

<!DOCTYPE html>
<html lang="ru-UZ">
<head>
    
   <!-- Global site tag (gtag.js) - Google Analytics -->
   <script async src="https://www.googletagmanager.com/gtag/js?id=UA-2682682-1"></script>
   <script>
      window.dataLayer = window.dataLayer || [];
      function gtag() { dataLayer.push(arguments); }
      gtag('js', new Date());
      gtag('config', 'UA-2682682-1');
   </script>

    <title>&nbsp;ПП-3051-сон 12.06.2017.&nbsp;О дополнительных мерах по совершенствованию исполнительной структуры Кабинета Министров Республики Узбекистан</title>
    
<meta charset="utf-8" />
<meta name="viewport" content="width=device-width, initial-scale=1">
<meta name="google" content="notranslate">
<meta http-equiv="x-ua-compatible" content="ie=edge">
    <link href="/bundle/css2?v=hfXMtIpJSTsgRI6noMnjaAUnuQ3C3QYLsi_M8Iq_Lso1" rel="stylesheet"/>

    <script src="/bundle/js2?v=QraD5bV-4TFMZdAP5vDS2YO37mUOx2pgM4omse-fwOY1"></script>

    <link href="/bundle/css_actform?v=UCQPLOEcZzhxLmdLTH4gF1wWVdHAhCsIvGpDRSDo5vA1" rel="stylesheet"/>

    
    <script type="text/javascript" src="https://www.google.com/recaptcha/api.js?onload=onloadCallback&render=explicit" async defer></script>
    
    <style>
        .lx_revive_adserver.lx_adv_doc {
            margin-left: auto;
            margin-right: auto;
            z-index: 998;
        }

        #lx_gte {
            line-height: 1;
            background-color: #0064A9;
            border: solid 4px #0064A9;
            border-radius: 4px;
            padding: 2px 4px 0;
            margin: 0 0 0 4px;
        }

            #lx_gte img {
                max-width: 19px;
            }

            #lx_gte #google_translate_element {
                margin-bottom: 4px;
            }

            #lx_gte .lx_ot {
                font-size: 12px;
                color: #fff;
                text-align: center;
            }

            #lx_gte .goog-te-gadget-simple {
                width: 100%;
                padding: 2px 1px 2.5px 1px !important;
            }

                #lx_gte .goog-te-gadget-simple > span {
                    display: inline-block;
                }

                    #lx_gte .goog-te-gadget-simple > span > a {
                        display: inline-block;
                        margin: 0;
                    }

                        #lx_gte .goog-te-gadget-simple > span > a > span {
                            display: none;
                        }

                            #lx_gte .goog-te-gadget-simple > span > a > span:first-of-type {
                                display: inline;
                            }

                #lx_gte .goog-te-gadget-simple:hover {
                    color: #fff;
                    background-color: #0064A9;
                }

                    #lx_gte .goog-te-gadget-simple:hover a {
                        color: #fff;
                        background-color: #0064A9;
                        text-decoration: none;
                    }

        .toc_show {
            display: block !important;
        }

            .toc_show .fas {
                display: none !important;
            }

        .toc_hide {
            display: none !important;
        }

        .show_context {
            background-color: #FFFF00;
            color: inherit;
        }

        .act_warning {
            color: red;
        }

        .lx_date_ddm {
            padding: 0 !important;
            width: 170px !important;
            max-height: 70vh !important;
            overflow-y: auto !important;
        }

            .lx_date_ddm > div {
                padding: 5px 20px !important;
                margin-bottom: 0 !important;
            }

        .lx_date_selected {
            cursor: default;
            color: gray;
        }

        .lx_date_link:hover {
            cursor: pointer;
            background: #0064a9;
            color: #fff;
        }

        .docContentHeader__item-link .icon {
            height: 25px;
            fill: #0064a9;
        }

            .docContentHeader__item-link .icon.sm {
                height: 17px;
            }

        .docContentHeader__item-link:hover .icon {
            fill: #fff;
        }

        .lx_text_on_other_lang {
            margin: 12px 0 8px 0;
            padding: 8px 16px;
            color: black;
            background-color: #fef1e1;
            font-style: italic;
        }

        #lxPlayButton {
            display: none;
            position: absolute;
            background-color: #007bff;
            color: white;
            border: none;
            border-radius: 5px;
            cursor: pointer;
            font-size: 18px;
            width: 32px;
            height: 32px;
            margin: 0;
            padding: 0;
            z-index: 1000;
        }

            #lxPlayButton:focus {
                outline: none;
            }

        #divCont a.lx_next_ver {
            margin: 4px 0px;
            padding: 4px 16px;
            color: #ffffff;
            background-color: #0064a9;
            border-radius: 16px;
            display: inline-block;
            text-align: center;
            text-indent: initial;
        }

            #divCont a.lx_next_ver:hover {
                color: #ffffff;
            }

        @media (max-width:720px) {
            #divCont a.lx_next_ver {
                display: block;
            }
        }
    </style>

    
    <style>
        /*#divCont > div {
            overflow-x: auto;
            max-width: calc(100vw - 42px);
            padding-right: 30px;
        }*/

        /* .TABLE_STD, .BY_DEFAULT {
            overflow-y: auto;
            max-height: 80vh;
        }*/
    </style>
    
</head>
<body class="sidebar-show">
    
    <div class="wrapper">
        
        <div id="lx_adv_doc" class="lx_revive_adserver lx_adv_doc">
            

<script type='text/javascript'><!--//<![CDATA[
    var m3_u = (location.protocol == 'https:' ? 'https://rk.adolatmarkazi.uz/www/delivery/ajs.php' : 'http://rk.adolatmarkazi.uz/www/delivery/ajs.php');
    var m3_r = Math.floor(Math.random() * 99999999999);
    if (!document.MAX_used) document.MAX_used = ',';
    document.write("<scr" + "ipt type='text/javascript' src='" + m3_u);
    document.write("?zoneid=6");
    document.write('&amp;cb=' + m3_r);
    if (document.MAX_used != ',') document.write("&amp;exclude=" + document.MAX_used);
    document.write(document.charset ? '&amp;charset=' + document.charset : (document.characterSet ? '&amp;charset=' + document.characterSet : ''));
    document.write("&amp;loc=" + escape(window.location));
    if (document.referrer) document.write("&amp;referer=" + escape(document.referrer));
    if (document.context) document.write("&context=" + escape(document.context));
    document.write("'><\/scr" + "ipt>");
    //]]>--></script>

        </div>
        
        <header id="doc_header" class="header">
            <div class="header__top">
                <div class="container">
                    <div id="lx_lact_num_top">
                        
                            <span>Акт утратил силу&nbsp;28.08.2018</span>
                        
                        от 12.06.2017 г. № ПП-3051
                    </div>
                    <div class="header__top-right">
                        <div class="header__icons">
                            
                            <div class="header__icon">
                                <a target="_blank" href="https://t.me/lexuzofficial"><i class="fab fa-telegram-plane"></i></a>
                            </div>
                            <div class="header__icon">
                                <a target="_blank" href="https://www.facebook.com/minjustuz"><i class="fab fa-facebook-f"></i></a>
                            </div>
                            <div class="header__icon">
                                <a target="_blank" href="https://www.instagram.com/adliyanews/"><i class="fab fa-instagram-square"></i></a>
                            </div>
                            <div class="header__icon">
                                <a target="_blank" href="https://www.youtube.com/c/adliya"><i class="fab fa-youtube"></i></a>
                            </div>
                            
                        </div>
                    </div>
                </div>
            </div>
            <div class="header__bottom">
                <div class="container">
                    <div class="header__bottom-left w-100 ">
                        <a class="header__logo" href="/">
                            <img src="/assets/img/lex_uz.svg">
                        </a>
                        <div class="docBody__content ml-4 docBody_top-nav">
                            <div class="docContentHeader">
                                <div class="docContentHeader__item docContentHeader__item-mobile-left docContentHeader__item--action">
                                    
                                    <div class="docContentHeader__item-link lx_border_left" id="docContent__sideBar-show" title="Показать содержание">
                                        <i class="fas fa-bars"></i>
                                    </div>
                                    <div class="docContentHeader__item-link" onclick="addToFavorite()" title="Добавить в избранное">
                                        <i class="far fa-star"></i>
                                    </div>
                                    
                                    <div class="dropdown docContentHeader__item-link-dropdown">
                                        <div class="docContentHeader__item-link" id="dropdownMenuButton_t" title="Дополнительные модули" data-toggle="dropdown" aria-haspopup="true" aria-expanded="false">
                                            <i class="fas fa-tags"></i>
                                        </div>
                                        <div class="dropdown-menu" aria-labelledby="dropdownMenuButton_t" id="t_dropdown_check">
                                            <div class="dropdown-menu__item">
                                                <div class="custom-control custom-checkbox stopProp">
                                                    <input class="custom-control-input" id="t_checkAll" type="checkbox" onclick="clickAllChk('t_checkAll', this,'t','b')">
                                                    <label class="custom-control-label" for="t_checkAll"></label>
                                                </div>
                                                Все
                                            </div>
                                            <div class="dropdown-menu__item">
                                                <div class="custom-control custom-checkbox stopProp">
                                                    <input class="custom-control-input" id="t_3935" type="checkbox" onclick="hideItem(this)" checked="checked">
                                                    <label class="custom-control-label" for="t_3935"></label>
                                                </div>
                                                Ссылка на последующую редакцию
                                            </div>
                                            <div class="dropdown-menu__item">
                                                <div class="custom-control custom-checkbox stopProp">
                                                    <input class="custom-control-input" id="t_3934" type="checkbox" onclick="hideItem(this)" checked="checked">
                                                    <label class="custom-control-label" for="t_3934"></label>
                                                </div>
                                                Ссылка на предыдущую редакцию
                                            </div>
                                            <div class="dropdown-menu__item">
                                                <div class="custom-control custom-checkbox stopProp">
                                                    <input class="custom-control-input" id="t_5987" type="checkbox" onclick="hideItem(this)">
                                                    <label class="custom-control-label" for="t_5987"></label>
                                                </div>
                                                Индексация по ОКОЗ
                                            </div>
                                            <div class="dropdown-menu__item">
                                                <div class="custom-control custom-checkbox stopProp">
                                                    <input class="custom-control-input" id="t_5988" type="checkbox" onclick="hideItem(this)">
                                                    <label class="custom-control-label" for="t_5988"></label>
                                                </div>
                                                Индексация по ТСЗ
                                            </div>
                                            <div class="dropdown-menu__item">
                                                <div class="custom-control custom-checkbox stopProp">
                                                    <input class="custom-control-input" id="t_1104" type="checkbox" onclick="hideItem(this)" checked="checked">
                                                    <label class="custom-control-label" for="t_1104"></label>
                                                </div>
                                                Источники изменений
                                            </div>
                                            <div class="dropdown-menu__item">
                                                <div class="custom-control custom-checkbox stopProp">
                                                    <input class="custom-control-input" id="t_1089" type="checkbox" onclick="hideItem(this)" checked="checked">
                                                    <label class="custom-control-label" for="t_1089"></label>
                                                </div>
                                                Источники опубликования
                                            </div>
                                        </div>
                                    </div>
                                    <div class="docContentHeader__item-link" id="t_btn_lex_comment" onclick="toggleLexComments()" title="Комментарий LexUz">
                                        <i class="fas fa-file-signature"></i>
                                    </div>
                                    
