLE: none; PADDING-TOP: 0px; BORDER-RIGHT-STYLE: none; BORDER-LEFT-STYLE: none; TOP: 0px; BORDER-BOTTOM-STYLE: none" cellspacing="1" cols="4" border="1">
<colgroup>
<col />
<col />
<col />
<col /></colgroup>
<tbody>
<tr>
<td style="BORDER-TOP-STYLE: none; BORDER-RIGHT-STYLE: none; BORDER-LEFT-STYLE: none; BORDER-BOTTOM-STYLE: none">‎</td>
<td style="BORDER-TOP-STYLE: none; BORDER-RIGHT-STYLE: none; BORDER-LEFT-STYLE: none; BORDER-BOTTOM-STYLE: none">‎</td>
<td style="BORDER-TOP-STYLE: none; BORDER-RIGHT-STYLE: none; BORDER-LEFT-STYLE: none; BORDER-BOTTOM-STYLE: none">‎</td>
<td style="BORDER-TOP-STYLE: none; BORDER-RIGHT-STYLE: none; BORDER-LEFT-STYLE: none; BORDER-BOTTOM-STYLE: none">
<p align="right">Таблица 3.3.1‎</p></td></tr>
<tr>
<td style="BORDER-TOP-STYLE: none; BORDER-RIGHT-STYLE: none; BORDER-LEFT-STYLE: none; BORDER-BOTTOM-STYLE: none" colspan="4">
<p align="center"><strong>‎‎Мощность эквивалентной дозы, используемая при проектировании защиты от внешнего ионизирующего излучения</strong></p></td></tr>
<tr>
<td>
<p align="center"><strong>Категория облучаемых зон‎</strong></p></td>
<td>
<p align="center"><strong>Назначение помещений и территорий‎</strong></p></td>
<td>
<p align="center"><strong>Продолжительность облучения, ч/год‎</strong></p></td>
<td>
<p align="center"><strong>Проектная мощность эквивалентной дозы, мкЗв/ч‎</strong></p></td></tr>
<tr>
<td rowspan="2">
<p align="center">Категория А‎‏</p></td>
<td>Помещения постоянного пребывания персонала‎</td>
<td>
<p align="center">1700‎</p></td>
<td>
<p align="center">6,0‎</p></td></tr>
<tr>
<td>Помещения временного пребывания персонала‎</td>
<td>
<p align="center">850‎</p></td>
<td>
<p align="center">12‎</p></td></tr>
<tr>
<td>
<p align="center">Категория Б‎</p></td>
<td>Помещения организации и территория санитарно-защитной зоны и др.‎</td>
<td>
<p align="center">2000‎</p></td>
<td>
<p align="center">1,2</p></td></tr>
<tr>
<td>
<p align="center">Категория В‎</p></td>
<td>Любые другие помещения и территории‎</td>
<td>
<p align="center">8800‎</p></td>
<td>
<p align="center">0,06‎</p></td></tr></tbody></table></div></div><div class="FOOTNOTE lx_elem" onmousemove="lx_mo(event,1924685)"><div class="lx_elem2"><div class="lx_elem3"><span onclick="lx_sf(1924685)"><img src="/img/cmt.svg" />Ҳужжатга таклиф юбориш</span><span onclick="lx_pa(1924685)"><img src="/img/vlm.svg" />Аудиони тинглаш</span><span onclick="lx_cl(1924685)"><img src="/img/lnk.svg" />Ҳужжат элементидан ҳавола олиш</span></div></div><div name="1924685" id="1924685">Примечание:</div></div><div class="FOOTNOTE lx_elem" onmousemove="lx_mo(event,1924687)"><div class="lx_elem2"><div class="lx_elem3"><span onclick="lx_sf(1924687)"><img src="/img/cmt.svg" />Ҳужжатга таклиф юбориш</span><span onclick="lx_pa(1924687)"><img src="/img/vlm.svg" />Аудиони тинглаш</span><span onclick="lx_cl(1924687)"><img src="/img/lnk.svg" />Ҳужжат элементидан ҳавола олиш</span></div></div><div name="1924687" id="1924687">1. В таблице приведены значения мощности дозы от техногенных источников излучения, имеющихся в организации.</div></div><div class="FOOTNOTE lx_elem" onmousemove="lx_mo(event,1924689)"><div class="lx_elem2"><div class="lx_elem3"><span onclick="lx_sf(1924689)"><img src="/img/cmt.svg" />Ҳужжатга таклиф юбориш</span><span onclick="lx_pa(1924689)"><img src="/img/vlm.svg" />Аудиони тинглаш</span><span onclick="lx_cl(1924689)"><img src="/img/lnk.svg" />Ҳужжат элементидан ҳавола олиш</span></div></div><div name="1924689" id="1924689">2. Переход от измеряемых значений эквивалентной дозы к эффективной дозе осуществляется по специальным методическим рекомендациям.</div></div><div class="FOOTNOTE lx_elem" onmousemove="lx_mo(event,1924690)"><div class="lx_elem2"><div class="lx_elem3"><span onclick="lx_sf(1924690)"><img src="/img/cmt.svg" />Ҳужжатга таклиф юбориш</span><span onclick="lx_pa(1924690)"><img src="/img/vlm.svg" />Аудиони тинглаш</span><span onclick="lx_cl(1924690)"><img src="/img/lnk.svg" />Ҳужжат элементидан ҳавола олиш</span></div></div><div name="1924690" id="1924690">Для рентгеновских аппаратов и ускорителей расчет ведется с учетом радиационного выхода и рабочей нагрузки аппарата по методикам, утвержденным республиканским органом, уполномоченным осуществлять государственный санитарно-эпидемиологический надзор.</div></div><div class="ACT_TEXT lx_elem" onmousemove="lx_mo(event,1924692)"><div class="lx_elem2"><div class="lx_elem3"><span onclick="lx_sf(1924692)"><img src="/img/cmt.svg" />Ҳужжатга таклиф юбориш</span><span onclick="lx_pa(1924692)"><img src="/img/vlm.svg" />Аудиони тинглаш</span><span onclick="lx_cl(1924692)"><img src="/img/lnk.svg" />Ҳужжат элементидан ҳавола олиш</span></div></div><div name="1924692" id="1924692">3.3.5. Расчет допустимых выбросов и сбросов радиационных объектов должен проводиться исходя из требования, чтобы эффективная доза для населения за 70 лет жизни, обусловленная годовым выбросом и сбросом, не превышала 70 мЗв.</div></div><div class="ACT_TEXT lx_elem" onmousemove="lx_mo(event,1924694)"><div class="lx_elem2"><div class="lx_elem3"><span onclick="lx_sf(1924694)"><img src="/img/cmt.svg" />Ҳужжатга таклиф юбориш</span><span onclick="lx_pa(1924694)"><img src="/img/vlm.svg" />Аудиони тинглаш</span><span onclick="lx_cl(1924694)"><img src="/img/lnk.svg" />Ҳужжат элементидан ҳавола олиш</span></div></div><div name="1924694" id="1924694">3.3.6. При проектировании радиационных объектов и выборе технологических схем работ следует обеспечить:</div></div><div class="ACT_TEXT lx_elem" onmousemove="lx_mo(event,1924696)"><div class="lx_elem2"><div class="lx_elem3"><span onclick="lx_sf(1924696)"><img src="/img/cmt.svg" />Ҳужжатга таклиф юбориш</span><span onclick="lx_pa(1924696)"><img src="/img/vlm.svg" />Аудиони тинглаш</span><span onclick="lx_cl(1924696)"><img src="/img/lnk.svg" />Ҳужжат элементидан ҳавола олиш</span></div></div><div name="1924696" id="1924696">минимальное облучение персонала;</div></div><div class="ACT_TEXT lx_elem" onmousemove="lx_mo(event,1924697)"><div class="lx_elem2"><div class="lx_elem3"><span onclick="lx_sf(1924697)"><img src="/img/cmt.svg" />Ҳужжатга таклиф юбориш</span><span onclick="lx_pa(1924697)"><img src="/img/vlm.svg" />Аудиони тинглаш</span><span onclick="lx_cl(1924697)"><img src="/img/lnk.svg" />Ҳужжат элементидан ҳавола олиш</span></div></div><div name="1924697" id="1924697">максимальную автоматизацию и механизацию операций;</div></div><div class="ACT_TEXT lx_elem" onmousemove="lx_mo(event,1924698)"><div class="lx_elem2"><div class="lx_elem3"><span onclick="lx_sf(1924698)"><img src="/img/cmt.svg" />Ҳужжатга таклиф юбориш</span><span onclick="lx_pa(1924698)"><img src="/img/vlm.svg" />Аудиони тинглаш</span><span onclick="lx_cl(1924698)"><img src="/img/lnk.svg" />Ҳужжат элементидан ҳавола олиш</span></div></div><div name="1924698" id="1924698">автоматизированный и визуальный контроль за ходом технологического процесса;</div></div><div class="ACT_TEXT lx_elem" onmousemove="lx_mo(event,1924699)"><div class="lx_elem2"><div class="lx_elem3"><span onclick="lx_sf(1924699)"><img src="/img/cmt.svg" />Ҳужжатга таклиф юбориш</span><span onclick="lx_pa(1924699)"><img src="/img/vlm.svg" />Аудиони тинглаш</span><span onclick="lx_cl(1924699)"><img src="/img/lnk.svg" />Ҳужжат элементидан ҳавола олиш</span></div></div><div name="1924699" id="1924699">применение наименее токсичных и вредных веществ;</div></div><div class="ACT_TEXT lx_elem" onmousemove="lx_mo(event,1924700)"><div class="lx_elem2"><div class="lx_elem3"><span onclick="lx_sf(1924700)"><img src="/img/cmt.svg" />Ҳужжатга таклиф юбориш</span><span onclick="lx_pa(1924700)"><img src="/img/vlm.svg" />Аудиони тинглаш</span><span onclick="lx_cl(1924700)"><img src="/img/lnk.svg" />Ҳужжат элементидан ҳавола олиш</span></div></div><div name="1924700" id="1924700">минимальные уровни шума, вибрации и других вредных факторов;</div></div><div class="ACT_TEXT lx_elem" onmousemove="lx_mo(event,1924701)"><div class="lx_elem2"><div class="lx_elem3"><span onclick="lx_sf(1924701)"><img src="/img/cmt.svg" />Ҳужжатга таклиф юбориш</span><span onclick="lx_pa(1924701)"><img src="/img/vlm.svg" />Аудиони тинглаш</span><span onclick="lx_cl(1924701)"><img src="/img/lnk.svg" />Ҳужжат элементидан ҳавола олиш</span></div></div><div name="1924701" id="1924701">минимальные выбросы и сбросы радиоактивных веществ;</div></div><div class="ACT_TEXT lx_elem" onmousemove="lx_mo(event,1924702)"><div class="lx_elem2"><div class="lx_elem3"><span onclick="lx_sf(1924702)"><img src="/img/cmt.svg" />Ҳужжатга таклиф юбориш</span><span onclick="lx_pa(1924702)"><img src="/img/vlm.svg" />Аудиони тинглаш</span><span onclick="lx_cl(1924702)"><img src="/img/lnk.svg" />Ҳужжат элементидан ҳавола олиш</span></div></div><div name="1924702" id="1924702">минимальное количество радиоактивных отходов с простыми, надежными способами их временного хранения и переработки;</div></div><div class="ACT_TEXT lx_elem" onmousemove="lx_mo(event,1924703)"><div class="lx_elem2"><div class="lx_elem3"><span onclick="lx_sf(1924703)"><img src="/img/cmt.svg" />Ҳужжатга таклиф юбориш</span><span onclick="lx_pa(1924703)"><img src="/img/vlm.svg" />Аудиони тинглаш</span><span onclick="lx_cl(1924703)"><img src="/img/lnk.svg" />Ҳужжат элементидан ҳавола олиш</span></div></div><div name="1924703" id="1924703">звуковую и/или световую сигнализацию о нарушениях технологического процесса;</div></div><div class="ACT_TEXT lx_elem" onmousemove="lx_mo(event,1924704)"><div class="lx_elem2"><div class="lx_elem3"><span onclick="lx_sf(1924704)"><img src="/img/cmt.svg" />Ҳужжатга таклиф юбориш</span><span onclick="lx_pa(1924704)"><img src="/img/vlm.svg" />Аудиони тинглаш</span><span onclick="lx_cl(1924704)"><img src="/img/lnk.svg" />Ҳужжат элементидан ҳавола олиш</span></div></div><div name="1924704" id="1924704">блокировки.</div></div><div class="ACT_TEXT lx_elem" onmousemove="lx_mo(event,1924705)"><div class="lx_elem2"><div class="lx_elem3"><span onclick="lx_sf(1924705)"><img src="/img/cmt.svg" />Ҳужжатга таклиф юбориш</span><span onclick="lx_pa(1924705)"><img src="/img/vlm.svg" />Аудиони тинглаш</span><span onclick="lx_cl(1924705)"><img src="/img/lnk.svg" />Ҳужжат элементидан ҳавола олиш</span></div></div><div name="1924705" id="1924705">3.3.7. Технологическое оборудование для работ с радиоактивными веществами должно удовлетворять следующие требования:</div></div><div class="ACT_TEXT lx_elem" onmousemove="lx_mo(event,1924706)"><div class="lx_elem2"><div class="lx_elem3"><span onclick="lx_sf(1924706)"><img src="/img/cmt.svg" />Ҳужжатга таклиф юбориш</span><span onclick="lx_pa(1924706)"><img src="/img/vlm.svg" />Аудиони тинглаш</span><span onclick="lx_cl(1924706)"><img src="/img/lnk.svg" />Ҳужжат элементидан ҳавола олиш</span></div></div><div name="1924706" id="1924706">конструкция должна быть надежной и удобной в эксплуатации, обладать необходимой герметичностью, обеспечивать возможность применения дистанционных методов управления и контроля за ходом работы оборудования;</div></div><div class="ACT_TEXT lx_elem" onmousemove="lx_mo(event,1924707)"><div class="lx_elem2"><div class="lx_elem3"><span onclick="lx_sf(1924707)"><img src="/img/cmt.svg" />Ҳужжатга таклиф юбориш</span><span onclick="lx_pa(1924707)"><img src="/img/vlm.svg" />Аудиони тинглаш</span><span onclick="lx_cl(1924707)"><img src="/img/lnk.svg" />Ҳужжат элементидан ҳавола олиш</span></div></div><div name="1924707" id="1924707">изготавливаться из прочных коррозионно- и радиационно-стойких материалов, легко поддающихся дезактивации;</div></div><div class="ACT_TEXT lx_elem" onmousemove="lx_mo(event,1924708)"><div class="lx_elem2"><div class="lx_elem3"><span onclick="lx_sf(1924708)"><img src="/img/cmt.svg" />Ҳужжатга таклиф юбориш</span><span onclick="lx_pa(1924708)"><img src="/img/vlm.svg" />Аудиони тинглаш</span><span onclick="lx_cl(1924708)"><img src="/img/lnk.svg" />Ҳужжат элементидан ҳавола олиш</span></div></div><div name="1924708" id="1924708">наружные и внутренние поверхности оборудования должны быть доступными для проведения дезактивации.</div></div><div class="ACT_TEXT lx_elem" onmousemove="lx_mo(event,1924709)"><div class="lx_elem2"><div class="lx_elem3"><span onclick="lx_sf(1924709)"><img src="/img/cmt.svg" />Ҳужжатга таклиф юбориш</span><span onclick="lx_pa(1924709)"><img src="/img/vlm.svg" />Аудиони тинглаш</span><span onclick="lx_cl(1924709)"><img src="/img/lnk.svg" />Ҳужжат элементидан ҳавола олиш</span></div></div><div name="1924709" id="1924709">3.3.8. В проекте радиационного объекта должен быть предусмотрен комплекс организационных, технических и санитарно-гигиенических мероприятий по обеспечению радиационной безопасности персонала и населения при проведении ремонтных работ.</div></div><div class="ACT_TEXT lx_elem" onmousemove="lx_mo(event,1924710)"><div class="lx_elem2"><div class="lx_elem3"><span onclick="lx_sf(1924710)"><img src="/img/cmt.svg" />Ҳужжатга таклиф юбориш</span><span onclick="lx_pa(1924710)"><img src="/img/vlm.svg" />Аудиони тинглаш</span><span onclick="lx_cl(1924710)"><img src="/img/lnk.svg" />Ҳужжат элементидан ҳавола олиш</span></div></div><div name="1924710" id="1924710">3.4. Организация работ с источниками излучения</div></div><div class="ACT_TEXT lx_elem" onmousemove="lx_mo(event,1924711)"><div class="lx_elem2"><div class="lx_elem3"><span onclick="lx_sf(1924711)"><img src="/img/cmt.svg" />Ҳужжатга таклиф юбориш</span><span onclick="lx_pa(1924711)"><img src="/img/vlm.svg" />Аудиони тинглаш</span><span onclick="lx_cl(1924711)"><img src="/img/lnk.svg" />Ҳужжат элементидан ҳавола олиш</span></div></div><div name="1924711" id="1924711">3.4.1. Радиационный объект (источник излучения) до начала его эксплуатации принимается комиссией в составе представителей заинтересованной организации и органов государственного надзора за радиационной безопасностью. Комиссия устанавливает соответствие принимаемого объекта проекту, требованиям действующих норм и правил, необходимым условиям сохранности источников излучения, на основе чего принимается решение о возможности эксплуатации объекта.</div></div><div class="ACT_TEXT lx_elem" onmousemove="lx_mo(event,1924712)"><div class="lx_elem2"><div class="lx_elem3"><span onclick="lx_sf(1924712)"><img src="/img/cmt.svg" />Ҳужжатга таклиф юбориш</span><span onclick="lx_pa(1924712)"><img src="/img/vlm.svg" />Аудиони тинглаш</span><span onclick="lx_cl(1924712)"><img src="/img/lnk.svg" />Ҳужжат элементидан ҳавола олиш</span></div></div><div name="1924712" id="1924712">3.4.2. Деятельность организаций, связанная с использованием источников излучения, не допускается без наличия лицензии, выдаваемой в порядке, установленном законодательством Республики Узбекистан.</div></div><div class="ACT_TEXT lx_elem" onmousemove="lx_mo(event,1924713)"><div class="lx_elem2"><div class="lx_elem3"><span onclick="lx_sf(1924713)"><img src="/img/cmt.svg" />Ҳужжатга таклиф юбориш</span><span onclick="lx_pa(1924713)"><img src="/img/vlm.svg" />Аудиони тинглаш</span><span onclick="lx_cl(1924713)"><img src="/img/lnk.svg" />Ҳужжат элементидан ҳавола олиш</span></div></div><div name="1924713" id="1924713">3.4.3. Получение, хранение источников излучения и проведение с ними работ разрешается только при наличии санитарно-эпидемиологического заключения о соответствии условий работы с источниками излучения (физическими факторами воздействия на человека) санитарным правилам (<a href="/docs/1908086#1925365">приложения Б</a> и <a href="/docs/1908086#1925457">В</a>), которое выдает ЦГСЭН по запросу организации.</div></div><div class="ACT_TEXT lx_elem" onmousemove="lx_mo(event,1924714)"><div class="lx_elem2"><div class="lx_elem3"><span onclick="lx_sf(1924714)"><img src="/img/cmt.svg" />Ҳужжатга таклиф юбориш</span><span onclick="lx_pa(1924714)"><img src="/img/vlm.svg" />Аудиони тинглаш</span><span onclick="lx_cl(1924714)"><img src="/img/lnk.svg" />Ҳужжат элементидан ҳавола олиш</span></div></div><div name="1924714" id="1924714">Основанием для выдачи санитарно-эпидемиологического заключения является акт приемки в эксплуатацию построенного (реконструированного) объекта или акт санитарного обследования действующего объекта.</div></div><div class="ACT_TEXT lx_elem" onmousemove="lx_mo(event,1924715)"><div class="lx_elem2"><div class="lx_elem3"><span onclick="lx_sf(1924715)"><img src="/img/cmt.svg" />Ҳужжатга таклиф юбориш</span><span onclick="lx_pa(1924715)"><img src="/img/vlm.svg" />Аудиони тинглаш</span><span onclick="lx_cl(1924715)"><img src="/img/lnk.svg" />Ҳужжат элементидан ҳавола олиш</span></div></div><div name="1924715" id="1924715">Санитарно-эпидемиологическое заключение о соответствии условий работы с источниками излучения (физическими факторами воздействия на человека) санитарным правилам действительно на срок не более трех лет. По истечении срока действия санитарно-эпидемиологического заключения ЦГСЭН запросу администрации организации решает вопрос о продлении срока его действия.</div></div><div class="ACT_TEXT lx_elem" onmousemove="lx_mo(event,1924716)"><div class="lx_elem2"><div class="lx_elem3"><span onclick="lx_sf(1924716)"><img src="/img/cmt.svg" />Ҳужжатга таклиф юбориш</span><span onclick="lx_pa(1924716)"><img src="/img/vlm.svg" />Аудиони тинглаш</span><span onclick="lx_cl(1924716)"><img src="/img/lnk.svg" />Ҳужжат элементидан ҳавола олиш</span></div></div><div name="1924716" id="1924716">3.4.4. Работа с источниками излучения разрешается только в помещениях, указанных в санитарно-эпидемиологическом заключении.</div></div><div class="ACT_TEXT lx_elem" onmousemove="lx_mo(event,1924717)"><div class="lx_elem2"><div class="lx_elem3"><span onclick="lx_sf(1924717)"><img src="/img/cmt.svg" />Ҳужжатга таклиф юбориш</span><span onclick="lx_pa(1924717)"><img src="/img/vlm.svg" />Аудиони тинглаш</span><span onclick="lx_cl(1924717)"><img src="/img/lnk.svg" />Ҳужжат элементидан ҳавола олиш</span></div></div><div name="1924717" id="1924717">Проведение работ, не связанных с применением источников излучения, в этих помещениях допускается только в случае, если они вызваны производственной необходимостью. На дверях каждого помещения должны быть указаны его назначение, класс проводимых работ (при работе с открытыми источниками излучения) и знак радиационной опасности.</div></div><div class="ACT_TEXT lx_elem" onmousemove="lx_mo(event,1924718)"><div class="lx_elem2"><div class="lx_elem3"><span onclick="lx_sf(1924718)"><img src="/img/cmt.svg" />Ҳужжатга таклиф юбориш</span><span onclick="lx_pa(1924718)"><img src="/img/vlm.svg" />Аудиони тинглаш</span><span onclick="lx_cl(1924718)"><img src="/img/lnk.svg" />Ҳужжат элементидан ҳавола олиш</span></div></div><div name="1924718" id="1924718">3.4.5. Оборудование, контейнеры, упаковки, аппараты, передвижные установки, транспортные средства, содержащие источники излучения, должны иметь знак радиационной опасности.</div></div><div class="ACT_TEXT lx_elem" onmousemove="lx_mo(event,1924719)"><div class="lx_elem2"><div class="lx_elem3"><span onclick="lx_sf(1924719)"><img src="/img/cmt.svg" />Ҳужжатга таклиф юбориш</span><span onclick="lx_pa(1924719)"><img src="/img/vlm.svg" />Аудиони тинглаш</span><span onclick="lx_cl(1924719)"><img src="/img/lnk.svg" />Ҳужжат элементидан ҳавола олиш</span></div></div><div name="1924719" id="1924719">3.4.6. Допускается не наносить знак радиационной опасности на оборудование в помещении, где постоянно проводятся работы с источниками излучения и которое имеет знак радиационной опасности при входе в помещение.</div></div><div class="ACT_TEXT lx_elem" onmousemove="lx_mo(event,1924720)"><div class="lx_elem2"><div class="lx_elem3"><span onclick="lx_sf(1924720)"><img src="/img/cmt.svg" />Ҳужжатга таклиф юбориш</span><span onclick="lx_pa(1924720)"><img src="/img/vlm.svg" />Аудиони тинглаш</span><span onclick="lx_cl(1924720)"><img src="/img/lnk.svg" />Ҳужжат элементидан ҳавола олиш</span></div></div><div name="1924720" id="1924720">3.4.7. Обеспечение условий сохранности источников излучения в организации осуществляет ее администрация.</div></div><div class="ACT_TEXT lx_elem" onmousemove="lx_mo(event,1924721)"><div class="lx_elem2"><div class="lx_elem3"><span onclick="lx_sf(1924721)"><img src="/img/cmt.svg" />Ҳужжатга таклиф юбориш</span><span onclick="lx_pa(1924721)"><img src="/img/vlm.svg" />Аудиони тинглаш</span><span onclick="lx_cl(1924721)"><img src="/img/lnk.svg" />Ҳужжат элементидан ҳавола олиш</span></div></div><div name="1924721" id="1924721">3.4.8. При намечаемом вывозе источника излучения для проведения работ с ним вне организации, на которую распространяется действие санитарно-эпидемиологического заключения, следует поставить в известность (в письменной форме) местные и территориальные ЦГСЭН по месту планируемого проведения работ.</div></div><div class="ACT_TEXT lx_elem" onmousemove="lx_mo(event,1924722)"><div class="lx_elem2"><div class="lx_elem3"><span onclick="lx_sf(1924722)"><img src="/img/cmt.svg" />Ҳужжатга таклиф юбориш</span><span onclick="lx_pa(1924722)"><img src="/img/vlm.svg" />Аудиони тинглаш</span><span onclick="lx_cl(1924722)"><img src="/img/lnk.svg" />Ҳужжат элементидан ҳавола олиш</span></div></div><div name="1924722" id="1924722">Оформление нового санитарно-эпидемиологического заключения по месту планируемого проведения работ не требуется, если не предусмотрена организация временного хранилища источника излучения.</div></div><div class="ACT_TEXT lx_elem" onmousemove="lx_mo(event,1924723)"><div class="lx_elem2"><div class="lx_elem3"><span onclick="lx_sf(1924723)"><img src="/img/cmt.svg" />Ҳужжатга таклиф юбориш</span><span onclick="lx_pa(1924723)"><img src="/img/vlm.svg" />Аудиони тинглаш</span><span onclick="lx_cl(1924723)"><img src="/img/lnk.svg" />Ҳужжат элементидан ҳавола олиш</span></div></div><div name="1924723" id="1924723">3.4.9. При нарушении требований настоящих Правил ЦГСЭН может в установленном законодательством порядке полностью или частично приостановить в организации работу с источниками излучения, имеет право отозвать санитарно-эпидемиологическое заключение до истечения срока его действия, а в случае крайней необходимости поставить перед органом, выдавшим лицензию на проведение работ с источниками излучения, вопрос о приостановке ее действия или отзыве.</div></div><div class="ACT_TEXT lx_elem" onmousemove="lx_mo(event,1924724)"><div class="lx_elem2"><div class="lx_elem3"><span onclick="lx_sf(1924724)"><img src="/img/cmt.svg" />Ҳужжатга таклиф юбориш</span><span onclick="lx_pa(1924724)"><img src="/img/vlm.svg" />Аудиони тинглаш</span><span onclick="lx_cl(1924724)"><img src="/img/lnk.svg" />Ҳужжат элементидан ҳавола олиш</span></div></div><div name="1924724" id="1924724">3.4.10. Обращение с источниками излучения в различных областях промышленности, науки, медицины, образования, сельского хозяйства, торговли и т. п., разрешается только при наличии санитарно-эпидемиологического заключения.</div></div><div class="ACT_TEXT lx_elem" onmousemove="lx_mo(event,1924731)"><div class="lx_elem2"><div class="lx_elem3"><span onclick="lx_sf(1924731)"><img src="/img/cmt.svg" />Ҳужжатга таклиф юбориш</span><span onclick="lx_pa(1924731)"><img src="/img/vlm.svg" />Аудиони тинглаш</span><span onclick="lx_cl(1924731)"><img src="/img/lnk.svg" />Ҳужжат элементидан ҳавола олиш</span></div></div><div name="1924731" id="1924731">В случае изменения конструкции источника излучения или изделия, содержащего такой источник, следует получить новое санитарно-эпидемиологическое заключение.</div></div><div class="ACT_TEXT lx_elem" onmousemove="lx_mo(event,1924732)"><div class="lx_elem2"><div class="lx_elem3"><span onclick="lx_sf(1924732)"><img src="/img/cmt.svg" />Ҳужжатга таклиф юбориш</span><span onclick="lx_pa(1924732)"><img src="/img/vlm.svg" />Аудиони тинглаш</span><span onclick="lx_cl(1924732)"><img src="/img/lnk.svg" />Ҳужжат элементидан ҳавола олиш</span></div></div><div name="1924732" id="1924732">3.4.11. Порядок проведения санитарно-эпидемиологических экспертиз устанавливается Департаментом ГСЭН МЗ РУз.</div></div><div class="ACT_TEXT lx_elem" onmousemove="lx_mo(event,1924733)"><div class="lx_elem2"><div class="lx_elem3"><span onclick="lx_sf(1924733)"><img src="/img/cmt.svg" />Ҳужжатга таклиф юбориш</span><span onclick="lx_pa(1924733)"><img src="/img/vlm.svg" />Аудиони тинглаш</span><span onclick="lx_cl(1924733)"><img src="/img/lnk.svg" />Ҳужжат элементидан ҳавола олиш</span></div></div><div name="1924733" id="1924733">3.4.12. К моменту получения источника излучения эксплуатирующая организация утверждает список лиц, допущенных к работе с ним, обеспечивает их необходимое обучение и инструктаж, назначает приказом по организации лиц, ответственных за учет и хранение источников излучения, за организацию сбора, хранения и сдачу радиоактивных отходов, за производственный контроль состояния радиационной безопасности.</div></div><div class="ACT_TEXT lx_elem" onmousemove="lx_mo(event,1924734)"><div class="lx_elem2"><div class="lx_elem3"><span onclick="lx_sf(1924734)"><img src="/img/cmt.svg" />Ҳужжатга таклиф юбориш</span><span onclick="lx_pa(1924734)"><img src="/img/vlm.svg" />Аудиони тинглаш</span><span onclick="lx_cl(1924734)"><img src="/img/lnk.svg" />Ҳужжат элементидан ҳавола олиш</span></div></div><div name="1924734" id="1924734">3.4.13. При прекращении работ с источниками излучения администрация организации информирует об этом ЦГСЭН.</div></div><div class="ACT_TEXT lx_elem" onmousemove="lx_mo(event,1924735)"><div class="lx_elem2"><div class="lx_elem3"><span onclick="lx_sf(1924735)"><img src="/img/cmt.svg" />Ҳужжатга таклиф юбориш</span><span onclick="lx_pa(1924735)"><img src="/img/vlm.svg" />Аудиони тинглаш</span><span onclick="lx_cl(1924735)"><img src="/img/lnk.svg" />Ҳужжат элементидан ҳавола олиш</span></div></div><div name="1924735" id="1924735">Дальнейшее использование помещений, в которых ранее проводились работы с радиоактивными веществами, возможно при наличии санитарно-эпидемиологического заключения.</div></div><div class="ACT_TEXT lx_elem" onmousemove="lx_mo(event,1924736)"><div class="lx_elem2"><div class="lx_elem3"><span onclick="lx_sf(1924736)"><img src="/img/cmt.svg" />Ҳужжатга таклиф юбориш</span><span onclick="lx_pa(1924736)"><img src="/img/vlm.svg" />Аудиони тинглаш</span><span onclick="lx_cl(1924736)"><img src="/img/lnk.svg" />Ҳужжат элементидан ҳавола олиш</span></div></div><div name="1924736" id="1924736">3.4.14. К работе с источниками излучения (персонал категории А) допускаются лица, не моложе 18 лет, не имеющие медицинских противопоказаний. Перед допуском к работе с источниками излучения персонал должен пройти обучение, инструктаж и проверку знаний правил техники безопасности ведения работ и действующих в организации инструкций. Проверка знаний правил радиационной безопасности работы в организации проводится комиссией до начала работ и периодически, не реже одного раза в год, а руководящего состава— не реже 1 раза в 3 года. Лица, не удовлетворяющие квалификационным требованиям, к работе не допускаются. Периодическое повышение квалификации персонала категории А должно проводиться не реже 1 раза в 5 лет по вопросам радиационной безопасности в организациях имеющих лицензию на право проведения обучения.</div></div><div class="ACT_TEXT lx_elem" onmousemove="lx_mo(event,1924737)"><div class="lx_elem2"><div class="lx_elem3"><span onclick="lx_sf(1924737)"><img src="/img/cmt.svg" />Ҳужжатга таклиф юбориш</span><span onclick="lx_pa(1924737)"><img src="/img/vlm.svg" />Аудиони тинглаш</span><span onclick="lx_cl(1924737)"><img src="/img/lnk.svg" />Ҳужжат элементидан ҳавола олиш</span></div></div><div name="1924737" id="1924737">3.4.15. При проведении работ с источниками излучения не допускается выполнение операций, не предусмотренных инструкциями по эксплуатации и радиационной безопасности, если эти действия не направлены на принятие экстренных мер по предотвращению аварий и других обстоятельств, угрожающих здоровью работающих.</div></div><div class="ACT_TEXT lx_elem" onmousemove="lx_mo(event,1924738)"><div class="lx_elem2"><div class="lx_elem3"><span onclick="lx_sf(1924738)"><img src="/img/cmt.svg" />Ҳужжатга таклиф юбориш</span><span onclick="lx_pa(1924738)"><img src="/img/vlm.svg" />Аудиони тинглаш</span><span onclick="lx_cl(1924738)"><img src="/img/lnk.svg" />Ҳужжат элементидан ҳавола олиш</span></div></div><div name="1924738" id="1924738">3.4.16. Технические условия на защитное технологическое оборудование (камеры, боксы, вытяжные шкафы), а также сейфы, контейнеры для радиоактивных отходов, транспортные средства, транспортные упаковочные комплекты, контейнеры, предназначенные для хранения и перевозки радиоактивных веществ, фильтры системы пылегазоочистки, средства индивидуальной защиты и радиационного контроля должны иметь санитарно-эпидемиологическое заключение на соответствие санитарным правилам.</div></div><div class="ACT_TEXT lx_elem" onmousemove="lx_mo(event,1924739)"><div class="lx_elem2"><div class="lx_elem3"><span onclick="lx_sf(1924739)"><img src="/img/cmt.svg" />Ҳужжатга таклиф юбориш</span><span onclick="lx_pa(1924739)"><img src="/img/vlm.svg" />Аудиони тинглаш</span><span onclick="lx_cl(1924739)"><img src="/img/lnk.svg" />Ҳужжат элементидан ҳавола олиш</span></div></div><div name="1924739" id="1924739">3.4.17. Выпуск приборов, аппаратов, установок и других изделий, действие которых основано на использовании ионизирующего излучения, радионуклидных источников излучения, приборов, аппаратов и установок, при работе которых генерируется ионизирующее излучение, а также эталонных источников излучения в количестве свыше трех экземпляров разрешается только по технической документации, составленной в соответствии с действующими государственными стандартами и согласованной с государственным органом исполнительной власти, уполномоченным осуществлять государственный санитарно-эпидемиологический надзор.</div></div><div class="ACT_TEXT lx_elem" onmousemove="lx_mo(event,1924740)"><div class="lx_elem2"><div class="lx_elem3"><span onclick="lx_sf(1924740)"><img src="/img/cmt.svg" />Ҳужжатга таклиф юбориш</span><span onclick="lx_pa(1924740)"><img src="/img/vlm.svg" />Аудиони тинглаш</span><span onclick="lx_cl(1924740)"><img src="/img/lnk.svg" />Ҳужжат элементидан ҳавола олиш</span></div></div><div name="1924740" id="1924740">При выпуске продукции в количестве не более трех экземпляров техническая документация подлежит согласованию с органами государственного санитарно-эпидемиологического надзора в территориях.</div></div><div class="ACT_TEXT lx_elem" onmousemove="lx_mo(event,1924741)"><div class="lx_elem2"><div class="lx_elem3"><span onclick="lx_sf(1924741)"><img src="/img/cmt.svg" />Ҳужжатга таклиф юбориш</span><span onclick="lx_pa(1924741)"><img src="/img/vlm.svg" />Аудиони тинглаш</span><span onclick="lx_cl(1924741)"><img src="/img/lnk.svg" />Ҳужжат элементидан ҳавола олиш</span></div></div><div name="1924741" id="1924741">3.5. Поставка, учет, хранение и перевозка источников излучения</div></div><div class="ACT_TEXT lx_elem" onmousemove="lx_mo(event,1924742)"><div class="lx_elem2"><div class="lx_elem3"><span onclick="lx_sf(1924742)"><img src="/img/cmt.svg" />Ҳужжатга таклиф юбориш</span><span onclick="lx_pa(1924742)"><img src="/img/vlm.svg" />Аудиони тинглаш</span><span onclick="lx_cl(1924742)"><img src="/img/lnk.svg" />Ҳужжат элементидан ҳавола олиш</span></div></div><div name="1924742" id="1924742">3.5.1. Поставка организациям источников излучения и изделий, содержащих их, проводится по заказам-заявкам (рекомендуемая форма указана в <a href="/docs/1908086#1925458">приложении Г</a>). Поставка источников излучения, предназначенных для градуировки и поверки дозиметрической и радиометрической аппаратуры, проводится без специальных разрешений, если их характеристики соответствуют требованиям <a href="/docs/1908086#1924437">п. 1.6</a> Правил.</div></div><div class="ACT_TEXT lx_elem" onmousemove="lx_mo(event,1924743)"><div class="lx_elem2"><div class="lx_elem3"><span onclick="lx_sf(1924743)"><img src="/img/cmt.svg" />Ҳужжатга таклиф юбориш</span><span onclick="lx_pa(1924743)"><img src="/img/vlm.svg" />Аудиони тинглаш</span><span onclick="lx_cl(1924743)"><img src="/img/lnk.svg" />Ҳужжат элементидан ҳавола олиш</span></div></div><div name="1924743" id="1924743">3.5.2. Передача из одной организации в другую источников излучения и указанных изделий с характеристиками, превышающими значения, приведенные в <a href="/docs/1908086#1924437">п. 1.6</a> Правил, производится с обязательным информированием ЦГСЭН по месту нахождения как передающей, так и принимающей источники излучения организации.</div></div><div class="ACT_TEXT lx_elem" onmousemove="lx_mo(event,1924744)"><div class="lx_elem2"><div class="lx_elem3"><span onclick="lx_sf(1924744)"><img src="/img/cmt.svg" />Ҳужжатга таклиф юбориш</span><span onclick="lx_pa(1924744)"><img src="/img/vlm.svg" />Аудиони тинглаш</span><span onclick="lx_cl(1924744)"><img src="/img/lnk.svg" />Ҳужжат элементидан ҳавола олиш</span></div></div><div name="1924744" id="1924744">3.5.3. Согласование и регистрация заказов-заявок на получение, передачу источников излучения и изделий, их содержащих, разрешается только для организаций, имеющих лицензию на деятельность в области обращения с источниками ионизирующего излучения.</div></div><div class="ACT_TEXT lx_elem" onmousemove="lx_mo(event,1924745)"><div class="lx_elem2"><div class="lx_elem3"><span onclick="lx_sf(1924745)"><img src="/img/cmt.svg" />Ҳужжатга таклиф юбориш</span><span onclick="lx_pa(1924745)"><img src="/img/vlm.svg" />Аудиони тинглаш</span><span onclick="lx_cl(1924745)"><img src="/img/lnk.svg" />Ҳужжат элементидан ҳавола олиш</span></div></div><div name="1924745" id="1924745">3.5.4. Организация, получившая источники излучения, извещает об этом органы государственного санитарно-эпидемиологического надзора в 10-дневный срок.</div></div><div class="ACT_TEXT lx_elem" onmousemove="lx_mo(event,1924746)"><div class="lx_elem2"><div class="lx_elem3"><span onclick="lx_sf(1924746)"><img src="/img/cmt.svg" />Ҳужжатга таклиф юбориш</span><span onclick="lx_pa(1924746)"><img src="/img/vlm.svg" />Аудиони тинглаш</span><span onclick="lx_cl(1924746)"><img src="/img/lnk.svg" />Ҳужжат элементидан ҳавола олиш</span></div></div><div name="1924746" id="1924746">3.5.5. Эксплуатирующая организация обеспечивает сохранность источников излучения и должна обеспечить такие условия получения, хранения, использования и списания с учета всех источников излучения, при которых исключается возможность их утраты или бесконтрольного использования.</div></div><div class="ACT_TEXT lx_elem" onmousemove="lx_mo(event,1924747)"><div class="lx_elem2"><div class="lx_elem3"><span onclick="lx_sf(1924747)"><img src="/img/cmt.svg" />Ҳужжатга таклиф юбориш</span><span onclick="lx_pa(1924747)"><img src="/img/vlm.svg" />Аудиони тинглаш</span><span onclick="lx_cl(1924747)"><img src="/img/lnk.svg" />Ҳужжат элементидан ҳавола олиш</span></div></div><div name="1924747" id="1924747">3.5.6. Лицо, назначенное ответственным за учет и хранение источников излучения, осуществляет регулирование их приема и передачи по установленным формам (<a href="/docs/1908086#1925459">приложения Д</a>, <a href="/docs/1908086#1925461">Ж</a>, <a href="/docs/1908086#1927370">К</a>).</div></div><div class="ACT_TEXT lx_elem" onmousemove="lx_mo(event,1924748)"><div class="lx_elem2"><div class="lx_elem3"><span onclick="lx_sf(1924748)"><img src="/img/cmt.svg" />Ҳужжатга таклиф юбориш</span><span onclick="lx_pa(1924748)"><img src="/img/vlm.svg" />Аудиони тинглаш</span><span onclick="lx_cl(1924748)"><img src="/img/lnk.svg" />Ҳужжат элементидан ҳавола олиш</span></div></div><div name="1924748" id="1924748">3.5.7. Все поступившие в организацию источники излучения должны учитываться в приходно-расходном журнале (<a href="/docs/1908086#1925461">приложение Ж</a>), а сопроводительные документы должны передаваться в бухгалтерию для оприходования.</div></div><div class="ACT_TEXT lx_elem" onmousemove="lx_mo(event,1924749)"><div class="lx_elem2"><div class="lx_elem3"><span onclick="lx_sf(1924749)"><img src="/img/cmt.svg" />Ҳужжатга таклиф юбориш</span><span onclick="lx_pa(1924749)"><img src="/img/vlm.svg" />Аудиони тинглаш</span><span onclick="lx_cl(1924749)"><img src="/img/lnk.svg" />Ҳужжат элементидан ҳавола олиш</span></div></div><div name="1924749" id="1924749">3.5.8. Радионуклидные источники излучения учитываются по радионуклиду, наименованию препарата, фасовке и активности, указанным в сопроводительных документах. Приборы, аппараты и установки, в которых используются радионуклидные источники излучения, учитываются по наименованиям и заводским номерам с указанием активности и номера каждого источника излучения, входящего в комплект.</div></div><div class="ACT_TEXT lx_elem" onmousemove="lx_mo(event,1924750)"><div class="lx_elem2"><div class="lx_elem3"><span onclick="lx_sf(1924750)"><img src="/img/cmt.svg" />Ҳужжатга таклиф юбориш</span><span onclick="lx_pa(1924750)"><img src="/img/vlm.svg" />Аудиони тинглаш</span><span onclick="lx_cl(1924750)"><img src="/img/lnk.svg" />Ҳужжат элементидан ҳавола олиш</span></div></div><div name="1924750" id="1924750">Устройства, генерирующие ионизирующее излучение, учитываются по наименованиям, заводским номерам и году выпуска.</div></div><div class="ACT_TEXT lx_elem" onmousemove="lx_mo(event,1924751)"><div class="lx_elem2"><div class="lx_elem3"><span onclick="lx_sf(1924751)"><img src="/img/cmt.svg" />Ҳужжатга таклиф юбориш</span><span onclick="lx_pa(1924751)"><img src="/img/vlm.svg" />Аудиони тинглаш</span><span onclick="lx_cl(1924751)"><img src="/img/lnk.svg" />Ҳужжат элементидан ҳавола олиш</span></div></div><div name="1924751" id="1924751">3.5.9. Радионуклиды, полученные в организации с помощью генераторов, ускорителей, ядерных реакторов и т. п., учитываются по фасовкам, препаратам и активностям в приходно-расходном журнале.</div></div><div class="ACT_TEXT lx_elem" onmousemove="lx_mo(event,1924752)"><div class="lx_elem2"><div class="lx_elem3"><span onclick="lx_sf(1924752)"><img src="/img/cmt.svg" />Ҳужжатга таклиф юбориш</span><span onclick="lx_pa(1924752)"><img src="/img/vlm.svg" />Аудиони тинглаш</span><span onclick="lx_cl(1924752)"><img src="/img/lnk.svg" />Ҳужжат элементидан ҳавола олиш</span></div></div><div name="1924752" id="1924752">3.5.10. Источники излучения выдаются ответственным лицом из мест хранения по требованиям с письменного разрешения руководителя организации или лица, им уполномоченного (<a href="/docs/1908086#1925459">приложение Д</a>). Выдача и возврат источников излучения регистрируется в приходно-расходном журнале (<a href="/docs/1908086#1925461">приложение Ж</a>).</div></div><div class="ACT_TEXT lx_elem" onmousemove="lx_mo(event,1924753)"><div class="lx_elem2"><div class="lx_elem3"><span onclick="lx_sf(1924753)"><img src="/img/cmt.svg" />Ҳужжатга таклиф юбориш</span><span onclick="lx_pa(1924753)"><img src="/img/vlm.svg" />Аудиони тинглаш</span><span onclick="lx_cl(1924753)"><img src="/img/lnk.svg" />Ҳужжат элементидан ҳавола олиш</span></div></div><div name="1924753" id="1924753">В случае увольнения (перевода) лиц, допущенных к работам с источниками излучения, администрация принимает по акту все числящиеся за ними источники излучения.</div></div><div class="ACT_TEXT lx_elem" onmousemove="lx_mo(event,1924754)"><div class="lx_elem2"><div class="lx_elem3"><span onclick="lx_sf(1924754)"><img src="/img/cmt.svg" />Ҳужжатга таклиф юбориш</span><span onclick="lx_pa(1924754)"><img src="/img/vlm.svg" />Аудиони тинглаш</span><span onclick="lx_cl(1924754)"><img src="/img/lnk.svg" />Ҳужжат элементидан ҳавола олиш</span></div></div><div name="1924754" id="1924754">3.5.11. Расходование радионуклидов, используемых в открытом виде, оформляется внутренними актами, составляемыми исполнителями работ с участием лиц, ответственных за учет и хранение источников излучения и за радиационный контроль. Акты утверждаются администрацией организации и служат основанием для учета движения радиоактивных веществ (<a href="/docs/1908086#1927370">приложение К</a>).</div></div><div class="ACT_TEXT lx_elem" onmousemove="lx_mo(event,1924755)"><div class="lx_elem2"><div class="lx_elem3"><span onclick="lx_sf(1924755)"><img src="/img/cmt.svg" />Ҳужжатга таклиф юбориш</span><span onclick="lx_pa(1924755)"><img src="/img/vlm.svg" />Аудиони тинглаш</span><span onclick="lx_cl(1924755)"><img src="/img/lnk.svg" />Ҳужжат элементидан ҳавола олиш</span></div></div><div name="1924755" id="1924755">3.5.12. Ежегодно комиссия, назначенная руководителем организации, производит инвентаризацию радиоактивных веществ, радиоизотопных приборов, аппаратов, установок. В случае обнаружения хищений и потерь источников излучения администрации следует немедленно информировать вышестоящую организацию, территориальный ЦГСЭН и органы внутренних дел.</div></div><div class="ACT_TEXT lx_elem" onmousemove="lx_mo(event,1924756)"><div class="lx_elem2"><div class="lx_elem3"><span onclick="lx_sf(1924756)"><img src="/img/cmt.svg" />Ҳужжатга таклиф юбориш</span><span onclick="lx_pa(1924756)"><img src="/img/vlm.svg" />Аудиони тинглаш</span><span onclick="lx_cl(1924756)"><img src="/img/lnk.svg" />Ҳужжат элементидан ҳавола олиш</span></div></div><div name="1924756" id="1924756">3.5.13. Источники излучения, не находящиеся в работе, должны храниться в специально отведенных местах или в оборудованных хранилищах, обеспечивающих их сохранность и исключающих доступ к ним посторонних лиц. Активность радионуклидов, находящихся в хранилище, не должна превышать значений, указанных в санитарно-эпидемиологическом заключении.</div></div><div class="ACT_TEXT lx_elem" onmousemove="lx_mo(event,1924758)"><div class="lx_elem2"><div class="lx_elem3"><span onclick="lx_sf(1924758)"><img src="/img/cmt.svg" />Ҳужжатга таклиф юбориш</span><span onclick="lx_pa(1924758)"><img src="/img/vlm.svg" />Аудиони тинглаш</span><span onclick="lx_cl(1924758)"><img src="/img/lnk.svg" />Ҳужжат элементидан ҳавола олиш</span></div></div><div name="1924758" id="1924758">Временное хранение упаковок с радиоактивными веществами на открытых площадках и общих складах транспортных организаций допускается при наличии санитарно-эпидемиологического заключения на соответствие санитарным правилам.</div></div><div class="ACT_TEXT lx_elem" onmousemove="lx_mo(event,1924762)"><div class="lx_elem2"><div class="lx_elem3"><span onclick="lx_sf(1924762)"><img src="/img/cmt.svg" />Ҳужжатга таклиф юбориш</span><span onclick="lx_pa(1924762)"><img src="/img/vlm.svg" />Аудиони тинглаш</span><span onclick="lx_cl(1924762)"><img src="/img/lnk.svg" />Ҳужжат элементидан ҳавола олиш</span></div></div><div name="1924762" id="1924762">3.5.14. При создании временных хранилищ вне территории организации, в т. ч. для гамма- дефектоскопических аппаратов, используемых в полевых условиях, необходимо иметь санитарно-эпидемиологическое заключение ЦГСЭН на соответствие условий работы с источниками излучения (физическими факторами воздействия на человека) санитарным правилам. Мощность дозы на наружной поверхности такого хранилища или его ограждения, исключающего доступ посторонних лиц, не должна превышать 1,0 мкГр/ч.</div></div><div class="ACT_TEXT lx_elem" onmousemove="lx_mo(event,1924759)"><div class="lx_elem2"><div class="lx_elem3"><span onclick="lx_sf(1924759)"><img src="/img/cmt.svg" />Ҳужжатга таклиф юбориш</span><span onclick="lx_pa(1924759)"><img src="/img/vlm.svg" />Аудиони тинглаш</span><span onclick="lx_cl(1924759)"><img src="/img/lnk.svg" />Ҳужжат элементидан ҳавола олиш</span></div></div><div name="1924759" id="1924759">3.5.15. Специально оборудованные помещения-хранилища должны, как правило, размещаться на уровне нижних отметок здания (незатопляемый подвал, 1 этаж).</div></div><div class="ACT_TEXT lx_elem" onmousemove="lx_mo(event,1924760)"><div class="lx_elem2"><div class="lx_elem3"><span onclick="lx_sf(1924760)"><img src="/img/cmt.svg" />Ҳужжатга таклиф юбориш</span><span onclick="lx_pa(1924760)"><img src="/img/vlm.svg" />Аудиони тинглаш</span><span onclick="lx_cl(1924760)"><img src="/img/lnk.svg" />Ҳужжат элементидан ҳавола олиш</span></div></div><div name="1924760" id="1924760">3.5.16. Отделка и оборудование помещения для хранения открытых источников излучения должны отвечать требованиям, предъявляемым к помещениям для работ соответствующего класса, но не ниже II класса.</div></div><div class="ACT_TEXT lx_elem" onmousemove="lx_mo(event,1924761)"><div class="lx_elem2"><div class="lx_elem3"><span onclick="lx_sf(1924761)"><img src="/img/cmt.svg" />Ҳужжатга таклиф юбориш</span><span onclick="lx_pa(1924761)"><img src="/img/vlm.svg" />Аудиони тинглаш</span><span onclick="lx_cl(1924761)"><img src="/img/lnk.svg" />Ҳужжат элементидан ҳавола олиш</span></div></div><div name="1924761" id="1924761">3.5.17. Устройства для хранения радионуклидных источников излучения (ниши, колодцы, сейфы) должны быть сконструированы так, чтобы при закладке или извлечении отдельных источников излучения персонал не подвергался облучению от остальных источников излучения. Дверцы секций и упаковки с радионуклидами (контейнеры и др.) должны легко открываться и иметь отчетливую маркировку с указанием наименования радионуклида и его активности. Лицо, ответственное за учет и хранение источников излучения, должно иметь карту-схему их размещения в хранилище.</div></div><div class="ACT_TEXT lx_elem" onmousemove="lx_mo(event,1924763)"><div class="lx_elem2"><div class="lx_elem3"><span onclick="lx_sf(1924763)"><img src="/img/cmt.svg" />Ҳужжатга таклиф юбориш</span><span onclick="lx_pa(1924763)"><img src="/img/vlm.svg" />Аудиони тинглаш</span><span onclick="lx_cl(1924763)"><img src="/img/lnk.svg" />Ҳужжат элементидан ҳавола олиш</span></div></div><div name="1924763" id="1924763">3.5.18. Радионуклиды, при хранении которых возможно выделение радиоактивных газов, паров или аэрозолей, должны храниться в вытяжных шкафах, боксах, камерах, с очистными фильтрами на вентиляционных системах, в закрытых сосудах, выполненных из несгораемых материалов, с отводом образующихся газов.</div></div><div class="ACT_TEXT lx_elem" onmousemove="lx_mo(event,1924764)"><div class="lx_elem2"><div class="lx_elem3"><span onclick="lx_sf(1924764)"><img src="/img/cmt.svg" />Ҳужжатга таклиф юбориш</span><span onclick="lx_pa(1924764)"><img src="/img/vlm.svg" />Аудиони тинглаш</span><span onclick="lx_cl(1924764)"><img src="/img/lnk.svg" />Ҳужжат элементидан ҳавола олиш</span></div></div><div name="1924764" id="1924764">Хранилище должно быть оборудовано круглосуточно работающей вытяжной вентиляцией.</div></div><div class="ACT_TEXT lx_elem" onmousemove="lx_mo(event,1924765)"><div class="lx_elem2"><div class="lx_elem3"><span onclick="lx_sf(1924765)"><img src="/img/cmt.svg" />Ҳужжатга таклиф юбориш</span><span onclick="lx_pa(1924765)"><img src="/img/vlm.svg" />Аудиони тинглаш</span><span onclick="lx_cl(1924765)"><img src="/img/lnk.svg" />Ҳужжат элементидан ҳавола олиш</span></div></div><div name="1924765" id="1924765">При хранении радиоактивных веществ с высокой активностью должна предусматриваться система их охлаждения. При хранении делящихся материалов должны быть обеспечены меры ядерной безопасности. При хранении легко воспламеняющихся или взрывоопасных материалов должны быть предусмотрены меры, обеспечивающие их взрыво- и пожаробезопасность.</div></div><div class="ACT_TEXT lx_elem" onmousemove="lx_mo(event,1924766)"><div class="lx_elem2"><div class="lx_elem3"><span onclick="lx_sf(1924766)"><img src="/img/cmt.svg" />Ҳужжатга таклиф юбориш</span><span onclick="lx_pa(1924766)"><img src="/img/vlm.svg" />Аудиони тинглаш</span><span onclick="lx_cl(1924766)"><img src="/img/lnk.svg" />Ҳужжат элементидан ҳавола олиш</span></div></div><div name="1924766" id="1924766">3.5.19. Радионуклидные источники излучения, не пригодные для дальнейшего использования, должны своевременно списываться и сдаваться на захоронение. Копия акта о приеме источников излучения на захоронение передается в ЦГСЭН.</div></div><div class="ACT_TEXT lx_elem" onmousemove="lx_mo(event,1924767)"><div class="lx_elem2"><div class="lx_elem3"><span onclick="lx_sf(1924767)"><img src="/img/cmt.svg" />Ҳужжатга таклиф юбориш</span><span onclick="lx_pa(1924767)"><img src="/img/vlm.svg" />Аудиони тинглаш</span><span onclick="lx_cl(1924767)"><img src="/img/lnk.svg" />Ҳужжат элементидан ҳавола олиш</span></div></div><div name="1924767" id="1924767">3.5.20. Транспортирование радионуклидных источников внутри помещений, а также на территории организаций должно производиться в контейнерах и упаковках на специальных транспортных средствах, с учетом физического состояния источников излучения, их активности, вида излучения, габаритов и массы упаковки, с соблюдением условий безопасности.</div></div><div class="ACT_TEXT lx_elem" onmousemove="lx_mo(event,1924768)"><div class="lx_elem2"><div class="lx_elem3"><span onclick="lx_sf(1924768)"><img src="/img/cmt.svg" />Ҳужжатга таклиф юбориш</span><span onclick="lx_pa(1924768)"><img src="/img/vlm.svg" />Аудиони тинглаш</span><span onclick="lx_cl(1924768)"><img src="/img/lnk.svg" />Ҳужжат элементидан ҳавола олиш</span></div></div><div name="1924768" id="1924768">Твердые низкоактивные отходы в пределах организации разрешается транспортировать до пунктов их захоронения в автосамосвалах и бортовых автомобилях, выделенных для этой цели, без контейнеров и упаковок. При транспортировке сыпучих низкоактивных отходов в автосамосвалах должны быть приняты меры, исключающие возможность выдувания этих материалов при движении автосамосвалов (загрузка автосамосвала на 75% емкости кузова, укрытие поверхности отходов в кузове брезентом или другим материалом).</div></div><div class="ACT_TEXT lx_elem" onmousemove="lx_mo(event,1924769)"><div class="lx_elem2"><div class="lx_elem3"><span onclick="lx_sf(1924769)"><img src="/img/cmt.svg" />Ҳужжатга таклиф юбориш</span><span onclick="lx_pa(1924769)"><img src="/img/vlm.svg" />Аудиони тинглаш</span><span onclick="lx_cl(1924769)"><img src="/img/lnk.svg" />Ҳужжат элементидан ҳавола олиш</span></div></div><div name="1924769" id="1924769">Транспортирование насыщенной ураном ионообменной смолы на рудниках подземного выщелачивания должно осуществляться в специальных автоцистернах, а транспортирование насыщенных ураном растворов от рудников подземного выщелачивания до гидрометаллургического завода— в специальных автоцистернах или железнодорожных цистернах.</div></div><div class="ACT_TEXT lx_elem" onmousemove="lx_mo(event,1924770)"><div class="lx_elem2"><div class="lx_elem3"><span onclick="lx_sf(1924770)"><img src="/img/cmt.svg" />Ҳужжатга таклиф юбориш</span><span onclick="lx_pa(1924770)"><img src="/img/vlm.svg" />Аудиони тинглаш</span><span onclick="lx_cl(1924770)"><img src="/img/lnk.svg" />Ҳужжат элементидан ҳавола олиш</span></div></div><div name="1924770" id="1924770">3.5.21. Транспортные средства, специально предназначенные для перевозки радиоактивных веществ и материалов за пределами организации, должны иметь санитарно-эпидемиологическое заключение (<a href="/docs/1908086#1927371">приложение Л</a>). Требования безопасности при транспортировании радионуклидных источников за пределами организации регламентируются отдельными санитарными правилами.</div></div><div class="ACT_TEXT lx_elem" onmousemove="lx_mo(event,1924771)"><div class="lx_elem2"><div class="lx_elem3"><span onclick="lx_sf(1924771)"><img src="/img/cmt.svg" />Ҳужжатга таклиф юбориш</span><span onclick="lx_pa(1924771)"><img src="/img/vlm.svg" />Аудиони тинглаш</span><span onclick="lx_cl(1924771)"><img src="/img/lnk.svg" />Ҳужжат элементидан ҳавола олиш</span></div></div><div name="1924771" id="1924771">3.5.22. Уровни радиоактивного загрязнения поверхности транспортных средств не должны превышать значений, приведенных в таблице <a href="/docs/1908086#1924772">3.5.1</a></div></div><div class="TABLE_STD lx_elem" id="theDefCssID" onmousemove="lx_mo(event,1924772)"><div class="lx_elem2"><div class="lx_elem3"><span onclick="lx_sf(1924772)"><img src="/img/cmt.svg" />Ҳужжатга таклиф юбориш</span><span onclick="lx_pa(1924772)"><img src="/img/vlm.svg" />Аудиони тинглаш</span><span onclick="lx_cl(1924772)"><img src="/img/lnk.svg" />Ҳужжат элементидан ҳавола олиш</span></div></div><div name="1924772" id="1924772" class="tabBox"><table id="theTableID" style="TABLE-LAYOUT: auto; PADDING-RIGHT: 0px; ; PADDING-LEFT: 0px; LEFT: 2px; PADDING-BOTTOM: 0px; WIDTH: 100%; BORDER-TOP-STYLE: none; PADDING-TOP: 0px; BORDER-RIGHT-STYLE: none; BORDER-LEFT-STYLE: none; TOP: 0px; BORDER-BOTTOM-STYLE: none" cellspacing="1" cols="5" border="1">
<colgroup>
<col />
<col />
<col />
<col />
<col /></colgroup>
<tbody>
<tr>
<td style="BORDER-TOP-STYLE: none; BORDER-RIGHT-STYLE: none; BORDER-LEFT-STYLE: none; BORDER-BOTTOM-STYLE: none">‎</td>
<td style="BORDER-TOP-STYLE: none; BORDER-RIGHT-STYLE: none; BORDER-LEFT-STYLE: none; BORDER-BOTTOM-STYLE: none">‎</td>
<td style="BORDER-TOP-STYLE: none; BORDER-RIGHT-STYLE: none; BORDER-LEFT-STYLE: none; BORDER-BOTTOM-STYLE: none">‎</td>
<td style="BORDER-TOP-STYLE: none; BORDER-RIGHT-STYLE: none; BORDER-LEFT-STYLE: none; BORDER-BOTTOM-STYLE: none">‎</td>
<td style="BORDER-TOP-STYLE: none; BORDER-RIGHT-STYLE: none; BORDER-LEFT-STYLE: none; BORDER-BOTTOM-STYLE: none">
<p align="right">Таблица 3.5.1‎</p></td></tr>
<tr>
<td style="BORDER-TOP-STYLE: none; BORDER-RIGHT-STYLE: none; BORDER-LEFT-STYLE: none; BORDER-BOTTOM-STYLE: none" colspan="5">
<p align="center"><strong>‎‎Допустимые уровни радиоактивного загрязнения поверхности транспортных средств, част/(см<sup>2</sup> х мин)<br />‎</strong></p></td></tr>
<tr>
<td rowspan="3">
<p align="center">Объект загрязнения‎‏</p></td>
<td colspan="4">
<p align="center">Вид загрязнения‎‎</p></td></tr>
<tr>
<td colspan="2">
<p align="center">снимаемое (нефиксированное)‎‎</p></td>
<td colspan="2">
<p align="center">неснимаемое (фиксированное) ‎‎‎</p></td></tr>
<tr>
<td>
<p align="center">альфа-активные радионуклиды‎</p></td>
<td>
<p align="center">бета-активные радионуклиды‎</p></td>
<td>
<p align="center">альфа-активные радионуклиды‎</p></td>
<td>
<p align="center">бета -активные радионуклиды‎</p></td></tr>
<tr>
<td>Наружная поверхность охранной тары контейнера‎</td>
<td>
<p align="center">Не допускается‎</p></td>
<td>
<p align="center">Не допускается‎</p></td>
<td>
<p align="center">Не регламентируется‎</p></td>
<td>
<p align="center">200‎</p></td></tr>
<tr>
<td>
<p align="left">Наружная поверхность вагона-контейнера‎</p></td>
<td>
<p align="center">Не допускается‎</p></td>
<td>
<p align="center">Не допускается‎</p></td>
<td>
<p align="center">Не регламентируется‎</p></td>
<td>
<p align="center">200‎</p></td></tr>
<tr>
<td>
<p align="left">Внутренняя поверхность охранной тары контейнера‎</p></td>
<td>
<p align="center">1,0‎</p></td>
<td>
<p align="center">100‎</p></td>
<td>
<p align="center">Не регламентируется‎</p></td>
<td>
<p align="center">2000‎</p></td></tr>
<tr>
<td>
<p align="left">Наружная поверхность транспортного Контейнера‎</p></td>
<td>
<p align="center">1,0‎</p></td>
<td>
<p align="center">100‎</p></td>
<td>
<p align="center">Не регламентируется‎</p></td>
<td>
<p align="center">2000‎</p></td></tr></tbody></table></div></div><div class="ACT_TEXT lx_elem" onmousemove="lx_mo(event,1924773)"><div class="lx_elem2"><div class="lx_elem3"><span onclick="lx_sf(1924773)"><img src="/img/cmt.svg" />Ҳужжатга таклиф юбориш</span><span onclick="lx_pa(1924773)"><img src="/img/vlm.svg" />Аудиони тинглаш</span><span onclick="lx_cl(1924773)"><img src="/img/lnk.svg" />Ҳужжат элементидан ҳавола олиш</span></div></div><div name="1924773" id="1924773">3.6. Вывод из эксплуатации радиационных объектов (источников излучения)</div></div><div class="ACT_TEXT lx_elem" onmousemove="lx_mo(event,1924774)"><div class="lx_elem2"><div class="lx_elem3"><span onclick="lx_sf(1924774)"><img src="/img/cmt.svg" />Ҳужжатга таклиф юбориш</span><span onclick="lx_pa(1924774)"><img src="/img/vlm.svg" />Аудиони тинглаш</span><span onclick="lx_cl(1924774)"><img src="/img/lnk.svg" />Ҳужжат элементидан ҳавола олиш</span></div></div><div name="1924774" id="1924774">3.6.1. Решение о продлении срока эксплуатации или выводе радиационного объекта (источника излучения) из эксплуатации, а также выбор его варианта, принимаются после комплексного обследования радиационного и технического состояния технологических систем и оборудования, строительных конструкций и прилегающей территории объекта.</div></div><div class="ACT_TEXT lx_elem" onmousemove="lx_mo(event,1924775)"><div class="lx_elem2"><div class="lx_elem3"><span onclick="lx_sf(1924775)"><img src="/img/cmt.svg" />Ҳужжатга таклиф юбориш</span><span onclick="lx_pa(1924775)"><img src="/img/vlm.svg" />Аудиони тинглаш</span><span onclick="lx_cl(1924775)"><img src="/img/lnk.svg" />Ҳужжат элементидан ҳавола олиш</span></div></div><div name="1924775" id="1924775">3.6.2. На радиационных объектах I категории не позднее, чем за 5 лет до назначенного срока окончания эксплуатации, должен быть разработан детальный проект вывода из эксплуатации всего объекта или отдельной его части, согласованный с органами государственного надзора за радиационной безопасностью. Для объектов II категории проект вывода из эксплуатации должен быть разработан не позднее, чем за 3 года до окончания срока эксплуатации, а для объектов III и IV категорий— за 1 год.</div></div><div class="ACT_TEXT lx_elem" onmousemove="lx_mo(event,1924776)"><div class="lx_elem2"><div class="lx_elem3"><span onclick="lx_sf(1924776)"><img src="/img/cmt.svg" />Ҳужжатга таклиф юбориш</span><span onclick="lx_pa(1924776)"><img src="/img/vlm.svg" />Аудиони тинглаш</span><span onclick="lx_cl(1924776)"><img src="/img/lnk.svg" />Ҳужжат элементидан ҳавола олиш</span></div></div><div name="1924776" id="1924776">3.6.3. В проекте вывода радиационного объекта из эксплуатации должны быть предусмотрены мероприятия по обеспечению безопасности на различных этапах вывода его из эксплуатации: остановке, консервации, демонтаже, перепрофилировании, ликвидации или захоронении, а также при проведении ремонтных работ.</div></div><div class="ACT_TEXT lx_elem" onmousemove="lx_mo(event,1924777)"><div class="lx_elem2"><div class="lx_elem3"><span onclick="lx_sf(1924777)"><img src="/img/cmt.svg" />Ҳужжатга таклиф юбориш</span><span onclick="lx_pa(1924777)"><img src="/img/vlm.svg" />Аудиони тинглаш</span><span onclick="lx_cl(1924777)"><img src="/img/lnk.svg" />Ҳужжат элементидан ҳавола олиш</span></div></div><div name="1924777" id="1924777">3.6.4. Проект вывода из эксплуатации радиационного объекта должен содержать:</div></div><div class="ACT_TEXT lx_elem" onmousemove="lx_mo(event,1924778)"><div class="lx_elem2"><div class="lx_elem3"><span onclick="lx_sf(1924778)"><img src="/img/cmt.svg" />Ҳужжатга таклиф юбориш</span><span onclick="lx_pa(1924778)"><img src="/img/vlm.svg" />Аудиони тинглаш</span><span onclick="lx_cl(1924778)"><img src="/img/lnk.svg" />Ҳужжат элементидан ҳавола олиш</span></div></div><div name="1924778" id="1924778">подготовку необходимого оборудования для проведения демонтажник работ;</div></div><div class="ACT_TEXT lx_elem" onmousemove="lx_mo(event,1924779)"><div class="lx_elem2"><div class="lx_elem3"><span onclick="lx_sf(1924779)"><img src="/img/cmt.svg" />Ҳужжатга таклиф юбориш</span><span onclick="lx_pa(1924779)"><img src="/img/vlm.svg" />Аудиони тинглаш</span><span onclick="lx_cl(1924779)"><img src="/img/lnk.svg" />Ҳужжат элементидан ҳавола олиш</span></div></div><div name="1924779" id="1924779">методы и средства дезактивации демонтируемого оборудования;</div></div><div class="ACT_TEXT lx_elem" onmousemove="lx_mo(event,1924780)"><div class="lx_elem2"><div class="lx_elem3"><span onclick="lx_sf(1924780)"><img src="/img/cmt.svg" />Ҳужжатга таклиф юбориш</span><span onclick="lx_pa(1924780)"><img src="/img/vlm.svg" />Аудиони тинглаш</span><span onclick="lx_cl(1924780)"><img src="/img/lnk.svg" />Ҳужжат элементидан ҳавола олиш</span></div></div><div name="1924780" id="1924780">порядок утилизации радиоактивных отходов.</div></div><div class="ACT_TEXT lx_elem" onmousemove="lx_mo(event,1924781)"><div class="lx_elem2"><div class="lx_elem3"><span onclick="lx_sf(1924781)"><img src="/img/cmt.svg" />Ҳужжатга таклиф юбориш</span><span onclick="lx_pa(1924781)"><img src="/img/vlm.svg" />Аудиони тинглаш</span><span onclick="lx_cl(1924781)"><img src="/img/lnk.svg" />Ҳужжат элементидан ҳавола олиш</span></div></div><div name="1924781" id="1924781">3.6.5. При выводе радиационного объекта из эксплуатации следует оценить ожидаемые индивидуальные и коллективные дозы облучения персонала и населения.</div></div><div class="ACT_TEXT lx_elem" onmousemove="lx_mo(event,1924782)"><div class="lx_elem2"><div class="lx_elem3"><span onclick="lx_sf(1924782)"><img src="/img/cmt.svg" />Ҳужжатга таклиф юбориш</span><span onclick="lx_pa(1924782)"><img src="/img/vlm.svg" />Аудиони тинглаш</span><span onclick="lx_cl(1924782)"><img src="/img/lnk.svg" />Ҳужжат элементидан ҳавола олиш</span></div></div><div name="1924782" id="1924782">3.6.6. Работы по выводу радиационных объектов из эксплуатации должны выполняться специально подготовленным персоналом объекта или персоналом других организаций, имеющих соответствующую лицензию. В необходимых случаях подготовка персонала должна проводиться на макетах и тренажерах, имитирующих основные операции предстоящих работ.</div></div><div class="ACT_TEXT lx_elem" onmousemove="lx_mo(event,1924783)"><div class="lx_elem2"><div class="lx_elem3"><span onclick="lx_sf(1924783)"><img src="/img/cmt.svg" />Ҳужжатга таклиф юбориш</span><span onclick="lx_pa(1924783)"><img src="/img/vlm.svg" />Аудиони тинглаш</span><span onclick="lx_cl(1924783)"><img src="/img/lnk.svg" />Ҳужжат элементидан ҳавола олиш</span></div></div><div name="1924783" id="1924783">3.6.7. Вопрос о возможном продлении срока эксплуатации источников излучения должен решаться комиссией в составе представителей организации, использующей источник излучения, и органов государственного надзора за радиационной безопасностью, а при необходимости и представителей предприятия-изготовителя. В заключении комиссией определяются возможность, условия и срок дальнейшего использования источника излучения.</div></div><div class="ACT_TEXT lx_elem" onmousemove="lx_mo(event,1924784)"><div class="lx_elem2"><div class="lx_elem3"><span onclick="lx_sf(1924784)"><img src="/img/cmt.svg" />Ҳужжатга таклиф юбориш</span><span onclick="lx_pa(1924784)"><img src="/img/vlm.svg" />Аудиони тинглаш</span><span onclick="lx_cl(1924784)"><img src="/img/lnk.svg" />Ҳужжат элементидан ҳавола олиш</span></div></div><div name="1924784" id="1924784">3.7. Работа с закрытыми источниками излучения и устройствами, генерирующими ионизирующее излучение</div></div><div class="ACT_TEXT lx_elem" onmousemove="lx_mo(event,1924785)"><div class="lx_elem2"><div class="lx_elem3"><span onclick="lx_sf(1924785)"><img src="/img/cmt.svg" />Ҳужжатга таклиф юбориш</span><span onclick="lx_pa(1924785)"><img src="/img/vlm.svg" />Аудиони тинглаш</span><span onclick="lx_cl(1924785)"><img src="/img/lnk.svg" />Ҳужжат элементидан ҳавола олиш</span></div></div><div name="1924785" id="1924785">3.7.1. Использование закрытых источников излучения и устройств, генерирующих ионизирующее излучение, регламентируется требованиями настоящих Правил, государственных стандартов и технической документации на источники излучения, имеющие санитарно-эпидемиологическое заключение ЦГСЭН.</div></div><div class="ACT_TEXT lx_elem" onmousemove="lx_mo(event,1924786)"><div class="lx_elem2"><div class="lx_elem3"><span onclick="lx_sf(1924786)"><img src="/img/cmt.svg" />Ҳужжатга таклиф юбориш</span><span onclick="lx_pa(1924786)"><img src="/img/vlm.svg" />Аудиони тинглаш</span><span onclick="lx_cl(1924786)"><img src="/img/lnk.svg" />Ҳужжат элементидан ҳавола олиш</span></div></div><div name="1924786" id="1924786">3.7.2. Контроль герметичности закрытых источников излучения должен проводиться в порядке и в сроки, установленные соответствующими стандартами и технической документацией на них. Не допускается использование закрытых источников ионизирующего излучения в случае нарушения их герметичности, а также по истечении установленного срока эксплуатации.</div></div><div class="ACT_TEXT lx_elem" onmousemove="lx_mo(event,1924787)"><div class="lx_elem2"><div class="lx_elem3"><span onclick="lx_sf(1924787)"><img src="/img/cmt.svg" />Ҳужжатга таклиф юбориш</span><span onclick="lx_pa(1924787)"><img src="/img/vlm.svg" />Аудиони тинглаш</span><span onclick="lx_cl(1924787)"><img src="/img/lnk.svg" />Ҳужжат элементидан ҳавола олиш</span></div></div><div name="1924787" id="1924787">3.7.3. Устройство, в которое помещен закрытый источник излучения, должно быть устойчивым к механическим, химическим, температурным и другим воздействиям, иметь знак радиационной опасности.</div></div><div class="ACT_TEXT lx_elem" onmousemove="lx_mo(event,1924788)"><div class="lx_elem2"><div class="lx_elem3"><span onclick="lx_sf(1924788)"><img src="/img/cmt.svg" />Ҳужжатга таклиф юбориш</span><span onclick="lx_pa(1924788)"><img src="/img/vlm.svg" />Аудиони тинглаш</span><span onclick="lx_cl(1924788)"><img src="/img/lnk.svg" />Ҳужжат элементидан ҳавола олиш</span></div></div><div name="1924788" id="1924788">3.7.4. В нерабочем положении закрытые источники излучения должны находиться в защитных устройствах, а установки, генерирующие ионизирующее излучение, должны быть обесточены.</div></div><div class="ACT_TEXT lx_elem" onmousemove="lx_mo(event,1924789)"><div class="lx_elem2"><div class="lx_elem3"><span onclick="lx_sf(1924789)"><img src="/img/cmt.svg" />Ҳужжатга таклиф юбориш</span><span onclick="lx_pa(1924789)"><img src="/img/vlm.svg" />Аудиони тинглаш</span><span onclick="lx_cl(1924789)"><img src="/img/lnk.svg" />Ҳужжат элементидан ҳавола олиш</span></div></div><div name="1924789" id="1924789">3.7.5. Для извлечения закрытого источника излучения из контейнера следует пользоваться дистанционным инструментом или специальными приспособлениями. При работе с источником излучения, извлеченным из защитного контейнера, должны применяться защитные экраны и манипуляторы, а при работе с источником излучения, создающим мощность дозы более 2 мГр/ч<a href="/docs/1908086#1928257">*</a> на расстоянии 1м,- специальные защитные устройства (боксы, шкафы и др.) с дистанционным управлением.</div></div><div class="ACT_TEXT lx_elem" onmousemove="lx_mo(event,1924790)"><div class="lx_elem2"><div class="lx_elem3"><span onclick="lx_sf(1924790)"><img src="/img/cmt.svg" />Ҳужжатга таклиф юбориш</span><span onclick="lx_pa(1924790)"><img src="/img/vlm.svg" />Аудиони тинглаш</span><span onclick="lx_cl(1924790)"><img src="/img/lnk.svg" />Ҳужжат элементидан ҳавола олиш</span></div></div><div name="1924790" id="1924790">3.7.6. Мощность дозы излучения от переносных, передвижных, стационарных дефектоскопических, терапевтических аппаратов и других установок, действие которых основано на использовании радионуклидных источников излучения, не должна превышать 20 мкГр/ч<a href="/docs/1908086#1928788">*</a> на расстоянии 1 м от поверхности защитного блока с источником излучения.</div></div><div class="ACT_TEXT lx_elem" onmousemove="lx_mo(event,1924791)"><div class="lx_elem2"><div class="lx_elem3"><span onclick="lx_sf(1924791)"><img src="/img/cmt.svg" />Ҳужжатга таклиф юбориш</span><span onclick="lx_pa(1924791)"><img src="/img/vlm.svg" />Аудиони тинглаш</span><span onclick="lx_cl(1924791)"><img src="/img/lnk.svg" />Ҳужжат элементидан ҳавола олиш</span></div></div><div name="1924791" id="1924791">Для радиоизотопных приборов, предназначенных для использования в производственных условиях, мощность дозы излучения у поверхности блока с источником излучения не должна превышать 100 мкГр/ч<a href="/docs/1908086#1928788">*</a> , а на расстоянии 1 м от нее— 3 мкГр/ч<a href="/docs/1908086#1928788">*</a>.</div></div><div class="ACT_TEXT lx_elem" onmousemove="lx_mo(event,1924792)"><div class="lx_elem2"><div class="lx_elem3"><span onclick="lx_sf(1924792)"><img src="/img/cmt.svg" />Ҳужжатга таклиф юбориш</span><span onclick="lx_pa(1924792)"><img src="/img/vlm.svg" />Аудиони тинглаш</span><span onclick="lx_cl(1924792)"><img src="/img/lnk.svg" />Ҳужжат элементидан ҳавола олиш</span></div></div><div name="1924792" id="1924792">Мощность дозы излучения от устройств, при работе которых возникает сопутствующее неиспользуемое рентгеновское излучение, не должна превышать 1,0 мкГр/ч<a href="/docs/1908086#1928788">*</a> на расстоянии 0,1 м от любой поверхности.</div></div><div class="FOOTNOTE lx_elem" onmousemove="lx_mo(event,1928788)"><div class="lx_elem2"><div class="lx_elem3"><span onclick="lx_sf(1928788)"><img src="/img/cmt.svg" />Ҳужжатга таклиф юбориш</span><span onclick="lx_pa(1928788)"><img src="/img/vlm.svg" />Аудиони тинглаш</span><span onclick="lx_cl(1928788)"><img src="/img/lnk.svg" />Ҳужжат элементидан ҳавола олиш</span></div></div><div name="1928788" id="1928788">*Для нейтронных источников излучения регламентируются такие же численные значения эквивалентной дозы в мЗв/ч и мкЗ/ч соответственно.</div></div><div class="ACT_TEXT lx_elem" onmousemove="lx_mo(event,1924793)"><div class="lx_elem2"><div class="lx_elem3"><span onclick="lx_sf(1924793)"><img src="/img/cmt.svg" />Ҳужжатга таклиф юбориш</span><span onclick="lx_pa(1924793)"><img src="/img/vlm.svg" />Аудиони тинглаш</span><span onclick="lx_cl(1924793)"><img src="/img/lnk.svg" />Ҳужжат элементидан ҳавола олиш</span></div></div><div name="1924793" id="1924793">3.7.7. Требования по защите от рентгеновского излучения рентгенофлюорографических, рентгенодиагностических, рентгенотерапевтических аппаратов регламентируются специальными правилами.</div></div><div class="ACT_TEXT lx_elem" onmousemove="lx_mo(event,1924794)"><div class="lx_elem2"><div class="lx_elem3"><span onclick="lx_sf(1924794)"><img src="/img/cmt.svg" />Ҳужжатга таклиф юбориш</span><span onclick="lx_pa(1924794)"><img src="/img/vlm.svg" />Аудиони тинглаш</span><span onclick="lx_cl(1924794)"><img src="/img/lnk.svg" />Ҳужжат элементидан ҳавола олиш</span></div></div><div name="1924794" id="1924794">3.7.8. При использовании установок (аппаратов), мощность дозы излучения от которых в рабочем положении и при хранении источников излучения не превышает 1,0 мкГр/ч на расстоянии 1 м от доступных частей поверхности установки, специальные требования к помещениям не предъявляются.</div></div><div class="ACT_TEXT lx_elem" onmousemove="lx_mo(event,1924795)"><div class="lx_elem2"><div class="lx_elem3"><span onclick="lx_sf(1924795)"><img src="/img/cmt.svg" />Ҳужжатга таклиф юбориш</span><span onclick="lx_pa(1924795)"><img src="/img/vlm.svg" />Аудиони тинглаш</span><span onclick="lx_cl(1924795)"><img src="/img/lnk.svg" />Ҳужжат элементидан ҳавола олиш</span></div></div><div name="1924795" id="1924795">3.7.9. Рабочая часть стационарных аппаратов и установок с неограниченным по направлению пучком излучения должна размещаться в отдельном помещении (преимущественно в отдельном здании или отдельном крыле здания); материал и толщина стен, пола, потолка этого помещения при любых положениях источника излучения и направлении пучка должны обеспечивать ослабление первичного и рассеянного излучения в смежных помещениях и на территории организации до допустимых значений.</div></div><div class="ACT_TEXT lx_elem" onmousemove="lx_mo(event,1924796)"><div class="lx_elem2"><div class="lx_elem3"><span onclick="lx_sf(1924796)"><img src="/img/cmt.svg" />Ҳужжатга таклиф юбориш</span><span onclick="lx_pa(1924796)"><img src="/img/vlm.svg" />Аудиони тинглаш</span><span onclick="lx_cl(1924796)"><img src="/img/lnk.svg" />Ҳужжат элементидан ҳавола олиш</span></div></div><div name="1924796" id="1924796">Пульт управления таким аппаратом (установкой) должен размещаться в отдельном от источника излучения помещении. Входная дверь в помещение, где находится аппарат, должна блокироваться с механизмом перемещения источника излучения или с включением высокого (ускоряющего) напряжения так, чтобы исключить возможность случайного облучения персонала.</div></div><div class="ACT_TEXT lx_elem" onmousemove="lx_mo(event,1924797)"><div class="lx_elem2"><div class="lx_elem3"><span onclick="lx_sf(1924797)"><img src="/img/cmt.svg" />Ҳужжатга таклиф юбориш</span><span onclick="lx_pa(1924797)"><img src="/img/vlm.svg" />Аудиони тинглаш</span><span onclick="lx_cl(1924797)"><img src="/img/lnk.svg" />Ҳужжат элементидан ҳавола олиш</span></div></div><div name="1924797" id="1924797">3.7.10. Помещения, где проводятся работы на стационарных установках с закрытыми источниками излучения, должны быть оборудованы системами блокировки и сигнализации о положении источника (блока источников). Кроме того, должно быть предусмотрено устройство для принудительного дистанционного перемещения источника излучения в положение хранения в случае отключения энергопитания установки или в случае любой другой нештатной ситуации.</div></div><div class="ACT_TEXT lx_elem" onmousemove="lx_mo(event,1924798)"><div class="lx_elem2"><div class="lx_elem3"><span onclick="lx_sf(1924798)"><img src="/img/cmt.svg" />Ҳужжатга таклиф юбориш</span><span onclick="lx_pa(1924798)"><img src="/img/vlm.svg" />Аудиони тинглаш</span><span onclick="lx_cl(1924798)"><img src="/img/lnk.svg" />Ҳужжат элементидан ҳавола олиш</span></div></div><div name="1924798" id="1924798">3.7.11. При подводном хранении закрытых источников излучения должны быть предусмотрены системы автоматического поддержания уровня воды в бассейне, сигнализации об изменении уровня воды и о повышении мощности дозы в рабочем помещении.</div></div><div class="ACT_TEXT lx_elem" onmousemove="lx_mo(event,1924799)"><div class="lx_elem2"><div class="lx_elem3"><span onclick="lx_sf(1924799)"><img src="/img/cmt.svg" />Ҳужжатга таклиф юбориш</span><span onclick="lx_pa(1924799)"><img src="/img/vlm.svg" />Аудиони тинглаш</span><span onclick="lx_cl(1924799)"><img src="/img/lnk.svg" />Ҳужжат элементидан ҳавола олиш</span></div></div><div name="1924799" id="1924799">3.7.12. При работе с закрытыми источниками излучения специальные требования к отделке помещений не предъявляются. Исключение составляют помещения, в которых проводится перезарядка, ремонт и временное хранение демонтированных приборов и установок, которые должны быть оборудованы в соответствии с требованиями для помещений III класса.</div></div><div class="ACT_TEXT lx_elem" onmousemove="lx_mo(event,1924800)"><div class="lx_elem2"><div class="lx_elem3"><span onclick="lx_sf(1924800)"><img src="/img/cmt.svg" />Ҳужжатга таклиф юбориш</span><span onclick="lx_pa(1924800)"><img src="/img/vlm.svg" />Аудиони тинглаш</span><span onclick="lx_cl(1924800)"><img src="/img/lnk.svg" />Ҳужжат элементидан ҳавола олиш</span></div></div><div name="1924800" id="1924800">3.7.13. При использовании мощных радиационных установок и хранении закрытых источников излучения в количествах, приводящих к накоплению в воздухе рабочих помещений сверхнормативных концентраций токсических веществ, необходимо предусматривать приточно-вытяжную вентиляцию в соответствии с требованиями специальных санитарных правил.</div></div><div class="ACT_TEXT lx_elem" onmousemove="lx_mo(event,1924801)"><div class="lx_elem2"><div class="lx_elem3"><span onclick="lx_sf(1924801)"><img src="/img/cmt.svg" />Ҳужжатга таклиф юбориш</span><span onclick="lx_pa(1924801)"><img src="/img/vlm.svg" />Аудиони тинглаш</span><span onclick="lx_cl(1924801)"><img src="/img/lnk.svg" />Ҳужжат элементидан ҳавола олиш</span></div></div><div name="1924801" id="1924801">3.7.14. При использовании приборов с закрытыми источниками излучения и устройств, генерирующих ионизирующее излучение, вне помещений или в общих производственных помещениях должен быть исключен доступ посторонних лиц к источникам излучения и обеспечена сохранность источников.</div></div><div class="ACT_TEXT lx_elem" onmousemove="lx_mo(event,1924802)"><div class="lx_elem2"><div class="lx_elem3"><span onclick="lx_sf(1924802)"><img src="/img/cmt.svg" />Ҳужжатга таклиф юбориш</span><span onclick="lx_pa(1924802)"><img src="/img/vlm.svg" />Аудиони тинглаш</span><span onclick="lx_cl(1924802)"><img src="/img/lnk.svg" />Ҳужжат элементидан ҳавола олиш</span></div></div><div name="1924802" id="1924802">В целях обеспечения радиационной безопасности персонала и населения следует:</div></div><div class="ACT_TEXT lx_elem" onmousemove="lx_mo(event,1924803)"><div class="lx_elem2"><div class="lx_elem3"><span onclick="lx_sf(1924803)"><img src="/img/cmt.svg" />Ҳужжатга таклиф юбориш</span><span onclick="lx_pa(1924803)"><img src="/img/vlm.svg" />Аудиони тинглаш</span><span onclick="lx_cl(1924803)"><img src="/img/lnk.svg" />Ҳужжат элементидан ҳавола олиш</span></div></div><div name="1924803" id="1924803">направлять излучение в сторону земли или туда, где отсутствуют люди;</div></div><div class="ACT_TEXT lx_elem" onmousemove="lx_mo(event,1924804)"><div class="lx_elem2"><div class="lx_elem3"><span onclick="lx_sf(1924804)"><img src="/img/cmt.svg" />Ҳужжатга таклиф юбориш</span><span onclick="lx_pa(1924804)"><img src="/img/vlm.svg" />Аудиони тинглаш</span><span onclick="lx_cl(1924804)"><img src="/img/lnk.svg" />Ҳужжат элементидан ҳавола олиш</span></div></div><div name="1924804" id="1924804">удалять источники излучения от обслуживающего персонала и других лиц на возможно большее расстояние;</div></div><div class="ACT_TEXT lx_elem" onmousemove="lx_mo(event,1924805)"><div class="lx_elem2"><div class="lx_elem3"><span onclick="lx_sf(1924805)"><img src="/img/cmt.svg" />Ҳужжатга таклиф юбориш</span><span onclick="lx_pa(1924805)"><img src="/img/vlm.svg" />Аудиони тинглаш</span><span onclick="lx_cl(1924805)"><img src="/img/lnk.svg" />Ҳужжат элементидан ҳавола олиш</span></div></div><div name="1924805" id="1924805">ограничивать время пребывания людей вблизи источников излучения;</div></div><div class="ACT_TEXT lx_elem" onmousemove="lx_mo(event,1924806)"><div class="lx_elem2"><div class="lx_elem3"><span onclick="lx_sf(1924806)"><img src="/img/cmt.svg" />Ҳужжатга таклиф юбориш</span><span onclick="lx_pa(1924806)"><img src="/img/vlm.svg" />Аудиони тинглаш</span><span onclick="lx_cl(1924806)"><img src="/img/lnk.svg" />Ҳужжат элементидан ҳавола олиш</span></div></div><div name="1924806" id="1924806">вывешивать знак радиационной опасности и предупредительные плакаты, которые должны быть отчетливо видны с расстояния не менее 3 м.</div></div><div class="ACT_TEXT lx_elem" onmousemove="lx_mo(event,1924807)"><div class="lx_elem2"><div class="lx_elem3"><span onclick="lx_sf(1924807)"><img src="/img/cmt.svg" />Ҳужжатга таклиф юбориш</span><span onclick="lx_pa(1924807)"><img src="/img/vlm.svg" />Аудиони тинглаш</span><span onclick="lx_cl(1924807)"><img src="/img/lnk.svg" />Ҳужжат элементидан ҳавола олиш</span></div></div><div name="1924807" id="1924807">3.8. Работа с открытыми источниками излучения (радиоактивными веществами)</div></div><div class="ACT_TEXT lx_elem" onmousemove="lx_mo(event,1924808)"><div class="lx_elem2"><div class="lx_elem3"><span onclick="lx_sf(1924808)"><img src="/img/cmt.svg" />Ҳужжатга таклиф юбориш</span><span onclick="lx_pa(1924808)"><img src="/img/vlm.svg" />Аудиони тинглаш</span><span onclick="lx_cl(1924808)"><img src="/img/lnk.svg" />Ҳужжат элементидан ҳавола олиш</span></div></div><div name="1924808" id="1924808">3.8.1. Радионуклиды как потенциальные источники внутреннего облучения разделяются по степени радиационной опасности на четыре группы в зависимости от минимально значимой активности (МЗА):</div></div><div class="ACT_TEXT lx_elem" onmousemove="lx_mo(event,1924809)"><div class="lx_elem2"><div class="lx_elem3"><span onclick="lx_sf(1924809)"><img src="/img/cmt.svg" />Ҳужжатга таклиф юбориш</span><span onclick="lx_pa(1924809)"><img src="/img/vlm.svg" />Аудиони тинглаш</span><span onclick="lx_cl(1924809)"><img src="/img/lnk.svg" />Ҳужжат элементидан ҳавола олиш</span></div></div><div name="1924809" id="1924809">1. Группа А — радионуклиды с минимально значимой активностью 10<sup>3</sup> Бк;</div></div><div class="ACT_TEXT lx_elem" onmousemove="lx_mo(event,1924810)"><div class="lx_elem2"><div class="lx_elem3"><span onclick="lx_sf(1924810)"><img src="/img/cmt.svg" />Ҳужжатга таклиф юбориш</span><span onclick="lx_pa(1924810)"><img src="/img/vlm.svg" />Аудиони тинглаш</span><span onclick="lx_cl(1924810)"><img src="/img/lnk.svg" />Ҳужжат элементидан ҳавола олиш</span></div></div><div name="1924810" id="1924810">2. Группа Б — радионуклиды с минимально значимой активностью 10<sup>4</sup> - 10<sup>5</sup> Бк;</div></div><div class="ACT_TEXT lx_elem" onmousemove="lx_mo(event,1924814)"><div class="lx_elem2"><div class="lx_elem3"><span onclick="lx_sf(1924814)"><img src="/img/cmt.svg" />Ҳужжатга таклиф юбориш</span><span onclick="lx_pa(1924814)"><img src="/img/vlm.svg" />Аудиони тинглаш</span><span onclick="lx_cl(1924814)"><img src="/img/lnk.svg" />Ҳужжат элементидан ҳавола олиш</span></div></div><div name="1924814" id="1924814">3. Группа В — радионуклиды с минимально значимой активностью 10<sup>6</sup> - 10<sup>7</sup> Бк;</div></div><div class="ACT_TEXT lx_elem" onmousemove="lx_mo(event,1924815)"><div class="lx_elem2"><div class="lx_elem3"><span onclick="lx_sf(1924815)"><img src="/img/cmt.svg" />Ҳужжатга таклиф юбориш</span><span onclick="lx_pa(1924815)"><img src="/img/vlm.svg" />Аудиони тинглаш</span><span onclick="lx_cl(1924815)"><img src="/img/lnk.svg" />Ҳужжат элементидан ҳавола олиш</span></div></div><div name="1924815" id="1924815">4. Группа Г — радионуклиды с минимально значимой активностью 10<sup>8</sup> Бк и более.</div></div><div class="ACT_TEXT lx_elem" onmousemove="lx_mo(event,1924825)"><div class="lx_elem2"><div class="lx_elem3"><span onclick="lx_sf(1924825)"><img src="/img/cmt.svg" />Ҳужжатга таклиф юбориш</span><span onclick="lx_pa(1924825)"><img src="/img/vlm.svg" />Аудиони тинглаш</span><span onclick="lx_cl(1924825)"><img src="/img/lnk.svg" />Ҳужжат элементидан ҳавола олиш</span></div></div><div name="1924825" id="1924825">Принадлежность радионуклида к группе радиационной опасности устанавливается в соответствии с <a href="/docs/1908086#1920851">таблицей 8.4</a> НРБ-2006. Короткоживущие радионуклиды с периодом полураспада менее 24 ч, не приведенные в этом приложении, относятся к группе Г.</div></div><div class="ACT_TEXT lx_elem" onmousemove="lx_mo(event,1924828)"><div class="lx_elem2"><div class="lx_elem3"><span onclick="lx_sf(1924828)"><img src="/img/cmt.svg" />Ҳужжатга таклиф юбориш</span><span onclick="lx_pa(1924828)"><img src="/img/vlm.svg" />Аудиони тинглаш</span><span onclick="lx_cl(1924828)"><img src="/img/lnk.svg" />Ҳужжат элементидан ҳавола олиш</span></div></div><div name="1924828" id="1924828">3.8.2. Все работы с использованием открытых источников излучения разделяются на три класса. Класс работ устанавливается по <a href="/docs/1908086#1924836">таблице 3.8.1</a> в зависимости от группы радиационной опасности радионуклида и его активности на рабочем месте, при условии, что удельная активность превышает значение, приведенное <a href="/docs/1908086#1920851">в таблице 8.4.</a> НРБ 2006.</div></div><div class="TABLE_STD lx_elem" id="theDefCssID" onmousemove="lx_mo(event,1924836)"><div class="lx_elem2"><div class="lx_elem3"><span onclick="lx_sf(1924836)"><img src="/img/cmt.svg" />Ҳужжатга таклиф юбориш</span><span onclick="lx_pa(1924836)"><img src="/img/vlm.svg" />Аудиони тинглаш</span><span onclick="lx_cl(1924836)"><img src="/img/lnk.svg" />Ҳужжат элементидан ҳавола олиш</span></div></div><div name="1924836" id="1924836" class="tabBox"><table id="theTableID" style="TABLE-LAYOUT: auto; PADDING-RIGHT: 0px; ; PADDING-LEFT: 0px; LEFT: 2px; PADDING-BOTTOM: 0px; WIDTH: 100%; BORDER-TOP-STYLE: none; PADDING-TOP: 0px; BORDER-RIGHT-STYLE: none; BORDER-LEFT-STYLE: none; TOP: 0px; BORDER-BOTTOM-STYLE: none" cellspacing="1" cols="2" border="1">
<colgroup>
<col />
<col /></colgroup>
<tbody>
<tr>
<td style="BORDER-TOP-STYLE: none; BORDER-RIGHT-STYLE: none; BORDER-LEFT-STYLE: none; BORDER-BOTTOM-STYLE: none">‎</td>
<td style="BORDER-TOP-STYLE: none; BORDER-RIGHT-STYLE: none; BORDER-LEFT-STYLE: none; BORDER-BOTTOM-STYLE: none">
<p align="right">Таблица 3.8.1 ‎</p></td></tr>
<tr>
<td style="BORDER-TOP-STYLE: none; BORDER-RIGHT-STYLE: none; BORDER-LEFT-STYLE: none; BORDER-BOTTOM-STYLE: none" colspan="2">
<p align="center"><strong>Класс работ с открытыми источниками излучения‎‎‎</strong></p></td></tr>
<tr>
<td>
<p align="center">Класс работ‎</p></td>
<td>
<p align="center">Суммарная активность на рабочем месте, приведенная для категории А, Бк‎</p></td></tr>
<tr>
<td>I класс‎</td>
<td>Более 10<sup>8</sup>‎</td></tr>
<tr>
<td>II класс‎</td>
<td>от 10<sup>5</sup> до 10<sup>8</sup>‎</td></tr>
<tr>
<td>III класс‎</td>
<td>от 10<sup>3</sup> до 10<sup>5</sup>‎</td></tr></tbody></table></div></div><div class="FOOTNOTE lx_elem" onmousemove="lx_mo(event,1924837)"><div class="lx_elem2"><div class="lx_elem3"><span onclick="lx_sf(1924837)"><img src="/img/cmt.svg" />Ҳужжатга таклиф юбориш</span><span onclick="lx_pa(1924837)"><img src="/img/vlm.svg" />Аудиони тинглаш</span><span onclick="lx_cl(1924837)"><img src="/img/lnk.svg" />Ҳужжат элементидан ҳавола олиш</span></div></div><div name="1924837" id="1924837">Примечание: </div></div><div class="FOOTNOTE lx_elem" onmousemove="lx_mo(event,1924838)"><div class="lx_elem2"><div class="lx_elem3"><span onclick="lx_sf(1924838)"><img src="/img/cmt.svg" />Ҳужжатга таклиф юбориш</span><span onclick="lx_pa(1924838)"><img src="/img/vlm.svg" />Аудиони тинглаш</span><span onclick="lx_cl(1924838)"><img src="/img/lnk.svg" />Ҳужжат элементидан ҳавола олиш</span></div></div><div name="1924838" id="1924838">1. При простых операциях с жидкостями (без упаривания, перегонки, барботажа и т. п.) допускается увеличение активности на рабочем месте в 10 раз.</div></div><div class="FOOTNOTE lx_elem" onmousemove="lx_mo(event,1924840)"><div class="lx_elem2"><div class="lx_elem3"><span onclick="lx_sf(1924840)"><img src="/img/cmt.svg" />Ҳужжатга таклиф юбориш</span><span onclick="lx_pa(1924840)"><img src="/img/vlm.svg" />Аудиони тинглаш</span><span onclick="lx_cl(1924840)"><img src="/img/lnk.svg" />Ҳужжат элементидан ҳавола олиш</span></div></div><div name="1924840" id="1924840">2. При простых операциях по получению (элюированию) и расфасовке из генераторов короткоживущих радионуклидов медицинского назначения допускается увеличение активности на рабочем месте в 20 раз. Класс работ определяется по максимальной одновременно вымываемой (элюируемой) активности дочернего радионуклида. </div></div><div class="FOOTNOTE lx_elem" onmousemove="lx_mo(event,1924841)"><div class="lx_elem2"><div class="lx_elem3"><span onclick="lx_sf(1924841)"><img src="/img/cmt.svg" />Ҳужжатга таклиф юбориш</span><span onclick="lx_pa(1924841)"><img src="/img/vlm.svg" />Аудиони тинглаш</span><span onclick="lx_cl(1924841)"><img src="/img/lnk.svg" />Ҳужжат элементидан ҳавола олиш</span></div></div><div name="1924841" id="1924841">3. Для предприятий, перерабатывающих уран и его соединения, класс работ определяется в зависимости от характера производства и регламентируется специальными правилами. </div></div><div class="FOOTNOTE lx_elem" onmousemove="lx_mo(event,1924843)"><div class="lx_elem2"><div class="lx_elem3"><span onclick="lx_sf(1924843)"><img src="/img/cmt.svg" />Ҳужжатга таклиф юбориш</span><span onclick="lx_pa(1924843)"><img src="/img/vlm.svg" />Аудиони тинглаш</span><span onclick="lx_cl(1924843)"><img src="/img/lnk.svg" />Ҳужжат элементидан ҳавола олиш</span></div></div><div name="1924843" id="1924843">4. При хранении открытых радионуклидных источников излучения допускается увеличение активности в 100 раз.</div></div><div class="ACT_TEXT lx_elem" onmousemove="lx_mo(event,1924844)"><div class="lx_elem2"><div class="lx_elem3"><span onclick="lx_sf(1924844)"><img src="/img/cmt.svg" />Ҳужжатга таклиф юбориш</span><span onclick="lx_pa(1924844)"><img src="/img/vlm.svg" />Аудиони тинглаш</span><span onclick="lx_cl(1924844)"><img src="/img/lnk.svg" />Ҳужжат элементидан ҳавола олиш</span></div></div><div name="1924844" id="1924844">В случае нахождения на рабочем месте радионуклидов разных групп радиационной опасности их активность приводится к группе А радиационной опасности по формуле:</div></div><div class="TEXT_CENTER lx_elem" onmousemove="lx_mo(event,1924851)"><div class="lx_elem2"><div class="lx_elem3"><span onclick="lx_sf(1924851)"><img src="/img/cmt.svg" />Ҳужжатга таклиф юбориш</span><span onclick="lx_pa(1924851)"><img src="/img/vlm.svg" />Аудиони тинглаш</span><span onclick="lx_cl(1924851)"><img src="/img/lnk.svg" />Ҳужжат элементидан ҳавола олиш</span></div></div><div name="1924851" id="1924851"><strong>С<sub>Э</sub> = С<sub>А</sub> + МЗА<sub>А</sub> Σ(С<sub>i</sub> / M3A<sub>i</sub>),</strong> где:</div></div><div class="ACT_TEXT lx_elem" onmousemove="lx_mo(event,1924856)"><div class="lx_elem2"><div class="lx_elem3"><span onclick="lx_sf(1924856)"><img src="/img/cmt.svg" />Ҳужжатга таклиф юбориш</span><span onclick="lx_pa(1924856)"><img src="/img/vlm.svg" />Аудиони тинглаш</span><span onclick="lx_cl(1924856)"><img src="/img/lnk.svg" />Ҳужжат элементидан ҳавола олиш</span></div></div><div name="1924856" id="1924856"><strong>С</strong><sub><strong>Э</strong> </sub>— суммарная активность, приведенная к активности группы А, Бк;</div></div><div class="ACT_TEXT lx_elem" onmousemove="lx_mo(event,1924859)"><div class="lx_elem2"><div class="lx_elem3"><span onclick="lx_sf(1924859)"><img src="/img/cmt.svg" />Ҳужжатга таклиф юбориш</span><span onclick="lx_pa(1924859)"><img src="/img/vlm.svg" />Аудиони тинглаш</span><span onclick="lx_cl(1924859)"><img src="/img/lnk.svg" />Ҳужжат элементидан ҳавола олиш</span></div></div><div name="1924859" id="1924859"><strong>С<sub>А</sub></strong> — суммарная активность радионуклидов группы А, Бк;</div></div><div class="ACT_TEXT lx_elem" onmousemove="lx_mo(event,1924864)"><div class="lx_elem2"><div class="lx_elem3"><span onclick="lx_sf(1924864)"><img src="/img/cmt.svg" />Ҳужжатга таклиф юбориш</span><span onclick="lx_pa(1924864)"><img src="/img/vlm.svg" />Аудиони тинглаш</span><span onclick="lx_cl(1924864)"><img src="/img/lnk.svg" />Ҳужжат элементидан ҳавола олиш</span></div></div><div name="1924864" id="1924864"><strong>МЗА<sub>А</sub></strong> — минимально значимая активность для группы А, Бк;</div></div><div class="ACT_TEXT lx_elem" onmousemove="lx_mo(event,1924869)"><div class="lx_elem2"><div class="lx_elem3"><span onclick="lx_sf(1924869)"><img src="/img/cmt.svg" />Ҳужжатга таклиф юбориш</span><span onclick="lx_pa(1924869)"><img src="/img/vlm.svg" />Аудиони тинглаш</span><span onclick="lx_cl(1924869)"><img src="/img/lnk.svg" />Ҳужжат элементидан ҳавола олиш</span></div></div><div name="1924869" id="1924869"><strong>C<sub>i</sub></strong> — активность отдельных радионуклидов, не относящихся к группе А;</div></div><div class="ACT_TEXT lx_elem" onmousemove="lx_mo(event,1924873)"><div class="lx_elem2"><div class="lx_elem3"><span onclick="lx_sf(1924873)"><img src="/img/cmt.svg" />Ҳужжатга таклиф юбориш</span><span onclick="lx_pa(1924873)"><img src="/img/vlm.svg" />Аудиони тинглаш</span><span onclick="lx_cl(1924873)"><img src="/img/lnk.svg" />Ҳужжат элементидан ҳавола олиш</span></div></div><div name="1924873" id="1924873"><strong>M3A<sub>i</sub> </strong>— минимально значимая активность отдельных радионуклидов, приведенная в <a href="/docs/1908086#1920851">таблице 8.4</a> НРБ-2006, Бк.</div></div><div class="ACT_TEXT lx_elem" onmousemove="lx_mo(event,1924875)"><div class="lx_elem2"><div class="lx_elem3"><span onclick="lx_sf(1924875)"><img src="/img/cmt.svg" />Ҳужжатга таклиф юбориш</span><span onclick="lx_pa(1924875)"><img src="/img/vlm.svg" />Аудиони тинглаш</span><span onclick="lx_cl(1924875)"><img src="/img/lnk.svg" />Ҳужжат элементидан ҳавола олиш</span></div></div><div name="1924875" id="1924875">3.8.3. Классом работ определяются требования к размещению и оборудованию помещений, в которых проводятся работы с открытыми источниками излучения.</div></div><div class="ACT_TEXT lx_elem" onmousemove="lx_mo(event,1924877)"><div class="lx_elem2"><div class="lx_elem3"><span onclick="lx_sf(1924877)"><img src="/img/cmt.svg" />Ҳужжатга таклиф юбориш</span><span onclick="lx_pa(1924877)"><img src="/img/vlm.svg" />Аудиони тинглаш</span><span onclick="lx_cl(1924877)"><img src="/img/lnk.svg" />Ҳужжат элементидан ҳавола олиш</span></div></div><div name="1924877" id="1924877">3.8.4. Комплекс мероприятий по радиационной безопасности при работе с открытыми источниками излучения должен обеспечивать защиту персонала от внутреннего и внешнего облучения, ограничивать загрязнение воздуха и поверхностей рабочих помещений, кожных покровов и одежды персонала, а также объектов окружающей среды— воздуха, почвы, растительности и др., как при нормальной эксплуатации, так и при проведении работ по ликвидации последствий радиационной аварии.</div></div><div class="ACT_TEXT lx_elem" onmousemove="lx_mo(event,1924881)"><div class="lx_elem2"><div class="lx_elem3"><span onclick="lx_sf(1924881)"><img src="/img/cmt.svg" />Ҳужжатга таклиф юбориш</span><span onclick="lx_pa(1924881)"><img src="/img/vlm.svg" />Аудиони тинглаш</span><span onclick="lx_cl(1924881)"><img src="/img/lnk.svg" />Ҳужжат элементидан ҳавола олиш</span></div></div><div name="1924881" id="1924881">3.8.5. Ограничение поступления радионуклидов в рабочие помещения и окружающую среду должно обеспечиваться использованием системы статических (оборудование, стены и перекрытия помещений) и динамических (вентиляция и газоочистка) барьеров.</div></div><div class="ACT_TEXT lx_elem" onmousemove="lx_mo(event,1924882)"><div class="lx_elem2"><div class="lx_elem3"><span onclick="lx_sf(1924882)"><img src="/img/cmt.svg" />Ҳужжатга таклиф юбориш</span><span onclick="lx_pa(1924882)"><img src="/img/vlm.svg" />Аудиони тинглаш</span><span onclick="lx_cl(1924882)"><img src="/img/lnk.svg" />Ҳужжат элементидан ҳавола олиш</span></div></div><div name="1924882" id="1924882">3.8.6. Во всех организациях, в которых проводится работа с открытыми источниками излучения, помещения для каждого класса работ следует сосредоточить в одном месте. В тех случаях, когда в организации ведутся работы по всем трем классам, помещения должны быть разделены в соответствии с классом проводимых в них работ.</div></div><div class="ACT_TEXT lx_elem" onmousemove="lx_mo(event,1924883)"><div class="lx_elem2"><div class="lx_elem3"><span onclick="lx_sf(1924883)"><img src="/img/cmt.svg" />Ҳужжатга таклиф юбориш</span><span onclick="lx_pa(1924883)"><img src="/img/vlm.svg" />Аудиони тинглаш</span><span onclick="lx_cl(1924883)"><img src="/img/lnk.svg" />Ҳужжат элементидан ҳавола олиш</span></div></div><div name="1924883" id="1924883">3.8.7. Работы с открытыми источниками излучения с активностью ниже значений, приведенных в <a href="/docs/1908086#1920851">таблице 8.4</a> НРБ-2006, разрешается проводить в производственных помещениях, к которым не предъявляются дополнительные требования по радиационной безопасности.</div></div><div class="ACT_TEXT lx_elem" onmousemove="lx_mo(event,1924884)"><div class="lx_elem2"><div class="lx_elem3"><span onclick="lx_sf(1924884)"><img src="/img/cmt.svg" />Ҳужжатга таклиф юбориш</span><span onclick="lx_pa(1924884)"><img src="/img/vlm.svg" />Аудиони тинглаш</span><span onclick="lx_cl(1924884)"><img src="/img/lnk.svg" />Ҳужжат элементидан ҳавола олиш</span></div></div><div name="1924884" id="1924884">3.8.8. Работы III класса должны проводиться в отдельных помещениях, соответствующих требованиям, предъявляемым к химическим лабораториям. В составе этих помещений предусматривается устройство приточно-вытяжной вентиляции. Работы, связанные с возможностью радиоактивного загрязнения воздуха (операции с порошками, упаривание растворов, работа с эманирующими и летучими веществами и др.), должны проводиться в вытяжных шкафах.</div></div><div class="ACT_TEXT lx_elem" onmousemove="lx_mo(event,1924885)"><div class="lx_elem2"><div class="lx_elem3"><span onclick="lx_sf(1924885)"><img src="/img/cmt.svg" />Ҳужжатга таклиф юбориш</span><span onclick="lx_pa(1924885)"><img src="/img/vlm.svg" />Аудиони тинглаш</span><span onclick="lx_cl(1924885)"><img src="/img/lnk.svg" />Ҳужжат элементидан ҳавола олиш</span></div></div><div name="1924885" id="1924885">3.8.9. Работы II класса должны проводиться в помещениях, скомпонованных в отдельной части здания изолированно от других помещений. При проведении в одной организации работ II и III классов, связанных единой технологией, можно выделить общий блок помещений, оборудованных в соответствии с требованиями, предъявляемыми к работам II класса.</div></div><div class="ACT_TEXT lx_elem" onmousemove="lx_mo(event,1924886)"><div class="lx_elem2"><div class="lx_elem3"><span onclick="lx_sf(1924886)"><img src="/img/cmt.svg" />Ҳужжатга таклиф юбориш</span><span onclick="lx_pa(1924886)"><img src="/img/vlm.svg" />Аудиони тинглаш</span><span onclick="lx_cl(1924886)"><img src="/img/lnk.svg" />Ҳужжат элементидан ҳавола олиш</span></div></div><div name="1924886" id="1924886">При планировке выделяются помещения постоянного и временного пребывания персонала.</div></div><div class="ACT_TEXT lx_elem" onmousemove="lx_mo(event,1924887)"><div class="lx_elem2"><div class="lx_elem3"><span onclick="lx_sf(1924887)"><img src="/img/cmt.svg" />Ҳужжатга таклиф юбориш</span><span onclick="lx_pa(1924887)"><img src="/img/vlm.svg" />Аудиони тинглаш</span><span onclick="lx_cl(1924887)"><img src="/img/lnk.svg" />Ҳужжат элементидан ҳавола олиш</span></div></div><div name="1924887" id="1924887">В составе этих помещений должен быть санпропускник или саншлюз. Помещения для работ II класса должны быть оборудованы вытяжными шкафами или боксами.</div></div><div class="ACT_TEXT lx_elem" onmousemove="lx_mo(event,1924888)"><div class="lx_elem2"><div class="lx_elem3"><span onclick="lx_sf(1924888)"><img src="/img/cmt.svg" />Ҳужжатга таклиф юбориш</span><span onclick="lx_pa(1924888)"><img src="/img/vlm.svg" />Аудиони тинглаш</span><span onclick="lx_cl(1924888)"><img src="/img/lnk.svg" />Ҳужжат элементидан ҳавола олиш</span></div></div><div name="1924888" id="1924888">3.8.10. Работы I класса должны проводиться в отдельном здании или изолированной части здания с отдельным входом только через санпропускник. Рабочие помещения должны быть оборудованы боксами, камерами, каньонами или другим герметичным оборудованием. Помещения, как правило, разделяются на три зоны:</div></div><div class="ACT_TEXT lx_elem" onmousemove="lx_mo(event,1924889)"><div class="lx_elem2"><div class="lx_elem3"><span onclick="lx_sf(1924889)"><img src="/img/cmt.svg" />Ҳужжатга таклиф юбориш</span><span onclick="lx_pa(1924889)"><img src="/img/vlm.svg" />Аудиони тинглаш</span><span onclick="lx_cl(1924889)"><img src="/img/lnk.svg" />Ҳужжат элементидан ҳавола олиш</span></div></div><div name="1924889" id="1924889">1 зона — необслуживаемые помещения, где размещаются технологическое оборудование и коммуникации, являющиеся основными источниками излучения и радиоактивного загрязнения. Пребывание персонала в необслуживаемых помещениях при работающем технологическом оборудовании не допускается;</div></div><div class="ACT_TEXT lx_elem" onmousemove="lx_mo(event,1924890)"><div class="lx_elem2"><div class="lx_elem3"><span onclick="lx_sf(1924890)"><img src="/img/cmt.svg" />Ҳужжатга таклиф юбориш</span><span onclick="lx_pa(1924890)"><img src="/img/vlm.svg" />Аудиони тинглаш</span><span onclick="lx_cl(1924890)"><img src="/img/lnk.svg" />Ҳужжат элементидан ҳавола олиш</span></div></div><div name="1924890" id="1924890">2 зона — периодически обслуживаемые помещения, предназначенные для ремонта оборудования, других работ, связанных с вскрытием технологического оборудования, размещения узлов загрузки и выгрузки радиоактивных материалов, временного хранения сырья, готовой продукции и радиоактивных отходов;</div></div><div class="ACT_TEXT lx_elem" onmousemove="lx_mo(event,1924891)"><div class="lx_elem2"><div class="lx_elem3"><span onclick="lx_sf(1924891)"><img src="/img/cmt.svg" />Ҳужжатга таклиф юбориш</span><span onclick="lx_pa(1924891)"><img src="/img/vlm.svg" />Аудиони тинглаш</span><span onclick="lx_cl(1924891)"><img src="/img/lnk.svg" />Ҳужжат элементидан ҳавола олиш</span></div></div><div name="1924891" id="1924891">3 зона — помещения постоянного пребывания персонала в течение всей смены (операторские, пульты управления и др.).</div></div><div class="ACT_TEXT lx_elem" onmousemove="lx_mo(event,1924892)"><div class="lx_elem2"><div class="lx_elem3"><span onclick="lx_sf(1924892)"><img src="/img/cmt.svg" />Ҳужжатга таклиф юбориш</span><span onclick="lx_pa(1924892)"><img src="/img/vlm.svg" />Аудиони тинглаш</span><span onclick="lx_cl(1924892)"><img src="/img/lnk.svg" />Ҳужжат элементидан ҳавола олиш</span></div></div><div name="1924892" id="1924892">Для исключения распространения радиоактивного загрязнения между зонами оборудуются саншлюзы.</div></div><div class="ACT_TEXT lx_elem" onmousemove="lx_mo(event,1924893)"><div class="lx_elem2"><div class="lx_elem3"><span onclick="lx_sf(1924893)"><img src="/img/cmt.svg" />Ҳужжатга таклиф юбориш</span><span onclick="lx_pa(1924893)"><img src="/img/vlm.svg" />Аудиони тинглаш</span><span onclick="lx_cl(1924893)"><img src="/img/lnk.svg" />Ҳужжат элементидан ҳавола олиш</span></div></div><div name="1924893" id="1924893">При работах I класса в зависимости от назначения радиационного объекта и эффективности применяемых барьеров допускается двухзональная планировка рабочих помещений. Требования радиационной безопасности для этих условий регламентируются специальными правилами.</div></div><div class="ACT_TEXT lx_elem" onmousemove="lx_mo(event,1924894)"><div class="lx_elem2"><div class="lx_elem3"><span onclick="lx_sf(1924894)"><img src="/img/cmt.svg" />Ҳужжатга таклиф юбориш</span><span onclick="lx_pa(1924894)"><img src="/img/vlm.svg" />Аудиони тинглаш</span><span onclick="lx_cl(1924894)"><img src="/img/lnk.svg" />Ҳужжат элементидан ҳавола олиш</span></div></div><div name="1924894" id="1924894">3.8.11. В помещениях для работ I и II классов управление общими системами отопления, газоснабжения, сжатого воздуха, водопровода и групповые электрические щитки должны быть вынесены из рабочих помещений.</div></div><div class="ACT_TEXT lx_elem" onmousemove="lx_mo(event,1924895)"><div class="lx_elem2"><div class="lx_elem3"><span onclick="lx_sf(1924895)"><img src="/img/cmt.svg" />Ҳужжатга таклиф юбориш</span><span onclick="lx_pa(1924895)"><img src="/img/vlm.svg" />Аудиони тинглаш</span><span onclick="lx_cl(1924895)"><img src="/img/lnk.svg" />Ҳужжат элементидан ҳавола олиш</span></div></div><div name="1924895" id="1924895">3.8.12. Для снижения уровней внешнего облучения персонала от открытых источников излучения должны использоваться системы автоматизации и дистанционного управления, экранирование источников излучения и сокращение времени рабочих операций.</div></div><div class="ACT_TEXT lx_elem" onmousemove="lx_mo(event,1924896)"><div class="lx_elem2"><div class="lx_elem3"><span onclick="lx_sf(1924896)"><img src="/img/cmt.svg" />Ҳужжатга таклиф юбориш</span><span onclick="lx_pa(1924896)"><img src="/img/vlm.svg" />Аудиони тинглаш</span><span onclick="lx_cl(1924896)"><img src="/img/lnk.svg" />Ҳужжат элементидан ҳавола олиш</span></div></div><div name="1924896" id="1924896">3.8.13. В организации, где проводятся работы с радиоактивными веществами, должен быть предусмотрен комплекс мероприятий по дезактивации производственных помещений и оборудования.</div></div><div class="ACT_TEXT lx_elem" onmousemove="lx_mo(event,1924897)"><div class="lx_elem2"><div class="lx_elem3"><span onclick="lx_sf(1924897)"><img src="/img/cmt.svg" />Ҳужжатга таклиф юбориш</span><span onclick="lx_pa(1924897)"><img src="/img/vlm.svg" />Аудиони тинглаш</span><span onclick="lx_cl(1924897)"><img src="/img/lnk.svg" />Ҳужжат элементидан ҳавола олиш</span></div></div><div name="1924897" id="1924897">3.8.14. Полы и стены помещений для работ II класса и 3-й зоны I класса, а также потолки в 1 -й и 2-й зонах I класса должны быть покрыты слабосорбирующими материалами, стойкими к моющим средствам. Помещения, относящиеся к разным зонам и классам, следует окрашивать в разные цвета.</div></div><div class="ACT_TEXT lx_elem" onmousemove="lx_mo(event,1924898)"><div class="lx_elem2"><div class="lx_elem3"><span onclick="lx_sf(1924898)"><img src="/img/cmt.svg" />Ҳужжатга таклиф юбориш</span><span onclick="lx_pa(1924898)"><img src="/img/vlm.svg" />Аудиони тинглаш</span><span onclick="lx_cl(1924898)"><img src="/img/lnk.svg" />Ҳужжат элементидан ҳавола олиш</span></div></div><div name="1924898" id="1924898">3.8.15. Края покрытий полов должны быть подняты и заделаны заподлицо со стенами. При наличии трапов полы должны иметь уклоны. Полотна дверей и переплеты окон должны иметь простейшие профили.</div></div><div class="ACT_TEXT lx_elem" onmousemove="lx_mo(event,1924899)"><div class="lx_elem2"><div class="lx_elem3"><span onclick="lx_sf(1924899)"><img src="/img/cmt.svg" />Ҳужжатга таклиф юбориш</span><span onclick="lx_pa(1924899)"><img src="/img/vlm.svg" />Аудиони тинглаш</span><span onclick="lx_cl(1924899)"><img src="/img/lnk.svg" />Ҳужжат элементидан ҳавола олиш</span></div></div><div name="1924899" id="1924899">3.8.16. Высота помещений для работы с радиоактивными веществами и площадь в расчете на одного работающего определяются требованиями строительных норм и правил. Для работ I и II классов площадь помещения в расчете на одного работающего должна быть не менее Юм<sup>2</sup>.</div></div><div class="ACT_TEXT lx_elem" onmousemove="lx_mo(event,1924900)"><div class="lx_elem2"><div class="lx_elem3"><span onclick="lx_sf(1924900)"><img src="/img/cmt.svg" />Ҳужжатга таклиф юбориш</span><span onclick="lx_pa(1924900)"><img src="/img/vlm.svg" />Аудиони тинглаш</span><span onclick="lx_cl(1924900)"><img src="/img/lnk.svg" />Ҳужжат элементидан ҳавола олиш</span></div></div><div name="1924900" id="1924900">3.8.17. Оборудование и рабочая мебель должны иметь гладкую поверхность, простую конструкцию и слабосорбирующие покрытия, облегчающие удаление радиоактивных загрязнений.</div></div><div class="ACT_TEXT lx_elem" onmousemove="lx_mo(event,1924901)"><div class="lx_elem2"><div class="lx_elem3"><span onclick="lx_sf(1924901)"><img src="/img/cmt.svg" />Ҳужжатга таклиф юбориш</span><span onclick="lx_pa(1924901)"><img src="/img/vlm.svg" />Аудиони тинглаш</span><span onclick="lx_cl(1924901)"><img src="/img/lnk.svg" />Ҳужжат элементидан ҳавола олиш</span></div></div><div name="1924901" id="1924901">3.8.18. Оборудование, инструменты и мебель должны быть закреплены за помещениями каждого класса (зоны) и соответственно маркированы. Передача их из помещений одного класса (зоны) в другие запрещается; в исключительных случаях она может быть разрешена только после производственного радиационного контроля с обязательной заменой маркировки.</div></div><div class="ACT_TEXT lx_elem" onmousemove="lx_mo(event,1924903)"><div class="lx_elem2"><div class="lx_elem3"><span onclick="lx_sf(1924903)"><img src="/img/cmt.svg" />Ҳужжатга таклиф юбориш</span><span onclick="lx_pa(1924903)"><img src="/img/vlm.svg" />Аудиони тинглаш</span><span onclick="lx_cl(1924903)"><img src="/img/lnk.svg" />Ҳужжат элементидан ҳавола олиш</span></div></div><div name="1924903" id="1924903">3.8.19. Производственные операции с радиоактивными веществами в камерах и боксах должны выполняться дистанционными средствами или с использованием перчаток, герметично вмонтированных в фасадную стенку. Загрузка и выгрузка перерабатываемой продукции, оборудования, замена камерных перчаток, манипуляторов и др. должны производиться без разгерметизации камер или боксов.</div></div><div class="ACT_TEXT lx_elem" onmousemove="lx_mo(event,1924904)"><div class="lx_elem2"><div class="lx_elem3"><span onclick="lx_sf(1924904)"><img src="/img/cmt.svg" />Ҳужжатга таклиф юбориш</span><span onclick="lx_pa(1924904)"><img src="/img/vlm.svg" />Аудиони тинглаш</span><span onclick="lx_cl(1924904)"><img src="/img/lnk.svg" />Ҳужжат элементидан ҳавола олиш</span></div></div><div name="1924904" id="1924904">3.8.20. Количество радиоактивных веществ на рабочем месте должно быть минимально необходимым для работы. При возможности выбора радиоактивных веществ следует использовать вещества с меньшей группой радиационной опасности, растворы, а не порошки, растворы с наименьшей удельной активностью.</div></div><div class="ACT_TEXT lx_elem" onmousemove="lx_mo(event,1924905)"><div class="lx_elem2"><div class="lx_elem3"><span onclick="lx_sf(1924905)"><img src="/img/cmt.svg" />Ҳужжатга таклиф юбориш</span><span onclick="lx_pa(1924905)"><img src="/img/vlm.svg" />Аудиони тинглаш</span><span onclick="lx_cl(1924905)"><img src="/img/lnk.svg" />Ҳужжат элементидан ҳавола олиш</span></div></div><div name="1924905" id="1924905">Число операций, при которых возможно радиоактивное загрязнение помещений и окружающей среды (пересыпание порошков, возгонка и т. п.), следует сводить к минимуму. При ручных операциях с радиоактивными растворами необходимо использовать автопипетки или пипетки с грушами.</div></div><div class="ACT_TEXT lx_elem" onmousemove="lx_mo(event,1924906)"><div class="lx_elem2"><div class="lx_elem3"><span onclick="lx_sf(1924906)"><img src="/img/cmt.svg" />Ҳужжатга таклиф юбориш</span><span onclick="lx_pa(1924906)"><img src="/img/vlm.svg" />Аудиони тинглаш</span><span onclick="lx_cl(1924906)"><img src="/img/lnk.svg" />Ҳужжат элементидан ҳавола олиш</span></div></div><div name="1924906" id="1924906">3.8.21. Организация работ с открытыми источниками должна быть направлена на минимизацию радиоактивных отходов, образующихся при технологических процессах (операциях).</div></div><div class="ACT_TEXT lx_elem" onmousemove="lx_mo(event,1924907)"><div class="lx_elem2"><div class="lx_elem3"><span onclick="lx_sf(1924907)"><img src="/img/cmt.svg" />Ҳужжатга таклиф юбориш</span><span onclick="lx_pa(1924907)"><img src="/img/vlm.svg" />Аудиони тинглаш</span><span onclick="lx_cl(1924907)"><img src="/img/lnk.svg" />Ҳужжат элементидан ҳавола олиш</span></div></div><div name="1924907" id="1924907">3.8.22. Для ограничения загрязнения рабочих поверхностей, оборудования и помещений при работах с радиоактивными веществами в лабораторных условиях следуют пользоваться лотками и поддонами, выполненными из слабосорбирующих материалов, пластикатовыми пленками, фильтровальной бумагой и другими материалами разового пользования.</div></div><div class="ACT_TEXT lx_elem" onmousemove="lx_mo(event,1924909)"><div class="lx_elem2"><div class="lx_elem3"><span onclick="lx_sf(1924909)"><img src="/img/cmt.svg" />Ҳужжатга таклиф юбориш</span><span onclick="lx_pa(1924909)"><img src="/img/vlm.svg" />Аудиони тинглаш</span><span onclick="lx_cl(1924909)"><img src="/img/lnk.svg" />Ҳужжат элементидан ҳавола олиш</span></div></div><div name="1924909" id="1924909">3.9. Санитарно-технические системы обеспечения работ с открытыми источниками излучения.</div></div><div class="ACT_TEXT lx_elem" onmousemove="lx_mo(event,1924911)"><div class="lx_elem2"><div class="lx_elem3"><span onclick="lx_sf(1924911)"><img src="/img/cmt.svg" />Ҳужжатга таклиф юбориш</span><span onclick="lx_pa(1924911)"><img src="/img/vlm.svg" />Аудиони тинглаш</span><span onclick="lx_cl(1924911)"><img src="/img/lnk.svg" />Ҳужжат элементидан ҳавола олиш</span></div></div><div name="1924911" id="1924911">3.9.1. При работе с открытыми источниками излучения вентиляционные и воздухоочистные устройства должны обеспечивать защиту от радиоактивного загрязнения воздуха рабочих помещений и атмосферного воздуха. Рабочие помещения, вытяжные шкафы, боксы, каньоны и другое технологическое оборудование должны быть устроены так, чтобы поток воздуха был направлен из менее загрязненных пространств к более загрязненным.</div></div><div class="ACT_TEXT lx_elem" onmousemove="lx_mo(event,1924912)"><div class="lx_elem2"><div class="lx_elem3"><span onclick="lx_sf(1924912)"><img src="/img/cmt.svg" />Ҳужжатга таклиф юбориш</span><span onclick="lx_pa(1924912)"><img src="/img/vlm.svg" />Аудиони тинглаш</span><span onclick="lx_cl(1924912)"><img src="/img/lnk.svg" />Ҳужжат элементидан ҳавола олиш</span></div></div><div name="1924912" id="1924912">3.9.2. Проектирование вентиляции, кондиционирования воздуха в производственных зданиях и сооружениях организации, а также выбросов вентиляционного воздуха в атмосферу и очистки его перед выбросом следует производить в соответствии с требованиями настоящих Правил и строительных норм и правил. Для организаций, у которых выбросы радиоактивных веществ в атмосферу могут создавать дозу у критической группы населения более 0,2 мкЗв/год, предельно допустимые выбросы утверждаются при наличии санитарно-эпидемиологического заключения ЦГСЭН.</div></div><div class="ACT_TEXT lx_elem" onmousemove="lx_mo(event,1924914)"><div class="lx_elem2"><div class="lx_elem3"><span onclick="lx_sf(1924914)"><img src="/img/cmt.svg" />Ҳужжатга таклиф юбориш</span><span onclick="lx_pa(1924914)"><img src="/img/vlm.svg" />Аудиони тинглаш</span><span onclick="lx_cl(1924914)"><img src="/img/lnk.svg" />Ҳужжат элементидан ҳавола олиш</span></div></div><div name="1924914" id="1924914">3.9.3. Удаляемый из укрытий, боксов, камер, шкафов и другого оборудования загрязненный воздух перед выбросом в атмосферу должен подвергаться очистке. Следует исключать разбавление этого воздуха до его очистки.</div></div><div class="ACT_TEXT lx_elem" onmousemove="lx_mo(event,1924916)"><div class="lx_elem2"><div class="lx_elem3"><span onclick="lx_sf(1924916)"><img src="/img/cmt.svg" />Ҳужжатга таклиф юбориш</span><span onclick="lx_pa(1924916)"><img src="/img/vlm.svg" />Аудиони тинглаш</span><span onclick="lx_cl(1924916)"><img src="/img/lnk.svg" />Ҳужжат элементидан ҳавола олиш</span></div></div><div name="1924916" id="1924916">В организациях, где проводятся работы I, а при необходимости, и II классов, следует предусматривать вытяжные трубы, высота которых должна обеспечивать снижение объемной активности радиоактивных веществ в атмосферном воздухе в месте приземления факела до значений, обеспечивающих не превышение предела дозы для населения.</div></div><div class="ACT_TEXT lx_elem" onmousemove="lx_mo(event,1924917)"><div class="lx_elem2"><div class="lx_elem3"><span onclick="lx_sf(1924917)"><img src="/img/cmt.svg" />Ҳужжатга таклиф юбориш</span><span onclick="lx_pa(1924917)"><img src="/img/vlm.svg" />Аудиони тинглаш</span><span onclick="lx_cl(1924917)"><img src="/img/lnk.svg" />Ҳужжат элементидан ҳавола олиш</span></div></div><div name="1924917" id="1924917">3.9.4. Разрешается удалять воздух во внешнюю среду без очистки, если его суммарный выброс за год не превысит установленного для организации допустимого значения выброса.</div></div><div class="ACT_TEXT lx_elem" onmousemove="lx_mo(event,1924918)"><div class="lx_elem2"><div class="lx_elem3"><span onclick="lx_sf(1924918)"><img src="/img/cmt.svg" />Ҳужжатга таклиф юбориш</span><span onclick="lx_pa(1924918)"><img src="/img/vlm.svg" />Аудиони тинглаш</span><span onclick="lx_cl(1924918)"><img src="/img/lnk.svg" />Ҳужжат элементидан ҳавола олиш</span></div></div><div name="1924918" id="1924918">3.9.5. В зданиях, где для работ с открытыми источниками излучения отводится только часть общей площади, необходимо предусматривать раздельные системы вентиляции для помещений, где ведутся работы с радиоактивными веществами, и для помещений, не связанных с применением этих веществ.</div></div><div class="ACT_TEXT lx_elem" onmousemove="lx_mo(event,1924919)"><div class="lx_elem2"><div class="lx_elem3"><span onclick="lx_sf(1924919)"><img src="/img/cmt.svg" />Ҳужжатга таклиф юбориш</span><span onclick="lx_pa(1924919)"><img src="/img/vlm.svg" />Аудиони тинглаш</span><span onclick="lx_cl(1924919)"><img src="/img/lnk.svg" />Ҳужжат элементидан ҳавола олиш</span></div></div><div name="1924919" id="1924919">3.9.6. При использовании системы рециркуляции воздуха должна обеспечиваться очистка от радиоактивных и токсических веществ и аэрация помещений для работ I и II классов.</div></div><div class="ACT_TEXT lx_elem" onmousemove="lx_mo(event,1924920)"><div class="lx_elem2"><div class="lx_elem3"><span onclick="lx_sf(1924920)"><img src="/img/cmt.svg" />Ҳужжатга таклиф юбориш</span><span onclick="lx_pa(1924920)"><img src="/img/vlm.svg" />Аудиони тинглаш</span><span onclick="lx_cl(1924920)"><img src="/img/lnk.svg" />Ҳужжат элементидан ҳавола олиш</span></div></div><div name="1924920" id="1924920">3.9.7. В герметичных камерах и боксах при закрытых проемах должно обеспечиваться разрежение не менее 20 мм водяного столба. Камеры и боксы должны оборудоваться приборами контроля степени разрежения. Расчетная скорость движения воздуха в рабочих проемах вытяжных шкафов и укрытий должна приниматься равной 1,5 м/с.</div></div><div class="ACT_TEXT lx_elem" onmousemove="lx_mo(event,1924921)"><div class="lx_elem2"><div class="lx_elem3"><span onclick="lx_sf(1924921)"><img src="/img/cmt.svg" />Ҳужжатга таклиф юбориш</span><span onclick="lx_pa(1924921)"><img src="/img/vlm.svg" />Аудиони тинглаш</span><span onclick="lx_cl(1924921)"><img src="/img/lnk.svg" />Ҳужжат элементидан ҳавола олиш</span></div></div><div name="1924921" id="1924921">Допускается кратковременное снижение разрежения до 10 мм водяного столба и снижение скорости воздуха в открываемых проемах до 0,5 м/с.</div></div><div class="ACT_TEXT lx_elem" onmousemove="lx_mo(event,1924922)"><div class="lx_elem2"><div class="lx_elem3"><span onclick="lx_sf(1924922)"><img src="/img/cmt.svg" />Ҳужжатга таклиф юбориш</span><span onclick="lx_pa(1924922)"><img src="/img/vlm.svg" />Аудиони тинглаш</span><span onclick="lx_cl(1924922)"><img src="/img/lnk.svg" />Ҳужжат элементидан ҳавола олиш</span></div></div><div name="1924922" id="1924922">3.9.8. Вентиляторы, обеспечивающие вытяжные шкафы, боксы и камеры, следует располагать в специальных отдельных помещениях. В помещениях для работ I класса вытяжная камера должна входить в состав 2-й зоны; вентиляционные системы, обслуживающие помещения для работ I класса, должны иметь резервные агрегаты производительностью не менее 1/3 полной расчетной.</div></div><div class="ACT_TEXT lx_elem" onmousemove="lx_mo(event,1924923)"><div class="lx_elem2"><div class="lx_elem3"><span onclick="lx_sf(1924923)"><img src="/img/cmt.svg" />Ҳужжатга таклиф юбориш</span><span onclick="lx_pa(1924923)"><img src="/img/vlm.svg" />Аудиони тинглаш</span><span onclick="lx_cl(1924923)"><img src="/img/lnk.svg" />Ҳужжат элементидан ҳавола олиш</span></div></div><div name="1924923" id="1924923">Пускатели двигателей должны иметь световую сигнализацию, их следует размещать в помещениях 3-й зоны.</div></div><div class="ACT_TEXT lx_elem" onmousemove="lx_mo(event,1924924)"><div class="lx_elem2"><div class="lx_elem3"><span onclick="lx_sf(1924924)"><img src="/img/cmt.svg" />Ҳужжатга таклиф юбориш</span><span onclick="lx_pa(1924924)"><img src="/img/vlm.svg" />Аудиони тинглаш</span><span onclick="lx_cl(1924924)"><img src="/img/lnk.svg" />Ҳужжат элементидан ҳавола олиш</span></div></div><div name="1924924" id="1924924">3.9.9. Для работ с эманирующими и летучими радиоактивными веществами должна быть предусмотрена постоянно действующая система вытяжной вентиляции хранилищ, рабочих помещений и боксов. Система должна иметь резервный вытяжной агрегат производительностью не менее 1/3 полной расчетной. </div></div><div class="ACT_TEXT lx_elem" onmousemove="lx_mo(event,1924925)"><div class="lx_elem2"><div class="lx_elem3"><span onclick="lx_sf(1924925)"><img src="/img/cmt.svg" />Ҳужжатга таклиф юбориш</span><span onclick="lx_pa(1924925)"><img src="/img/vlm.svg" />Аудиони тинглаш</span><span onclick="lx_cl(1924925)"><img src="/img/lnk.svg" />Ҳужжат элементидан ҳавола олиш</span></div></div><div name="1924925" id="1924925">3.9.10. Основными требованиями при выборе и устройстве систем и установок пылегазоочистки при работах с радиоактивными веществами I и II классов являются:</div></div><div class="ACT_TEXT lx_elem" onmousemove="lx_mo(event,1924926)"><div class="lx_elem2"><div class="lx_elem3"><span onclick="lx_sf(1924926)"><img src="/img/cmt.svg" />Ҳужжатга таклиф юбориш</span><span onclick="lx_pa(1924926)"><img src="/img/vlm.svg" />Аудиони тинглаш</span><span onclick="lx_cl(1924926)"><img src="/img/lnk.svg" />Ҳужжат элементидан ҳавола олиш</span></div></div><div name="1924926" id="1924926">минимальное число единиц пылегазоочистного оборудования;</div></div><div class="ACT_TEXT lx_elem" onmousemove="lx_mo(event,1924927)"><div class="lx_elem2"><div class="lx_elem3"><span onclick="lx_sf(1924927)"><img src="/img/cmt.svg" />Ҳужжатга таклиф юбориш</span><span onclick="lx_pa(1924927)"><img src="/img/vlm.svg" />Аудиони тинглаш</span><span onclick="lx_cl(1924927)"><img src="/img/lnk.svg" />Ҳужжат элементидан ҳавола олиш</span></div></div><div name="1924927" id="1924927">механизация и автоматизация процессов обслуживания, ремонта и замены пылегазоочистного оборудования, а в необходимых случаях— дистанционное производство этих работ;</div></div><div class="ACT_TEXT lx_elem" onmousemove="lx_mo(event,1924928)"><div class="lx_elem2"><div class="lx_elem3"><span onclick="lx_sf(1924928)"><img src="/img/cmt.svg" />Ҳужжатга таклиф юбориш</span><span onclick="lx_pa(1924928)"><img src="/img/vlm.svg" />Аудиони тинглаш</span><span onclick="lx_cl(1924928)"><img src="/img/lnk.svg" />Ҳужжат элементидан ҳавола олиш</span></div></div><div name="1924928" id="1924928">наличие систем контроля и сигнализации за эффективностью работы очистных аппаратов и фильтров; в случае многоступенчатой системы пылегазоочистки должны осуществляться автоматизированный контроль и сигнализация как за работой всей системы, так и отдельных ее частей (ступеней);</div></div><div class="ACT_TEXT lx_elem" onmousemove="lx_mo(event,1924929)"><div class="lx_elem2"><div class="lx_elem3"><span onclick="lx_sf(1924929)"><img src="/img/cmt.svg" />Ҳужжатга таклиф юбориш</span><span onclick="lx_pa(1924929)"><img src="/img/vlm.svg" />Аудиони тинглаш</span><span onclick="lx_cl(1924929)"><img src="/img/lnk.svg" />Ҳужжат элементидан ҳавола олиш</span></div></div><div name="1924929" id="1924929">надежная изоляция пылегазоочистного оборудования как источника излучения, обеспечение безопасности персонала при осмотре и обслуживании.</div></div><div class="ACT_TEXT lx_elem" onmousemove="lx_mo(event,1924931)"><div class="lx_elem2"><div class="lx_elem3"><span onclick="lx_sf(1924931)"><img src="/img/cmt.svg" />Ҳужжатга таклиф юбориш</span><span onclick="lx_pa(1924931)"><img src="/img/vlm.svg" />Аудиони тинглаш</span><span onclick="lx_cl(1924931)"><img src="/img/lnk.svg" />Ҳужжат элементидан ҳавола олиш</span></div></div><div name="1924931" id="1924931">3.9.11. Фильтры и аппараты следует устанавливать по возможности непосредственно у боксов, камер, шкафов, укрытий с тем, чтобы максимально снизить загрязнение систем магистральных воздухоотводов. Срок службы аппаратов и фильтров должен определяться по снижению пропускной способности для воздуха или по уровню радиационной опасности, возникающей в результате накопления радиоактивных веществ.</div></div><div class="ACT_TEXT lx_elem" onmousemove="lx_mo(event,1924932)"><div class="lx_elem2"><div class="lx_elem3"><span onclick="lx_sf(1924932)"><img src="/img/cmt.svg" />Ҳужжатга таклиф юбориш</span><span onclick="lx_pa(1924932)"><img src="/img/vlm.svg" />Аудиони тинглаш</span><span onclick="lx_cl(1924932)"><img src="/img/lnk.svg" />Ҳужжат элементидан ҳавола олиш</span></div></div><div name="1924932" id="1924932">3.9.12. При размещении пылегазоочистного оборудования в отдельных помещениях (частях зданий, отдельных зданиях) к ним должны предъявляться те же требования, что и к основным производственным помещениям. В случае размещения пылегазоочистного оборудования на чердаке, последний должен быть оборудован как технический этаж.</div></div><div class="ACT_TEXT lx_elem" onmousemove="lx_mo(event,1924933)"><div class="lx_elem2"><div class="lx_elem3"><span onclick="lx_sf(1924933)"><img src="/img/cmt.svg" />Ҳужжатга таклиф юбориш</span><span onclick="lx_pa(1924933)"><img src="/img/vlm.svg" />Аудиони тинглаш</span><span onclick="lx_cl(1924933)"><img src="/img/lnk.svg" />Ҳужжат элементидан ҳавола олиш</span></div></div><div name="1924933" id="1924933">3.9.13. Помещения пылегазоочистного оборудования должны быть изолированы и не сообщаться по воздуху с основными производственными помещениями и зонами. Вход и выход в помещения пылегазоочистного оборудования должен осуществляться через саншлюз.</div></div><div class="ACT_TEXT lx_elem" onmousemove="lx_mo(event,1924935)"><div class="lx_elem2"><div class="lx_elem3"><span onclick="lx_sf(1924935)"><img src="/img/cmt.svg" />Ҳужжатга таклиф юбориш</span><span onclick="lx_pa(1924935)"><img src="/img/vlm.svg" />Аудиони тинглаш</span><span onclick="lx_cl(1924935)"><img src="/img/lnk.svg" />Ҳужжат элементидан ҳавола олиш</span></div></div><div name="1924935" id="1924935">3.9.14. В комплексе помещений пылегазоочистного оборудования обязательно наличие изолированных помещений или герметичных вентилируемых участков для ремонта, разборки, временного хранения фильтров, аппаратов и их элементов, а также для хранения средств уборки и дезактивации.</div></div><div class="ACT_TEXT lx_elem" onmousemove="lx_mo(event,1924938)"><div class="lx_elem2"><div class="lx_elem3"><span onclick="lx_sf(1924938)"><img src="/img/cmt.svg" />Ҳужжатга таклиф юбориш</span><span onclick="lx_pa(1924938)"><img src="/img/vlm.svg" />Аудиони тинглаш</span><span onclick="lx_cl(1924938)"><img src="/img/lnk.svg" />Ҳужжат элементидан ҳавола олиш</span></div></div><div name="1924938" id="1924938">3.9.15. При централизованном размещении пылегазоочистного оборудования на участках для работ I класса в основу планировки комплекса пылегазоочистки должен быть положен принцип зонирования.</div></div><div class="ACT_TEXT lx_elem" onmousemove="lx_mo(event,1924939)"><div class="lx_elem2"><div class="lx_elem3"><span onclick="lx_sf(1924939)"><img src="/img/cmt.svg" />Ҳужжатга таклиф юбориш</span><span onclick="lx_pa(1924939)"><img src="/img/vlm.svg" />Аудиони тинглаш</span><span onclick="lx_cl(1924939)"><img src="/img/lnk.svg" />Ҳужжат элементидан ҳавола олиш</span></div></div><div name="1924939" id="1924939">3.9.16. В помещениях для работ I класса и отдельных работ II класса при зональном размещении оборудования необходимо предусматривать подачу воздуха к шланговым изолирующим индивидуальным средствам защиты персонала (пневмокостюмам, пневмошлемам, шланговым противогазам), а также возможность подключения передвижных вытяжных установок к системам вытяжной вентиляции.</div></div><div class="ACT_TEXT lx_elem" onmousemove="lx_mo(event,1924941)"><div class="lx_elem2"><div class="lx_elem3"><span onclick="lx_sf(1924941)"><img src="/img/cmt.svg" />Ҳужжатга таклиф юбориш</span><span onclick="lx_pa(1924941)"><img src="/img/vlm.svg" />Аудиони тинглаш</span><span onclick="lx_cl(1924941)"><img src="/img/lnk.svg" />Ҳужжат элементидан ҳавола олиш</span></div></div><div name="1924941" id="1924941">Для подачи воздуха к шланговым средствам защиты следует устанавливать отдельную пневмолинию или отдельные вентиляторы, обеспечивающие необходимое давление и расход воздуха. Места присоединения шлангов должны быть снабжены шаровыми или пружинными автоматическими клапанами.</div></div><div class="ACT_TEXT lx_elem" onmousemove="lx_mo(event,1924942)"><div class="lx_elem2"><div class="lx_elem3"><span onclick="lx_sf(1924942)"><img src="/img/cmt.svg" />Ҳужжатга таклиф юбориш</span><span onclick="lx_pa(1924942)"><img src="/img/vlm.svg" />Аудиони тинглаш</span><span onclick="lx_cl(1924942)"><img src="/img/lnk.svg" />Ҳужжат элементидан ҳавола олиш</span></div></div><div name="1924942" id="1924942">3.9.17. Отопление помещений для работ с применением открытых источников излучения должно быть водяным или воздушным.</div></div><div class="ACT_TEXT lx_elem" onmousemove="lx_mo(event,1924944)"><div class="lx_elem2"><div class="lx_elem3"><span onclick="lx_sf(1924944)"><img src="/img/cmt.svg" />Ҳужжатга таклиф юбориш</span><span onclick="lx_pa(1924944)"><img src="/img/vlm.svg" />Аудиони тинглаш</span><span onclick="lx_cl(1924944)"><img src="/img/lnk.svg" />Ҳужжат элементидан ҳавола олиш</span></div></div><div name="1924944" id="1924944">3.9.18. Организации, где ведутся работы с открытыми источниками излучения всех классов, должны иметь холодное и горячее водоснабжение и канализацию. Исключение допускается для полевых лабораторий, ведущих работы III класса и располагающихся вне населенных пунктов или в населенных пунктах, не имеющих центрального водоснабжения.</div></div><div class="ACT_TEXT lx_elem" onmousemove="lx_mo(event,1924945)"><div class="lx_elem2"><div class="lx_elem3"><span onclick="lx_sf(1924945)"><img src="/img/cmt.svg" />Ҳужжатга таклиф юбориш</span><span onclick="lx_pa(1924945)"><img src="/img/vlm.svg" />Аудиони тинглаш</span><span onclick="lx_cl(1924945)"><img src="/img/lnk.svg" />Ҳужжат элементидан ҳавола олиш</span></div></div><div name="1924945" id="1924945">Требования к устройству водопровода, отопления и хозяйственно-бытовой канализации регламентируются строительными нормами и правилами.</div></div><div class="ACT_TEXT lx_elem" onmousemove="lx_mo(event,1924947)"><div class="lx_elem2"><div class="lx_elem3"><span onclick="lx_sf(1924947)"><img src="/img/cmt.svg" />Ҳужжатга таклиф юбориш</span><span onclick="lx_pa(1924947)"><img src="/img/vlm.svg" />Аудиони тинглаш</span><span onclick="lx_cl(1924947)"><img src="/img/lnk.svg" />Ҳужжат элементидан ҳавола олиш</span></div></div><div name="1924947" id="1924947">3.9.19. В помещениях для работ I и II классов краны для воды, подаваемой к раковинам, должны иметь смесители и открываться при помощи педального, локтевого или бесконтактного устройства. Промывка унитазов должна осуществляться педальным спуском воды. В умывальниках должны быть электросушилки для рук.</div></div><div class="ACT_TEXT lx_elem" onmousemove="lx_mo(event,1924948)"><div class="lx_elem2"><div class="lx_elem3"><span onclick="lx_sf(1924948)"><img src="/img/cmt.svg" />Ҳужжатга таклиф юбориш</span><span onclick="lx_pa(1924948)"><img src="/img/vlm.svg" />Аудиони тинглаш</span><span onclick="lx_cl(1924948)"><img src="/img/lnk.svg" />Ҳужжат элементидан ҳавола олиш</span></div></div><div name="1924948" id="1924948">3.9.20. Система специальной канализации должна предусматривать дезактивацию сточных вод и возможность их повторного использования для технологических целей. Очистные сооружения следует располагать в специальном помещении или на выгороженном участке территории организации. Система спецканализации должна быть обеспечена средствами контроля за количеством и активностью сточных вод.</div></div><div class="ACT_TEXT lx_elem" onmousemove="lx_mo(event,1924949)"><div class="lx_elem2"><div class="lx_elem3"><span onclick="lx_sf(1924949)"><img src="/img/cmt.svg" />Ҳужжатга таклиф юбориш</span><span onclick="lx_pa(1924949)"><img src="/img/vlm.svg" />Аудиони тинглаш</span><span onclick="lx_cl(1924949)"><img src="/img/lnk.svg" />Ҳужжат элементидан ҳавола олиш</span></div></div><div name="1924949" id="1924949">Приемники для слива радиоактивных растворов (раковины, трапы и др.) в системе специальной канализации должны быть изготовлены из коррозионно-стойких материалов или иметь легко дезактивируемые коррозионно-стойкие покрытия внутренних и наружных поверхностей. Конструкция приемников должна исключать возможность разбрызгивания растворов.</div></div><div class="ACT_TEXT lx_elem" onmousemove="lx_mo(event,1924950)"><div class="lx_elem2"><div class="lx_elem3"><span onclick="lx_sf(1924950)"><img src="/img/cmt.svg" />Ҳужжатга таклиф юбориш</span><span onclick="lx_pa(1924950)"><img src="/img/vlm.svg" />Аудиони тинглаш</span><span onclick="lx_cl(1924950)"><img src="/img/lnk.svg" />Ҳужжат элементидан ҳавола олиш</span></div></div><div name="1924950" id="1924950">3.9.21. Прокладка воздуховодов, труб водопровода, канализации и других коммуникаций в стенах и перекрытиях не должна приводить к ослаблению защиты от ионизирующего излучения.