                                    <div class="dropdown docContentHeader__item-link-dropdown" title="Варианты">
                                        <div class="docContentHeader__item-link" id="dd3" data-toggle="dropdown" aria-haspopup="true" aria-expanded="false">
                                            <i class="fas fa-calendar" style="font-weight: 400;"></i>
                                        </div>
                                        <div class="dropdown-menu lx_date_ddm" aria-labelledby="dd3" id="lx_var_t" title="">
                                            
                                            <div class="dropdown-menu__item lx_date_link" onclick="lxOpenUrl('/ru/docs/3233862')">Текущая версия</div>
                                            
                                                    <div class="dropdown-menu__item lx_date_link" onclick="lxOpenUrl('/ru/docs/3233862?ONDATE=01.02.2019')">01.02.2019</div>
                                                
                                                    <div class="dropdown-menu__item lx_date_link" onclick="lxOpenUrl('/ru/docs/3233862?ONDATE=28.08.2018')">28.08.2018</div>
                                                
                                                    <div class="dropdown-menu__item lx_date_link" onclick="lxOpenUrl('/ru/docs/3233862?ONDATE=07.06.2018')">07.06.2018</div>
                                                
                                                    <div class="dropdown-menu__item lx_date_link" onclick="lxOpenUrl('/ru/docs/3233862?ONDATE=03.03.2018')">03.03.2018</div>
                                                
                                                    <div class="dropdown-menu__item lx_date_link" onclick="lxOpenUrl('/ru/docs/3233862?ONDATE=22.11.2017')">22.11.2017</div>
                                                
                                                    <div class="dropdown-menu__item lx_date_link" onclick="lxOpenUrl('/ru/docs/3233862?ONDATE=15.11.2017')">15.11.2017</div>
                                                
                                                    <div class="dropdown-menu__item lx_date_link" onclick="lxOpenUrl('/ru/docs/3233862?ONDATE=29.09.2017')">29.09.2017</div>
                                                
                                                    <div class="dropdown-menu__item lx_date_link" onclick="lxOpenUrl('/ru/docs/3233862?ONDATE=18.09.2017 05')">18.09.2017 05</div>
                                                
                                                    <div class="dropdown-menu__item lx_date_link" onclick="lxOpenUrl('/ru/docs/3233862?ONDATE=28.08.2017')">28.08.2017</div>
                                                
                                                    <div class="dropdown-menu__item lx_date_selected stopProp">19.07.2017</div>
                                                
                                                    <div class="dropdown-menu__item lx_date_link" onclick="lxOpenUrl('/ru/docs/3233862?ONDATE=19.06.2017')">19.06.2017</div>
                                                
                                        </div>
                                    </div>
                                    
                                    <div class="dropdown docContentHeader__item-link-dropdown" title="Сравнение вариантов">
                                        <div class="docContentHeader__item-link" id="dd4" data-toggle="dropdown" aria-haspopup="true" aria-expanded="false">
                                            <svg class="icon">
                                                <use xlink:href="/assets/img/sprite2.svg#compare"></use></svg>
                                        </div>
                                        <div class="dropdown-menu lx_date_ddm" aria-labelledby="dd4" title="">
                                            <div class="dropdown-menu__item lx_date_link" onclick="lxOpenUrl('/ru/docs/3233862?ONDATE=19.07.2017&action=compare')">Текущая версия</div>
<div class="dropdown-menu__item lx_date_link" onclick="lxOpenUrl('/ru/docs/3233862?ONDATE=19.07.2017&ONDATE2=01.02.2019&action=compare')">01.02.2019</div>
<div class="dropdown-menu__item lx_date_link" onclick="lxOpenUrl('/ru/docs/3233862?ONDATE=19.07.2017&ONDATE2=28.08.2018&action=compare')">28.08.2018</div>
<div class="dropdown-menu__item lx_date_link" onclick="lxOpenUrl('/ru/docs/3233862?ONDATE=19.07.2017&ONDATE2=07.06.2018&action=compare')">07.06.2018</div>
<div class="dropdown-menu__item lx_date_link" onclick="lxOpenUrl('/ru/docs/3233862?ONDATE=19.07.2017&ONDATE2=03.03.2018&action=compare')">03.03.2018</div>
<div class="dropdown-menu__item lx_date_link" onclick="lxOpenUrl('/ru/docs/3233862?ONDATE=19.07.2017&ONDATE2=22.11.2017&action=compare')">22.11.2017</div>
<div class="dropdown-menu__item lx_date_link" onclick="lxOpenUrl('/ru/docs/3233862?ONDATE=19.07.2017&ONDATE2=15.11.2017&action=compare')">15.11.2017</div>
<div class="dropdown-menu__item lx_date_link" onclick="lxOpenUrl('/ru/docs/3233862?ONDATE=19.07.2017&ONDATE2=29.09.2017&action=compare')">29.09.2017</div>
<div class="dropdown-menu__item lx_date_link" onclick="lxOpenUrl('/ru/docs/3233862?ONDATE=19.07.2017&ONDATE2=18.09.2017 05&action=compare')">18.09.2017 05</div>
<div class="dropdown-menu__item lx_date_link" onclick="lxOpenUrl('/ru/docs/3233862?ONDATE=19.07.2017&ONDATE2=28.08.2017&action=compare')">28.08.2017</div>
<div class="dropdown-menu__item lx_date_selected stopProp">19.07.2017</div>
<div class="dropdown-menu__item lx_date_link" onclick="lxOpenUrl('/ru/docs/3233862?ONDATE=19.07.2017&ONDATE2=19.06.2017&action=compare')">19.06.2017</div>
                                        </div>
                                    </div>
                                    
                                    <div class="docContentHeader__item-link" onclick="downloadDoc()" title="Сохранить в MS Word">
                                        <svg class="icon">
                                            <use xlink:href="/assets/img/sprite2.svg#word"></use></svg>
                                    </div>
                                    
                                    <div class="docContentHeader__item-link" onclick="openUrl('/ru/pdfs/3233862')" title="Скачать в формате PDF">
                                        <svg class="icon">
                                            <use xlink:href="/assets/img/sprite2.svg#pdf3S"></use></svg>
                                    </div>
                                    
                                    <div class="docContentHeader__item-link lx_border_right" onclick="window.print()" title="Версия для печати">
                                        <i class="fas fa-print"></i>
                                    </div>
                                    
                                </div>
                                <div class="docContentHeader__item docContentHeader__item-mobile-right skiptranslate">
                                    <div class="dropdown">
                                        <div class="docContentHeader__item-link lx_border_both mr-1" data-toggle="dropdown">
                                            <i class="fas fa-eye"></i>
                                        </div>
                                        <div class="dropdown-menu drop_menu">
                                            <h6 class="show_size">Вид</h6>
                                            <div class="row" style="margin-right: 1.3rem; margin-left: 0rem;">
                                                <div class="col-4">
                                                    <button class="btnA btn__left" onclick="toggleTheme('light');">A</button>
                                                </div>
                                                <div class="col-4">
                                                    <button class="btnA btn__cebter" onclick="toggleTheme('grey');">A</button>
                                                </div>
                                                <div class="col-4">
                                                    <button class="btnA btn__reght" onclick="toggleTheme('dark');">A</button>
                                                </div>
                                            </div>
                                        </div>
                                    </div>
                                    <div class="docContentHeader__item-link lx_border_left active" title="На русском">Рус</div><div class="docContentHeader__item-link" onclick="openUrl('/ru/docs/3233860?ONDATE=19.07.2017')" title="Ўзбекча">Ўзб</div><div class="docContentHeader__item-link" onclick="openUrl('/ru/docs/-3233860?ONDATE=19.07.2017')" title="O'zbekcha">O’zb</div><div class="docContentHeader__item-link-language" onclick="openTwoLang(3)" title="На двух языках">Рус|Ўзб</div><div class="docContentHeader__item-link-language lx_border_right" onclick="openTwoLang(4)" title="На двух языках">Рус|O‘zb</div>
                                    
                                    <div id="lx_gte">
                                        <div id="google_translate_element"></div>
                                        <div class="lx_ot skiptranslate">ONLINE TRANSLATE</div>
                                    </div>
                                    
                                </div>
                            </div>
                        </div>
                    </div>
                </div>
            </div>
        </header>
        
        <div id="docBody__sidebar" class="docBody__sidebar">
            <div class="docBody__sidebar-em">
                <div class="docNavbar">
                    <div class="docBody__search input-group">
                        <input id="search-criteria" class="form-control" type="text" placeholder="Поиск">
                        <div class="input-group-append">
                            <button class="btn" type="button" onclick="clearSearch();" title="Очистить поиск"><i class="fas fa-times"></i></button>
                        </div>
                    </div>
                    
                    <div class="lx_revive_adserver">
                        

<script type='text/javascript'><!--//<![CDATA[
    var m3_u = (location.protocol == 'https:' ? 'https://rk.adolatmarkazi.uz/www/delivery/ajs.php' : 'http://rk.adolatmarkazi.uz/www/delivery/ajs.php');
    var m3_r = Math.floor(Math.random() * 99999999999);
    if (!document.MAX_used) document.MAX_used = ',';
    document.write("<scr" + "ipt type='text/javascript' src='" + m3_u);
    document.write("?zoneid=7");
    document.write('&amp;cb=' + m3_r);
    if (document.MAX_used != ',') document.write("&amp;exclude=" + document.MAX_used);
    document.write(document.charset ? '&amp;charset=' + document.charset : (document.characterSet ? '&amp;charset=' + document.characterSet : ''));
    document.write("&amp;loc=" + escape(window.location));
    if (document.referrer) document.write("&amp;referer=" + escape(document.referrer));
    if (document.context) document.write("&context=" + escape(document.context));
    document.write("'><\/scr" + "ipt>");
    //]]>--></script>

                    </div>
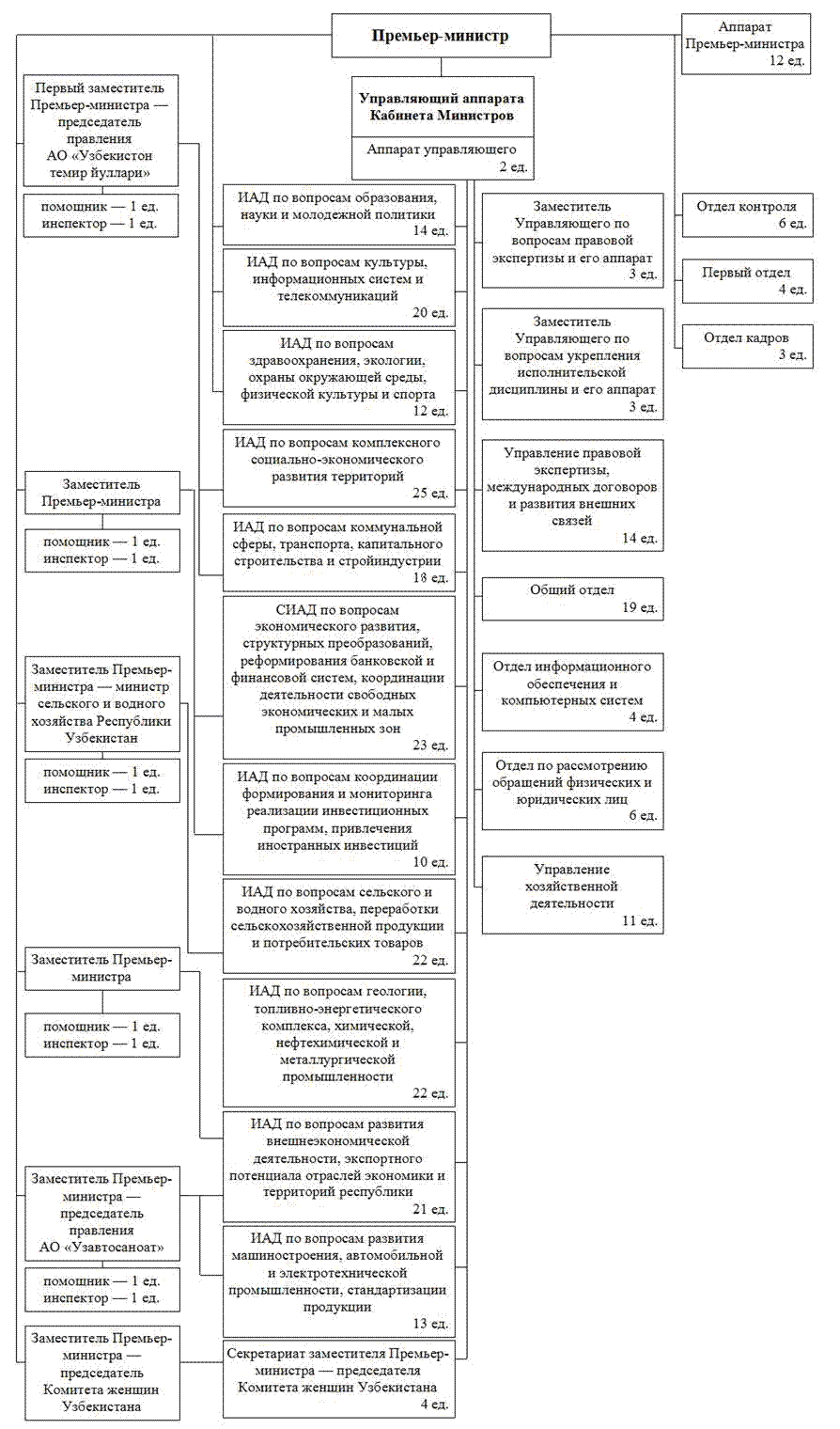
                    <div id="dvToc" style="margin: 5px;"><div class="docNavbar__item"><div class="docNavbar__item-link search-toggle" data-toggle="collapse" href="#collapse3233943" role="button" aria-expanded="false" aria-controls="collapse3233943"><div class="docNavbar__item-link-title"><a class="stopProp search-text" href="javascript:scrollText('3233943');">О дополнительных мерах по совершенствованию исполнительной структуры Кабинета Министров Республики Узбекистан</a></div></div></div><div class="docNavbar__item"><div class="docNavbar__item-link search-toggle" data-toggle="collapse" href="#collapse3234032" role="button" aria-expanded="false" aria-controls="collapse3234032"><div class="docNavbar__item-link-title"><a class="stopProp search-text" href="javascript:scrollText('3234032');">ПРИЛОЖЕНИЕ № 1<br />Исполнительная структура Кабинета Министров Республики Узбекистан</a></div></div></div><div class="docNavbar__item"><div class="docNavbar__item-link search-toggle" data-toggle="collapse" href="#collapse3234038" role="button" aria-expanded="false" aria-controls="collapse3234038"><div class="docNavbar__item-link-title"><a class="stopProp search-text" href="javascript:scrollText('3234038');">ПРИЛОЖЕНИЕ № 2<br />СТРУКТУРА Аппарата Премьер-министра Республики Узбекистан</a></div></div></div><div class="docNavbar__item"><div class="docNavbar__item-link search-toggle" data-toggle="collapse" href="#collapse3234044" role="button" aria-expanded="false" aria-controls="collapse3234044"><div class="docNavbar__item-link-title"><a class="stopProp search-text" href="javascript:scrollText('3234044');">ПРИЛОЖЕНИЕ № 3<br />СТРУКТУРА Аппарата Управляющего аппарата Кабинета Министров Республики Узбекистан</a></div></div></div><div class="docNavbar__item"><div class="docNavbar__item-link search-toggle" data-toggle="collapse" href="#collapse3234073" role="button" aria-expanded="false" aria-controls="collapse3234073"><div class="docNavbar__item-link-title"><a class="stopProp search-text" href="javascript:scrollText('3234073');">ПРИЛОЖЕНИЕ № 5<br />СТРУКТУРА Информационно-аналитического департамента по вопросам образования, науки и молодежной политики</a></div></div></div><div class="docNavbar__item"><div class="docNavbar__item-link search-toggle" data-toggle="collapse" href="#collapse3234081" role="button" aria-expanded="false" aria-controls="collapse3234081"><div class="docNavbar__item-link-title"><a class="stopProp search-text" href="javascript:scrollText('3234081');">ПРИЛОЖЕНИЕ № 6<br />СТРУКТУРА Информационно-аналитического департамента по вопросам культуры, информационных систем и телекоммуникаций</a></div></div></div><div class="docNavbar__item"><div class="docNavbar__item-link search-toggle" data-toggle="collapse" href="#collapse3234088" role="button" aria-expanded="false" aria-controls="collapse3234088"><div class="docNavbar__item-link-title"><a class="stopProp search-text" href="javascript:scrollText('3234088');">ПРИЛОЖЕНИЕ № 7<br />СТРУКТУРА Информационно-аналитического департамента по вопросам здравоохранения, экологии, охраны окружающей среды, физической культуры и спорта </a></div></div></div><div class="docNavbar__item"><div class="docNavbar__item-link search-toggle" data-toggle="collapse" href="#collapse3234113" role="button" aria-expanded="false" aria-controls="collapse3234113"><div class="docNavbar__item-link-title"><a class="stopProp search-text" href="javascript:scrollText('3234113');">ПРИЛОЖЕНИЕ № 8<br />СТРУКТУРА Информационно-аналитического департамента по вопросам комплексного социально-экономического развития территорий</a></div></div></div><div class="docNavbar__item"><div class="docNavbar__item-link search-toggle" data-toggle="collapse" href="#collapse3234119" role="button" aria-expanded="false" aria-controls="collapse3234119"><div class="docNavbar__item-link-title"><a class="stopProp search-text" href="javascript:scrollText('3234119');">ПРИЛОЖЕНИЕ № 9<br />СТРУКТУРА Информационно-аналитического департамента по вопросам коммунальной сферы, транспорта, капитального строительства и стройиндустрии</a></div></div></div><div class="docNavbar__item"><div class="docNavbar__item-link search-toggle" data-toggle="collapse" href="#collapse3234132" role="button" aria-expanded="false" aria-controls="collapse3234132"><div class="docNavbar__item-link-title"><a class="stopProp search-text" href="javascript:scrollText('3234132');">ПРИЛОЖЕНИЕ № 10<br />СТРУКТУРА Сводного информационно-аналитического департамента по вопросам экономического развития, структурных преобразований, реформирования банковской и финансовой систем, координации деятельности свободных экономических и малых промышленных зон</a></div></div></div><div class="docNavbar__item"><div class="docNavbar__item-link search-toggle" data-toggle="collapse" href="#collapse3234138" role="button" aria-expanded="false" aria-controls="collapse3234138"><div class="docNavbar__item-link-title"><a class="stopProp search-text" href="javascript:scrollText('3234138');">ПРИЛОЖЕНИЕ № 11<br />СТРУКТУРА Информационно-аналитического департамента по вопросам координации формирования и мониторинга реализации инвестиционных программ и привлечения иностранных инвестиций</a></div></div></div><div class="docNavbar__item"><div class="docNavbar__item-link search-toggle" data-toggle="collapse" href="#collapse3234145" role="button" aria-expanded="false" aria-controls="collapse3234145"><div class="docNavbar__item-link-title"><a class="stopProp search-text" href="javascript:scrollText('3234145');">ПРИЛОЖЕНИЕ № 12<br />СТРУКТУРА Информационно-аналитического департамента по вопросам сельского и водного хозяйства, переработки сельскохозяйственной продукции и потребительских товаров</a></div></div></div><div class="docNavbar__item"><div class="docNavbar__item-link search-toggle" data-toggle="collapse" href="#collapse3234160" role="button" aria-expanded="false" aria-controls="collapse3234160"><div class="docNavbar__item-link-title"><a class="stopProp search-text" href="javascript:scrollText('3234160');">ПРИЛОЖЕНИЕ № 13<br />СТРУКТУРА Информационно-аналитического департамента по вопросам геологии, топливно-энергетического комплекса, химической, нефтехимической и металлургической промышленности</a></div></div></div><div class="docNavbar__item"><div class="docNavbar__item-link search-toggle" data-toggle="collapse" href="#collapse3234166" role="button" aria-expanded="false" aria-controls="collapse3234166"><div class="docNavbar__item-link-title"><a class="stopProp search-text" href="javascript:scrollText('3234166');">ПРИЛОЖЕНИЕ № 14<br />СТРУКТУРА Информационно-аналитического департамента по вопросам развития внешнеэкономической деятельности, экспортного потенциала отраслей экономики и территорий республики</a></div></div></div><div class="docNavbar__item"><div class="docNavbar__item-link search-toggle" data-toggle="collapse" href="#collapse3234173" role="button" aria-expanded="false" aria-controls="collapse3234173"><div class="docNavbar__item-link-title"><a class="stopProp search-text" href="javascript:scrollText('3234173');">ПРИЛОЖЕНИЕ № 15<br />СТРУКТУРА Информационно-аналитического департамента по вопросам развития машиностроения, автомобильной и электротехнической промышленности, стандартизации продукции</a></div></div></div><div class="docNavbar__item"><div class="docNavbar__item-link search-toggle" data-toggle="collapse" href="#collapse3234179" role="button" aria-expanded="false" aria-controls="collapse3234179"><div class="docNavbar__item-link-title"><a class="stopProp search-text" href="javascript:scrollText('3234179');">ПРИЛОЖЕНИЕ № 16<br />СТРУКТУРА Секретариата заместителя Премьер-министра — председателя Комитета женщин Узбекистана</a></div></div></div><div class="docNavbar__item"><div class="docNavbar__item-link search-toggle" data-toggle="collapse" href="#collapse3234185" role="button" aria-expanded="false" aria-controls="collapse3234185"><div class="docNavbar__item-link-title"><a class="stopProp search-text" href="javascript:scrollText('3234185');">ПРИЛОЖЕНИЕ № 17<br />СТРУКТУРА Управления правовой экспертизы, международных договоров и развития внешних связей</a></div></div></div><div class="docNavbar__item"><div class="docNavbar__item-link search-toggle" data-toggle="collapse" href="#collapse3234192" role="button" aria-expanded="false" aria-controls="collapse3234192"><div class="docNavbar__item-link-title"><a class="stopProp search-text" href="javascript:scrollText('3234192');">ПРИЛОЖЕНИЕ № 18<br />СТРУКТУРА Управления хозяйственной деятельности</a></div></div></div><div class="docNavbar__item"><div class="docNavbar__item-link search-toggle" data-toggle="collapse" href="#collapse3234198" role="button" aria-expanded="false" aria-controls="collapse3234198"><div class="docNavbar__item-link-title"><a class="stopProp search-text" href="javascript:scrollText('3234198');">ПРИЛОЖЕНИЕ № 19<br />СТРУКТУРА Общего отдела</a></div></div></div><div class="docNavbar__item"><div class="docNavbar__item-link search-toggle" data-toggle="collapse" href="#collapse3234204" role="button" aria-expanded="false" aria-controls="collapse3234204"><div class="docNavbar__item-link-title"><a class="stopProp search-text" href="javascript:scrollText('3234204');">ПРИЛОЖЕНИЕ № 20<br />СТРУКТУРА Отдела информационного обеспечения и компьютерных систем</a></div></div></div><div class="docNavbar__item"><div class="docNavbar__item-link search-toggle" data-toggle="collapse" href="#collapse3234210" role="button" aria-expanded="false" aria-controls="collapse3234210"><div class="docNavbar__item-link-title"><a class="stopProp search-text" href="javascript:scrollText('3234210');">ПРИЛОЖЕНИЕ № 21<br />СТРУКТУРА Отдела по рассмотрению обращений физических и юридических лиц</a></div></div></div><div class="docNavbar__item"><div class="docNavbar__item-link search-toggle" data-toggle="collapse" href="#collapse3234216" role="button" aria-expanded="false" aria-controls="collapse3234216"><div class="docNavbar__item-link-title"><a class="stopProp search-text" href="javascript:scrollText('3234216');">ПРИЛОЖЕНИЕ № 22<br />СТРУКТУРА Отдела контроля</a></div></div></div><div class="docNavbar__item"><div class="docNavbar__item-link search-toggle" data-toggle="collapse" href="#collapse3234222" role="button" aria-expanded="false" aria-controls="collapse3234222"><div class="docNavbar__item-link-title"><a class="stopProp search-text" href="javascript:scrollText('3234222');">ПРИЛОЖЕНИЕ № 23<br />СТРУКТУРА Первого отдела</a></div></div></div><div class="docNavbar__item"><div class="docNavbar__item-link search-toggle" data-toggle="collapse" href="#collapse3234231" role="button" aria-expanded="false" aria-controls="collapse3234231"><div class="docNavbar__item-link-title"><a class="stopProp search-text" href="javascript:scrollText('3234231');">ПРИЛОЖЕНИЕ № 24<br />СТРУКТУРА Отдела кадров</a></div></div></div></div>
                </div>
            </div>
        </div>
        