</div></div><div class="ACT_TEXT lx_elem" onmousemove="lx_mo(event,1924951)"><div class="lx_elem2"><div class="lx_elem3"><span onclick="lx_sf(1924951)"><img src="/img/cmt.svg" />Ҳужжатга таклиф юбориш</span><span onclick="lx_pa(1924951)"><img src="/img/vlm.svg" />Аудиони тинглаш</span><span onclick="lx_cl(1924951)"><img src="/img/lnk.svg" />Ҳужжат элементидан ҳавола олиш</span></div></div><div name="1924951" id="1924951">3.10. Санпропускники и саншлюзы</div></div><div class="ACT_TEXT lx_elem" onmousemove="lx_mo(event,1924952)"><div class="lx_elem2"><div class="lx_elem3"><span onclick="lx_sf(1924952)"><img src="/img/cmt.svg" />Ҳужжатга таклиф юбориш</span><span onclick="lx_pa(1924952)"><img src="/img/vlm.svg" />Аудиони тинглаш</span><span onclick="lx_cl(1924952)"><img src="/img/lnk.svg" />Ҳужжат элементидан ҳавола олиш</span></div></div><div name="1924952" id="1924952">3.10.1. Санпропускник должен размещаться в здании, в котором проводятся работы с открытыми источниками излучения или в отдельной части здания, соединенной с производственным корпусом (лабораторией) закрытой галереей.</div></div><div class="ACT_TEXT lx_elem" onmousemove="lx_mo(event,1924954)"><div class="lx_elem2"><div class="lx_elem3"><span onclick="lx_sf(1924954)"><img src="/img/cmt.svg" />Ҳужжатга таклиф юбориш</span><span onclick="lx_pa(1924954)"><img src="/img/vlm.svg" />Аудиони тинглаш</span><span onclick="lx_cl(1924954)"><img src="/img/lnk.svg" />Ҳужжат элементидан ҳавола олиш</span></div></div><div name="1924954" id="1924954">В состав санпропускника входят: душевые, гардеробная домашней одежды, гардеробная спецодежды, помещения для хранения средств индивидуальной защиты, пункт радиометрического контроля кожных покровов и спецодежды, кладовая грязной спецодежды, кладовая чистой спецодежды, туалетные комнаты.</div></div><div class="ACT_TEXT lx_elem" onmousemove="lx_mo(event,1924955)"><div class="lx_elem2"><div class="lx_elem3"><span onclick="lx_sf(1924955)"><img src="/img/cmt.svg" />Ҳужжатга таклиф юбориш</span><span onclick="lx_pa(1924955)"><img src="/img/vlm.svg" />Аудиони тинглаш</span><span onclick="lx_cl(1924955)"><img src="/img/lnk.svg" />Ҳужжат элементидан ҳавола олиш</span></div></div><div name="1924955" id="1924955">В санпропускнике должен быть питьевой фонтанчик с педальным или бесконтактным управлением.</div></div><div class="ACT_TEXT lx_elem" onmousemove="lx_mo(event,1924956)"><div class="lx_elem2"><div class="lx_elem3"><span onclick="lx_sf(1924956)"><img src="/img/cmt.svg" />Ҳужжатга таклиф юбориш</span><span onclick="lx_pa(1924956)"><img src="/img/vlm.svg" />Аудиони тинглаш</span><span onclick="lx_cl(1924956)"><img src="/img/lnk.svg" />Ҳужжат элементидан ҳавола олиш</span></div></div><div name="1924956" id="1924956">3.10.2. Планировка санпропускника должна обеспечивать раздельное прохождение персонала в рабочие помещения и в обратном направлении по разным маршрутам.</div></div><div class="ACT_TEXT lx_elem" onmousemove="lx_mo(event,1924957)"><div class="lx_elem2"><div class="lx_elem3"><span onclick="lx_sf(1924957)"><img src="/img/cmt.svg" />Ҳужжатга таклиф юбориш</span><span onclick="lx_pa(1924957)"><img src="/img/vlm.svg" />Аудиони тинглаш</span><span onclick="lx_cl(1924957)"><img src="/img/lnk.svg" />Ҳужжат элементидан ҳавола олиш</span></div></div><div name="1924957" id="1924957">3.10.3. Стационарные саншлюзы размещаются между 2-ой и 3-ей зонами рабочих помещений. В зависимости от объема и характера проводимых работ в саншлюзах предусматриваются:</div></div><div class="ACT_TEXT lx_elem" onmousemove="lx_mo(event,1924958)"><div class="lx_elem2"><div class="lx_elem3"><span onclick="lx_sf(1924958)"><img src="/img/cmt.svg" />Ҳужжатга таклиф юбориш</span><span onclick="lx_pa(1924958)"><img src="/img/vlm.svg" />Аудиони тинглаш</span><span onclick="lx_cl(1924958)"><img src="/img/lnk.svg" />Ҳужжат элементидан ҳавола олиш</span></div></div><div name="1924958" id="1924958">места для переодевания, хранения и предварительной дезактивации дополнительных средств индивидуальной защиты;</div></div><div class="ACT_TEXT lx_elem" onmousemove="lx_mo(event,1924959)"><div class="lx_elem2"><div class="lx_elem3"><span onclick="lx_sf(1924959)"><img src="/img/cmt.svg" />Ҳужжатга таклиф юбориш</span><span onclick="lx_pa(1924959)"><img src="/img/vlm.svg" />Аудиони тинглаш</span><span onclick="lx_cl(1924959)"><img src="/img/lnk.svg" />Ҳужжат элементидан ҳавола олиш</span></div></div><div name="1924959" id="1924959">пункт радиационного контроля;</div></div><div class="ACT_TEXT lx_elem" onmousemove="lx_mo(event,1924960)"><div class="lx_elem2"><div class="lx_elem3"><span onclick="lx_sf(1924960)"><img src="/img/cmt.svg" />Ҳужжатга таклиф юбориш</span><span onclick="lx_pa(1924960)"><img src="/img/vlm.svg" />Аудиони тинглаш</span><span onclick="lx_cl(1924960)"><img src="/img/lnk.svg" />Ҳужжат элементидан ҳавола олиш</span></div></div><div name="1924960" id="1924960">умывальники.</div></div><div class="ACT_TEXT lx_elem" onmousemove="lx_mo(event,1924961)"><div class="lx_elem2"><div class="lx_elem3"><span onclick="lx_sf(1924961)"><img src="/img/cmt.svg" />Ҳужжатга таклиф юбориш</span><span onclick="lx_pa(1924961)"><img src="/img/vlm.svg" />Аудиони тинглаш</span><span onclick="lx_cl(1924961)"><img src="/img/lnk.svg" />Ҳужжат элементидан ҳавола олиш</span></div></div><div name="1924961" id="1924961">Помимо стационарных саншлюзов возможно использование переносных саншлюзов, устанавливаемых непосредственно у входа в помещение, где производятся ремонтные работы.</div></div><div class="ACT_TEXT lx_elem" onmousemove="lx_mo(event,1924962)"><div class="lx_elem2"><div class="lx_elem3"><span onclick="lx_sf(1924962)"><img src="/img/cmt.svg" />Ҳужжатга таклиф юбориш</span><span onclick="lx_pa(1924962)"><img src="/img/vlm.svg" />Аудиони тинглаш</span><span onclick="lx_cl(1924962)"><img src="/img/lnk.svg" />Ҳужжат элементидан ҳавола олиш</span></div></div><div name="1924962" id="1924962">3.10.4. Пол, стены и потолки санитарно-бытовых помещений, а также поверхности шкафов должны иметь влагостойкие покрытия, слабо сорбирующие радиоактивные вещества и допускающие легкую очистку и дезактивацию.</div></div><div class="ACT_TEXT lx_elem" onmousemove="lx_mo(event,1924963)"><div class="lx_elem2"><div class="lx_elem3"><span onclick="lx_sf(1924963)"><img src="/img/cmt.svg" />Ҳужжатга таклиф юбориш</span><span onclick="lx_pa(1924963)"><img src="/img/vlm.svg" />Аудиони тинглаш</span><span onclick="lx_cl(1924963)"><img src="/img/lnk.svg" />Ҳужжат элементидан ҳавола олиш</span></div></div><div name="1924963" id="1924963">3.10.5. Число мест для хранения домашней рабочей одежды в гардеробной должно соответствовать максимальному числу людей, постоянно и временно работающих в смене.</div></div><div class="ACT_TEXT lx_elem" onmousemove="lx_mo(event,1924964)"><div class="lx_elem2"><div class="lx_elem3"><span onclick="lx_sf(1924964)"><img src="/img/cmt.svg" />Ҳужжатга таклиф юбориш</span><span onclick="lx_pa(1924964)"><img src="/img/vlm.svg" />Аудиони тинглаш</span><span onclick="lx_cl(1924964)"><img src="/img/lnk.svg" />Ҳужжат элементидан ҳавола олиш</span></div></div><div name="1924964" id="1924964">3.10.6. Размещение кладовой для грязной спецодежды должно обеспечивать закрытую транспортировку одежды, направляемой в стирку, с выходом на улицу, минуя чистые помещения. Кладовая должна располагаться вблизи пунктов радиометрического контроля и гардеробной загрязненной спецодежды.</div></div><div class="ACT_TEXT lx_elem" onmousemove="lx_mo(event,1924967)"><div class="lx_elem2"><div class="lx_elem3"><span onclick="lx_sf(1924967)"><img src="/img/cmt.svg" />Ҳужжатга таклиф юбориш</span><span onclick="lx_pa(1924967)"><img src="/img/vlm.svg" />Аудиони тинглаш</span><span onclick="lx_cl(1924967)"><img src="/img/lnk.svg" />Ҳужжат элементидан ҳавола олиш</span></div></div><div name="1924967" id="1924967">Сортировка спецодежды должна производиться по ее виду и степени радиоактивного загрязнения. Загрязненная спецодежда из раздевалки передается в кладовую в упакованном виде.</div></div><div class="ACT_TEXT lx_elem" onmousemove="lx_mo(event,1924968)"><div class="lx_elem2"><div class="lx_elem3"><span onclick="lx_sf(1924968)"><img src="/img/cmt.svg" />Ҳужжатга таклиф юбориш</span><span onclick="lx_pa(1924968)"><img src="/img/vlm.svg" />Аудиони тинглаш</span><span onclick="lx_cl(1924968)"><img src="/img/lnk.svg" />Ҳужжат элементидан ҳавола олиш</span></div></div><div name="1924968" id="1924968">3.10.7. Помещения для хранения и выдачи средств индивидуальной защиты (фартуки, очки, респираторы, дополнительная обувь и др.) должны размещаться в чистой зоне, между гардеробной чистой спецодежды и рабочими помещениями.</div></div><div class="ACT_TEXT lx_elem" onmousemove="lx_mo(event,1924969)"><div class="lx_elem2"><div class="lx_elem3"><span onclick="lx_sf(1924969)"><img src="/img/cmt.svg" />Ҳужжатга таклиф юбориш</span><span onclick="lx_pa(1924969)"><img src="/img/vlm.svg" />Аудиони тинглаш</span><span onclick="lx_cl(1924969)"><img src="/img/lnk.svg" />Ҳужжат элементидан ҳавола олиш</span></div></div><div name="1924969" id="1924969">3.10.8. Пункт радиометрического контроля кожных покровов должен размещаться между душевой и гардеробной домашней одежды.</div></div><div class="ACT_TEXT lx_elem" onmousemove="lx_mo(event,1924972)"><div class="lx_elem2"><div class="lx_elem3"><span onclick="lx_sf(1924972)"><img src="/img/cmt.svg" />Ҳужжатга таклиф юбориш</span><span onclick="lx_pa(1924972)"><img src="/img/vlm.svg" />Аудиони тинглаш</span><span onclick="lx_cl(1924972)"><img src="/img/lnk.svg" />Ҳужжат элементидан ҳавола олиш</span></div></div><div name="1924972" id="1924972">3.11. Обращение с материалами и изделиями, загрязненными или содержащими радионуклиды</div></div><div class="ACT_TEXT lx_elem" onmousemove="lx_mo(event,1924973)"><div class="lx_elem2"><div class="lx_elem3"><span onclick="lx_sf(1924973)"><img src="/img/cmt.svg" />Ҳужжатга таклиф юбориш</span><span onclick="lx_pa(1924973)"><img src="/img/vlm.svg" />Аудиони тинглаш</span><span onclick="lx_cl(1924973)"><img src="/img/lnk.svg" />Ҳужжат элементидан ҳавола олиш</span></div></div><div name="1924973" id="1924973">3.11.1. Материалы и изделия с низкими уровнями содержания радионуклидов допускается использовать в хозяйственной деятельности. Критерием для принятия решения о возможном применении в хозяйственной деятельности сырья, материалов и изделий, содержащих радионуклиды, является ожидаемая индивидуальная годовая эффективная доза облучения, которая при планируемом виде их использования не должна превышать 0,2 мкЗв, а годовая коллективная эффективная доза не должна быть более 1 чел.-Зв.</div></div><div class="ACT_TEXT lx_elem" onmousemove="lx_mo(event,1924974)"><div class="lx_elem2"><div class="lx_elem3"><span onclick="lx_sf(1924974)"><img src="/img/cmt.svg" />Ҳужжатга таклиф юбориш</span><span onclick="lx_pa(1924974)"><img src="/img/vlm.svg" />Аудиони тинглаш</span><span onclick="lx_cl(1924974)"><img src="/img/lnk.svg" />Ҳужжат элементидан ҳавола олиш</span></div></div><div name="1924974" id="1924974">3.11.2. Не допускается наличие нефиксированного (снимаемого) радиоактивного загрязнения поверхности материалов и изделий (металл, древесина и др.), поступающих для использования в хозяйственной деятельности.</div></div><div class="ACT_TEXT lx_elem" onmousemove="lx_mo(event,1924975)"><div class="lx_elem2"><div class="lx_elem3"><span onclick="lx_sf(1924975)"><img src="/img/cmt.svg" />Ҳужжатга таклиф юбориш</span><span onclick="lx_pa(1924975)"><img src="/img/vlm.svg" />Аудиони тинглаш</span><span onclick="lx_cl(1924975)"><img src="/img/lnk.svg" />Ҳужжат элементидан ҳавола олиш</span></div></div><div name="1924975" id="1924975">3.11.3. Не вводится никаких ограничений на использование в хозяйственной деятельности любых твердых материалов, сырья и изделий при удельной активности радионуклидов в них менее 0,3 кБк/кг. По согласованию с государственным органом, уполномоченным осуществлять государственный санитарно-эпидемиологический надзор, для отдельных бета-излучающих радионуклидов могут быть установлены более высокие значения удельной активности сырья, материалов и изделий, годных для неограниченного использования.</div></div><div class="ACT_TEXT lx_elem" onmousemove="lx_mo(event,1924976)"><div class="lx_elem2"><div class="lx_elem3"><span onclick="lx_sf(1924976)"><img src="/img/cmt.svg" />Ҳужжатга таклиф юбориш</span><span onclick="lx_pa(1924976)"><img src="/img/vlm.svg" />Аудиони тинглаш</span><span onclick="lx_cl(1924976)"><img src="/img/lnk.svg" />Ҳужжат элементидан ҳавола олиш</span></div></div><div name="1924976" id="1924976">3.11.4. Сырье, материалы и изделия с удельной бета-активностью от 0,3 до 100 кБк/кг, или с удельной альфа-активностью от 0,3 до 10 кБк/кг, или с содержанием трансурановых радионуклидов от 0,3 до 1,0 кБк/кг могут ограниченно использоваться только на основании санитарно-эпидемиологического заключения органов государственного санитарно-эпидемиологического надзора на определенный вид применения. Эти материалы подлежат обязательному радиационному контролю.</div></div><div class="ACT_TEXT lx_elem" onmousemove="lx_mo(event,1924977)"><div class="lx_elem2"><div class="lx_elem3"><span onclick="lx_sf(1924977)"><img src="/img/cmt.svg" />Ҳужжатга таклиф юбориш</span><span onclick="lx_pa(1924977)"><img src="/img/vlm.svg" />Аудиони тинглаш</span><span onclick="lx_cl(1924977)"><img src="/img/lnk.svg" />Ҳужжат элементидан ҳавола олиш</span></div></div><div name="1924977" id="1924977">3.11.5. Использование в хозяйственной деятельности материалов и удобрений, содержащих радиоактивные вещества природного происхождения, регламентируется <a href="/docs/1908086#1919943">п.п. 5.3.4</a> и <a href="/docs/1908086#1920064">5.3.6</a> НРБ-2006.</div></div><div class="ACT_TEXT lx_elem" onmousemove="lx_mo(event,1924979)"><div class="lx_elem2"><div class="lx_elem3"><span onclick="lx_sf(1924979)"><img src="/img/cmt.svg" />Ҳужжатга таклиф юбориш</span><span onclick="lx_pa(1924979)"><img src="/img/vlm.svg" />Аудиони тинглаш</span><span onclick="lx_cl(1924979)"><img src="/img/lnk.svg" />Ҳужжат элементидан ҳавола олиш</span></div></div><div name="1924979" id="1924979">3.11.6. Предназначенные для дальнейшего использования по прямому назначению материалы и изделия, содержащие радиоактивные вещества выше уровней, приведенных в <a href="/docs/1908086#1924976">п. 3.11.4</a> Правил и в таблице 8.9 НРБ-99, подлежат дезактивации.</div></div><div class="ACT_TEXT lx_elem" onmousemove="lx_mo(event,1924980)"><div class="lx_elem2"><div class="lx_elem3"><span onclick="lx_sf(1924980)"><img src="/img/cmt.svg" />Ҳужжатга таклиф юбориш</span><span onclick="lx_pa(1924980)"><img src="/img/vlm.svg" />Аудиони тинглаш</span><span onclick="lx_cl(1924980)"><img src="/img/lnk.svg" />Ҳужжат элементидан ҳавола олиш</span></div></div><div name="1924980" id="1924980">Дезактивацию следует проводить в тех случаях, когда уровень загрязненности материалов и изделий может быть снижен до допустимых значений, обеспечивающих их дальнейшее применение.</div></div><div class="ACT_TEXT lx_elem" onmousemove="lx_mo(event,1924981)"><div class="lx_elem2"><div class="lx_elem3"><span onclick="lx_sf(1924981)"><img src="/img/cmt.svg" />Ҳужжатга таклиф юбориш</span><span onclick="lx_pa(1924981)"><img src="/img/vlm.svg" />Аудиони тинглаш</span><span onclick="lx_cl(1924981)"><img src="/img/lnk.svg" />Ҳужжат элементидан ҳавола олиш</span></div></div><div name="1924981" id="1924981">3.11.7. Документ о содержании радионуклидов и об отсутствии снимаемого радиоактивного загрязнения в сырье, материалах и изделиях, предназначенных для вывоза с радиационного объекта, и их соответствии положениям <a href="/docs/1908086#1924974">п.п. 3.11.2—3.11.6</a> выдает служба радиационной безопасности данной организации. Санитарно-эпидемиологическое заключение о соответствии указанных сырья, материалов и изделий санитарным правилам выдается ЦГСЭН.</div></div><div class="ACT_TEXT lx_elem" onmousemove="lx_mo(event,1924982)"><div class="lx_elem2"><div class="lx_elem3"><span onclick="lx_sf(1924982)"><img src="/img/cmt.svg" />Ҳужжатга таклиф юбориш</span><span onclick="lx_pa(1924982)"><img src="/img/vlm.svg" />Аудиони тинглаш</span><span onclick="lx_cl(1924982)"><img src="/img/lnk.svg" />Ҳужжат элементидан ҳавола олиш</span></div></div><div name="1924982" id="1924982">3.11.8. Предназначенное для отправки на перерабатывающие предприятия загрязненное металлическое сырье после его дезактивации подлежит предварительной переплавке или иной переработке на радиационных объектах, исключающей образование вторичных радиоактивных отходов при любых вариантах дальнейшего использования переплавленного металла.</div></div><div class="ACT_TEXT lx_elem" onmousemove="lx_mo(event,1924983)"><div class="lx_elem2"><div class="lx_elem3"><span onclick="lx_sf(1924983)"><img src="/img/cmt.svg" />Ҳужжатга таклиф юбориш</span><span onclick="lx_pa(1924983)"><img src="/img/vlm.svg" />Аудиони тинглаш</span><span onclick="lx_cl(1924983)"><img src="/img/lnk.svg" />Ҳужжат элементидан ҳавола олиш</span></div></div><div name="1924983" id="1924983">3.11.9. Организации, в которых производится дезактивация, переплавка или иная переработка материалов, содержащих радионуклиды, должны иметь санитарно-эпидемиологическое заключение и соответствующую лицензию.</div></div><div class="ACT_TEXT lx_elem" onmousemove="lx_mo(event,1924984)"><div class="lx_elem2"><div class="lx_elem3"><span onclick="lx_sf(1924984)"><img src="/img/cmt.svg" />Ҳужжатга таклиф юбориш</span><span onclick="lx_pa(1924984)"><img src="/img/vlm.svg" />Аудиони тинглаш</span><span onclick="lx_cl(1924984)"><img src="/img/lnk.svg" />Ҳужжат элементидан ҳавола олиш</span></div></div><div name="1924984" id="1924984">Технология переработки сырья и его дальнейшего использования должна быть согласована с МЗ РУз.</div></div><div class="ACT_TEXT lx_elem" onmousemove="lx_mo(event,1924985)"><div class="lx_elem2"><div class="lx_elem3"><span onclick="lx_sf(1924985)"><img src="/img/cmt.svg" />Ҳужжатга таклиф юбориш</span><span onclick="lx_pa(1924985)"><img src="/img/vlm.svg" />Аудиони тинглаш</span><span onclick="lx_cl(1924985)"><img src="/img/lnk.svg" />Ҳужжат элементидан ҳавола олиш</span></div></div><div name="1924985" id="1924985">3.11.10. Числовые значения допустимой удельной активности по основным долгоживущим радионуклидам для неограниченного использования металлов после предварительной переплавки или иной переработки приведены в <a href="/docs/1908086#1927375">приложении Н</a>.</div></div><div class="ACT_TEXT lx_elem" onmousemove="lx_mo(event,1924986)"><div class="lx_elem2"><div class="lx_elem3"><span onclick="lx_sf(1924986)"><img src="/img/cmt.svg" />Ҳужжатга таклиф юбориш</span><span onclick="lx_pa(1924986)"><img src="/img/vlm.svg" />Аудиони тинглаш</span><span onclick="lx_cl(1924986)"><img src="/img/lnk.svg" />Ҳужжат элементидан ҳавола олиш</span></div></div><div name="1924986" id="1924986">3.11.11. В случае невозможности или нецелесообразности использования сырья, материалов и изделий, отнесенных к категории ограниченного использования (<a href="/docs/1908086#1924976">п. 3.11.4</a>), они направляются на специально выделенные участки для временного хранения в местах захоронения промышленных отходов. Эти материалы не должны иметь снимаемого радиоактивного загрязнения. Порядок, условия и способы захоронения таких производственных отходов устанавливаются органами местного самоуправления при наличии санитарно-эпидемиологического заключения о соответствии указанных порядка, условий и способов санитарным правилам.</div></div><div class="ACT_TEXT lx_elem" onmousemove="lx_mo(event,1924988)"><div class="lx_elem2"><div class="lx_elem3"><span onclick="lx_sf(1924988)"><img src="/img/cmt.svg" />Ҳужжатга таклиф юбориш</span><span onclick="lx_pa(1924988)"><img src="/img/vlm.svg" />Аудиони тинглаш</span><span onclick="lx_cl(1924988)"><img src="/img/lnk.svg" />Ҳужжат элементидан ҳавола олиш</span></div></div><div name="1924988" id="1924988">3.11.12. В случае невозможности или нецелесообразности дальнейшего использования материалов, изделий и сырья, содержащих радионуклиды выше значений, приведенных в <a href="/docs/1908086#1924976">п. 3.11.4</a> Правил, с ними необходимо обращаться как с радиоактивными отходами.</div></div><div class="ACT_TEXT lx_elem" onmousemove="lx_mo(event,1924989)"><div class="lx_elem2"><div class="lx_elem3"><span onclick="lx_sf(1924989)"><img src="/img/cmt.svg" />Ҳужжатга таклиф юбориш</span><span onclick="lx_pa(1924989)"><img src="/img/vlm.svg" />Аудиони тинглаш</span><span onclick="lx_cl(1924989)"><img src="/img/lnk.svg" />Ҳужжат элементидан ҳавола олиш</span></div></div><div name="1924989" id="1924989">3.12. Обращение с радиоактивными отходами</div></div><div class="ACT_TEXT lx_elem" onmousemove="lx_mo(event,1924990)"><div class="lx_elem2"><div class="lx_elem3"><span onclick="lx_sf(1924990)"><img src="/img/cmt.svg" />Ҳужжатга таклиф юбориш</span><span onclick="lx_pa(1924990)"><img src="/img/vlm.svg" />Аудиони тинглаш</span><span onclick="lx_cl(1924990)"><img src="/img/lnk.svg" />Ҳужжат элементидан ҳавола олиш</span></div></div><div name="1924990" id="1924990">3.12.1. Радиоактивные отходы по агрегатному состоянию подразделяются на жидкие, твердые и газообразные.</div></div><div class="ACT_TEXT lx_elem" onmousemove="lx_mo(event,1924991)"><div class="lx_elem2"><div class="lx_elem3"><span onclick="lx_sf(1924991)"><img src="/img/cmt.svg" />Ҳужжатга таклиф юбориш</span><span onclick="lx_pa(1924991)"><img src="/img/vlm.svg" />Аудиони тинглаш</span><span onclick="lx_cl(1924991)"><img src="/img/lnk.svg" />Ҳужжат элементидан ҳавола олиш</span></div></div><div name="1924991" id="1924991">К жидким радиоактивным отходам относятся не подлежащие дальнейшему использованию органические и неорганические жидкости, пульпы и шламы, в которых удельная активность радионуклидов более чем в 10 раз превышает значения уровней вмешательства при поступлении с водой, приведенные в <a href="/docs/1908086#1920074">таблице 5.1</a> НРБ-2006.</div></div><div class="ACT_TEXT lx_elem" onmousemove="lx_mo(event,1924993)"><div class="lx_elem2"><div class="lx_elem3"><span onclick="lx_sf(1924993)"><img src="/img/cmt.svg" />Ҳужжатга таклиф юбориш</span><span onclick="lx_pa(1924993)"><img src="/img/vlm.svg" />Аудиони тинглаш</span><span onclick="lx_cl(1924993)"><img src="/img/lnk.svg" />Ҳужжат элементидан ҳавола олиш</span></div></div><div name="1924993" id="1924993">К твердым радиоактивным отходам относятся отработавшие свой ресурс радионуклидные источники, не предназначенные для дальнейшего использования материалы, изделия, оборудование, биологические объекты, грунт, а также отверженные жидкие радиоактивные отходы, в которых удельная активность радионуклидов больше значений, приведенных в <a href="/docs/1908086#1920851">таблице 8.4</a> НРБ-2006, а при неизвестном радионуклидном составе удельная активность больше:</div></div><div class="ACT_TEXT lx_elem" onmousemove="lx_mo(event,1924995)"><div class="lx_elem2"><div class="lx_elem3"><span onclick="lx_sf(1924995)"><img src="/img/cmt.svg" />Ҳужжатга таклиф юбориш</span><span onclick="lx_pa(1924995)"><img src="/img/vlm.svg" />Аудиони тинглаш</span><span onclick="lx_cl(1924995)"><img src="/img/lnk.svg" />Ҳужжат элементидан ҳавола олиш</span></div></div><div name="1924995" id="1924995">100 кБк/кг — для источников бета-излучения;</div></div><div class="ACT_TEXT lx_elem" onmousemove="lx_mo(event,1924996)"><div class="lx_elem2"><div class="lx_elem3"><span onclick="lx_sf(1924996)"><img src="/img/cmt.svg" />Ҳужжатга таклиф юбориш</span><span onclick="lx_pa(1924996)"><img src="/img/vlm.svg" />Аудиони тинглаш</span><span onclick="lx_cl(1924996)"><img src="/img/lnk.svg" />Ҳужжат элементидан ҳавола олиш</span></div></div><div name="1924996" id="1924996">10 кБк/кг — для источников альфа-излучения;</div></div><div class="ACT_TEXT lx_elem" onmousemove="lx_mo(event,1924998)"><div class="lx_elem2"><div class="lx_elem3"><span onclick="lx_sf(1924998)"><img src="/img/cmt.svg" />Ҳужжатга таклиф юбориш</span><span onclick="lx_pa(1924998)"><img src="/img/vlm.svg" />Аудиони тинглаш</span><span onclick="lx_cl(1924998)"><img src="/img/lnk.svg" />Ҳужжат элементидан ҳавола олиш</span></div></div><div name="1924998" id="1924998">1,0 кБк/кг — для трансурановых радионуклидов.</div></div><div class="ACT_TEXT lx_elem" onmousemove="lx_mo(event,1924999)"><div class="lx_elem2"><div class="lx_elem3"><span onclick="lx_sf(1924999)"><img src="/img/cmt.svg" />Ҳужжатга таклиф юбориш</span><span onclick="lx_pa(1924999)"><img src="/img/vlm.svg" />Аудиони тинглаш</span><span onclick="lx_cl(1924999)"><img src="/img/lnk.svg" />Ҳужжат элементидан ҳавола олиш</span></div></div><div name="1924999" id="1924999">К газообразным радиоактивным отходам относятся не подлежащие использованию радиоактивные газы и аэрозоли, образующиеся при производственных процессах с объемной активностью, превышающей ДОА.</div></div><div class="ACT_TEXT lx_elem" onmousemove="lx_mo(event,1925000)"><div class="lx_elem2"><div class="lx_elem3"><span onclick="lx_sf(1925000)"><img src="/img/cmt.svg" />Ҳужжатга таклиф юбориш</span><span onclick="lx_pa(1925000)"><img src="/img/vlm.svg" />Аудиони тинглаш</span><span onclick="lx_cl(1925000)"><img src="/img/lnk.svg" />Ҳужжат элементидан ҳавола олиш</span></div></div><div name="1925000" id="1925000">3.12.2. Радиоактивные отходы подразделяются по удельной активности на 3 категории: низкоактивные, среднеактивные и высокоактивные (<a href="/docs/1908086#1925005">таблица 3.12.1</a>).</div></div><div class="ACT_TEXT lx_elem" onmousemove="lx_mo(event,1925001)"><div class="lx_elem2"><div class="lx_elem3"><span onclick="lx_sf(1925001)"><img src="/img/cmt.svg" />Ҳужжатга таклиф юбориш</span><span onclick="lx_pa(1925001)"><img src="/img/vlm.svg" />Аудиони тинглаш</span><span onclick="lx_cl(1925001)"><img src="/img/lnk.svg" />Ҳужжат элементидан ҳавола олиш</span></div></div><div name="1925001" id="1925001">3.12.3. В случае, когда по приведенным характеристикам радионуклидов <a href="/docs/1908086#1925005">таблицы 3.12.1</a> отходы относятся к разным категориям, для них устанавливается более высокое значение категории отходов.</div></div><div class="ACT_TEXT lx_elem" onmousemove="lx_mo(event,1925002)"><div class="lx_elem2"><div class="lx_elem3"><span onclick="lx_sf(1925002)"><img src="/img/cmt.svg" />Ҳужжатга таклиф юбориш</span><span onclick="lx_pa(1925002)"><img src="/img/vlm.svg" />Аудиони тинглаш</span><span onclick="lx_cl(1925002)"><img src="/img/lnk.svg" />Ҳужжат элементидан ҳавола олиш</span></div></div><div name="1925002" id="1925002">3.12.4. Система обращения с радиоактивными отходами в местах их образования определяется проектом для каждой организации, планирующей работы с открытыми источниками излучения. Проведение работ с радиоактивными веществами без наличия условий для сбора и временного хранения радиоактивных отходов не допускается.</div></div><div class="TABLE_STD lx_elem" id="theDefCssID" onmousemove="lx_mo(event,1925005)"><div class="lx_elem2"><div class="lx_elem3"><span onclick="lx_sf(1925005)"><img src="/img/cmt.svg" />Ҳужжатга таклиф юбориш</span><span onclick="lx_pa(1925005)"><img src="/img/vlm.svg" />Аудиони тинглаш</span><span onclick="lx_cl(1925005)"><img src="/img/lnk.svg" />Ҳужжат элементидан ҳавола олиш</span></div></div><div name="1925005" id="1925005" class="tabBox"><table id="theTableID" style="TABLE-LAYOUT: auto; PADDING-RIGHT: 0px; ; PADDING-LEFT: 0px; LEFT: 2px; PADDING-BOTTOM: 0px; WIDTH: 100%; BORDER-TOP-STYLE: none; PADDING-TOP: 0px; BORDER-RIGHT-STYLE: none; BORDER-LEFT-STYLE: none; TOP: 0px; BORDER-BOTTOM-STYLE: none" cellspacing="1" cols="4" border="1">
<colgroup>
<col />
<col />
<col />
<col /></colgroup>
<tbody>
<tr>
<td style="BORDER-TOP-STYLE: none; BORDER-RIGHT-STYLE: none; BORDER-LEFT-STYLE: none; BORDER-BOTTOM-STYLE: none">‎</td>
<td style="BORDER-TOP-STYLE: none; BORDER-RIGHT-STYLE: none; BORDER-LEFT-STYLE: none; BORDER-BOTTOM-STYLE: none">‎</td>
<td style="BORDER-TOP-STYLE: none; BORDER-RIGHT-STYLE: none; BORDER-LEFT-STYLE: none; BORDER-BOTTOM-STYLE: none">‎</td>
<td style="BORDER-TOP-STYLE: none; BORDER-RIGHT-STYLE: none; BORDER-LEFT-STYLE: none; BORDER-BOTTOM-STYLE: none">
<p align="right">Таблица 3.12.1‎</p></td></tr>
<tr>
<td style="BORDER-TOP-STYLE: none; BORDER-RIGHT-STYLE: none; BORDER-LEFT-STYLE: none; BORDER-BOTTOM-STYLE: none" colspan="4">
<p align="center"><strong>Классификация жидких и твердых радиоактивных отходов‎‎</strong></p></td></tr>
<tr>
<td rowspan="2">
<p align="center">‎‏Категория отходов</p></td>
<td colspan="3">
<p align="center">Удельная активность, кБк/кг‎‎</p></td></tr>
<tr>
<td>
<p align="center">бета-излучающие радионуклиды‎</p></td>
<td>
<p align="center">альфа-излучающие радионуклиды (исключая трансурановые)‎</p></td>
<td>
<p align="center">трансурановые радионуклиды ‎</p></td></tr>
<tr>
<td>
<p align="center">Низкоактивные‎</p></td>
<td>
<p align="center">менее 10<sup>3</sup>‎</p></td>
<td>
<p align="center">менее 10<sup>2</sup>‎</p></td>
<td>
<p align="center">менее 10<sup>1</sup>‎</p></td></tr>
<tr>
<td>
<p align="center">Среднеактивные‎</p></td>
<td>
<p align="center">от10<sup>3</sup>до10<sup>7</sup>‎</p></td>
<td>
<p align="center">от 10<sup>2</sup> до 10<sup>6</sup>‎</p></td>
<td>
<p align="center">от 10<sup>1</sup> до 10<sup>5</sup>‎</p></td></tr>
<tr>
<td>
<p align="center">Высокоактивные‎</p></td>
<td>
<p align="center">более 10<sup>7</sup>‎</p></td>
<td>
<p align="center">более 10<sup>6</sup>‎</p></td>
<td>
<p align="center">более 10<sup>5</sup>‎</p></td></tr></tbody></table></div></div><div class="ACT_TEXT lx_elem" onmousemove="lx_mo(event,1925006)"><div class="lx_elem2"><div class="lx_elem3"><span onclick="lx_sf(1925006)"><img src="/img/cmt.svg" />Ҳужжатга таклиф юбориш</span><span onclick="lx_pa(1925006)"><img src="/img/vlm.svg" />Аудиони тинглаш</span><span onclick="lx_cl(1925006)"><img src="/img/lnk.svg" />Ҳужжат элементидан ҳавола олиш</span></div></div><div name="1925006" id="1925006">3.12.5. Газообразные радиоактивные отходы перед их удалением в атмосферу подлежат очистке на фильтрах с целью снижения их активности до уровней, регламентируемых допустимым выбросом.</div></div><div class="ACT_TEXT lx_elem" onmousemove="lx_mo(event,1925007)"><div class="lx_elem2"><div class="lx_elem3"><span onclick="lx_sf(1925007)"><img src="/img/cmt.svg" />Ҳужжатга таклиф юбориш</span><span onclick="lx_pa(1925007)"><img src="/img/vlm.svg" />Аудиони тинглаш</span><span onclick="lx_cl(1925007)"><img src="/img/lnk.svg" />Ҳужжат элементидан ҳавола олиш</span></div></div><div name="1925007" id="1925007">3.12.6. Система обращения с жидкими и твердыми радиоактивными отходами включает их сбор, сортировку, упаковку, временное хранение, кондиционирование (концентрирование, отверждение, прессование, сжигание), транспортирование длительное хранение и (или) захоронение.</div></div><div class="ACT_TEXT lx_elem" onmousemove="lx_mo(event,1925008)"><div class="lx_elem2"><div class="lx_elem3"><span onclick="lx_sf(1925008)"><img src="/img/cmt.svg" />Ҳужжатга таклиф юбориш</span><span onclick="lx_pa(1925008)"><img src="/img/vlm.svg" />Аудиони тинглаш</span><span onclick="lx_cl(1925008)"><img src="/img/lnk.svg" />Ҳужжат элементидан ҳавола олиш</span></div></div><div name="1925008" id="1925008">3.12.7. Сбор радиоактивных отходов в организациях должен производиться непосредственно в местах их образования отдельно от обычных отходов с учетом:</div></div><div class="ACT_TEXT lx_elem" onmousemove="lx_mo(event,1925009)"><div class="lx_elem2"><div class="lx_elem3"><span onclick="lx_sf(1925009)"><img src="/img/cmt.svg" />Ҳужжатга таклиф юбориш</span><span onclick="lx_pa(1925009)"><img src="/img/vlm.svg" />Аудиони тинглаш</span><span onclick="lx_cl(1925009)"><img src="/img/lnk.svg" />Ҳужжат элементидан ҳавола олиш</span></div></div><div name="1925009" id="1925009">категории отходов;</div></div><div class="ACT_TEXT lx_elem" onmousemove="lx_mo(event,1925011)"><div class="lx_elem2"><div class="lx_elem3"><span onclick="lx_sf(1925011)"><img src="/img/cmt.svg" />Ҳужжатга таклиф юбориш</span><span onclick="lx_pa(1925011)"><img src="/img/vlm.svg" />Аудиони тинглаш</span><span onclick="lx_cl(1925011)"><img src="/img/lnk.svg" />Ҳужжат элементидан ҳавола олиш</span></div></div><div name="1925011" id="1925011">агрегатного состояния (твердые, жидкие);</div></div><div class="ACT_TEXT lx_elem" onmousemove="lx_mo(event,1925013)"><div class="lx_elem2"><div class="lx_elem3"><span onclick="lx_sf(1925013)"><img src="/img/cmt.svg" />Ҳужжатга таклиф юбориш</span><span onclick="lx_pa(1925013)"><img src="/img/vlm.svg" />Аудиони тинглаш</span><span onclick="lx_cl(1925013)"><img src="/img/lnk.svg" />Ҳужжат элементидан ҳавола олиш</span></div></div><div name="1925013" id="1925013">физических и химических характеристик;</div></div><div class="ACT_TEXT lx_elem" onmousemove="lx_mo(event,1925014)"><div class="lx_elem2"><div class="lx_elem3"><span onclick="lx_sf(1925014)"><img src="/img/cmt.svg" />Ҳужжатга таклиф юбориш</span><span onclick="lx_pa(1925014)"><img src="/img/vlm.svg" />Аудиони тинглаш</span><span onclick="lx_cl(1925014)"><img src="/img/lnk.svg" />Ҳужжат элементидан ҳавола олиш</span></div></div><div name="1925014" id="1925014">природы (органические и неорганические);</div></div><div class="ACT_TEXT lx_elem" onmousemove="lx_mo(event,1925015)"><div class="lx_elem2"><div class="lx_elem3"><span onclick="lx_sf(1925015)"><img src="/img/cmt.svg" />Ҳужжатга таклиф юбориш</span><span onclick="lx_pa(1925015)"><img src="/img/vlm.svg" />Аудиони тинглаш</span><span onclick="lx_cl(1925015)"><img src="/img/lnk.svg" />Ҳужжат элементидан ҳавола олиш</span></div></div><div name="1925015" id="1925015">периода полураспада радионуклидов, находящихся в отходах (менее 15 суток, более 15 суток);</div></div><div class="ACT_TEXT lx_elem" onmousemove="lx_mo(event,1925016)"><div class="lx_elem2"><div class="lx_elem3"><span onclick="lx_sf(1925016)"><img src="/img/cmt.svg" />Ҳужжатга таклиф юбориш</span><span onclick="lx_pa(1925016)"><img src="/img/vlm.svg" />Аудиони тинглаш</span><span onclick="lx_cl(1925016)"><img src="/img/lnk.svg" />Ҳужжат элементидан ҳавола олиш</span></div></div><div name="1925016" id="1925016">взрыво- и пожароопасности;</div></div><div class="ACT_TEXT lx_elem" onmousemove="lx_mo(event,1925017)"><div class="lx_elem2"><div class="lx_elem3"><span onclick="lx_sf(1925017)"><img src="/img/cmt.svg" />Ҳужжатга таклиф юбориш</span><span onclick="lx_pa(1925017)"><img src="/img/vlm.svg" />Аудиони тинглаш</span><span onclick="lx_cl(1925017)"><img src="/img/lnk.svg" />Ҳужжат элементидан ҳавола олиш</span></div></div><div name="1925017" id="1925017">принятых методов переработки отходов.</div></div><div class="ACT_TEXT lx_elem" onmousemove="lx_mo(event,1925018)"><div class="lx_elem2"><div class="lx_elem3"><span onclick="lx_sf(1925018)"><img src="/img/cmt.svg" />Ҳужжатга таклиф юбориш</span><span onclick="lx_pa(1925018)"><img src="/img/vlm.svg" />Аудиони тинглаш</span><span onclick="lx_cl(1925018)"><img src="/img/lnk.svg" />Ҳужжат элементидан ҳавола олиш</span></div></div><div name="1925018" id="1925018">3.12.8. Для сбора радиоактивных отходов в организации должны быть специальные сборники. Для первичного сбора твердых радиоактивных отходов могут быть использованы пластикатовые или бумажные мешки, которые затем загружаются в сборники-контейнеры. Места расположения сборников при необходимости должны обеспечиваться защитными приспособлениями для снижения излучения за их пределами до допустимого уровня.</div></div><div class="ACT_TEXT lx_elem" onmousemove="lx_mo(event,1925019)"><div class="lx_elem2"><div class="lx_elem3"><span onclick="lx_sf(1925019)"><img src="/img/cmt.svg" />Ҳужжатга таклиф юбориш</span><span onclick="lx_pa(1925019)"><img src="/img/vlm.svg" />Аудиони тинглаш</span><span onclick="lx_cl(1925019)"><img src="/img/lnk.svg" />Ҳужжат элементидан ҳавола олиш</span></div></div><div name="1925019" id="1925019">3.12.9. Для временного хранения и выдержки сборников с радиоактивными отходами, создающими у поверхности дозу гамма-излучения более 2 мГр/ч, должны использоваться специальные защитные колодцы или ниши. Извлечение сборников отходов из колодцев и ниш необходимо производить с помощью специальных устройств, исключающих переоблучение обслуживающего персонала.</div></div><div class="ACT_TEXT lx_elem" onmousemove="lx_mo(event,1925020)"><div class="lx_elem2"><div class="lx_elem3"><span onclick="lx_sf(1925020)"><img src="/img/cmt.svg" />Ҳужжатга таклиф юбориш</span><span onclick="lx_pa(1925020)"><img src="/img/vlm.svg" />Аудиони тинглаш</span><span onclick="lx_cl(1925020)"><img src="/img/lnk.svg" />Ҳужжат элементидан ҳавола олиш</span></div></div><div name="1925020" id="1925020">3.12.10. Жидкие радиоактивные отходы должны собираться в специальные емкости. Их следует, по возможности, концентрировать и утверждать в организации, где они образуются, после чего направлять на захоронение.</div></div><div class="ACT_TEXT lx_elem" onmousemove="lx_mo(event,1925021)"><div class="lx_elem2"><div class="lx_elem3"><span onclick="lx_sf(1925021)"><img src="/img/cmt.svg" />Ҳужжатга таклиф юбориш</span><span onclick="lx_pa(1925021)"><img src="/img/vlm.svg" />Аудиони тинглаш</span><span onclick="lx_cl(1925021)"><img src="/img/lnk.svg" />Ҳужжат элементидан ҳавола олиш</span></div></div><div name="1925021" id="1925021">В организациях, где возможно образование значительного количества жидких радиоактивных отходов (более 200 л в день), проектом должна быть предусмотрена система спецканализации. В спецканализацию не должны попадать нерадиоактивные стоки.</div></div><div class="ACT_TEXT lx_elem" onmousemove="lx_mo(event,1925022)"><div class="lx_elem2"><div class="lx_elem3"><span onclick="lx_sf(1925022)"><img src="/img/cmt.svg" />Ҳужжатга таклиф юбориш</span><span onclick="lx_pa(1925022)"><img src="/img/vlm.svg" />Аудиони тинглаш</span><span onclick="lx_cl(1925022)"><img src="/img/lnk.svg" />Ҳужжат элементидан ҳавола олиш</span></div></div><div name="1925022" id="1925022">3.12.11. Запрещается сброс жидких радиоактивных отходов в хозяйственно-бытовую и ливневую канализацию, водоемы, поглощающие ямы, колодцы, скважины, на поля орошения, поля фильтрации, в системы подземного орошения и на поверхность земли.</div></div><div class="ACT_TEXT lx_elem" onmousemove="lx_mo(event,1925023)"><div class="lx_elem2"><div class="lx_elem3"><span onclick="lx_sf(1925023)"><img src="/img/cmt.svg" />Ҳужжатга таклиф юбориш</span><span onclick="lx_pa(1925023)"><img src="/img/vlm.svg" />Аудиони тинглаш</span><span onclick="lx_cl(1925023)"><img src="/img/lnk.svg" />Ҳужжат элементидан ҳавола олиш</span></div></div><div name="1925023" id="1925023">3.12.12. Временное хранение радиоактивных отходов различных категорий в организации должно осуществляться в отдельном помещении, либо на специально выделенном участке, оборудованном в соответствии с требованиями, предъявляемыми к помещениям для работ II класса. Хранение радиоактивных отходов следует осуществлять в специальных контейнерах.</div></div><div class="ACT_TEXT lx_elem" onmousemove="lx_mo(event,1925024)"><div class="lx_elem2"><div class="lx_elem3"><span onclick="lx_sf(1925024)"><img src="/img/cmt.svg" />Ҳужжатга таклиф юбориш</span><span onclick="lx_pa(1925024)"><img src="/img/vlm.svg" />Аудиони тинглаш</span><span onclick="lx_cl(1925024)"><img src="/img/lnk.svg" />Ҳужжат элементидан ҳавола олиш</span></div></div><div name="1925024" id="1925024">3.12.13. Радиоактивные отходы, содержащие радионуклиды с периодом полураспада менее 15 суток, собираются отдельно от других радиоактивных отходов и выдерживаются в местах временного хранения для снижения активности до уровней, не превышающих приведенных в <a href="/docs/1908086#1924990">п. 3.12.1</a> Правил. После такой выдержки твердые отходы удаляются, как обычные промышленные отходы, а жидкие отходы могут использоваться организацией в системе оборотного хозяйственно-технического водоснабжения или сливаться в хозяйственно-бытовую канализацию.</div></div><div class="ACT_TEXT lx_elem" onmousemove="lx_mo(event,1925025)"><div class="lx_elem2"><div class="lx_elem3"><span onclick="lx_sf(1925025)"><img src="/img/cmt.svg" />Ҳужжатга таклиф юбориш</span><span onclick="lx_pa(1925025)"><img src="/img/vlm.svg" />Аудиони тинглаш</span><span onclick="lx_cl(1925025)"><img src="/img/lnk.svg" />Ҳужжат элементидан ҳавола олиш</span></div></div><div name="1925025" id="1925025">Сроки выдержки радиоактивных отходов с содержанием большого количества органических веществ (трупы экспериментальных животных и т. п.) не должны превышать 5 суток в случае, если не обеспечиваются условия хранения (выдержки) в холодильных установках или соответствующих растворах.</div></div><div class="ACT_TEXT lx_elem" onmousemove="lx_mo(event,1925026)"><div class="lx_elem2"><div class="lx_elem3"><span onclick="lx_sf(1925026)"><img src="/img/cmt.svg" />Ҳужжатга таклиф юбориш</span><span onclick="lx_pa(1925026)"><img src="/img/vlm.svg" />Аудиони тинглаш</span><span onclick="lx_cl(1925026)"><img src="/img/lnk.svg" />Ҳужжат элементидан ҳавола олиш</span></div></div><div name="1925026" id="1925026">3.12.14. Передача твердых радиоактивных отходов из организации на захоронение должна производиться в транспортных контейнерах (упаковках), а жидких радиоактивных отходов —в цистернах, и оформляться актом сдачи-приемки (<a href="/docs/1908086#1927374">приложение М</a>).</div></div><div class="ACT_TEXT lx_elem" onmousemove="lx_mo(event,1925027)"><div class="lx_elem2"><div class="lx_elem3"><span onclick="lx_sf(1925027)"><img src="/img/cmt.svg" />Ҳужжатга таклиф юбориш</span><span onclick="lx_pa(1925027)"><img src="/img/vlm.svg" />Аудиони тинглаш</span><span onclick="lx_cl(1925027)"><img src="/img/lnk.svg" />Ҳужжат элементидан ҳавола олиш</span></div></div><div name="1925027" id="1925027">Уровни радиоактивного загрязнения на поверхностях упаковки (контейнера) или цистерны не должны превышать значений, приведенных в <a href="/docs/1908086#1924772">таблице 3.5.1</a> настоящих Правил.</div></div><div class="ACT_TEXT lx_elem" onmousemove="lx_mo(event,1925028)"><div class="lx_elem2"><div class="lx_elem3"><span onclick="lx_sf(1925028)"><img src="/img/cmt.svg" />Ҳужжатга таклиф юбориш</span><span onclick="lx_pa(1925028)"><img src="/img/vlm.svg" />Аудиони тинглаш</span><span onclick="lx_cl(1925028)"><img src="/img/lnk.svg" />Ҳужжат элементидан ҳавола олиш</span></div></div><div name="1925028" id="1925028">3.12.15. Транспортирование радиоактивных отходов в упаковках (контейнерах) или цистернах должно производиться на специально оборудованных транспортных средствах при наличии санитарно-эпидемиологического заключения о соответствии условий и способов транспортирования санитарным правилам (<a href="/docs/1908086#1927371">приложение Л</a>).</div></div><div class="ACT_TEXT lx_elem" onmousemove="lx_mo(event,1925029)"><div class="lx_elem2"><div class="lx_elem3"><span onclick="lx_sf(1925029)"><img src="/img/cmt.svg" />Ҳужжатга таклиф юбориш</span><span onclick="lx_pa(1925029)"><img src="/img/vlm.svg" />Аудиони тинглаш</span><span onclick="lx_cl(1925029)"><img src="/img/lnk.svg" />Ҳужжат элементидан ҳавола олиш</span></div></div><div name="1925029" id="1925029">3.12.16. Захоронение радиоактивных отходов производит Республиканский пункт захоронения радиоактивных отходов (РПЗРО). Твердые низкоактивные отходы разрешается захоранивать в пределах организации в пунктах захоронения низкоактивных отходов ПЗНРО, в хвостохранилище отходов переработки урановых руд, в ликвидированных карьерах по добыче урановых руд в вертикальных горных выработках ликвидированных урановых рудников, в отвалы забалансовых урановых руд. В этом случае транспортирование радиоактивных отходов должно осуществляться в соответствии с требованиями <a href="/docs/1908086#1924767">п.3.5.20.</a> настоящих Правил.</div></div><div class="ACT_TEXT lx_elem" onmousemove="lx_mo(event,1925030)"><div class="lx_elem2"><div class="lx_elem3"><span onclick="lx_sf(1925030)"><img src="/img/cmt.svg" />Ҳужжатга таклиф юбориш</span><span onclick="lx_pa(1925030)"><img src="/img/vlm.svg" />Аудиони тинглаш</span><span onclick="lx_cl(1925030)"><img src="/img/lnk.svg" />Ҳужжат элементидан ҳавола олиш</span></div></div><div name="1925030" id="1925030">На РПЗРО захоронение высокоактивных, среднеактивных и низкоактивных отходов должно осуществляться раздельно.</div></div><div class="ACT_TEXT lx_elem" onmousemove="lx_mo(event,1925031)"><div class="lx_elem2"><div class="lx_elem3"><span onclick="lx_sf(1925031)"><img src="/img/cmt.svg" />Ҳужжатга таклиф юбориш</span><span onclick="lx_pa(1925031)"><img src="/img/vlm.svg" />Аудиони тинглаш</span><span onclick="lx_cl(1925031)"><img src="/img/lnk.svg" />Ҳужжат элементидан ҳавола олиш</span></div></div><div name="1925031" id="1925031">Сдача и приемка радиоактивных отходов на захоронение оформляется актом, форма которого приведена в <a href="/docs/1908086#1927374">приложении М</a>.</div></div><div class="ACT_TEXT lx_elem" onmousemove="lx_mo(event,1925032)"><div class="lx_elem2"><div class="lx_elem3"><span onclick="lx_sf(1925032)"><img src="/img/cmt.svg" />Ҳужжатга таклиф юбориш</span><span onclick="lx_pa(1925032)"><img src="/img/vlm.svg" />Аудиони тинглаш</span><span onclick="lx_cl(1925032)"><img src="/img/lnk.svg" />Ҳужжат элементидан ҳавола олиш</span></div></div><div name="1925032" id="1925032">3.12.17. Выбор мест захоронения радиоактивных отходов должен производиться с учетом гидрогеологических, геоморфологических, тектонических и сейсмических условий. При этом должна быть обеспечена радиационная безопасность населения и окружающей среды в течение всего срока изоляции отходов с учетом долговременного прогноза.</div></div><div class="ACT_TEXT lx_elem" onmousemove="lx_mo(event,1925033)"><div class="lx_elem2"><div class="lx_elem3"><span onclick="lx_sf(1925033)"><img src="/img/cmt.svg" />Ҳужжатга таклиф юбориш</span><span onclick="lx_pa(1925033)"><img src="/img/vlm.svg" />Аудиони тинглаш</span><span onclick="lx_cl(1925033)"><img src="/img/lnk.svg" />Ҳужжат элементидан ҳавола олиш</span></div></div><div name="1925033" id="1925033">3.12.18. Эффективная доза облучения населения, обусловленная радиоактивными отходами, включая этапы хранения и захоронения, не должна превышать 0,2 мЗв/год.</div></div><div class="ACT_TEXT lx_elem" onmousemove="lx_mo(event,1925034)"><div class="lx_elem2"><div class="lx_elem3"><span onclick="lx_sf(1925034)"><img src="/img/cmt.svg" />Ҳужжатга таклиф юбориш</span><span onclick="lx_pa(1925034)"><img src="/img/vlm.svg" />Аудиони тинглаш</span><span onclick="lx_cl(1925034)"><img src="/img/lnk.svg" />Ҳужжат элементидан ҳавола олиш</span></div></div><div name="1925034" id="1925034">3.12.19. Детальный порядок обращения с радиоактивными отходами на всех этапах регламентируется специальными правилами.</div></div><div class="ACT_TEXT lx_elem" onmousemove="lx_mo(event,1925035)"><div class="lx_elem2"><div class="lx_elem3"><span onclick="lx_sf(1925035)"><img src="/img/cmt.svg" />Ҳужжатга таклиф юбориш</span><span onclick="lx_pa(1925035)"><img src="/img/vlm.svg" />Аудиони тинглаш</span><span onclick="lx_cl(1925035)"><img src="/img/lnk.svg" />Ҳужжат элементидан ҳавола олиш</span></div></div><div name="1925035" id="1925035">3.12.20. Изъятые при рекультивации земель нерадиоактивные грунты с повышенной средней удельной альфа-активностью от 0,6 кБк/кг сверх естественного фона, до 10 кБк/кг подлежат захоронению. Указанные грунты должны размещаться в денадуационных объектах (провалах, прогибах, выемках, отработанных карьерах), в вертикальных горных выработках ликвидированных рудников или в построенных пунктах захоронения нерадиоактивных отходов (ПЗНО) без сооружения подстилающего противофильтрационного экрана при условии размещения водоносного горизонта на глубине не менее 4 м от захораниваемых грунтов. Для предотвращения загрязнения почв радионуклидами за счет ветровой эрозии верхние слои грунтов в денадуационных объектах и в ПЗНО должны перекрываться крупнообломочными породами (каменистыми, валунными, щебеночными, галечниковыми, хрящеватыми, гравийными), а при их отсутствии в районе расположения рекультивируемых земель— суглинками, глинами или супесями. Толщина покрытия по условиям технологии укладки этих пород должна быть не менее 25 см.</div></div><div class="ACT_TEXT lx_elem" onmousemove="lx_mo(event,1925039)"><div class="lx_elem2"><div class="lx_elem3"><span onclick="lx_sf(1925039)"><img src="/img/cmt.svg" />Ҳужжатга таклиф юбориш</span><span onclick="lx_pa(1925039)"><img src="/img/vlm.svg" />Аудиони тинглаш</span><span onclick="lx_cl(1925039)"><img src="/img/lnk.svg" />Ҳужжат элементидан ҳавола олиш</span></div></div><div name="1925039" id="1925039">3.13. Радиационный контроль при работе с техногенными источниками излучения</div></div><div class="ACT_TEXT lx_elem" onmousemove="lx_mo(event,1925040)"><div class="lx_elem2"><div class="lx_elem3"><span onclick="lx_sf(1925040)"><img src="/img/cmt.svg" />Ҳужжатга таклиф юбориш</span><span onclick="lx_pa(1925040)"><img src="/img/vlm.svg" />Аудиони тинглаш</span><span onclick="lx_cl(1925040)"><img src="/img/lnk.svg" />Ҳужжат элементидан ҳавола олиш</span></div></div><div name="1925040" id="1925040">3.13.1. Радиационный контроль при работе с техногенными источниками излучения должен осуществляться за всеми основными радиационными показателями, определяющими уровни облучения персонала и населения. В каждой организации система радиационного контроля должна предусматривать конкретный перечень видов контроля, типов радиометрической и дозиметрической аппаратуры, точек измерения и периодичности контроля.</div></div><div class="ACT_TEXT lx_elem" onmousemove="lx_mo(event,1925041)"><div class="lx_elem2"><div class="lx_elem3"><span onclick="lx_sf(1925041)"><img src="/img/cmt.svg" />Ҳужжатга таклиф юбориш</span><span onclick="lx_pa(1925041)"><img src="/img/vlm.svg" />Аудиони тинглаш</span><span onclick="lx_cl(1925041)"><img src="/img/lnk.svg" />Ҳужжат элементидан ҳавола олиш</span></div></div><div name="1925041" id="1925041">Вклад природных источников излучения в облучение персонала в производственных условиях должен контролироваться и учитываться при оценке доз в тех случаях, когда он превышает 1 мЗв в год.</div></div><div class="ACT_TEXT lx_elem" onmousemove="lx_mo(event,1925042)"><div class="lx_elem2"><div class="lx_elem3"><span onclick="lx_sf(1925042)"><img src="/img/cmt.svg" />Ҳужжатга таклиф юбориш</span><span onclick="lx_pa(1925042)"><img src="/img/vlm.svg" />Аудиони тинглаш</span><span onclick="lx_cl(1925042)"><img src="/img/lnk.svg" />Ҳужжат элементидан ҳавола олиш</span></div></div><div name="1925042" id="1925042">3.13.2. Контроль с использованием индивидуальных дозиметров является обязательным для персонала категории А. Индивидуальный контроль за облучением персонала в зависимости от характера работ включает:</div></div><div class="ACT_TEXT lx_elem" onmousemove="lx_mo(event,1925043)"><div class="lx_elem2"><div class="lx_elem3"><span onclick="lx_sf(1925043)"><img src="/img/cmt.svg" />Ҳужжатга таклиф юбориш</span><span onclick="lx_pa(1925043)"><img src="/img/vlm.svg" />Аудиони тинглаш</span><span onclick="lx_cl(1925043)"><img src="/img/lnk.svg" />Ҳужжат элементидан ҳавола олиш</span></div></div><div name="1925043" id="1925043">радиометрический контроль за загрязненностью кожных покровов и средств индивидуальной защиты;</div></div><div class="ACT_TEXT lx_elem" onmousemove="lx_mo(event,1925044)"><div class="lx_elem2"><div class="lx_elem3"><span onclick="lx_sf(1925044)"><img src="/img/cmt.svg" />Ҳужжатга таклиф юбориш</span><span onclick="lx_pa(1925044)"><img src="/img/vlm.svg" />Аудиони тинглаш</span><span onclick="lx_cl(1925044)"><img src="/img/lnk.svg" />Ҳужжат элементидан ҳавола олиш</span></div></div><div name="1925044" id="1925044">контроль за характером, динамикой и уровнями поступления радиоактивных веществ в организм с использованием методов прямой и/или косвенной радиометрии;</div></div><div class="ACT_TEXT lx_elem" onmousemove="lx_mo(event,1925045)"><div class="lx_elem2"><div class="lx_elem3"><span onclick="lx_sf(1925045)"><img src="/img/cmt.svg" />Ҳужжатга таклиф юбориш</span><span onclick="lx_pa(1925045)"><img src="/img/vlm.svg" />Аудиони тинглаш</span><span onclick="lx_cl(1925045)"><img src="/img/lnk.svg" />Ҳужжат элементидан ҳавола олиш</span></div></div><div name="1925045" id="1925045">контроль за дозами внешнего бета-, гамма- и рентгеновского излучений, а также нейтронов с использованием индивидуальных дозиметров или расчетным путем.</div></div><div class="ACT_TEXT lx_elem" onmousemove="lx_mo(event,1925046)"><div class="lx_elem2"><div class="lx_elem3"><span onclick="lx_sf(1925046)"><img src="/img/cmt.svg" />Ҳужжатга таклиф юбориш</span><span onclick="lx_pa(1925046)"><img src="/img/vlm.svg" />Аудиони тинглаш</span><span onclick="lx_cl(1925046)"><img src="/img/lnk.svg" />Ҳужжат элементидан ҳавола олиш</span></div></div><div name="1925046" id="1925046">По результатам радиационного контроля должны быть рассчитаны значения эффективных доз у персонала, а при необходимости, определены значения и эквивалентных доз облучения отдельных органов.</div></div><div class="ACT_TEXT lx_elem" onmousemove="lx_mo(event,1925047)"><div class="lx_elem2"><div class="lx_elem3"><span onclick="lx_sf(1925047)"><img src="/img/cmt.svg" />Ҳужжатга таклиф юбориш</span><span onclick="lx_pa(1925047)"><img src="/img/vlm.svg" />Аудиони тинглаш</span><span onclick="lx_cl(1925047)"><img src="/img/lnk.svg" />Ҳужжат элементидан ҳавола олиш</span></div></div><div name="1925047" id="1925047">3.13.3. Контроль за радиационной обстановкой в зависимости от характера проводимых работ включает:</div></div><div class="ACT_TEXT lx_elem" onmousemove="lx_mo(event,1925048)"><div class="lx_elem2"><div class="lx_elem3"><span onclick="lx_sf(1925048)"><img src="/img/cmt.svg" />Ҳужжатга таклиф юбориш</span><span onclick="lx_pa(1925048)"><img src="/img/vlm.svg" />Аудиони тинглаш</span><span onclick="lx_cl(1925048)"><img src="/img/lnk.svg" />Ҳужжат элементидан ҳавола олиш</span></div></div><div name="1925048" id="1925048">измерение мощности дозы рентгеновского, гамма- и нейтронного излучений, плотности потоков частиц ионизирующего излучения на рабочих местах, в смежных помещениях, на территории организации, в санитарно-защитной зоне и зоне наблюдения;</div></div><div class="ACT_TEXT lx_elem" onmousemove="lx_mo(event,1925050)"><div class="lx_elem2"><div class="lx_elem3"><span onclick="lx_sf(1925050)"><img src="/img/cmt.svg" />Ҳужжатга таклиф юбориш</span><span onclick="lx_pa(1925050)"><img src="/img/vlm.svg" />Аудиони тинглаш</span><span onclick="lx_cl(1925050)"><img src="/img/lnk.svg" />Ҳужжат элементидан ҳавола олиш</span></div></div><div name="1925050" id="1925050">измерение уровней загрязнения радиоактивными веществами рабочих поверхностей, оборудования, транспортных средств, средств индивидуальной защиты, кожных покровов и одежды персонала;</div></div><div class="ACT_TEXT lx_elem" onmousemove="lx_mo(event,1925051)"><div class="lx_elem2"><div class="lx_elem3"><span onclick="lx_sf(1925051)"><img src="/img/cmt.svg" />Ҳужжатга таклиф юбориш</span><span onclick="lx_pa(1925051)"><img src="/img/vlm.svg" />Аудиони тинглаш</span><span onclick="lx_cl(1925051)"><img src="/img/lnk.svg" />Ҳужжат элементидан ҳавола олиш</span></div></div><div name="1925051" id="1925051">определение объемной активности газов и аэрозолей в воздухе рабочих помещений;</div></div><div class="ACT_TEXT lx_elem" onmousemove="lx_mo(event,1925052)"><div class="lx_elem2"><div class="lx_elem3"><span onclick="lx_sf(1925052)"><img src="/img/cmt.svg" />Ҳужжатга таклиф юбориш</span><span onclick="lx_pa(1925052)"><img src="/img/vlm.svg" />Аудиони тинглаш</span><span onclick="lx_cl(1925052)"><img src="/img/lnk.svg" />Ҳужжат элементидан ҳавола олиш</span></div></div><div name="1925052" id="1925052">измерение или оценку активности выбросов и сбросов радиоактивных веществ;</div></div><div class="ACT_TEXT lx_elem" onmousemove="lx_mo(event,1925054)"><div class="lx_elem2"><div class="lx_elem3"><span onclick="lx_sf(1925054)"><img src="/img/cmt.svg" />Ҳужжатга таклиф юбориш</span><span onclick="lx_pa(1925054)"><img src="/img/vlm.svg" />Аудиони тинглаш</span><span onclick="lx_cl(1925054)"><img src="/img/lnk.svg" />Ҳужжат элементидан ҳавола олиш</span></div></div><div name="1925054" id="1925054">определение уровней радиоактивного загрязнения объектов окружающей среды в санитарно-защитной зоне и зоне наблюдения.</div></div><div class="ACT_TEXT lx_elem" onmousemove="lx_mo(event,1925056)"><div class="lx_elem2"><div class="lx_elem3"><span onclick="lx_sf(1925056)"><img src="/img/cmt.svg" />Ҳужжатга таклиф юбориш</span><span onclick="lx_pa(1925056)"><img src="/img/vlm.svg" />Аудиони тинглаш</span><span onclick="lx_cl(1925056)"><img src="/img/lnk.svg" />Ҳужжат элементидан ҳавола олиш</span></div></div><div name="1925056" id="1925056">3.13.4. Система радиационного контроля объектов I и II категорий должна использовать следующие технические средства:</div></div><div class="ACT_TEXT lx_elem" onmousemove="lx_mo(event,1925057)"><div class="lx_elem2"><div class="lx_elem3"><span onclick="lx_sf(1925057)"><img src="/img/cmt.svg" />Ҳужжатга таклиф юбориш</span><span onclick="lx_pa(1925057)"><img src="/img/vlm.svg" />Аудиони тинглаш</span><span onclick="lx_cl(1925057)"><img src="/img/lnk.svg" />Ҳужжат элементидан ҳавола олиш</span></div></div><div name="1925057" id="1925057">оперативного контроля, на основе носимых и передвижных технических средств;</div></div><div class="ACT_TEXT lx_elem" onmousemove="lx_mo(event,1925059)"><div class="lx_elem2"><div class="lx_elem3"><span onclick="lx_sf(1925059)"><img src="/img/cmt.svg" />Ҳужжатга таклиф юбориш</span><span onclick="lx_pa(1925059)"><img src="/img/vlm.svg" />Аудиони тинглаш</span><span onclick="lx_cl(1925059)"><img src="/img/lnk.svg" />Ҳужжат элементидан ҳавола олиш</span></div></div><div name="1925059" id="1925059">лабораторного анализа, на основе стационарной лабораторной аппаратуры, средств отбора и подготовки проб для анализа.</div></div><div class="ACT_TEXT lx_elem" onmousemove="lx_mo(event,1925061)"><div class="lx_elem2"><div class="lx_elem3"><span onclick="lx_sf(1925061)"><img src="/img/cmt.svg" />Ҳужжатга таклиф юбориш</span><span onclick="lx_pa(1925061)"><img src="/img/vlm.svg" />Аудиони тинглаш</span><span onclick="lx_cl(1925061)"><img src="/img/lnk.svg" />Ҳужжат элементидан ҳавола олиш</span></div></div><div name="1925061" id="1925061">3.13.5. В помещениях, где ведутся работы с делящимися материалами в количествах, при которых возможно возникновение самопроизвольной цепной реакции деления, а также на ядерных реакторах и критических сборках и при других работах I класса, где радиационная обстановка при проведении работ может существенно изменяться, необходимо устанавливать приборы радиационного контроля со звуковыми и световыми сигнализирующими устройствами, а персонал должен быть обеспечен аварийными дозиметрами.</div></div><div class="ACT_TEXT lx_elem" onmousemove="lx_mo(event,1925062)"><div class="lx_elem2"><div class="lx_elem3"><span onclick="lx_sf(1925062)"><img src="/img/cmt.svg" />Ҳужжатга таклиф юбориш</span><span onclick="lx_pa(1925062)"><img src="/img/vlm.svg" />Аудиони тинглаш</span><span onclick="lx_cl(1925062)"><img src="/img/lnk.svg" />Ҳужжат элементидан ҳавола олиш</span></div></div><div name="1925062" id="1925062">3.13.6. Результаты индивидуального контроля доз облучения персонала должны храниться в течение 50 лет. При проведении индивидуального контроля, необходимо вести учет годовых эффективной и эквивалентных доз, эффективной дозы за 5 последовательных лет, а также суммарной накопленной дозы за весь период профессиональной деятельности.</div></div><div class="ACT_TEXT lx_elem" onmousemove="lx_mo(event,1925063)"><div class="lx_elem2"><div class="lx_elem3"><span onclick="lx_sf(1925063)"><img src="/img/cmt.svg" />Ҳужжатга таклиф юбориш</span><span onclick="lx_pa(1925063)"><img src="/img/vlm.svg" />Аудиони тинглаш</span><span onclick="lx_cl(1925063)"><img src="/img/lnk.svg" />Ҳужжат элементидан ҳавола олиш</span></div></div><div name="1925063" id="1925063">3.13.7. Индивидуальная доза облучения должна регистрироваться в журнале с последующим внесением в индивидуальную карточку, а также в машинный носитель для создания базы данных в организациях. Копия индивидуальной карточки работника в случае его перехода в другую организацию, где проводится работа с источниками излучения, должна передаваться на новое место работы; оригинал должен храниться на прежнем месте работы.</div></div><div class="ACT_TEXT lx_elem" onmousemove="lx_mo(event,1925064)"><div class="lx_elem2"><div class="lx_elem3"><span onclick="lx_sf(1925064)"><img src="/img/cmt.svg" />Ҳужжатга таклиф юбориш</span><span onclick="lx_pa(1925064)"><img src="/img/vlm.svg" />Аудиони тинглаш</span><span onclick="lx_cl(1925064)"><img src="/img/lnk.svg" />Ҳужжат элементидан ҳавола олиш</span></div></div><div name="1925064" id="1925064">3.13.8. Лицам, командируемым для работ с источниками излучения, должна выдаваться заполненная копия индивидуальной карточки о полученных дозах облучения. Данные о дозах облучения прикомандированных лиц должны включаться в их индивидуальные карточки.</div></div><div class="ACT_TEXT lx_elem" onmousemove="lx_mo(event,1925065)"><div class="lx_elem2"><div class="lx_elem3"><span onclick="lx_sf(1925065)"><img src="/img/cmt.svg" />Ҳужжатга таклиф юбориш</span><span onclick="lx_pa(1925065)"><img src="/img/vlm.svg" />Аудиони тинглаш</span><span onclick="lx_cl(1925065)"><img src="/img/lnk.svg" />Ҳужжат элементидан ҳавола олиш</span></div></div><div name="1925065" id="1925065">3.13.9. В организациях, проводящих работы с техногенными источниками излучения, администрацией должны устанавливаться контрольные уровни.</div></div><div class="ACT_TEXT lx_elem" onmousemove="lx_mo(event,1925066)"><div class="lx_elem2"><div class="lx_elem3"><span onclick="lx_sf(1925066)"><img src="/img/cmt.svg" />Ҳужжатга таклиф юбориш</span><span onclick="lx_pa(1925066)"><img src="/img/vlm.svg" />Аудиони тинглаш</span><span onclick="lx_cl(1925066)"><img src="/img/lnk.svg" />Ҳужжат элементидан ҳавола олиш</span></div></div><div name="1925066" id="1925066">Перечень и числовые значения контрольных уровней определяются в соответствии с условиями работы и согласовываются с ЦГСЭН.</div></div><div class="ACT_TEXT lx_elem" onmousemove="lx_mo(event,1925067)"><div class="lx_elem2"><div class="lx_elem3"><span onclick="lx_sf(1925067)"><img src="/img/cmt.svg" />Ҳужжатга таклиф юбориш</span><span onclick="lx_pa(1925067)"><img src="/img/vlm.svg" />Аудиони тинглаш</span><span onclick="lx_cl(1925067)"><img src="/img/lnk.svg" />Ҳужжат элементидан ҳавола олиш</span></div></div><div name="1925067" id="1925067">3.13.10. При установлении контрольных уровней следует исходить из принципа оптимизации с учетом:</div></div><div class="ACT_TEXT lx_elem" onmousemove="lx_mo(event,1925068)"><div class="lx_elem2"><div class="lx_elem3"><span onclick="lx_sf(1925068)"><img src="/img/cmt.svg" />Ҳужжатга таклиф юбориш</span><span onclick="lx_pa(1925068)"><img src="/img/vlm.svg" />Аудиони тинглаш</span><span onclick="lx_cl(1925068)"><img src="/img/lnk.svg" />Ҳужжат элементидан ҳавола олиш</span></div></div><div name="1925068" id="1925068">неравномерности радиационного воздействия во времени;</div></div><div class="ACT_TEXT lx_elem" onmousemove="lx_mo(event,1925069)"><div class="lx_elem2"><div class="lx_elem3"><span onclick="lx_sf(1925069)"><img src="/img/cmt.svg" />Ҳужжатга таклиф юбориш</span><span onclick="lx_pa(1925069)"><img src="/img/vlm.svg" />Аудиони тинглаш</span><span onclick="lx_cl(1925069)"><img src="/img/lnk.svg" />Ҳужжат элементидан ҳавола олиш</span></div></div><div name="1925069" id="1925069">целесообразности сохранения уже достигнутого уровня радиационного воздействия на данном объекте ниже допустимого;</div></div><div class="ACT_TEXT lx_elem" onmousemove="lx_mo(event,1925070)"><div class="lx_elem2"><div class="lx_elem3"><span onclick="lx_sf(1925070)"><img src="/img/cmt.svg" />Ҳужжатга таклиф юбориш</span><span onclick="lx_pa(1925070)"><img src="/img/vlm.svg" />Аудиони тинглаш</span><span onclick="lx_cl(1925070)"><img src="/img/lnk.svg" />Ҳужжат элементидан ҳавола олиш</span></div></div><div name="1925070" id="1925070">эффективности мероприятий по улучшению радиационной обстановки.</div></div><div class="ACT_TEXT lx_elem" onmousemove="lx_mo(event,1925071)"><div class="lx_elem2"><div class="lx_elem3"><span onclick="lx_sf(1925071)"><img src="/img/cmt.svg" />Ҳужжатга таклиф юбориш</span><span onclick="lx_pa(1925071)"><img src="/img/vlm.svg" />Аудиони тинглаш</span><span onclick="lx_cl(1925071)"><img src="/img/lnk.svg" />Ҳужжат элементидан ҳавола олиш</span></div></div><div name="1925071" id="1925071">При изменении характера работ перечень и числовые значения контрольных уровней подлежат уточнению. </div></div><div class="ACT_TEXT lx_elem" onmousemove="lx_mo(event,1925072)"><div class="lx_elem2"><div class="lx_elem3"><span onclick="lx_sf(1925072)"><img src="/img/cmt.svg" />Ҳужжатга таклиф юбориш</span><span onclick="lx_pa(1925072)"><img src="/img/vlm.svg" />Аудиони тинглаш</span><span onclick="lx_cl(1925072)"><img src="/img/lnk.svg" />Ҳужжат элементидан ҳавола олиш</span></div></div><div name="1925072" id="1925072">При установлении контрольных уровней объемной и удельной активности радионуклидов в атмосферном воздухе и в воде водоемов следует учитывать возможное поступление их по пищевым цепочкам и внешнее излучение радионуклидов, накопившихся на местности.</div></div><div class="ACT_TEXT lx_elem" onmousemove="lx_mo(event,1925073)"><div class="lx_elem2"><div class="lx_elem3"><span onclick="lx_sf(1925073)"><img src="/img/cmt.svg" />Ҳужжатга таклиф юбориш</span><span onclick="lx_pa(1925073)"><img src="/img/vlm.svg" />Аудиони тинглаш</span><span onclick="lx_cl(1925073)"><img src="/img/lnk.svg" />Ҳужжат элементидан ҳавола олиш</span></div></div><div name="1925073" id="1925073">3.13.11. Результаты радиационного контроля сопоставляются со значениями пределов доз и контрольными уровнями. Превышения контрольных уровней должны анализироваться администрацией организации. В случаях превышения пределов доз облучения персонала или доз облучения населения, установленных НРБ-2006 (<a href="/docs/1908086#1924626">п.3.1.2.