        <main class="main" id="doc_main">
            <div class="container">
                <div class="docHeader ">
                    <div class="docHeader__col docHeader__col__1">
                        <div class="docHeader__item d-flex">
                            <div class="docHeader__item-label">Постановление Президента Республики Узбекистан, от 12.06.2017 г. № ПП-3051</div>
                        </div>
                    </div>
                    <div class="docHeader__col docHeader__col__2">
                        <div class="docHeader__item d-flex">
                            <div class="docHeader__item-label" style="width: 60%">Дата вступления в силу</div>
                            <div class="docHeader__item-value d-flex" style="width: 40%;">19.06.2017</div>
                        </div>
                    </div>
                    <div class="docHeader__col docHeader__col__3">
                        <div class="docHeader__item d-flex">
                            <div style="width: 60%">
                                <div class="dropdown mr-3">
                                    <a role="button" data-toggle="dropdown" aria-expanded="false">Дополни&shy;тельная информация</a>
                                    <div class="dropdown-menu" style="margin-top: -2px;">
                                        <a class="dropdown-item" onclick="showAddCard(1)">Основные реквизиты</a>
                                        <a class="dropdown-item" onclick="showAddCard(2)">Кодификация</a>
                                        <a class="dropdown-item" onclick="showAddCard(3)">Пересмотренные акты</a>
                                        <a class="dropdown-item" onclick="showAddCard(4)">Акты основания для пересмотра</a>
                                        <a class="dropdown-item" onclick="showAddCard(5)">Корреспонденты</a>
                                        <a class="dropdown-item" onclick="showAddCard(6)">Респонденты</a>
                                    </div>
                                </div>
                            </div>
                            <div style="width: 40%">
                                <div class="dropdown">
                                    <a role="button" data-toggle="dropdown" aria-expanded="false"><i class="fa fa-share-alt mr-2"></i>Поделиться</a>
                                    <div class="dropdown-menu" style="margin-top: -2px;">
                                        <a class="dropdown-item" target="_blank" href="https://telegram.me/share/url?url=http://lex.uz//ru/docs/3233862 О дополнительных мерах по совершенствованию исполнительной структуры Кабинета Министров Республики Узбекистан">Telegram</a>
                                        <a class="dropdown-item" target="_blank" href="https://www.facebook.com/sharer/sharer.php?u=http://lex.uz//ru/docs/3233862">Facebook</a>
                                        <a class="dropdown-item" target="_blank" href="">Twitter</a>
                                        <a class="dropdown-item" target="_blank" href="">Instagram</a>
                                    </div>
                                </div>
                            </div>
                        </div>
                    </div>
                </div>
            </div>
            <div class="container docBody-container">
                <div class="docBody d-flex">
                    <div class="docBody__content">
                        <div class="docContentHeader docBody_bottom-nav">
                            <div class="docContentHeader__item docContentHeader__item-mobile-left docContentHeader__item--action">
                                <div class="docContentHeader__item-link lx_border_left" onclick="addToFavorite()" title="Добавить в избранное">
                                    <i class="far fa-star"></i>
                                </div>
                                
                                <div class="dropdown docContentHeader__item-link-dropdown">
                                    <div class="docContentHeader__item-link" id="dropdownMenuButton_b" title="Дополнительные модули" data-toggle="dropdown" aria-haspopup="true" aria-expanded="false">
                                        <i class="fas fa-tags"></i>
                                    </div>
                                    <div class="dropdown-menu" aria-labelledby="dropdownMenuButton_b" id="b_dropdown_check">
                                        <div class="dropdown-menu__item">
                                            <div class="custom-control custom-checkbox">
                                                <input class="custom-control-input" id="b_checkAll" type="checkbox" onclick="clickAllChk('b_checkAll', this,'b','t')">
                                                <label class="custom-control-label" for="b_checkAll"></label>
                                            </div>
                                            Все
                                        </div>
                                        <div class="dropdown-menu__item">
                                            <div class="custom-control custom-checkbox">
                                                <input class="custom-control-input" id="b_3935" type="checkbox" onclick="hideItem(this)" checked="checked">
                                                <label class="custom-control-label" for="b_3935"></label>
                                            </div>
                                            Ссылка на последующую редакцию
                                        </div>
                                        <div class="dropdown-menu__item">
                                            <div class="custom-control custom-checkbox">
                                                <input class="custom-control-input" id="b_3934" type="checkbox" onclick="hideItem(this)" checked="checked">
                                                <label class="custom-control-label" for="b_3934"></label>
                                            </div>
                                            Ссылка на предыдущую редакцию
                                        </div>
                                        <div class="dropdown-menu__item">
                                            <div class="custom-control custom-checkbox">
                                                <input class="custom-control-input" id="b_5987" type="checkbox" onclick="hideItem(this)">
                                                <label class="custom-control-label" for="b_5987"></label>
                                            </div>
                                            Индексация по ОКОЗ
                                        </div>
                                        <div class="dropdown-menu__item">
                                            <div class="custom-control custom-checkbox">
                                                <input class="custom-control-input" id="b_5988" type="checkbox" onclick="hideItem(this)">
                                                <label class="custom-control-label" for="b_5988"></label>
                                            </div>
                                            Индексация по ТСЗ
                                        </div>
                                        <div class="dropdown-menu__item">
                                            <div class="custom-control custom-checkbox">
                                                <input class="custom-control-input" id="b_1104" type="checkbox" onclick="hideItem(this)" checked="checked">
                                                <label class="custom-control-label" for="b_1104"></label>
                                            </div>
                                            Источники изменений
                                        </div>
                                        <div class="dropdown-menu__item">
                                            <div class="custom-control custom-checkbox">
                                                <input class="custom-control-input" id="b_1089" type="checkbox" onclick="hideItem(this)" checked="checked">
                                                <label class="custom-control-label" for="b_1089"></label>
                                            </div>
                                            Источники опубликования
                                        </div>
                                    </div>
                                </div>
                                <div class="docContentHeader__item-link" id="b_btn_lex_comment" onclick="toggleLexComments()">
                                    <i class="fas fa-file-signature"></i>
                                </div>
                                
                                <div class="dropdown docContentHeader__item-link-dropdown" title="Варианты">
                                    <div class="docContentHeader__item-link" id="dd3_" data-toggle="dropdown" aria-haspopup="true" aria-expanded="false">
                                        <i class="fas fa-calendar" style="font-weight: 400;"></i>
                                    </div>
                                    <div class="dropdown-menu lx_date_ddm" aria-labelledby="dd3_" id="lx_var_b" title=""></div>
                                </div>
                                
                                <div class="dropdown docContentHeader__item-link-dropdown" title="Сравнение вариантов">
                                    <div class="docContentHeader__item-link" id="dd4_" data-toggle="dropdown" aria-haspopup="true" aria-expanded="false">
                                        <svg class="icon sm">
                                            <use xlink:href="/assets/img/sprite2.svg#compare"></use></svg>
                                    </div>
                                    <div class="dropdown-menu lx_date_ddm" aria-labelledby="dd4_" title="">
                                        <div class="dropdown-menu__item lx_date_link" onclick="lxOpenUrl('/ru/docs/3233862?ONDATE=19.07.2017&action=compare')">Текущая версия</div>
<div class="dropdown-menu__item lx_date_link" onclick="lxOpenUrl('/ru/docs/3233862?ONDATE=19.07.2017&ONDATE2=01.02.2019&action=compare')">01.02.2019</div>
<div class="dropdown-menu__item lx_date_link" onclick="lxOpenUrl('/ru/docs/3233862?ONDATE=19.07.2017&ONDATE2=28.08.2018&action=compare')">28.08.2018</div>
<div class="dropdown-menu__item lx_date_link" onclick="lxOpenUrl('/ru/docs/3233862?ONDATE=19.07.2017&ONDATE2=07.06.2018&action=compare')">07.06.2018</div>
<div class="dropdown-menu__item lx_date_link" onclick="lxOpenUrl('/ru/docs/3233862?ONDATE=19.07.2017&ONDATE2=03.03.2018&action=compare')">03.03.2018</div>
<div class="dropdown-menu__item lx_date_link" onclick="lxOpenUrl('/ru/docs/3233862?ONDATE=19.07.2017&ONDATE2=22.11.2017&action=compare')">22.11.2017</div>
<div class="dropdown-menu__item lx_date_link" onclick="lxOpenUrl('/ru/docs/3233862?ONDATE=19.07.2017&ONDATE2=15.11.2017&action=compare')">15.11.2017</div>
<div class="dropdown-menu__item lx_date_link" onclick="lxOpenUrl('/ru/docs/3233862?ONDATE=19.07.2017&ONDATE2=29.09.2017&action=compare')">29.09.2017</div>
<div class="dropdown-menu__item lx_date_link" onclick="lxOpenUrl('/ru/docs/3233862?ONDATE=19.07.2017&ONDATE2=18.09.2017 05&action=compare')">18.09.2017 05</div>
<div class="dropdown-menu__item lx_date_link" onclick="lxOpenUrl('/ru/docs/3233862?ONDATE=19.07.2017&ONDATE2=28.08.2017&action=compare')">28.08.2017</div>
<div class="dropdown-menu__item lx_date_selected stopProp">19.07.2017</div>
<div class="dropdown-menu__item lx_date_link" onclick="lxOpenUrl('/ru/docs/3233862?ONDATE=19.07.2017&ONDATE2=19.06.2017&action=compare')">19.06.2017</div>
                                    </div>
                                </div>
                                