</a>), администрация организации должна информировать об этом ЦГСЭН.</div></div><div class="ACT_TEXT lx_elem" onmousemove="lx_mo(event,1925074)"><div class="lx_elem2"><div class="lx_elem3"><span onclick="lx_sf(1925074)"><img src="/img/cmt.svg" />Ҳужжатга таклиф юбориш</span><span onclick="lx_pa(1925074)"><img src="/img/vlm.svg" />Аудиони тинглаш</span><span onclick="lx_cl(1925074)"><img src="/img/lnk.svg" />Ҳужжат элементидан ҳавола олиш</span></div></div><div name="1925074" id="1925074">3.14. Методы и средства индивидуальной защиты и личной гигиены</div></div><div class="ACT_TEXT lx_elem" onmousemove="lx_mo(event,1925075)"><div class="lx_elem2"><div class="lx_elem3"><span onclick="lx_sf(1925075)"><img src="/img/cmt.svg" />Ҳужжатга таклиф юбориш</span><span onclick="lx_pa(1925075)"><img src="/img/vlm.svg" />Аудиони тинглаш</span><span onclick="lx_cl(1925075)"><img src="/img/lnk.svg" />Ҳужжат элементидан ҳавола олиш</span></div></div><div name="1925075" id="1925075">3.14.1. Все работающие с источниками излучения или посещающие участки, где производятся такие работы, должны обеспечиваться средствами индивидуальной защиты в соответствии с видом и классом работ.</div></div><div class="ACT_TEXT lx_elem" onmousemove="lx_mo(event,1925076)"><div class="lx_elem2"><div class="lx_elem3"><span onclick="lx_sf(1925076)"><img src="/img/cmt.svg" />Ҳужжатга таклиф юбориш</span><span onclick="lx_pa(1925076)"><img src="/img/vlm.svg" />Аудиони тинглаш</span><span onclick="lx_cl(1925076)"><img src="/img/lnk.svg" />Ҳужжат элементидан ҳавола олиш</span></div></div><div name="1925076" id="1925076">3.14.2. При работах с радиоактивными веществами в открытом виде I класса и при отдельных работах II класса персонал должен иметь комплект основных средств индивидуальной защиты, а также дополнительные средства защиты в зависимости от уровня и характера возможного радиоактивного загрязнения.</div></div><div class="ACT_TEXT lx_elem" onmousemove="lx_mo(event,1925077)"><div class="lx_elem2"><div class="lx_elem3"><span onclick="lx_sf(1925077)"><img src="/img/cmt.svg" />Ҳужжатга таклиф юбориш</span><span onclick="lx_pa(1925077)"><img src="/img/vlm.svg" />Аудиони тинглаш</span><span onclick="lx_cl(1925077)"><img src="/img/lnk.svg" />Ҳужжат элементидан ҳавола олиш</span></div></div><div name="1925077" id="1925077">Основной комплект средств индивидуальной защиты включает: спецбелье, носки, комбинезон или костюм (куртка, брюки), спецобувь, шапочку или шлем, перчатки, полотенца и носовые платки одноразовые, средства защиты органов дыхания (в зависимости от загрязнения воздуха).</div></div><div class="ACT_TEXT lx_elem" onmousemove="lx_mo(event,1925078)"><div class="lx_elem2"><div class="lx_elem3"><span onclick="lx_sf(1925078)"><img src="/img/cmt.svg" />Ҳужжатга таклиф юбориш</span><span onclick="lx_pa(1925078)"><img src="/img/vlm.svg" />Аудиони тинглаш</span><span onclick="lx_cl(1925078)"><img src="/img/lnk.svg" />Ҳужжат элементидан ҳавола олиш</span></div></div><div name="1925078" id="1925078">При работах II класса и при отдельных работах III класса персонал должен быть обеспечен халатами, шапочками, перчатками, легкой обувью и при необходимости средствами защиты органов дыхания.</div></div><div class="ACT_TEXT lx_elem" onmousemove="lx_mo(event,1925079)"><div class="lx_elem2"><div class="lx_elem3"><span onclick="lx_sf(1925079)"><img src="/img/cmt.svg" />Ҳужжатга таклиф юбориш</span><span onclick="lx_pa(1925079)"><img src="/img/vlm.svg" />Аудиони тинглаш</span><span onclick="lx_cl(1925079)"><img src="/img/lnk.svg" />Ҳужжат элементидан ҳавола олиш</span></div></div><div name="1925079" id="1925079">3.14.3. Средства индивидуальной защиты для работ с радиоактивными веществами должны изготовляться из хорошо дезактивируемых материалов либо быть одноразовыми.</div></div><div class="ACT_TEXT lx_elem" onmousemove="lx_mo(event,1925080)"><div class="lx_elem2"><div class="lx_elem3"><span onclick="lx_sf(1925080)"><img src="/img/cmt.svg" />Ҳужжатга таклиф юбориш</span><span onclick="lx_pa(1925080)"><img src="/img/vlm.svg" />Аудиони тинглаш</span><span onclick="lx_cl(1925080)"><img src="/img/lnk.svg" />Ҳужжат элементидан ҳавола олиш</span></div></div><div name="1925080" id="1925080">3.14.4. Работающие с радиоактивными растворами и порошками, а также персонал, проводящий уборку помещений, в которых ведутся работы с радиоактивными веществами, кроме комплекта основных средств индивидуальной защиты, должны иметь дополнительно спецодежду из пленочных материалов или материалов с полимерным покрытием: фартуки, нарукавники, полухалаты, резиновую и пластиковую спецобувь.</div></div><div class="ACT_TEXT lx_elem" onmousemove="lx_mo(event,1925081)"><div class="lx_elem2"><div class="lx_elem3"><span onclick="lx_sf(1925081)"><img src="/img/cmt.svg" />Ҳужжатга таклиф юбориш</span><span onclick="lx_pa(1925081)"><img src="/img/vlm.svg" />Аудиони тинглаш</span><span onclick="lx_cl(1925081)"><img src="/img/lnk.svg" />Ҳужжат элементидан ҳавола олиш</span></div></div><div name="1925081" id="1925081">3.14.5. Персонал, выполняющий работы по сварке или резке металла, загрязненного радионуклидами, должен быть снабжен специальными средствами индивидуальной защиты из искростойких, хорошо дезактивируемых материалов.</div></div><div class="ACT_TEXT lx_elem" onmousemove="lx_mo(event,1925082)"><div class="lx_elem2"><div class="lx_elem3"><span onclick="lx_sf(1925082)"><img src="/img/cmt.svg" />Ҳужжатга таклиф юбориш</span><span onclick="lx_pa(1925082)"><img src="/img/vlm.svg" />Аудиони тинглаш</span><span onclick="lx_cl(1925082)"><img src="/img/lnk.svg" />Ҳужжат элементидан ҳавола олиш</span></div></div><div name="1925082" id="1925082">3.14.6. Средства защиты органов дыхания (фильтрующие или изолирующие) необходимо применять при работах в условиях возможного аэрозольного загрязнения воздуха помещений радиоактивными веществами (работа с порошками, выпаривание радиоактивных растворов и т. п.).</div></div><div class="ACT_TEXT lx_elem" onmousemove="lx_mo(event,1925083)"><div class="lx_elem2"><div class="lx_elem3"><span onclick="lx_sf(1925083)"><img src="/img/cmt.svg" />Ҳужжатга таклиф юбориш</span><span onclick="lx_pa(1925083)"><img src="/img/vlm.svg" />Аудиони тинглаш</span><span onclick="lx_cl(1925083)"><img src="/img/lnk.svg" />Ҳужжат элементидан ҳавола олиш</span></div></div><div name="1925083" id="1925083">3.14.7. При работах, когда возможно загрязнение воздуха помещения радиоактивными газами или парами (ликвидация аварий, ремонтные работы и т.п.), или когда применение фильтрующих средств не обеспечивает радиационную безопасность, следует применять изолирующие защитные средства (пневмокостюмы, пневмошлемы, а в отдельных случаях— автономные изолирующие аппараты).</div></div><div class="ACT_TEXT lx_elem" onmousemove="lx_mo(event,1925084)"><div class="lx_elem2"><div class="lx_elem3"><span onclick="lx_sf(1925084)"><img src="/img/cmt.svg" />Ҳужжатга таклиф юбориш</span><span onclick="lx_pa(1925084)"><img src="/img/vlm.svg" />Аудиони тинглаш</span><span onclick="lx_cl(1925084)"><img src="/img/lnk.svg" />Ҳужжат элементидан ҳавола олиш</span></div></div><div name="1925084" id="1925084">3.14.8. При переходах из помещений для работ более высокого класса в помещения для работ более низкого класса необходимо контролировать уровни радиоактивного загрязнения средств индивидуальной защиты, а при переходе из 2 в 3 зону необходимо снимать дополнительные средства индивидуальной защиты.</div></div><div class="ACT_TEXT lx_elem" onmousemove="lx_mo(event,1925085)"><div class="lx_elem2"><div class="lx_elem3"><span onclick="lx_sf(1925085)"><img src="/img/cmt.svg" />Ҳужжатга таклиф юбориш</span><span onclick="lx_pa(1925085)"><img src="/img/vlm.svg" />Аудиони тинглаш</span><span onclick="lx_cl(1925085)"><img src="/img/lnk.svg" />Ҳужжат элементидан ҳавола олиш</span></div></div><div name="1925085" id="1925085">3.14.9. Загрязненные выше допустимых уровней спецодежда и белье должны направляться на дезактивацию в спецпрачечные. Смена основной спецодежды и белья должна осуществляться персоналом не реже 1 раза в 10 дней.</div></div><div class="ACT_TEXT lx_elem" onmousemove="lx_mo(event,1925086)"><div class="lx_elem2"><div class="lx_elem3"><span onclick="lx_sf(1925086)"><img src="/img/cmt.svg" />Ҳужжатга таклиф юбориш</span><span onclick="lx_pa(1925086)"><img src="/img/vlm.svg" />Аудиони тинглаш</span><span onclick="lx_cl(1925086)"><img src="/img/lnk.svg" />Ҳужжат элементидан ҳавола олиш</span></div></div><div name="1925086" id="1925086">Дополнительные средства индивидуальной защиты (пленочные, резиновые, с полимерным покрытием) после каждого использования должны подвергаться предварительной дезактивации в санитарном шлюзе или в другом специально отведенном месте. Если после дезактивации их остаточное загрязнение превышает допустимый уровень, дополнительные средства индивидуальной защиты должны быть направлены на дезактивацию в спецпрачечную.</div></div><div class="ACT_TEXT lx_elem" onmousemove="lx_mo(event,1925087)"><div class="lx_elem2"><div class="lx_elem3"><span onclick="lx_sf(1925087)"><img src="/img/cmt.svg" />Ҳужжатга таклиф юбориш</span><span onclick="lx_pa(1925087)"><img src="/img/vlm.svg" />Аудиони тинглаш</span><span onclick="lx_cl(1925087)"><img src="/img/lnk.svg" />Ҳужжат элементидан ҳавола олиш</span></div></div><div name="1925087" id="1925087">3.14.10. Следует исключить радиоактивное загрязнение личной одежды и обуви. В случае обнаружения такого загрязнения личная одежда и обувь подлежат дезактивации под контролем службы радиационной безопасности, а при невозможности ее очистки — захоронению.</div></div><div class="ACT_TEXT lx_elem" onmousemove="lx_mo(event,1925088)"><div class="lx_elem2"><div class="lx_elem3"><span onclick="lx_sf(1925088)"><img src="/img/cmt.svg" />Ҳужжатга таклиф юбориш</span><span onclick="lx_pa(1925088)"><img src="/img/vlm.svg" />Аудиони тинглаш</span><span onclick="lx_cl(1925088)"><img src="/img/lnk.svg" />Ҳужжат элементидан ҳавола олиш</span></div></div><div name="1925088" id="1925088">3.14.11. В помещениях для работ с радиоактивными веществами в открытом виде не допускается:</div></div><div class="ACT_TEXT lx_elem" onmousemove="lx_mo(event,1925089)"><div class="lx_elem2"><div class="lx_elem3"><span onclick="lx_sf(1925089)"><img src="/img/cmt.svg" />Ҳужжатга таклиф юбориш</span><span onclick="lx_pa(1925089)"><img src="/img/vlm.svg" />Аудиони тинглаш</span><span onclick="lx_cl(1925089)"><img src="/img/lnk.svg" />Ҳужжат элементидан ҳавола олиш</span></div></div><div name="1925089" id="1925089">пребывание сотрудников без необходимых средств индивидуальной защиты;</div></div><div class="ACT_TEXT lx_elem" onmousemove="lx_mo(event,1925090)"><div class="lx_elem2"><div class="lx_elem3"><span onclick="lx_sf(1925090)"><img src="/img/cmt.svg" />Ҳужжатга таклиф юбориш</span><span onclick="lx_pa(1925090)"><img src="/img/vlm.svg" />Аудиони тинглаш</span><span onclick="lx_cl(1925090)"><img src="/img/lnk.svg" />Ҳужжат элементидан ҳавола олиш</span></div></div><div name="1925090" id="1925090">прием пищи, курение, пользование косметическими принадлежностями;</div></div><div class="ACT_TEXT lx_elem" onmousemove="lx_mo(event,1925091)"><div class="lx_elem2"><div class="lx_elem3"><span onclick="lx_sf(1925091)"><img src="/img/cmt.svg" />Ҳужжатга таклиф юбориш</span><span onclick="lx_pa(1925091)"><img src="/img/vlm.svg" />Аудиони тинглаш</span><span onclick="lx_cl(1925091)"><img src="/img/lnk.svg" />Ҳужжат элементидан ҳавола олиш</span></div></div><div name="1925091" id="1925091">хранение пищевых продуктов, табачных изделий, домашней одежды, косметических принадлежностей и других предметов, не имеющих отношения к работе.</div></div><div class="ACT_TEXT lx_elem" onmousemove="lx_mo(event,1925092)"><div class="lx_elem2"><div class="lx_elem3"><span onclick="lx_sf(1925092)"><img src="/img/cmt.svg" />Ҳужжатга таклиф юбориш</span><span onclick="lx_pa(1925092)"><img src="/img/vlm.svg" />Аудиони тинглаш</span><span onclick="lx_cl(1925092)"><img src="/img/lnk.svg" />Ҳужжат элементидан ҳавола олиш</span></div></div><div name="1925092" id="1925092">3.14.12. При выходе из помещений, где проводятся работы с радиоактивными веществами, следует проверить чистоту спецодежды и других средств индивидуальной защиты, снять их и при выявлении радиоактивного загрязнения направить на дезактивацию, а самому работнику— вымыться под душем.</div></div><div class="ACT_TEXT lx_elem" onmousemove="lx_mo(event,1925093)"><div class="lx_elem2"><div class="lx_elem3"><span onclick="lx_sf(1925093)"><img src="/img/cmt.svg" />Ҳужжатга таклиф юбориш</span><span onclick="lx_pa(1925093)"><img src="/img/vlm.svg" />Аудиони тинглаш</span><span onclick="lx_cl(1925093)"><img src="/img/lnk.svg" />Ҳужжат элементидан ҳавола олиш</span></div></div><div name="1925093" id="1925093">3.14.13. Для приема пищи должно быть предусмотрено специальное помещение, оборудованное умывальником для мытья рук с подводкой горячей воды, изолированное от помещений, где ведутся работы с применением радиоактивных веществ в открытом виде.</div></div><div class="ACT_TEXT lx_elem" onmousemove="lx_mo(event,1925094)"><div class="lx_elem2"><div class="lx_elem3"><span onclick="lx_sf(1925094)"><img src="/img/cmt.svg" />Ҳужжатга таклиф юбориш</span><span onclick="lx_pa(1925094)"><img src="/img/vlm.svg" />Аудиони тинглаш</span><span onclick="lx_cl(1925094)"><img src="/img/lnk.svg" />Ҳужжат элементидан ҳавола олиш</span></div></div><div name="1925094" id="1925094">3.14.14. На радиационных объектах, где могут возникать случаи радиоактивного загрязнения кожных покровов, должны использоваться в качестве средств их дезактивации препараты (моющие средства), эффективно удаляющие загрязнения и не увеличивающие поступление радионуклидов через кожу в организм. Последнее обстоятельство является определяющим при работах с высокотоксичными радионуклидами.</div></div><div class="TEXT_HEADER_AFTER_SRC lx_elem" onmousemove="lx_mo(event,1925096)"><div class="lx_elem2"><div class="lx_elem3"><span onclick="lx_sf(1925096)"><img src="/img/cmt.svg" />Ҳужжатга таклиф юбориш</span><span onclick="lx_pa(1925096)"><img src="/img/vlm.svg" />Аудиони тинглаш</span><span onclick="lx_cl(1925096)"><img src="/img/lnk.svg" />Ҳужжат элементидан ҳавола олиш</span></div></div><div name="1925096" id="1925096">4. Радиационная безопасность пациентов и населения при медицинском облучении</div></div><div class="ACT_TEXT lx_elem" onmousemove="lx_mo(event,1925097)"><div class="lx_elem2"><div class="lx_elem3"><span onclick="lx_sf(1925097)"><img src="/img/cmt.svg" />Ҳужжатга таклиф юбориш</span><span onclick="lx_pa(1925097)"><img src="/img/vlm.svg" />Аудиони тинглаш</span><span onclick="lx_cl(1925097)"><img src="/img/lnk.svg" />Ҳужжат элементидан ҳавола олиш</span></div></div><div name="1925097" id="1925097">4.1. Радиационная безопасность пациентов и населения должна быть обеспечена при всех видах медицинского облучения (профилактического, диагностического, лечебного, исследовательского) путем достижения максимальной пользы от рентгенорадиологических процедур и всесторонней минимизации радиационного ущерба, при безусловном превосходстве пользы для облучаемых лиц над вредом.</div></div><div class="ACT_TEXT lx_elem" onmousemove="lx_mo(event,1925098)"><div class="lx_elem2"><div class="lx_elem3"><span onclick="lx_sf(1925098)"><img src="/img/cmt.svg" />Ҳужжатга таклиф юбориш</span><span onclick="lx_pa(1925098)"><img src="/img/vlm.svg" />Аудиони тинглаш</span><span onclick="lx_cl(1925098)"><img src="/img/lnk.svg" />Ҳужжат элементидан ҳавола олиш</span></div></div><div name="1925098" id="1925098">4.2. Медицинское облучение пациентов с целью получения диагностической информации или терапевтического эффекта проводится только по назначению врача и с согласия пациента. Окончательное решение о проведении соответствующей процедуры принимает врач-рентгенолог или врач-радиолог.</div></div><div class="ACT_TEXT lx_elem" onmousemove="lx_mo(event,1925099)"><div class="lx_elem2"><div class="lx_elem3"><span onclick="lx_sf(1925099)"><img src="/img/cmt.svg" />Ҳужжатга таклиф юбориш</span><span onclick="lx_pa(1925099)"><img src="/img/vlm.svg" />Аудиони тинглаш</span><span onclick="lx_cl(1925099)"><img src="/img/lnk.svg" />Ҳужжат элементидан ҳавола олиш</span></div></div><div name="1925099" id="1925099">4.3. Медицинское диагностическое облучение осуществляется по медицинским показаниям в тех случаях, когда отсутствуют или нельзя применить, или недостаточно информативны другие альтернативные методы диагностики.</div></div><div class="ACT_TEXT lx_elem" onmousemove="lx_mo(event,1925101)"><div class="lx_elem2"><div class="lx_elem3"><span onclick="lx_sf(1925101)"><img src="/img/cmt.svg" />Ҳужжатга таклиф юбориш</span><span onclick="lx_pa(1925101)"><img src="/img/vlm.svg" />Аудиони тинглаш</span><span onclick="lx_cl(1925101)"><img src="/img/lnk.svg" />Ҳужжат элементидан ҳавола олиш</span></div></div><div name="1925101" id="1925101">4.4. Все применяемые методы лучевой диагностики и терапии утверждаются МЗ РУз. В описании методов необходимо отразить оптимальные режимы выполнения процедур и уровни облучения пациента при их выполнении.</div></div><div class="ACT_TEXT lx_elem" onmousemove="lx_mo(event,1925102)"><div class="lx_elem2"><div class="lx_elem3"><span onclick="lx_sf(1925102)"><img src="/img/cmt.svg" />Ҳужжатга таклиф юбориш</span><span onclick="lx_pa(1925102)"><img src="/img/vlm.svg" />Аудиони тинглаш</span><span onclick="lx_cl(1925102)"><img src="/img/lnk.svg" />Ҳужжат элементидан ҳавола олиш</span></div></div><div name="1925102" id="1925102">4.5. Регламенты проведения всех видов рентгенорадиологических диагностических исследований должны гарантировать отсутствие детерминированных лучевых эффектов.</div></div><div class="ACT_TEXT lx_elem" onmousemove="lx_mo(event,1925103)"><div class="lx_elem2"><div class="lx_elem3"><span onclick="lx_sf(1925103)"><img src="/img/cmt.svg" />Ҳужжатга таклиф юбориш</span><span onclick="lx_pa(1925103)"><img src="/img/vlm.svg" />Аудиони тинглаш</span><span onclick="lx_cl(1925103)"><img src="/img/lnk.svg" />Ҳужжат элементидан ҳавола олиш</span></div></div><div name="1925103" id="1925103">4.6. Облучение людей с целью получения научной медицинской информации может осуществляться по решению МЗ РУз в пределах установленных допустимых уровней облучения при обязательном письменном согласии обследуемых после представления им сведений о возможных последствиях облучения.</div></div><div class="ACT_TEXT lx_elem" onmousemove="lx_mo(event,1925105)"><div class="lx_elem2"><div class="lx_elem3"><span onclick="lx_sf(1925105)"><img src="/img/cmt.svg" />Ҳужжатга таклиф юбориш</span><span onclick="lx_pa(1925105)"><img src="/img/vlm.svg" />Аудиони тинглаш</span><span onclick="lx_cl(1925105)"><img src="/img/lnk.svg" />Ҳужжат элементидан ҳавола олиш</span></div></div><div name="1925105" id="1925105">4.7. При проведении лучевой терапии должны быть предприняты все возможные меры для предотвращения лучевых осложнений у пациента.</div></div><div class="ACT_TEXT lx_elem" onmousemove="lx_mo(event,1925106)"><div class="lx_elem2"><div class="lx_elem3"><span onclick="lx_sf(1925106)"><img src="/img/cmt.svg" />Ҳужжатга таклиф юбориш</span><span onclick="lx_pa(1925106)"><img src="/img/vlm.svg" />Аудиони тинглаш</span><span onclick="lx_cl(1925106)"><img src="/img/lnk.svg" />Ҳужжат элементидан ҳавола олиш</span></div></div><div name="1925106" id="1925106">4.8. Для рентгенорадиологических медицинских исследований и лучевой терапии используется аппаратура, зарегистрированная в МЗ РУз, включенная в реестр медицинских изделий для медицинского применения в Республике Узбекистан и имеющая санитарно-эпидемиологическое заключение.</div></div><div class="ACT_TEXT lx_elem" onmousemove="lx_mo(event,1925107)"><div class="lx_elem2"><div class="lx_elem3"><span onclick="lx_sf(1925107)"><img src="/img/cmt.svg" />Ҳужжатга таклиф юбориш</span><span onclick="lx_pa(1925107)"><img src="/img/vlm.svg" />Аудиони тинглаш</span><span onclick="lx_cl(1925107)"><img src="/img/lnk.svg" />Ҳужжат элементидан ҳавола олиш</span></div></div><div name="1925107" id="1925107">4.9. Отделения (подразделения) лучевой терапии и диагностики должны иметь и использовать при выполнении лечебно-диагностических процедур обязательный набор передвижных и индивидуальных средств радиационной защиты пациента и персонала.</div></div><div class="ACT_TEXT lx_elem" onmousemove="lx_mo(event,1925108)"><div class="lx_elem2"><div class="lx_elem3"><span onclick="lx_sf(1925108)"><img src="/img/cmt.svg" />Ҳужжатга таклиф юбориш</span><span onclick="lx_pa(1925108)"><img src="/img/vlm.svg" />Аудиони тинглаш</span><span onclick="lx_cl(1925108)"><img src="/img/lnk.svg" />Ҳужжат элементидан ҳавола олиш</span></div></div><div name="1925108" id="1925108">4.10. Наборы табельных средств защиты пациента и персонала в различных рентгенорадиологических отделениях и кабинетах определяются МЗ РУз.</div></div><div class="ACT_TEXT lx_elem" onmousemove="lx_mo(event,1925109)"><div class="lx_elem2"><div class="lx_elem3"><span onclick="lx_sf(1925109)"><img src="/img/cmt.svg" />Ҳужжатга таклиф юбориш</span><span onclick="lx_pa(1925109)"><img src="/img/vlm.svg" />Аудиони тинглаш</span><span onclick="lx_cl(1925109)"><img src="/img/lnk.svg" />Ҳужжат элементидан ҳавола олиш</span></div></div><div name="1925109" id="1925109">4.11. Использование в практике фармакологических радиопротекторов разрешается при наличии соответствующего санитарно-эпидемиологического заключения Департамента ГСЭН МЗ РУз.</div></div><div class="ACT_TEXT lx_elem" onmousemove="lx_mo(event,1925110)"><div class="lx_elem2"><div class="lx_elem3"><span onclick="lx_sf(1925110)"><img src="/img/cmt.svg" />Ҳужжатга таклиф юбориш</span><span onclick="lx_pa(1925110)"><img src="/img/vlm.svg" />Аудиони тинглаш</span><span onclick="lx_cl(1925110)"><img src="/img/lnk.svg" />Ҳужжат элементидан ҳавола олиш</span></div></div><div name="1925110" id="1925110">4.12. Рентгенорадиологические медицинские диагностические и терапевтические подразделения должны иметь соответствующие лицензии.</div></div><div class="ACT_TEXT lx_elem" onmousemove="lx_mo(event,1925111)"><div class="lx_elem2"><div class="lx_elem3"><span onclick="lx_sf(1925111)"><img src="/img/cmt.svg" />Ҳужжатга таклиф юбориш</span><span onclick="lx_pa(1925111)"><img src="/img/vlm.svg" />Аудиони тинглаш</span><span onclick="lx_cl(1925111)"><img src="/img/lnk.svg" />Ҳужжат элементидан ҳавола олиш</span></div></div><div name="1925111" id="1925111">4.13. Медицинский персонал, занимающийся рентгенорадиологической диагностикой и терапией, осуществляет защиту пациентов, поддерживая на возможно низком уровне индивидуальные дозы их облучения. Доза, полученная пациентом, подлежит обязательной регистрации.</div></div><div class="ACT_TEXT lx_elem" onmousemove="lx_mo(event,1925112)"><div class="lx_elem2"><div class="lx_elem3"><span onclick="lx_sf(1925112)"><img src="/img/cmt.svg" />Ҳужжатга таклиф юбориш</span><span onclick="lx_pa(1925112)"><img src="/img/vlm.svg" />Аудиони тинглаш</span><span onclick="lx_cl(1925112)"><img src="/img/lnk.svg" />Ҳужжат элементидан ҳавола олиш</span></div></div><div name="1925112" id="1925112">4.14. Дозы облучения пациента от проведения каждого рентгенорадиологического исследования и процедур лучевой терапии должны вноситься в персональный лист учета доз медицинского облучения, являющийся обязательным приложением к его амбулаторной карте.</div></div><div class="ACT_TEXT lx_elem" onmousemove="lx_mo(event,1925113)"><div class="lx_elem2"><div class="lx_elem3"><span onclick="lx_sf(1925113)"><img src="/img/cmt.svg" />Ҳужжатга таклиф юбориш</span><span onclick="lx_pa(1925113)"><img src="/img/vlm.svg" />Аудиони тинглаш</span><span onclick="lx_cl(1925113)"><img src="/img/lnk.svg" />Ҳужжат элементидан ҳавола олиш</span></div></div><div name="1925113" id="1925113">4.15. При достижении накопленной дозы медицинского диагностического облучения пациента 0,5 Зв должны быть приняты меры по дальнейшему ограничению его облучения, если лучевые процедуры не диктуются жизненными показаниями.</div></div><div class="ACT_TEXT lx_elem" onmousemove="lx_mo(event,1925115)"><div class="lx_elem2"><div class="lx_elem3"><span onclick="lx_sf(1925115)"><img src="/img/cmt.svg" />Ҳужжатга таклиф юбориш</span><span onclick="lx_pa(1925115)"><img src="/img/vlm.svg" />Аудиони тинглаш</span><span onclick="lx_cl(1925115)"><img src="/img/lnk.svg" />Ҳужжат элементидан ҳавола олиш</span></div></div><div name="1925115" id="1925115">4.16. По требованию пациента ему предоставляется информация об ожидаемой или полученной дозе облучения и о возможных последствиях от проведения рентгенорадиологических процедур.</div></div><div class="ACT_TEXT lx_elem" onmousemove="lx_mo(event,1925116)"><div class="lx_elem2"><div class="lx_elem3"><span onclick="lx_sf(1925116)"><img src="/img/cmt.svg" />Ҳужжатга таклиф юбориш</span><span onclick="lx_pa(1925116)"><img src="/img/vlm.svg" />Аудиони тинглаш</span><span onclick="lx_cl(1925116)"><img src="/img/lnk.svg" />Ҳужжат элементидан ҳавола олиш</span></div></div><div name="1925116" id="1925116">4.17. Пациент имеет право отказаться от медицинских рентгенорадиологических процедур, за исключением профилактических исследований, проводимых в целях выявления заболеваний, опасных в эпидемиологическом отношении.</div></div><div class="ACT_TEXT lx_elem" onmousemove="lx_mo(event,1925118)"><div class="lx_elem2"><div class="lx_elem3"><span onclick="lx_sf(1925118)"><img src="/img/cmt.svg" />Ҳужжатга таклиф юбориш</span><span onclick="lx_pa(1925118)"><img src="/img/vlm.svg" />Аудиони тинглаш</span><span onclick="lx_cl(1925118)"><img src="/img/lnk.svg" />Ҳужжат элементидан ҳавола олиш</span></div></div><div name="1925118" id="1925118">4.18. Медицинский персонал не имеет права прямо или косвенно влиять на увеличение облучения пациента в целях сокращения собственного профессионального облучения.</div></div><div class="ACT_TEXT lx_elem" onmousemove="lx_mo(event,1925119)"><div class="lx_elem2"><div class="lx_elem3"><span onclick="lx_sf(1925119)"><img src="/img/cmt.svg" />Ҳужжатга таклиф юбориш</span><span onclick="lx_pa(1925119)"><img src="/img/vlm.svg" />Аудиони тинглаш</span><span onclick="lx_cl(1925119)"><img src="/img/lnk.svg" />Ҳужжат элементидан ҳавола олиш</span></div></div><div name="1925119" id="1925119">4.19. При введении пациенту радиофармацевтический препарат (РФП) с терапевтической целью врач должен рекомендовать ему временное воздержание от воспроизводства потомства.</div></div><div class="ACT_TEXT lx_elem" onmousemove="lx_mo(event,1925120)"><div class="lx_elem2"><div class="lx_elem3"><span onclick="lx_sf(1925120)"><img src="/img/cmt.svg" />Ҳужжатга таклиф юбориш</span><span onclick="lx_pa(1925120)"><img src="/img/vlm.svg" />Аудиони тинглаш</span><span onclick="lx_cl(1925120)"><img src="/img/lnk.svg" />Ҳужжат элементидан ҳавола олиш</span></div></div><div name="1925120" id="1925120">4.20. Введение РФП с целью диагностики, и особенно, терапии, беременным женщинам не допускается.</div></div><div class="ACT_TEXT lx_elem" onmousemove="lx_mo(event,1925122)"><div class="lx_elem2"><div class="lx_elem3"><span onclick="lx_sf(1925122)"><img src="/img/cmt.svg" />Ҳужжатга таклиф юбориш</span><span onclick="lx_pa(1925122)"><img src="/img/vlm.svg" />Аудиони тинглаш</span><span onclick="lx_cl(1925122)"><img src="/img/lnk.svg" />Ҳужжат элементидан ҳавола олиш</span></div></div><div name="1925122" id="1925122">4.21. При введении с целью диагностики или терапии РФП кормящим матерям должно быть временно приостановлено кормление ребенка грудью. Срок прекращения грудного кормления зависит от вида и количества вводимого препарата и определяется отдельными инструкциями.</div></div><div class="TEXT_HEADER_AFTER_SRC lx_elem" onmousemove="lx_mo(event,1925123)"><div class="lx_elem2"><div class="lx_elem3"><span onclick="lx_sf(1925123)"><img src="/img/cmt.svg" />Ҳужжатга таклиф юбориш</span><span onclick="lx_pa(1925123)"><img src="/img/vlm.svg" />Аудиони тинглаш</span><span onclick="lx_cl(1925123)"><img src="/img/lnk.svg" />Ҳужжат элементидан ҳавола олиш</span></div></div><div name="1925123" id="1925123">5. Радиационная безопасность при воздействии природных источников излучения</div></div><div class="ACT_TEXT lx_elem" onmousemove="lx_mo(event,1925124)"><div class="lx_elem2"><div class="lx_elem3"><span onclick="lx_sf(1925124)"><img src="/img/cmt.svg" />Ҳужжатга таклиф юбориш</span><span onclick="lx_pa(1925124)"><img src="/img/vlm.svg" />Аудиони тинглаш</span><span onclick="lx_cl(1925124)"><img src="/img/lnk.svg" />Ҳужжат элементидан ҳавола олиш</span></div></div><div name="1925124" id="1925124">5.1. Облучение работников</div></div><div class="ACT_TEXT lx_elem" onmousemove="lx_mo(event,1925125)"><div class="lx_elem2"><div class="lx_elem3"><span onclick="lx_sf(1925125)"><img src="/img/cmt.svg" />Ҳужжатга таклиф юбориш</span><span onclick="lx_pa(1925125)"><img src="/img/vlm.svg" />Аудиони тинглаш</span><span onclick="lx_cl(1925125)"><img src="/img/lnk.svg" />Ҳужжат элементидан ҳавола олиш</span></div></div><div name="1925125" id="1925125">5.1.1. Требования по обеспечению радиационной безопасности при воздействии природных источников излучения в производственных условиях предъявляются к любым организациям, в которых облучение работников от природных радионуклидов превышает 1 мЗв/год. К ним, в частности, относятся организации, осуществляющие работы в подземных условиях (неурановые рудники, шахты и др.), а также добывающие и перерабатывающие минеральное и органическое сырье с повышенным содержанием природных радионуклидов.</div></div><div class="ACT_TEXT lx_elem" onmousemove="lx_mo(event,1925129)"><div class="lx_elem2"><div class="lx_elem3"><span onclick="lx_sf(1925129)"><img src="/img/cmt.svg" />Ҳужжатга таклиф юбориш</span><span onclick="lx_pa(1925129)"><img src="/img/vlm.svg" />Аудиони тинглаш</span><span onclick="lx_cl(1925129)"><img src="/img/lnk.svg" />Ҳужжат элементидан ҳавола олиш</span></div></div><div name="1925129" id="1925129">В проектной документации неурановых рудников и других подземных сооружений необходимо отразить вопросы радиационной безопасности.</div></div><div class="ACT_TEXT lx_elem" onmousemove="lx_mo(event,1925130)"><div class="lx_elem2"><div class="lx_elem3"><span onclick="lx_sf(1925130)"><img src="/img/cmt.svg" />Ҳужжатга таклиф юбориш</span><span onclick="lx_pa(1925130)"><img src="/img/vlm.svg" />Аудиони тинглаш</span><span onclick="lx_cl(1925130)"><img src="/img/lnk.svg" />Ҳужжат элементидан ҳавола олиш</span></div></div><div name="1925130" id="1925130">Организации, добывающие и перерабатывающие руды с целью извлечения из них природных радионуклидов (урана, радия, тория и др.), а также организации, использующие эти радионуклиды, относятся к организациям, проводящим работы с техногенными источниками излучения. На них распространяются требования по обеспечению радиационной безопасности, изложенные в <a href="/docs/1908086#1924621">разделе 3</a> Правил.</div></div><div class="ACT_TEXT lx_elem" onmousemove="lx_mo(event,1925131)"><div class="lx_elem2"><div class="lx_elem3"><span onclick="lx_sf(1925131)"><img src="/img/cmt.svg" />Ҳужжатга таклиф юбориш</span><span onclick="lx_pa(1925131)"><img src="/img/vlm.svg" />Аудиони тинглаш</span><span onclick="lx_cl(1925131)"><img src="/img/lnk.svg" />Ҳужжат элементидан ҳавола олиш</span></div></div><div name="1925131" id="1925131">5.1.2. Для строительства зданий производственного назначения следует выбирать участки территории, где плотность потока радона с поверхности грунта не превышает 250 мБк/(м<sup>2</sup> х с). При проектировании строительства здания на участке с плотностью потока радона с поверхности грунта более 250 мБк/(м<sup>2</sup> х с) в проекте здания должна быть представлена система защиты от радона.</div></div><div class="ACT_TEXT lx_elem" onmousemove="lx_mo(event,1925132)"><div class="lx_elem2"><div class="lx_elem3"><span onclick="lx_sf(1925132)"><img src="/img/cmt.svg" />Ҳужжатга таклиф юбориш</span><span onclick="lx_pa(1925132)"><img src="/img/vlm.svg" />Аудиони тинглаш</span><span onclick="lx_cl(1925132)"><img src="/img/lnk.svg" />Ҳужжат элементидан ҳавола олиш</span></div></div><div name="1925132" id="1925132">5.1.3. В организациях, где не проводятся работы с техногенными источниками излучения, уровни природного облучения работников в производственных условиях не должны превышать значений, приведенных в <a href="/docs/1908086#1925098">п..2</a> НРБ-2006. При изменении продолжительности работы, нарушении радиоактивного равновесия природных радионуклидов в производственной пыли, определяющих уровень радиационного воздействия, администрации организации следует установить контрольные уровни радиационного воздействия, на которые необходимо иметь санитарно-эпидемиологическое заключение ЦГСЭН.</div></div><div class="ACT_TEXT lx_elem" onmousemove="lx_mo(event,1925134)"><div class="lx_elem2"><div class="lx_elem3"><span onclick="lx_sf(1925134)"><img src="/img/cmt.svg" />Ҳужжатга таклиф юбориш</span><span onclick="lx_pa(1925134)"><img src="/img/vlm.svg" />Аудиони тинглаш</span><span onclick="lx_cl(1925134)"><img src="/img/lnk.svg" />Ҳужжат элементидан ҳавола олиш</span></div></div><div name="1925134" id="1925134">5.1.4. Для составления перечня действующих организаций, цехов или отдельных рабочих мест, на которых должен осуществляться контроль радиационной обстановки, обусловленной природными источниками излучения, следует проводить их первичное обследование.</div></div><div class="ACT_TEXT lx_elem" onmousemove="lx_mo(event,1925136)"><div class="lx_elem2"><div class="lx_elem3"><span onclick="lx_sf(1925136)"><img src="/img/cmt.svg" />Ҳужжатга таклиф юбориш</span><span onclick="lx_pa(1925136)"><img src="/img/vlm.svg" />Аудиони тинглаш</span><span onclick="lx_cl(1925136)"><img src="/img/lnk.svg" />Ҳужжат элементидан ҳавола олиш</span></div></div><div name="1925136" id="1925136">Если в результате обследования в организации не обнаружено случаев превышения дозы облучения работников в 1 мЗв/год, то дальнейший радиационный контроль в ней не является обязательным. Однако, при существенных изменениях технологии производства, которые могут привести к увеличению облучения работников, следует провести повторное обследование.</div></div><div class="ACT_TEXT lx_elem" onmousemove="lx_mo(event,1925138)"><div class="lx_elem2"><div class="lx_elem3"><span onclick="lx_sf(1925138)"><img src="/img/cmt.svg" />Ҳужжатга таклиф юбориш</span><span onclick="lx_pa(1925138)"><img src="/img/vlm.svg" />Аудиони тинглаш</span><span onclick="lx_cl(1925138)"><img src="/img/lnk.svg" />Ҳужжат элементидан ҳавола олиш</span></div></div><div name="1925138" id="1925138">В организациях, в которых установлено превышение дозы 1 мЗв/год, но нет превышения дозы в 2 мЗв/год, следует проводить выборочный радиационный контроль рабочих мест с наибольшими уровнями облучения работников.</div></div><div class="ACT_TEXT lx_elem" onmousemove="lx_mo(event,1925139)"><div class="lx_elem2"><div class="lx_elem3"><span onclick="lx_sf(1925139)"><img src="/img/cmt.svg" />Ҳужжатга таклиф юбориш</span><span onclick="lx_pa(1925139)"><img src="/img/vlm.svg" />Аудиони тинглаш</span><span onclick="lx_cl(1925139)"><img src="/img/lnk.svg" />Ҳужжат элементидан ҳавола олиш</span></div></div><div name="1925139" id="1925139">В организациях, в которых дозы облучения работников превышают 2 мЗв/год должен осуществляться постоянный контроль доз облучения и проводиться мероприятия по их снижению.</div></div><div class="ACT_TEXT lx_elem" onmousemove="lx_mo(event,1925140)"><div class="lx_elem2"><div class="lx_elem3"><span onclick="lx_sf(1925140)"><img src="/img/cmt.svg" />Ҳужжатга таклиф юбориш</span><span onclick="lx_pa(1925140)"><img src="/img/vlm.svg" />Аудиони тинглаш</span><span onclick="lx_cl(1925140)"><img src="/img/lnk.svg" />Ҳужжат элементидан ҳавола олиш</span></div></div><div name="1925140" id="1925140">5.1.5. В случае обнаружения превышения установленного норматива (5 мЗв/год) администрация организации принимает все необходимые меры по снижению облучения работников. При невозможности соблюдения указанного норматива в организациях, перечисленных в <a href="/docs/1908086#1925125">п. 5.1.1</a> Правил, допускается приравнивание соответствующих работников по условиям труда к персоналу, работающему с техногенными источниками излучения. О принятом решении администрация организации информирует ЦГСЭН. На лиц, приравненных по условиям труда к персоналу, работающему с техногенными источниками излучения, распространяются все требования по обеспечению радиационной безопасности, установленные для персонала категории А.</div></div><div class="ACT_TEXT lx_elem" onmousemove="lx_mo(event,1925141)"><div class="lx_elem2"><div class="lx_elem3"><span onclick="lx_sf(1925141)"><img src="/img/cmt.svg" />Ҳужжатга таклиф юбориш</span><span onclick="lx_pa(1925141)"><img src="/img/vlm.svg" />Аудиони тинглаш</span><span onclick="lx_cl(1925141)"><img src="/img/lnk.svg" />Ҳужжат элементидан ҳавола олиш</span></div></div><div name="1925141" id="1925141">5.1.6. Санитарно-гигиенические условия использования в хозяйственной деятельности полезных ископаемых с повышенным содержанием природных радионуклидов определяются государственным органом исполнительной власти, уполномоченным осуществлять государственный санитарно-эпидемиологический надзор.</div></div><div class="ACT_TEXT lx_elem" onmousemove="lx_mo(event,1925143)"><div class="lx_elem2"><div class="lx_elem3"><span onclick="lx_sf(1925143)"><img src="/img/cmt.svg" />Ҳужжатга таклиф юбориш</span><span onclick="lx_pa(1925143)"><img src="/img/vlm.svg" />Аудиони тинглаш</span><span onclick="lx_cl(1925143)"><img src="/img/lnk.svg" />Ҳужжат элементидан ҳавола олиш</span></div></div><div name="1925143" id="1925143">5.1.7. В организациях, в которых отходы производства по критериям, приведенным в разделе 3.12 Правил, относятся к категории радиоактивных, должен быть организован их сбор, временное хранение и захоронение.</div></div><div class="ACT_TEXT lx_elem" onmousemove="lx_mo(event,1925144)"><div class="lx_elem2"><div class="lx_elem3"><span onclick="lx_sf(1925144)"><img src="/img/cmt.svg" />Ҳужжатга таклиф юбориш</span><span onclick="lx_pa(1925144)"><img src="/img/vlm.svg" />Аудиони тинглаш</span><span onclick="lx_cl(1925144)"><img src="/img/lnk.svg" />Ҳужжат элементидан ҳавола олиш</span></div></div><div name="1925144" id="1925144">5.2. Облучение населения</div></div><div class="ACT_TEXT lx_elem" onmousemove="lx_mo(event,1925145)"><div class="lx_elem2"><div class="lx_elem3"><span onclick="lx_sf(1925145)"><img src="/img/cmt.svg" />Ҳужжатга таклиф юбориш</span><span onclick="lx_pa(1925145)"><img src="/img/vlm.svg" />Аудиони тинглаш</span><span onclick="lx_cl(1925145)"><img src="/img/lnk.svg" />Ҳужжат элементидан ҳавола олиш</span></div></div><div name="1925145" id="1925145">5.2.1. Требования по обеспечению радиационной безопасности населения распространяются на регулируемые природные источники излучения: изотопы радона и продукты их распада в воздухе помещений, гамма-излучение природных радионуклидов, содержащихся в строительных изделиях, природные радионуклиды в питьевой воде, удобрениях и полезных ископаемых.</div></div><div class="ACT_TEXT lx_elem" onmousemove="lx_mo(event,1925147)"><div class="lx_elem2"><div class="lx_elem3"><span onclick="lx_sf(1925147)"><img src="/img/cmt.svg" />Ҳужжатга таклиф юбориш</span><span onclick="lx_pa(1925147)"><img src="/img/vlm.svg" />Аудиони тинглаш</span><span onclick="lx_cl(1925147)"><img src="/img/lnk.svg" />Ҳужжат элементидан ҳавола олиш</span></div></div><div name="1925147" id="1925147">5.2.2. Хокимияты планируют и проводят работы по оценке и снижению уровней облучения населения природными источниками излучения. Сведения об уровнях облучения населения природными источниками излучения заносятся в радиационно-гигиенические паспорта территорий. Относительную степень радиационной безопасности населения характеризуют следующие значения эффективных доз от природных источников излучения:</div></div><div class="ACT_TEXT lx_elem" onmousemove="lx_mo(event,1925148)"><div class="lx_elem2"><div class="lx_elem3"><span onclick="lx_sf(1925148)"><img src="/img/cmt.svg" />Ҳужжатга таклиф юбориш</span><span onclick="lx_pa(1925148)"><img src="/img/vlm.svg" />Аудиони тинглаш</span><span onclick="lx_cl(1925148)"><img src="/img/lnk.svg" />Ҳужжат элементидан ҳавола олиш</span></div></div><div name="1925148" id="1925148">менее 2 мЗв/год— облучение не превышает средних значений доз для населения страны от природных источников излучения;</div></div><div class="ACT_TEXT lx_elem" onmousemove="lx_mo(event,1925150)"><div class="lx_elem2"><div class="lx_elem3"><span onclick="lx_sf(1925150)"><img src="/img/cmt.svg" />Ҳужжатга таклиф юбориш</span><span onclick="lx_pa(1925150)"><img src="/img/vlm.svg" />Аудиони тинглаш</span><span onclick="lx_cl(1925150)"><img src="/img/lnk.svg" />Ҳужжат элементидан ҳавола олиш</span></div></div><div name="1925150" id="1925150">от 2 до 5 мЗв/год— повышенное облучение;</div></div><div class="ACT_TEXT lx_elem" onmousemove="lx_mo(event,1925151)"><div class="lx_elem2"><div class="lx_elem3"><span onclick="lx_sf(1925151)"><img src="/img/cmt.svg" />Ҳужжатга таклиф юбориш</span><span onclick="lx_pa(1925151)"><img src="/img/vlm.svg" />Аудиони тинглаш</span><span onclick="lx_cl(1925151)"><img src="/img/lnk.svg" />Ҳужжат элементидан ҳавола олиш</span></div></div><div name="1925151" id="1925151">более 5 мЗв/год— высокое облучение.</div></div><div class="ACT_TEXT lx_elem" onmousemove="lx_mo(event,1925152)"><div class="lx_elem2"><div class="lx_elem3"><span onclick="lx_sf(1925152)"><img src="/img/cmt.svg" />Ҳужжатга таклиф юбориш</span><span onclick="lx_pa(1925152)"><img src="/img/vlm.svg" />Аудиони тинглаш</span><span onclick="lx_cl(1925152)"><img src="/img/lnk.svg" />Ҳужжат элементидан ҳавола олиш</span></div></div><div name="1925152" id="1925152">Мероприятия по снижению высоких уровней облучения должны осуществляться в первоочередном порядке.</div></div><div class="ACT_TEXT lx_elem" onmousemove="lx_mo(event,1925153)"><div class="lx_elem2"><div class="lx_elem3"><span onclick="lx_sf(1925153)"><img src="/img/cmt.svg" />Ҳужжатга таклиф юбориш</span><span onclick="lx_pa(1925153)"><img src="/img/vlm.svg" />Аудиони тинглаш</span><span onclick="lx_cl(1925153)"><img src="/img/lnk.svg" />Ҳужжат элементидан ҳавола олиш</span></div></div><div name="1925153" id="1925153">5.2.3. При выборе участков территорий под строительство жилых домов и зданий социально-бытового назначения предпочтительны участки с гамма-фоном, не превышающим 0,3 мкГр/ч и плотностью потока радона с поверхности грунта не более 80 мБк/(м<sup>2</sup> х с).</div></div><div class="ACT_TEXT lx_elem" onmousemove="lx_mo(event,1925154)"><div class="lx_elem2"><div class="lx_elem3"><span onclick="lx_sf(1925154)"><img src="/img/cmt.svg" />Ҳужжатга таклиф юбориш</span><span onclick="lx_pa(1925154)"><img src="/img/vlm.svg" />Аудиони тинглаш</span><span onclick="lx_cl(1925154)"><img src="/img/lnk.svg" />Ҳужжат элементидан ҳавола олиш</span></div></div><div name="1925154" id="1925154">При отводе для строительства здания участка с плотностью потока радона более 80 мБк/(м<sup>2</sup> х с) в проекте здания должна быть предусмотрена система защиты от радона (монолитная бетонная подушка, улучшенная изоляция перекрытия подвального помещения и др.). Необходимость радонозащитных мероприятий при плотности потока радона с поверхности грунта менее 80 мБк/(м<sup>2</sup> х с) определяется в каждом отдельном случае по согласованию с ЦГСЭН.</div></div><div class="ACT_TEXT lx_elem" onmousemove="lx_mo(event,1925155)"><div class="lx_elem2"><div class="lx_elem3"><span onclick="lx_sf(1925155)"><img src="/img/cmt.svg" />Ҳужжатга таклиф юбориш</span><span onclick="lx_pa(1925155)"><img src="/img/vlm.svg" />Аудиони тинглаш</span><span onclick="lx_cl(1925155)"><img src="/img/lnk.svg" />Ҳужжат элементидан ҳавола олиш</span></div></div><div name="1925155" id="1925155">5.2.4. Производственный радиационный контроль должен осуществляться на всех стадиях строительства, реконструкции, капитального ремонта и эксплуатации жилых домов и зданий социально-бытового назначения. Производственный радиационный контроль проводится для проверки их соответствия действующим нормативам (<a href="/docs/1908086#1919938">п.п. 5.3.2</a> и <a href="/docs/1908086#1919941">5.3.3</a> НРБ-2006).</div></div><div class="ACT_TEXT lx_elem" onmousemove="lx_mo(event,1925156)"><div class="lx_elem2"><div class="lx_elem3"><span onclick="lx_sf(1925156)"><img src="/img/cmt.svg" />Ҳужжатга таклиф юбориш</span><span onclick="lx_pa(1925156)"><img src="/img/vlm.svg" />Аудиони тинглаш</span><span onclick="lx_cl(1925156)"><img src="/img/lnk.svg" />Ҳужжат элементидан ҳавола олиш</span></div></div><div name="1925156" id="1925156">В случаях обнаружения превышения нормативных значений должен проводиться анализ связанных с этим причин и осуществляться необходимые защитные мероприятия, направленные на снижение мощности дозы гамма-излучения и (или) содержания радона в воздухе помещений. До снижения мощности дозы гамма-излучения и объемной активности радона в воздухе помещений строящегося, реконструируемого или капитально ремонтируемого здания до нормативных значений, здание или его часть не подлежат приему в эксплуатацию ЦГСЭН.</div></div><div class="ACT_TEXT lx_elem" onmousemove="lx_mo(event,1925157)"><div class="lx_elem2"><div class="lx_elem3"><span onclick="lx_sf(1925157)"><img src="/img/cmt.svg" />Ҳужжатга таклиф юбориш</span><span onclick="lx_pa(1925157)"><img src="/img/vlm.svg" />Аудиони тинглаш</span><span onclick="lx_cl(1925157)"><img src="/img/lnk.svg" />Ҳужжат элементидан ҳавола олиш</span></div></div><div name="1925157" id="1925157">5.2.5. Производственный радиационный контроль жилых домов и зданий социально-бытового назначения осуществляют организации, аккредитованные в установленном порядке.</div></div><div class="ACT_TEXT lx_elem" onmousemove="lx_mo(event,1925158)"><div class="lx_elem2"><div class="lx_elem3"><span onclick="lx_sf(1925158)"><img src="/img/cmt.svg" />Ҳужжатга таклиф юбориш</span><span onclick="lx_pa(1925158)"><img src="/img/vlm.svg" />Аудиони тинглаш</span><span onclick="lx_cl(1925158)"><img src="/img/lnk.svg" />Ҳужжат элементидан ҳавола олиш</span></div></div><div name="1925158" id="1925158">5.2.6. Государственный надзор за выполнением санитарных норм, правил и гигиенических нормативов при обеспечении радиационной безопасности в жилых домах и зданиях социально-бытового назначения при их строительстве, реконструкции, сдаче в эксплуатацию и при эксплуатации осуществляют ЦГСЭН.</div></div><div class="ACT_TEXT lx_elem" onmousemove="lx_mo(event,1925159)"><div class="lx_elem2"><div class="lx_elem3"><span onclick="lx_sf(1925159)"><img src="/img/cmt.svg" />Ҳужжатга таклиф юбориш</span><span onclick="lx_pa(1925159)"><img src="/img/vlm.svg" />Аудиони тинглаш</span><span onclick="lx_cl(1925159)"><img src="/img/lnk.svg" />Ҳужжат элементидан ҳавола олиш</span></div></div><div name="1925159" id="1925159">5.2.7. На каждый источник централизованного питьевого водоснабжения населения должно оформляться санитарно-эпидемиологическое заключение на соответствие требованиям радиационной безопасности. Контроль за содержанием радионуклидов в питьевой воде осуществляет организация, обеспечивающая водоснабжение населения.</div></div><div class="ACT_TEXT lx_elem" onmousemove="lx_mo(event,1925161)"><div class="lx_elem2"><div class="lx_elem3"><span onclick="lx_sf(1925161)"><img src="/img/cmt.svg" />Ҳужжатга таклиф юбориш</span><span onclick="lx_pa(1925161)"><img src="/img/vlm.svg" />Аудиони тинглаш</span><span onclick="lx_cl(1925161)"><img src="/img/lnk.svg" />Ҳужжат элементидан ҳавола олиш</span></div></div><div name="1925161" id="1925161">Порядок контроля устанавливается по согласованию с ЦГСЭН.</div></div><div class="ACT_TEXT lx_elem" onmousemove="lx_mo(event,1925162)"><div class="lx_elem2"><div class="lx_elem3"><span onclick="lx_sf(1925162)"><img src="/img/cmt.svg" />Ҳужжатга таклиф юбориш</span><span onclick="lx_pa(1925162)"><img src="/img/vlm.svg" />Аудиони тинглаш</span><span onclick="lx_cl(1925162)"><img src="/img/lnk.svg" />Ҳужжат элементидан ҳавола олиш</span></div></div><div name="1925162" id="1925162">5.2.8. Государственный надзор за содержанием радионуклидов в источниках водоснабжения осуществляют ЦГСЭН, которые в необходимых случаях производят оценку доз внутреннего облучения населения территорий и отдельных критических групп населения, подвергающихся наибольшему облучению за счет потребления воды из источников с повышенным содержанием радионуклидов.</div></div><div class="ACT_TEXT lx_elem" onmousemove="lx_mo(event,1925164)"><div class="lx_elem2"><div class="lx_elem3"><span onclick="lx_sf(1925164)"><img src="/img/cmt.svg" />Ҳужжатга таклиф юбориш</span><span onclick="lx_pa(1925164)"><img src="/img/vlm.svg" />Аудиони тинглаш</span><span onclick="lx_cl(1925164)"><img src="/img/lnk.svg" />Ҳужжат элементидан ҳавола олиш</span></div></div><div name="1925164" id="1925164">5.2.9. При содержании радионуклидов в воде действующих источников водоснабжения выше уровней вмешательства (<a href="/docs/1908086#1920743">таблица 8.2</a> НРБ-2006) следует принять меры по изысканию альтернативных источников.</div></div><div class="ACT_TEXT lx_elem" onmousemove="lx_mo(event,1925165)"><div class="lx_elem2"><div class="lx_elem3"><span onclick="lx_sf(1925165)"><img src="/img/cmt.svg" />Ҳужжатга таклиф юбориш</span><span onclick="lx_pa(1925165)"><img src="/img/vlm.svg" />Аудиони тинглаш</span><span onclick="lx_cl(1925165)"><img src="/img/lnk.svg" />Ҳужжат элементидан ҳавола олиш</span></div></div><div name="1925165" id="1925165">5.2.10. Новые источники водоснабжения вводят в эксплуатацию, как правило, при условии, что удельная активность радионуклида в воде не превышает принятых уровней вмешательства (<a href="/docs/1908086#1920743">таблица 8.2</a> НРБ-2006).</div></div><div class="ACT_TEXT lx_elem" onmousemove="lx_mo(event,1925167)"><div class="lx_elem2"><div class="lx_elem3"><span onclick="lx_sf(1925167)"><img src="/img/cmt.svg" />Ҳужжатга таклиф юбориш</span><span onclick="lx_pa(1925167)"><img src="/img/vlm.svg" />Аудиони тинглаш</span><span onclick="lx_cl(1925167)"><img src="/img/lnk.svg" />Ҳужжат элементидан ҳавола олиш</span></div></div><div name="1925167" id="1925167">5.2.11. Значения удельной активности природных радионуклидов в фосфорных удобрениях и мелиорантах должны приводиться поставщиками в сопроводительном документе, копию которого организация-получатель должна передавать в ЦГСЭН.</div></div><div class="ACT_TEXT lx_elem" onmousemove="lx_mo(event,1925168)"><div class="lx_elem2"><div class="lx_elem3"><span onclick="lx_sf(1925168)"><img src="/img/cmt.svg" />Ҳужжатга таклиф юбориш</span><span onclick="lx_pa(1925168)"><img src="/img/vlm.svg" />Аудиони тинглаш</span><span onclick="lx_cl(1925168)"><img src="/img/lnk.svg" />Ҳужжат элементидан ҳавола олиш</span></div></div><div name="1925168" id="1925168">5.2.12. Контроль за содержанием природных радионуклидов в стройматериалах и изделиях осуществляет организация-производитель. Значения удельной активности природных радионуклидов должны указываться в сопроводительной документации (паспорте) на каждую партию материалов и изделий.</div></div><div class="ACT_TEXT lx_elem" onmousemove="lx_mo(event,1925169)"><div class="lx_elem2"><div class="lx_elem3"><span onclick="lx_sf(1925169)"><img src="/img/cmt.svg" />Ҳужжатга таклиф юбориш</span><span onclick="lx_pa(1925169)"><img src="/img/vlm.svg" />Аудиони тинглаш</span><span onclick="lx_cl(1925169)"><img src="/img/lnk.svg" />Ҳужжат элементидан ҳавола олиш</span></div></div><div name="1925169" id="1925169">5.2.13. Возможность и условия использования материалов и изделий, содержащих природные радионуклиды, для которых в <a href="/docs/1908086#1923955">НРБ-2006</a> не установлены нормативы, определяются специальным нормативным документом государственного органа, уполномоченного осуществлять государственный санитарно-эпидемиологический надзор.</div></div><div class="TEXT_HEADER_AFTER_SRC lx_elem" onmousemove="lx_mo(event,1925175)"><div class="lx_elem2"><div class="lx_elem3"><span onclick="lx_sf(1925175)"><img src="/img/cmt.svg" />Ҳужжатга таклиф юбориш</span><span onclick="lx_pa(1925175)"><img src="/img/vlm.svg" />Аудиони тинглаш</span><span onclick="lx_cl(1925175)"><img src="/img/lnk.svg" />Ҳужжат элементидан ҳавола олиш</span></div></div><div name="1925175" id="1925175">6. Радиационная безопасность при радиационных авариях</div></div><div class="ACT_TEXT lx_elem" onmousemove="lx_mo(event,1925176)"><div class="lx_elem2"><div class="lx_elem3"><span onclick="lx_sf(1925176)"><img src="/img/cmt.svg" />Ҳужжатга таклиф юбориш</span><span onclick="lx_pa(1925176)"><img src="/img/vlm.svg" />Аудиони тинглаш</span><span onclick="lx_cl(1925176)"><img src="/img/lnk.svg" />Ҳужжат элементидан ҳавола олиш</span></div></div><div name="1925176" id="1925176">6.1. Система радиационной безопасности персонала и населения при радиационной аварии должна обеспечивать сведение к минимуму негативных последствий аварии, прежде всего предотвращение возникновения детерминированных эффектов и минимизацию вероятности стохастических эффектов. При обнаружении радиационной аварии должны быть предприняты срочные меры по прекращению развития аварии, восстановлению контроля над источником излучения и сведения к минимуму доз облучения и количества облученных лиц из персонала и населения, радиоактивного загрязнения производственных помещений и окружающей среды, экономических и социальных потерь, вызванных аварией.</div></div><div class="ACT_TEXT lx_elem" onmousemove="lx_mo(event,1925178)"><div class="lx_elem2"><div class="lx_elem3"><span onclick="lx_sf(1925178)"><img src="/img/cmt.svg" />Ҳужжатга таклиф юбориш</span><span onclick="lx_pa(1925178)"><img src="/img/vlm.svg" />Аудиони тинглаш</span><span onclick="lx_cl(1925178)"><img src="/img/lnk.svg" />Ҳужжат элементидан ҳавола олиш</span></div></div><div name="1925178" id="1925178">6.2. В проектной документации каждого радиационного объекта должны быть определены возможные аварии, возникающие вследствие неисправности оборудования, неправильных действий персонала, стихийных бедствий или иных причин, которые могут привести к потере контроля над источниками излучения и облучению людей и (или) радиоактивному загрязнению окружающей среды. Перечень возможных аварий для конкретных условий работы с источниками излучения согласовывается с ЦГСЭН.</div></div><div class="ACT_TEXT lx_elem" onmousemove="lx_mo(event,1925179)"><div class="lx_elem2"><div class="lx_elem3"><span onclick="lx_sf(1925179)"><img src="/img/cmt.svg" />Ҳужжатга таклиф юбориш</span><span onclick="lx_pa(1925179)"><img src="/img/vlm.svg" />Аудиони тинглаш</span><span onclick="lx_cl(1925179)"><img src="/img/lnk.svg" />Ҳужжат элементидан ҳавола олиш</span></div></div><div name="1925179" id="1925179">6.3. В проектной документации радиационных объектов I-II категорий должен быть раздел «Инженерно-технические мероприятия гражданской обороны. Мероприятия по предупреждению чрезвычайных ситуаций», включающий номенклатуру, объем и места хранения средств индивидуальной защиты, медикаментов, аварийного запаса радиометрических и дозиметрических приборов, средств дезактивации и санитарной обработки, инструментов и инвентаря, необходимых для проведения неотложных работ по ликвидации последствий радиационной аварии.</div></div><div class="ACT_TEXT lx_elem" onmousemove="lx_mo(event,1925180)"><div class="lx_elem2"><div class="lx_elem3"><span onclick="lx_sf(1925180)"><img src="/img/cmt.svg" />Ҳужжатга таклиф юбориш</span><span onclick="lx_pa(1925180)"><img src="/img/vlm.svg" />Аудиони тинглаш</span><span onclick="lx_cl(1925180)"><img src="/img/lnk.svg" />Ҳужжат элементидан ҳавола олиш</span></div></div><div name="1925180" id="1925180">6.4. Администрация радиационных объектов I-II категорий обязана разработать, утвердить и согласовать с органами местного самоуправления, органами исполнительной власти, осуществляющими государственный надзор и контроль в области обеспечения радиационной безопасности, план мероприятий по защите персонала и населения в случае радиационной аварии. План должен содержать следующие основные разделы:</div></div><div class="ACT_TEXT lx_elem" onmousemove="lx_mo(event,1925181)"><div class="lx_elem2"><div class="lx_elem3"><span onclick="lx_sf(1925181)"><img src="/img/cmt.svg" />Ҳужжатга таклиф юбориш</span><span onclick="lx_pa(1925181)"><img src="/img/vlm.svg" />Аудиони тинглаш</span><span onclick="lx_cl(1925181)"><img src="/img/lnk.svg" />Ҳужжат элементидан ҳавола олиш</span></div></div><div name="1925181" id="1925181">прогноз возможных аварий на радиационном объекте с учетом вероятных причин, типов и сценариев развития аварии, а также прогнозируемой радиационной обстановки при авариях разного типа;</div></div><div class="ACT_TEXT lx_elem" onmousemove="lx_mo(event,1925183)"><div class="lx_elem2"><div class="lx_elem3"><span onclick="lx_sf(1925183)"><img src="/img/cmt.svg" />Ҳужжатга таклиф юбориш</span><span onclick="lx_pa(1925183)"><img src="/img/vlm.svg" />Аудиони тинглаш</span><span onclick="lx_cl(1925183)"><img src="/img/lnk.svg" />Ҳужжат элементидан ҳавола олиш</span></div></div><div name="1925183" id="1925183">критерии для принятия решений о проведении защитных мероприятий;</div></div><div class="ACT_TEXT lx_elem" onmousemove="lx_mo(event,1925184)"><div class="lx_elem2"><div class="lx_elem3"><span onclick="lx_sf(1925184)"><img src="/img/cmt.svg" />Ҳужжатга таклиф юбориш</span><span onclick="lx_pa(1925184)"><img src="/img/vlm.svg" />Аудиони тинглаш</span><span onclick="lx_cl(1925184)"><img src="/img/lnk.svg" />Ҳужжат элементидан ҳавола олиш</span></div></div><div name="1925184" id="1925184">перечень организаций, с которыми осуществляется взаимодействие при ликвидации аварии и ее последствий;</div></div><div class="ACT_TEXT lx_elem" onmousemove="lx_mo(event,1925185)"><div class="lx_elem2"><div class="lx_elem3"><span onclick="lx_sf(1925185)"><img src="/img/cmt.svg" />Ҳужжатга таклиф юбориш</span><span onclick="lx_pa(1925185)"><img src="/img/vlm.svg" />Аудиони тинглаш</span><span onclick="lx_cl(1925185)"><img src="/img/lnk.svg" />Ҳужжат элементидан ҳавола олиш</span></div></div><div name="1925185" id="1925185">организация аварийного радиационного контроля;</div></div><div class="ACT_TEXT lx_elem" onmousemove="lx_mo(event,1925187)"><div class="lx_elem2"><div class="lx_elem3"><span onclick="lx_sf(1925187)"><img src="/img/cmt.svg" />Ҳужжатга таклиф юбориш</span><span onclick="lx_pa(1925187)"><img src="/img/vlm.svg" />Аудиони тинглаш</span><span onclick="lx_cl(1925187)"><img src="/img/lnk.svg" />Ҳужжат элементидан ҳавола олиш</span></div></div><div name="1925187" id="1925187">оценка характера и размеров радиационной аварии;</div></div><div class="ACT_TEXT lx_elem" onmousemove="lx_mo(event,1925188)"><div class="lx_elem2"><div class="lx_elem3"><span onclick="lx_sf(1925188)"><img src="/img/cmt.svg" />Ҳужжатга таклиф юбориш</span><span onclick="lx_pa(1925188)"><img src="/img/vlm.svg" />Аудиони тинглаш</span><span onclick="lx_cl(1925188)"><img src="/img/lnk.svg" />Ҳужжат элементидан ҳавола олиш</span></div></div><div name="1925188" id="1925188">порядок введения аварийного плана в действие;</div></div><div class="ACT_TEXT lx_elem" onmousemove="lx_mo(event,1925190)"><div class="lx_elem2"><div class="lx_elem3"><span onclick="lx_sf(1925190)"><img src="/img/cmt.svg" />Ҳужжатга таклиф юбориш</span><span onclick="lx_pa(1925190)"><img src="/img/vlm.svg" />Аудиони тинглаш</span><span onclick="lx_cl(1925190)"><img src="/img/lnk.svg" />Ҳужжат элементидан ҳавола олиш</span></div></div><div name="1925190" id="1925190">порядок оповещения и информирования;</div></div><div class="ACT_TEXT lx_elem" onmousemove="lx_mo(event,1925191)"><div class="lx_elem2"><div class="lx_elem3"><span onclick="lx_sf(1925191)"><img src="/img/cmt.svg" />Ҳужжатга таклиф юбориш</span><span onclick="lx_pa(1925191)"><img src="/img/vlm.svg" />Аудиони тинглаш</span><span onclick="lx_cl(1925191)"><img src="/img/lnk.svg" />Ҳужжат элементидан ҳавола олиш</span></div></div><div name="1925191" id="1925191">поведение персонала при аварии;</div></div><div class="ACT_TEXT lx_elem" onmousemove="lx_mo(event,1925192)"><div class="lx_elem2"><div class="lx_elem3"><span onclick="lx_sf(1925192)"><img src="/img/cmt.svg" />Ҳужжатга таклиф юбориш</span><span onclick="lx_pa(1925192)"><img src="/img/vlm.svg" />Аудиони тинглаш</span><span onclick="lx_cl(1925192)"><img src="/img/lnk.svg" />Ҳужжат элементидан ҳавола олиш</span></div></div><div name="1925192" id="1925192">обязанности должностных лиц при проведении аварийных работ;</div></div><div class="ACT_TEXT lx_elem" onmousemove="lx_mo(event,1925193)"><div class="lx_elem2"><div class="lx_elem3"><span onclick="lx_sf(1925193)"><img src="/img/cmt.svg" />Ҳужжатга таклиф юбориш</span><span onclick="lx_pa(1925193)"><img src="/img/vlm.svg" />Аудиони тинглаш</span><span onclick="lx_cl(1925193)"><img src="/img/lnk.svg" />Ҳужжат элементидан ҳавола олиш</span></div></div><div name="1925193" id="1925193">меры защиты персонала при проведении аварийных работ;</div></div><div class="ACT_TEXT lx_elem" onmousemove="lx_mo(event,1925194)"><div class="lx_elem2"><div class="lx_elem3"><span onclick="lx_sf(1925194)"><img src="/img/cmt.svg" />Ҳужжатга таклиф юбориш</span><span onclick="lx_pa(1925194)"><img src="/img/vlm.svg" />Аудиони тинглаш</span><span onclick="lx_cl(1925194)"><img src="/img/lnk.svg" />Ҳужжат элементидан ҳавола олиш</span></div></div><div name="1925194" id="1925194">противопожарные мероприятия;</div></div><div class="ACT_TEXT lx_elem" onmousemove="lx_mo(event,1925195)"><div class="lx_elem2"><div class="lx_elem3"><span onclick="lx_sf(1925195)"><img src="/img/cmt.svg" />Ҳужжатга таклиф юбориш</span><span onclick="lx_pa(1925195)"><img src="/img/vlm.svg" />Аудиони тинглаш</span><span onclick="lx_cl(1925195)"><img src="/img/lnk.svg" />Ҳужжат элементидан ҳавола олиш</span></div></div><div name="1925195" id="1925195">мероприятия по защите населения и окружающей среды;</div></div><div class="ACT_TEXT lx_elem" onmousemove="lx_mo(event,1925196)"><div class="lx_elem2"><div class="lx_elem3"><span onclick="lx_sf(1925196)"><img src="/img/cmt.svg" />Ҳужжатга таклиф юбориш</span><span onclick="lx_pa(1925196)"><img src="/img/vlm.svg" />Аудиони тинглаш</span><span onclick="lx_cl(1925196)"><img src="/img/lnk.svg" />Ҳужжат элементидан ҳавола олиш</span></div></div><div name="1925196" id="1925196">оказание медицинской помощи пострадавшим;</div></div><div class="ACT_TEXT lx_elem" onmousemove="lx_mo(event,1925197)"><div class="lx_elem2"><div class="lx_elem3"><span onclick="lx_sf(1925197)"><img src="/img/cmt.svg" />Ҳужжатга таклиф юбориш</span><span onclick="lx_pa(1925197)"><img src="/img/vlm.svg" />Аудиони тинглаш</span><span onclick="lx_cl(1925197)"><img src="/img/lnk.svg" />Ҳужжат элементидан ҳавола олиш</span></div></div><div name="1925197" id="1925197">меры по локализации и ликвидации очагов (участков) радиоактивного загрязнения;</div></div><div class="ACT_TEXT lx_elem" onmousemove="lx_mo(event,1925198)"><div class="lx_elem2"><div class="lx_elem3"><span onclick="lx_sf(1925198)"><img src="/img/cmt.svg" />Ҳужжатга таклиф юбориш</span><span onclick="lx_pa(1925198)"><img src="/img/vlm.svg" />Аудиони тинглаш</span><span onclick="lx_cl(1925198)"><img src="/img/lnk.svg" />Ҳужжат элементидан ҳавола олиш</span></div></div><div name="1925198" id="1925198">подготовка и тренировка персонала к действиям в случае аварии.</div></div><div class="ACT_TEXT lx_elem" onmousemove="lx_mo(event,1925199)"><div class="lx_elem2"><div class="lx_elem3"><span onclick="lx_sf(1925199)"><img src="/img/cmt.svg" />Ҳужжатга таклиф юбориш</span><span onclick="lx_pa(1925199)"><img src="/img/vlm.svg" />Аудиони тинглаш</span><span onclick="lx_cl(1925199)"><img src="/img/lnk.svg" />Ҳужжат элементидан ҳавола олиш</span></div></div><div name="1925199" id="1925199">6.5. На всех радиационных объектах должна быть «Инструкция по действиям персонала в аварийных ситуациях».</div></div><div class="ACT_TEXT lx_elem" onmousemove="lx_mo(event,1925200)"><div class="lx_elem2"><div class="lx_elem3"><span onclick="lx_sf(1925200)"><img src="/img/cmt.svg" />Ҳужжатга таклиф юбориш</span><span onclick="lx_pa(1925200)"><img src="/img/vlm.svg" />Аудиони тинглаш</span><span onclick="lx_cl(1925200)"><img src="/img/lnk.svg" />Ҳужжат элементидан ҳавола олиш</span></div></div><div name="1925200" id="1925200">6.6. На производственных участках, в санпропускнике и здравпункте радиационного объекта должны находиться аптечки с набором необходимых средств первой помощи пострадавшим при аварии, а на объектах, где проводится работа с радиоактивными веществами в открытом виде, также и восполняемый запас средств санитарной обработки лиц, подвергшихся загрязнению.</div></div><div class="ACT_TEXT lx_elem" onmousemove="lx_mo(event,1925201)"><div class="lx_elem2"><div class="lx_elem3"><span onclick="lx_sf(1925201)"><img src="/img/cmt.svg" />Ҳужжатга таклиф юбориш</span><span onclick="lx_pa(1925201)"><img src="/img/vlm.svg" />Аудиони тинглаш</span><span onclick="lx_cl(1925201)"><img src="/img/lnk.svg" />Ҳужжат элементидан ҳавола олиш</span></div></div><div name="1925201" id="1925201">6.7. В каждой организации, в которой возможна радиационная авария, должна быть предусмотрена система экстренного оповещения о возникшей аварии, по сигналам которой персонал должен действовать в соответствии с планом мероприятий по ликвидации радиационной аварии и должностными инструкциями.