                                <div class="docContentHeader__item-link" onclick="downloadDoc()" title="Сохранить в MS Word">
                                    <svg class="icon sm">
                                        <use xlink:href="/assets/img/sprite2.svg#word"></use></svg>
                                </div>
                                
                                <div class="docContentHeader__item-link" onclick="openUrl('/ru/pdfs/3233862')" title="Скачать в формате PDF">
                                    <svg class="icon sm">
                                        <use xlink:href="/assets/img/sprite2.svg#pdf3S"></use></svg>
                                </div>
                                
                                <div class="docContentHeader__item-link lx_border_right" onclick="window.print()" title="Версия для печати">
                                    <i class="fas fa-print"></i>
                                </div>
                            </div>
                            <div class="docContentHeader__item docContentHeader__item-mobile-right skiptranslate">
                                <div class="dropdown eye_btn">
                                    <div class="docContentHeader__item-link lx_border_both mr-1" data-toggle="dropdown">
                                        <i class="fas fa-eye"></i>
                                    </div>
                                    <div class="dropdown-menu drop_menu">
                                        <h6 class="show_size">Вид</h6>
                                        <div class="row" style="margin-right: 1.3rem; margin-left: 0rem;">
                                            <div class="col-4">
                                                <button class="btnA btn__left" onclick="toggleTheme('light');">A</button>
                                            </div>
                                            <div class="col-4">
                                                <button class="btnA btn__cebter" onclick="toggleTheme('grey');">A</button>
                                            </div>
                                            <div class="col-4">
                                                <button class="btnA btn__reght" onclick="toggleTheme('dark');">A</button>
                                            </div>
                                        </div>
                                    </div>
                                </div>
                                <div class="docContentHeader__item-link lx_border_left active" title="На русском">Рус</div><div class="docContentHeader__item-link" onclick="openUrl('/ru/docs/3233860?ONDATE=19.07.2017')" title="Ўзбекча">Ўзб</div><div class="docContentHeader__item-link" onclick="openUrl('/ru/docs/-3233860?ONDATE=19.07.2017')" title="O'zbekcha">O’zb</div><div class="docContentHeader__item-link-language" onclick="openTwoLang(3)" title="На двух языках">Рус|Ўзб</div><div class="docContentHeader__item-link-language lx_border_right" onclick="openTwoLang(4)" title="На двух языках">Рус|O‘zb</div>
                            </div>
                        </div>
                        <div class="docBody__container">
                            <div class="docBody__content-em" id='main_container1'>
                                
                                    <div style="background-color: #fff; padding: 16px 14px 16px 8px;">
                                        <table style="width: 100%; font-family: Arial; font-size: 14px; font-weight: bold;">
                                            <tr>
                                                <td style="width: 50%; border: 0;">
                                                    
                                                        <div class="act_warning">
                                                            Акт утратил силу&nbsp;28.08.2018
                                                        </div>
                                                    
                                                </td>
                                                <td style="width: 50%; border: 0;" align="right">
                                                    
                                                        <div class="act_warning">
                                                            <b>Акт на состоянии 19.07.2017 00</b>
                                                            <br />
                                                            <a style="color: green" href="/ru/docs/3233862">
                                                                Перейти на действующую версию</a>
                                                        </div>
                                                    