</div></div><div class="ACT_TEXT lx_elem" onmousemove="lx_mo(event,1925202)"><div class="lx_elem2"><div class="lx_elem3"><span onclick="lx_sf(1925202)"><img src="/img/cmt.svg" />Ҳужжатга таклиф юбориш</span><span onclick="lx_pa(1925202)"><img src="/img/vlm.svg" />Аудиони тинглаш</span><span onclick="lx_cl(1925202)"><img src="/img/lnk.svg" />Ҳужжат элементидан ҳавола олиш</span></div></div><div name="1925202" id="1925202">6.8. Во всех случаях установления факта радиационной аварии администрация организации обязана проинформировать органы государственной власти, осуществляющие государственный надзор.</div></div><div class="ACT_TEXT lx_elem" onmousemove="lx_mo(event,1925203)"><div class="lx_elem2"><div class="lx_elem3"><span onclick="lx_sf(1925203)"><img src="/img/cmt.svg" />Ҳужжатга таклиф юбориш</span><span onclick="lx_pa(1925203)"><img src="/img/vlm.svg" />Аудиони тинглаш</span><span onclick="lx_cl(1925203)"><img src="/img/lnk.svg" />Ҳужжат элементидан ҳавола олиш</span></div></div><div name="1925203" id="1925203">6.9. Местные органы исполнительной власти в соответствии с «Планом мероприятий по защите населения в случае ЧС техногенного характера» обеспечивают быстрое поступление данных о радиационной аварии специалистам в области радиационной защиты и их участие в информации населения о радиационной аварии, рекомендуемых способах и средствах защиты.</div></div><div class="ACT_TEXT lx_elem" onmousemove="lx_mo(event,1925204)"><div class="lx_elem2"><div class="lx_elem3"><span onclick="lx_sf(1925204)"><img src="/img/cmt.svg" />Ҳужжатга таклиф юбориш</span><span onclick="lx_pa(1925204)"><img src="/img/vlm.svg" />Аудиони тинглаш</span><span onclick="lx_cl(1925204)"><img src="/img/lnk.svg" />Ҳужжат элементидан ҳавола олиш</span></div></div><div name="1925204" id="1925204">6.10. К проведению работ по ликвидации аварий и ее последствий должны привлекаться, прежде всего, члены специализированных аварийных бригад. При необходимости для выполнения этих работ могут быть привлечены лица, предпочтительно из персонала старше 30 лет, не имеющие медицинских противопоказаний, при их добровольном письменном согласии после информирования о возможных дозах облучения и риске для здоровья. Женщины могут быть допущены к участию в аварийных работах лишь в исключительных случаях.</div></div><div class="ACT_TEXT lx_elem" onmousemove="lx_mo(event,1925205)"><div class="lx_elem2"><div class="lx_elem3"><span onclick="lx_sf(1925205)"><img src="/img/cmt.svg" />Ҳужжатга таклиф юбориш</span><span onclick="lx_pa(1925205)"><img src="/img/vlm.svg" />Аудиони тинглаш</span><span onclick="lx_cl(1925205)"><img src="/img/lnk.svg" />Ҳужжат элементидан ҳавола олиш</span></div></div><div name="1925205" id="1925205">6.11. Перед началом работ по ликвидации последствий аварии должен проводиться инструктаж персонала по вопросам радиационной безопасности с разъяснением характера и последовательности работ. При необходимости следует проводить предварительную отработку предстоящих операций.</div></div><div class="ACT_TEXT lx_elem" onmousemove="lx_mo(event,1925206)"><div class="lx_elem2"><div class="lx_elem3"><span onclick="lx_sf(1925206)"><img src="/img/cmt.svg" />Ҳужжатга таклиф юбориш</span><span onclick="lx_pa(1925206)"><img src="/img/vlm.svg" />Аудиони тинглаш</span><span onclick="lx_cl(1925206)"><img src="/img/lnk.svg" />Ҳужжат элементидан ҳавола олиш</span></div></div><div name="1925206" id="1925206">6.12. Работы по ликвидации последствий аварии и выполнение других мероприятий, связанных с возможным переоблучением персонала, должны проводиться под радиационным контролем по специальному разрешению (допуску), в котором определяются предельная продолжительность работы, дополнительные средства защиты, фамилии участников и лица, ответственного за выполнение работ.</div></div><div class="ACT_TEXT lx_elem" onmousemove="lx_mo(event,1925207)"><div class="lx_elem2"><div class="lx_elem3"><span onclick="lx_sf(1925207)"><img src="/img/cmt.svg" />Ҳужжатга таклиф юбориш</span><span onclick="lx_pa(1925207)"><img src="/img/vlm.svg" />Аудиони тинглаш</span><span onclick="lx_cl(1925207)"><img src="/img/lnk.svg" />Ҳужжат элементидан ҳавола олиш</span></div></div><div name="1925207" id="1925207">6.13. Регламентация планируемого повышенного облучения персонала при ликвидации аварии определяется <a href="/docs/1908086#1919874">разделом 3.2</a> НРБ-2006. Планируемое повышенное облучение допускается для персонала радиационного объекта, участвующего в проведении аварийно-восстановительных работ, и специалистов аварийно-спасательных служб и формирований.</div></div><div class="ACT_TEXT lx_elem" onmousemove="lx_mo(event,1925208)"><div class="lx_elem2"><div class="lx_elem3"><span onclick="lx_sf(1925208)"><img src="/img/cmt.svg" />Ҳужжатга таклиф юбориш</span><span onclick="lx_pa(1925208)"><img src="/img/vlm.svg" />Аудиони тинглаш</span><span onclick="lx_cl(1925208)"><img src="/img/lnk.svg" />Ҳужжат элементидан ҳавола олиш</span></div></div><div name="1925208" id="1925208">6.14. Порядок радиационного контроля определяется с учетом особенностей и условий выполняемых работ и согласовывается с органами, осуществляющими государственный надзор в области обеспечения радиационной безопасности.</div></div><div class="ACT_TEXT lx_elem" onmousemove="lx_mo(event,1925212)"><div class="lx_elem2"><div class="lx_elem3"><span onclick="lx_sf(1925212)"><img src="/img/cmt.svg" />Ҳужжатга таклиф юбориш</span><span onclick="lx_pa(1925212)"><img src="/img/vlm.svg" />Аудиони тинглаш</span><span onclick="lx_cl(1925212)"><img src="/img/lnk.svg" />Ҳужжат элементидан ҳавола олиш</span></div></div><div name="1925212" id="1925212">6.15. Людей с травматическими повреждениями, химическими отравлениями или подвергшихся облучению в дозе выше 0,2 Зв, необходимо направить на медицинское обследование и лечение. При радиоактивном загрязнении должна проводиться санитарная обработка людей и дезактивация загрязненной одежды.</div></div><div class="ACT_TEXT lx_elem" onmousemove="lx_mo(event,1925213)"><div class="lx_elem2"><div class="lx_elem3"><span onclick="lx_sf(1925213)"><img src="/img/cmt.svg" />Ҳужжатга таклиф юбориш</span><span onclick="lx_pa(1925213)"><img src="/img/vlm.svg" />Аудиони тинглаш</span><span onclick="lx_cl(1925213)"><img src="/img/lnk.svg" />Ҳужжат элементидан ҳавола олиш</span></div></div><div name="1925213" id="1925213">6.16. При радиационной аварии с выбросом радионуклидов в окружающую среду, повлекшим за собой радиоактивное загрязнение обширных территорий, защита населения осуществляется в соответствии с критериями для принятия решений, приведенными в <a href="/docs/1908086#1920156">разделе 6</a> НРБ-2006.</div></div><div class="ACT_TEXT lx_elem" onmousemove="lx_mo(event,1925215)"><div class="lx_elem2"><div class="lx_elem3"><span onclick="lx_sf(1925215)"><img src="/img/cmt.svg" />Ҳужжатга таклиф юбориш</span><span onclick="lx_pa(1925215)"><img src="/img/vlm.svg" />Аудиони тинглаш</span><span onclick="lx_cl(1925215)"><img src="/img/lnk.svg" />Ҳужжат элементидан ҳавола олиш</span></div></div><div name="1925215" id="1925215">6.17. Ликвидация последствий аварии и расследование ее причин, при необходимости, проводится на государственном, региональном, территориальном и объектовом уровнях в порядке, установленном законодательством Республики Узбекистан.</div></div><div class="ACT_TEXT lx_elem" onmousemove="lx_mo(event,1925216)"><div class="lx_elem2"><div class="lx_elem3"><span onclick="lx_sf(1925216)"><img src="/img/cmt.svg" />Ҳужжатга таклиф юбориш</span><span onclick="lx_pa(1925216)"><img src="/img/vlm.svg" />Аудиони тинглаш</span><span onclick="lx_cl(1925216)"><img src="/img/lnk.svg" />Ҳужжат элементидан ҳавола олиш</span></div></div><div name="1925216" id="1925216">6.18. Организации государственной санитарно-эпидемиологической службы должны принимать участие в выполнении следующих задач при расследовании и ликвидации последствий радиационной аварии:</div></div><div class="ACT_TEXT lx_elem" onmousemove="lx_mo(event,1925217)"><div class="lx_elem2"><div class="lx_elem3"><span onclick="lx_sf(1925217)"><img src="/img/cmt.svg" />Ҳужжатга таклиф юбориш</span><span onclick="lx_pa(1925217)"><img src="/img/vlm.svg" />Аудиони тинглаш</span><span onclick="lx_cl(1925217)"><img src="/img/lnk.svg" />Ҳужжат элементидан ҳавола олиш</span></div></div><div name="1925217" id="1925217">проведение предварительного радиационного контроля;</div></div><div class="ACT_TEXT lx_elem" onmousemove="lx_mo(event,1925218)"><div class="lx_elem2"><div class="lx_elem3"><span onclick="lx_sf(1925218)"><img src="/img/cmt.svg" />Ҳужжатга таклиф юбориш</span><span onclick="lx_pa(1925218)"><img src="/img/vlm.svg" />Аудиони тинглаш</span><span onclick="lx_cl(1925218)"><img src="/img/lnk.svg" />Ҳужжат элементидан ҳавола олиш</span></div></div><div name="1925218" id="1925218">выявление лиц, которые могли подвергнуться аварийному облучению;</div></div><div class="ACT_TEXT lx_elem" onmousemove="lx_mo(event,1925219)"><div class="lx_elem2"><div class="lx_elem3"><span onclick="lx_sf(1925219)"><img src="/img/cmt.svg" />Ҳужжатга таклиф юбориш</span><span onclick="lx_pa(1925219)"><img src="/img/vlm.svg" />Аудиони тинглаш</span><span onclick="lx_cl(1925219)"><img src="/img/lnk.svg" />Ҳужжат элементидан ҳавола олиш</span></div></div><div name="1925219" id="1925219">контроль за обеспечением радиационной безопасности лиц, принимающих участие в расследовании и ликвидации аварии;</div></div><div class="ACT_TEXT lx_elem" onmousemove="lx_mo(event,1925220)"><div class="lx_elem2"><div class="lx_elem3"><span onclick="lx_sf(1925220)"><img src="/img/cmt.svg" />Ҳужжатга таклиф юбориш</span><span onclick="lx_pa(1925220)"><img src="/img/vlm.svg" />Аудиони тинглаш</span><span onclick="lx_cl(1925220)"><img src="/img/lnk.svg" />Ҳужжат элементидан ҳавола олиш</span></div></div><div name="1925220" id="1925220">контроль за уровнями радиоактивного загрязнения производственной и окружающей среды, источников водоснабжения, продуктов питания;</div></div><div class="ACT_TEXT lx_elem" onmousemove="lx_mo(event,1925221)"><div class="lx_elem2"><div class="lx_elem3"><span onclick="lx_sf(1925221)"><img src="/img/cmt.svg" />Ҳужжатга таклиф юбориш</span><span onclick="lx_pa(1925221)"><img src="/img/vlm.svg" />Аудиони тинглаш</span><span onclick="lx_cl(1925221)"><img src="/img/lnk.svg" />Ҳужжат элементидан ҳавола олиш</span></div></div><div name="1925221" id="1925221">гигиеническая оценка радиационной обстановки и индивидуальных доз облучения персонала и отдельных групп населения, а также лиц, принимавших участие в аварийных работах;</div></div><div class="ACT_TEXT lx_elem" onmousemove="lx_mo(event,1925222)"><div class="lx_elem2"><div class="lx_elem3"><span onclick="lx_sf(1925222)"><img src="/img/cmt.svg" />Ҳужжатга таклиф юбориш</span><span onclick="lx_pa(1925222)"><img src="/img/vlm.svg" />Аудиони тинглаш</span><span onclick="lx_cl(1925222)"><img src="/img/lnk.svg" />Ҳужжат элементидан ҳавола олиш</span></div></div><div name="1925222" id="1925222">оценка эффективности дезактивации и санитарной обработки;</div></div><div class="ACT_TEXT lx_elem" onmousemove="lx_mo(event,1925223)"><div class="lx_elem2"><div class="lx_elem3"><span onclick="lx_sf(1925223)"><img src="/img/cmt.svg" />Ҳужжатга таклиф юбориш</span><span onclick="lx_pa(1925223)"><img src="/img/vlm.svg" />Аудиони тинглаш</span><span onclick="lx_cl(1925223)"><img src="/img/lnk.svg" />Ҳужжат элементидан ҳавола олиш</span></div></div><div name="1925223" id="1925223">разработка предложений для органов исполнительной власти Республики Узбекистан и для организаций по защите персонала и населения с прогнозом радиационной обстановки;</div></div><div class="ACT_TEXT lx_elem" onmousemove="lx_mo(event,1925224)"><div class="lx_elem2"><div class="lx_elem3"><span onclick="lx_sf(1925224)"><img src="/img/cmt.svg" />Ҳужжатга таклиф юбориш</span><span onclick="lx_pa(1925224)"><img src="/img/vlm.svg" />Аудиони тинглаш</span><span onclick="lx_cl(1925224)"><img src="/img/lnk.svg" />Ҳужжат элементидан ҳавола олиш</span></div></div><div name="1925224" id="1925224">контроль за сбором, удалением и захоронением радиоактивных отходов.</div></div><div class="ACT_TEXT lx_elem" onmousemove="lx_mo(event,1925225)"><div class="lx_elem2"><div class="lx_elem3"><span onclick="lx_sf(1925225)"><img src="/img/cmt.svg" />Ҳужжатга таклиф юбориш</span><span onclick="lx_pa(1925225)"><img src="/img/vlm.svg" />Аудиони тинглаш</span><span onclick="lx_cl(1925225)"><img src="/img/lnk.svg" />Ҳужжат элементидан ҳавола олиш</span></div></div><div name="1925225" id="1925225">6.19. Особые режимы проживания населения в зонах радиоактивного загрязнения, контроль за радиационной обстановкой на соответствующей территории, учет доз облучения населения устанавливаются местными органами исполнительной власти по рекомендациям ЦГСЭН.</div></div><div class="ACT_TEXT lx_elem" onmousemove="lx_mo(event,1925226)"><div class="lx_elem2"><div class="lx_elem3"><span onclick="lx_sf(1925226)"><img src="/img/cmt.svg" />Ҳужжатга таклиф юбориш</span><span onclick="lx_pa(1925226)"><img src="/img/vlm.svg" />Аудиони тинглаш</span><span onclick="lx_cl(1925226)"><img src="/img/lnk.svg" />Ҳужжат элементидан ҳавола олиш</span></div></div><div name="1925226" id="1925226">6.20. На территориях, подвергшихся радиоактивному загрязнению в результате радиационной аварии, должны осуществляться:</div></div><div class="ACT_TEXT lx_elem" onmousemove="lx_mo(event,1925227)"><div class="lx_elem2"><div class="lx_elem3"><span onclick="lx_sf(1925227)"><img src="/img/cmt.svg" />Ҳужжатга таклиф юбориш</span><span onclick="lx_pa(1925227)"><img src="/img/vlm.svg" />Аудиони тинглаш</span><span onclick="lx_cl(1925227)"><img src="/img/lnk.svg" />Ҳужжат элементидан ҳавола олиш</span></div></div><div name="1925227" id="1925227">радиационный контроль с оценкой доз облучения населения за счет радиоактивного загрязнения территории, если эта доза может превысить 0,2 мЗв/год;</div></div><div class="ACT_TEXT lx_elem" onmousemove="lx_mo(event,1925228)"><div class="lx_elem2"><div class="lx_elem3"><span onclick="lx_sf(1925228)"><img src="/img/cmt.svg" />Ҳужжатга таклиф юбориш</span><span onclick="lx_pa(1925228)"><img src="/img/vlm.svg" />Аудиони тинглаш</span><span onclick="lx_cl(1925228)"><img src="/img/lnk.svg" />Ҳужжат элементидан ҳавола олиш</span></div></div><div name="1925228" id="1925228">радиационный контроль за другими основными видами загрязнения населения;</div></div><div class="ACT_TEXT lx_elem" onmousemove="lx_mo(event,1925229)"><div class="lx_elem2"><div class="lx_elem3"><span onclick="lx_sf(1925229)"><img src="/img/cmt.svg" />Ҳужжатга таклиф юбориш</span><span onclick="lx_pa(1925229)"><img src="/img/vlm.svg" />Аудиони тинглаш</span><span onclick="lx_cl(1925229)"><img src="/img/lnk.svg" />Ҳужжат элементидан ҳавола олиш</span></div></div><div name="1925229" id="1925229">оптимизированное снижение доз по всем основным видам облучения, если доза облучения населения за счет радиоактивного облучения территории превышает 1,0 мЗв/год;</div></div><div class="ACT_TEXT lx_elem" onmousemove="lx_mo(event,1925230)"><div class="lx_elem2"><div class="lx_elem3"><span onclick="lx_sf(1925230)"><img src="/img/cmt.svg" />Ҳужжатга таклиф юбориш</span><span onclick="lx_pa(1925230)"><img src="/img/vlm.svg" />Аудиони тинглаш</span><span onclick="lx_cl(1925230)"><img src="/img/lnk.svg" />Ҳужжат элементидан ҳавола олиш</span></div></div><div name="1925230" id="1925230">оптимизированные защитные мероприятия, не нарушающие нормальную жизнедеятельность населения, хозяйственное и социальное функционирование территории, если доза облучения за счет радиоактивного загрязнения территории превышает 0,2 мЗв/год, но не более 1,0мЗв/год.</div></div><div class="ACT_TEXT lx_elem" onmousemove="lx_mo(event,1925231)"><div class="lx_elem2"><div class="lx_elem3"><span onclick="lx_sf(1925231)"><img src="/img/cmt.svg" />Ҳужжатга таклиф юбориш</span><span onclick="lx_pa(1925231)"><img src="/img/vlm.svg" />Аудиони тинглаш</span><span onclick="lx_cl(1925231)"><img src="/img/lnk.svg" />Ҳужжат элементидан ҳавола олиш</span></div></div><div name="1925231" id="1925231">6.21. Администрация организации, осуществляющей хозяйственную деятельность на территории, подвергшейся радиоактивному загрязнению, обеспечивает условия работы, при которых облучение работников за счет радиоактивного загрязнения не превысит 5 мЗв/год. В организациях, где облучение работников за счет аварийного загрязнения превышает 1 мЗв/год, создается служба радиационной безопасности, которая осуществляет радиационный контроль и проводит мероприятия по снижению облучения работников в соответствии с принципом оптимизации. Порядок радиационного контроля согласовывается с ЦГСЭН.</div></div><div class="TEXT_HEADER_AFTER_SRC lx_elem" onmousemove="lx_mo(event,1925232)"><div class="lx_elem2"><div class="lx_elem3"><span onclick="lx_sf(1925232)"><img src="/img/cmt.svg" />Ҳужжатга таклиф юбориш</span><span onclick="lx_pa(1925232)"><img src="/img/vlm.svg" />Аудиони тинглаш</span><span onclick="lx_cl(1925232)"><img src="/img/lnk.svg" />Ҳужжат элементидан ҳавола олиш</span></div></div><div name="1925232" id="1925232">7. Медицинское обеспечение радиационной безопасности персонала и населения </div></div><div class="ACT_TEXT lx_elem" onmousemove="lx_mo(event,1925233)"><div class="lx_elem2"><div class="lx_elem3"><span onclick="lx_sf(1925233)"><img src="/img/cmt.svg" />Ҳужжатга таклиф юбориш</span><span onclick="lx_pa(1925233)"><img src="/img/vlm.svg" />Аудиони тинглаш</span><span onclick="lx_cl(1925233)"><img src="/img/lnk.svg" />Ҳужжат элементидан ҳавола олиш</span></div></div><div name="1925233" id="1925233">7.1. Медицинское обеспечение радиационной безопасности персонала и населения, подвергающихся облучению, включает медицинские обследования (медосмотр), профилактику заболеваний, а в случае необходимости, лечение и реабилитацию лиц, у которых выявлены отклонения в состоянии здоровья.</div></div><div class="ACT_TEXT lx_elem" onmousemove="lx_mo(event,1925235)"><div class="lx_elem2"><div class="lx_elem3"><span onclick="lx_sf(1925235)"><img src="/img/cmt.svg" />Ҳужжатга таклиф юбориш</span><span onclick="lx_pa(1925235)"><img src="/img/vlm.svg" />Аудиони тинглаш</span><span onclick="lx_cl(1925235)"><img src="/img/lnk.svg" />Ҳужжат элементидан ҳавола олиш</span></div></div><div name="1925235" id="1925235">7.2. Все работающие с источниками ионизирующего излучения (персонал категории А) должны проходить предварительные (при поступлении на работу) и периодические профилактические медицинские осмотры в порядке, определяемом МЗ РУз.</div></div><div class="ACT_TEXT lx_elem" onmousemove="lx_mo(event,1925236)"><div class="lx_elem2"><div class="lx_elem3"><span onclick="lx_sf(1925236)"><img src="/img/cmt.svg" />Ҳужжатга таклиф юбориш</span><span onclick="lx_pa(1925236)"><img src="/img/vlm.svg" />Аудиони тинглаш</span><span onclick="lx_cl(1925236)"><img src="/img/lnk.svg" />Ҳужжат элементидан ҳавола олиш</span></div></div><div name="1925236" id="1925236">7.3. Работники, отказывающиеся от прохождения профилактических медицинских осмотров, не допускаются к работе.</div></div><div class="ACT_TEXT lx_elem" onmousemove="lx_mo(event,1925237)"><div class="lx_elem2"><div class="lx_elem3"><span onclick="lx_sf(1925237)"><img src="/img/cmt.svg" />Ҳужжатга таклиф юбориш</span><span onclick="lx_pa(1925237)"><img src="/img/vlm.svg" />Аудиони тинглаш</span><span onclick="lx_cl(1925237)"><img src="/img/lnk.svg" />Ҳужжат элементидан ҳавола олиш</span></div></div><div name="1925237" id="1925237">7.4. В случаях, когда персонал может подвергаться воздействию других вредных факторов (физических, химических, биологических и др.), меры медицинской защиты должны проводиться с учетом сочетанного воздействия всех вредных производственных факторов.</div></div><div class="ACT_TEXT lx_elem" onmousemove="lx_mo(event,1925238)"><div class="lx_elem2"><div class="lx_elem3"><span onclick="lx_sf(1925238)"><img src="/img/cmt.svg" />Ҳужжатга таклиф юбориш</span><span onclick="lx_pa(1925238)"><img src="/img/vlm.svg" />Аудиони тинглаш</span><span onclick="lx_cl(1925238)"><img src="/img/lnk.svg" />Ҳужжат элементидан ҳавола олиш</span></div></div><div name="1925238" id="1925238">7.5. После проведения периодического профилактического медицинского осмотра целесообразно выделение групп диспансерного учета в соответствии с комплексом воздействующих неблагоприятных факторов.</div></div><div class="ACT_TEXT lx_elem" onmousemove="lx_mo(event,1925239)"><div class="lx_elem2"><div class="lx_elem3"><span onclick="lx_sf(1925239)"><img src="/img/cmt.svg" />Ҳужжатга таклиф юбориш</span><span onclick="lx_pa(1925239)"><img src="/img/vlm.svg" />Аудиони тинглаш</span><span onclick="lx_cl(1925239)"><img src="/img/lnk.svg" />Ҳужжат элементидан ҳавола олиш</span></div></div><div name="1925239" id="1925239">7.6. При выявлении в состоянии здоровья лиц из персонала отклонений, препятствующих продолжению работы с источниками излучения, вопрос о временном или постоянном переводе этих лиц на работу вне контакта с ионизирующим излучением решается в каждом конкретном случае индивидуально, с учетом санитарно-гигиенической характеристики условий труда, стойкости и тяжести выявленной патологии, а также социальных мотивов.</div></div><div class="ACT_TEXT lx_elem" onmousemove="lx_mo(event,1925240)"><div class="lx_elem2"><div class="lx_elem3"><span onclick="lx_sf(1925240)"><img src="/img/cmt.svg" />Ҳужжатга таклиф юбориш</span><span onclick="lx_pa(1925240)"><img src="/img/vlm.svg" />Аудиони тинглаш</span><span onclick="lx_cl(1925240)"><img src="/img/lnk.svg" />Ҳужжат элементидан ҳавола олиш</span></div></div><div name="1925240" id="1925240">7.7. При периодических медицинских осмотрах должны выявляться лица, требующие лечения, лица с высокой степенью риска возникновения радиационно зависимых заболеваний, в отношении которых должна осуществляться система мер профилактики. Лица с выявленными заболеваниями должны быть направлены на амбулаторное или стационарное лечение, а при необходимости и на реабилитацию.</div></div><div class="ACT_TEXT lx_elem" onmousemove="lx_mo(event,1925241)"><div class="lx_elem2"><div class="lx_elem3"><span onclick="lx_sf(1925241)"><img src="/img/cmt.svg" />Ҳужжатга таклиф юбориш</span><span onclick="lx_pa(1925241)"><img src="/img/vlm.svg" />Аудиони тинглаш</span><span onclick="lx_cl(1925241)"><img src="/img/lnk.svg" />Ҳужжат элементидан ҳавола олиш</span></div></div><div name="1925241" id="1925241">7.8. В медицинском учреждении, обслуживающем организацию, где проводятся работы с источниками излучения, на случай аварийного облучения должны быть:</div></div><div class="ACT_TEXT lx_elem" onmousemove="lx_mo(event,1925242)"><div class="lx_elem2"><div class="lx_elem3"><span onclick="lx_sf(1925242)"><img src="/img/cmt.svg" />Ҳужжатга таклиф юбориш</span><span onclick="lx_pa(1925242)"><img src="/img/vlm.svg" />Аудиони тинглаш</span><span onclick="lx_cl(1925242)"><img src="/img/lnk.svg" />Ҳужжат элементидан ҳавола олиш</span></div></div><div name="1925242" id="1925242">приборы радиационного контроля;</div></div><div class="ACT_TEXT lx_elem" onmousemove="lx_mo(event,1925243)"><div class="lx_elem2"><div class="lx_elem3"><span onclick="lx_sf(1925243)"><img src="/img/cmt.svg" />Ҳужжатга таклиф юбориш</span><span onclick="lx_pa(1925243)"><img src="/img/vlm.svg" />Аудиони тинглаш</span><span onclick="lx_cl(1925243)"><img src="/img/lnk.svg" />Ҳужжат элементидан ҳавола олиш</span></div></div><div name="1925243" id="1925243">средства дезактивации кожных покровов, ожогов и ран (при работах с радиоактивными веществами в открытом виде);</div></div><div class="ACT_TEXT lx_elem" onmousemove="lx_mo(event,1925244)"><div class="lx_elem2"><div class="lx_elem3"><span onclick="lx_sf(1925244)"><img src="/img/cmt.svg" />Ҳужжатга таклиф юбориш</span><span onclick="lx_pa(1925244)"><img src="/img/vlm.svg" />Аудиони тинглаш</span><span onclick="lx_cl(1925244)"><img src="/img/lnk.svg" />Ҳужжат элементидан ҳавола олиш</span></div></div><div name="1925244" id="1925244">средства ускорения выведения радионуклидов из организма;</div></div><div class="ACT_TEXT lx_elem" onmousemove="lx_mo(event,1925245)"><div class="lx_elem2"><div class="lx_elem3"><span onclick="lx_sf(1925245)"><img src="/img/cmt.svg" />Ҳужжатга таклиф юбориш</span><span onclick="lx_pa(1925245)"><img src="/img/vlm.svg" />Аудиони тинглаш</span><span onclick="lx_cl(1925245)"><img src="/img/lnk.svg" />Ҳужжат элементидан ҳавола олиш</span></div></div><div name="1925245" id="1925245">радиопротекторы.</div></div><div class="ACT_TEXT lx_elem" onmousemove="lx_mo(event,1925246)"><div class="lx_elem2"><div class="lx_elem3"><span onclick="lx_sf(1925246)"><img src="/img/cmt.svg" />Ҳужжатга таклиф юбориш</span><span onclick="lx_pa(1925246)"><img src="/img/vlm.svg" />Аудиони тинглаш</span><span onclick="lx_cl(1925246)"><img src="/img/lnk.svg" />Ҳужжат элементидан ҳавола олиш</span></div></div><div name="1925246" id="1925246">7.9. Периодическое медицинское обследование лиц из категории А после прекращения ими работы с источниками излучения проводится в том же медицинском учреждении, что и во время указанных работ, или в другом медицинском учреждении ведомства, в котором они работали с источниками излучения.</div></div><div class="ACT_TEXT lx_elem" onmousemove="lx_mo(event,1925247)"><div class="lx_elem2"><div class="lx_elem3"><span onclick="lx_sf(1925247)"><img src="/img/cmt.svg" />Ҳужжатга таклиф юбориш</span><span onclick="lx_pa(1925247)"><img src="/img/vlm.svg" />Аудиони тинглаш</span><span onclick="lx_cl(1925247)"><img src="/img/lnk.svg" />Ҳужжат элементидан ҳавола олиш</span></div></div><div name="1925247" id="1925247">7.10. Медицинское обследование лиц из населения, подвергшихся за год облучению в эффективной дозе более 200 мЗв или с накопленной дозой более 500 мЗв от одного из основных источников облучения, или 1000 мЗв от всех источников облучения, организуется территориальным управлением здравоохранения.</div></div><div class="ACT_TEXT lx_elem" onmousemove="lx_mo(event,1925248)"><div class="lx_elem2"><div class="lx_elem3"><span onclick="lx_sf(1925248)"><img src="/img/cmt.svg" />Ҳужжатга таклиф юбориш</span><span onclick="lx_pa(1925248)"><img src="/img/vlm.svg" />Аудиони тинглаш</span><span onclick="lx_cl(1925248)"><img src="/img/lnk.svg" />Ҳужжат элементидан ҳавола олиш</span></div></div><div name="1925248" id="1925248">7.11. В целях оценки влияния ионизирующего излучения на здоровье персонала и населения Министерством здравоохранения Республики Узбекистан ведется государственный радиационно-эпидемиологический регистр.</div></div><div class="ACT_TEXT lx_elem" onmousemove="lx_mo(event,1925249)"><div class="lx_elem2"><div class="lx_elem3"><span onclick="lx_sf(1925249)"><img src="/img/cmt.svg" />Ҳужжатга таклиф юбориш</span><span onclick="lx_pa(1925249)"><img src="/img/vlm.svg" />Аудиони тинглаш</span><span onclick="lx_cl(1925249)"><img src="/img/lnk.svg" />Ҳужжат элементидан ҳавола олиш</span></div></div><div name="1925249" id="1925249">7.12. Причинно-следственные связи заболеваний, инвалидности или смерти с профессиональной деятельностью или аварийным облучением устанавливаются экспертным советом МЗ РУз.</div></div><div class="ACT_TEXT lx_elem" onmousemove="lx_mo(event,1925250)"><div class="lx_elem2"><div class="lx_elem3"><span onclick="lx_sf(1925250)"><img src="/img/cmt.svg" />Ҳужжатга таклиф юбориш</span><span onclick="lx_pa(1925250)"><img src="/img/vlm.svg" />Аудиони тинглаш</span><span onclick="lx_cl(1925250)"><img src="/img/lnk.svg" />Ҳужжат элементидан ҳавола олиш</span></div></div><div name="1925250" id="1925250">7.13. Для укрепления здоровья персонала и населения, подвергшегося значительному облучению, следует включать в рацион питания пищевые добавки с антиканцерогенным и иммунопротекторным действием, рекомендованные к применению МЗ РУз.</div></div><div class="ACT_TEXT lx_elem" onmousemove="lx_mo(event,1925251)"><div class="lx_elem2"><div class="lx_elem3"><span onclick="lx_sf(1925251)"><img src="/img/cmt.svg" />Ҳужжатга таклиф юбориш</span><span onclick="lx_pa(1925251)"><img src="/img/vlm.svg" />Аудиони тинглаш</span><span onclick="lx_cl(1925251)"><img src="/img/lnk.svg" />Ҳужжат элементидан ҳавола олиш</span></div></div><div name="1925251" id="1925251">7.16. Необходимо также проводить интенсивную пропаганду здорового образа жизни, противодействовать распространению вредных привычек (курение, употребление алкоголя и др.).</div></div><div class="BY_DEFAULT lx_elem" onmousemove="lx_mo(event,1925252)"><div class="lx_elem2"><div class="lx_elem3"><span onclick="lx_sf(1925252)"><img src="/img/cmt.svg" />Ҳужжатга таклиф юбориш</span><span onclick="lx_pa(1925252)"><img src="/img/vlm.svg" />Аудиони тинглаш</span><span onclick="lx_cl(1925252)"><img src="/img/lnk.svg" />Ҳужжат элементидан ҳавола олиш</span></div></div><div name="1925252" id="1925252"></div></div><div class="APPL_BANNER_LANDSCAPE_TITLE lx_elem" onmousemove="lx_mo(event,1925253)"><div class="lx_elem2"><div class="lx_elem3"><span onclick="lx_sf(1925253)"><img src="/img/cmt.svg" />Ҳужжатга таклиф юбориш</span><span onclick="lx_pa(1925253)"><img src="/img/vlm.svg" />Аудиони тинглаш</span><span onclick="lx_cl(1925253)"><img src="/img/lnk.svg" />Ҳужжат элементидан ҳавола олиш</span></div></div><div name="1925253" id="1925253">ПРИЛОЖЕНИЕ А</div></div><div class="ACT_TITLE_APPL lx_elem" onmousemove="lx_mo(event,1925254)"><div class="lx_elem2"><div class="lx_elem3"><span onclick="lx_sf(1925254)"><img src="/img/cmt.svg" />Ҳужжатга таклиф юбориш</span><span onclick="lx_pa(1925254)"><img src="/img/vlm.svg" />Аудиони тинглаш</span><span onclick="lx_cl(1925254)"><img src="/img/lnk.svg" />Ҳужжат элементидан ҳавола олиш</span></div></div><div name="1925254" id="1925254">ПРАКТИЧЕСКАЯ РЕАЛИЗАЦИЯ ОСНОВНЫХ ПРИНЦИПОВ РАДИАЦИОННОЙ БЕЗОПАСНОСТИ</div></div><div class="BY_DEFAULT lx_elem" onmousemove="lx_mo(event,1925255)"><div class="lx_elem2"><div class="lx_elem3"><span onclick="lx_sf(1925255)"><img src="/img/cmt.svg" />Ҳужжатга таклиф юбориш</span><span onclick="lx_pa(1925255)"><img src="/img/vlm.svg" />Аудиони тинглаш</span><span onclick="lx_cl(1925255)"><img src="/img/lnk.svg" />Ҳужжат элементидан ҳавола олиш</span></div></div><div name="1925255" id="1925255"></div></div><div class="TEXT_HEADER_DEFAULT lx_elem" onmousemove="lx_mo(event,1925256)"><div class="lx_elem2"><div class="lx_elem3"><span onclick="lx_sf(1925256)"><img src="/img/cmt.svg" />Ҳужжатга таклиф юбориш</span><span onclick="lx_pa(1925256)"><img src="/img/vlm.svg" />Аудиони тинглаш</span><span onclick="lx_cl(1925256)"><img src="/img/lnk.svg" />Ҳужжат элементидан ҳавола олиш</span></div></div><div name="1925256" id="1925256">Принцип обоснования</div></div><div class="ACT_TEXT lx_elem" onmousemove="lx_mo(event,1925257)"><div class="lx_elem2"><div class="lx_elem3"><span onclick="lx_sf(1925257)"><img src="/img/cmt.svg" />Ҳужжатга таклиф юбориш</span><span onclick="lx_pa(1925257)"><img src="/img/vlm.svg" />Аудиони тинглаш</span><span onclick="lx_cl(1925257)"><img src="/img/lnk.svg" />Ҳужжат элементидан ҳавола олиш</span></div></div><div name="1925257" id="1925257">В наиболее простых ситуациях проверка принципа обоснования осуществляется путем сравнения пользы и вреда:</div></div><div class="TEXT_CENTER lx_elem" onmousemove="lx_mo(event,1925264)"><div class="lx_elem2"><div class="lx_elem3"><span onclick="lx_sf(1925264)"><img src="/img/cmt.svg" />Ҳужжатга таклиф юбориш</span><span onclick="lx_pa(1925264)"><img src="/img/vlm.svg" />Аудиони тинглаш</span><span onclick="lx_cl(1925264)"><img src="/img/lnk.svg" />Ҳужжат элементидан ҳавола олиш</span></div></div><div name="1925264" id="1925264"><strong><em>X</em>-(<em>Y</em><sub>1</sub> + <em>Y</em><sub>2</sub>) ≥0</strong>, где : ( 1 )</div></div><div class="ACT_TEXT lx_elem" onmousemove="lx_mo(event,1925271)"><div class="lx_elem2"><div class="lx_elem3"><span onclick="lx_sf(1925271)"><img src="/img/cmt.svg" />Ҳужжатга таклиф юбориш</span><span onclick="lx_pa(1925271)"><img src="/img/vlm.svg" />Аудиони тинглаш</span><span onclick="lx_cl(1925271)"><img src="/img/lnk.svg" />Ҳужжат элементидан ҳавола олиш</span></div></div><div name="1925271" id="1925271">X<strong> —</strong> польза от применения источника излучения или условий облучения, за вычетом всех затрат на создание и эксплуатацию источника излучения или условий облучения, кроме затрат на радиационную защиту; </div></div><div class="ACT_TEXT lx_elem" onmousemove="lx_mo(event,1925272)"><div class="lx_elem2"><div class="lx_elem3"><span onclick="lx_sf(1925272)"><img src="/img/cmt.svg" />Ҳужжатга таклиф юбориш</span><span onclick="lx_pa(1925272)"><img src="/img/vlm.svg" />Аудиони тинглаш</span><span onclick="lx_cl(1925272)"><img src="/img/lnk.svg" />Ҳужжат элементидан ҳавола олиш</span></div></div><div name="1925272" id="1925272">Y<sub>1</sub> <strong>—</strong> затраты на все меры защиты;</div></div><div class="ACT_TEXT lx_elem" onmousemove="lx_mo(event,1925274)"><div class="lx_elem2"><div class="lx_elem3"><span onclick="lx_sf(1925274)"><img src="/img/cmt.svg" />Ҳужжатга таклиф юбориш</span><span onclick="lx_pa(1925274)"><img src="/img/vlm.svg" />Аудиони тинглаш</span><span onclick="lx_cl(1925274)"><img src="/img/lnk.svg" />Ҳужжат элементидан ҳавола олиш</span></div></div><div name="1925274" id="1925274">Y<sub>2</sub> <strong>—</strong> вред, наносимый здоровью людей и окружающей среде от облучения, не устраненного защитными мерами.</div></div><div class="ACT_TEXT lx_elem" onmousemove="lx_mo(event,1925276)"><div class="lx_elem2"><div class="lx_elem3"><span onclick="lx_sf(1925276)"><img src="/img/cmt.svg" />Ҳужжатга таклиф юбориш</span><span onclick="lx_pa(1925276)"><img src="/img/vlm.svg" />Аудиони тинглаш</span><span onclick="lx_cl(1925276)"><img src="/img/lnk.svg" />Ҳужжат элементидан ҳавола олиш</span></div></div><div name="1925276" id="1925276">Разница между пользой (X) и суммой вреда (Y<sub>1</sub> + Y<sub>2</sub>) должна быть больше нуля, а при наличии альтернативных способов достижения пользы (X) эта разница должна быть еще и максимальной. В случае, когда невозможно достичь превышения пользы над вредом, принимается решение о неприемлемости использования данного вида источника излучения.</div></div><div class="ACT_TEXT lx_elem" onmousemove="lx_mo(event,1925278)"><div class="lx_elem2"><div class="lx_elem3"><span onclick="lx_sf(1925278)"><img src="/img/cmt.svg" />Ҳужжатга таклиф юбориш</span><span onclick="lx_pa(1925278)"><img src="/img/vlm.svg" />Аудиони тинглаш</span><span onclick="lx_cl(1925278)"><img src="/img/lnk.svg" />Ҳужжат элементидан ҳавола олиш</span></div></div><div name="1925278" id="1925278">Должны учитываться аспекты технической и экологической безопасности.</div></div><div class="ACT_TEXT lx_elem" onmousemove="lx_mo(event,1925279)"><div class="lx_elem2"><div class="lx_elem3"><span onclick="lx_sf(1925279)"><img src="/img/cmt.svg" />Ҳужжатга таклиф юбориш</span><span onclick="lx_pa(1925279)"><img src="/img/vlm.svg" />Аудиони тинглаш</span><span onclick="lx_cl(1925279)"><img src="/img/lnk.svg" />Ҳужжат элементидан ҳавола олиш</span></div></div><div name="1925279" id="1925279">Проверка соблюдения принципа обоснования, связанная со взвешиванием пользы и вреда от источника излучения, когда чаще всего польза и вред измеряются через различные показатели, не ограничивается только радиологическими критериями, а включает социальные, экономические, психологические и другие факторы.</div></div><div class="ACT_TEXT lx_elem" onmousemove="lx_mo(event,1925281)"><div class="lx_elem2"><div class="lx_elem3"><span onclick="lx_sf(1925281)"><img src="/img/cmt.svg" />Ҳужжатга таклиф юбориш</span><span onclick="lx_pa(1925281)"><img src="/img/vlm.svg" />Аудиони тинглаш</span><span onclick="lx_cl(1925281)"><img src="/img/lnk.svg" />Ҳужжат элементидан ҳавола олиш</span></div></div><div name="1925281" id="1925281">Для различных источников излучения и условий облучения конкретные величины пользы имеют свои особенности (диагностическая и другая информация, добытые природные ресурсы, обеспеченность жилищем и т. д.). Их следует, по возможности, свести к обобщенному выражению пользы для сопоставления с возможным ущербом от облучения за одинаковые отрезки времени в виде сокращения числа чел.-лет жизни. При этом принимается, что облучение в коллективной эффективной дозе в 1 чел.-Зв приводит к потере Г чел.-года жизни.</div></div><div class="ACT_TEXT lx_elem" onmousemove="lx_mo(event,1925283)"><div class="lx_elem2"><div class="lx_elem3"><span onclick="lx_sf(1925283)"><img src="/img/cmt.svg" />Ҳужжатга таклиф юбориш</span><span onclick="lx_pa(1925283)"><img src="/img/vlm.svg" />Аудиони тинглаш</span><span onclick="lx_cl(1925283)"><img src="/img/lnk.svg" />Ҳужжат элементидан ҳавола олиш</span></div></div><div name="1925283" id="1925283">Приоритет отдается показателям здоровья по сравнению с экономическими выгодами.</div></div><div class="ACT_TEXT lx_elem" onmousemove="lx_mo(event,1925284)"><div class="lx_elem2"><div class="lx_elem3"><span onclick="lx_sf(1925284)"><img src="/img/cmt.svg" />Ҳужжатга таклиф юбориш</span><span onclick="lx_pa(1925284)"><img src="/img/vlm.svg" />Аудиони тинглаш</span><span onclick="lx_cl(1925284)"><img src="/img/lnk.svg" />Ҳужжат элементидан ҳавола олиш</span></div></div><div name="1925284" id="1925284">Медико-социальное обоснование соотношения польза-вред может быть сделано на основе количественных и качественных показателей пользы и вреда для здоровья от деятельности, связанной с облучением.</div></div><div class="ACT_TEXT lx_elem" onmousemove="lx_mo(event,1925285)"><div class="lx_elem2"><div class="lx_elem3"><span onclick="lx_sf(1925285)"><img src="/img/cmt.svg" />Ҳужжатга таклиф юбориш</span><span onclick="lx_pa(1925285)"><img src="/img/vlm.svg" />Аудиони тинглаш</span><span onclick="lx_cl(1925285)"><img src="/img/lnk.svg" />Ҳужжат элементидан ҳавола олиш</span></div></div><div name="1925285" id="1925285">Для количественной оценки следует использовать неравенство:</div></div><div class="TEXT_CENTER lx_elem" onmousemove="lx_mo(event,1925290)"><div class="lx_elem2"><div class="lx_elem3"><span onclick="lx_sf(1925290)"><img src="/img/cmt.svg" />Ҳужжатга таклиф юбориш</span><span onclick="lx_pa(1925290)"><img src="/img/vlm.svg" />Аудиони тинглаш</span><span onclick="lx_cl(1925290)"><img src="/img/lnk.svg" />Ҳужжат элементидан ҳавола олиш</span></div></div><div name="1925290" id="1925290"><strong><em>Y</em><sub>0</sub> > </strong><em><strong>Y<sub>2</sub></strong> , </em><sub></sub>где: ( 2 )</div></div><div class="ACT_TEXT lx_elem" onmousemove="lx_mo(event,1925291)"><div class="lx_elem2"><div class="lx_elem3"><span onclick="lx_sf(1925291)"><img src="/img/cmt.svg" />Ҳужжатга таклиф юбориш</span><span onclick="lx_pa(1925291)"><img src="/img/vlm.svg" />Аудиони тинглаш</span><span onclick="lx_cl(1925291)"><img src="/img/lnk.svg" />Ҳужжат элементидан ҳавола олиш</span></div></div><div name="1925291" id="1925291"><em>Y</em><sub>2</sub> — имеет то же значение, что и в формуле (1),</div></div><div class="ACT_TEXT lx_elem" onmousemove="lx_mo(event,1925292)"><div class="lx_elem2"><div class="lx_elem3"><span onclick="lx_sf(1925292)"><img src="/img/cmt.svg" />Ҳужжатга таклиф юбориш</span><span onclick="lx_pa(1925292)"><img src="/img/vlm.svg" />Аудиони тинглаш</span><span onclick="lx_cl(1925292)"><img src="/img/lnk.svg" />Ҳужжат элементидан ҳавола олиш</span></div></div><div name="1925292" id="1925292"><em>Y</em><sub>0</sub> — вред для здоровья в результате отказа от данного вида деятельности, связанной с облучением. </div></div><div class="ACT_TEXT lx_elem" onmousemove="lx_mo(event,1925294)"><div class="lx_elem2"><div class="lx_elem3"><span onclick="lx_sf(1925294)"><img src="/img/cmt.svg" />Ҳужжатга таклиф юбориш</span><span onclick="lx_pa(1925294)"><img src="/img/vlm.svg" />Аудиони тинглаш</span><span onclick="lx_cl(1925294)"><img src="/img/lnk.svg" />Ҳужжат элементидан ҳавола олиш</span></div></div><div name="1925294" id="1925294">Качественная оценка может быть выполнена с помощью формулы:</div></div><div class="TEXT_CENTER lx_elem" onmousemove="lx_mo(event,1925321)"><div class="lx_elem2"><div class="lx_elem3"><span onclick="lx_sf(1925321)"><img src="/img/cmt.svg" />Ҳужжатга таклиф юбориш</span><span onclick="lx_pa(1925321)"><img src="/img/vlm.svg" />Аудиони тинглаш</span><span onclick="lx_cl(1925321)"><img src="/img/lnk.svg" />Ҳужжат элементидан ҳавола олиш</span></div></div><div name="1925321" id="1925321"><img src="/files/1925334" /> где (3)</div></div><div class="ACT_TEXT lx_elem" onmousemove="lx_mo(event,1925346)"><div class="lx_elem2"><div class="lx_elem3"><span onclick="lx_sf(1925346)"><img src="/img/cmt.svg" />Ҳужжатга таклиф юбориш</span><span onclick="lx_pa(1925346)"><img src="/img/vlm.svg" />Аудиони тинглаш</span><span onclick="lx_cl(1925346)"><img src="/img/lnk.svg" />Ҳужжат элементидан ҳавола олиш</span></div></div><div name="1925346" id="1925346">Z — интенсивность воздействия вредных факторов в результате деятельности, связанной с облучением; </div></div><div class="ACT_TEXT lx_elem" onmousemove="lx_mo(event,1925349)"><div class="lx_elem2"><div class="lx_elem3"><span onclick="lx_sf(1925349)"><img src="/img/cmt.svg" />Ҳужжатга таклиф юбориш</span><span onclick="lx_pa(1925349)"><img src="/img/vlm.svg" />Аудиони тинглаш</span><span onclick="lx_cl(1925349)"><img src="/img/lnk.svg" />Ҳужжат элементидан ҳавола олиш</span></div></div><div name="1925349" id="1925349">Z<sub>0</sub> — вредные факторы, воздействующие на персонал или население при отказе от деятельности, связанной с облучением;</div></div><div class="ACT_TEXT lx_elem" onmousemove="lx_mo(event,1925353)"><div class="lx_elem2"><div class="lx_elem3"><span onclick="lx_sf(1925353)"><img src="/img/cmt.svg" />Ҳужжатга таклиф юбориш</span><span onclick="lx_pa(1925353)"><img src="/img/vlm.svg" />Аудиони тинглаш</span><span onclick="lx_cl(1925353)"><img src="/img/lnk.svg" />Ҳужжат элементидан ҳавола олиш</span></div></div><div name="1925353" id="1925353">Dz и Dz<sub>0</sub> — допустимая интенсивность воздействия факторов Z и Z<sub>0</sub>. </div></div><div class="TEXT_HEADER_DEFAULT lx_elem" onmousemove="lx_mo(event,1925355)"><div class="lx_elem2"><div class="lx_elem3"><span onclick="lx_sf(1925355)"><img src="/img/cmt.svg" />Ҳужжатга таклиф юбориш</span><span onclick="lx_pa(1925355)"><img src="/img/vlm.svg" />Аудиони тинглаш</span><span onclick="lx_cl(1925355)"><img src="/img/lnk.svg" />Ҳужжат элементидан ҳавола олиш</span></div></div><div name="1925355" id="1925355">Принцип оптимизации</div></div><div class="ACT_TEXT lx_elem" onmousemove="lx_mo(event,1925357)"><div class="lx_elem2"><div class="lx_elem3"><span onclick="lx_sf(1925357)"><img src="/img/cmt.svg" />Ҳужжатга таклиф юбориш</span><span onclick="lx_pa(1925357)"><img src="/img/vlm.svg" />Аудиони тинглаш</span><span onclick="lx_cl(1925357)"><img src="/img/lnk.svg" />Ҳужжат элементидан ҳавола олиш</span></div></div><div name="1925357" id="1925357">Реализация принципа оптимизации должна осуществляться каждый раз, когда планируется проведение защитных мероприятий. Ответственным за реализацию этого принципа является служба или лица, ответственные за организацию радиационной безопасности на объектах или территориях, где возникает необходимость в радиационной защите.</div></div><div class="ACT_TEXT lx_elem" onmousemove="lx_mo(event,1925361)"><div class="lx_elem2"><div class="lx_elem3"><span onclick="lx_sf(1925361)"><img src="/img/cmt.svg" />Ҳужжатга таклиф юбориш</span><span onclick="lx_pa(1925361)"><img src="/img/vlm.svg" />Аудиони тинглаш</span><span onclick="lx_cl(1925361)"><img src="/img/lnk.svg" />Ҳужжат элементидан ҳавола олиш</span></div></div><div name="1925361" id="1925361">В условиях нормальной эксплуатации источника излучения или условий облучения оптимизация (совершенствование защиты) должна осуществляться при уровнях облучения в диапазоне от соответствующих пределов доз до достижения пренебрежимо малого уровня— 0,2 мкЗв в год индивидуальной дозы.</div></div><div class="ACT_TEXT lx_elem" onmousemove="lx_mo(event,1925363)"><div class="lx_elem2"><div class="lx_elem3"><span onclick="lx_sf(1925363)"><img src="/img/cmt.svg" />Ҳужжатга таклиф юбориш</span><span onclick="lx_pa(1925363)"><img src="/img/vlm.svg" />Аудиони тинглаш</span><span onclick="lx_cl(1925363)"><img src="/img/lnk.svg" />Ҳужжат элементидан ҳавола олиш</span></div></div><div name="1925363" id="1925363">При этом согласно <a href="/docs/1908086#1923955">НРБ-2006</a> минимальным расходом на совершенствование защиты, снижающей эффективную дозу на 1 человеко-зиверт, считается расход, равный одному годовому душевому национальному доходу (величина альфа, принятая в международных рекомендациях).</div></div><div class="BY_DEFAULT lx_elem" onmousemove="lx_mo(event,1925365)"><div class="lx_elem2"><div class="lx_elem3"><span onclick="lx_sf(1925365)"><img src="/img/cmt.svg" />Ҳужжатга таклиф юбориш</span><span onclick="lx_pa(1925365)"><img src="/img/vlm.svg" />Аудиони тинглаш</span><span onclick="lx_cl(1925365)"><img src="/img/lnk.svg" />Ҳужжат элементидан ҳавола олиш</span></div></div><div name="1925365" id="1925365"></div></div><div class="APPL_BANNER_LANDSCAPE_TITLE lx_elem" onmousemove="lx_mo(event,1925367)"><div class="lx_elem2"><div class="lx_elem3"><span onclick="lx_sf(1925367)"><img src="/img/cmt.svg" />Ҳужжатга таклиф юбориш</span><span onclick="lx_pa(1925367)"><img src="/img/vlm.svg" />Аудиони тинглаш</span><span onclick="lx_cl(1925367)"><img src="/img/lnk.svg" />Ҳужжат элементидан ҳавола олиш</span></div></div><div name="1925367" id="1925367">ПРИЛОЖЕНИЕ Б</div></div><div class="BY_DEFAULT lx_elem" onmousemove="lx_mo(event,1925370)"><div class="lx_elem2"><div class="lx_elem3"><span onclick="lx_sf(1925370)"><img src="/img/cmt.svg" />Ҳужжатга таклиф юбориш</span><span onclick="lx_pa(1925370)"><img src="/img/vlm.svg" />Аудиони тинглаш</span><span onclick="lx_cl(1925370)"><img src="/img/lnk.svg" />Ҳужжат элементидан ҳавола олиш</span></div></div><div name="1925370" id="1925370"></div></div><div class="TABLE_STD lx_elem" id="theDefCssID" onmousemove="lx_mo(event,1925372)"><div class="lx_elem2"><div class="lx_elem3"><span onclick="lx_sf(1925372)"><img src="/img/cmt.svg" />Ҳужжатга таклиф юбориш</span><span onclick="lx_pa(1925372)"><img src="/img/vlm.svg" />Аудиони тинглаш</span><span onclick="lx_cl(1925372)"><img src="/img/lnk.svg" />Ҳужжат элементидан ҳавола олиш</span></div></div><div name="1925372" id="1925372" class="tabBox"><table id="theTableID" style="TABLE-LAYOUT: fixed; PADDING-RIGHT: 0px; ; PADDING-LEFT: 0px; LEFT: 2px; PADDING-BOTTOM: 0px; WIDTH: 542px; BORDER-TOP-STYLE: none; PADDING-TOP: 0px; BORDER-RIGHT-STYLE: none; BORDER-LEFT-STYLE: none; TOP: 0px; BORDER-BOTTOM-STYLE: none" cellspacing="1" cols="4" border="1">
<colgroup>
<col />
<col />
<col />
<col /></colgroup>
<tbody>
<tr>
<td style="BORDER-TOP-STYLE: none; BORDER-RIGHT-STYLE: none; BORDER-LEFT-STYLE: none; BORDER-BOTTOM-STYLE: none" colspan="4">
<p align="center"><strong>САНИТАРНО-ЭПИДЕМИОЛОГИЧЕСКОЕ ЗАКЛЮЧЕНИЕ‎‎</strong></p></td></tr>
<tr>
<td style="BORDER-TOP-STYLE: none; BORDER-RIGHT-STYLE: none; BORDER-LEFT-STYLE: none; BORDER-BOTTOM-STYLE: none" colspan="4">__________________________________________________________________‎‎</td></tr>
<tr>
<td style="BORDER-TOP-STYLE: none; BORDER-RIGHT-STYLE: none; BORDER-LEFT-STYLE: none; BORDER-BOTTOM-STYLE: none" colspan="4">__________________________________________________________________‎‎‎</td></tr>
<tr>
<td style="BORDER-TOP-STYLE: none; BORDER-RIGHT-STYLE: none; BORDER-LEFT-STYLE: none; BORDER-BOTTOM-STYLE: none" colspan="4">__________________________________________________________________‎‎</td></tr>
<tr>
<td style="BORDER-TOP-STYLE: none; BORDER-RIGHT-STYLE: none; BORDER-LEFT-STYLE: none; BORDER-BOTTOM-STYLE: none" colspan="4">__________________________________________________________________</td></tr>
<tr>
<td style="BORDER-TOP-STYLE: none; BORDER-RIGHT-STYLE: none; BORDER-LEFT-STYLE: none; BORDER-BOTTOM-STYLE: none" colspan="4">
<p align="center"><sup>‎‎(полное наименование органа государственного санитарного надзора, адрес, телефон)</sup></p></td></tr>
<tr>
<td style="BORDER-TOP-STYLE: none; BORDER-RIGHT-STYLE: none; BORDER-LEFT-STYLE: none; BORDER-BOTTOM-STYLE: none">‎</td>
<td style="BORDER-TOP-STYLE: none; BORDER-RIGHT-STYLE: none; BORDER-LEFT-STYLE: none; BORDER-BOTTOM-STYLE: none">‎</td>
<td style="BORDER-TOP-STYLE: none; BORDER-RIGHT-STYLE: none; BORDER-LEFT-STYLE: none; BORDER-BOTTOM-STYLE: none">‎</td>
<td style="BORDER-TOP-STYLE: none; BORDER-RIGHT-STYLE: none; BORDER-LEFT-STYLE: none; BORDER-BOTTOM-STYLE: none">
<p align="right">Экз. №‎ _____</p></td></tr>
<tr>
<td style="BORDER-TOP-STYLE: none; BORDER-RIGHT-STYLE: none; BORDER-LEFT-STYLE: none; BORDER-BOTTOM-STYLE: none" colspan="4">
<p align="center"><strong>‎‎Санитарно-эпидемиологическое заключение №— на право работы с источниками ионизирующего излучения (ИИИ)</strong> </p></td></tr>
<tr>
<td style="BORDER-TOP-STYLE: none; BORDER-RIGHT-STYLE: none; BORDER-LEFT-STYLE: none; BORDER-BOTTOM-STYLE: none" colspan="4">1. Организация __________________________________________________________________</td></tr>
<tr>
<td style="BORDER-TOP-STYLE: none; BORDER-RIGHT-STYLE: none; BORDER-LEFT-STYLE: none; BORDER-BOTTOM-STYLE: none" colspan="4">__________________________________________________________________‎‎</td></tr>
<tr>
<td style="BORDER-TOP-STYLE: none; BORDER-RIGHT-STYLE: none; BORDER-LEFT-STYLE: none; BORDER-BOTTOM-STYLE: none" colspan="4">__________________________________________________________________‎‎</td></tr>
<tr>
<td style="BORDER-TOP-STYLE: none; BORDER-RIGHT-STYLE: none; BORDER-LEFT-STYLE: none; BORDER-BOTTOM-STYLE: none" colspan="4">__________________________________________________________________‎‎</td></tr>
<tr>
<td style="BORDER-TOP-STYLE: none; BORDER-RIGHT-STYLE: none; BORDER-LEFT-STYLE: none; BORDER-BOTTOM-STYLE: none" colspan="4">
<p align="center">‎‎<sup>(полное и сокращенное наименование, административный район, адрес, телефон)</sup></p></td></tr>
<tr>
<td style="BORDER-TOP-STYLE: none; BORDER-RIGHT-STYLE: none; BORDER-LEFT-STYLE: none; BORDER-BOTTOM-STYLE: none" colspan="4">‎‎2. Министерство, ведомство __________________________________________</td></tr>
<tr>
<td style="BORDER-TOP-STYLE: none; BORDER-RIGHT-STYLE: none; BORDER-LEFT-STYLE: none; BORDER-BOTTOM-STYLE: none" colspan="4">____________________________________________________________________________________________________________________________________‎‎</td></tr>
<tr>
<td style="BORDER-TOP-STYLE: none; BORDER-RIGHT-STYLE: none; BORDER-LEFT-STYLE: none; BORDER-BOTTOM-STYLE: none" colspan="4">
<p align="center"><sup>(полное и сокращенное наименование, адрес)‎‎</sup></p></td></tr>
<tr>
<td style="BORDER-TOP-STYLE: none; BORDER-RIGHT-STYLE: none; BORDER-LEFT-STYLE: none; BORDER-BOTTOM-STYLE: none" colspan="4">
<p align="left">3. Вышестоящая (непосредственно над организацией) организация _________</p></td></tr>
<tr>
<td style="BORDER-TOP-STYLE: none; BORDER-RIGHT-STYLE: none; BORDER-LEFT-STYLE: none; BORDER-BOTTOM-STYLE: none" colspan="4">__________________________________________________________________‎‎</td></tr>
<tr>
<td style="BORDER-TOP-STYLE: none; BORDER-RIGHT-STYLE: none; BORDER-LEFT-STYLE: none; BORDER-BOTTOM-STYLE: none" colspan="4">__________________________________________________________________‎‎</td></tr>
<tr>
<td style="BORDER-TOP-STYLE: none; BORDER-RIGHT-STYLE: none; BORDER-LEFT-STYLE: none; BORDER-BOTTOM-STYLE: none" colspan="4">
<p align="center"><sup>(полное и сокращенное наименование, адрес, телефон)</sup>‎‎ ‎‎</p></td></tr>
<tr>
<td style="BORDER-TOP-STYLE: none; BORDER-RIGHT-STYLE: none; BORDER-LEFT-STYLE: none; BORDER-BOTTOM-STYLE: none" colspan="4">‎‎4. Подразделение организации (объект), получающее санитарно-эпидемиологическое заключение</td></tr>
<tr>
<td style="BORDER-TOP-STYLE: none; BORDER-RIGHT-STYLE: none; BORDER-LEFT-STYLE: none; BORDER-BOTTOM-STYLE: none" colspan="4">__________________________________________________________________‎‎</td></tr>
<tr>
<td style="BORDER-TOP-STYLE: none; BORDER-RIGHT-STYLE: none; BORDER-LEFT-STYLE: none; BORDER-BOTTOM-STYLE: none" colspan="4">__________________________________________________________________‎‎</td></tr>
<tr>
<td style="BORDER-TOP-STYLE: none; BORDER-RIGHT-STYLE: none; BORDER-LEFT-STYLE: none; BORDER-BOTTOM-STYLE: none" colspan="4">__________________________________________________________________‎‎</td></tr>
<tr>
<td style="BORDER-TOP-STYLE: none; BORDER-RIGHT-STYLE: none; BORDER-LEFT-STYLE: none; BORDER-BOTTOM-STYLE: none" colspan="4">
<p align="center"><sup>(наименование, подчиненность в структуре организации, административный район, адрес, телефон)</sup> </p></td></tr>
<tr>
<td style="BORDER-TOP-STYLE: none; BORDER-RIGHT-STYLE: none; BORDER-LEFT-STYLE: none; BORDER-BOTTOM-STYLE: none" colspan="4">5. Должностное лицо, ответственное за радиационную безопасность на объекте‎‎</td></tr>
<tr>
<td style="BORDER-TOP-STYLE: none; BORDER-RIGHT-STYLE: none; BORDER-LEFT-STYLE: none; BORDER-BOTTOM-STYLE: none" colspan="4">__________________________________________________________________‎</td></tr>
<tr>
<td style="BORDER-TOP-STYLE: none; BORDER-RIGHT-STYLE: none; BORDER-LEFT-STYLE: none; BORDER-BOTTOM-STYLE: none" colspan="4">__________________________________________________________________‎‎</td></tr>
<tr>
<td style="BORDER-TOP-STYLE: none; BORDER-RIGHT-STYLE: none; BORDER-LEFT-STYLE: none; BORDER-BOTTOM-STYLE: none" colspan="4">__________________________________________________________________</td></tr>
<tr>
<td style="BORDER-TOP-STYLE: none; BORDER-RIGHT-STYLE: none; BORDER-LEFT-STYLE: none; BORDER-BOTTOM-STYLE: none" colspan="4">
<p align="center">‎‎<sup>(должность, номер, дата приказа по организации о возложении ответственности, телефон)</sup></p></td></tr>
<tr>
<td style="BORDER-TOP-STYLE: none; BORDER-RIGHT-STYLE: none; BORDER-LEFT-STYLE: none; BORDER-BOTTOM-STYLE: none" colspan="2">‎‎6. Разрешаются работы с ИИИ‎</td>
<td style="BORDER-TOP-STYLE: none; BORDER-RIGHT-STYLE: none; BORDER-LEFT-STYLE: none; BORDER-BOTTOM-STYLE: none">‎</td>
<td style="BORDER-TOP-STYLE: none; BORDER-RIGHT-STYLE: none; BORDER-LEFT-STYLE: none; BORDER-BOTTOM-STYLE: none">‎</td></tr>
<tr>
<td>Вид и характеристика ИИИ</td>
<td>
<p align="center">Вид и характер работ‎</p></td>
<td>
<p align="center">Место проведения работ‎</p></td>
<td>
<p align="center">Ограничительные условия‎</p></td></tr>
<tr>
<td>I. Работы с открытыми ИИИ<br />‎________________‎</td>
<td>‎</td>
<td>‎</td>
<td>‎</td></tr>
<tr>
<td>II. Работы с закрытыми ИИИ<br />‎________________‎</td>
<td>‎</td>
<td>‎</td>
<td>‎</td></tr>
<tr>
<td>III. Работы с устройствами, генерирующими излучение<br />‎________________‎</td>
<td>‎</td>
<td>‎</td>
<td>‎</td></tr>
<tr>
<td>IV. Другие работы с ИИИ<br />‎________________‎</td>
<td>‎</td>
<td>‎</td>
<td>‎</td></tr>
<tr>
<td style="BORDER-TOP-STYLE: none; BORDER-RIGHT-STYLE: none; BORDER-LEFT-STYLE: none; BORDER-BOTTOM-STYLE: none" colspan="4">‎‎7. Санитарно-эпидемиологическое заключение выдано на основании ______</td></tr>
<tr>
<td style="BORDER-TOP-STYLE: none; BORDER-RIGHT-STYLE: none; BORDER-LEFT-STYLE: none; BORDER-BOTTOM-STYLE: none" colspan="4">__________________________________________________________________</td></tr>
<tr>
<td style="BORDER-TOP-STYLE: none; BORDER-RIGHT-STYLE: none; BORDER-LEFT-STYLE: none; BORDER-BOTTOM-STYLE: none" colspan="4">__________________________________________________________________</td></tr>
<tr>
<td style="BORDER-TOP-STYLE: none; BORDER-RIGHT-STYLE: none; BORDER-LEFT-STYLE: none; BORDER-BOTTOM-STYLE: none" colspan="4">__________________________________________________________________</td></tr>
<tr>
<td style="BORDER-TOP-STYLE: none; BORDER-RIGHT-STYLE: none; BORDER-LEFT-STYLE: none; BORDER-BOTTOM-STYLE: none" colspan="4">
<p align="center">‎‎<sup>(актов приемки, обследований и других документов с указанием номеров и дат, органов надзора) </sup></p></td></tr>
<tr>
<td style="BORDER-TOP-STYLE: none; BORDER-RIGHT-STYLE: none; BORDER-LEFT-STYLE: none; BORDER-BOTTOM-STYLE: none" colspan="4">8. Санитарно-эпидемиологическое заключение действительно до «_____» ______________ 2 _____ г.</td></tr>
<tr>
<td style="BORDER-TOP-STYLE: none; BORDER-RIGHT-STYLE: none; BORDER-LEFT-STYLE: none; BORDER-BOTTOM-STYLE: none" colspan="4">‎‎Главный государственный санитарный врач ____________________________</td></tr>
<tr>
<td style="BORDER-TOP-STYLE: none; BORDER-RIGHT-STYLE: none; BORDER-LEFT-STYLE: none; BORDER-BOTTOM-STYLE: none">‎</td>
<td style="BORDER-TOP-STYLE: none; BORDER-RIGHT-STYLE: none; BORDER-LEFT-STYLE: none; BORDER-BOTTOM-STYLE: none"></td>
<td style="BORDER-TOP-STYLE: none; BORDER-RIGHT-STYLE: none; BORDER-LEFT-STYLE: none; BORDER-BOTTOM-STYLE: none" colspan="2">
<p align="center"><strong><em><sub><sup>‎‎(Ф.И.О.) ‎</sup></sub></em></strong></p></td></tr>
<tr>
<td style="BORDER-TOP-STYLE: none; BORDER-RIGHT-STYLE: none; BORDER-LEFT-STYLE: none; BORDER-BOTTOM-STYLE: none"><strong>М.П.</strong>‎</td>
<td style="BORDER-TOP-STYLE: none; BORDER-RIGHT-STYLE: none; BORDER-LEFT-STYLE: none; BORDER-BOTTOM-STYLE: none">‎</td>
<td style="BORDER-TOP-STYLE: none; BORDER-RIGHT-STYLE: none; BORDER-LEFT-STYLE: none; BORDER-BOTTOM-STYLE: none">‎</td>
<td style="BORDER-TOP-STYLE: none; BORDER-RIGHT-STYLE: none; BORDER-LEFT-STYLE: none; BORDER-BOTTOM-STYLE: none">‎</td></tr>
<tr></tr>
<tr></tr>
<tr></tr>
<tr></tr></tbody></table></div></div><div class="TABLE_STD lx_elem" id="theDefCssID" onmousemove="lx_mo(event,1925439)"><div class="lx_elem2"><div class="lx_elem3"><span onclick="lx_sf(1925439)"><img src="/img/cmt.svg" />Ҳужжатга таклиф юбориш</span><span onclick="lx_pa(1925439)"><img src="/img/vlm.svg" />Аудиони тинглаш</span><span onclick="lx_cl(1925439)"><img src="/img/lnk.svg" />Ҳужжат элементидан ҳавола олиш</span></div></div><div name="1925439" id="1925439" class="tabBox"><table id="theTableID" style="TABLE-LAYOUT: fixed; PADDING-RIGHT: 0px; ; PADDING-LEFT: 0px; LEFT: 0px; PADDING-BOTTOM: 0px; WIDTH: 542px; BORDER-TOP-STYLE: none; PADDING-TOP: 0px; BORDER-RIGHT-STYLE: none; BORDER-LEFT-STYLE: none; TOP: 0px; BORDER-BOTTOM-STYLE: none" cellspacing="1" cols="4" border="1">
<colgroup>
<col />
<col />
<col />
<col /></colgroup>
<tbody>
<tr>
<td style="BORDER-TOP-STYLE: none; BORDER-RIGHT-STYLE: none; BORDER-LEFT-STYLE: none; BORDER-BOTTOM-STYLE: none" colspan="4">Дата выдачи санитарно-эпидемиологического заключения</td></tr>
<tr>
<td style="BORDER-TOP-STYLE: none; BORDER-RIGHT-STYLE: none; BORDER-LEFT-STYLE: none; BORDER-BOTTOM-STYLE: none" colspan="2">‎«______» ______2 _______ г.‎‎</td>
<td style="BORDER-TOP-STYLE: none; BORDER-RIGHT-STYLE: none; BORDER-LEFT-STYLE: none; BORDER-BOTTOM-STYLE: none">‎</td>
<td style="BORDER-TOP-STYLE: none; BORDER-RIGHT-STYLE: none; BORDER-LEFT-STYLE: none; BORDER-BOTTOM-STYLE: none">‎</td></tr>
<tr>
<td style="BORDER-TOP-STYLE: none; BORDER-RIGHT-STYLE: none; BORDER-LEFT-STYLE: none; BORDER-BOTTOM-STYLE: none" colspan="4">Исполнитель: __________________________________________________________________‎</td></tr>
<tr>
<td style="BORDER-TOP-STYLE: none; BORDER-RIGHT-STYLE: none; BORDER-LEFT-STYLE: none; BORDER-BOTTOM-STYLE: none" colspan="4">__________________________________________________________________</td></tr>
<tr>
<td style="BORDER-TOP-STYLE: none; BORDER-RIGHT-STYLE: none; BORDER-LEFT-STYLE: none; BORDER-BOTTOM-STYLE: none" colspan="4">__________________________________________________________________</td></tr>
<tr>
<td style="BORDER-TOP-STYLE: none; BORDER-RIGHT-STYLE: none; BORDER-LEFT-STYLE: none; BORDER-BOTTOM-STYLE: none" colspan="4">
<p align="center"><sup>(Ф. И. О., должность, наименование органа санитарно-эпидемиологической службы, телефон)‎‎</sup></p></td></tr>
<tr>
<td style="BORDER-TOP-STYLE: none; BORDER-RIGHT-STYLE: none; BORDER-LEFT-STYLE: none; BORDER-BOTTOM-STYLE: none" colspan="2">‎‎Исполнено в ____________________ экземлярах‎</td>
<td style="BORDER-TOP-STYLE: none; BORDER-RIGHT-STYLE: none; BORDER-LEFT-STYLE: none; BORDER-BOTTOM-STYLE: none">‎</td>
<td style="BORDER-TOP-STYLE: none; BORDER-RIGHT-STYLE: none; BORDER-LEFT-STYLE: none; BORDER-BOTTOM-STYLE: none">‎</td></tr>
<tr>
<td style="BORDER-TOP-STYLE: none; BORDER-RIGHT-STYLE: none; BORDER-LEFT-STYLE: none; BORDER-BOTTOM-STYLE: none">Вручено:‎</td>
<td style="BORDER-TOP-STYLE: none; BORDER-RIGHT-STYLE: none; BORDER-LEFT-STYLE: none; BORDER-BOTTOM-STYLE: none">‎</td>
<td style="BORDER-TOP-STYLE: none; BORDER-RIGHT-STYLE: none; BORDER-LEFT-STYLE: none; BORDER-BOTTOM-STYLE: none">‎</td>
<td style="BORDER-TOP-STYLE: none; BORDER-RIGHT-STYLE: none; BORDER-LEFT-STYLE: none; BORDER-BOTTOM-STYLE: none">‎</td></tr>
<tr>
<td>
<p align="center"><strong>№ экз.‎</strong></p></td>
<td>
<p align="center"><strong>Организации‎</strong></p></td>
<td>
<p align="center"><strong>Дата‎</strong></p></td>
<td>
<p align="center"><strong>Отметка о вручении (подпись)‎</strong></p></td></tr>
<tr>
<td>‎</td>
<td>‎</td>
<td>‎</td>
<td>‎</td></tr>
<tr>
<td>‎</td>
<td>‎</td>
<td>‎</td>
<td>‎</td></tr>
<tr>
<td>‎</td>
<td>‎</td>
<td>‎</td>
<td>‎</td></tr>
<tr>
<td>‎</td>
<td>‎</td>
<td>‎</td>
<td>‎</td></tr>
<tr>
<td style="BORDER-TOP-STYLE: none; BORDER-RIGHT-STYLE: none; BORDER-LEFT-STYLE: none; BORDER-BOTTOM-STYLE: none" colspan="3">Срок действия санитарно-эпидемиологического заключения продлен до</td>
<td style="BORDER-TOP-STYLE: none; BORDER-RIGHT-STYLE: none; BORDER-LEFT-STYLE: none; BORDER-BOTTOM-STYLE: none">‎</td></tr>
<tr>
<td style="BORDER-TOP-STYLE: none; BORDER-RIGHT-STYLE: none; BORDER-LEFT-STYLE: none; BORDER-BOTTOM-STYLE: none" colspan="2">‎‎‎«___» _________________ 2 ______ г.</td>
<td style="BORDER-TOP-STYLE: none; BORDER-RIGHT-STYLE: none; BORDER-LEFT-STYLE: none; BORDER-BOTTOM-STYLE: none">‎</td>
<td style="BORDER-TOP-STYLE: none; BORDER-RIGHT-STYLE: none; BORDER-LEFT-STYLE: none; BORDER-BOTTOM-STYLE: none">‎</td></tr>
<tr>
<td style="BORDER-TOP-STYLE: none; BORDER-RIGHT-STYLE: none; BORDER-LEFT-STYLE: none; BORDER-BOTTOM-STYLE: none" colspan="4">‎‎‎Главный государственный санитарный врач‎ ____________________________</td></tr>
<tr>
<td style="BORDER-TOP-STYLE: none; BORDER-RIGHT-STYLE: none; BORDER-LEFT-STYLE: none; BORDER-BOTTOM-STYLE: none">‎</td>
<td style="BORDER-TOP-STYLE: none; BORDER-RIGHT-STYLE: none; BORDER-LEFT-STYLE: none; BORDER-BOTTOM-STYLE: none">‎</td>
<td style="BORDER-TOP-STYLE: none; BORDER-RIGHT-STYLE: none; BORDER-LEFT-STYLE: none; BORDER-BOTTOM-STYLE: none" colspan="2">
<p align="center"><sup><strong>‎‎(<em>Ф.И.О</em>.)</strong></sup></p></td></tr>
<tr>
<td style="BORDER-TOP-STYLE: none; BORDER-RIGHT-STYLE: none; BORDER-LEFT-STYLE: none; BORDER-BOTTOM-STYLE: none">М.П.‎</td>
<td style="BORDER-TOP-STYLE: none; BORDER-RIGHT-STYLE: none; BORDER-LEFT-STYLE: none; BORDER-BOTTOM-STYLE: none">‎</td>
<td style="BORDER-TOP-STYLE: none; BORDER-RIGHT-STYLE: none; BORDER-LEFT-STYLE: none; BORDER-BOTTOM-STYLE: none">‎</td>