                                                    
                                                </td>
                                            </tr>
                                            
                                        </table>
                                        <div id="mD" class="main-column document" style="margin: 0px;">
                                            <div id="divBody">
                                                <div id="divCont" style="background:#ffffff;border:none;margin:auto;"><div class="ACT_FORM lx_elem" onmousemove="lx_mo(event,3233941)"><div class="lx_elem2"><div class="lx_elem3"><span onclick="lx_sf(3233941)"><img src="/img/cmt.svg" />Предложения по документу</span><span onclick="lx_pa(3233941)"><img src="/img/vlm.svg" />Прослушать аудио</span><span onclick="lx_cl(3233941)"><img src="/img/lnk.svg" />Получить ссылку из элемента документа</span></div></div><div name="3233941" id="3233941">Постановление</div></div><div class="ACCEPTING_BODY lx_elem" onmousemove="lx_mo(event,3233942)"><div class="lx_elem2"><div class="lx_elem3"><span onclick="lx_sf(3233942)"><img src="/img/cmt.svg" />Предложения по документу</span><span onclick="lx_pa(3233942)"><img src="/img/vlm.svg" />Прослушать аудио</span><span onclick="lx_cl(3233942)"><img src="/img/lnk.svg" />Получить ссылку из элемента документа</span></div></div><div name="3233942" id="3233942">Президента Республики Узбекистан</div></div><div class="ACT_TITLE lx_elem" onmousemove="lx_mo(event,3233943)"><div class="lx_elem2"><div class="lx_elem3"><span onclick="lx_sf(3233943)"><img src="/img/cmt.svg" />Предложения по документу</span><span onclick="lx_pa(3233943)"><img src="/img/vlm.svg" />Прослушать аудио</span><span onclick="lx_cl(3233943)"><img src="/img/lnk.svg" />Получить ссылку из элемента документа</span></div></div><div name="3233943" id="3233943">О дополнительных мерах по совершенствованию исполнительной структуры Кабинета Министров Республики Узбекистан</div></div><div class="BY_DEFAULT lx_elem" onmousemove="lx_mo(event,3233944)"><div class="lx_elem2"><div class="lx_elem3"><span onclick="lx_sf(3233944)"><img src="/img/cmt.svg" />Предложения по документу</span><span onclick="lx_pa(3233944)"><img src="/img/vlm.svg" />Прослушать аудио</span><span onclick="lx_cl(3233944)"><img src="/img/lnk.svg" />Получить ссылку из элемента документа</span></div></div><div name="3233944" id="3233944"></div></div><div class="COMMENT" style="display:none"><label id="s527"></label><div class="COMMENTLEXUZ"><img src="/image/favicon.gif"> Комментарий LexUz</img></div></div><div class="COMMENT" style="display:none"><label id="s527"></label><div name="4908494" id="4908494">Настоящее постановление утратило силу в соответствии с <a href="/ru/docs/4895009?ONDATE=28.08.2018 00#4897273">Указом </a>Президента Республики Узбекистан от 28 августа 2018 года № УП-5526 «О внесении изменений, а также признании утратившими силу некоторых актов Президента Республики Узбекистан в связи с совершенствованием структуры Кабинета Министров Республики Узбекистан».</div></div><div class="ACT_TEXT lx_elem" onmousemove="lx_mo(event,3233945)"><div class="lx_elem2"><div class="lx_elem3"><span onclick="lx_sf(3233945)"><img src="/img/cmt.svg" />Предложения по документу</span><span onclick="lx_pa(3233945)"><img src="/img/vlm.svg" />Прослушать аудио</span><span onclick="lx_cl(3233945)"><img src="/img/lnk.svg" />Получить ссылку из элемента документа</span></div></div><div name="3233945" id="3233945">В целях совершенствования структуры аппарата Кабинета Министров Республики Узбекистан в соответствии с требованиями углубления экономических реформ и динамичного социально-экономического развития страны, а также обеспечения эффективной и результативной работы, укрепления исполнительской дисциплины и усиления персональной ответственности заместителей Премьер-министра Республики Узбекистан и руководителей структурных подразделений аппарата Правительства:</div></div><div class="ACT_TEXT lx_elem" onmousemove="lx_mo(event,3233946)"><div class="lx_elem2"><div class="lx_elem3"><span onclick="lx_sf(3233946)"><img src="/img/cmt.svg" />Предложения по документу</span><span onclick="lx_pa(3233946)"><img src="/img/vlm.svg" />Прослушать аудио</span><span onclick="lx_cl(3233946)"><img src="/img/lnk.svg" />Получить ссылку из элемента документа</span></div></div><div name="3233946" id="3233946">1. Упразднить:</div></div><div class="ACT_TEXT lx_elem" onmousemove="lx_mo(event,3233948)"><div class="lx_elem2"><div class="lx_elem3"><span onclick="lx_sf(3233948)"><img src="/img/cmt.svg" />Предложения по документу</span><span onclick="lx_pa(3233948)"><img src="/img/vlm.svg" />Прослушать аудио</span><span onclick="lx_cl(3233948)"><img src="/img/lnk.svg" />Получить ссылку из элемента документа</span></div></div><div name="3233948" id="3233948">должность заместителя Премьер-министра Республики Узбекистан — руководителя Комплекса по вопросам макроэкономического развития, структурных преобразований и привлечения иностранных инвестиций;</div></div><div class="ACT_TEXT lx_elem" onmousemove="lx_mo(event,3233949)"><div class="lx_elem2"><div class="lx_elem3"><span onclick="lx_sf(3233949)"><img src="/img/cmt.svg" />Предложения по документу</span><span onclick="lx_pa(3233949)"><img src="/img/vlm.svg" />Прослушать аудио</span><span onclick="lx_cl(3233949)"><img src="/img/lnk.svg" />Получить ссылку из элемента документа</span></div></div><div name="3233949" id="3233949">должность заместителя Премьер-министра Республики Узбекистан — председателя правления АК «Узавтосаноат» — руководителя Комплекса по вопросам развития экспортного потенциала и машиностроения, автомобильной и электротехнической промышленности, стандартизации продукции;</div></div><div class="ACT_TEXT lx_elem" onmousemove="lx_mo(event,3233950)"><div class="lx_elem2"><div class="lx_elem3"><span onclick="lx_sf(3233950)"><img src="/img/cmt.svg" />Предложения по документу</span><span onclick="lx_pa(3233950)"><img src="/img/vlm.svg" />Прослушать аудио</span><span onclick="lx_cl(3233950)"><img src="/img/lnk.svg" />Получить ссылку из элемента документа</span></div></div><div name="3233950" id="3233950">должность заместителя Премьер-министра — руководителя Комплекса по вопросам экологии, охраны окружающей среды, физической культуры и спорта;</div></div><div class="ACT_TEXT lx_elem" onmousemove="lx_mo(event,3233951)"><div class="lx_elem2"><div class="lx_elem3"><span onclick="lx_sf(3233951)"><img src="/img/cmt.svg" />Предложения по документу</span><span onclick="lx_pa(3233951)"><img src="/img/vlm.svg" />Прослушать аудио</span><span onclick="lx_cl(3233951)"><img src="/img/lnk.svg" />Получить ссылку из элемента документа</span></div></div><div name="3233951" id="3233951">Сводный информационно-аналитический департамент по вопросам макроэкономического развития, структурных преобразований и привлечения иностранных инвестиций;</div></div><div class="ACT_TEXT lx_elem" onmousemove="lx_mo(event,3233952)"><div class="lx_elem2"><div class="lx_elem3"><span onclick="lx_sf(3233952)"><img src="/img/cmt.svg" />Предложения по документу</span><span onclick="lx_pa(3233952)"><img src="/img/vlm.svg" />Прослушать аудио</span><span onclick="lx_cl(3233952)"><img src="/img/lnk.svg" />Получить ссылку из элемента документа</span></div></div><div name="3233952" id="3233952">Информационно-аналитический департамент по вопросам образования и науки;</div></div><div class="ACT_TEXT lx_elem" onmousemove="lx_mo(event,3233953)"><div class="lx_elem2"><div class="lx_elem3"><span onclick="lx_sf(3233953)"><img src="/img/cmt.svg" />Предложения по документу</span><span onclick="lx_pa(3233953)"><img src="/img/vlm.svg" />Прослушать аудио</span><span onclick="lx_cl(3233953)"><img src="/img/lnk.svg" />Получить ссылку из элемента документа</span></div></div><div name="3233953" id="3233953">Информационно-аналитический департамент по вопросам молодежной политики, культуры, информационных систем и телекоммуникаций;</div></div><div class="ACT_TEXT lx_elem" onmousemove="lx_mo(event,3233954)"><div class="lx_elem2"><div class="lx_elem3"><span onclick="lx_sf(3233954)"><img src="/img/cmt.svg" />Предложения по документу</span><span onclick="lx_pa(3233954)"><img src="/img/vlm.svg" />Прослушать аудио</span><span onclick="lx_cl(3233954)"><img src="/img/lnk.svg" />Получить ссылку из элемента документа</span></div></div><div name="3233954" id="3233954">Информационно-аналитический департамент по вопросам развития экспортного потенциала отраслей экономики и территорий республики;</div></div><div class="ACT_TEXT lx_elem" onmousemove="lx_mo(event,3233955)"><div class="lx_elem2"><div class="lx_elem3"><span onclick="lx_sf(3233955)"><img src="/img/cmt.svg" />Предложения по документу</span><span onclick="lx_pa(3233955)"><img src="/img/vlm.svg" />Прослушать аудио</span><span onclick="lx_cl(3233955)"><img src="/img/lnk.svg" />Получить ссылку из элемента документа</span></div></div><div name="3233955" id="3233955">Управление правовой экспертизы и международных договоров.</div></div><div class="ACT_TEXT lx_elem" onmousemove="lx_mo(event,3233956)"><div class="lx_elem2"><div class="lx_elem3"><span onclick="lx_sf(3233956)"><img src="/img/cmt.svg" />Предложения по документу</span><span onclick="lx_pa(3233956)"><img src="/img/vlm.svg" />Прослушать аудио</span><span onclick="lx_cl(3233956)"><img src="/img/lnk.svg" />Получить ссылку из элемента документа</span></div></div><div name="3233956" id="3233956">2. Ввести в структуру Кабинета Министров Республики Узбекистан должности:</div></div><div class="ACT_TEXT lx_elem" onmousemove="lx_mo(event,3233957)"><div class="lx_elem2"><div class="lx_elem3"><span onclick="lx_sf(3233957)"><img src="/img/cmt.svg" />Предложения по документу</span><span onclick="lx_pa(3233957)"><img src="/img/vlm.svg" />Прослушать аудио</span><span onclick="lx_cl(3233957)"><img src="/img/lnk.svg" />Получить ссылку из элемента документа</span></div></div><div name="3233957" id="3233957">заместителя Премьер-министра Республики Узбекистан — руководителя Комплекса по вопросам экономического развития, структурных преобразований, инвестиций, реформирования банковской и финансовой систем, координации деятельности свободных экономических и малых промышленных зон;</div></div><div class="ACT_TEXT lx_elem" onmousemove="lx_mo(event,3233959)"><div class="lx_elem2"><div class="lx_elem3"><span onclick="lx_sf(3233959)"><img src="/img/cmt.svg" />Предложения по документу</span><span onclick="lx_pa(3233959)"><img src="/img/vlm.svg" />Прослушать аудио</span><span onclick="lx_cl(3233959)"><img src="/img/lnk.svg" />Получить ссылку из элемента документа</span></div></div><div name="3233959" id="3233959">заместителя Премьер-министра Республики Узбекистан — председателя правления АО «Узавтосаноат» — руководителя Комплекса по вопросам развития внешнеэкономической деятельности, экспортного потенциала, машиностроения, автомобильной и электротехнической промышленности, стандартизации продукции.