<td style="BORDER-TOP-STYLE: none; BORDER-RIGHT-STYLE: none; BORDER-LEFT-STYLE: none; BORDER-BOTTOM-STYLE: none">‎</td></tr></tbody></table></div></div><div class="BY_DEFAULT lx_elem" onmousemove="lx_mo(event,1925457)"><div class="lx_elem2"><div class="lx_elem3"><span onclick="lx_sf(1925457)"><img src="/img/cmt.svg" />Ҳужжатга таклиф юбориш</span><span onclick="lx_pa(1925457)"><img src="/img/vlm.svg" />Аудиони тинглаш</span><span onclick="lx_cl(1925457)"><img src="/img/lnk.svg" />Ҳужжат элементидан ҳавола олиш</span></div></div><div name="1925457" id="1925457"></div></div><div class="APPL_BANNER_LANDSCAPE_TITLE lx_elem" onmousemove="lx_mo(event,1925472)"><div class="lx_elem2"><div class="lx_elem3"><span onclick="lx_sf(1925472)"><img src="/img/cmt.svg" />Ҳужжатга таклиф юбориш</span><span onclick="lx_pa(1925472)"><img src="/img/vlm.svg" />Аудиони тинглаш</span><span onclick="lx_cl(1925472)"><img src="/img/lnk.svg" />Ҳужжат элементидан ҳавола олиш</span></div></div><div name="1925472" id="1925472">ПРИЛОЖЕНИЕ B</div></div><div class="ACT_TITLE_APPL lx_elem" onmousemove="lx_mo(event,1925473)"><div class="lx_elem2"><div class="lx_elem3"><span onclick="lx_sf(1925473)"><img src="/img/cmt.svg" />Ҳужжатга таклиф юбориш</span><span onclick="lx_pa(1925473)"><img src="/img/vlm.svg" />Аудиони тинглаш</span><span onclick="lx_cl(1925473)"><img src="/img/lnk.svg" />Ҳужжат элементидан ҳавола олиш</span></div></div><div name="1925473" id="1925473">УКАЗАНИЯ ПО ЗАПОЛНЕНИЮ ТАБЛИЦЫ САНИТАРНО-ЭПИДЕМИОЛОГИЧЕСКОГО ЗАКЛЮЧЕНИЯ </div></div><div class="BY_DEFAULT lx_elem" onmousemove="lx_mo(event,1925474)"><div class="lx_elem2"><div class="lx_elem3"><span onclick="lx_sf(1925474)"><img src="/img/cmt.svg" />Ҳужжатга таклиф юбориш</span><span onclick="lx_pa(1925474)"><img src="/img/vlm.svg" />Аудиони тинглаш</span><span onclick="lx_cl(1925474)"><img src="/img/lnk.svg" />Ҳужжат элементидан ҳавола олиш</span></div></div><div name="1925474" id="1925474"></div></div><div class="ACT_TEXT lx_elem" onmousemove="lx_mo(event,1925475)"><div class="lx_elem2"><div class="lx_elem3"><span onclick="lx_sf(1925475)"><img src="/img/cmt.svg" />Ҳужжатга таклиф юбориш</span><span onclick="lx_pa(1925475)"><img src="/img/vlm.svg" />Аудиони тинглаш</span><span onclick="lx_cl(1925475)"><img src="/img/lnk.svg" />Ҳужжат элементидан ҳавола олиш</span></div></div><div name="1925475" id="1925475">1. Таблица заполняется санитарным врачом по радиационной гигиене и должна содержать все необходимые сведения о разрешенных работах с источниками ионизирующего излучения (ИИИ): количественной и качественной характеристике ИИИ (графа 1), виде и характере работ с ними (графа 2), месте их проведения (графа 3) и некоторых ограничительных условиях, которыми санитарный врач считает нужным оговорить разрешение на эти работы (графа 4).</div></div><div class="ACT_TEXT lx_elem" onmousemove="lx_mo(event,1925476)"><div class="lx_elem2"><div class="lx_elem3"><span onclick="lx_sf(1925476)"><img src="/img/cmt.svg" />Ҳужжатга таклиф юбориш</span><span onclick="lx_pa(1925476)"><img src="/img/vlm.svg" />Аудиони тинглаш</span><span onclick="lx_cl(1925476)"><img src="/img/lnk.svg" />Ҳужжат элементидан ҳавола олиш</span></div></div><div name="1925476" id="1925476">Санитарно-эпидемиологическое заключение является единым документом, дающим право на все работы с ИИИ, требующими разрешения ЦГСЭН (включая работы по хранению ИИИ, перевозке радиоизотопных источников, сбору, перевозке и захоронению радиоактивных отходов).</div></div><div class="ACT_TEXT lx_elem" onmousemove="lx_mo(event,1925477)"><div class="lx_elem2"><div class="lx_elem3"><span onclick="lx_sf(1925477)"><img src="/img/cmt.svg" />Ҳужжатга таклиф юбориш</span><span onclick="lx_pa(1925477)"><img src="/img/vlm.svg" />Аудиони тинглаш</span><span onclick="lx_cl(1925477)"><img src="/img/lnk.svg" />Ҳужжат элементидан ҳавола олиш</span></div></div><div name="1925477" id="1925477">2. Обязательно приводятся заголовок и номер раздела для разрешаемой группы работ с ИИИ. Под заголовком раздела IV приводятся те работы с ИИИ, которые не могут быть отнесены к разделам I— III: работы с генераторами радионуклидов, ядерными реакторами, радиоактивными отходами и другими ИИИ, со смешанной или нестрого определенной радиационной характеристикой.</div></div><div class="ACT_TEXT lx_elem" onmousemove="lx_mo(event,1925478)"><div class="lx_elem2"><div class="lx_elem3"><span onclick="lx_sf(1925478)"><img src="/img/cmt.svg" />Ҳужжатга таклиф юбориш</span><span onclick="lx_pa(1925478)"><img src="/img/vlm.svg" />Аудиони тинглаш</span><span onclick="lx_cl(1925478)"><img src="/img/lnk.svg" />Ҳужжат элементидан ҳавола олиш</span></div></div><div name="1925478" id="1925478">3. Каждому виду ИИИ (или нескольким видам с одинаковыми радиационными характеристиками) присваивается порядковый номер внутри раздела, и к этому номеру следует относить все сведения в графах 2—4, присваивая порядковые номера записям в этих графах и используя их для соотнесения записей в последующей графе по отношению к предыдущей.</div></div><div class="ACT_TEXT lx_elem" onmousemove="lx_mo(event,1925479)"><div class="lx_elem2"><div class="lx_elem3"><span onclick="lx_sf(1925479)"><img src="/img/cmt.svg" />Ҳужжатга таклиф юбориш</span><span onclick="lx_pa(1925479)"><img src="/img/vlm.svg" />Аудиони тинглаш</span><span onclick="lx_cl(1925479)"><img src="/img/lnk.svg" />Ҳужжат элементидан ҳавола олиш</span></div></div><div name="1925479" id="1925479">4. Обязательные сведения, приводимые в графе 1:</div></div><div class="ACT_TEXT lx_elem" onmousemove="lx_mo(event,1925480)"><div class="lx_elem2"><div class="lx_elem3"><span onclick="lx_sf(1925480)"><img src="/img/cmt.svg" />Ҳужжатга таклиф юбориш</span><span onclick="lx_pa(1925480)"><img src="/img/vlm.svg" />Аудиони тинглаш</span><span onclick="lx_cl(1925480)"><img src="/img/lnk.svg" />Ҳужжат элементидан ҳавола олиш</span></div></div><div name="1925480" id="1925480">в разделе I: радионуклид, вещество, его агрегатное состояние, максимально допустимая одноразовая активность на рабочем месте, годовое потребление;</div></div><div class="ACT_TEXT lx_elem" onmousemove="lx_mo(event,1925483)"><div class="lx_elem2"><div class="lx_elem3"><span onclick="lx_sf(1925483)"><img src="/img/cmt.svg" />Ҳужжатга таклиф юбориш</span><span onclick="lx_pa(1925483)"><img src="/img/vlm.svg" />Аудиони тинглаш</span><span onclick="lx_cl(1925483)"><img src="/img/lnk.svg" />Ҳужжат элементидан ҳавола олиш</span></div></div><div name="1925483" id="1925483">в разделе II: нуклид, вид источника (для установок, аппаратов, приборов;</div></div><div class="ACT_TEXT lx_elem" onmousemove="lx_mo(event,1925484)"><div class="lx_elem2"><div class="lx_elem3"><span onclick="lx_sf(1925484)"><img src="/img/cmt.svg" />Ҳужжатга таклиф юбориш</span><span onclick="lx_pa(1925484)"><img src="/img/vlm.svg" />Аудиони тинглаш</span><span onclick="lx_cl(1925484)"><img src="/img/lnk.svg" />Ҳужжат элементидан ҳавола олиш</span></div></div><div name="1925484" id="1925484">в разделе III: вид источника (для установок, аппаратов, приборов— те же сведения, что и в разделе И), вид, энергия и интенсивность излучения (или (и) ускоряющее напряжение, сила тока, мощность и т. п.), максимально допустимое количество одновременно работающих ИИИ, количество ИИИ, размещенных в одном месте;</div></div><div class="ACT_TEXT lx_elem" onmousemove="lx_mo(event,1925485)"><div class="lx_elem2"><div class="lx_elem3"><span onclick="lx_sf(1925485)"><img src="/img/cmt.svg" />Ҳужжатга таклиф юбориш</span><span onclick="lx_pa(1925485)"><img src="/img/vlm.svg" />Аудиони тинглаш</span><span onclick="lx_cl(1925485)"><img src="/img/lnk.svg" />Ҳужжат элементидан ҳавола олиш</span></div></div><div name="1925485" id="1925485">в разделе IV: в зависимости от вида и характера ИИИ те же сведения, что и к I - III разделам (для генераторов радионуклидов - данные о материнском нуклиде и производительности по дочерним продуктам); для работ по перевозке радиоизотопных источников и радиоактивных отходов спецавтотранспортом - вид, марка и номер автомашины.</div></div><div class="ACT_TEXT lx_elem" onmousemove="lx_mo(event,1925493)"><div class="lx_elem2"><div class="lx_elem3"><span onclick="lx_sf(1925493)"><img src="/img/cmt.svg" />Ҳужжатга таклиф юбориш</span><span onclick="lx_pa(1925493)"><img src="/img/vlm.svg" />Аудиони тинглаш</span><span onclick="lx_cl(1925493)"><img src="/img/lnk.svg" />Ҳужжат элементидан ҳавола олиш</span></div></div><div name="1925493" id="1925493">Обязательные сведения, приводимые в графе 2:</div></div><div class="ACT_TEXT lx_elem" onmousemove="lx_mo(event,1925494)"><div class="lx_elem2"><div class="lx_elem3"><span onclick="lx_sf(1925494)"><img src="/img/cmt.svg" />Ҳужжатга таклиф юбориш</span><span onclick="lx_pa(1925494)"><img src="/img/vlm.svg" />Аудиони тинглаш</span><span onclick="lx_cl(1925494)"><img src="/img/lnk.svg" />Ҳужжат элементидан ҳавола олиш</span></div></div><div name="1925494" id="1925494">указать вид и характер работ (стационарные, нестационарные, исследовательские, производительные и т. п.).</div></div><div class="ACT_TEXT lx_elem" onmousemove="lx_mo(event,1925495)"><div class="lx_elem2"><div class="lx_elem3"><span onclick="lx_sf(1925495)"><img src="/img/cmt.svg" />Ҳужжатга таклиф юбориш</span><span onclick="lx_pa(1925495)"><img src="/img/vlm.svg" />Аудиони тинглаш</span><span onclick="lx_cl(1925495)"><img src="/img/lnk.svg" />Ҳужжат элементидан ҳавола олиш</span></div></div><div name="1925495" id="1925495">Обязательные сведения, приводимые в графе 3:</div></div><div class="ACT_TEXT lx_elem" onmousemove="lx_mo(event,1925496)"><div class="lx_elem2"><div class="lx_elem3"><span onclick="lx_sf(1925496)"><img src="/img/cmt.svg" />Ҳужжатга таклиф юбориш</span><span onclick="lx_pa(1925496)"><img src="/img/vlm.svg" />Аудиони тинглаш</span><span onclick="lx_cl(1925496)"><img src="/img/lnk.svg" />Ҳужжат элементидан ҳавола олиш</span></div></div><div name="1925496" id="1925496">четко обозначить место работ: здание, этаж, цех, участок, комната, участок территории (в организации или вне ее).</div></div><div class="ACT_TEXT lx_elem" onmousemove="lx_mo(event,1925497)"><div class="lx_elem2"><div class="lx_elem3"><span onclick="lx_sf(1925497)"><img src="/img/cmt.svg" />Ҳужжатга таклиф юбориш</span><span onclick="lx_pa(1925497)"><img src="/img/vlm.svg" />Аудиони тинглаш</span><span onclick="lx_cl(1925497)"><img src="/img/lnk.svg" />Ҳужжат элементидан ҳавола олиш</span></div></div><div name="1925497" id="1925497">Обязательные сведения, приводимые в графе 4:</div></div><div class="ACT_TEXT lx_elem" onmousemove="lx_mo(event,1925498)"><div class="lx_elem2"><div class="lx_elem3"><span onclick="lx_sf(1925498)"><img src="/img/cmt.svg" />Ҳужжатга таклиф юбориш</span><span onclick="lx_pa(1925498)"><img src="/img/vlm.svg" />Аудиони тинглаш</span><span onclick="lx_cl(1925498)"><img src="/img/lnk.svg" />Ҳужжат элементидан ҳавола олиш</span></div></div><div name="1925498" id="1925498">раздела I (и в разделе IV при работах с открытыми ИИИ): указать класс работ, разрешенных к проведению в данных помещениях;</div></div><div class="ACT_TEXT lx_elem" onmousemove="lx_mo(event,1925499)"><div class="lx_elem2"><div class="lx_elem3"><span onclick="lx_sf(1925499)"><img src="/img/cmt.svg" />Ҳужжатга таклиф юбориш</span><span onclick="lx_pa(1925499)"><img src="/img/vlm.svg" />Аудиони тинглаш</span><span onclick="lx_cl(1925499)"><img src="/img/lnk.svg" />Ҳужжат элементидан ҳавола олиш</span></div></div><div name="1925499" id="1925499">во всех разделах: любые необходимые ограничительные условия— разрешение или запрещение проводить в данном месте другие работы, не связанные с применением ИИИ (персоналом группы А или другими работниками), исключение или уменьшение действия вредных нерадиационных факторов и т. п.</div></div><div class="BY_DEFAULT lx_elem" onmousemove="lx_mo(event,1925458)"><div class="lx_elem2"><div class="lx_elem3"><span onclick="lx_sf(1925458)"><img src="/img/cmt.svg" />Ҳужжатга таклиф юбориш</span><span onclick="lx_pa(1925458)"><img src="/img/vlm.svg" />Аудиони тинглаш</span><span onclick="lx_cl(1925458)"><img src="/img/lnk.svg" />Ҳужжат элементидан ҳавола олиш</span></div></div><div name="1925458" id="1925458"></div></div><div class="APPL_BANNER_LANDSCAPE_TITLE lx_elem" onmousemove="lx_mo(event,1925500)"><div class="lx_elem2"><div class="lx_elem3"><span onclick="lx_sf(1925500)"><img src="/img/cmt.svg" />Ҳужжатга таклиф юбориш</span><span onclick="lx_pa(1925500)"><img src="/img/vlm.svg" />Аудиони тинглаш</span><span onclick="lx_cl(1925500)"><img src="/img/lnk.svg" />Ҳужжат элементидан ҳавола олиш</span></div></div><div name="1925500" id="1925500">ПРИЛОЖЕНИЕ Г</div></div><div class="BY_DEFAULT lx_elem" onmousemove="lx_mo(event,1925501)"><div class="lx_elem2"><div class="lx_elem3"><span onclick="lx_sf(1925501)"><img src="/img/cmt.svg" />Ҳужжатга таклиф юбориш</span><span onclick="lx_pa(1925501)"><img src="/img/vlm.svg" />Аудиони тинглаш</span><span onclick="lx_cl(1925501)"><img src="/img/lnk.svg" />Ҳужжат элементидан ҳавола олиш</span></div></div><div name="1925501" id="1925501"></div></div><div class="TABLE_STD lx_elem" id="theDefCssID" onmousemove="lx_mo(event,1925506)"><div class="lx_elem2"><div class="lx_elem3"><span onclick="lx_sf(1925506)"><img src="/img/cmt.svg" />Ҳужжатга таклиф юбориш</span><span onclick="lx_pa(1925506)"><img src="/img/vlm.svg" />Аудиони тинглаш</span><span onclick="lx_cl(1925506)"><img src="/img/lnk.svg" />Ҳужжат элементидан ҳавола олиш</span></div></div><div name="1925506" id="1925506" class="tabBox"><table id="theTableID" style="TABLE-LAYOUT: fixed; PADDING-RIGHT: 0px; ; PADDING-LEFT: 0px; LEFT: 0px; PADDING-BOTTOM: 0px; WIDTH: 546px; BORDER-TOP-STYLE: none; PADDING-TOP: 0px; BORDER-RIGHT-STYLE: none; BORDER-LEFT-STYLE: none; TOP: 0px; BORDER-BOTTOM-STYLE: none" cellspacing="1" cols="18" border="1">
<colgroup>
<col />
<col />
<col />
<col />
<col />
<col />
<col />
<col />
<col />
<col />
<col />
<col />
<col />
<col />
<col />
<col />
<col />
<col /></colgroup>
<tbody>
<tr>
<td style="BORDER-TOP-STYLE: none; BORDER-RIGHT-STYLE: none; BORDER-LEFT-STYLE: none; BORDER-BOTTOM-STYLE: none">‎</td>
<td style="BORDER-TOP-STYLE: none; BORDER-RIGHT-STYLE: none; BORDER-LEFT-STYLE: none; BORDER-BOTTOM-STYLE: none">‎</td>
<td style="BORDER-TOP-STYLE: none; BORDER-RIGHT-STYLE: none; BORDER-LEFT-STYLE: none; BORDER-BOTTOM-STYLE: none">‎</td>
<td style="BORDER-TOP-STYLE: none; BORDER-RIGHT-STYLE: none; BORDER-LEFT-STYLE: none; BORDER-BOTTOM-STYLE: none">‎</td>
<td style="BORDER-TOP-STYLE: none; BORDER-RIGHT-STYLE: none; BORDER-LEFT-STYLE: none; BORDER-BOTTOM-STYLE: none">‎</td>
<td style="BORDER-TOP-STYLE: none; BORDER-RIGHT-STYLE: none; BORDER-LEFT-STYLE: none; BORDER-BOTTOM-STYLE: none">‎</td>
<td style="BORDER-TOP-STYLE: none; BORDER-RIGHT-STYLE: none; BORDER-LEFT-STYLE: none; BORDER-BOTTOM-STYLE: none">‎</td>
<td style="BORDER-TOP-STYLE: none; BORDER-RIGHT-STYLE: none; BORDER-LEFT-STYLE: none; BORDER-BOTTOM-STYLE: none">‎</td>
<td style="BORDER-TOP-STYLE: none; BORDER-RIGHT-STYLE: none; BORDER-LEFT-STYLE: none; BORDER-BOTTOM-STYLE: none">‎</td>
<td style="BORDER-TOP-STYLE: none; BORDER-RIGHT-STYLE: none; BORDER-LEFT-STYLE: none; BORDER-BOTTOM-STYLE: none">‎</td>
<td style="BORDER-TOP-STYLE: none; BORDER-RIGHT-STYLE: none; BORDER-LEFT-STYLE: none; BORDER-BOTTOM-STYLE: none">‎</td>
<td style="BORDER-TOP-STYLE: none; BORDER-RIGHT-STYLE: none; BORDER-LEFT-STYLE: none; BORDER-BOTTOM-STYLE: none">‎</td>
<td style="BORDER-TOP-STYLE: none; BORDER-RIGHT-STYLE: none; BORDER-LEFT-STYLE: none; BORDER-BOTTOM-STYLE: none"></td>
<td style="BORDER-TOP-STYLE: none; BORDER-RIGHT-STYLE: none; BORDER-LEFT-STYLE: none; BORDER-BOTTOM-STYLE: none" colspan="5">‎‎Регистрационный номер</td></tr>
<tr>
<td style="BORDER-TOP-STYLE: none; BORDER-RIGHT-STYLE: none; BORDER-LEFT-STYLE: none; BORDER-BOTTOM-STYLE: none">‎</td>
<td style="BORDER-TOP-STYLE: none; BORDER-RIGHT-STYLE: none; BORDER-LEFT-STYLE: none; BORDER-BOTTOM-STYLE: none">‎</td>
<td style="BORDER-TOP-STYLE: none; BORDER-RIGHT-STYLE: none; BORDER-LEFT-STYLE: none; BORDER-BOTTOM-STYLE: none">‎</td>
<td style="BORDER-TOP-STYLE: none; BORDER-RIGHT-STYLE: none; BORDER-LEFT-STYLE: none; BORDER-BOTTOM-STYLE: none">‎</td>
<td style="BORDER-TOP-STYLE: none; BORDER-RIGHT-STYLE: none; BORDER-LEFT-STYLE: none; BORDER-BOTTOM-STYLE: none">‎</td>
<td style="BORDER-TOP-STYLE: none; BORDER-RIGHT-STYLE: none; BORDER-LEFT-STYLE: none; BORDER-BOTTOM-STYLE: none">‎</td>
<td style="BORDER-TOP-STYLE: none; BORDER-RIGHT-STYLE: none; BORDER-LEFT-STYLE: none; BORDER-BOTTOM-STYLE: none">‎</td>
<td style="BORDER-TOP-STYLE: none; BORDER-RIGHT-STYLE: none; BORDER-LEFT-STYLE: none; BORDER-BOTTOM-STYLE: none">‎</td>
<td style="BORDER-TOP-STYLE: none; BORDER-RIGHT-STYLE: none; BORDER-LEFT-STYLE: none; BORDER-BOTTOM-STYLE: none"></td>
<td style="BORDER-TOP-STYLE: none; BORDER-RIGHT-STYLE: none; BORDER-LEFT-STYLE: none; BORDER-BOTTOM-STYLE: none">‎</td>
<td style="BORDER-TOP-STYLE: none; BORDER-RIGHT-STYLE: none; BORDER-LEFT-STYLE: none; BORDER-BOTTOM-STYLE: none">‎</td>
<td style="BORDER-TOP-STYLE: none; BORDER-RIGHT-STYLE: none; BORDER-LEFT-STYLE: none; BORDER-BOTTOM-STYLE: none">‎</td>
<td style="BORDER-TOP-STYLE: none; BORDER-RIGHT-STYLE: none; BORDER-LEFT-STYLE: none; BORDER-BOTTOM-STYLE: none">‎</td>
<td style="BORDER-TOP-STYLE: none; BORDER-RIGHT-STYLE: none; BORDER-LEFT-STYLE: none; BORDER-BOTTOM-STYLE: none" colspan="5">‎‎организации ______<br />‎</td></tr>
<tr>
<td style="BORDER-TOP-STYLE: none; BORDER-RIGHT-STYLE: none; BORDER-LEFT-STYLE: none; BORDER-BOTTOM-STYLE: none" colspan="18">
<p align="center"><strong>‎‎ЗАКАЗ-ЗАЯВКА НА ПОСТАВКУ ИСТОЧНИКОВ ИОНИЗИРУЮЩЕГО ИЗЛУЧЕНИЯ</strong> </p></td></tr>
<tr>
<td style="BORDER-TOP-STYLE: none; BORDER-RIGHT-STYLE: none; BORDER-LEFT-STYLE: none; BORDER-BOTTOM-STYLE: none" colspan="18">‎‎1. Наименование и почтовый адрес поставщика __________________________</td></tr>
<tr>
<td style="BORDER-TOP-STYLE: none; BORDER-RIGHT-STYLE: none; BORDER-LEFT-STYLE: none; BORDER-BOTTOM-STYLE: none" colspan="18">___________________________________________________________________</td></tr>
<tr>
<td style="BORDER-TOP-STYLE: none; BORDER-RIGHT-STYLE: none; BORDER-LEFT-STYLE: none; BORDER-BOTTOM-STYLE: none" colspan="18">‎‎2. Наименование и почтовый адрес заказчика ____________________________</td></tr>
<tr>
<td style="BORDER-TOP-STYLE: none; BORDER-RIGHT-STYLE: none; BORDER-LEFT-STYLE: none; BORDER-BOTTOM-STYLE: none" colspan="18">___________________________________________________________________</td></tr>
<tr>
<td style="BORDER-TOP-STYLE: none; BORDER-RIGHT-STYLE: none; BORDER-LEFT-STYLE: none; BORDER-BOTTOM-STYLE: none" colspan="18">3. Наименование организации, для которой производится заказ ____________‎</td></tr>
<tr>
<td style="BORDER-TOP-STYLE: none; BORDER-RIGHT-STYLE: none; BORDER-LEFT-STYLE: none; BORDER-BOTTOM-STYLE: none" colspan="18">‎‎___________________________________________________________________</td></tr>
<tr>
<td style="BORDER-TOP-STYLE: none; BORDER-RIGHT-STYLE: none; BORDER-LEFT-STYLE: none; BORDER-BOTTOM-STYLE: none" colspan="18">‎‎4. Предмет заказа ____________________________________________________</td></tr>
<tr>
<td style="BORDER-TOP-STYLE: none; BORDER-RIGHT-STYLE: none; BORDER-LEFT-STYLE: none; BORDER-BOTTOM-STYLE: none" colspan="18">‎‎___________________________________________________________________<br />‎</td></tr>
<tr>
<td style="BORDER-TOP-STYLE: solid; BORDER-RIGHT-STYLE: solid; BORDER-LEFT-STYLE: solid; BORDER-BOTTOM-STYLE: solid" rowspan="2">
<p align="center"><font size="2">Наименование источника‎‏<br />‎</font></p></td>
<td style="BORDER-TOP-STYLE: solid; BORDER-RIGHT-STYLE: solid; BORDER-LEFT-STYLE: solid; BORDER-BOTTOM-STYLE: solid" rowspan="2">
<p align="center"><font size="2">Единица измерения‎‏<br />‎</font></p></td>
<td style="BORDER-TOP-STYLE: solid; BORDER-RIGHT-STYLE: solid; BORDER-LEFT-STYLE: solid; BORDER-BOTTOM-STYLE: solid" rowspan="2">
<p align="center"><font size="2">Активность единицы‎‏<br />‎</font></p></td>
<td style="BORDER-TOP-STYLE: solid; BORDER-RIGHT-STYLE: solid; BORDER-LEFT-STYLE: solid; BORDER-BOTTOM-STYLE: solid" rowspan="2">
<p align="center"><font size="2">Количество единиц на год‎‏<br />‎</font></p></td>
<td style="BORDER-TOP-STYLE: solid; BORDER-RIGHT-STYLE: solid; BORDER-LEFT-STYLE: solid; BORDER-BOTTOM-STYLE: solid" colspan="12">
<p align="center">В том числе по месяцам‎‎‎‎</p></td>
<td style="BORDER-TOP-STYLE: solid; BORDER-RIGHT-STYLE: solid; BORDER-LEFT-STYLE: solid; BORDER-BOTTOM-STYLE: solid" rowspan="2">
<p align="center"><font size="2">Общее количество на год (активность)‎‏<br />‎</font></p></td>
<td style="BORDER-TOP-STYLE: solid; BORDER-RIGHT-STYLE: solid; BORDER-LEFT-STYLE: solid; BORDER-BOTTOM-STYLE: solid" rowspan="2">
<p align="center"><font size="2">Сумма, сум‎‏<br />I‎</font></p></td></tr>
<tr>
<td>I‎</td>
<td>II</td>
<td>III</td>
<td>IV</td>
<td>V</td>
<td>VI</td>
<td>VII</td>
<td>VIII</td>
<td>IX</td>
<td>X</td>
<td>XI‎</td>
<td>XII‎</td></tr>
<tr>
<td>‎</td>
<td>‎</td>
<td>‎</td>
<td>‎</td>
<td>‎</td>
<td>‎</td>
<td>‎</td>
<td>‎</td>
<td>‎</td>
<td>‎</td>
<td>‎</td>
<td>‎</td>
<td>‎</td>
<td>‎</td>
<td>‎</td>
<td>‎</td>
<td>‎</td>
<td>‎</td></tr>
<tr>
<td>‎</td>
<td>‎</td>
<td>‎</td>
<td>‎</td>
<td>‎</td>
<td>‎</td>
<td>‎</td>
<td>‎</td>
<td>‎</td>
<td>‎</td>
<td>‎</td>
<td>‎</td>
<td>‎</td>
<td>‎</td>
<td>‎</td>
<td>‎</td>
<td>‎</td>
<td>‎</td></tr>
<tr>
<td style="BORDER-TOP-STYLE: none; BORDER-RIGHT-STYLE: none; BORDER-LEFT-STYLE: none; BORDER-BOTTOM-STYLE: none" colspan="3">‎‎Итого </td>
<td style="BORDER-TOP-STYLE: none; BORDER-RIGHT-STYLE: none; BORDER-LEFT-STYLE: none; BORDER-BOTTOM-STYLE: none">‎</td>
<td style="BORDER-TOP-STYLE: none; BORDER-RIGHT-STYLE: none; BORDER-LEFT-STYLE: none; BORDER-BOTTOM-STYLE: none">‎</td>
<td style="BORDER-TOP-STYLE: none; BORDER-RIGHT-STYLE: none; BORDER-LEFT-STYLE: none; BORDER-BOTTOM-STYLE: none">‎</td>
<td style="BORDER-TOP-STYLE: none; BORDER-RIGHT-STYLE: none; BORDER-LEFT-STYLE: none; BORDER-BOTTOM-STYLE: none">‎</td>
<td style="BORDER-TOP-STYLE: none; BORDER-RIGHT-STYLE: none; BORDER-LEFT-STYLE: none; BORDER-BOTTOM-STYLE: none">‎</td>
<td style="BORDER-TOP-STYLE: none; BORDER-RIGHT-STYLE: none; BORDER-LEFT-STYLE: none; BORDER-BOTTOM-STYLE: none">‎</td>
<td style="BORDER-TOP-STYLE: none; BORDER-RIGHT-STYLE: none; BORDER-LEFT-STYLE: none; BORDER-BOTTOM-STYLE: none">‎</td>
<td style="BORDER-TOP-STYLE: none; BORDER-RIGHT-STYLE: none; BORDER-LEFT-STYLE: none; BORDER-BOTTOM-STYLE: none">‎</td>
<td style="BORDER-TOP-STYLE: none; BORDER-RIGHT-STYLE: none; BORDER-LEFT-STYLE: none; BORDER-BOTTOM-STYLE: none">‎</td>
<td style="BORDER-TOP-STYLE: none; BORDER-RIGHT-STYLE: none; BORDER-LEFT-STYLE: none; BORDER-BOTTOM-STYLE: none">‎</td>
<td style="BORDER-TOP-STYLE: none; BORDER-RIGHT-STYLE: none; BORDER-LEFT-STYLE: none; BORDER-BOTTOM-STYLE: none">‎</td>
<td style="BORDER-TOP-STYLE: none; BORDER-RIGHT-STYLE: none; BORDER-LEFT-STYLE: none; BORDER-BOTTOM-STYLE: none">‎</td>
<td style="BORDER-TOP-STYLE: none; BORDER-RIGHT-STYLE: none; BORDER-LEFT-STYLE: none; BORDER-BOTTOM-STYLE: none">‎</td>
<td style="BORDER-TOP-STYLE: none; BORDER-RIGHT-STYLE: none; BORDER-LEFT-STYLE: none; BORDER-BOTTOM-STYLE: none">‎</td>
<td style="BORDER-TOP-STYLE: none; BORDER-RIGHT-STYLE: none; BORDER-LEFT-STYLE: none; BORDER-BOTTOM-STYLE: none">‎</td></tr>
<tr>
<td style="BORDER-TOP-STYLE: none; BORDER-RIGHT-STYLE: none; BORDER-LEFT-STYLE: none; BORDER-BOTTOM-STYLE: none" colspan="18">___________________________________________________________________</td></tr>
<tr>
<td style="BORDER-TOP-STYLE: none; BORDER-RIGHT-STYLE: none; BORDER-LEFT-STYLE: none; BORDER-BOTTOM-STYLE: none" colspan="3">‎‎Примечания</td>
<td style="BORDER-TOP-STYLE: none; BORDER-RIGHT-STYLE: none; BORDER-LEFT-STYLE: none; BORDER-BOTTOM-STYLE: none">‎</td>
<td style="BORDER-TOP-STYLE: none; BORDER-RIGHT-STYLE: none; BORDER-LEFT-STYLE: none; BORDER-BOTTOM-STYLE: none">‎</td>
<td style="BORDER-TOP-STYLE: none; BORDER-RIGHT-STYLE: none; BORDER-LEFT-STYLE: none; BORDER-BOTTOM-STYLE: none">‎</td>
<td style="BORDER-TOP-STYLE: none; BORDER-RIGHT-STYLE: none; BORDER-LEFT-STYLE: none; BORDER-BOTTOM-STYLE: none">‎</td>
<td style="BORDER-TOP-STYLE: none; BORDER-RIGHT-STYLE: none; BORDER-LEFT-STYLE: none; BORDER-BOTTOM-STYLE: none">‎</td>
<td style="BORDER-TOP-STYLE: none; BORDER-RIGHT-STYLE: none; BORDER-LEFT-STYLE: none; BORDER-BOTTOM-STYLE: none">‎</td>
<td style="BORDER-TOP-STYLE: none; BORDER-RIGHT-STYLE: none; BORDER-LEFT-STYLE: none; BORDER-BOTTOM-STYLE: none">‎</td>
<td style="BORDER-TOP-STYLE: none; BORDER-RIGHT-STYLE: none; BORDER-LEFT-STYLE: none; BORDER-BOTTOM-STYLE: none">‎</td>
<td style="BORDER-TOP-STYLE: none; BORDER-RIGHT-STYLE: none; BORDER-LEFT-STYLE: none; BORDER-BOTTOM-STYLE: none">‎</td>
<td style="BORDER-TOP-STYLE: none; BORDER-RIGHT-STYLE: none; BORDER-LEFT-STYLE: none; BORDER-BOTTOM-STYLE: none">‎</td>
<td style="BORDER-TOP-STYLE: none; BORDER-RIGHT-STYLE: none; BORDER-LEFT-STYLE: none; BORDER-BOTTOM-STYLE: none">‎</td>
<td style="BORDER-TOP-STYLE: none; BORDER-RIGHT-STYLE: none; BORDER-LEFT-STYLE: none; BORDER-BOTTOM-STYLE: none">‎</td>
<td style="BORDER-TOP-STYLE: none; BORDER-RIGHT-STYLE: none; BORDER-LEFT-STYLE: none; BORDER-BOTTOM-STYLE: none">‎</td>
<td style="BORDER-TOP-STYLE: none; BORDER-RIGHT-STYLE: none; BORDER-LEFT-STYLE: none; BORDER-BOTTOM-STYLE: none">‎</td>
<td style="BORDER-TOP-STYLE: none; BORDER-RIGHT-STYLE: none; BORDER-LEFT-STYLE: none; BORDER-BOTTOM-STYLE: none">‎</td></tr>
<tr>
<td style="BORDER-TOP-STYLE: none; BORDER-RIGHT-STYLE: none; BORDER-LEFT-STYLE: none; BORDER-BOTTOM-STYLE: none" colspan="18">___________________________________________________________________</td></tr>
<tr>
<td style="BORDER-TOP-STYLE: none; BORDER-RIGHT-STYLE: none; BORDER-LEFT-STYLE: none; BORDER-BOTTOM-STYLE: none" colspan="18">‎‎5. Гарантии оплаты‎ __________________________________________________</td></tr>
<tr>
<td style="BORDER-TOP-STYLE: none; BORDER-RIGHT-STYLE: none; BORDER-LEFT-STYLE: none; BORDER-BOTTOM-STYLE: none" colspan="8">«___» ______________ 2 ______ г.</td>
<td style="BORDER-TOP-STYLE: none; BORDER-RIGHT-STYLE: none; BORDER-LEFT-STYLE: none; BORDER-BOTTOM-STYLE: none">‎</td>
<td style="BORDER-TOP-STYLE: none; BORDER-RIGHT-STYLE: none; BORDER-LEFT-STYLE: none; BORDER-BOTTOM-STYLE: none">‎</td>
<td style="BORDER-TOP-STYLE: none; BORDER-RIGHT-STYLE: none; BORDER-LEFT-STYLE: none; BORDER-BOTTOM-STYLE: none">‎</td>
<td style="BORDER-TOP-STYLE: none; BORDER-RIGHT-STYLE: none; BORDER-LEFT-STYLE: none; BORDER-BOTTOM-STYLE: none">‎</td>
<td style="BORDER-TOP-STYLE: none; BORDER-RIGHT-STYLE: none; BORDER-LEFT-STYLE: none; BORDER-BOTTOM-STYLE: none">‎</td>
<td style="BORDER-TOP-STYLE: none; BORDER-RIGHT-STYLE: none; BORDER-LEFT-STYLE: none; BORDER-BOTTOM-STYLE: none">‎</td>
<td style="BORDER-TOP-STYLE: none; BORDER-RIGHT-STYLE: none; BORDER-LEFT-STYLE: none; BORDER-BOTTOM-STYLE: none">‎</td>
<td style="BORDER-TOP-STYLE: none; BORDER-RIGHT-STYLE: none; BORDER-LEFT-STYLE: none; BORDER-BOTTOM-STYLE: none">‎</td>
<td style="BORDER-TOP-STYLE: none; BORDER-RIGHT-STYLE: none; BORDER-LEFT-STYLE: none; BORDER-BOTTOM-STYLE: none">‎</td>
<td style="BORDER-TOP-STYLE: none; BORDER-RIGHT-STYLE: none; BORDER-LEFT-STYLE: none; BORDER-BOTTOM-STYLE: none">‎</td></tr>
<tr>
<td style="BORDER-TOP-STYLE: none; BORDER-RIGHT-STYLE: none; BORDER-LEFT-STYLE: none; BORDER-BOTTOM-STYLE: none">‎</td>
<td style="BORDER-TOP-STYLE: none; BORDER-RIGHT-STYLE: none; BORDER-LEFT-STYLE: none; BORDER-BOTTOM-STYLE: none">‎</td>
<td style="BORDER-TOP-STYLE: none; BORDER-RIGHT-STYLE: none; BORDER-LEFT-STYLE: none; BORDER-BOTTOM-STYLE: none" colspan="5">‎Руководитель организации</td>
<td style="BORDER-TOP-STYLE: none; BORDER-RIGHT-STYLE: none; BORDER-LEFT-STYLE: none; BORDER-BOTTOM-STYLE: none" colspan="11">‎‎________________________________________</td></tr>
<tr>
<td style="BORDER-TOP-STYLE: none; BORDER-RIGHT-STYLE: none; BORDER-LEFT-STYLE: none; BORDER-BOTTOM-STYLE: none">‎</td>
<td style="BORDER-TOP-STYLE: none; BORDER-RIGHT-STYLE: none; BORDER-LEFT-STYLE: none; BORDER-BOTTOM-STYLE: none">‎</td>
<td style="BORDER-TOP-STYLE: none; BORDER-RIGHT-STYLE: none; BORDER-LEFT-STYLE: none; BORDER-BOTTOM-STYLE: none" colspan="4">‎Главный бухгалтер</td>
<td style="BORDER-TOP-STYLE: none; BORDER-RIGHT-STYLE: none; BORDER-LEFT-STYLE: none; BORDER-BOTTOM-STYLE: none" colspan="12">‎‎____________________________________________</td></tr>
<tr>
<td style="BORDER-TOP-STYLE: none; BORDER-RIGHT-STYLE: none; BORDER-LEFT-STYLE: none; BORDER-BOTTOM-STYLE: none">‎</td>
<td style="BORDER-TOP-STYLE: none; BORDER-RIGHT-STYLE: none; BORDER-LEFT-STYLE: none; BORDER-BOTTOM-STYLE: none">‎</td>
<td style="BORDER-TOP-STYLE: none; BORDER-RIGHT-STYLE: none; BORDER-LEFT-STYLE: none; BORDER-BOTTOM-STYLE: none" colspan="9">‎‎Главный государственный санитарный врач‎</td>
<td style="BORDER-TOP-STYLE: none; BORDER-RIGHT-STYLE: none; BORDER-LEFT-STYLE: none; BORDER-BOTTOM-STYLE: none" colspan="7">________________________</td></tr>
<tr>
<td style="BORDER-TOP-STYLE: none; BORDER-RIGHT-STYLE: none; BORDER-LEFT-STYLE: none; BORDER-BOTTOM-STYLE: none">‎</td>
<td style="BORDER-TOP-STYLE: none; BORDER-RIGHT-STYLE: none; BORDER-LEFT-STYLE: none; BORDER-BOTTOM-STYLE: none">‎</td>
<td style="BORDER-TOP-STYLE: none; BORDER-RIGHT-STYLE: none; BORDER-LEFT-STYLE: none; BORDER-BOTTOM-STYLE: none" colspan="2">М.П.</td>
<td style="BORDER-TOP-STYLE: none; BORDER-RIGHT-STYLE: none; BORDER-LEFT-STYLE: none; BORDER-BOTTOM-STYLE: none" colspan="2">‎«_____» </td>
<td style="BORDER-TOP-STYLE: none; BORDER-RIGHT-STYLE: none; BORDER-LEFT-STYLE: none; BORDER-BOTTOM-STYLE: none" colspan="3">‎‎________</td>
<td style="BORDER-TOP-STYLE: none; BORDER-RIGHT-STYLE: none; BORDER-LEFT-STYLE: none; BORDER-BOTTOM-STYLE: none" colspan="3">‎‎2 _____ г‎</td>
<td style="BORDER-TOP-STYLE: none; BORDER-RIGHT-STYLE: none; BORDER-LEFT-STYLE: none; BORDER-BOTTOM-STYLE: none">‎</td>
<td style="BORDER-TOP-STYLE: none; BORDER-RIGHT-STYLE: none; BORDER-LEFT-STYLE: none; BORDER-BOTTOM-STYLE: none">‎</td>
<td style="BORDER-TOP-STYLE: none; BORDER-RIGHT-STYLE: none; BORDER-LEFT-STYLE: none; BORDER-BOTTOM-STYLE: none">‎</td>
<td style="BORDER-TOP-STYLE: none; BORDER-RIGHT-STYLE: none; BORDER-LEFT-STYLE: none; BORDER-BOTTOM-STYLE: none">‎</td>
<td style="BORDER-TOP-STYLE: none; BORDER-RIGHT-STYLE: none; BORDER-LEFT-STYLE: none; BORDER-BOTTOM-STYLE: none">‎</td>
<td style="BORDER-TOP-STYLE: none; BORDER-RIGHT-STYLE: none; BORDER-LEFT-STYLE: none; BORDER-BOTTOM-STYLE: none">‎</td></tr>
<tr>
<td style="BORDER-TOP-STYLE: none; BORDER-RIGHT-STYLE: none; BORDER-LEFT-STYLE: none; BORDER-BOTTOM-STYLE: none" colspan="14">6. Учетные отметки о реализации заказа-заявки (при разовых поставках)‎</td>
<td style="BORDER-TOP-STYLE: none; BORDER-RIGHT-STYLE: none; BORDER-LEFT-STYLE: none; BORDER-BOTTOM-STYLE: none" colspan="4">______________</td></tr>
<tr>
<td style="BORDER-TOP-STYLE: none; BORDER-RIGHT-STYLE: none; BORDER-LEFT-STYLE: none; BORDER-BOTTOM-STYLE: none" colspan="18">‎‎___________________________________________________________________<br />‎</td></tr>
<tr>
<td style="BORDER-TOP-STYLE: none; BORDER-RIGHT-STYLE: none; BORDER-LEFT-STYLE: none; BORDER-BOTTOM-STYLE: none" colspan="6">‎‎7. Дата отправки источников ‎‎</td>
<td style="BORDER-TOP-STYLE: none; BORDER-RIGHT-STYLE: none; BORDER-LEFT-STYLE: none; BORDER-BOTTOM-STYLE: none">‎</td>
<td style="BORDER-TOP-STYLE: none; BORDER-RIGHT-STYLE: none; BORDER-LEFT-STYLE: none; BORDER-BOTTOM-STYLE: none">‎</td>
<td style="BORDER-TOP-STYLE: none; BORDER-RIGHT-STYLE: none; BORDER-LEFT-STYLE: none; BORDER-BOTTOM-STYLE: none">‎</td>
<td style="BORDER-TOP-STYLE: none; BORDER-RIGHT-STYLE: none; BORDER-LEFT-STYLE: none; BORDER-BOTTOM-STYLE: none">‎</td>
<td style="BORDER-TOP-STYLE: none; BORDER-RIGHT-STYLE: none; BORDER-LEFT-STYLE: none; BORDER-BOTTOM-STYLE: none" colspan="7">‎‎‎‎Дата получения источников</td>
<td style="BORDER-TOP-STYLE: none; BORDER-RIGHT-STYLE: none; BORDER-LEFT-STYLE: none; BORDER-BOTTOM-STYLE: none">‎</td></tr>
<tr>
<td style="BORDER-TOP-STYLE: none; BORDER-RIGHT-STYLE: none; BORDER-LEFT-STYLE: none; BORDER-BOTTOM-STYLE: none" colspan="2">‎‎заказчику</td>
<td style="BORDER-TOP-STYLE: none; BORDER-RIGHT-STYLE: none; BORDER-LEFT-STYLE: none; BORDER-BOTTOM-STYLE: none">«_»</td>
<td style="BORDER-TOP-STYLE: none; BORDER-RIGHT-STYLE: none; BORDER-LEFT-STYLE: none; BORDER-BOTTOM-STYLE: none" colspan="2">_______</td>
<td style="BORDER-TOP-STYLE: none; BORDER-RIGHT-STYLE: none; BORDER-LEFT-STYLE: none; BORDER-BOTTOM-STYLE: none" colspan="2">‎‎2 ___ г.</td>
<td style="BORDER-TOP-STYLE: none; BORDER-RIGHT-STYLE: none; BORDER-LEFT-STYLE: none; BORDER-BOTTOM-STYLE: none">‎</td>
<td style="BORDER-TOP-STYLE: none; BORDER-RIGHT-STYLE: none; BORDER-LEFT-STYLE: none; BORDER-BOTTOM-STYLE: none">‎</td>
<td style="BORDER-TOP-STYLE: none; BORDER-RIGHT-STYLE: none; BORDER-LEFT-STYLE: none; BORDER-BOTTOM-STYLE: none">‎</td>
<td style="BORDER-TOP-STYLE: none; BORDER-RIGHT-STYLE: none; BORDER-LEFT-STYLE: none; BORDER-BOTTOM-STYLE: none" colspan="3">‎‎заказчиком </td>
<td style="BORDER-TOP-STYLE: none; BORDER-RIGHT-STYLE: none; BORDER-LEFT-STYLE: none; BORDER-BOTTOM-STYLE: none">«_»‎</td>
<td style="BORDER-TOP-STYLE: none; BORDER-RIGHT-STYLE: none; BORDER-LEFT-STYLE: none; BORDER-BOTTOM-STYLE: none" colspan="2">______</td>
<td style="BORDER-TOP-STYLE: none; BORDER-RIGHT-STYLE: none; BORDER-LEFT-STYLE: none; BORDER-BOTTOM-STYLE: none" colspan="2">‎‎2 ___ г.</td></tr>
<tr>
<td style="BORDER-TOP-STYLE: none; BORDER-RIGHT-STYLE: none; BORDER-LEFT-STYLE: none; BORDER-BOTTOM-STYLE: none">‎</td>
<td style="BORDER-TOP-STYLE: none; BORDER-RIGHT-STYLE: none; BORDER-LEFT-STYLE: none; BORDER-BOTTOM-STYLE: none">‎</td>
<td style="BORDER-TOP-STYLE: none; BORDER-RIGHT-STYLE: none; BORDER-LEFT-STYLE: none; BORDER-BOTTOM-STYLE: none">‎</td>
<td style="BORDER-TOP-STYLE: none; BORDER-RIGHT-STYLE: none; BORDER-LEFT-STYLE: none; BORDER-BOTTOM-STYLE: none">‎</td>
<td style="BORDER-TOP-STYLE: none; BORDER-RIGHT-STYLE: none; BORDER-LEFT-STYLE: none; BORDER-BOTTOM-STYLE: none">‎</td>
<td style="BORDER-TOP-STYLE: none; BORDER-RIGHT-STYLE: none; BORDER-LEFT-STYLE: none; BORDER-BOTTOM-STYLE: none">‎</td>
<td style="BORDER-TOP-STYLE: none; BORDER-RIGHT-STYLE: none; BORDER-LEFT-STYLE: none; BORDER-BOTTOM-STYLE: none">‎</td>
<td style="BORDER-TOP-STYLE: none; BORDER-RIGHT-STYLE: none; BORDER-LEFT-STYLE: none; BORDER-BOTTOM-STYLE: none">‎</td>
<td style="BORDER-TOP-STYLE: none; BORDER-RIGHT-STYLE: none; BORDER-LEFT-STYLE: none; BORDER-BOTTOM-STYLE: none">‎</td>
<td style="BORDER-TOP-STYLE: none; BORDER-RIGHT-STYLE: none; BORDER-LEFT-STYLE: none; BORDER-BOTTOM-STYLE: none">‎</td>
<td style="BORDER-TOP-STYLE: none; BORDER-RIGHT-STYLE: none; BORDER-LEFT-STYLE: none; BORDER-BOTTOM-STYLE: none">‎</td>
<td style="BORDER-TOP-STYLE: none; BORDER-RIGHT-STYLE: none; BORDER-LEFT-STYLE: none; BORDER-BOTTOM-STYLE: none">‎</td>
<td style="BORDER-TOP-STYLE: none; BORDER-RIGHT-STYLE: none; BORDER-LEFT-STYLE: none; BORDER-BOTTOM-STYLE: none">‎</td>
<td style="BORDER-TOP-STYLE: none; BORDER-RIGHT-STYLE: none; BORDER-LEFT-STYLE: none; BORDER-BOTTOM-STYLE: none">‎</td>
<td style="BORDER-TOP-STYLE: none; BORDER-RIGHT-STYLE: none; BORDER-LEFT-STYLE: none; BORDER-BOTTOM-STYLE: none">‎</td>
<td style="BORDER-TOP-STYLE: none; BORDER-RIGHT-STYLE: none; BORDER-LEFT-STYLE: none; BORDER-BOTTOM-STYLE: none">‎</td>
<td style="BORDER-TOP-STYLE: none; BORDER-RIGHT-STYLE: none; BORDER-LEFT-STYLE: none; BORDER-BOTTOM-STYLE: none">‎</td>
<td style="BORDER-TOP-STYLE: none; BORDER-RIGHT-STYLE: none; BORDER-LEFT-STYLE: none; BORDER-BOTTOM-STYLE: none">‎</td></tr>
<tr>
<td style="BORDER-TOP-STYLE: none; BORDER-RIGHT-STYLE: none; BORDER-LEFT-STYLE: none; BORDER-BOTTOM-STYLE: none" colspan="4">‎‎Исполнено в 4 экз.:</td>
<td style="BORDER-TOP-STYLE: none; BORDER-RIGHT-STYLE: none; BORDER-LEFT-STYLE: none; BORDER-BOTTOM-STYLE: none">‎</td>
<td style="BORDER-TOP-STYLE: none; BORDER-RIGHT-STYLE: none; BORDER-LEFT-STYLE: none; BORDER-BOTTOM-STYLE: none">‎</td>
<td style="BORDER-TOP-STYLE: none; BORDER-RIGHT-STYLE: none; BORDER-LEFT-STYLE: none; BORDER-BOTTOM-STYLE: none">‎</td>
<td style="BORDER-TOP-STYLE: none; BORDER-RIGHT-STYLE: none; BORDER-LEFT-STYLE: none; BORDER-BOTTOM-STYLE: none">‎</td>
<td style="BORDER-TOP-STYLE: none; BORDER-RIGHT-STYLE: none; BORDER-LEFT-STYLE: none; BORDER-BOTTOM-STYLE: none">‎</td>
<td style="BORDER-TOP-STYLE: none; BORDER-RIGHT-STYLE: none; BORDER-LEFT-STYLE: none; BORDER-BOTTOM-STYLE: none">‎</td>
<td style="BORDER-TOP-STYLE: none; BORDER-RIGHT-STYLE: none; BORDER-LEFT-STYLE: none; BORDER-BOTTOM-STYLE: none">‎</td>
<td style="BORDER-TOP-STYLE: none; BORDER-RIGHT-STYLE: none; BORDER-LEFT-STYLE: none; BORDER-BOTTOM-STYLE: none">‎</td>
<td style="BORDER-TOP-STYLE: none; BORDER-RIGHT-STYLE: none; BORDER-LEFT-STYLE: none; BORDER-BOTTOM-STYLE: none">‎</td>
<td style="BORDER-TOP-STYLE: none; BORDER-RIGHT-STYLE: none; BORDER-LEFT-STYLE: none; BORDER-BOTTOM-STYLE: none">‎</td>
<td style="BORDER-TOP-STYLE: none; BORDER-RIGHT-STYLE: none; BORDER-LEFT-STYLE: none; BORDER-BOTTOM-STYLE: none">‎</td>
<td style="BORDER-TOP-STYLE: none; BORDER-RIGHT-STYLE: none; BORDER-LEFT-STYLE: none; BORDER-BOTTOM-STYLE: none">‎</td>
<td style="BORDER-TOP-STYLE: none; BORDER-RIGHT-STYLE: none; BORDER-LEFT-STYLE: none; BORDER-BOTTOM-STYLE: none">‎</td>
<td style="BORDER-TOP-STYLE: none; BORDER-RIGHT-STYLE: none; BORDER-LEFT-STYLE: none; BORDER-BOTTOM-STYLE: none">‎</td></tr>
<tr>
<td style="BORDER-TOP-STYLE: none; BORDER-RIGHT-STYLE: none; BORDER-LEFT-STYLE: none; BORDER-BOTTOM-STYLE: none">экз.‎</td>
<td style="BORDER-TOP-STYLE: none; BORDER-RIGHT-STYLE: none; BORDER-LEFT-STYLE: none; BORDER-BOTTOM-STYLE: none" colspan="4">№ 1, 2— поставщику</td>
<td style="BORDER-TOP-STYLE: none; BORDER-RIGHT-STYLE: none; BORDER-LEFT-STYLE: none; BORDER-BOTTOM-STYLE: none">‎</td>
<td style="BORDER-TOP-STYLE: none; BORDER-RIGHT-STYLE: none; BORDER-LEFT-STYLE: none; BORDER-BOTTOM-STYLE: none">‎</td>
<td style="BORDER-TOP-STYLE: none; BORDER-RIGHT-STYLE: none; BORDER-LEFT-STYLE: none; BORDER-BOTTOM-STYLE: none">‎</td>
<td style="BORDER-TOP-STYLE: none; BORDER-RIGHT-STYLE: none; BORDER-LEFT-STYLE: none; BORDER-BOTTOM-STYLE: none">‎</td>
<td style="BORDER-TOP-STYLE: none; BORDER-RIGHT-STYLE: none; BORDER-LEFT-STYLE: none; BORDER-BOTTOM-STYLE: none">‎</td>
<td style="BORDER-TOP-STYLE: none; BORDER-RIGHT-STYLE: none; BORDER-LEFT-STYLE: none; BORDER-BOTTOM-STYLE: none">‎</td>
<td style="BORDER-TOP-STYLE: none; BORDER-RIGHT-STYLE: none; BORDER-LEFT-STYLE: none; BORDER-BOTTOM-STYLE: none">‎</td>
<td style="BORDER-TOP-STYLE: none; BORDER-RIGHT-STYLE: none; BORDER-LEFT-STYLE: none; BORDER-BOTTOM-STYLE: none">‎</td>
<td style="BORDER-TOP-STYLE: none; BORDER-RIGHT-STYLE: none; BORDER-LEFT-STYLE: none; BORDER-BOTTOM-STYLE: none">‎</td>
<td style="BORDER-TOP-STYLE: none; BORDER-RIGHT-STYLE: none; BORDER-LEFT-STYLE: none; BORDER-BOTTOM-STYLE: none">‎</td>
<td style="BORDER-TOP-STYLE: none; BORDER-RIGHT-STYLE: none; BORDER-LEFT-STYLE: none; BORDER-BOTTOM-STYLE: none">‎</td>
<td style="BORDER-TOP-STYLE: none; BORDER-RIGHT-STYLE: none; BORDER-LEFT-STYLE: none; BORDER-BOTTOM-STYLE: none">‎</td>
<td style="BORDER-TOP-STYLE: none; BORDER-RIGHT-STYLE: none; BORDER-LEFT-STYLE: none; BORDER-BOTTOM-STYLE: none">‎</td></tr>
<tr>
<td style="BORDER-TOP-STYLE: none; BORDER-RIGHT-STYLE: none; BORDER-LEFT-STYLE: none; BORDER-BOTTOM-STYLE: none">экз‎.</td>
<td style="BORDER-TOP-STYLE: none; BORDER-RIGHT-STYLE: none; BORDER-LEFT-STYLE: none; BORDER-BOTTOM-STYLE: none" colspan="7">‎№ 3— главному санитарному врачу‎</td>
<td style="BORDER-TOP-STYLE: none; BORDER-RIGHT-STYLE: none; BORDER-LEFT-STYLE: none; BORDER-BOTTOM-STYLE: none">‎</td>
<td style="BORDER-TOP-STYLE: none; BORDER-RIGHT-STYLE: none; BORDER-LEFT-STYLE: none; BORDER-BOTTOM-STYLE: none">‎</td>
<td style="BORDER-TOP-STYLE: none; BORDER-RIGHT-STYLE: none; BORDER-LEFT-STYLE: none; BORDER-BOTTOM-STYLE: none">‎</td>
<td style="BORDER-TOP-STYLE: none; BORDER-RIGHT-STYLE: none; BORDER-LEFT-STYLE: none; BORDER-BOTTOM-STYLE: none">‎</td>
<td style="BORDER-TOP-STYLE: none; BORDER-RIGHT-STYLE: none; BORDER-LEFT-STYLE: none; BORDER-BOTTOM-STYLE: none">‎</td>
<td style="BORDER-TOP-STYLE: none; BORDER-RIGHT-STYLE: none; BORDER-LEFT-STYLE: none; BORDER-BOTTOM-STYLE: none">‎</td>
<td style="BORDER-TOP-STYLE: none; BORDER-RIGHT-STYLE: none; BORDER-LEFT-STYLE: none; BORDER-BOTTOM-STYLE: none">‎</td>
<td style="BORDER-TOP-STYLE: none; BORDER-RIGHT-STYLE: none; BORDER-LEFT-STYLE: none; BORDER-BOTTOM-STYLE: none">‎</td>
<td style="BORDER-TOP-STYLE: none; BORDER-RIGHT-STYLE: none; BORDER-LEFT-STYLE: none; BORDER-BOTTOM-STYLE: none">‎</td>
<td style="BORDER-TOP-STYLE: none; BORDER-RIGHT-STYLE: none; BORDER-LEFT-STYLE: none; BORDER-BOTTOM-STYLE: none">‎</td></tr>
<tr>
<td style="BORDER-TOP-STYLE: none; BORDER-RIGHT-STYLE: none; BORDER-LEFT-STYLE: none; BORDER-BOTTOM-STYLE: none">экз‎.</td>
<td style="BORDER-TOP-STYLE: none; BORDER-RIGHT-STYLE: none; BORDER-LEFT-STYLE: none; BORDER-BOTTOM-STYLE: none" colspan="3">‎№ 4— заказчику‎</td>
<td style="BORDER-TOP-STYLE: none; BORDER-RIGHT-STYLE: none; BORDER-LEFT-STYLE: none; BORDER-BOTTOM-STYLE: none">‎</td>
<td style="BORDER-TOP-STYLE: none; BORDER-RIGHT-STYLE: none; BORDER-LEFT-STYLE: none; BORDER-BOTTOM-STYLE: none">‎</td>
<td style="BORDER-TOP-STYLE: none; BORDER-RIGHT-STYLE: none; BORDER-LEFT-STYLE: none; BORDER-BOTTOM-STYLE: none">‎</td>
<td style="BORDER-TOP-STYLE: none; BORDER-RIGHT-STYLE: none; BORDER-LEFT-STYLE: none; BORDER-BOTTOM-STYLE: none">‎</td>
<td style="BORDER-TOP-STYLE: none; BORDER-RIGHT-STYLE: none; BORDER-LEFT-STYLE: none; BORDER-BOTTOM-STYLE: none">‎</td>
<td style="BORDER-TOP-STYLE: none; BORDER-RIGHT-STYLE: none; BORDER-LEFT-STYLE: none; BORDER-BOTTOM-STYLE: none">‎</td>
<td style="BORDER-TOP-STYLE: none; BORDER-RIGHT-STYLE: none; BORDER-LEFT-STYLE: none; BORDER-BOTTOM-STYLE: none">‎</td>
<td style="BORDER-TOP-STYLE: none; BORDER-RIGHT-STYLE: none; BORDER-LEFT-STYLE: none; BORDER-BOTTOM-STYLE: none">‎</td>
<td style="BORDER-TOP-STYLE: none; BORDER-RIGHT-STYLE: none; BORDER-LEFT-STYLE: none; BORDER-BOTTOM-STYLE: none">‎</td>
<td style="BORDER-TOP-STYLE: none; BORDER-RIGHT-STYLE: none; BORDER-LEFT-STYLE: none; BORDER-BOTTOM-STYLE: none">‎</td>
<td style="BORDER-TOP-STYLE: none; BORDER-RIGHT-STYLE: none; BORDER-LEFT-STYLE: none; BORDER-BOTTOM-STYLE: none">‎</td>
<td style="BORDER-TOP-STYLE: none; BORDER-RIGHT-STYLE: none; BORDER-LEFT-STYLE: none; BORDER-BOTTOM-STYLE: none">‎</td>
<td style="BORDER-TOP-STYLE: none; BORDER-RIGHT-STYLE: none; BORDER-LEFT-STYLE: none; BORDER-BOTTOM-STYLE: none">‎</td>
<td style="BORDER-TOP-STYLE: none; BORDER-RIGHT-STYLE: none; BORDER-LEFT-STYLE: none; BORDER-BOTTOM-STYLE: none">‎</td></tr></tbody></table></div></div><div class="BY_DEFAULT lx_elem" onmousemove="lx_mo(event,1925459)"><div class="lx_elem2"><div class="lx_elem3"><span onclick="lx_sf(1925459)"><img src="/img/cmt.svg" />Ҳужжатга таклиф юбориш</span><span onclick="lx_pa(1925459)"><img src="/img/vlm.svg" />Аудиони тинглаш</span><span onclick="lx_cl(1925459)"><img src="/img/lnk.svg" />Ҳужжат элементидан ҳавола олиш</span></div></div><div name="1925459" id="1925459"></div></div><div class="APPL_BANNER_LANDSCAPE_TITLE lx_elem" onmousemove="lx_mo(event,1927723)"><div class="lx_elem2"><div class="lx_elem3"><span onclick="lx_sf(1927723)"><img src="/img/cmt.svg" />Ҳужжатга таклиф юбориш</span><span onclick="lx_pa(1927723)"><img src="/img/vlm.svg" />Аудиони тинглаш</span><span onclick="lx_cl(1927723)"><img src="/img/lnk.svg" />Ҳужжат элементидан ҳавола олиш</span></div></div><div name="1927723" id="1927723">ПРИЛОЖЕНИЕ Д</div></div><div class="BY_DEFAULT lx_elem" onmousemove="lx_mo(event,1927724)"><div class="lx_elem2"><div class="lx_elem3"><span onclick="lx_sf(1927724)"><img src="/img/cmt.svg" />Ҳужжатга таклиф юбориш</span><span onclick="lx_pa(1927724)"><img src="/img/vlm.svg" />Аудиони тинглаш</span><span onclick="lx_cl(1927724)"><img src="/img/lnk.svg" />Ҳужжат элементидан ҳавола олиш</span></div></div><div name="1927724" id="1927724"></div></div><div class="TABLE_STD lx_elem" id="theDefCssID" onmousemove="lx_mo(event,1927725)"><div class="lx_elem2"><div class="lx_elem3"><span onclick="lx_sf(1927725)"><img src="/img/cmt.svg" />Ҳужжатга таклиф юбориш</span><span onclick="lx_pa(1927725)"><img src="/img/vlm.svg" />Аудиони тинглаш</span><span onclick="lx_cl(1927725)"><img src="/img/lnk.svg" />Ҳужжат элементидан ҳавола олиш</span></div></div><div name="1927725" id="1927725" class="tabBox"><table id="theTableID" style="TABLE-LAYOUT: fixed; PADDING-RIGHT: 0px; ; PADDING-LEFT: 0px; LEFT: 0px; PADDING-BOTTOM: 0px; WIDTH: 546px; BORDER-TOP-STYLE: none; PADDING-TOP: 0px; BORDER-RIGHT-STYLE: none; BORDER-LEFT-STYLE: none; TOP: 0px; BORDER-BOTTOM-STYLE: none" cellspacing="1" cols="7" border="1">
<colgroup>
<col />
<col />
<col />
<col />
<col />
<col />
<col /></colgroup>
<tbody>
<tr>
<td style="BORDER-TOP-STYLE: none; BORDER-RIGHT-STYLE: none; BORDER-LEFT-STYLE: none; BORDER-BOTTOM-STYLE: none" colspan="7">
<p align="center"><strong>ТРЕБОВАНИЕ НА ВЫДАЧУ РАДИОАКТИВНЫХ ВЕЩЕСТВ‎‎</strong></p></td></tr>
<tr>
<td style="BORDER-TOP-STYLE: none; BORDER-RIGHT-STYLE: none; BORDER-LEFT-STYLE: none; BORDER-BOTTOM-STYLE: none" colspan="3">
<p align="center"><strong><br />‎<br />‎‎‎РАЗРЕШАЮ<br />‎</strong></p></td>
<td style="BORDER-TOP-STYLE: none; BORDER-RIGHT-STYLE: none; BORDER-LEFT-STYLE: none; BORDER-BOTTOM-STYLE: none">‎</td>
<td style="BORDER-TOP-STYLE: none; BORDER-RIGHT-STYLE: none; BORDER-LEFT-STYLE: none; BORDER-BOTTOM-STYLE: none">‎</td>
<td style="BORDER-TOP-STYLE: none; BORDER-RIGHT-STYLE: none; BORDER-LEFT-STYLE: none; BORDER-BOTTOM-STYLE: none">‎</td>
<td style="BORDER-TOP-STYLE: none; BORDER-RIGHT-STYLE: none; BORDER-LEFT-STYLE: none; BORDER-BOTTOM-STYLE: none">‎</td></tr>
<tr>
<td style="BORDER-TOP-STYLE: none; BORDER-RIGHT-STYLE: none; BORDER-LEFT-STYLE: none; BORDER-BOTTOM-STYLE: none" colspan="3">‎‎____________________________</td>
<td style="BORDER-TOP-STYLE: none; BORDER-RIGHT-STYLE: none; BORDER-LEFT-STYLE: none; BORDER-BOTTOM-STYLE: none">‎</td>
<td style="BORDER-TOP-STYLE: none; BORDER-RIGHT-STYLE: none; BORDER-LEFT-STYLE: none; BORDER-BOTTOM-STYLE: none">‎</td>
<td style="BORDER-TOP-STYLE: none; BORDER-RIGHT-STYLE: none; BORDER-LEFT-STYLE: none; BORDER-BOTTOM-STYLE: none">‎</td>
<td style="BORDER-TOP-STYLE: none; BORDER-RIGHT-STYLE: none; BORDER-LEFT-STYLE: none; BORDER-BOTTOM-STYLE: none">‎</td></tr>
<tr>
<td style="BORDER-TOP-STYLE: none; BORDER-RIGHT-STYLE: none; BORDER-LEFT-STYLE: none; BORDER-BOTTOM-STYLE: none" colspan="3">
<p align="center"><sup><em><strong>(подпись руководителя организации)</strong></em></sup></p></td>
<td style="BORDER-TOP-STYLE: none; BORDER-RIGHT-STYLE: none; BORDER-LEFT-STYLE: none; BORDER-BOTTOM-STYLE: none">‎</td>
<td style="BORDER-TOP-STYLE: none; BORDER-RIGHT-STYLE: none; BORDER-LEFT-STYLE: none; BORDER-BOTTOM-STYLE: none">‎</td>
<td style="BORDER-TOP-STYLE: none; BORDER-RIGHT-STYLE: none; BORDER-LEFT-STYLE: none; BORDER-BOTTOM-STYLE: none">‎</td>
<td style="BORDER-TOP-STYLE: none; BORDER-RIGHT-STYLE: none; BORDER-LEFT-STYLE: none; BORDER-BOTTOM-STYLE: none">‎</td></tr>
<tr>
<td style="BORDER-TOP-STYLE: none; BORDER-RIGHT-STYLE: none; BORDER-LEFT-STYLE: none; BORDER-BOTTOM-STYLE: none" colspan="7">Прошу выдать для‎‎‎ ___________________________________________________________________</td></tr>
<tr>
<td style="BORDER-TOP-STYLE: none; BORDER-RIGHT-STYLE: none; BORDER-LEFT-STYLE: none; BORDER-BOTTOM-STYLE: none" colspan="7">‎‎___________________________________________________________________</td></tr>
<tr>
<td style="BORDER-TOP-STYLE: none; BORDER-RIGHT-STYLE: none; BORDER-LEFT-STYLE: none; BORDER-BOTTOM-STYLE: none">‎</td>
<td style="BORDER-TOP-STYLE: none; BORDER-RIGHT-STYLE: none; BORDER-LEFT-STYLE: none; BORDER-BOTTOM-STYLE: none">‎</td>
<td style="BORDER-TOP-STYLE: none; BORDER-RIGHT-STYLE: none; BORDER-LEFT-STYLE: none; BORDER-BOTTOM-STYLE: none" colspan="3">
<p align="center"><sup><strong><em>(указать, для какой конкретной работы)‎‎</em></strong></sup></p></td>
<td style="BORDER-TOP-STYLE: none; BORDER-RIGHT-STYLE: none; BORDER-LEFT-STYLE: none; BORDER-BOTTOM-STYLE: none">‎</td>
<td style="BORDER-TOP-STYLE: none; BORDER-RIGHT-STYLE: none; BORDER-LEFT-STYLE: none; BORDER-BOTTOM-STYLE: none">‎</td></tr>
<tr>
<td style="BORDER-TOP-STYLE: none; BORDER-RIGHT-STYLE: none; BORDER-LEFT-STYLE: none; BORDER-BOTTOM-STYLE: none" colspan="3">‎‎следующие радиоактивные вещества:</td>
<td style="BORDER-TOP-STYLE: none; BORDER-RIGHT-STYLE: none; BORDER-LEFT-STYLE: none; BORDER-BOTTOM-STYLE: none">‎</td>
<td style="BORDER-TOP-STYLE: none; BORDER-RIGHT-STYLE: none; BORDER-LEFT-STYLE: none; BORDER-BOTTOM-STYLE: none">‎</td>
<td style="BORDER-TOP-STYLE: none; BORDER-RIGHT-STYLE: none; BORDER-LEFT-STYLE: none; BORDER-BOTTOM-STYLE: none">‎</td>
<td style="BORDER-TOP-STYLE: none; BORDER-RIGHT-STYLE: none; BORDER-LEFT-STYLE: none; BORDER-BOTTOM-STYLE: none">‎</td></tr>
<tr>
<td colspan="3">
<p align="center">Требуется‎‎</p></td>
<td colspan="4">
<p align="center">Фактически выдано‎‎</p></td></tr>
<tr>
<td rowspan="2">
<p align="center">наименование вещества и вид соединений‎‏‎</p></td>
<td rowspan="2">
<p align="center">количество (объем или число источников)‎‏<br />‎</p></td>
<td rowspan="2">
<p align="center">общая активность‎‏<br />‎</p></td>
<td rowspan="2">
<p align="center">количество (объем или число источников)‎‏<br />‎</p></td>
<td colspan="2">
<p align="center">активность‎‎</p></td>
<td rowspan="2">
<p align="center">№ и дата, пас-порт, № источни¬ка (№ партии)‎‏<br />‎</p></td></tr>
<tr>
<td>по паспорту‎</td>
<td>
<p align="center">в пересчете на час выдачи вещества‎</p></td></tr>
<tr>
<td>
<p align="center">1‎</p></td>
<td>
<p align="center">2‎</p></td>
<td>
<p align="center">3‎</p></td>
<td>
<p align="center">4‎</p></td>
<td>
<p align="center">5‎</p></td>
<td>
<p align="center">6‎</p></td>
<td>
<p align="center">7‎</p></td></tr>
<tr>
<td>‎</td>
<td>‎</td>
<td>‎</td>
<td>‎</td>
<td>‎</td>
<td>‎</td>
<td>‎</td></tr>
<tr>
<td>‎</td>
<td>‎</td>
<td>‎</td>
<td>‎</td>
<td>‎</td>
<td>‎</td>
<td>‎</td></tr>
<tr>
<td style="BORDER-TOP-STYLE: none; BORDER-RIGHT-STYLE: none; BORDER-LEFT-STYLE: none; BORDER-BOTTOM-STYLE: none" colspan="2">‎‎<br />‎Затребовал сотрудник‎</td>
<td style="BORDER-TOP-STYLE: none; BORDER-RIGHT-STYLE: none; BORDER-LEFT-STYLE: none; BORDER-BOTTOM-STYLE: none">‎</td>
<td style="BORDER-TOP-STYLE: none; BORDER-RIGHT-STYLE: none; BORDER-LEFT-STYLE: none; BORDER-BOTTOM-STYLE: none">‎</td>
<td style="BORDER-TOP-STYLE: none; BORDER-RIGHT-STYLE: none; BORDER-LEFT-STYLE: none; BORDER-BOTTOM-STYLE: none" colspan="3"><br />‎‎‎Выдал ответственный за хранение радиоактивных веществ </td></tr>
<tr>
<td style="BORDER-TOP-STYLE: none; BORDER-RIGHT-STYLE: none; BORDER-LEFT-STYLE: none; BORDER-BOTTOM-STYLE: none" colspan="3">‎____________________________</td>
<td style="BORDER-TOP-STYLE: none; BORDER-RIGHT-STYLE: none; BORDER-LEFT-STYLE: none; BORDER-BOTTOM-STYLE: none">‎</td>
<td style="BORDER-TOP-STYLE: none; BORDER-RIGHT-STYLE: none; BORDER-LEFT-STYLE: none; BORDER-BOTTOM-STYLE: none" colspan="3">‎____________________________</td></tr>
<tr>
<td style="BORDER-TOP-STYLE: none; BORDER-RIGHT-STYLE: none; BORDER-LEFT-STYLE: none; BORDER-BOTTOM-STYLE: none" colspan="3">
<p align="center"><sup><strong><em>‎‎(фамилия, имя, отчество)</em></strong></sup></p></td>
<td style="BORDER-TOP-STYLE: none; BORDER-RIGHT-STYLE: none; BORDER-LEFT-STYLE: none; BORDER-BOTTOM-STYLE: none">‎</td>
<td style="BORDER-TOP-STYLE: none; BORDER-RIGHT-STYLE: none; BORDER-LEFT-STYLE: none; BORDER-BOTTOM-STYLE: none" colspan="3">
<p align="center"><em><sup><strong>‎‎‎‎(фамилия, имя, отчество)</strong></sup> </em></p></td></tr>
<tr>
<td style="BORDER-TOP-STYLE: none; BORDER-RIGHT-STYLE: none; BORDER-LEFT-STYLE: none; BORDER-BOTTOM-STYLE: none" colspan="3">‎‎____________________________</td>
<td style="BORDER-TOP-STYLE: none; BORDER-RIGHT-STYLE: none; BORDER-LEFT-STYLE: none; BORDER-BOTTOM-STYLE: none">‎</td>
<td style="BORDER-TOP-STYLE: none; BORDER-RIGHT-STYLE: none; BORDER-LEFT-STYLE: none; BORDER-BOTTOM-STYLE: none" colspan="3">‎‎____________________________</td></tr>
<tr>
<td style="BORDER-TOP-STYLE: none; BORDER-RIGHT-STYLE: none; BORDER-LEFT-STYLE: none; BORDER-BOTTOM-STYLE: none" colspan="3">
<p align="center"><sup>‎‎(название лаборатории или цеха)</sup></p></td>
<td style="BORDER-TOP-STYLE: none; BORDER-RIGHT-STYLE: none; BORDER-LEFT-STYLE: none; BORDER-BOTTOM-STYLE: none">‎</td>
<td style="BORDER-TOP-STYLE: none; BORDER-RIGHT-STYLE: none; BORDER-LEFT-STYLE: none; BORDER-BOTTOM-STYLE: none" colspan="3">
<p align="center"><sup>‎‎(наименование организации</sup></p></td></tr>
<tr>
<td style="BORDER-TOP-STYLE: none; BORDER-RIGHT-STYLE: none; BORDER-LEFT-STYLE: none; BORDER-BOTTOM-STYLE: none" colspan="2">«____» ____________</td>
<td style="BORDER-TOP-STYLE: none; BORDER-RIGHT-STYLE: none; BORDER-LEFT-STYLE: none; BORDER-BOTTOM-STYLE: none">2 ______ г‎</td>
<td style="BORDER-TOP-STYLE: none; BORDER-RIGHT-STYLE: none; BORDER-LEFT-STYLE: none; BORDER-BOTTOM-STYLE: none">‎</td>
<td style="BORDER-TOP-STYLE: none; BORDER-RIGHT-STYLE: none; BORDER-LEFT-STYLE: none; BORDER-BOTTOM-STYLE: none" colspan="2">«____» ____________‎‎</td>
<td style="BORDER-TOP-STYLE: none; BORDER-RIGHT-STYLE: none; BORDER-LEFT-STYLE: none; BORDER-BOTTOM-STYLE: none">2 ______ г‎‎</td></tr>
<tr>
<td style="BORDER-TOP-STYLE: none; BORDER-RIGHT-STYLE: none; BORDER-LEFT-STYLE: none; BORDER-BOTTOM-STYLE: none" colspan="2">‎‎__________________</td>
<td style="BORDER-TOP-STYLE: none; BORDER-RIGHT-STYLE: none; BORDER-LEFT-STYLE: none; BORDER-BOTTOM-STYLE: none"><strong>(подпись)</strong></td>
<td style="BORDER-TOP-STYLE: none; BORDER-RIGHT-STYLE: none; BORDER-LEFT-STYLE: none; BORDER-BOTTOM-STYLE: none">‎</td>
<td style="BORDER-TOP-STYLE: none; BORDER-RIGHT-STYLE: none; BORDER-LEFT-STYLE: none; BORDER-BOTTOM-STYLE: none" colspan="2">__________________‎‎‎</td>
<td style="BORDER-TOP-STYLE: none; BORDER-RIGHT-STYLE: none; BORDER-LEFT-STYLE: none; BORDER-BOTTOM-STYLE: none"><strong>(подпись)</strong></td></tr>
<tr>
<td style="BORDER-TOP-STYLE: none; BORDER-RIGHT-STYLE: none; BORDER-LEFT-STYLE: none; BORDER-BOTTOM-STYLE: none" colspan="3"><br />‎<br />‎<br />‎Получил‎‎ ____________________</td>
<td style="BORDER-TOP-STYLE: none; BORDER-RIGHT-STYLE: none; BORDER-LEFT-STYLE: none; BORDER-BOTTOM-STYLE: none">‎</td>
<td style="BORDER-TOP-STYLE: none; BORDER-RIGHT-STYLE: none; BORDER-LEFT-STYLE: none; BORDER-BOTTOM-STYLE: none">‎</td>
<td style="BORDER-TOP-STYLE: none; BORDER-RIGHT-STYLE: none; BORDER-LEFT-STYLE: none; BORDER-BOTTOM-STYLE: none">‎</td>
<td style="BORDER-TOP-STYLE: none; BORDER-RIGHT-STYLE: none; BORDER-LEFT-STYLE: none; BORDER-BOTTOM-STYLE: none">‎</td></tr>
<tr>
<td style="BORDER-TOP-STYLE: none; BORDER-RIGHT-STYLE: none; BORDER-LEFT-STYLE: none; BORDER-BOTTOM-STYLE: none">‎</td>
<td style="BORDER-TOP-STYLE: none; BORDER-RIGHT-STYLE: none; BORDER-LEFT-STYLE: none; BORDER-BOTTOM-STYLE: none" colspan="2">
<p align="center"><sup><em><strong>(подпись)‎ </strong></em></sup></p></td>
<td style="BORDER-TOP-STYLE: none; BORDER-RIGHT-STYLE: none; BORDER-LEFT-STYLE: none; BORDER-BOTTOM-STYLE: none">‎</td>
<td style="BORDER-TOP-STYLE: none; BORDER-RIGHT-STYLE: none; BORDER-LEFT-STYLE: none; BORDER-BOTTOM-STYLE: none">‎</td>
<td style="BORDER-TOP-STYLE: none; BORDER-RIGHT-STYLE: none; BORDER-LEFT-STYLE: none; BORDER-BOTTOM-STYLE: none">‎</td>
<td style="BORDER-TOP-STYLE: none; BORDER-RIGHT-STYLE: none; BORDER-LEFT-STYLE: none; BORDER-BOTTOM-STYLE: none">‎</td></tr>
<tr>
<td style="BORDER-TOP-STYLE: none; BORDER-RIGHT-STYLE: none; BORDER-LEFT-STYLE: none; BORDER-BOTTOM-STYLE: none" colspan="4">Часы‎‎ _______________‎ (для короткоживущих)‎</td>
<td style="BORDER-TOP-STYLE: none; BORDER-RIGHT-STYLE: none; BORDER-LEFT-STYLE: none; BORDER-BOTTOM-STYLE: none" colspan="2">«____» ____________‎‎‎‎</td>
<td style="BORDER-TOP-STYLE: none; BORDER-RIGHT-STYLE: none; BORDER-LEFT-STYLE: none; BORDER-BOTTOM-STYLE: none">2 ______ г‎‎‎</td></tr></tbody></table></div></div><div class="FOOTNOTE lx_elem" onmousemove="lx_mo(event,1927750)"><div class="lx_elem2"><div class="lx_elem3"><span onclick="lx_sf(1927750)"><img src="/img/cmt.svg" />Ҳужжатга таклиф юбориш</span><span onclick="lx_pa(1927750)"><img src="/img/vlm.svg" />Аудиони тинглаш</span><span onclick="lx_cl(1927750)"><img src="/img/lnk.svg" />Ҳужжат элементидан ҳавола олиш</span></div></div><div name="1927750" id="1927750">Примечание:требование составляется в двух экземплярах и подлежит хранению у ответственного за хранение лица, получившего вещество.</div></div><div class="BY_DEFAULT lx_elem" onmousemove="lx_mo(event,1925461)"><div class="lx_elem2"><div class="lx_elem3"><span onclick="lx_sf(1925461)"><img src="/img/cmt.svg" />Ҳужжатга таклиф юбориш</span><span onclick="lx_pa(1925461)"><img src="/img/vlm.svg" />Аудиони тинглаш</span><span onclick="lx_cl(1925461)"><img src="/img/lnk.svg" />Ҳужжат элементидан ҳавола олиш</span></div></div><div name="1925461" id="1925461"></div></div><div class="APPL_BANNER_LANDSCAPE_TITLE lx_elem" onmousemove="lx_mo(event,1925463)"><div class="lx_elem2"><div class="lx_elem3"><span onclick="lx_sf(1925463)"><img src="/img/cmt.svg" />Ҳужжатга таклиф юбориш</span><span onclick="lx_pa(1925463)"><img src="/img/vlm.svg" />Аудиони тинглаш</span><span onclick="lx_cl(1925463)"><img src="/img/lnk.svg" />Ҳужжат элементидан ҳавола олиш</span></div></div><div name="1925463" id="1925463">ПРИЛОЖЕНИЕ Ж</div></div><div class="BY_DEFAULT lx_elem" onmousemove="lx_mo(event,1925466)"><div class="lx_elem2"><div class="lx_elem3"><span onclick="lx_sf(1925466)"><img src="/img/cmt.svg" />Ҳужжатга таклиф юбориш</span><span onclick="lx_pa(1925466)"><img src="/img/vlm.svg" />Аудиони тинглаш</span><span onclick="lx_cl(1925466)"><img src="/img/lnk.svg" />Ҳужжат элементидан ҳавола олиш</span></div></div><div name="1925466" id="1925466"></div></div><div class="TABLE_STD lx_elem" id="theDefCssID" onmousemove="lx_mo(event,1925490)"><div class="lx_elem2"><div class="lx_elem3"><span onclick="lx_sf(1925490)"><img src="/img/cmt.svg" />Ҳужжатга таклиф юбориш</span><span onclick="lx_pa(1925490)"><img src="/img/vlm.svg" />Аудиони тинглаш</span><span onclick="lx_cl(1925490)"><img src="/img/lnk.svg" />Ҳужжат элементидан ҳавола олиш</span></div></div><div name="1925490" id="1925490" class="tabBox"><table id="theTableID" style="TABLE-LAYOUT: fixed; PADDING-RIGHT: 0px; ; PADDING-LEFT: 0px; LEFT: 2px; PADDING-BOTTOM: 0px; WIDTH: 100%; BORDER-TOP-STYLE: none; PADDING-TOP: 0px; BORDER-RIGHT-STYLE: none; BORDER-LEFT-STYLE: none; TOP: 0px; BORDER-BOTTOM-STYLE: none" cellspacing="1" cols="19" border="1">
<colgroup>
<col />
<col />
<col />
<col />
<col />
<col />
<col />
<col />
<col />
<col />
<col />
<col />
<col />
<col />
<col />
<col />
<col />
<col />
<col /></colgroup>
<tbody>
<tr>
<td style="VERTICAL-ALIGN: middle; BORDER-TOP-STYLE: none; BORDER-RIGHT-STYLE: none; BORDER-LEFT-STYLE: none; BORDER-BOTTOM-STYLE: none" colspan="19">
<p align="center"><strong><font size="2">‎ПРИХОДНО-РАСХОДНЫЙ ЖУРНАЛ УЧЕТА РАДИОНУКЛИДНЫХ ИСТОЧНИКОВ ИЗЛУЧЕНИЯ ‎‎</font></strong></p></td></tr>
<tr>
<td style="VERTICAL-ALIGN: middle" rowspan="3">
<p align="center"><font size="2">‎‏‎‏№ п/п‎</font></p></td>
<td style="VERTICAL-ALIGN: middle" colspan="11">
<p align="center"><font size="2">Приход</font></p></td>
<td style="VERTICAL-ALIGN: middle" colspan="4">
<p align="center"><font size="2">Расход</font></p></td>
<td style="VERTICAL-ALIGN: middle; TEXT-ALIGN: center" colspan="2">
<p align="center"><font size="2">Остаток‎‎</font></p></td>
<td style="VERTICAL-ALIGN: middle">
<p align="center"><font size="2">Примечание‎</font></p></td></tr>
<tr>
<td style="VERTICAL-ALIGN: middle; TEXT-ALIGN: center" rowspan="2">
<p align="center"><font size="2">Наименование поставщика‎‏</font></p></td>
<td style="VERTICAL-ALIGN: middle; TEXT-ALIGN: center" rowspan="2">
<p align="center"><font size="2">№ и дата приходной накладной</font></p></td>
<td style="VERTICAL-ALIGN: middle; TEXT-ALIGN: center" rowspan="2">
<p align="center"><font size="2">Наименование источника, прибора, аппарата, установки</font></p></td>
<td style="VERTICAL-ALIGN: middle; TEXT-ALIGN: center" colspan="4">
<p align="center"><font size="2">Прибор, аппарат, установка</font></p></td>
<td style="VERTICAL-ALIGN: middle; TEXT-ALIGN: center" colspan="4">
<p align="center"><font size="2">Источник‎‎</font></p></td>
<td style="VERTICAL-ALIGN: middle; TEXT-ALIGN: center" rowspan="2">
<p align="center"><font size="2">Кому выдано или поставлено‎‏</font></p></td>
<td style="VERTICAL-ALIGN: middle; TEXT-ALIGN: center" rowspan="2">
<p align="center"><font size="2">№ и дата накладной или требования‎‏</font></p></td>
<td style="VERTICAL-ALIGN: middle; TEXT-ALIGN: center" rowspan="2">
<p align="center"><font size="2">Количество‎‏</font></p></td>
<td style="VERTICAL-ALIGN: middle; TEXT-ALIGN: center" rowspan="2">
<p align="center"><font size="2">активность и день выдачи‎‏</font></p></td>
<td style="VERTICAL-ALIGN: middle; TEXT-ALIGN: center" rowspan="2">
<p align="center"><font size="2">количество‎‏</font></p></td>
<td style="VERTICAL-ALIGN: middle; TEXT-ALIGN: center" rowspan="2">
<p align="center"><font size="2">активность‎‏</font></p></td>
<td style="VERTICAL-ALIGN: middle; TEXT-ALIGN: center" rowspan="2">
<p align="center"><font size="2">Отметка о возврате, списании и захоронении с указанием подтверждающих документов‎‏<br />‎</font></p></td></tr>
<tr>
<td style="VERTICAL-ALIGN: middle">
<p align="center"><font size="2">заводской №‎</font></p></td>
<td style="VERTICAL-ALIGN: middle">
<p align="center"><font size="2">№ и дата технического паспорта ‎</font></p></td>
<td style="VERTICAL-ALIGN: middle">
<p align="center"><font size="2">стоимость, сум‎</font></p></td>
<td style="VERTICAL-ALIGN: middle; TEXT-ALIGN: center">
<p align="center"><font size="2">№ или № партии ‎</font></p></td>
<td style="VERTICAL-ALIGN: middle">
<p align="center"><font size="2">№ и дата выдачи тех. паспорта‎</font></p></td>
<td style="VERTICAL-ALIGN: middle">
<p align="center"><font size="2">количество‎</font></p></td>
<td style="VERTICAL-ALIGN: middle">
<p align="center"><font size="2">активность по паспорту‎</font></p></td>
<td style="VERTICAL-ALIGN: middle">
<p align="center"><font size="2">контроль наличия источника‎</font></p></td></tr>
<tr>
<td style="VERTICAL-ALIGN: middle; TEXT-ALIGN: center"><font size="2">1‎</font></td>
<td style="VERTICAL-ALIGN: middle; TEXT-ALIGN: center"><font size="2">2‎</font></td>
<td style="VERTICAL-ALIGN: middle; TEXT-ALIGN: center"><font size="2">3‎</font></td>
<td style="VERTICAL-ALIGN: middle; TEXT-ALIGN: center"><font size="2">4‎</font></td>
<td style="VERTICAL-ALIGN: middle; TEXT-ALIGN: center"><font size="2">5‎</font></td>
<td style="VERTICAL-ALIGN: middle; TEXT-ALIGN: center"><font size="2">6‎</font></td>
<td style="VERTICAL-ALIGN: middle; TEXT-ALIGN: center"><font size="2">7‎</font></td>
<td style="VERTICAL-ALIGN: middle; TEXT-ALIGN: center"><font size="2">8‎</font></td>
<td style="VERTICAL-ALIGN: middle; TEXT-ALIGN: center"><font size="2">9‎</font></td>
<td style="VERTICAL-ALIGN: middle; TEXT-ALIGN: center"><font size="2">10‎</font></td>
<td style="VERTICAL-ALIGN: middle; TEXT-ALIGN: center"><font size="2">11‎</font></td>
<td style="VERTICAL-ALIGN: middle; TEXT-ALIGN: center"><font size="2">12‎</font></td>
<td style="TEXT-ALIGN: center"><font size="2">13‎</font></td>
<td style="TEXT-ALIGN: center"><font size="2">14‎</font></td>
<td style="TEXT-ALIGN: center"><font size="2">15‎</font></td>
<td style="TEXT-ALIGN: center"><font size="2">16‎</font></td>
<td style="TEXT-ALIGN: center"><font size="2">17‎</font></td>
<td style="TEXT-ALIGN: center"><font size="2">18‎</font></td>
<td style="TEXT-ALIGN: center"><font size="2">19‎</font></td></tr>
<tr>
<td style="VERTICAL-ALIGN: middle"><font size="2">‎</font></td>
<td style="VERTICAL-ALIGN: middle"><font size="2">‎</font></td>
<td style="VERTICAL-ALIGN: middle"><font size="2">‎</font></td>
<td style="VERTICAL-ALIGN: middle; TEXT-ALIGN: center"><font size="2">‎</font></td>
<td style="VERTICAL-ALIGN: middle"><font size="2">‎</font></td>
<td style="VERTICAL-ALIGN: middle"><font size="2">‎</font></td>
<td style="VERTICAL-ALIGN: middle"><font size="2">‎</font></td>
<td style="VERTICAL-ALIGN: middle"><font size="2">‎</font></td>
<td style="VERTICAL-ALIGN: middle"><font size="2">‎</font></td>
<td style="VERTICAL-ALIGN: middle"><font size="2">‎</font></td>
<td style="VERTICAL-ALIGN: middle"><font size="2">‎</font></td>
<td style="VERTICAL-ALIGN: middle"><font size="2">‎</font></td>
<td><font size="2">‎</font></td>
<td><font size="2">‎</font></td>
<td><font size="2">‎</font></td>
<td><font size="2">‎</font></td>
<td><font size="2">‎</font></td>
<td><font size="2">‎</font></td>
<td><font size="2">‎</font></td></tr>
<tr>
<td style="VERTICAL-ALIGN: middle"><font size="2">‎</font></td>
<td style="VERTICAL-ALIGN: middle"><font size="2">‎</font></td>
<td style="VERTICAL-ALIGN: middle"><font size="2">‎</font></td>
<td style="VERTICAL-ALIGN: middle; TEXT-ALIGN: center"><font size="2">‎</font></td>
<td style="VERTICAL-ALIGN: middle"><font size="2">‎</font></td>
<td style="VERTICAL-ALIGN: middle"><font size="2">‎</font></td>
<td style="VERTICAL-ALIGN: middle"><font size="2">‎</font></td>
<td style="VERTICAL-ALIGN: middle"><font size="2">‎</font></td>
<td style="VERTICAL-ALIGN: middle"><font size="2">‎</font></td>
<td style="VERTICAL-ALIGN: middle"><font size="2">‎</font></td>
<td style="VERTICAL-ALIGN: middle"><font size="2">‎</font></td>
<td style="VERTICAL-ALIGN: middle"><font size="2">‎</font></td>
<td><font size="2">‎</font></td>
<td><font size="2">‎</font></td>
<td><font size="2">‎</font></td>
<td><font size="2">‎</font></td>
<td><font size="2">‎</font></td>
<td><font size="2">‎</font></td>
<td><font size="2">‎</font></td></tr>
<tr>
<td style="VERTICAL-ALIGN: middle">‎</td>
<td style="VERTICAL-ALIGN: middle">‎</td>
<td style="VERTICAL-ALIGN: middle">‎</td>
<td style="VERTICAL-ALIGN: middle; TEXT-ALIGN: center">‎</td>
<td style="VERTICAL-ALIGN: middle">‎</td>
<td style="VERTICAL-ALIGN: middle">‎</td>
<td style="VERTICAL-ALIGN: middle">‎</td>
<td style="VERTICAL-ALIGN: middle">‎</td>
<td style="VERTICAL-ALIGN: middle">‎</td>
<td style="VERTICAL-ALIGN: middle">‎</td>
<td style="VERTICAL-ALIGN: middle">‎</td>
<td style="VERTICAL-ALIGN: middle">‎</td>
<td>‎</td>
<td>‎</td>
<td>‎</td>
<td>‎</td>
<td>‎</td>
<td>‎</td>
<td>‎</td></tr>
<tr>
<td style="VERTICAL-ALIGN: middle">‎</td>
<td style="VERTICAL-ALIGN: middle">‎</td>
<td style="VERTICAL-ALIGN: middle">‎</td>
<td style="VERTICAL-ALIGN: middle; TEXT-ALIGN: center">‎</td>
<td style="VERTICAL-ALIGN: middle">‎</td>
<td style="VERTICAL-ALIGN: middle">‎</td>
<td style="VERTICAL-ALIGN: middle">‎</td>
<td style="VERTICAL-ALIGN: middle">‎</td>
<td style="VERTICAL-ALIGN: middle">‎</td>
<td style="VERTICAL-ALIGN: middle">‎</td>
<td style="VERTICAL-ALIGN: middle">‎</td>
<td style="VERTICAL-ALIGN: middle">‎</td>
<td>‎</td>
<td>‎</td>
<td>‎</td>
<td>‎</td>
<td>‎</td>
<td>‎</td>
<td>‎</td></tr>
<tr>
<td style="VERTICAL-ALIGN: middle">‎</td>
<td style="VERTICAL-ALIGN: middle">‎</td>
<td style="VERTICAL-ALIGN: middle">‎</td>
<td style="VERTICAL-ALIGN: middle; TEXT-ALIGN: center">‎</td>
<td style="VERTICAL-ALIGN: middle">‎</td>
<td style="VERTICAL-ALIGN: middle">‎</td>
<td style="VERTICAL-ALIGN: middle">‎</td>
<td style="VERTICAL-ALIGN: middle">‎</td>
<td style="VERTICAL-ALIGN: middle">‎</td>
<td style="VERTICAL-ALIGN: middle">‎</td>
<td style="VERTICAL-ALIGN: middle">‎</td>
<td style="VERTICAL-ALIGN: middle">‎</td>
<td>‎</td>
<td>‎</td>
<td>‎</td>
<td>‎</td>
<td>‎</td>
<td>‎</td>
<td>‎</td></tr>
<tr>
<td style="VERTICAL-ALIGN: middle">‎</td>
<td style="VERTICAL-ALIGN: middle">‎</td>
<td style="VERTICAL-ALIGN: middle">‎</td>
<td style="VERTICAL-ALIGN: middle; TEXT-ALIGN: center">‎</td>
<td style="VERTICAL-ALIGN: middle">‎</td>
<td style="VERTICAL-ALIGN: middle">‎</td>
<td style="VERTICAL-ALIGN: middle">‎</td>
<td style="VERTICAL-ALIGN: middle">‎</td>
<td style="VERTICAL-ALIGN: middle">‎</td>
<td style="VERTICAL-ALIGN: middle">‎</td>
<td style="VERTICAL-ALIGN: middle">‎</td>
<td style="VERTICAL-ALIGN: middle">‎</td>
<td>‎</td>
<td>‎</td>
<td>‎</td>
<td>‎</td>
<td>‎</td>
<td>‎</td>
<td>‎</td></tr>
<tr>
<td style="VERTICAL-ALIGN: middle">‎</td>
<td style="VERTICAL-ALIGN: middle">‎</td>
<td style="VERTICAL-ALIGN: middle">‎</td>