</div></div><div class="ACT_TEXT lx_elem" onmousemove="lx_mo(event,3233960)"><div class="lx_elem2"><div class="lx_elem3"><span onclick="lx_sf(3233960)"><img src="/img/cmt.svg" />Предложения по документу</span><span onclick="lx_pa(3233960)"><img src="/img/vlm.svg" />Прослушать аудио</span><span onclick="lx_cl(3233960)"><img src="/img/lnk.svg" />Получить ссылку из элемента документа</span></div></div><div name="3233960" id="3233960">3. Образовать в структуре Исполнительного аппарата Кабинета Министров Республики Узбекистан:</div></div><div class="ACT_TEXT lx_elem" onmousemove="lx_mo(event,3233961)"><div class="lx_elem2"><div class="lx_elem3"><span onclick="lx_sf(3233961)"><img src="/img/cmt.svg" />Предложения по документу</span><span onclick="lx_pa(3233961)"><img src="/img/vlm.svg" />Прослушать аудио</span><span onclick="lx_cl(3233961)"><img src="/img/lnk.svg" />Получить ссылку из элемента документа</span></div></div><div name="3233961" id="3233961">Информационно-аналитический департамент по вопросам образования, науки и молодежной политики;</div></div><div class="ACT_TEXT lx_elem" onmousemove="lx_mo(event,3233962)"><div class="lx_elem2"><div class="lx_elem3"><span onclick="lx_sf(3233962)"><img src="/img/cmt.svg" />Предложения по документу</span><span onclick="lx_pa(3233962)"><img src="/img/vlm.svg" />Прослушать аудио</span><span onclick="lx_cl(3233962)"><img src="/img/lnk.svg" />Получить ссылку из элемента документа</span></div></div><div name="3233962" id="3233962">Информационно-аналитический департамент по вопросам культуры, информационных систем и телекоммуникаций;</div></div><div class="ACT_TEXT lx_elem" onmousemove="lx_mo(event,3233963)"><div class="lx_elem2"><div class="lx_elem3"><span onclick="lx_sf(3233963)"><img src="/img/cmt.svg" />Предложения по документу</span><span onclick="lx_pa(3233963)"><img src="/img/vlm.svg" />Прослушать аудио</span><span onclick="lx_cl(3233963)"><img src="/img/lnk.svg" />Получить ссылку из элемента документа</span></div></div><div name="3233963" id="3233963">Сводный информационно-аналитический департамент по вопросам экономического развития, структурных преобразований, реформирования банковской и финансовой систем, координации деятельности свободных экономических и малых промышленных зон;</div></div><div class="ACT_TEXT lx_elem" onmousemove="lx_mo(event,3233965)"><div class="lx_elem2"><div class="lx_elem3"><span onclick="lx_sf(3233965)"><img src="/img/cmt.svg" />Предложения по документу</span><span onclick="lx_pa(3233965)"><img src="/img/vlm.svg" />Прослушать аудио</span><span onclick="lx_cl(3233965)"><img src="/img/lnk.svg" />Получить ссылку из элемента документа</span></div></div><div name="3233965" id="3233965">Информационно-аналитический департамент по вопросам координации формирования и мониторинга реализации инвестиционных программ, привлечения иностранных инвестиций;</div></div><div class="ACT_TEXT lx_elem" onmousemove="lx_mo(event,3233966)"><div class="lx_elem2"><div class="lx_elem3"><span onclick="lx_sf(3233966)"><img src="/img/cmt.svg" />Предложения по документу</span><span onclick="lx_pa(3233966)"><img src="/img/vlm.svg" />Прослушать аудио</span><span onclick="lx_cl(3233966)"><img src="/img/lnk.svg" />Получить ссылку из элемента документа</span></div></div><div name="3233966" id="3233966">Информационно-аналитический департамент по вопросам развития внешнеэкономической деятельности, экспортного потенциала отраслей экономики и территорий республики;</div></div><div class="ACT_TEXT lx_elem" onmousemove="lx_mo(event,3233967)"><div class="lx_elem2"><div class="lx_elem3"><span onclick="lx_sf(3233967)"><img src="/img/cmt.svg" />Предложения по документу</span><span onclick="lx_pa(3233967)"><img src="/img/vlm.svg" />Прослушать аудио</span><span onclick="lx_cl(3233967)"><img src="/img/lnk.svg" />Получить ссылку из элемента документа</span></div></div><div name="3233967" id="3233967">Управление правовой экспертизы, международных договоров и развития внешних связей.</div></div><div class="ACT_TEXT lx_elem" onmousemove="lx_mo(event,3233968)"><div class="lx_elem2"><div class="lx_elem3"><span onclick="lx_sf(3233968)"><img src="/img/cmt.svg" />Предложения по документу</span><span onclick="lx_pa(3233968)"><img src="/img/vlm.svg" />Прослушать аудио</span><span onclick="lx_cl(3233968)"><img src="/img/lnk.svg" />Получить ссылку из элемента документа</span></div></div><div name="3233968" id="3233968">4. Утвердить:</div></div><div class="ACT_TEXT lx_elem" style="color:#808080;" onmousemove="lx_mo(event,3233969)"><div class="lx_elem2"><div class="lx_elem3"><span onclick="lx_sf(3233969)"><img src="/img/cmt.svg" />Предложения по документу</span><span onclick="lx_pa(3233969)"><img src="/img/vlm.svg" />Прослушать аудио</span><span onclick="lx_cl(3233969)"><img src="/img/lnk.svg" />Получить ссылку из элемента документа</span></div></div><div name="3233969" id="3233969">обновленную исполнительную структуру Кабинета Министров Республики Узбекистан согласно <a href="/ru/docs/3233862#3234032">приложению № 1</a>;</div></div><div class="COMMENT"><label id="s3935"></label><div name="edi3233969" id="edi3233969">См. <a href="/ru/docs/3233862?ONDATE=28.08.2017 00#edi3343746">последующую</a> редакцию.</div></div><div class="ACT_TEXT lx_elem" onmousemove="lx_mo(event,3233971)"><div class="lx_elem2"><div class="lx_elem3"><span onclick="lx_sf(3233971)"><img src="/img/cmt.svg" />Предложения по документу</span><span onclick="lx_pa(3233971)"><img src="/img/vlm.svg" />Прослушать аудио</span><span onclick="lx_cl(3233971)"><img src="/img/lnk.svg" />Получить ссылку из элемента документа</span></div></div><div name="3233971" id="3233971">структуру Аппарата Премьер-министра Республики Узбекистан согласно <a href="/ru/docs/3233862#3234038">приложению № 2</a>;</div></div><div class="ACT_TEXT lx_elem" onmousemove="lx_mo(event,3233972)"><div class="lx_elem2"><div class="lx_elem3"><span onclick="lx_sf(3233972)"><img src="/img/cmt.svg" />Предложения по документу</span><span onclick="lx_pa(3233972)"><img src="/img/vlm.svg" />Прослушать аудио</span><span onclick="lx_cl(3233972)"><img src="/img/lnk.svg" />Получить ссылку из элемента документа</span></div></div><div name="3233972" id="3233972">структуры аппаратов Управляющего аппарата Кабинета Министров и заместителей Управляющего аппарата Кабинета Министров Республики Узбекистан согласно <a href="/ru/docs/3233862#3234044">приложению № 3</a>;</div></div><div class="ACT_TEXT lx_elem" style="color:#808080;" onmousemove="lx_mo(event,3233973)"><div class="lx_elem2"><div class="lx_elem3"><span onclick="lx_sf(3233973)"><img src="/img/cmt.svg" />Предложения по документу</span><span onclick="lx_pa(3233973)"><img src="/img/vlm.svg" />Прослушать аудио</span><span onclick="lx_cl(3233973)"><img src="/img/lnk.svg" />Получить ссылку из элемента документа</span></div></div><div name="3233973" id="3233973">структуры аппаратов первого заместителя и заместителей Премьер- министра Республики Узбекистан согласно <a href="/ru/docs/3233862#3234069">приложению № 4</a>;</div></div><div class="COMMENT"><label id="s3935"></label><div name="edi3233973" id="edi3233973">См. <a href="/ru/docs/3233862?ONDATE=03.03.2018 00#edi3580068">последующую</a> редакцию.</div></div><div class="ACT_TEXT lx_elem" style="color:#808080;" onmousemove="lx_mo(event,3233974)"><div class="lx_elem2"><div class="lx_elem3"><span onclick="lx_sf(3233974)"><img src="/img/cmt.svg" />Предложения по документу</span><span onclick="lx_pa(3233974)"><img src="/img/vlm.svg" />Прослушать аудио</span><span onclick="lx_cl(3233974)"><img src="/img/lnk.svg" />Получить ссылку из элемента документа</span></div></div><div name="3233974" id="3233974">структуру Информационно-аналитического департамента по вопросам образования, науки и молодежной политики согласно <a href="/ru/docs/3233862#3234073">приложению № 5</a>;</div></div><div class="COMMENT"><label id="s3935"></label><div name="edi3233974" id="edi3233974">См. <a href="/ru/docs/3233862?ONDATE=03.03.2018 00#edi3580078">последующую</a> редакцию.</div></div><div class="ACT_TEXT lx_elem" style="color:#808080;" onmousemove="lx_mo(event,3233975)"><div class="lx_elem2"><div class="lx_elem3"><span onclick="lx_sf(3233975)"><img src="/img/cmt.svg" />Предложения по документу</span><span onclick="lx_pa(3233975)"><img src="/img/vlm.svg" />Прослушать аудио</span><span onclick="lx_cl(3233975)"><img src="/img/lnk.svg" />Получить ссылку из элемента документа</span></div></div><div name="3233975" id="3233975">структуру Информационно-аналитического департамента по вопросам культуры, информационных систем и телекоммуникаций согласно <a href="/ru/docs/3233862#3234081">приложению № 6</a>;</div></div><div class="COMMENT"><label id="s3935"></label><div name="edi3233975" id="edi3233975">См. <a href="/ru/docs/3233862?ONDATE=28.08.2017 00#edi3343747">последующую</a> редакцию.</div></div><div class="ACT_TEXT lx_elem" style="color:#808080;" onmousemove="lx_mo(event,3233976)"><div class="lx_elem2"><div class="lx_elem3"><span onclick="lx_sf(3233976)"><img src="/img/cmt.svg" />Предложения по документу</span><span onclick="lx_pa(3233976)"><img src="/img/vlm.svg" />Прослушать аудио</span><span onclick="lx_cl(3233976)"><img src="/img/lnk.svg" />Получить ссылку из элемента документа</span></div></div><div name="3233976" id="3233976">структуру Информационно-аналитического департамента по вопросам здравоохранения, экологии, охраны окружающей среды, физической культуры и спорта согласно <a href="/ru/docs/3233862#3234088">приложению № 7</a>;</div></div><div class="COMMENT"><label id="s3935"></label><div name="edi3233976" id="edi3233976">См. <a href="/ru/docs/3233862?ONDATE=03.03.2018 00#edi3580079">последующую</a> редакцию.</div></div><div class="ACT_TEXT lx_elem" style="color:#808080;" onmousemove="lx_mo(event,3233977)"><div class="lx_elem2"><div class="lx_elem3"><span onclick="lx_sf(3233977)"><img src="/img/cmt.svg" />Предложения по документу</span><span onclick="lx_pa(3233977)"><img src="/img/vlm.svg" />Прослушать аудио</span><span onclick="lx_cl(3233977)"><img src="/img/lnk.svg" />Получить ссылку из элемента документа</span></div></div><div name="3233977" id="3233977">структуру Информационно-аналитического департамента по вопросам комплексного социально-экономического развития территорий согласно <a href="/ru/docs/3233862#3234113">приложению № 8</a>;</div></div><div class="COMMENT"><label id="s3935"></label><div name="edi3233977" id="edi3233977">См. <a href="/ru/docs/3233862?ONDATE=03.03.2018 00#edi3580111">последующую</a> редакцию.</div></div><div class="ACT_TEXT lx_elem" style="color:#808080;" onmousemove="lx_mo(event,3233979)"><div class="lx_elem2"><div class="lx_elem3"><span onclick="lx_sf(3233979)"><img src="/img/cmt.svg" />Предложения по документу</span><span onclick="lx_pa(3233979)"><img src="/img/vlm.svg" />Прослушать аудио</span><span onclick="lx_cl(3233979)"><img src="/img/lnk.svg" />Получить ссылку из элемента документа</span></div></div><div name="3233979" id="3233979">структуру Информационно-аналитического департамента по вопросам коммунальной сферы, транспорта, капитального строительства и стройиндустрии согласно <a href="/ru/docs/3233862#3234119">приложению № 9</a>;</div></div><div class="COMMENT"><label id="s3935"></label><div name="edi3233979" id="edi3233979">См. <a href="/ru/docs/3233862?ONDATE=28.08.2017 00#edi3343750">последующую</a> редакцию.</div></div><div class="ACT_TEXT lx_elem" style="color:#808080;" onmousemove="lx_mo(event,3233980)"><div class="lx_elem2"><div class="lx_elem3"><span onclick="lx_sf(3233980)"><img src="/img/cmt.svg" />Предложения по документу</span><span onclick="lx_pa(3233980)"><img src="/img/vlm.svg" />Прослушать аудио</span><span onclick="lx_cl(3233980)"><img src="/img/lnk.svg" />Получить ссылку из элемента документа</span></div></div><div name="3233980" id="3233980">структуру Сводного информационно-аналитического департамента по вопросам экономического развития, структурных преобразований, реформирования банковской и финансовой систем, координации деятельности свободных экономических и малых промышленных зон согласно <a href="/ru/docs/3233862#3234132">приложению № 10</a>;</div></div><div class="COMMENT"><label id="s3935"></label><div name="edi3233980" id="edi3233980">См. <a href="/ru/docs/3233862?ONDATE=03.03.2018 00#edi3580118">последующую</a> редакцию.</div></div><div class="ACT_TEXT lx_elem" style="color:#808080;" onmousemove="lx_mo(event,3233981)"><div class="lx_elem2"><div class="lx_elem3"><span onclick="lx_sf(3233981)"><img src="/img/cmt.svg" />Предложения по документу</span><span onclick="lx_pa(3233981)"><img src="/img/vlm.svg" />Прослушать аудио</span><span onclick="lx_cl(3233981)"><img src="/img/lnk.svg" />Получить ссылку из элемента документа</span></div></div><div name="3233981" id="3233981">структуру Информационно-аналитического департамента по вопросам координации формирования и мониторинга реализации инвестиционных программ, привлечения иностранных инвестиций согласно <a href="/ru/docs/3233862#3234138">приложению № 11</a>;</div></div><div class="COMMENT"><label id="s3935"></label><div name="edi3233981" id="edi3233981">См. <a href="/ru/docs/3233862?ONDATE=03.03.2018 00#edi3580122">последующую</a> редакцию.</div></div><div class="ACT_TEXT lx_elem" style="color:#808080;" onmousemove="lx_mo(event,3233983)"><div class="lx_elem2"><div class="lx_elem3"><span onclick="lx_sf(3233983)"><img src="/img/cmt.svg" />Предложения по документу</span><span onclick="lx_pa(3233983)"><img src="/img/vlm.svg" />Прослушать аудио</span><span onclick="lx_cl(3233983)"><img src="/img/lnk.svg" />Получить ссылку из элемента документа</span></div></div><div name="3233983" id="3233983">структуру Информационно-аналитического департамента по вопросам сельского и водного хозяйства, переработки сельскохозяйственной продукции и потребительских товаров согласно <a href="/ru/docs/3233862#3234145">приложению № 12</a>;</div></div><div class="COMMENT"><label id="s3935"></label><div name="edi3233983" id="edi3233983">См. <a href="/ru/docs/3233862?ONDATE=03.03.2018 00#edi3580136">последующую</a> редакцию.