<td style="VERTICAL-ALIGN: middle; TEXT-ALIGN: center">‎</td>
<td style="VERTICAL-ALIGN: middle">‎</td>
<td style="VERTICAL-ALIGN: middle">‎</td>
<td style="VERTICAL-ALIGN: middle">‎</td>
<td style="VERTICAL-ALIGN: middle">‎</td>
<td style="VERTICAL-ALIGN: middle">‎</td>
<td style="VERTICAL-ALIGN: middle">‎</td>
<td style="VERTICAL-ALIGN: middle">‎</td>
<td style="VERTICAL-ALIGN: middle">‎</td>
<td>‎</td>
<td>‎</td>
<td>‎</td>
<td>‎</td>
<td>‎</td>
<td>‎</td>
<td>‎</td></tr>
<tr>
<td style="VERTICAL-ALIGN: middle">‎</td>
<td style="VERTICAL-ALIGN: middle">‎</td>
<td style="VERTICAL-ALIGN: middle">‎</td>
<td style="VERTICAL-ALIGN: middle; TEXT-ALIGN: center">‎</td>
<td style="VERTICAL-ALIGN: middle">‎</td>
<td style="VERTICAL-ALIGN: middle">‎</td>
<td style="VERTICAL-ALIGN: middle">‎</td>
<td style="VERTICAL-ALIGN: middle">‎</td>
<td style="VERTICAL-ALIGN: middle">‎</td>
<td style="VERTICAL-ALIGN: middle">‎</td>
<td style="VERTICAL-ALIGN: middle">‎</td>
<td style="VERTICAL-ALIGN: middle">‎</td>
<td>‎</td>
<td>‎</td>
<td>‎</td>
<td>‎</td>
<td>‎</td>
<td>‎</td>
<td>‎</td></tr>
<tr>
<td style="VERTICAL-ALIGN: middle">‎</td>
<td style="VERTICAL-ALIGN: middle">‎</td>
<td style="VERTICAL-ALIGN: middle">‎</td>
<td style="VERTICAL-ALIGN: middle; TEXT-ALIGN: center">‎</td>
<td style="VERTICAL-ALIGN: middle">‎</td>
<td style="VERTICAL-ALIGN: middle">‎</td>
<td style="VERTICAL-ALIGN: middle">‎</td>
<td style="VERTICAL-ALIGN: middle">‎</td>
<td style="VERTICAL-ALIGN: middle">‎</td>
<td style="VERTICAL-ALIGN: middle">‎</td>
<td style="VERTICAL-ALIGN: middle">‎</td>
<td style="VERTICAL-ALIGN: middle">‎</td>
<td>‎</td>
<td>‎</td>
<td>‎</td>
<td>‎</td>
<td>‎</td>
<td>‎</td>
<td>‎</td></tr>
<tr>
<td style="VERTICAL-ALIGN: middle">‎</td>
<td style="VERTICAL-ALIGN: middle">‎</td>
<td style="VERTICAL-ALIGN: middle">‎</td>
<td style="VERTICAL-ALIGN: middle; TEXT-ALIGN: center">‎</td>
<td style="VERTICAL-ALIGN: middle">‎</td>
<td style="VERTICAL-ALIGN: middle">‎</td>
<td style="VERTICAL-ALIGN: middle">‎</td>
<td style="VERTICAL-ALIGN: middle">‎</td>
<td style="VERTICAL-ALIGN: middle">‎</td>
<td style="VERTICAL-ALIGN: middle">‎</td>
<td style="VERTICAL-ALIGN: middle">‎</td>
<td style="VERTICAL-ALIGN: middle">‎</td>
<td>‎</td>
<td>‎</td>
<td>‎</td>
<td>‎</td>
<td>‎</td>
<td>‎</td>
<td>‎</td></tr>
<tr>
<td style="VERTICAL-ALIGN: middle">‎</td>
<td style="VERTICAL-ALIGN: middle">‎</td>
<td style="VERTICAL-ALIGN: middle">‎</td>
<td style="VERTICAL-ALIGN: middle; TEXT-ALIGN: center">‎</td>
<td style="VERTICAL-ALIGN: middle">‎</td>
<td style="VERTICAL-ALIGN: middle">‎</td>
<td style="VERTICAL-ALIGN: middle">‎</td>
<td style="VERTICAL-ALIGN: middle">‎</td>
<td style="VERTICAL-ALIGN: middle">‎</td>
<td style="VERTICAL-ALIGN: middle">‎</td>
<td style="VERTICAL-ALIGN: middle">‎</td>
<td style="VERTICAL-ALIGN: middle">‎</td>
<td>‎</td>
<td>‎</td>
<td>‎</td>
<td>‎</td>
<td>‎</td>
<td>‎</td>
<td>‎</td></tr>
<tr>
<td style="VERTICAL-ALIGN: middle">‎</td>
<td style="VERTICAL-ALIGN: middle">‎</td>
<td style="VERTICAL-ALIGN: middle">‎</td>
<td style="VERTICAL-ALIGN: middle; TEXT-ALIGN: center">‎</td>
<td style="VERTICAL-ALIGN: middle">‎</td>
<td style="VERTICAL-ALIGN: middle">‎</td>
<td style="VERTICAL-ALIGN: middle">‎</td>
<td style="VERTICAL-ALIGN: middle">‎</td>
<td style="VERTICAL-ALIGN: middle">‎</td>
<td style="VERTICAL-ALIGN: middle">‎</td>
<td style="VERTICAL-ALIGN: middle">‎</td>
<td style="VERTICAL-ALIGN: middle">‎</td>
<td>‎</td>
<td>‎</td>
<td>‎</td>
<td>‎</td>
<td>‎</td>
<td>‎</td>
<td>‎</td></tr>
<tr>
<td style="VERTICAL-ALIGN: middle">‎</td>
<td style="VERTICAL-ALIGN: middle">‎</td>
<td style="VERTICAL-ALIGN: middle">‎</td>
<td style="VERTICAL-ALIGN: middle; TEXT-ALIGN: center">‎</td>
<td style="VERTICAL-ALIGN: middle">‎</td>
<td style="VERTICAL-ALIGN: middle">‎</td>
<td style="VERTICAL-ALIGN: middle">‎</td>
<td style="VERTICAL-ALIGN: middle">‎</td>
<td style="VERTICAL-ALIGN: middle">‎</td>
<td style="VERTICAL-ALIGN: middle">‎</td>
<td style="VERTICAL-ALIGN: middle">‎</td>
<td style="VERTICAL-ALIGN: middle">‎</td>
<td>‎</td>
<td>‎</td>
<td>‎</td>
<td>‎</td>
<td>‎</td>
<td>‎</td>
<td>‎</td></tr>
<tr>
<td style="VERTICAL-ALIGN: middle">‎</td>
<td style="VERTICAL-ALIGN: middle">‎</td>
<td style="VERTICAL-ALIGN: middle">‎</td>
<td style="VERTICAL-ALIGN: middle; TEXT-ALIGN: center">‎</td>
<td style="VERTICAL-ALIGN: middle">‎</td>
<td style="VERTICAL-ALIGN: middle">‎</td>
<td style="VERTICAL-ALIGN: middle">‎</td>
<td style="VERTICAL-ALIGN: middle">‎</td>
<td style="VERTICAL-ALIGN: middle">‎</td>
<td style="VERTICAL-ALIGN: middle">‎</td>
<td style="VERTICAL-ALIGN: middle">‎</td>
<td style="VERTICAL-ALIGN: middle">‎</td>
<td>‎</td>
<td>‎</td>
<td>‎</td>
<td>‎</td>
<td>‎</td>
<td>‎</td>
<td>‎</td></tr>
<tr>
<td style="VERTICAL-ALIGN: middle">‎</td>
<td style="VERTICAL-ALIGN: middle">‎</td>
<td style="VERTICAL-ALIGN: middle">‎</td>
<td style="VERTICAL-ALIGN: middle; TEXT-ALIGN: center">‎</td>
<td style="VERTICAL-ALIGN: middle">‎</td>
<td style="VERTICAL-ALIGN: middle">‎</td>
<td style="VERTICAL-ALIGN: middle">‎</td>
<td style="VERTICAL-ALIGN: middle">‎</td>
<td style="VERTICAL-ALIGN: middle">‎</td>
<td style="VERTICAL-ALIGN: middle">‎</td>
<td style="VERTICAL-ALIGN: middle">‎</td>
<td style="VERTICAL-ALIGN: middle">‎</td>
<td>‎</td>
<td>‎</td>
<td>‎</td>
<td>‎</td>
<td>‎</td>
<td>‎</td>
<td>‎</td></tr>
<tr>
<td style="VERTICAL-ALIGN: middle">‎</td>
<td style="VERTICAL-ALIGN: middle">‎</td>
<td style="VERTICAL-ALIGN: middle">‎</td>
<td style="VERTICAL-ALIGN: middle; TEXT-ALIGN: center">‎</td>
<td style="VERTICAL-ALIGN: middle">‎</td>
<td style="VERTICAL-ALIGN: middle">‎</td>
<td style="VERTICAL-ALIGN: middle">‎</td>
<td style="VERTICAL-ALIGN: middle">‎</td>
<td style="VERTICAL-ALIGN: middle">‎</td>
<td style="VERTICAL-ALIGN: middle">‎</td>
<td style="VERTICAL-ALIGN: middle">‎</td>
<td style="VERTICAL-ALIGN: middle">‎</td>
<td>‎</td>
<td>‎</td>
<td>‎</td>
<td>‎</td>
<td>‎</td>
<td>‎</td>
<td>‎</td></tr>
<tr>
<td style="VERTICAL-ALIGN: middle">‎</td>
<td style="VERTICAL-ALIGN: middle">‎</td>
<td style="VERTICAL-ALIGN: middle">‎</td>
<td style="VERTICAL-ALIGN: middle; TEXT-ALIGN: center">‎</td>
<td style="VERTICAL-ALIGN: middle">‎</td>
<td style="VERTICAL-ALIGN: middle">‎</td>
<td style="VERTICAL-ALIGN: middle">‎</td>
<td style="VERTICAL-ALIGN: middle">‎</td>
<td style="VERTICAL-ALIGN: middle">‎</td>
<td style="VERTICAL-ALIGN: middle">‎</td>
<td style="VERTICAL-ALIGN: middle">‎</td>
<td style="VERTICAL-ALIGN: middle">‎</td>
<td>‎</td>
<td>‎</td>
<td>‎</td>
<td>‎</td>
<td>‎</td>
<td>‎</td>
<td>‎</td></tr>
<tr>
<td style="VERTICAL-ALIGN: middle">‎</td>
<td style="VERTICAL-ALIGN: middle">‎</td>
<td style="VERTICAL-ALIGN: middle">‎</td>
<td style="VERTICAL-ALIGN: middle; TEXT-ALIGN: center">‎</td>
<td style="VERTICAL-ALIGN: middle">‎</td>
<td style="VERTICAL-ALIGN: middle">‎</td>
<td style="VERTICAL-ALIGN: middle">‎</td>
<td style="VERTICAL-ALIGN: middle">‎</td>
<td style="VERTICAL-ALIGN: middle">‎</td>
<td style="VERTICAL-ALIGN: middle">‎</td>
<td style="VERTICAL-ALIGN: middle">‎</td>
<td style="VERTICAL-ALIGN: middle">‎</td>
<td>‎</td>
<td>‎</td>
<td>‎</td>
<td>‎</td>
<td>‎</td>
<td>‎</td>
<td>‎</td></tr></tbody></table></div></div><div class="BY_DEFAULT lx_elem" onmousemove="lx_mo(event,1927370)"><div class="lx_elem2"><div class="lx_elem3"><span onclick="lx_sf(1927370)"><img src="/img/cmt.svg" />Ҳужжатга таклиф юбориш</span><span onclick="lx_pa(1927370)"><img src="/img/vlm.svg" />Аудиони тинглаш</span><span onclick="lx_cl(1927370)"><img src="/img/lnk.svg" />Ҳужжат элементидан ҳавола олиш</span></div></div><div name="1927370" id="1927370"></div></div><div class="APPL_BANNER_LANDSCAPE_TITLE lx_elem" onmousemove="lx_mo(event,1927762)"><div class="lx_elem2"><div class="lx_elem3"><span onclick="lx_sf(1927762)"><img src="/img/cmt.svg" />Ҳужжатга таклиф юбориш</span><span onclick="lx_pa(1927762)"><img src="/img/vlm.svg" />Аудиони тинглаш</span><span onclick="lx_cl(1927762)"><img src="/img/lnk.svg" />Ҳужжат элементидан ҳавола олиш</span></div></div><div name="1927762" id="1927762">ПРИЛОЖЕНИЕ К</div></div><div class="BY_DEFAULT lx_elem" onmousemove="lx_mo(event,1927763)"><div class="lx_elem2"><div class="lx_elem3"><span onclick="lx_sf(1927763)"><img src="/img/cmt.svg" />Ҳужжатга таклиф юбориш</span><span onclick="lx_pa(1927763)"><img src="/img/vlm.svg" />Аудиони тинглаш</span><span onclick="lx_cl(1927763)"><img src="/img/lnk.svg" />Ҳужжат элементидан ҳавола олиш</span></div></div><div name="1927763" id="1927763"></div></div><div class="TABLE_STD lx_elem" id="theDefCssID" onmousemove="lx_mo(event,1927764)"><div class="lx_elem2"><div class="lx_elem3"><span onclick="lx_sf(1927764)"><img src="/img/cmt.svg" />Ҳужжатга таклиф юбориш</span><span onclick="lx_pa(1927764)"><img src="/img/vlm.svg" />Аудиони тинглаш</span><span onclick="lx_cl(1927764)"><img src="/img/lnk.svg" />Ҳужжат элементидан ҳавола олиш</span></div></div><div name="1927764" id="1927764" class="tabBox"><table id="theTableID" style="PADDING-RIGHT: 0px; ; PADDING-LEFT: 0px; LEFT: 0px; PADDING-BOTTOM: 0px; WIDTH: 546px; BORDER-TOP-STYLE: none; PADDING-TOP: 0px; BORDER-RIGHT-STYLE: none; BORDER-LEFT-STYLE: none; TOP: 0px; BORDER-BOTTOM-STYLE: none" cellspacing="1" cols="3" border="1">
<colgroup>
<col />
<col />
<col /></colgroup>
<tbody>
<tr>
<td style="BORDER-TOP-STYLE: none; BORDER-RIGHT-STYLE: none; BORDER-LEFT-STYLE: none; BORDER-BOTTOM-STYLE: none"><strong>Утверждаю‎<br />‎</strong></td>
<td style="BORDER-TOP-STYLE: none; BORDER-RIGHT-STYLE: none; BORDER-LEFT-STYLE: none; BORDER-BOTTOM-STYLE: none">‎</td>
<td style="BORDER-TOP-STYLE: none; BORDER-RIGHT-STYLE: none; BORDER-LEFT-STYLE: none; BORDER-BOTTOM-STYLE: none">‎</td></tr>
<tr>
<td style="BORDER-TOP-STYLE: none; BORDER-RIGHT-STYLE: none; BORDER-LEFT-STYLE: none; BORDER-BOTTOM-STYLE: none">_____________________‎</td>
<td style="BORDER-TOP-STYLE: none; BORDER-RIGHT-STYLE: none; BORDER-LEFT-STYLE: none; BORDER-BOTTOM-STYLE: none">‎</td>
<td style="BORDER-TOP-STYLE: none; BORDER-RIGHT-STYLE: none; BORDER-LEFT-STYLE: none; BORDER-BOTTOM-STYLE: none">‎</td></tr>
<tr>
<td style="BORDER-TOP-STYLE: none; BORDER-RIGHT-STYLE: none; BORDER-LEFT-STYLE: none; BORDER-BOTTOM-STYLE: none">
<p align="center"><sup><em><strong>(подпись руководителя организации)‎</strong></em></sup></p></td>
<td style="BORDER-TOP-STYLE: none; BORDER-RIGHT-STYLE: none; BORDER-LEFT-STYLE: none; BORDER-BOTTOM-STYLE: none">‎</td>
<td style="BORDER-TOP-STYLE: none; BORDER-RIGHT-STYLE: none; BORDER-LEFT-STYLE: none; BORDER-BOTTOM-STYLE: none">‎</td></tr>
<tr>
<td style="BORDER-TOP-STYLE: none; BORDER-RIGHT-STYLE: none; BORDER-LEFT-STYLE: none; BORDER-BOTTOM-STYLE: none">«___» ________ 2 ____ г.‎</td>
<td style="BORDER-TOP-STYLE: none; BORDER-RIGHT-STYLE: none; BORDER-LEFT-STYLE: none; BORDER-BOTTOM-STYLE: none">‎</td>
<td style="BORDER-TOP-STYLE: none; BORDER-RIGHT-STYLE: none; BORDER-LEFT-STYLE: none; BORDER-BOTTOM-STYLE: none">‎</td></tr>
<tr>
<td style="BORDER-TOP-STYLE: none; BORDER-RIGHT-STYLE: none; BORDER-LEFT-STYLE: none; BORDER-BOTTOM-STYLE: none" colspan="3">
<p align="center"><strong><br />‎‎‎АКТ О РАСХОДОВАНИИ И СПИСАНИИ <br />‎РАДИОНУКЛИДНЫХ ИСТОЧНИКОВ ИЗЛУЧЕНИЯ ОРГАНИЗАЦИИ</strong> </p></td></tr>
<tr>
<td style="BORDER-TOP-STYLE: none; BORDER-RIGHT-STYLE: none; BORDER-LEFT-STYLE: none; BORDER-BOTTOM-STYLE: none" colspan="3">___________________________________________________________________</td></tr>
<tr>
<td style="BORDER-TOP-STYLE: none; BORDER-RIGHT-STYLE: none; BORDER-LEFT-STYLE: none; BORDER-BOTTOM-STYLE: none">‎</td>
<td style="BORDER-TOP-STYLE: none; BORDER-RIGHT-STYLE: none; BORDER-LEFT-STYLE: none; BORDER-BOTTOM-STYLE: none">
<p align="center"><sup><em><strong>(наименование организации)‎</strong></em></sup></p></td>
<td style="BORDER-TOP-STYLE: none; BORDER-RIGHT-STYLE: none; BORDER-LEFT-STYLE: none; BORDER-BOTTOM-STYLE: none">‎</td></tr>
<tr>
<td style="BORDER-TOP-STYLE: none; BORDER-RIGHT-STYLE: none; BORDER-LEFT-STYLE: none; BORDER-BOTTOM-STYLE: none" colspan="3">Настоящий акт составлен сотрудниками ________________________________‎‎</td></tr>
<tr>
<td style="BORDER-TOP-STYLE: none; BORDER-RIGHT-STYLE: none; BORDER-LEFT-STYLE: none; BORDER-BOTTOM-STYLE: none" colspan="3">__________________________________________________________________,</td></tr>
<tr>
<td style="BORDER-TOP-STYLE: none; BORDER-RIGHT-STYLE: none; BORDER-LEFT-STYLE: none; BORDER-BOTTOM-STYLE: none">‎</td>
<td style="BORDER-TOP-STYLE: none; BORDER-RIGHT-STYLE: none; BORDER-LEFT-STYLE: none; BORDER-BOTTOM-STYLE: none">
<p align="center"><sup><em><strong>(фамилия, имя, отчество) ‎</strong></em></sup></p></td>
<td style="BORDER-TOP-STYLE: none; BORDER-RIGHT-STYLE: none; BORDER-LEFT-STYLE: none; BORDER-BOTTOM-STYLE: none">‎</td></tr>
<tr>
<td style="BORDER-TOP-STYLE: none; BORDER-RIGHT-STYLE: none; BORDER-LEFT-STYLE: none; BORDER-BOTTOM-STYLE: none" colspan="2">‎‎в том, что полученное по требованию № ______</td>
<td style="BORDER-TOP-STYLE: none; BORDER-RIGHT-STYLE: none; BORDER-LEFT-STYLE: none; BORDER-BOTTOM-STYLE: none">«___» _________ 2 ____ г.‎‎</td></tr>
<tr>
<td style="BORDER-TOP-STYLE: none; BORDER-RIGHT-STYLE: none; BORDER-LEFT-STYLE: none; BORDER-BOTTOM-STYLE: none" colspan="3">радиоактивное вещество _____________________________________________‎‎</td></tr>
<tr>
<td style="BORDER-TOP-STYLE: none; BORDER-RIGHT-STYLE: none; BORDER-LEFT-STYLE: none; BORDER-BOTTOM-STYLE: none" colspan="3">‎‎___________________________________________________________________</td></tr>
<tr>
<td style="BORDER-TOP-STYLE: none; BORDER-RIGHT-STYLE: none; BORDER-LEFT-STYLE: none; BORDER-BOTTOM-STYLE: none" colspan="3">
<p align="center"><sup><strong><em>‎‎(наименование, номер источника или номер партии, номер и дата паспорта)</em></strong></sup></p></td></tr>
<tr>
<td style="BORDER-TOP-STYLE: none; BORDER-RIGHT-STYLE: none; BORDER-LEFT-STYLE: none; BORDER-BOTTOM-STYLE: none">в количестве __________‎</td>
<td style="BORDER-TOP-STYLE: none; BORDER-RIGHT-STYLE: none; BORDER-LEFT-STYLE: none; BORDER-BOTTOM-STYLE: none" colspan="2">с удельной активностью _______________________</td></tr>
<tr>
<td style="BORDER-TOP-STYLE: none; BORDER-RIGHT-STYLE: none; BORDER-LEFT-STYLE: none; BORDER-BOTTOM-STYLE: none" colspan="3">и общей активностью‎‎ ________________________________________________</td></tr>
<tr>
<td style="BORDER-TOP-STYLE: none; BORDER-RIGHT-STYLE: none; BORDER-LEFT-STYLE: none; BORDER-BOTTOM-STYLE: none" colspan="2">по измерениям на _______час._______ мин.‎‎</td>
<td style="BORDER-TOP-STYLE: none; BORDER-RIGHT-STYLE: none; BORDER-LEFT-STYLE: none; BORDER-BOTTOM-STYLE: none">‎</td></tr>
<tr>
<td style="BORDER-TOP-STYLE: none; BORDER-RIGHT-STYLE: none; BORDER-LEFT-STYLE: none; BORDER-BOTTOM-STYLE: none" colspan="3">‎‎(первоначальная стоимость _______________________________________ сум)</td></tr>
<tr>
<td style="BORDER-TOP-STYLE: none; BORDER-RIGHT-STYLE: none; BORDER-LEFT-STYLE: none; BORDER-BOTTOM-STYLE: none">«___» ________ 2 ____ г.‎‎‎,</td>
<td style="BORDER-TOP-STYLE: none; BORDER-RIGHT-STYLE: none; BORDER-LEFT-STYLE: none; BORDER-BOTTOM-STYLE: none" colspan="2">использовано для _____________________________</td></tr>
<tr>
<td style="BORDER-TOP-STYLE: none; BORDER-RIGHT-STYLE: none; BORDER-LEFT-STYLE: none; BORDER-BOTTOM-STYLE: none" colspan="3">‎‎___________________________________________________________________</td></tr>
<tr>
<td style="BORDER-TOP-STYLE: none; BORDER-RIGHT-STYLE: none; BORDER-LEFT-STYLE: none; BORDER-BOTTOM-STYLE: none" colspan="3">___________________________________________________________________</td></tr>
<tr>
<td style="BORDER-TOP-STYLE: none; BORDER-RIGHT-STYLE: none; BORDER-LEFT-STYLE: none; BORDER-BOTTOM-STYLE: none">‎</td>
<td style="BORDER-TOP-STYLE: none; BORDER-RIGHT-STYLE: none; BORDER-LEFT-STYLE: none; BORDER-BOTTOM-STYLE: none">
<p align="center"><sup><strong><em>(указать характер работы)‎</em></strong></sup></p></td>
<td style="BORDER-TOP-STYLE: none; BORDER-RIGHT-STYLE: none; BORDER-LEFT-STYLE: none; BORDER-BOTTOM-STYLE: none">‎</td></tr>
<tr>
<td style="BORDER-TOP-STYLE: none; BORDER-RIGHT-STYLE: none; BORDER-LEFT-STYLE: none; BORDER-BOTTOM-STYLE: none" colspan="3">Работу проводил ___________________________________________________________________</td></tr>
<tr>
<td style="BORDER-TOP-STYLE: none; BORDER-RIGHT-STYLE: none; BORDER-LEFT-STYLE: none; BORDER-BOTTOM-STYLE: none">‎</td>
<td style="BORDER-TOP-STYLE: none; BORDER-RIGHT-STYLE: none; BORDER-LEFT-STYLE: none; BORDER-BOTTOM-STYLE: none" colspan="2">
<p align="left"><strong><em><sup>(фамилия и инициалы сотрудника)‎</sup></em></strong></p>‎<br />‎</td></tr>
<tr>
<td style="BORDER-TOP-STYLE: none; BORDER-RIGHT-STYLE: none; BORDER-LEFT-STYLE: none; BORDER-BOTTOM-STYLE: none" colspan="3">‎‎В процессе работ ___________________________________________________________________</td></tr>
<tr>
<td style="BORDER-TOP-STYLE: none; BORDER-RIGHT-STYLE: none; BORDER-LEFT-STYLE: none; BORDER-BOTTOM-STYLE: none" colspan="3">‎‎___________________________________________________________________</td></tr>
<tr>
<td style="BORDER-TOP-STYLE: none; BORDER-RIGHT-STYLE: none; BORDER-LEFT-STYLE: none; BORDER-BOTTOM-STYLE: none" colspan="3">
<p align="center"><strong><em><sup>‎‎(краткое описание того, что произошло с исходным нуклидом)</sup></em></strong></p></td></tr>
<tr>
<td style="BORDER-TOP-STYLE: none; BORDER-RIGHT-STYLE: none; BORDER-LEFT-STYLE: none; BORDER-BOTTOM-STYLE: none" colspan="3">‎‎Отходы в виде ___________________________________________________________________</td></tr>
<tr>
<td style="BORDER-TOP-STYLE: none; BORDER-RIGHT-STYLE: none; BORDER-LEFT-STYLE: none; BORDER-BOTTOM-STYLE: none" colspan="2">сданы на захоронение по документу № ___________</td>
<td style="BORDER-TOP-STYLE: none; BORDER-RIGHT-STYLE: none; BORDER-LEFT-STYLE: none; BORDER-BOTTOM-STYLE: none">«___» _________ 2 ____ г.‎‎‎</td></tr>
<tr>
<td style="BORDER-TOP-STYLE: none; BORDER-RIGHT-STYLE: none; BORDER-LEFT-STYLE: none; BORDER-BOTTOM-STYLE: none" colspan="3">‎‎Остаток вещества _______________________в количестве _________________</td></tr>
<tr>
<td style="BORDER-TOP-STYLE: none; BORDER-RIGHT-STYLE: none; BORDER-LEFT-STYLE: none; BORDER-BOTTOM-STYLE: none" colspan="3">общей активностью __________________________________________________‎‎</td></tr>
<tr>
<td style="BORDER-TOP-STYLE: none; BORDER-RIGHT-STYLE: none; BORDER-LEFT-STYLE: none; BORDER-BOTTOM-STYLE: none" colspan="3">‎‎___________________________________________________________________</td></tr>
<tr>
<td style="BORDER-TOP-STYLE: none; BORDER-RIGHT-STYLE: none; BORDER-LEFT-STYLE: none; BORDER-BOTTOM-STYLE: none" colspan="3">
<p align="center"><strong><em><sup>‎‎(возвращен в хранилище или отсутствует)</sup></em></strong></p></td></tr>
<tr>
<td style="BORDER-TOP-STYLE: none; BORDER-RIGHT-STYLE: none; BORDER-LEFT-STYLE: none; BORDER-BOTTOM-STYLE: none" colspan="2">‎‎____________________________________________</td>
<td style="BORDER-TOP-STYLE: none; BORDER-RIGHT-STYLE: none; BORDER-LEFT-STYLE: none; BORDER-BOTTOM-STYLE: none">«___» _________ 2 ____ г.‎‎‎‎</td></tr>
<tr>
<td style="BORDER-TOP-STYLE: none; BORDER-RIGHT-STYLE: none; BORDER-LEFT-STYLE: none; BORDER-BOTTOM-STYLE: none"><br />‎<br />‎Руководитель работ ‎</td>
<td style="BORDER-TOP-STYLE: none; BORDER-RIGHT-STYLE: none; BORDER-LEFT-STYLE: none; BORDER-BOTTOM-STYLE: none">‎</td>
<td style="BORDER-TOP-STYLE: none; BORDER-RIGHT-STYLE: none; BORDER-LEFT-STYLE: none; BORDER-BOTTOM-STYLE: none"><br />‎<br />‎______________________‎</td></tr>
<tr>
<td style="BORDER-TOP-STYLE: none; BORDER-RIGHT-STYLE: none; BORDER-LEFT-STYLE: none; BORDER-BOTTOM-STYLE: none">‎</td>
<td style="BORDER-TOP-STYLE: none; BORDER-RIGHT-STYLE: none; BORDER-LEFT-STYLE: none; BORDER-BOTTOM-STYLE: none">‎</td>
<td style="BORDER-TOP-STYLE: none; BORDER-RIGHT-STYLE: none; BORDER-LEFT-STYLE: none; BORDER-BOTTOM-STYLE: none">
<p align="center"><sup><strong><em>(подпись)‎</em></strong></sup></p></td></tr>
<tr>
<td style="BORDER-TOP-STYLE: none; BORDER-RIGHT-STYLE: none; BORDER-LEFT-STYLE: none; BORDER-BOTTOM-STYLE: none">Сотрудник‎</td>
<td style="BORDER-TOP-STYLE: none; BORDER-RIGHT-STYLE: none; BORDER-LEFT-STYLE: none; BORDER-BOTTOM-STYLE: none">‎</td>
<td style="BORDER-TOP-STYLE: none; BORDER-RIGHT-STYLE: none; BORDER-LEFT-STYLE: none; BORDER-BOTTOM-STYLE: none">______________________‎</td></tr>
<tr>
<td style="BORDER-TOP-STYLE: none; BORDER-RIGHT-STYLE: none; BORDER-LEFT-STYLE: none; BORDER-BOTTOM-STYLE: none">‎</td>
<td style="BORDER-TOP-STYLE: none; BORDER-RIGHT-STYLE: none; BORDER-LEFT-STYLE: none; BORDER-BOTTOM-STYLE: none">‎</td>
<td style="BORDER-TOP-STYLE: none; BORDER-RIGHT-STYLE: none; BORDER-LEFT-STYLE: none; BORDER-BOTTOM-STYLE: none">
<p align="center"><em><strong><sup>(подпись)‎ ‎</sup></strong></em></p></td></tr>
<tr>
<td style="BORDER-TOP-STYLE: none; BORDER-RIGHT-STYLE: none; BORDER-LEFT-STYLE: none; BORDER-BOTTOM-STYLE: none" colspan="2">Ответственный за хранение радионуклидов‎‎</td>
<td style="BORDER-TOP-STYLE: none; BORDER-RIGHT-STYLE: none; BORDER-LEFT-STYLE: none; BORDER-BOTTOM-STYLE: none">_____________________‎</td></tr>
<tr>
<td style="BORDER-TOP-STYLE: none; BORDER-RIGHT-STYLE: none; BORDER-LEFT-STYLE: none; BORDER-BOTTOM-STYLE: none">‎</td>
<td style="BORDER-TOP-STYLE: none; BORDER-RIGHT-STYLE: none; BORDER-LEFT-STYLE: none; BORDER-BOTTOM-STYLE: none">‎</td>
<td style="BORDER-TOP-STYLE: none; BORDER-RIGHT-STYLE: none; BORDER-LEFT-STYLE: none; BORDER-BOTTOM-STYLE: none">
<p align="center"><sup><em><strong>(фамилия, инициалы)</strong></em></sup> </p></td></tr>
<tr>
<td style="BORDER-TOP-STYLE: none; BORDER-RIGHT-STYLE: none; BORDER-LEFT-STYLE: none; BORDER-BOTTOM-STYLE: none">‎</td>
<td style="BORDER-TOP-STYLE: none; BORDER-RIGHT-STYLE: none; BORDER-LEFT-STYLE: none; BORDER-BOTTOM-STYLE: none">
<p align="right">_________</p></td>
<td style="BORDER-TOP-STYLE: none; BORDER-RIGHT-STYLE: none; BORDER-LEFT-STYLE: none; BORDER-BOTTOM-STYLE: none">«___» ________ 2 _____ г.‎‎‎‎‎</td></tr>
<tr>
<td style="BORDER-TOP-STYLE: none; BORDER-RIGHT-STYLE: none; BORDER-LEFT-STYLE: none; BORDER-BOTTOM-STYLE: none">‎</td>
<td style="BORDER-TOP-STYLE: none; BORDER-RIGHT-STYLE: none; BORDER-LEFT-STYLE: none; BORDER-BOTTOM-STYLE: none">
<p align="right"><sup><em><strong>(подпись)‎</strong></em></sup></p></td>
<td style="BORDER-TOP-STYLE: none; BORDER-RIGHT-STYLE: none; BORDER-LEFT-STYLE: none; BORDER-BOTTOM-STYLE: none"></td></tr></tbody></table></div></div><div class="BY_DEFAULT lx_elem" onmousemove="lx_mo(event,1927371)"><div class="lx_elem2"><div class="lx_elem3"><span onclick="lx_sf(1927371)"><img src="/img/cmt.svg" />Ҳужжатга таклиф юбориш</span><span onclick="lx_pa(1927371)"><img src="/img/vlm.svg" />Аудиони тинглаш</span><span onclick="lx_cl(1927371)"><img src="/img/lnk.svg" />Ҳужжат элементидан ҳавола олиш</span></div></div><div name="1927371" id="1927371"></div></div><div class="APPL_BANNER_LANDSCAPE_TITLE lx_elem" onmousemove="lx_mo(event,1927765)"><div class="lx_elem2"><div class="lx_elem3"><span onclick="lx_sf(1927765)"><img src="/img/cmt.svg" />Ҳужжатга таклиф юбориш</span><span onclick="lx_pa(1927765)"><img src="/img/vlm.svg" />Аудиони тинглаш</span><span onclick="lx_cl(1927765)"><img src="/img/lnk.svg" />Ҳужжат элементидан ҳавола олиш</span></div></div><div name="1927765" id="1927765">ПРИЛОЖЕНИЕ Л</div></div><div class="BY_DEFAULT lx_elem" onmousemove="lx_mo(event,1927766)"><div class="lx_elem2"><div class="lx_elem3"><span onclick="lx_sf(1927766)"><img src="/img/cmt.svg" />Ҳужжатга таклиф юбориш</span><span onclick="lx_pa(1927766)"><img src="/img/vlm.svg" />Аудиони тинглаш</span><span onclick="lx_cl(1927766)"><img src="/img/lnk.svg" />Ҳужжат элементидан ҳавола олиш</span></div></div><div name="1927766" id="1927766"></div></div><div class="TABLE_STD lx_elem" id="theDefCssID" onmousemove="lx_mo(event,1927767)"><div class="lx_elem2"><div class="lx_elem3"><span onclick="lx_sf(1927767)"><img src="/img/cmt.svg" />Ҳужжатга таклиф юбориш</span><span onclick="lx_pa(1927767)"><img src="/img/vlm.svg" />Аудиони тинглаш</span><span onclick="lx_cl(1927767)"><img src="/img/lnk.svg" />Ҳужжат элементидан ҳавола олиш</span></div></div><div name="1927767" id="1927767" class="tabBox"><table id="theTableID" style="PADDING-RIGHT: 0px; ; PADDING-LEFT: 0px; LEFT: 0px; PADDING-BOTTOM: 0px; WIDTH: 546px; BORDER-TOP-STYLE: none; PADDING-TOP: 0px; BORDER-RIGHT-STYLE: none; BORDER-LEFT-STYLE: none; TOP: 0px; BORDER-BOTTOM-STYLE: none" cellspacing="1" cols="2" border="1">
<colgroup>
<col />
<col /></colgroup>
<tbody>
<tr>
<td style="BORDER-TOP-STYLE: none; BORDER-RIGHT-STYLE: none; BORDER-LEFT-STYLE: none; BORDER-BOTTOM-STYLE: none" colspan="2">
<p align="center"><strong>‎‎САНИТАРНО-ЭПИДЕМИОЛОГИЧЕСКОЕ ЗАКЛЮЧЕНИЕ О СООТВЕТСТВИИ УСЛОВИЙ И СПОСОБОВ ТРАНСПОРТИРОВАНИЯ РАДИОАКТИВНЫХ ВЕЩЕСТВ И ЯДЕРНЫХ МАТЕРИАЛОВ, УСТРОЙСТВ И УСТАНОВОК С ИСТОЧНИКАМИ ИЗЛУЧЕНИЯ И РАДИОАКТИВНЫХ ОТХОДОВ САНИТАРНЫМ ПРАВИЛАМ‎<br />‎</strong> </p></td></tr>
<tr>
<td style="BORDER-TOP-STYLE: none; BORDER-RIGHT-STYLE: none; BORDER-LEFT-STYLE: none; BORDER-BOTTOM-STYLE: none" colspan="2">‎‎1. Наименование организации ________________________________________</td></tr>
<tr>
<td style="BORDER-TOP-STYLE: none; BORDER-RIGHT-STYLE: none; BORDER-LEFT-STYLE: none; BORDER-BOTTOM-STYLE: none" colspan="2">2. Вид транспорта (автомашина, прицеп, ж/д вагон) ______________________‎‎</td></tr>
<tr>
<td style="BORDER-TOP-STYLE: none; BORDER-RIGHT-STYLE: none; BORDER-LEFT-STYLE: none; BORDER-BOTTOM-STYLE: none" colspan="2">‎‎номер ___________________________________________________________________</td></tr>
<tr>
<td style="BORDER-TOP-STYLE: none; BORDER-RIGHT-STYLE: none; BORDER-LEFT-STYLE: none; BORDER-BOTTOM-STYLE: none" colspan="2">3. Оборудование транспорта __________________________________________‎‎</td></tr>
<tr>
<td style="BORDER-TOP-STYLE: none; BORDER-RIGHT-STYLE: none; BORDER-LEFT-STYLE: none; BORDER-BOTTOM-STYLE: none" colspan="2">‎‎___________________________________________________________________</td></tr>
<tr>
<td style="BORDER-TOP-STYLE: none; BORDER-RIGHT-STYLE: none; BORDER-LEFT-STYLE: none; BORDER-BOTTOM-STYLE: none" colspan="2">‎‎4. Обеспеченность аварийным комплектом ______________________________</td></tr>
<tr>
<td style="BORDER-TOP-STYLE: none; BORDER-RIGHT-STYLE: none; BORDER-LEFT-STYLE: none; BORDER-BOTTOM-STYLE: none" colspan="2">‎‎5. На основании санитарного осмотра и результатов дозиметрических измерений разрешается перевозка:</td></tr>
<tr>
<td style="BORDER-TOP-STYLE: none; BORDER-RIGHT-STYLE: none; BORDER-LEFT-STYLE: none; BORDER-BOTTOM-STYLE: none" colspan="2">‎‎а) упаковок с радиоактивными веществами, установками и устройствами с радионуклидными источниками ___________________________________________________________________</td></tr>
<tr>
<td style="BORDER-TOP-STYLE: none; BORDER-RIGHT-STYLE: none; BORDER-LEFT-STYLE: none; BORDER-BOTTOM-STYLE: none" colspan="2">___________________________________________________________________</td></tr>
<tr>
<td style="BORDER-TOP-STYLE: none; BORDER-RIGHT-STYLE: none; BORDER-LEFT-STYLE: none; BORDER-BOTTOM-STYLE: none" colspan="2">
<p align="center"><sup><strong><em>‎‎(указать количество, категорию упаковок и суммарную активность)</em></strong></sup> </p></td></tr>
<tr>
<td style="BORDER-TOP-STYLE: none; BORDER-RIGHT-STYLE: none; BORDER-LEFT-STYLE: none; BORDER-BOTTOM-STYLE: none" colspan="2">б) радиоактивных отходов (жидких, твердых)‎‎‎</td></tr>
<tr>
<td style="BORDER-TOP-STYLE: none; BORDER-RIGHT-STYLE: none; BORDER-LEFT-STYLE: none; BORDER-BOTTOM-STYLE: none" colspan="2">‎‎_________________________________________________________________</td></tr>
<tr>
<td style="BORDER-TOP-STYLE: none; BORDER-RIGHT-STYLE: none; BORDER-LEFT-STYLE: none; BORDER-BOTTOM-STYLE: none" colspan="2">
<p align="center"><em><strong><sup>‎‎(подчеркнуть)</sup></strong></em> </p></td></tr>
<tr>
<td style="BORDER-TOP-STYLE: none; BORDER-RIGHT-STYLE: none; BORDER-LEFT-STYLE: none; BORDER-BOTTOM-STYLE: none" colspan="2">‎‎___________________________________________________________________</td></tr>
<tr>
<td style="BORDER-TOP-STYLE: none; BORDER-RIGHT-STYLE: none; BORDER-LEFT-STYLE: none; BORDER-BOTTOM-STYLE: none" colspan="2">
<p align="center"><sup><em><strong>‎‎(указать вид отходов и их активность)</strong></em></sup></p></td></tr>
<tr>
<td style="BORDER-TOP-STYLE: none; BORDER-RIGHT-STYLE: none; BORDER-LEFT-STYLE: none; BORDER-BOTTOM-STYLE: none" colspan="2">Дата выдачи санитарно-эпидемиологического заключения</td></tr>
<tr>
<td style="BORDER-TOP-STYLE: none; BORDER-RIGHT-STYLE: none; BORDER-LEFT-STYLE: none; BORDER-BOTTOM-STYLE: none">«____» ______________ 2 ____ г.‎</td>
<td style="BORDER-TOP-STYLE: none; BORDER-RIGHT-STYLE: none; BORDER-LEFT-STYLE: none; BORDER-BOTTOM-STYLE: none">‎</td></tr>
<tr>
<td style="BORDER-TOP-STYLE: none; BORDER-RIGHT-STYLE: none; BORDER-LEFT-STYLE: none; BORDER-BOTTOM-STYLE: none"><br />‎Срок действия до «__» ______ 2 ___ г.‎</td>
<td style="BORDER-TOP-STYLE: none; BORDER-RIGHT-STYLE: none; BORDER-LEFT-STYLE: none; BORDER-BOTTOM-STYLE: none">‎</td></tr>
<tr>
<td style="BORDER-TOP-STYLE: none; BORDER-RIGHT-STYLE: none; BORDER-LEFT-STYLE: none; BORDER-BOTTOM-STYLE: none" colspan="2"><br />‎М.П. Главный государственный санитарный врач‎‎ ________________________</td></tr>
<tr>
<td style="BORDER-TOP-STYLE: none; BORDER-RIGHT-STYLE: none; BORDER-LEFT-STYLE: none; BORDER-BOTTOM-STYLE: none"><br />‎«____» ______________ 2 ____ г.‎‎</td>
<td style="BORDER-TOP-STYLE: none; BORDER-RIGHT-STYLE: none; BORDER-LEFT-STYLE: none; BORDER-BOTTOM-STYLE: none">‎</td></tr></tbody></table></div></div><div class="BY_DEFAULT lx_elem" onmousemove="lx_mo(event,1927374)"><div class="lx_elem2"><div class="lx_elem3"><span onclick="lx_sf(1927374)"><img src="/img/cmt.svg" />Ҳужжатга таклиф юбориш</span><span onclick="lx_pa(1927374)"><img src="/img/vlm.svg" />Аудиони тинглаш</span><span onclick="lx_cl(1927374)"><img src="/img/lnk.svg" />Ҳужжат элементидан ҳавола олиш</span></div></div><div name="1927374" id="1927374"></div></div><div class="APPL_BANNER_LANDSCAPE_TITLE lx_elem" onmousemove="lx_mo(event,1927777)"><div class="lx_elem2"><div class="lx_elem3"><span onclick="lx_sf(1927777)"><img src="/img/cmt.svg" />Ҳужжатга таклиф юбориш</span><span onclick="lx_pa(1927777)"><img src="/img/vlm.svg" />Аудиони тинглаш</span><span onclick="lx_cl(1927777)"><img src="/img/lnk.svg" />Ҳужжат элементидан ҳавола олиш</span></div></div><div name="1927777" id="1927777">ПРИЛОЖЕНИЕ М</div></div><div class="BY_DEFAULT lx_elem" onmousemove="lx_mo(event,1927780)"><div class="lx_elem2"><div class="lx_elem3"><span onclick="lx_sf(1927780)"><img src="/img/cmt.svg" />Ҳужжатга таклиф юбориш</span><span onclick="lx_pa(1927780)"><img src="/img/vlm.svg" />Аудиони тинглаш</span><span onclick="lx_cl(1927780)"><img src="/img/lnk.svg" />Ҳужжат элементидан ҳавола олиш</span></div></div><div name="1927780" id="1927780"></div></div><div class="TABLE_STD lx_elem" id="theDefCssID" onmousemove="lx_mo(event,1927781)"><div class="lx_elem2"><div class="lx_elem3"><span onclick="lx_sf(1927781)"><img src="/img/cmt.svg" />Ҳужжатга таклиф юбориш</span><span onclick="lx_pa(1927781)"><img src="/img/vlm.svg" />Аудиони тинглаш</span><span onclick="lx_cl(1927781)"><img src="/img/lnk.svg" />Ҳужжат элементидан ҳавола олиш</span></div></div><div name="1927781" id="1927781" class="tabBox"><table id="theTableID" style="TABLE-LAYOUT: fixed; PADDING-RIGHT: 0px; ; PADDING-LEFT: 0px; LEFT: 0px; PADDING-BOTTOM: 0px; WIDTH: 514px; BORDER-TOP-STYLE: none; PADDING-TOP: 0px; BORDER-RIGHT-STYLE: none; BORDER-LEFT-STYLE: none; TOP: 0px; BORDER-BOTTOM-STYLE: none" cellspacing="1" cols="10" border="1">
<colgroup>
<col />
<col />
<col />
<col />
<col />
<col />
<col />
<col />
<col />
<col /></colgroup>
<tbody>
<tr>
<td style="BORDER-TOP-STYLE: none; BORDER-RIGHT-STYLE: none; BORDER-LEFT-STYLE: none; BORDER-BOTTOM-STYLE: none" colspan="10">
<p align="center"><strong>‎‎‎‎АКТ СДАЧИ-ПРИЕМКИ ПАРТИИ РАДИОАКТИВНЫХ ОТХОДОВ<br />‎</strong></p></td></tr>
<tr>
<td style="BORDER-TOP-STYLE: none; BORDER-RIGHT-STYLE: none; BORDER-LEFT-STYLE: none; BORDER-BOTTOM-STYLE: none" colspan="4">‎‎«____» _________ 2 _____ г.‎</td>
<td style="BORDER-TOP-STYLE: none; BORDER-RIGHT-STYLE: none; BORDER-LEFT-STYLE: none; BORDER-BOTTOM-STYLE: none">‎</td>
<td style="BORDER-TOP-STYLE: none; BORDER-RIGHT-STYLE: none; BORDER-LEFT-STYLE: none; BORDER-BOTTOM-STYLE: none">‎</td>
<td style="BORDER-TOP-STYLE: none; BORDER-RIGHT-STYLE: none; BORDER-LEFT-STYLE: none; BORDER-BOTTOM-STYLE: none">‎</td>
<td style="BORDER-TOP-STYLE: none; BORDER-RIGHT-STYLE: none; BORDER-LEFT-STYLE: none; BORDER-BOTTOM-STYLE: none">‎</td>
<td style="BORDER-TOP-STYLE: none; BORDER-RIGHT-STYLE: none; BORDER-LEFT-STYLE: none; BORDER-BOTTOM-STYLE: none">‎</td>
<td style="BORDER-TOP-STYLE: none; BORDER-RIGHT-STYLE: none; BORDER-LEFT-STYLE: none; BORDER-BOTTOM-STYLE: none">‎</td></tr>
<tr>
<td style="BORDER-TOP-STYLE: none; BORDER-RIGHT-STYLE: none; BORDER-LEFT-STYLE: none; BORDER-BOTTOM-STYLE: none" colspan="10">‎‎Наименование организации (объекта), сдавшей отходы _______________‎</td></tr>
<tr>
<td style="BORDER-TOP-STYLE: none; BORDER-RIGHT-STYLE: none; BORDER-LEFT-STYLE: none; BORDER-BOTTOM-STYLE: none" colspan="10">_______________________________________________________________</td></tr>
<tr>
<td style="BORDER-TOP-STYLE: none; BORDER-RIGHT-STYLE: none; BORDER-LEFT-STYLE: none; BORDER-BOTTOM-STYLE: none" colspan="10">‎‎Наименование организации (объекта), принявшей отходы _____________</td></tr>
<tr>
<td style="BORDER-TOP-STYLE: none; BORDER-RIGHT-STYLE: none; BORDER-LEFT-STYLE: none; BORDER-BOTTOM-STYLE: none" colspan="10">_______________________________________________________________‎‎<br />‎</td></tr>
<tr>
<td rowspan="2">
<p align="center"><strong>№ п/п‎‏<br />‎</strong></p></td>
<td colspan="2">
<p align="center"><strong>Характеристика отходов‎‎</strong></p></td>
<td rowspan="2">
<p align="center"><strong>Вид тары‎‏<br />‎</strong></p></td>
<td rowspan="2">
<p align="center"><strong>‎‏Номер кситеднера тары<br />‎</strong></p></td>
<td rowspan="2">
<p align="center"><strong>рН среды ‎‏<br />‎</strong></p></td>
<td rowspan="2">
<p align="center"><strong>Нуклидный состав‎‏<br />‎</strong></p></td>
<td rowspan="2">
<p align="center"><strong>Удельная активность, Бк/кг‎‏<br />‎</strong></p></td>
<td rowspan="2">
<p align="center"><strong>Масса отходов, кг(т)‎‏<br />‎</strong></p></td>
<td rowspan="2">
<p align="center"><strong>Суммарная активность, Бк‎‏<br />‎</strong></p></td></tr>
<tr>
<td>
<p align="center"><strong>твердые‎</strong></p></td>
<td>
<p align="center"><strong>жидкие‎</strong></p></td></tr>
<tr>
<td>
<p align="center"><strong>‎</strong></p></td>
<td>
<p align="center"><strong>‎</strong></p></td>
<td>
<p align="center"><strong>‎</strong></p></td>
<td>
<p align="center"><strong>‎</strong></p></td>
<td>
<p align="center"><strong>‎</strong></p></td>
<td>
<p align="center"><strong>‎</strong></p></td>
<td>
<p align="center"><strong>‎</strong></p></td>
<td>
<p align="center"><strong>‎</strong></p></td>
<td>
<p align="center"><strong>‎</strong></p></td>
<td>
<p align="center"><strong>‎</strong></p></td></tr>
<tr>
<td>‎</td>
<td>‎</td>
<td>‎</td>
<td>‎</td>
<td>‎</td>
<td>‎</td>
<td>‎</td>
<td>‎</td>
<td>‎</td>
<td>‎</td></tr>
<tr>
<td>‎</td>
<td>‎</td>
<td>‎</td>
<td>‎</td>
<td>‎</td>
<td>‎</td>
<td>‎</td>
<td>‎</td>
<td>‎</td>
<td>‎</td></tr>
<tr>
<td>‎</td>
<td>‎</td>
<td>‎</td>
<td>‎</td>
<td>‎</td>
<td>‎</td>
<td>‎</td>
<td>‎</td>
<td>‎</td>
<td>‎</td></tr>
<tr>
<td style="BORDER-TOP-STYLE: none; BORDER-RIGHT-STYLE: none; BORDER-LEFT-STYLE: none; BORDER-BOTTOM-STYLE: none" colspan="6">‎<br />‎Ответственный за сдачу радиоактивных отходов‎‎</td>
<td style="BORDER-TOP-STYLE: none; BORDER-RIGHT-STYLE: none; BORDER-LEFT-STYLE: none; BORDER-BOTTOM-STYLE: none">‎</td>
<td style="BORDER-TOP-STYLE: none; BORDER-RIGHT-STYLE: none; BORDER-LEFT-STYLE: none; BORDER-BOTTOM-STYLE: none" colspan="3">‎‎<br /><br />‎‎_________________</td></tr>
<tr>
<td style="BORDER-TOP-STYLE: none; BORDER-RIGHT-STYLE: none; BORDER-LEFT-STYLE: none; BORDER-BOTTOM-STYLE: none">‎</td>
<td style="BORDER-TOP-STYLE: none; BORDER-RIGHT-STYLE: none; BORDER-LEFT-STYLE: none; BORDER-BOTTOM-STYLE: none">‎</td>
<td style="BORDER-TOP-STYLE: none; BORDER-RIGHT-STYLE: none; BORDER-LEFT-STYLE: none; BORDER-BOTTOM-STYLE: none">‎</td>
<td style="BORDER-TOP-STYLE: none; BORDER-RIGHT-STYLE: none; BORDER-LEFT-STYLE: none; BORDER-BOTTOM-STYLE: none">‎</td>
<td style="BORDER-TOP-STYLE: none; BORDER-RIGHT-STYLE: none; BORDER-LEFT-STYLE: none; BORDER-BOTTOM-STYLE: none">‎</td>
<td style="BORDER-TOP-STYLE: none; BORDER-RIGHT-STYLE: none; BORDER-LEFT-STYLE: none; BORDER-BOTTOM-STYLE: none">‎</td>
<td style="BORDER-TOP-STYLE: none; BORDER-RIGHT-STYLE: none; BORDER-LEFT-STYLE: none; BORDER-BOTTOM-STYLE: none">‎</td>
<td style="BORDER-TOP-STYLE: none; BORDER-RIGHT-STYLE: none; BORDER-LEFT-STYLE: none; BORDER-BOTTOM-STYLE: none" colspan="3">
<p align="center"><em><sup><strong>‎‎(подпись)</strong></sup></em></p></td></tr>
<tr>
<td style="BORDER-TOP-STYLE: none; BORDER-RIGHT-STYLE: none; BORDER-LEFT-STYLE: none; BORDER-BOTTOM-STYLE: none" colspan="6">‎‎Ответственный за прием радиоактивных отходов‎</td>
<td style="BORDER-TOP-STYLE: none; BORDER-RIGHT-STYLE: none; BORDER-LEFT-STYLE: none; BORDER-BOTTOM-STYLE: none">‎</td>
<td style="BORDER-TOP-STYLE: none; BORDER-RIGHT-STYLE: none; BORDER-LEFT-STYLE: none; BORDER-BOTTOM-STYLE: none" colspan="3">‎‎<br />‎__________________</td></tr>
<tr>
<td style="BORDER-TOP-STYLE: none; BORDER-RIGHT-STYLE: none; BORDER-LEFT-STYLE: none; BORDER-BOTTOM-STYLE: none">‎</td>
<td style="BORDER-TOP-STYLE: none; BORDER-RIGHT-STYLE: none; BORDER-LEFT-STYLE: none; BORDER-BOTTOM-STYLE: none">‎</td>
<td style="BORDER-TOP-STYLE: none; BORDER-RIGHT-STYLE: none; BORDER-LEFT-STYLE: none; BORDER-BOTTOM-STYLE: none">‎</td>
<td style="BORDER-TOP-STYLE: none; BORDER-RIGHT-STYLE: none; BORDER-LEFT-STYLE: none; BORDER-BOTTOM-STYLE: none">‎</td>
<td style="BORDER-TOP-STYLE: none; BORDER-RIGHT-STYLE: none; BORDER-LEFT-STYLE: none; BORDER-BOTTOM-STYLE: none">‎</td>
<td style="BORDER-TOP-STYLE: none; BORDER-RIGHT-STYLE: none; BORDER-LEFT-STYLE: none; BORDER-BOTTOM-STYLE: none">‎</td>
<td style="BORDER-TOP-STYLE: none; BORDER-RIGHT-STYLE: none; BORDER-LEFT-STYLE: none; BORDER-BOTTOM-STYLE: none">‎</td>
<td style="BORDER-TOP-STYLE: none; BORDER-RIGHT-STYLE: none; BORDER-LEFT-STYLE: none; BORDER-BOTTOM-STYLE: none" colspan="3">
<p align="center"><strong><em><sup>‎‎(подпись) ‎‎</sup></em></strong></p></td></tr></tbody></table></div></div><div class="FOOTNOTE lx_elem" onmousemove="lx_mo(event,1927794)"><div class="lx_elem2"><div class="lx_elem3"><span onclick="lx_sf(1927794)"><img src="/img/cmt.svg" />Ҳужжатга таклиф юбориш</span><span onclick="lx_pa(1927794)"><img src="/img/vlm.svg" />Аудиони тинглаш</span><span onclick="lx_cl(1927794)"><img src="/img/lnk.svg" />Ҳужжат элементидан ҳавола олиш</span></div></div><div name="1927794" id="1927794">Примечания:</div></div><div class="FOOTNOTE lx_elem" onmousemove="lx_mo(event,1927796)"><div class="lx_elem2"><div class="lx_elem3"><span onclick="lx_sf(1927796)"><img src="/img/cmt.svg" />Ҳужжатга таклиф юбориш</span><span onclick="lx_pa(1927796)"><img src="/img/vlm.svg" />Аудиони тинглаш</span><span onclick="lx_cl(1927796)"><img src="/img/lnk.svg" />Ҳужжат элементидан ҳавола олиш</span></div></div><div name="1927796" id="1927796">1. В акт заносятся сведения по каждой упаковке с радиоактивными отходами отдельно.</div></div><div class="FOOTNOTE lx_elem" onmousemove="lx_mo(event,1927797)"><div class="lx_elem2"><div class="lx_elem3"><span onclick="lx_sf(1927797)"><img src="/img/cmt.svg" />Ҳужжатга таклиф юбориш</span><span onclick="lx_pa(1927797)"><img src="/img/vlm.svg" />Аудиони тинглаш</span><span onclick="lx_cl(1927797)"><img src="/img/lnk.svg" />Ҳужжат элементидан ҳавола олиш</span></div></div><div name="1927797" id="1927797">2. В случае отказа в приемке радиоактивных отходов на захоронение оформляется специальный акт с указанием причин отказа.</div></div><div class="FOOTNOTE lx_elem" onmousemove="lx_mo(event,1927799)"><div class="lx_elem2"><div class="lx_elem3"><span onclick="lx_sf(1927799)"><img src="/img/cmt.svg" />Ҳужжатга таклиф юбориш</span><span onclick="lx_pa(1927799)"><img src="/img/vlm.svg" />Аудиони тинглаш</span><span onclick="lx_cl(1927799)"><img src="/img/lnk.svg" />Ҳужжат элементидан ҳавола олиш</span></div></div><div name="1927799" id="1927799">3. При захоронении источников в закрытом виде в графе 2 указывается наименование и номер источника, номер и дату выдачи паспорта.</div></div><div class="BY_DEFAULT lx_elem" onmousemove="lx_mo(event,1927375)"><div class="lx_elem2"><div class="lx_elem3"><span onclick="lx_sf(1927375)"><img src="/img/cmt.svg" />Ҳужжатга таклиф юбориш</span><span onclick="lx_pa(1927375)"><img src="/img/vlm.svg" />Аудиони тинглаш</span><span onclick="lx_cl(1927375)"><img src="/img/lnk.svg" />Ҳужжат элементидан ҳавола олиш</span></div></div><div name="1927375" id="1927375"></div></div><div class="APPL_BANNER_LANDSCAPE_TITLE lx_elem" onmousemove="lx_mo(event,1927377)"><div class="lx_elem2"><div class="lx_elem3"><span onclick="lx_sf(1927377)"><img src="/img/cmt.svg" />Ҳужжатга таклиф юбориш</span><span onclick="lx_pa(1927377)"><img src="/img/vlm.svg" />Аудиони тинглаш</span><span onclick="lx_cl(1927377)"><img src="/img/lnk.svg" />Ҳужжат элементидан ҳавола олиш</span></div></div><div name="1927377" id="1927377">ПРИЛОЖЕНИЕ Н</div></div><div class="BY_DEFAULT lx_elem" onmousemove="lx_mo(event,1927378)"><div class="lx_elem2"><div class="lx_elem3"><span onclick="lx_sf(1927378)"><img src="/img/cmt.svg" />Ҳужжатга таклиф юбориш</span><span onclick="lx_pa(1927378)"><img src="/img/vlm.svg" />Аудиони тинглаш</span><span onclick="lx_cl(1927378)"><img src="/img/lnk.svg" />Ҳужжат элементидан ҳавола олиш</span></div></div><div name="1927378" id="1927378"></div></div><div class="TABLE_STD lx_elem" id="theDefCssID" onmousemove="lx_mo(event,1927382)"><div class="lx_elem2"><div class="lx_elem3"><span onclick="lx_sf(1927382)"><img src="/img/cmt.svg" />Ҳужжатга таклиф юбориш</span><span onclick="lx_pa(1927382)"><img src="/img/vlm.svg" />Аудиони тинглаш</span><span onclick="lx_cl(1927382)"><img src="/img/lnk.svg" />Ҳужжат элементидан ҳавола олиш</span></div></div><div name="1927382" id="1927382" class="tabBox"><table id="theTableID" style="TABLE-LAYOUT: auto; PADDING-RIGHT: 0px; ; PADDING-LEFT: 0px; LEFT: 2px; PADDING-BOTTOM: 0px; WIDTH: 100%; BORDER-TOP-STYLE: none; PADDING-TOP: 0px; BORDER-RIGHT-STYLE: none; BORDER-LEFT-STYLE: none; TOP: 8px; BORDER-BOTTOM-STYLE: none" cellspacing="1" cols="3" border="1">
<colgroup>
<col />
<col />
<col /></colgroup>
<tbody>
<tr>
<td style="BORDER-TOP-STYLE: none; BORDER-RIGHT-STYLE: none; BORDER-LEFT-STYLE: none; BORDER-BOTTOM-STYLE: none" colspan="3">
<p align="center"><strong>ДОПУСТИМЫЕ УДЕЛЬНЫЕ АКТИВНОСТИ ОСНОВНЫХ ДОЛГОЖИВУЩИХ РАДИОНУКЛИДОВ ДЛЯ НЕОГРАНИЧЕННОГО ИСПОЛЬЗОВАНИЯ МЕТАЛЛОВ‎</strong></p></td></tr>
<tr>
<td>
<p align="center"><strong>Радионуклиды‎</strong></p></td>
<td style="TEXT-ALIGN: center">
<p align="center"><strong>Период полураспада‎</strong></p></td>
<td style="TEXT-ALIGN: center">
<p align="center"><strong>Допустимая удельная активность отдельного i-гo радионуклида ДК_i, кБк/кг‎</strong></p></td></tr>
<tr>
<td>
<p align="center"><sup>54</sup>Мn‎</p></td>
<td style="TEXT-ALIGN: center">
<p align="center">312сут‎</p></td>
<td style="TEXT-ALIGN: center">
<p align="center">1,0‎</p></td></tr>
<tr>
<td>
<p align="center"><sup>60</sup>Со‎</p></td>
<td style="TEXT-ALIGN: center">
<p align="center">5,3 год‎</p></td>
<td style="TEXT-ALIGN: center">
<p align="center">0,3‎</p></td></tr>
<tr>
<td>
<p align="center"><sup>65</sup>Zn‎</p></td>
<td style="TEXT-ALIGN: center">
<p align="center">244 сут‎</p></td>
<td style="TEXT-ALIGN: center">
<p align="center">1,0‎</p></td></tr>
<tr>
<td>
<p align="center"><sup>94</sup>Nb‎</p></td>
<td style="TEXT-ALIGN: center">
<p align="center">2,0 х 10<sup>4</sup> год‎</p></td>
<td style="TEXT-ALIGN: center">
<p align="center">0,4‎</p></td></tr>
<tr>
<td>
<p align="center"><sup>106</sup>Ru+<sup>l06</sup>mRh‎</p></td>
<td style="TEXT-ALIGN: center">
<p align="center">368сут‎</p></td>
<td style="TEXT-ALIGN: center">
<p align="center">4,0‎</p></td></tr>
<tr>
<td>
<p align="center"><sup>110 m</sup> Ag‎</p></td>
<td style="TEXT-ALIGN: center">
<p align="center">250 сут‎</p></td>
<td style="TEXT-ALIGN: center">
<p align="center">0,3‎</p></td></tr>
<tr>
<td>
<p align="center"><sup>125</sup>Sb+<sup>125m</sup>Te‎</p></td>
<td style="TEXT-ALIGN: center">
<p align="center">2,8 год‎</p></td>
<td style="TEXT-ALIGN: center">
<p align="center">1,6‎</p></td></tr>
<tr>
<td>
<p align="center"><sup>134</sup>Cs‎</p></td>
<td style="TEXT-ALIGN: center">
<p align="center">2,1 год‎</p></td>
<td style="TEXT-ALIGN: center">
<p align="center">0,5‎</p></td></tr>
<tr>
<td>
<p align="center"><sup>137</sup>Cs+<sup>l37m</sup>Ba‎</p></td>
<td style="TEXT-ALIGN: center">
<p align="center">30,2 год‎</p></td>
<td style="TEXT-ALIGN: center">
<p align="center">1,0‎</p></td></tr>
<tr>
<td>
<p align="center"><sup>152</sup>Eu‎</p></td>
<td style="TEXT-ALIGN: center">
<p align="center">13,3 год‎</p></td>
<td style="TEXT-ALIGN: center">
<p align="center">0,5‎</p></td></tr>
<tr>
<td>
<p align="center"><sup>154</sup>Eu‎</p></td>
<td style="TEXT-ALIGN: center">
<p align="center">8,8 год‎</p></td>
<td style="TEXT-ALIGN: center">
<p align="center">0,5‎</p></td></tr>
<tr>
<td>
<p align="center"><sup>90</sup>Sr+<sup>90</sup>Y‎</p></td>
<td style="TEXT-ALIGN: center">
<p align="center">29,1 год‎</p></td>
<td style="TEXT-ALIGN: center">
<p align="center">10,0‎</p></td></tr>
<tr>
<td>
<p align="center"><sup>226</sup>Ra‎</p></td>
<td style="TEXT-ALIGN: center">
<p align="center">11,6 х 10<sup>3</sup> лет‎</p></td>
<td style="TEXT-ALIGN: center">
<p align="center">0,4‎</p></td></tr>
<tr>
<td>
<p align="center"><sup>232</sup>Th‎</p></td>
<td style="TEXT-ALIGN: center">
<p align="center">1 х 10<sup>10</sup>лет‎</p></td>
<td style="TEXT-ALIGN: center">0,3‎</td></tr></tbody></table></div></div><div class="FOOTNOTE lx_elem" onmousemove="lx_mo(event,1927443)"><div class="lx_elem2"><div class="lx_elem3"><span onclick="lx_sf(1927443)"><img src="/img/cmt.svg" />Ҳужжатга таклиф юбориш</span><span onclick="lx_pa(1927443)"><img src="/img/vlm.svg" />Аудиони тинглаш</span><span onclick="lx_cl(1927443)"><img src="/img/lnk.svg" />Ҳужжат элементидан ҳавола олиш</span></div></div><div name="1927443" id="1927443">Примечание:</div></div><div class="FOOTNOTE lx_elem" onmousemove="lx_mo(event,1927447)"><div class="lx_elem2"><div class="lx_elem3"><span onclick="lx_sf(1927447)"><img src="/img/cmt.svg" />Ҳужжатга таклиф юбориш</span><span onclick="lx_pa(1927447)"><img src="/img/vlm.svg" />Аудиони тинглаш</span><span onclick="lx_cl(1927447)"><img src="/img/lnk.svg" />Ҳужжат элементидан ҳавола олиш</span></div></div><div name="1927447" id="1927447">При наличии в металле смеси п радионуклидов значения удельных активностей отдельных радионуклидов Qi должны удовлетворять соотношению сумма Qi /ДK_i < 1.</div></div><div class="BY_DEFAULT lx_elem" onmousemove="lx_mo(event,1927456)"><div class="lx_elem2"><div class="lx_elem3"><span onclick="lx_sf(1927456)"><img src="/img/cmt.svg" />Ҳужжатга таклиф юбориш</span><span onclick="lx_pa(1927456)"><img src="/img/vlm.svg" />Аудиони тинглаш</span><span onclick="lx_cl(1927456)"><img src="/img/lnk.svg" />Ҳужжат элементидан ҳавола олиш</span></div></div><div name="1927456" id="1927456"></div></div><div class="APPL_BANNER_LANDSCAPE_TITLE lx_elem" onmousemove="lx_mo(event,1927460)"><div class="lx_elem2"><div class="lx_elem3"><span onclick="lx_sf(1927460)"><img src="/img/cmt.svg" />Ҳужжатга таклиф юбориш</span><span onclick="lx_pa(1927460)"><img src="/img/vlm.svg" />Аудиони тинглаш</span><span onclick="lx_cl(1927460)"><img src="/img/lnk.svg" />Ҳужжат элементидан ҳавола олиш</span></div></div><div name="1927460" id="1927460">ПРИЛОЖЕНИЕ О</div></div><div class="BY_DEFAULT lx_elem" onmousemove="lx_mo(event,1927463)"><div class="lx_elem2"><div class="lx_elem3"><span onclick="lx_sf(1927463)"><img src="/img/cmt.svg" />Ҳужжатга таклиф юбориш</span><span onclick="lx_pa(1927463)"><img src="/img/vlm.svg" />Аудиони тинглаш</span><span onclick="lx_cl(1927463)"><img src="/img/lnk.svg" />Ҳужжат элементидан ҳавола олиш</span></div></div><div name="1927463" id="1927463"></div></div><div class="TEXT_HEADER_DEFAULT lx_elem" onmousemove="lx_mo(event,1927476)"><div class="lx_elem2"><div class="lx_elem3"><span onclick="lx_sf(1927476)"><img src="/img/cmt.svg" />Ҳужжатга таклиф юбориш</span><span onclick="lx_pa(1927476)"><img src="/img/vlm.svg" />Аудиони тинглаш</span><span onclick="lx_cl(1927476)"><img src="/img/lnk.svg" />Ҳужжат элементидан ҳавола олиш</span></div></div><div name="1927476" id="1927476">КРИТЕРИИ ВМЕШАТЕЛЬСТВА НА ЗАГРЯЗНЕННЫХ ТЕРРИТОРИЯХ</div></div><div class="ACT_TEXT lx_elem" onmousemove="lx_mo(event,1927478)"><div class="lx_elem2"><div class="lx_elem3"><span onclick="lx_sf(1927478)"><img src="/img/cmt.svg" />Ҳужжатга таклиф юбориш</span><span onclick="lx_pa(1927478)"><img src="/img/vlm.svg" />Аудиони тинглаш</span><span onclick="lx_cl(1927478)"><img src="/img/lnk.svg" />Ҳужжат элементидан ҳавола олиш</span></div></div><div name="1927478" id="1927478">1. Защита населения на территориях, подвергшихся радиоактивному загрязнению, осуществляется путем вмешательства на основе принципов безопасности при вмешательстве (см. п. 6.2 настоящих Норм). При любых восстановительных действиях необходимо обеспечить непревышение уровня пороговых детерминированных эффектов у населения.</div></div><div class="ACT_TEXT lx_elem" onmousemove="lx_mo(event,1927479)"><div class="lx_elem2"><div class="lx_elem3"><span onclick="lx_sf(1927479)"><img src="/img/cmt.svg" />Ҳужжатга таклиф юбориш</span><span onclick="lx_pa(1927479)"><img src="/img/vlm.svg" />Аудиони тинглаш</span><span onclick="lx_cl(1927479)"><img src="/img/lnk.svg" />Ҳужжат элементидан ҳавола олиш</span></div></div><div name="1927479" id="1927479">2. Числовые значения критериев вмешательства для территорий, загрязненных в результате радиоактивных аварий, и вмешательства при обнаружении локальных ридиоактивных загрязнениях («последствий прежней деятельности») различаются.</div></div><div class="ACT_TEXT lx_elem" onmousemove="lx_mo(event,1927480)"><div class="lx_elem2"><div class="lx_elem3"><span onclick="lx_sf(1927480)"><img src="/img/cmt.svg" />Ҳужжатга таклиф юбориш</span><span onclick="lx_pa(1927480)"><img src="/img/vlm.svg" />Аудиони тинглаш</span><span onclick="lx_cl(1927480)"><img src="/img/lnk.svg" />Ҳужжат элементидан ҳавола олиш</span></div></div><div name="1927480" id="1927480"><strong>3. Критерии вмешательства на территориях, загрязненных в результате радиационных аварий</strong></div></div><div class="ACT_TEXT lx_elem" onmousemove="lx_mo(event,1927481)"><div class="lx_elem2"><div class="lx_elem3"><span onclick="lx_sf(1927481)"><img src="/img/cmt.svg" />Ҳужжатга таклиф юбориш</span><span onclick="lx_pa(1927481)"><img src="/img/vlm.svg" />Аудиони тинглаш</span><span onclick="lx_cl(1927481)"><img src="/img/lnk.svg" />Ҳужжат элементидан ҳавола олиш</span></div></div><div name="1927481" id="1927481">3.1. На разных стадиях радиационной аварии вмешательство регулируется зонированием загрязненных территорий, основанным на величине годовой эффективной дозы, которая может быть получена жителями при отсутствии мер радиационной защиты. Под годовой дозой здесь понимается эффективная доза, средняя у жителей населенного пункта за текущий год, обусловленная искусственными радионуклидами, поступившими в окружающую среду в результате радиационной аварии.</div></div><div class="ACT_TEXT lx_elem" onmousemove="lx_mo(event,1927482)"><div class="lx_elem2"><div class="lx_elem3"><span onclick="lx_sf(1927482)"><img src="/img/cmt.svg" />Ҳужжатга таклиф юбориш</span><span onclick="lx_pa(1927482)"><img src="/img/vlm.svg" />Аудиони тинглаш</span><span onclick="lx_cl(1927482)"><img src="/img/lnk.svg" />Ҳужжат элементидан ҳавола олиш</span></div></div><div name="1927482" id="1927482">3.2. На территории, где годовая эффективная доза не превышает 1 мЗв, проводится обычный контроль радиоактивного загрязнения объектов окружающей среды и сельскохозяйственной продукции, по результатам которого оценивается доза облучения населения. Проживание и хозяйственная деятельность населения на этой территории по радиационному фактору не ограничивается. Эта территория не относится к зонам радиоактивного загрязнения. При величине годовой дозы более 1мЗв загрязненные территории по характеру необходимого контроля обстановки и защитных мероприятий подразделяются на зоны.</div></div><div class="ACT_TEXT lx_elem" onmousemove="lx_mo(event,1927484)"><div class="lx_elem2"><div class="lx_elem3"><span onclick="lx_sf(1927484)"><img src="/img/cmt.svg" />Ҳужжатга таклиф юбориш</span><span onclick="lx_pa(1927484)"><img src="/img/vlm.svg" />Аудиони тинглаш</span><span onclick="lx_cl(1927484)"><img src="/img/lnk.svg" />Ҳужжат элементидан ҳавола олиш</span></div></div><div name="1927484" id="1927484">3.3. Зонирование на ранней и промежуточных стадиях радиационной аварии определяется п. 6.6 настоящего документа.</div></div><div class="ACT_TEXT lx_elem" onmousemove="lx_mo(event,1927491)"><div class="lx_elem2"><div class="lx_elem3"><span onclick="lx_sf(1927491)"><img src="/img/cmt.svg" />Ҳужжатга таклиф юбориш</span><span onclick="lx_pa(1927491)"><img src="/img/vlm.svg" />Аудиони тинглаш</span><span onclick="lx_cl(1927491)"><img src="/img/lnk.svg" />Ҳужжат элементидан ҳавола олиш</span></div></div><div name="1927491" id="1927491"><strong>3.4. Зонирование на восстановительной стадии радиационной аварии</strong></div></div><div class="ACT_TEXT lx_elem" onmousemove="lx_mo(event,1927495)"><div class="lx_elem2"><div class="lx_elem3"><span onclick="lx_sf(1927495)"><img src="/img/cmt.svg" />Ҳужжатга таклиф юбориш</span><span onclick="lx_pa(1927495)"><img src="/img/vlm.svg" />Аудиони тинглаш</span><span onclick="lx_cl(1927495)"><img src="/img/lnk.svg" />Ҳужжат элементидан ҳавола олиш</span></div></div><div name="1927495" id="1927495">3.4.1.<strong> Зона радиационного контроля</strong> — от 1мЗв до 5 мЗв. В этой зоне помимо мониторинга радиоактивности объектов окружающей среды, сельскохозяйственной продукции и доз внешнего и внутреннего облучения населения и его критических групп осуществляются меры по снижению доз на основе принципа оптимизации и другие необходимые активные меры защиты населения.</div></div><div class="ACT_TEXT lx_elem" onmousemove="lx_mo(event,1927498)"><div class="lx_elem2"><div class="lx_elem3"><span onclick="lx_sf(1927498)"><img src="/img/cmt.svg" />Ҳужжатга таклиф юбориш</span><span onclick="lx_pa(1927498)"><img src="/img/vlm.svg" />Аудиони тинглаш</span><span onclick="lx_cl(1927498)"><img src="/img/lnk.svg" />Ҳужжат элементидан ҳавола олиш</span></div></div><div name="1927498" id="1927498">3.4.2. <strong>Зона ограниченного проживания населения</strong> — от 5 мЗв до 20 мЗв. В этой зоне осуществляются те же меры мониторинга и защиты населения, что и в зоне радиационного контроля. Добровольный въезд на указанную территорию для постоянного проживания не ограничивается. Лицам, въезжающим на указанную территорию для постоянного проживания, разъясняется риск ущербу здоровья, обусловленный воздействием радиации.</div></div><div class="ACT_TEXT lx_elem" onmousemove="lx_mo(event,1927499)"><div class="lx_elem2"><div class="lx_elem3"><span onclick="lx_sf(1927499)"><img src="/img/cmt.svg" />Ҳужжатга таклиф юбориш</span><span onclick="lx_pa(1927499)"><img src="/img/vlm.svg" />Аудиони тинглаш</span><span onclick="lx_cl(1927499)"><img src="/img/lnk.svg" />Ҳужжат элементидан ҳавола олиш</span></div></div><div name="1927499" id="1927499">3.4.3. <strong>Зона отселения</strong> — от 20 мЗв до 50 мЗв. Въезд на указанную территорию для постоянного проживания не разрешается. В этой зоне запрещается постоянное проживание лиц репродуктивного возраста и детей. Здесь осуществляется радиационный мониторинг людей и объектов внешней среды, а также необходимые меры радиационной и медицинской защиты.</div></div><div class="ACT_TEXT lx_elem" onmousemove="lx_mo(event,1927500)"><div class="lx_elem2"><div class="lx_elem3"><span onclick="lx_sf(1927500)"><img src="/img/cmt.svg" />Ҳужжатга таклиф юбориш</span><span onclick="lx_pa(1927500)"><img src="/img/vlm.svg" />Аудиони тинглаш</span><span onclick="lx_cl(1927500)"><img src="/img/lnk.svg" />Ҳужжат элементидан ҳавола олиш</span></div></div><div name="1927500" id="1927500">3.4.4. <strong>Зона отчуждения </strong>— более 50 мЗв. В этой зоне постоянное проживание не допускается, а хозяйственная деятельность и природопользование регулируются специальными актами. Осуществляются меры мониторинга и защиты работающих, с обязательным и индивидуальным дозиметрическим контролем.</div></div><div class="ACT_TEXT lx_elem" onmousemove="lx_mo(event,1927502)"><div class="lx_elem2"><div class="lx_elem3"><span onclick="lx_sf(1927502)"><img src="/img/cmt.svg" />Ҳужжатга таклиф юбориш</span><span onclick="lx_pa(1927502)"><img src="/img/vlm.svg" />Аудиони тинглаш</span><span onclick="lx_cl(1927502)"><img src="/img/lnk.svg" />Ҳужжат элементидан ҳавола олиш</span></div></div><div name="1927502" id="1927502"><strong>4. Критерии вмешательства при обнаружении локальных радиоактивных загрязнений.</strong></div></div><div class="ACT_TEXT lx_elem" onmousemove="lx_mo(event,1927503)"><div class="lx_elem2"><div class="lx_elem3"><span onclick="lx_sf(1927503)"><img src="/img/cmt.svg" />Ҳужжатга таклиф юбориш</span><span onclick="lx_pa(1927503)"><img src="/img/vlm.svg" />Аудиони тинглаш</span><span onclick="lx_cl(1927503)"><img src="/img/lnk.svg" />Ҳужжат элементидан ҳавола олиш</span></div></div><div name="1927503" id="1927503">4.1. Уровень исследований — от 0,01 до 0,3 мЗв/год. Это такой уровень радиационного воздействия источника на население, при достижении которого требуется выполнить исследование источника с целью уточнения оценки величины годовой эффективной дозы, ожидаемой за 70 лет.</div></div><div class="ACT_TEXT lx_elem" onmousemove="lx_mo(event,1927504)"><div class="lx_elem2"><div class="lx_elem3"><span onclick="lx_sf(1927504)"><img src="/img/cmt.svg" />Ҳужжатга таклиф юбориш</span><span onclick="lx_pa(1927504)"><img src="/img/vlm.svg" />Аудиони тинглаш</span><span onclick="lx_cl(1927504)"><img src="/img/lnk.svg" />Ҳужжат элементидан ҳавола олиш</span></div></div><div name="1927504" id="1927504">4.2. Уровень вмешательства— более 0,3 мЗв/год. Это такой уровень радиационного воздействия, при повышении которого требуется проведение защитных мероприятий с целью ограничения облучения населения. Масштабы и характер мероприятий определяются с учетом интенсивности радиационного воздействия на население по величине ожидаемой коллективной эффективной дозы за 70 лет.</div></div><div class="ACT_TEXT lx_elem" onmousemove="lx_mo(event,1927506)"><div class="lx_elem2"><div class="lx_elem3"><span onclick="lx_sf(1927506)"><img src="/img/cmt.svg" />Ҳужжатга таклиф юбориш</span><span onclick="lx_pa(1927506)"><img src="/img/vlm.svg" />Аудиони тинглаш</span><span onclick="lx_cl(1927506)"><img src="/img/lnk.svg" />Ҳужжат элементидан ҳавола олиш</span></div></div><div name="1927506" id="1927506">4.3. Решение о необходимости, а также о характере, объеме и очередности защитных мероприятий принимается органами Госсанэпиднадзора с учетом следующих основных условий:</div></div><div class="ACT_TEXT lx_elem" onmousemove="lx_mo(event,1927509)"><div class="lx_elem2"><div class="lx_elem3"><span onclick="lx_sf(1927509)"><img src="/img/cmt.svg" />Ҳужжатга таклиф юбориш</span><span onclick="lx_pa(1927509)"><img src="/img/vlm.svg" />Аудиони тинглаш</span><span onclick="lx_cl(1927509)"><img src="/img/lnk.svg" />Ҳужжат элементидан ҳавола олиш</span></div></div><div name="1927509" id="1927509">местонахождение загрязненных участков (жилая зона: дворовые участки, дороги и подъездные пути, жилые здания, сельскохозяйственные угодья, садовые и приусадебные участки и пр.; промышленная зона: территория предприятия, здания промышленного и административного назначения, места для сбора отходов и пр.);</div></div><div class="ACT_TEXT lx_elem" onmousemove="lx_mo(event,1927512)"><div class="lx_elem2"><div class="lx_elem3"><span onclick="lx_sf(1927512)"><img src="/img/cmt.svg" />Ҳужжатга таклиф юбориш</span><span onclick="lx_pa(1927512)"><img src="/img/vlm.svg" />Аудиони тинглаш</span><span onclick="lx_cl(1927512)"><img src="/img/lnk.svg" />Ҳужжат элементидан ҳавола олиш</span></div></div><div name="1927512" id="1927512">площади загрязненных участков;</div></div><div class="ACT_TEXT lx_elem" onmousemove="lx_mo(event,1927513)"><div class="lx_elem2"><div class="lx_elem3"><span onclick="lx_sf(1927513)"><img src="/img/cmt.svg" />Ҳужжатга таклиф юбориш</span><span onclick="lx_pa(1927513)"><img src="/img/vlm.svg" />Аудиони тинглаш</span><span onclick="lx_cl(1927513)"><img src="/img/lnk.svg" />Ҳужжат элементидан ҳавола олиш</span></div></div><div name="1927513" id="1927513">возможного проведения на участке загрязненных работ, действий (процессов), которые могут привести к увеличению уровней радиационного воздействия на население;</div></div><div class="ACT_TEXT lx_elem" onmousemove="lx_mo(event,1927515)"><div class="lx_elem2"><div class="lx_elem3"><span onclick="lx_sf(1927515)"><img src="/img/cmt.svg" />Ҳужжатга таклиф юбориш</span><span onclick="lx_pa(1927515)"><img src="/img/vlm.svg" />Аудиони тинглаш</span><span onclick="lx_cl(1927515)"><img src="/img/lnk.svg" />Ҳужжат элементидан ҳавола олиш</span></div></div><div name="1927515" id="1927515">мощности дозы гамма-излучения, обусловленной радиоактивным загрязнением;</div></div><div class="ACT_TEXT lx_elem" onmousemove="lx_mo(event,1927517)"><div class="lx_elem2"><div class="lx_elem3"><span onclick="lx_sf(1927517)"><img src="/img/cmt.svg" />Ҳужжатга таклиф юбориш</span><span onclick="lx_pa(1927517)"><img src="/img/vlm.svg" />Аудиони тинглаш</span><span onclick="lx_cl(1927517)"><img src="/img/lnk.svg" />Ҳужжат элементидан ҳавола олиш</span></div></div><div name="1927517" id="1927517">изменения мощности дозы гамма-излучения на различной глубине от поверхности почвы (при загрязнении территории).</div></div><div class="ACT_TEXT lx_elem" onmousemove="lx_mo(event,1927519)"><div class="lx_elem2"><div class="lx_elem3"><span onclick="lx_sf(1927519)"><img src="/img/cmt.svg" />Ҳужжатга таклиф юбориш</span><span onclick="lx_pa(1927519)"><img src="/img/vlm.svg" />Аудиони тинглаш</span><span onclick="lx_cl(1927519)"><img src="/img/lnk.svg" />Ҳужжат элементидан ҳавола олиш</span></div></div><div name="1927519" id="1927519"><strong>5. Критерии вмешательства при рекультивации промышленных площадок ликвидированных подземных рудников и карьеров по добыче урановых руд, участков подземного выщелачивания урана, отвалов забалансовых урановых руд, хвостохранилища отходов переработки урановых руд</strong></div></div><div class="ACT_TEXT lx_elem" onmousemove="lx_mo(event,1927521)"><div class="lx_elem2"><div class="lx_elem3"><span onclick="lx_sf(1927521)"><img src="/img/cmt.svg" />Ҳужжатга таклиф юбориш</span><span onclick="lx_pa(1927521)"><img src="/img/vlm.svg" />Аудиони тинглаш</span><span onclick="lx_cl(1927521)"><img src="/img/lnk.svg" />Ҳужжат элементидан ҳавола олиш</span></div></div><div name="1927521" id="1927521">5.1. Земли загрязненные радионуклидами подлежат рекультивации по санитарно-гигиеническому направлению если средняя суммарная удельная альфа-активность почв на глубине 25 см превышает 1,2 кБк/кг сверх естественного фона характерного для почв данной местности, а в слоях подстилающих пород на большей глубине превышает 10 кБк/кг; при рекультивации по сельскохозяйственному и лесохозяйственному направлениям, если средняя суммарная удельная альфа-активность почв и подстилающих пород в слоях 0-25 см, 25-50 см , 50-75 см и 75-100 см от поверхности превышает 0,6 кБк/кг сверх естественного фона;</div></div><div class="ACT_TEXT lx_elem" onmousemove="lx_mo(event,1927523)"><div class="lx_elem2"><div class="lx_elem3"><span onclick="lx_sf(1927523)"><img src="/img/cmt.svg" />Ҳужжатга таклиф юбориш</span><span onclick="lx_pa(1927523)"><img src="/img/vlm.svg" />Аудиони тинглаш</span><span onclick="lx_cl(1927523)"><img src="/img/lnk.svg" />Ҳужжат элементидан ҳавола олиш</span></div></div><div name="1927523" id="1927523">при рекультивации по всем направлениям, если мощность поглощенной дозы гамма-излучения в воздухе превышает 0,18 мкГр/ч.</div></div><div class="ACT_TEXT lx_elem" onmousemove="lx_mo(event,1927524)"><div class="lx_elem2"><div class="lx_elem3"><span onclick="lx_sf(1927524)"><img src="/img/cmt.svg" />Ҳужжатга таклиф юбориш</span><span onclick="lx_pa(1927524)"><img src="/img/vlm.svg" />Аудиони тинглаш</span><span onclick="lx_cl(1927524)"><img src="/img/lnk.svg" />Ҳужжат элементидан ҳавола олиш</span></div></div><div name="1927524" id="1927524">5.2. Отвалы забалансовых урановых руд после ликвидации предприятия (или объекта) подлежат рекультивации путем их дислокации в денадуционных зонах или выполаживания на местности с последующим укрытием «чистыми» грунтами с суммарной удельной альфа-активностью и мощность дозы гамма-излучения в пределах вариации естественного фона этих показателей характерного для данной местности.</div></div><div class="ACT_TEXT lx_elem" onmousemove="lx_mo(event,1927527)"><div class="lx_elem2"><div class="lx_elem3"><span onclick="lx_sf(1927527)"><img src="/img/cmt.svg" />Ҳужжатга таклиф юбориш</span><span onclick="lx_pa(1927527)"><img src="/img/vlm.svg" />Аудиони тинглаш</span><span onclick="lx_cl(1927527)"><img src="/img/lnk.svg" />Ҳужжат элементидан ҳавола олиш</span></div></div><div name="1927527" id="1927527">5.3. Хвостохранилище отходов переработки урановых руд подлежит захоронению путем укрытия радиоактивных хвостов противорадиационным экраном из «чистых» грунтов или хвостов от переработки нерадиоактивных руд.</div></div><div class="ACT_TEXT lx_elem" onmousemove="lx_mo(event,1927528)"><div class="lx_elem2"><div class="lx_elem3"><span onclick="lx_sf(1927528)"><img src="/img/cmt.svg" />Ҳужжатга таклиф юбориш</span><span onclick="lx_pa(1927528)"><img src="/img/vlm.svg" />Аудиони тинглаш</span><span onclick="lx_cl(1927528)"><img src="/img/lnk.svg" />Ҳужжат элементидан ҳавола олиш</span></div></div><div name="1927528" id="1927528">5.4. Детальный порядок рекультивации загрязнения радионуклидами земель и захоронения радиоактивных отходов регламентируется специальными правилами.</div></div><div class="BY_DEFAULT lx_elem" onmousemove="lx_mo(event,1927561)"><div class="lx_elem2"><div class="lx_elem3"><span onclick="lx_sf(1927561)"><img src="/img/cmt.svg" />Ҳужжатга таклиф юбориш</span><span onclick="lx_pa(1927561)"><img src="/img/vlm.svg" />Аудиони тинглаш</span><span onclick="lx_cl(1927561)"><img src="/img/lnk.svg" />Ҳужжат элементидан ҳавола олиш</span></div></div><div name="1927561" id="1927561"></div></div><div class="APPL_BANNER_LANDSCAPE_TITLE lx_elem" onmousemove="lx_mo(event,1927568)"><div class="lx_elem2"><div class="lx_elem3"><span onclick="lx_sf(1927568)"><img src="/img/cmt.svg" />Ҳужжатга таклиф юбориш</span><span onclick="lx_pa(1927568)"><img src="/img/vlm.svg" />Аудиони тинглаш</span><span onclick="lx_cl(1927568)"><img src="/img/lnk.svg" />Ҳужжат элементидан ҳавола олиш</span></div></div><div name="1927568" id="1927568">ПРИЛОЖЕНИЕ П</div></div><div class="BY_DEFAULT lx_elem" onmousemove="lx_mo(event,1927572)"><div class="lx_elem2"><div class="lx_elem3"><span onclick="lx_sf(1927572)"><img src="/img/cmt.svg" />Ҳужжатга таклиф юбориш</span><span onclick="lx_pa(1927572)"><img src="/img/vlm.svg" />Аудиони тинглаш</span><span onclick="lx_cl(1927572)"><img src="/img/lnk.svg" />Ҳужжат элементидан ҳавола олиш</span></div></div><div name="1927572" id="1927572"></div></div><div class="TABLE_STD lx_elem" id="theDefCssID" onmousemove="lx_mo(event,1927614)"><div class="lx_elem2"><div class="lx_elem3"><span onclick="lx_sf(1927614)"><img src="/img/cmt.svg" />Ҳужжатга таклиф юбориш</span><span onclick="lx_pa(1927614)"><img src="/img/vlm.svg" />Аудиони тинглаш</span><span onclick="lx_cl(1927614)"><img src="/img/lnk.svg" />Ҳужжат элементидан ҳавола олиш</span></div></div><div name="1927614" id="1927614" class="tabBox"><table id="theTableID" style="TABLE-LAYOUT: fixed; PADDING-RIGHT: 0px; ; PADDING-LEFT: 0px; LEFT: 2px; PADDING-BOTTOM: 0px; WIDTH: 100%; BORDER-TOP-STYLE: none; PADDING-TOP: 0px; BORDER-RIGHT-STYLE: none; BORDER-LEFT-STYLE: none; TOP: 0px; BORDER-BOTTOM-STYLE: none" cellspacing="1" cols="8" border="1">
<colgroup>
<col />
<col />
<col />
<col />
<col />
<col />
<col />
<col /></colgroup>
<tbody>
<tr>
<td style="BORDER-TOP-STYLE: none; BORDER-RIGHT-STYLE: none; BORDER-LEFT-STYLE: none; TEXT-ALIGN: center; BORDER-BOTTOM-STYLE: none" colspan="8">
<p align="center"><strong>‎‎МНОЖИТЕЛИ И ПРИСТАВКИ ДЛЯ ОБРАЗОВАНИЯ ДЕСЯТИЧНЫХ <br />‎КРАТНЫХ И ДОЛЬНЫХ ЕДИНИЦ И ИХ НАИМЕНОВАНИЯ</strong></p></td></tr>
<tr>
<td style="VERTICAL-ALIGN: middle; TEXT-ALIGN: center" rowspan="2">
<p align="center"><strong>Множитель‎‏</strong></p></td>
<td style="VERTICAL-ALIGN: middle; TEXT-ALIGN: center" rowspan="2">
<p align="center"><strong>Приставка</strong></p></td>
<td style="VERTICAL-ALIGN: middle; TEXT-ALIGN: center" colspan="2">
<p align="center"><strong>Обозначение приставки‎‎‎</strong></p></td>
<td style="VERTICAL-ALIGN: middle; TEXT-ALIGN: center" rowspan="2">
<p align="center"><strong>Множитель‎‏<br /></strong></p></td>
<td style="VERTICAL-ALIGN: middle; TEXT-ALIGN: center" rowspan="2">
<p align="center"><strong>Приставка</strong></p></td>
<td style="VERTICAL-ALIGN: middle; TEXT-ALIGN: center" colspan="2">
<p align="center"><strong>Обозначение приставки‎‎‎</strong></p></td></tr>
<tr>
<td style="TEXT-ALIGN: center">
<p align="center"><strong>международное‎</strong></p></td>
<td style="TEXT-ALIGN: center">
<p align="center"><strong>русское‎‎</strong></p></td>
<td style="TEXT-ALIGN: center">
<p align="center"><strong>международное‎</strong></p></td>
<td style="TEXT-ALIGN: center">
<p align="center"><strong>русское‎</strong></p></td></tr>
<tr>
<td style="TEXT-ALIGN: center">10<sup>18‎</sup></td>
<td style="TEXT-ALIGN: center">Экста‎</td>
<td style="TEXT-ALIGN: center">E‎</td>
<td style="TEXT-ALIGN: center">Э‎</td>
<td style="TEXT-ALIGN: center">10<sup>-1‎</sup></td>
<td style="TEXT-ALIGN: center">Деци‎</td>
<td style="TEXT-ALIGN: center">D‎</td>
<td style="TEXT-ALIGN: center">д‎</td></tr>
<tr>
<td style="TEXT-ALIGN: center">10<sup>15‎</sup></td>
<td style="TEXT-ALIGN: center">Пета‎</td>
<td style="TEXT-ALIGN: center">P‎</td>
<td style="TEXT-ALIGN: center">П‎</td>
<td style="TEXT-ALIGN: center">10<sup>-2‎</sup></td>
<td style="TEXT-ALIGN: center">Санти‎</td>
<td style="TEXT-ALIGN: center">C‎</td>
<td style="TEXT-ALIGN: center">С‎</td></tr>
<tr>
<td style="TEXT-ALIGN: center">10<sup>12‎</sup></td>
<td style="TEXT-ALIGN: center">Теро‎</td>
<td style="TEXT-ALIGN: center">T‎</td>
<td style="TEXT-ALIGN: center">Т‎</td>
<td style="TEXT-ALIGN: center">10<sup>-3‎</sup></td>
<td style="TEXT-ALIGN: center">Мили‎</td>
<td style="TEXT-ALIGN: center">M‎</td>
<td style="TEXT-ALIGN: center">м‎</td></tr>
<tr>
<td style="TEXT-ALIGN: center">10<sup>9‎</sup></td>
<td style="TEXT-ALIGN: center">Гига‎</td>
<td style="TEXT-ALIGN: center">G‎</td>
<td style="TEXT-ALIGN: center">Г‎</td>
<td style="TEXT-ALIGN: center">10<sup>-6‎</sup></td>
<td style="TEXT-ALIGN: center">Микро‎</td>
<td style="TEXT-ALIGN: center">мю‎</td>
<td style="TEXT-ALIGN: center">мк‎</td></tr>
<tr>
<td style="TEXT-ALIGN: center">10<sup>6‎</sup></td>
<td style="TEXT-ALIGN: center">Мега‎</td>
<td style="TEXT-ALIGN: center">M‎</td>
<td style="TEXT-ALIGN: center">М‎</td>
<td style="TEXT-ALIGN: center">10<sup>-9‎</sup></td>
<td style="TEXT-ALIGN: center">Нано‎</td>
<td style="TEXT-ALIGN: center">n‎</td>
<td style="TEXT-ALIGN: center">н‎</td></tr>
<tr>
<td style="TEXT-ALIGN: center">10<sup>3‎</sup></td>
<td style="TEXT-ALIGN: center">Кило‎</td>
<td style="TEXT-ALIGN: center">k‎</td>
<td style="TEXT-ALIGN: center">к‎</td>
<td style="TEXT-ALIGN: center">10<sup>-12‎</sup></td>
<td style="TEXT-ALIGN: center">Пико‎</td>
<td style="TEXT-ALIGN: center">p‎</td>
<td style="TEXT-ALIGN: center">п‎</td></tr>
<tr>
<td style="TEXT-ALIGN: center">10<sup>2‎</sup></td>
<td style="TEXT-ALIGN: center">Гекто‎</td>
<td style="TEXT-ALIGN: center">h‎</td>
<td style="TEXT-ALIGN: center">г‎</td>
<td style="TEXT-ALIGN: center">10<sup>-15‎</sup></td>
<td style="TEXT-ALIGN: center">Фемто‎</td>
<td style="TEXT-ALIGN: center">f‎</td>
<td style="TEXT-ALIGN: center">ф‎</td></tr>
<tr>
<td style="TEXT-ALIGN: center">10<sup>1‎</sup></td>
<td style="TEXT-ALIGN: center">Дека‎</td>
<td style="TEXT-ALIGN: center">da‎</td>
<td style="TEXT-ALIGN: center">да‎</td>
<td style="TEXT-ALIGN: center">10<sup>-18‎</sup></td>
<td style="TEXT-ALIGN: center">Атто‎</td>
<td style="TEXT-ALIGN: center">a‎</td>
<td style="TEXT-ALIGN: center">а‎</td></tr></tbody></table></div></div><div class="BY_DEFAULT lx_elem" onmousemove="lx_mo(event,1927619)"><div class="lx_elem2"><div class="lx_elem3"><span onclick="lx_sf(1927619)"><img src="/img/cmt.svg" />Ҳужжатга таклиф юбориш</span><span onclick="lx_pa(1927619)"><img src="/img/vlm.svg" />Аудиони тинглаш</span><span onclick="lx_cl(1927619)"><img src="/img/lnk.svg" />Ҳужжат элементидан ҳавола олиш</span></div></div><div name="1927619" id="1927619"></div></div><div class="APPL_BANNER_LANDSCAPE_TITLE lx_elem" onmousemove="lx_mo(event,1927625)"><div class="lx_elem2"><div class="lx_elem3"><span onclick="lx_sf(1927625)"><img src="/img/cmt.svg" />Ҳужжатга таклиф юбориш</span><span onclick="lx_pa(1927625)"><img src="/img/vlm.svg" />Аудиони тинглаш</span><span onclick="lx_cl(1927625)"><img src="/img/lnk.svg" />Ҳужжат элементидан ҳавола олиш</span></div></div><div name="1927625" id="1927625">ПРИЛОЖЕНИЕ Р</div></div><div class="BY_DEFAULT lx_elem" onmousemove="lx_mo(event,1927627)"><div class="lx_elem2"><div class="lx_elem3"><span onclick="lx_sf(1927627)"><img src="/img/cmt.svg" />Ҳужжатга таклиф юбориш</span><span onclick="lx_pa(1927627)"><img src="/img/vlm.svg" />Аудиони тинглаш</span><span onclick="lx_cl(1927627)"><img src="/img/lnk.svg" />Ҳужжат элементидан ҳавола олиш</span></div></div><div name="1927627" id="1927627"></div></div><div class="TABLE_STD lx_elem" id="theDefCssID" onmousemove="lx_mo(event,1927656)"><div class="lx_elem2"><div class="lx_elem3"><span onclick="lx_sf(1927656)"><img src="/img/cmt.svg" />Ҳужжатга таклиф юбориш</span><span onclick="lx_pa(1927656)"><img src="/img/vlm.svg" />Аудиони тинглаш</span><span onclick="lx_cl(1927656)"><img src="/img/lnk.svg" />Ҳужжат элементидан ҳавола олиш</span></div></div><div name="1927656" id="1927656" class="tabBox"><table id="theTableID" style="TABLE-LAYOUT: auto; PADDING-RIGHT: 0px; ; PADDING-LEFT: 0px; LEFT: 2px; PADDING-BOTTOM: 0px; WIDTH: 100%; BORDER-TOP-STYLE: none; PADDING-TOP: 0px; BORDER-RIGHT-STYLE: none; BORDER-LEFT-STYLE: none; TOP: 0px; BORDER-BOTTOM-STYLE: none" cellspacing="1" cols="4" border="1">
<colgroup>
<col />
<col />
<col />
<col /></colgroup>
<tbody>
<tr>
<td style="BORDER-TOP-STYLE: none; BORDER-RIGHT-STYLE: none; BORDER-LEFT-STYLE: none; BORDER-BOTTOM-STYLE: none" colspan="4">
<p align="center"><strong>‎‎СООТНОШЕНИЯ МЕЖДУ ЕДИНИЦАМИ СИ И ВНЕСИСТЕМНЫМИ ЕДИНИЦАМИ АКТИВНОСТИ И ХАРАКТЕРИСТИК ПОЛЯ ИЗЛУЧЕНИЯ</strong></p></td></tr>
<tr>
<td rowspan="2">
<p align="center"><strong>Величина и ее символ‎‏<br />‎</strong></p></td>
<td colspan="2">
<p align="center"><strong>Название и обозначение единиц‎‎</strong></p></td>
<td rowspan="2">
<p align="center"><strong>Связь между единицами‎‏<br />‎</strong></p></td></tr>
<tr>
<td>
<p align="center"><strong>Единица СИ‎</strong></p></td>
<td>
<p align="center"><strong>Внесистемная единица‎</strong></p></td></tr>
<tr>
<td>Активность А‎</td>
<td>Беккерель (Бк), равный одному распаду в секунду (расп./с)‎</td>
<td>Кюри (Ки)‎</td>
<td>1 Ки = 3,7 х 10<sup>10</sup>расп./с = 3,7 х 10<sup>10</sup>Бк; 1 Бк = 1 расп./с; 1 Бк = 2,703 х 10<sup>-11</sup> Ки ‎</td></tr>
<tr>
<td>Плотность потока I или тока J<sub>E </sub>энергии частиц‎</td>
<td>Ватт на квадратный метр (Вт/м<sup>2</sup>), равный одному джоулю на квадратный метр в секунду [Дж/(м<sup>2</sup>хс)]‎</td>
<td>Эрг на квадратный сантиметр в секунду [эрг/(см2 х с)] или мегаэлектронвольт на квадратный сантиметр в секунду [МэВ/(см2 х с)]‎</td>
<td>1 эрг/(см<sup>2</sup> х с) = 1 х 10<sup>-3</sup>J Дж/(м<sup>2</sup> х с) =1 x l 0<sup>-3</sup>_JВт/м<sup>2</sup>; <br />‎1 Вт/м<sup>2</sup> = 1 Дж/(м<sup>2</sup> х с) = 1 х 10<sup>3</sup> эрг/(см<sup>2</sup> х с);<br />‎1 МэВ/(см<sup>2</sup> х с)= 1,602 х 10<sup>-9</sup> Дж/(м<sup>2</sup> х с) = 1,602 х 10<sup>-9</sup> Вт/м<sup>2</sup>; <br />‎1 Вт/м<sup>2</sup> = 1 Дж/(м<sup>2</sup> х с) = 6,24 х 10<sup>8</sup> МэВ/(см<sup>2</sup> х с) ‎</td></tr>
<tr>
<td>Поглощенная доза Б‎</td>
<td>Грей (Гр), равный одному джоулю на килограмм (Дж/кг)‎</td>
<td>Рад (рад)‎</td>
<td>1 рад=100 эрг/г=1 х 10<sup>-2</sup> Дж/кг =1х10<sup>-2</sup> Гр; 1 Гр = 1 Дж/кг; 1 Гр=1 Дж/кг=10<sup>4</sup> эрг/г = 100 рад ‎</td></tr>
<tr>
<td>Мощность поглощенной дозы D‎</td>
<td>Грей в секунду (Гр/с), равный одному джоулю на килограмм в секунду [Дж/(кг х с)]‎</td>
<td>Рад в секунду (рад/с)‎</td>
<td>1рад/с= 1х10<sup>-2</sup> Дж/(кг х с) = 1х10<sup>-2</sup> Гр/с; 1 Гр/с =1 Дж/(кг х с) = 1х10<sup>2</sup> рад/с‎</td></tr>
<tr>
<td>Эквивалентная доза Н‎</td>
<td>Зиверт (Зв), равный одному грэю на взвешивающий коэффициент для вида излучения - W<sub>R</sub>[1ГрW<sub>R</sub><sup><sub>=Дж/</sub></sup>кг)W<sub>R</sub>]‎</td>
<td>Бэр (бэр)‎</td>
<td>1 бэр = 1 рад/W<sub>R</sub> = (1 х 10<sup>-2</sup> Дж/кг)/ W<sub>R</sub>= (1 х 10<sup>-2</sup> Гр)/ W<sub>R</sub>= 1 х 10-2 Зв; 1 Зв = 1 Гр/ W<sub>R</sub> = (1 Дж/кг)/ W<sub>R</sub> = 100 рад/WR = 100 бэр‎</td></tr>
<tr>
<td>Мощность эквивалентной дозы Н‎</td>
<td>Зиверт в секунду (Зв/с)‎</td>
<td>Бэр в секунду (бэр/с)‎</td>
<td>1 бэр/с = 1 х 10<sup>-2</sup> Зв/с; 1 Зв/с = 100 бэр/с‎</td></tr>
<tr>
<td>Экспозиционная доза<a href="/docs/1908086#1927659">*</a> X‎</td>
<td>Кулон на килограмм (Кл/кг)‎</td>
<td>Рентген (Р)‎</td>
<td>1 Р = 2,58 х 10<sup>-4</sup> Кл/кг (точно); 1 Кл/кг = 3,88 х 10<sup>3</sup> Р (приближенно) ‎</td></tr>
<tr>
<td>Мощность экспозиционной дозы X‎</td>
<td>Кулон на килограмм в секунду [Кл/(кг х с)]‎</td>
<td>Рентген в секунду (Р/с)‎</td>
<td>1 Р/с = 2,58 х 10<sup>-4</sup>Кл/Осг х с) (точно); 1 Кл/(кг х с) = 3,88 х 10<sup>3</sup> Р/с (приближенно) ‎</td></tr>
<tr>
<td>Керма<a href="/docs/1908086#1927661">**</a> К‎</td>
<td>Грэй (Гр), равный одному джоулю на килограмм (Дж/кг)‎</td>
<td>Рад (рад)‎</td>
<td>1 рад = 100эрг/г=1 х 10<sup>-2</sup> Дж/кг = 1 х 10<sup>-2</sup> Гр; 1 Гр = 1 Дж/кг; 1 Гр = 1 Дж/кг = 10<sup>4</sup> эрг/г = 100 рад ‎</td></tr>
<tr>
<td>Мощность кермы К‎</td>
<td>Грэй в секунду (Гр/с), равный одному джоулю на килограмм в секунду [Дж/(кг х с)‎</td>
<td>Рад в секунду (рад/с)‎</td>
<td>1 рад/с=1 х 10<sup>-2</sup>Дж/(кг х с) = 1 х 10<sup>-2</sup> Гр/с; 1 Гр/с = 1 Дж/(кг х с) =1х10<sup>2</sup> рад/с ‎</td></tr></tbody></table></div></div><div class="FOOTNOTE lx_elem" onmousemove="lx_mo(event,1927657)"><div class="lx_elem2"><div class="lx_elem3"><span onclick="lx_sf(1927657)"><img src="/img/cmt.svg" />Ҳужжатга таклиф юбориш</span><span onclick="lx_pa(1927657)"><img src="/img/vlm.svg" />Аудиони тинглаш</span><span onclick="lx_cl(1927657)"><img src="/img/lnk.svg" />Ҳужжат элементидан ҳавола олиш</span></div></div><div name="1927657" id="1927657">Примечание:</div></div><div class="FOOTNOTE lx_elem" onmousemove="lx_mo(event,1927659)"><div class="lx_elem2"><div class="lx_elem3"><span onclick="lx_sf(1927659)"><img src="/img/cmt.svg" />Ҳужжатга таклиф юбориш</span><span onclick="lx_pa(1927659)"><img src="/img/vlm.svg" />Аудиони тинглаш</span><span onclick="lx_cl(1927659)"><img src="/img/lnk.svg" />Ҳужжат элементидан ҳавола олиш</span></div></div><div name="1927659" id="1927659">* Используется для гамма-излучения с энергией до 3 МэВ в воздухе. 1Р = 0,87 рад = 0,87 х 10-2 Гр поглощенной в воздухе дозы.</div></div><div class="FOOTNOTE lx_elem" onmousemove="lx_mo(event,1927661)"><div class="lx_elem2"><div class="lx_elem3"><span onclick="lx_sf(1927661)"><img src="/img/cmt.svg" />Ҳужжатга таклиф юбориш</span><span onclick="lx_pa(1927661)"><img src="/img/vlm.svg" />Аудиони тинглаш</span><span onclick="lx_cl(1927661)"><img src="/img/lnk.svg" />Ҳужжат элементидан ҳавола олиш</span></div></div><div name="1927661" id="1927661">** Для гамма-излучения с энергией до 10 МэВ керма практически не отличается от поглощенной дозы</div></div></div>
                                            </div>
                                        </div>
                                    </div>
                                
                                
                                
                            </div>
                        </div>
                    </div>
                </div>
            </div>
            
            <div class="lx_revive_adserver">
                

<script type='text/javascript'><!--//<![CDATA[
    var m3_u = (location.protocol == 'https:' ? 'https://rk.adolatmarkazi.uz/www/delivery/ajs.php' : 'http://rk.adolatmarkazi.uz/www/delivery/ajs.php');
    var m3_r = Math.floor(Math.random() * 99999999999);
    if (!document.MAX_used) document.MAX_used = ',';
    document.write("<scr" + "ipt type='text/javascript' src='" + m3_u);
    document.write("?zoneid=8");
    document.write('&amp;cb=' + m3_r);
    if (document.MAX_used != ',') document.write("&amp;exclude=" + document.MAX_used);
    document.write(document.charset ? '&amp;charset=' + document.charset : (document.characterSet ? '&amp;charset=' + document.characterSet : ''));
    document.write("&amp;loc=" + escape(window.location));
    if (document.referrer) document.write("&amp;referer=" + escape(document.referrer));
    if (document.context) document.write("&context=" + escape(document.context));
    document.write("'><\/scr" + "ipt>");
    //]]>--></script>

            </div>
            
        </main>
        <div class="skiptranslate">
            
<footer class="footer">
    
    <div class="footer__top">
        <div class="container">
            <div class="footer__links">
                <div class="footer__links-ads">
                    <a href="/about">Марказ ҳақида</a>
                </div>
                <div class="footer__links-ads">
                    <a href="/news">Сайт янгиликлари</a>
                </div>
                <div class="footer__links-ads">
                    <a href="/adv">Сайтда реклама</a>
                </div>
                <div class="footer__links-ads">
                    <a href="/rss">RSS</a>
                </div>
            </div>
            
            <div class="footer__app">
                <div class="footer__app-download">
                    <a target="_blank" href="https://play.google.com/store/apps/details?id=uz.lex.mobile">
                        <img src="/assets/img/google_app.svg"></a>
                </div>
                <div class="footer__app-download">
                    <a target="_blank" href="https://apps.apple.com/us/app/lexuz/id1608798574">
                        <img src="/assets/img/app_store.png"></a>
                </div>
            </div>
            <div class="footer__icon">
                <div class="footer__icons">
                    <a target="_blank" href="https://t.me/lexuzofficial"><i class="fab fa-telegram-plane"></i></a>
                </div>
                <div class="footer__icons">
                    <a target="_blank" href="https://www.facebook.com/minjustuz"><i class="fab fa-facebook-f"></i></a>
                </div>
                <div class="footer__icons">
                    <a target="_blank" href="https://www.instagram.com/adliyanews/"><i class="fab fa-instagram-square"></i></a>
                </div>
                <div class="footer__icons">
                    <a target="_blank" href="https://www.youtube.com/c/adliya"><i class="fab fa-youtube"></i></a>
                </div>
            </div>
            <div style="float: right; top: -30px; margin-top: -44px;">
<!-- START WWW.UZ TOP-RATING -->
<SCRIPT language="javascript" type="text/javascript">
		<!--
		top_js = "1.0"; top_r = "id=4079&r=" + escape(document.referrer) + "&pg=" + escape(window.location.href); document.cookie = "smart_top=1; path=/"; top_r += "&c=" + (document.cookie ? "Y" : "N")
		//-->
</SCRIPT>
<SCRIPT language="javascript1.1" type="text/javascript">
<!--
		top_js = "1.1"; top_r += "&j=" + (navigator.javaEnabled() ? "Y" : "N")
//-->
</SCRIPT>
<SCRIPT language="javascript1.2" type="text/javascript">
<!--
		top_js = "1.2"; top_r += "&wh=" + screen.width + 'x' + screen.height + "&px=" + (((navigator.appName.substring(0, 3) == "Mic")) ? screen.colorDepth : screen.pixelDepth)
//-->
</SCRIPT>
<SCRIPT language="javascript1.3" type="text/javascript">
<!--
		top_js = "1.3";
//-->
</SCRIPT>
<SCRIPT language="JavaScript" type="text/javascript">
		<!--
		top_rat = "&col=0C57A6&t=ffffff&p=DD7900"; top_r += "&js=" + top_js + ""; document.write('<a href="https://www.uz/rus/toprating/cmd/stat/id/4079" target="_blank"><img src="https://www.uz/plugins/top_rating/count/cnt.png?' + top_r + top_rat + '" width=88 height=31 border=0 alt="Топ рейтинг www.uz"></a>')//-->
</SCRIPT>
<NOSCRIPT>
		<A href="https://www.uz/rus/toprating/cmd/stat/id/4079" target="_blank">
				<img height="31" src="https://www.uz/plugins/top_rating/count/nojs_cnt.png?id=4079&pg=http%3A//lex.uz&col=0C57A6&t=ffffff&p=DD7900" width="88" border="0" alt="Топ рейтинг www.uz">
		</A>
</NOSCRIPT>
<!-- FINISH WWW.UZ TOP-RATING --></div>
            
        </div>
    </div>
    
    <div class="footer__bottom">
        <div class="container">
            <div class="footer__bottom-desc">&copy; Ўзбекистон Республикаси Адлия вазирлиги қошидаги “Адолат” миллий ҳуқуқий ахборот маркази давлат муассасаси</div>
        </div>
    </div>
</footer>
<div id="lx_alert" style="display: none;">
    <div class="lx_alert_content">
        <div class="lx_alert_body">
            <div id="lx_alert_message"></div>
        </div>
        <div class="lx_alert_footer">
            <button id="lx_alert_close" type="button" class="btn btn-primary" onclick="lxCloseAlert();">Ёпиш</button>
        </div>
    </div>
</div>
<span id="lx_btn_up" onclick="lx_btn_up_top()" title="">
    <svg viewBox="0 0 512 512">
        <path fill="currentColor" d="M256 504c137 0 248-111 248-248S393 8 256 8 8 119 8 256s111 248 248 248zm0-448c110.5 0 200 89.5 200 200s-89.5 200-200 200S56 366.5 56 256 145.5 56 256 56zm20 328h-40c-6.6 0-12-5.4-12-12V256h-67c-10.7 0-16-12.9-8.5-20.5l99-99c4.7-4.7 12.3-4.7 17 0l99 99c7.6 7.6 2.2 20.5-8.5 20.5h-67v116c0 6.6-5.4 12-12 12z"></path></svg>
</span>

        </div>
        <div id="lx_md_send_feedback" class="modal" tabindex="-1" role="dialog">
            <div class="modal-dialog" role="document" style="max-width: 40rem; max-height: 90vh;">
                <div class="modal-content">
                    <div class="modal-header" style="display: block;">
                        <button type="button" class="close" data-dismiss="modal" aria-label="Close">
                            <span aria-hidden="true">&times;</span>
                        </button>
                        <h3 class="modal-title">Ҳужжатга таклиф юбориш</h3>
                    </div>
                    <div class="modal-body">
                        <div class="form-group">
                            <select class="lx_select2_filter select2 form-control" id="lx_feedback_type" onchange="feedback_type_changed(this)">
                                <option value="" selected>Таклиф турини танланг</option>
                                <option value="1">Ҳужжатга таклиф</option>
                                <option value="2">Техник хатолик</option>
                            </select>
                        </div>
                        <div class="form-group">
                            <input id="lx_feedback_from" type="text" class="form-control" placeholder="Фамилияси, исми, шарифи" />
                        </div>
                        <div class="form-group row">
                            <div class="col-6">
                                <input id="lx_feedback_phone" type="text" class="form-control" placeholder="Телефон" />
                            </div>
                            <div class="col-6">
                                <input id="lx_feedback_email" type="text" class="form-control" placeholder="Email" />
                            </div>
                        </div>
                        <div class="form-group">
                            <textarea id="lx_feedback_text" class="form-control" rows="7" maxlength="2000" style="resize: vertical; max-height: 600px;" placeholder="Матн"></textarea>
                        </div>
                        <div class="form-group">
                            <div class="custom-control custom-checkbox mb-2">
                                <input class="custom-control-input" id="lx_feedback_legis" type="checkbox" onchange="lx_feedback_legis_changed(this)">
                                <label class="custom-control-label" for="lx_feedback_legis">Қонунчиликка таклиф бериш <a href="https://lex.uz/" target="_blank" style="color:#0064a9">қоидалари</a> билан танишдим</label>
                            </div>
                        </div>
                    </div>
                    <div class="modal-footer" id="sendFeedback_group" style="display: none;">
                        <div id="dvCaptcha2"></div>
                        <input type="hidden" id="captcha_res2" />
                        <button type="button" class="btn btn-success" id="btn_sendFeedbackToDb" style="display: none;" onclick="sendFeedbackToDb(1908086, 3);">Жўнатиш</button>
                        <button type="button" class="btn btn-danger" id="btn_sendFeedbackCancel" data-dismiss="modal">Бекор қилиш</button>
                    </div>
                </div>
            </div>
        </div>
        <div class="modal fade" id="modalShowCard" tabindex="-1" role="dialog" aria-hidden="true" style="z-index: 9000;">
            <div class="modal-dialog" style="margin: 0;">
                <div class="modal-content" style="background: #eee; width: 90vw; height: 92vh; left: 5vw; top: 4vh;">
                    <div class="modal-header" style="padding: 0 4px 0 0; display: block;">
                        <button type="button" class="close" data-dismiss="modal" style="margin: 0">&times;</button>
                    </div>
                    <div class="modal-body" style="padding: 0 4px; margin: 0;">
                        <iframe id="iframeShowCard" style="width: 100%; height: 100%; border: none;"></iframe>
                    </div>
                </div>
            </div>
        </div>
        <button id="lxPlayButton"></button>
        <button id="lxPlayLang" style="display: none">1</button>
        
        <script type="text/javascript">
            function googleTranslateElementInit() {
                new google.translate.TranslateElement({
                    pageLanguage: 'ru',
                    includedLanguages: 'sq,ar,hy,az,be,bn,bg,zh-CN,zh-TW,hr,cs,da,et,tl,fi,fr,ka,de,el,iw,hi,hu,is,id,it,ja,kk,ko,ky,lv,lt,ms,mn,no,ps,fa,pl,pt,ro,sr,sk,sl,es,sw,sv,tg,tt,th,tr,tk,uk,ur,ug,vi,en,uz',
                    layout: google.translate.TranslateElement.InlineLayout.SIMPLE
                }, 'google_translate_element');
            }
        </script>
        <script type="text/javascript" defer src="//translate.google.com/translate_a/element.js?cb=googleTranslateElementInit"></script>
        
        <script>
            const htmldark = document.getElementsByTagName('html')[0];

            if (localStorage.getItem("themes") === "light") {
                htmldark.dataset.theme = 'light';
            }
            else if (localStorage.getItem("themes") === "grey") {
                htmldark.dataset.theme = 'grey';
            }
            else if (localStorage.getItem("themes") === "dark") {
                htmldark.dataset.theme = 'dark';
            }
            const toggleTheme = (theme) => {
                htmldark.dataset.theme = theme;
                localStorage.setItem("themes", theme);
            }
        </script>
        <script>            
            
        </script>
        <script type="text/javascript">
            
            $("#docContent__sideBar-show").click(function () {
                if ($("body").hasClass("sidebar-show")) {
                    $("body").removeClass("sidebar-show")
                }
                else {
                    $("body").addClass("sidebar-show")
                }
            })
            
        </script>
    </div>
    <div style="display: none;"></div>
</body>
</html>

<script>
    function changeScrollType(obj) {
        if ($(obj)["0"].checked) {
            scrollIndependent();
        }
        else {
            scrollCommon();
        }
    }

    function scrollCommon() {
        $('#lang1').css('overflow', 'auto');
        $(".lang1, .lang2").removeAttr('overflow');
        $(".lang1, .lang2").css('overflow', 'hidden');
        $(".lang1, .lang2").css('height', 'auto');
        $(".lang1, .lang2").css('padding-right', '0');
        $("body").css('overflow', 'auto');
    }

    function scrollIndependent() {
        $('#actPage').removeAttr('overflow');
        $(".lang1, .lang2").css('height', ($(window).height() - 38) + "px");
        $(".lang1, .lang2").css('overflow', 'auto');
        $(".lang1, .lang2").css('padding-right', '5px');
        $("body").css('overflow', 'hidden');
    }

    function clickAllChk(item_id, chk, pref1, pref2) {
        $.each($('#' + pref1 + '_dropdown_check').find("INPUT[type='checkbox']"), function () {
            if ($(this).attr('id') != item_id) {
                $(this).prop('checked', chk.checked);
                if (!chk.checked) {
                    $.each($('div').find('#s' + $(this).attr('id').substring(2)), function () { $(this).parent().hide(); });
                }
                else {
                    $.each($('div').find('#s' + $(this).attr('id').substring(2)), function () { $(this).parent().show(); });
                }
            }
        });

        $.each($('#' + pref2 + '_dropdown_check').find("INPUT[type='checkbox']"), function () {
            $(this).attr('checked', chk.checked);
        });
    }

    function hideItem(chk) {
        var chk_id = chk.id.substring(2);
        var $containers = $('[id="s' + chk_id + '"]').parent();
        if (!chk.checked) {
            $containers.hide();
        }
        else {
            if (chk_id === '1104') {
                $containers.removeClass("lx_no_select");
            }
            $containers.show();
        }
    }

    var showLexComments = false;

    function toggleLexComments() {
        var $containers = $('[id="s527"]').parent();
        if (showLexComments) {
            showLexComments = false;
            $("#t_btn_lex_comment").removeClass("active")
            $("#b_btn_lex_comment").removeClass("active")
            $containers.hide();
        }
        else {
            showLexComments = true;
            $("#t_btn_lex_comment").addClass("active")
            $("#b_btn_lex_comment").addClass("active")
            $containers.removeClass("lx_no_select");
            $containers.show();
        }
    }

    function scrollText(hash) {
        if (!hash) {
            window.scrollTo(0, 0);
            return;
        }
        history.pushState(null, '', '#' + hash);
        scrollToHash(hash);
    }

    function scrollToHash(hash, smooth = false) {
        const target = document.getElementById(hash);
        if (!target) return;
        const iframe = document.querySelector('.skiptranslate iframe');
        const iframeHeight = iframe ? iframe.offsetHeight : 0;
        const header = document.getElementById("doc_header");
        const headerHeight = header ? header.offsetHeight : 0;
        const y = target.getBoundingClientRect().top + window.pageYOffset - iframeHeight - headerHeight - 4;
        if (smooth) {
            setTimeout(() => { window.scrollTo(0, y); }, 100);
        } else {
            window.scrollTo(0, y);
        }
    }

    window.onload = function () {
        if (window.location.hash) {
            scrollToHash(window.location.hash.substring(1), true);
        }
    };

    window.addEventListener('hashchange', function () {
        if (window.location.hash) {
            scrollToHash(window.location.hash.substring(1));
        }
    });

    $(document).ready(function () {
        $('#search-criteria').on('input', function (e) {
            var txt = $('#search-criteria').val().toUpperCase();
            if (txt.length > 0) {
                $('.docNabvar__child').each(function () {
                    $(this).addClass('toc_show');
                });
                $('.search-text').each(function () {
                    var elem = $(this).closest('.search-toggle');
                    elem.removeClass('toc_show');
                    elem.removeClass('toc_hide');
                    if ($(this).text().toUpperCase().indexOf(txt) != -1) {
                        elem.addClass('toc_show');
                    } else {
                        elem.addClass('toc_hide');
                    }
                });
            }
            else {
                clearSearch();
            }
        });
    });

    function clearSearch() {
        $('#search-criteria').val('');
        $('.toc_show').each(function () {
            $(this).removeClass('toc_show');
        });
        $('.toc_hide').each(function () {
            $(this).removeClass('toc_hide');
        });
    }
</script>
<script>
    function addToFavorite() {
        $.ajax({
            type: "POST",
            url: "/pages/ajax_methods2.aspx",
            cache: false,
            data: {
                "action": "addToFavorite",
                "lact_id": "1908086",
                "lang": "3"
            },
            success: function (data) {
                var kvp = JSON.parse(data);
                lxAlert(kvp.message);
            },
            error: function () {
                lxAlert("Cақлашда хатолик!");
            }
        });
    }

    function showAddCard(tcard) {
        if (tcard < 1 || tcard > 6) {
            return;
        }

        $('#add_info').val('0').trigger('change');

        if (tcard == "1") {
            showIframeCard('/actinfo/card1/1908086');
        }
        else if (tcard == "2") {
            showIframeCard('/actinfo/card2/1908086');
        }
        else if (tcard == "3") {
            showIframeCard('/actinfo/basrev/1908086');
        }
        else if (tcard == "4") {
            showIframeCard('/actinfo/revhis/1908086');
        }
        else if (tcard == "5") {
            showIframeCard('/actinfo/correspondents/1908086');
        }
        else if (tcard == "6") {
            showIframeCard('/actinfo/respondents/1908086');
        }
    }

    function showIframeCard(_url) {
        $("#iframeShowCard").attr("src", _url);
        $('#modalShowCard').modal('show');
    }

    $('#modalShowCard').on('hidden.bs.modal', function () {
        $("#iframeShowCard").attr("src", "about:blank");  // clear after close
    });

    $(document).ready(function () {
        
    });
</script>
<script type="text/javascript">
    function downloadDoc() {
        const s527 = showLexComments ? '1' : '0';
        const s1089 = $('#t_1089').prop('checked') ? '1' : '0';
        const s1104 = $('#t_1104').prop('checked') ? '1' : '0';
        window.location.href = '/docs/1908086?type=doc' + '&s527=' + s527 + '&s1089=' + s1089 + '&s1104=' + s1104;
    }

    function openTwoLang(lang_id) {
        window.location.href = "/docs/1908086?otherlang=" + lang_id;
    }
</script>
<script>
    function lx_pa(elem_id) { lx_audio.playAudioByElemId(elem_id); }
    function lx_mo(e, elem_id) { lx_audio.moveElement(e, elem_id); }
    function a(event, word) { lx_def.showDef(event, '1', word); }
    function lx_cl(elem_id) {
        const link = window.location.origin + window.location.pathname + window.location.search + '#' + elem_id;
        navigator.clipboard.writeText(link)
            .then(() => {
                Swal.fire({
                    title: 'Ҳавола олинди',
                    text: link,
                    confirmButtonText: "Ёпиш"
                });
            })
            .catch(err => {
                Swal.fire({
                    title: 'Error',
                    text: 'Failed to copy',
                    confirmButtonText: "Ёпиш"
                });
            });
    }
    async function lx_bm(elem_id) {
        const link = window.location.pathname + window.location.search + '#' + elem_id;
        try {
            const lang_id = 3;
            const response = await fetch('/Pages/GetPage.aspx/SaveBookmark', {
                method: "POST",
                headers: { "Content-Type": "application/json" },
                body: JSON.stringify({ lang_id, link }),
            });
            if (response.ok) {
                const result = (await response.json()).d;
                lxAlert(result);
            } else {
                lxAlert('Техник хатолик');
            }
        }
        catch (error) {
            lxAlert('Техник хатолик');
        }
    }
</script>
<script>
    var dvCaptcha2;

    var onloadCallback = function () {
        dvCaptcha2 = grecaptcha.render('dvCaptcha2', {
            'sitekey': '6Lc4eUoUAAAAADW-S-YIn_F1v9K-G6154fgrBmQq',
            'callback': function (response) {
                $("[id*=captcha_res2]").val(response);
                $('#btn_sendFeedbackToDb').show();
                $('#btn_sendFeedbackCancel').hide();
            }
        });
    };

    var _elem_id;

    function lx_sf(elem_id) { // added to xml
        sendFeedback(elem_id);
    }

    function sendFeedback(elem_id) {
        _elem_id = elem_id;
        grecaptcha.reset(dvCaptcha2);
        $('#lx_feedback_from').val('');
        $('#lx_feedback_text').val('');
        $('#lx_feedback_phone').val('');
        $('#lx_feedback_email').val('');
        $('#captcha_res2').val('');
        $('#btn_sendFeedbackToDb').hide();
        $('#lx_md_send_feedback').modal({
            backdrop: 'static',
            keyboard: true
        });
        $('#lx_feedback_type').val('').trigger('change');
        $('#lx_feedback_legis').prop('checked', false).trigger('change');
    }

    function feedback_type_changed(sel) {
        if (sel.value == '1') {
            $('#lx_feedback_phone').show();
            $('#lx_feedback_email').show();
        }
        else {
            $('#lx_feedback_phone').hide();
            $('#lx_feedback_email').hide();
        }
    }

    function lx_feedback_legis_changed(checkbox) {
        if (checkbox.checked) {
            $('#sendFeedback_group').show();
        } else {
            $('#sendFeedback_group').hide();
        }
    }

    function sendFeedbackToDb(lact_id, lang_id) {
        var feedback_from = $('#lx_feedback_from').val().trim();
        var feedback_text = $('#lx_feedback_text').val().trim();
        var feedback_type = $('#lx_feedback_type').val().trim();
        var feedback_phone = $('#lx_feedback_phone').val().trim();
        var feedback_email = $('#lx_feedback_email').val().trim();
        var captcha_result = $('#captcha_res2').val();

        if (feedback_type != '1' && feedback_type != '2') {
            lxAlert('Таклиф турини танланг!');
        }
        else if (feedback_from.length < 3 || feedback_from.length > 100) {
            lxAlert('Фамилияси, исми, шарифи!');
        }
        else if (feedback_text.length < 10) {
            lxAlert('Маълумот тўлиқ киритилмаган!');
        }
        else if (feedback_text.length > 2000) {
            lxAlert('Матн 2000 ҳарфдан кўп!')
        }
        else if (feedback_phone.length > 20) {
            lxAlert('Телефон!');
        }
        else if (feedback_email.length > 30) {
            lxAlert('Email!');
        }
        else {
            $.ajax({
                type: "POST",
                url: "/pages/ajax_methods2.aspx",
                data: {
                    'action': 'sendfeedback',
                    'lact_id': lact_id,
                    'lang_id': lang_id,
                    'element_id': _elem_id,
                    'feedback_from': encodeHtmlEntities(feedback_from),
                    'feedback_text': encodeHtmlEntities(feedback_text),
                    'feedback_type': encodeHtmlEntities(feedback_type),
                    'feedback_phone': encodeHtmlEntities(feedback_phone),
                    'feedback_email': encodeHtmlEntities(feedback_email),
                    'captcha_result': captcha_result
                },
                success: function (data) {
                    $('#lx_feedback_from').val('');
                    $('#lx_feedback_text').val('');
                    $('#lx_feedback_type').val('');
                    $('#lx_feedback_phone').val('');
                    $('#lx_feedback_email').val('');
                    $('#captcha_res2').val('');
                    $('#btn_sendFeedbackToDb').hide();
                    $('#lx_md_send_feedback').modal('hide');
                    lxAlert(data);
                },
                error: function () {
                    $('#captcha_res2').val('');
                    $('#btn_sendFeedbackToDb').hide();
                    grecaptcha.reset(dvCaptcha2);
                    lxAlert('Cақлашда хатолик!');
                }
            });
        }
    }

    function encodeHtmlEntities(str) {
        return String(str).replace(/&/g, '&amp;')
            .replace(/</g, '&lt;')
            .replace(/>/g, '&gt;')
            .replace(/"/g, '&quot;')
            .replace(/'/g, '&#39;');
    }
</script>
<script>
    $('.stopProp').click(function (e) {
        e.stopPropagation();
    });
    function openUrl(url) {
        location.href = url;
    }
    function openInNew(url) {
        window.open(url, "_blank");
    }
    if ("" == "print") {
        $(document).ready(function () {
            window.print();
        });
    }
</script>
<script>
    let lxCompNotEqualId = 0;
    function lxCompNext() {
        if (lxCompNotEqualId < 0) {
            lxCompNotEqualId++;
            scrollText('d_' + lxCompNotEqualId);
        }
    }
    function lxCompPrev() {
        if (lxCompNotEqualId > 1) {
            lxCompNotEqualId--;
            scrollText('d_' + lxCompNotEqualId);
        }
    }
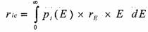
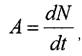
</script>