</div></div><div class="ACT_TEXT lx_elem" style="color:#808080;" onmousemove="lx_mo(event,3233984)"><div class="lx_elem2"><div class="lx_elem3"><span onclick="lx_sf(3233984)"><img src="/img/cmt.svg" />Предложения по документу</span><span onclick="lx_pa(3233984)"><img src="/img/vlm.svg" />Прослушать аудио</span><span onclick="lx_cl(3233984)"><img src="/img/lnk.svg" />Получить ссылку из элемента документа</span></div></div><div name="3233984" id="3233984">структуру Информационно-аналитического департамента по вопросам геологии, топливно-энергетического комплекса, химической, нефтехимической и металлургической промышленности согласно <a href="/ru/docs/3233862#3234160">приложению № 13</a>;</div></div><div class="COMMENT"><label id="s3935"></label><div name="edi3233984" id="edi3233984">См. <a href="/ru/docs/3233862?ONDATE=28.08.2017 00#edi3343751">последующую</a> редакцию.</div></div><div class="ACT_TEXT lx_elem" style="color:#808080;" onmousemove="lx_mo(event,3233985)"><div class="lx_elem2"><div class="lx_elem3"><span onclick="lx_sf(3233985)"><img src="/img/cmt.svg" />Предложения по документу</span><span onclick="lx_pa(3233985)"><img src="/img/vlm.svg" />Прослушать аудио</span><span onclick="lx_cl(3233985)"><img src="/img/lnk.svg" />Получить ссылку из элемента документа</span></div></div><div name="3233985" id="3233985">структуру Информационно-аналитического департамента по вопросам развития внешнеэкономической деятельности, экспортного потенциала отраслей экономики и территорий республики согласно <a href="/ru/docs/3233862#3234166">приложению № 14</a>;</div></div><div class="COMMENT"><label id="s3935"></label><div name="edi3233985" id="edi3233985">См. <a href="/ru/docs/3233862?ONDATE=28.08.2017 00#edi3343752">последующую</a> редакцию.</div></div><div class="ACT_TEXT lx_elem" style="color:#808080;" onmousemove="lx_mo(event,3233986)"><div class="lx_elem2"><div class="lx_elem3"><span onclick="lx_sf(3233986)"><img src="/img/cmt.svg" />Предложения по документу</span><span onclick="lx_pa(3233986)"><img src="/img/vlm.svg" />Прослушать аудио</span><span onclick="lx_cl(3233986)"><img src="/img/lnk.svg" />Получить ссылку из элемента документа</span></div></div><div name="3233986" id="3233986">структуру Информационно-аналитического департамента по вопросам развития машиностроения, автомобильной и электротехнической промышленности, стандартизации продукции согласно <a href="/ru/docs/3233862#3234173">приложению № 15</a>;</div></div><div class="COMMENT"><label id="s3935"></label><div name="edi3233986" id="edi3233986">См. <a href="/ru/docs/3233862?ONDATE=03.03.2018 00#edi3580139">последующую</a> редакцию.</div></div><div class="ACT_TEXT lx_elem" onmousemove="lx_mo(event,3233987)"><div class="lx_elem2"><div class="lx_elem3"><span onclick="lx_sf(3233987)"><img src="/img/cmt.svg" />Предложения по документу</span><span onclick="lx_pa(3233987)"><img src="/img/vlm.svg" />Прослушать аудио</span><span onclick="lx_cl(3233987)"><img src="/img/lnk.svg" />Получить ссылку из элемента документа</span></div></div><div name="3233987" id="3233987">структуру Секретариата заместителя Премьер-министра Республики Узбекистан — председателя Комитета женщин Узбекистана согласно <a href="/ru/docs/3233862#3234179">приложению № 16</a>;</div></div><div class="ACT_TEXT lx_elem" onmousemove="lx_mo(event,3233988)"><div class="lx_elem2"><div class="lx_elem3"><span onclick="lx_sf(3233988)"><img src="/img/cmt.svg" />Предложения по документу</span><span onclick="lx_pa(3233988)"><img src="/img/vlm.svg" />Прослушать аудио</span><span onclick="lx_cl(3233988)"><img src="/img/lnk.svg" />Получить ссылку из элемента документа</span></div></div><div name="3233988" id="3233988">структуру Управления правовой экспертизы, международных договоров и развития внешних связей согласно <a href="/ru/docs/3233862#3234185">приложению № 17</a>;</div></div><div class="ACT_TEXT lx_elem" onmousemove="lx_mo(event,3233989)"><div class="lx_elem2"><div class="lx_elem3"><span onclick="lx_sf(3233989)"><img src="/img/cmt.svg" />Предложения по документу</span><span onclick="lx_pa(3233989)"><img src="/img/vlm.svg" />Прослушать аудио</span><span onclick="lx_cl(3233989)"><img src="/img/lnk.svg" />Получить ссылку из элемента документа</span></div></div><div name="3233989" id="3233989">структуру Управления хозяйственной деятельности согласно <a href="/ru/docs/3233862#3234192">приложению № 18</a>;</div></div><div class="ACT_TEXT lx_elem" onmousemove="lx_mo(event,3233990)"><div class="lx_elem2"><div class="lx_elem3"><span onclick="lx_sf(3233990)"><img src="/img/cmt.svg" />Предложения по документу</span><span onclick="lx_pa(3233990)"><img src="/img/vlm.svg" />Прослушать аудио</span><span onclick="lx_cl(3233990)"><img src="/img/lnk.svg" />Получить ссылку из элемента документа</span></div></div><div name="3233990" id="3233990">структуры функциональных подразделений аппарата Кабинета Министров: Общего отдела, Отдела информационного обеспечения и компьютерных систем, Отдела по рассмотрению обращений физических и юридических лиц, Отдела контроля, Первого отдела, Отдела кадров согласно <a href="/ru/docs/3233862#3234198">приложениям № 19 — 24</a>.</div></div><div class="ACT_TEXT lx_elem" onmousemove="lx_mo(event,3233992)"><div class="lx_elem2"><div class="lx_elem3"><span onclick="lx_sf(3233992)"><img src="/img/cmt.svg" />Предложения по документу</span><span onclick="lx_pa(3233992)"><img src="/img/vlm.svg" />Прослушать аудио</span><span onclick="lx_cl(3233992)"><img src="/img/lnk.svg" />Получить ссылку из элемента документа</span></div></div><div name="3233992" id="3233992">5. Установить, что Премьер-министром Республики Узбекистан обеспечивается руководство Информационно-аналитическим департаментом по вопросам образования, науки и молодежной политики, Информационно-аналитическим департаментом по вопросам культуры, информационных систем и телекоммуникаций и Информационно-аналитическим департаментом по вопросам здравоохранения, экологии, охраны окружающей среды, физической культуры и спорта.</div></div><div class="ACT_TEXT lx_elem" onmousemove="lx_mo(event,3233993)"><div class="lx_elem2"><div class="lx_elem3"><span onclick="lx_sf(3233993)"><img src="/img/cmt.svg" />Предложения по документу</span><span onclick="lx_pa(3233993)"><img src="/img/vlm.svg" />Прослушать аудио</span><span onclick="lx_cl(3233993)"><img src="/img/lnk.svg" />Получить ссылку из элемента документа</span></div></div><div name="3233993" id="3233993">6. Кабинету Министров Республики Узбекистан (А.Н. Арипов) в месячный срок утвердить Положения о вновь вводимых структурных подразделениях Кабинета Министров Республики Узбекистан.</div></div><div class="ACT_TEXT lx_elem" onmousemove="lx_mo(event,3233994)"><div class="lx_elem2"><div class="lx_elem3"><span onclick="lx_sf(3233994)"><img src="/img/cmt.svg" />Предложения по документу</span><span onclick="lx_pa(3233994)"><img src="/img/vlm.svg" />Прослушать аудио</span><span onclick="lx_cl(3233994)"><img src="/img/lnk.svg" />Получить ссылку из элемента документа</span></div></div><div name="3233994" id="3233994">7. Управляющему аппарата Кабинета Министров Республики Узбекистан (Р.В. Абдукадырову):</div></div><div class="ACT_TEXT lx_elem" onmousemove="lx_mo(event,3233995)"><div class="lx_elem2"><div class="lx_elem3"><span onclick="lx_sf(3233995)"><img src="/img/cmt.svg" />Предложения по документу</span><span onclick="lx_pa(3233995)"><img src="/img/vlm.svg" />Прослушать аудио</span><span onclick="lx_cl(3233995)"><img src="/img/lnk.svg" />Получить ссылку из элемента документа</span></div></div><div name="3233995" id="3233995">в недельный срок — внести соответствующие изменения в штатное расписание Исполнительного аппарата Кабинета Министров Республики Узбекистан;</div></div><div class="ACT_TEXT lx_elem" onmousemove="lx_mo(event,3233996)"><div class="lx_elem2"><div class="lx_elem3"><span onclick="lx_sf(3233996)"><img src="/img/cmt.svg" />Предложения по документу</span><span onclick="lx_pa(3233996)"><img src="/img/vlm.svg" />Прослушать аудио</span><span onclick="lx_cl(3233996)"><img src="/img/lnk.svg" />Получить ссылку из элемента документа</span></div></div><div name="3233996" id="3233996">в 10-дневный срок — утвердить функциональные обязанности вновь вводимых должностей;</div></div><div class="ACT_TEXT lx_elem" onmousemove="lx_mo(event,3233997)"><div class="lx_elem2"><div class="lx_elem3"><span onclick="lx_sf(3233997)"><img src="/img/cmt.svg" />Предложения по документу</span><span onclick="lx_pa(3233997)"><img src="/img/vlm.svg" />Прослушать аудио</span><span onclick="lx_cl(3233997)"><img src="/img/lnk.svg" />Получить ссылку из элемента документа</span></div></div><div name="3233997" id="3233997">в месячный срок — совместно с соответствующими заместителями Премьер-министра Республики Узбекистан внести предложения по укомплектованию созданных информационно-аналитических департаментов и других структурных подразделений Исполнительного аппарата опытными и квалифицированными специалистами, обладающими глубокими специальными знаниями, владеющими иностранными языками, способными на высоком профессиональном уровне обеспечить выполнение задач и функций, возложенных на департаменты.</div></div><div class="ACT_TEXT lx_elem" onmousemove="lx_mo(event,3233998)"><div class="lx_elem2"><div class="lx_elem3"><span onclick="lx_sf(3233998)"><img src="/img/cmt.svg" />Предложения по документу</span><span onclick="lx_pa(3233998)"><img src="/img/vlm.svg" />Прослушать аудио</span><span onclick="lx_cl(3233998)"><img src="/img/lnk.svg" />Получить ссылку из элемента документа</span></div></div><div name="3233998" id="3233998">8. Признать утратившими силу:</div></div><div class="ACT_TEXT lx_elem" onmousemove="lx_mo(event,3233999)"><div class="lx_elem2"><div class="lx_elem3"><span onclick="lx_sf(3233999)"><img src="/img/cmt.svg" />Предложения по документу</span><span onclick="lx_pa(3233999)"><img src="/img/vlm.svg" />Прослушать аудио</span><span onclick="lx_cl(3233999)"><img src="/img/lnk.svg" />Получить ссылку из элемента документа</span></div></div><div name="3233999" id="3233999">пункт 2 постановления Президента Республики Узбекистан от 12 декабря 2016 года № ПП-2671 «О внесении частичных изменений в исполнительную структуру Кабинета Министров Республики Узбекистан»;</div></div><div class="ACT_TEXT lx_elem" onmousemove="lx_mo(event,3234000)"><div class="lx_elem2"><div class="lx_elem3"><span onclick="lx_sf(3234000)"><img src="/img/cmt.svg" />Предложения по документу</span><span onclick="lx_pa(3234000)"><img src="/img/vlm.svg" />Прослушать аудио</span><span onclick="lx_cl(3234000)"><img src="/img/lnk.svg" />Получить ссылку из элемента документа</span></div></div><div name="3234000" id="3234000">абзацы третий, пятый, шестой пункта 2, абзацы второй, третий и четвертый пункта 3, пункт 4 постановления Президента Республики Узбекистан от 14 декабря 2016 года № ПП-2679 «Об утверждении исполнительной структуры Кабинета Министров Республики Узбекистан», а также все приложения к нему;</div></div><div class="ACT_TEXT lx_elem" onmousemove="lx_mo(event,3234001)"><div class="lx_elem2"><div class="lx_elem3"><span onclick="lx_sf(3234001)"><img src="/img/cmt.svg" />Предложения по документу</span><span onclick="lx_pa(3234001)"><img src="/img/vlm.svg" />Прослушать аудио</span><span onclick="lx_cl(3234001)"><img src="/img/lnk.svg" />Получить ссылку из элемента документа</span></div></div><div name="3234001" id="3234001">пункты 2 и 3 постановления Президента Республики Узбекистан от 7 апреля 2017 года № ПП-2875 «О внесении частичных изменений в исполнительную структуру Кабинета Министров Республики Узбекистан» и приложения №№ 1 и 2 к нему.</div></div><div class="ACT_TEXT lx_elem" onmousemove="lx_mo(event,3234002)"><div class="lx_elem2"><div class="lx_elem3"><span onclick="lx_sf(3234002)"><img src="/img/cmt.svg" />Предложения по документу</span><span onclick="lx_pa(3234002)"><img src="/img/vlm.svg" />Прослушать аудио</span><span onclick="lx_cl(3234002)"><img src="/img/lnk.svg" />Получить ссылку из элемента документа</span></div></div><div name="3234002" id="3234002">9. Министерству юстиции Республики Узбекистан в месячный срок внести в установленном порядке проекты соответствующих нормативно-правовых актов по изменениям и дополнениям в законодательство, вытекающим из настоящего постановления.</div></div><div class="ACT_TEXT lx_elem" onmousemove="lx_mo(event,3234003)"><div class="lx_elem2"><div class="lx_elem3"><span onclick="lx_sf(3234003)"><img src="/img/cmt.svg" />Предложения по документу</span><span onclick="lx_pa(3234003)"><img src="/img/vlm.svg" />Прослушать аудио</span><span onclick="lx_cl(3234003)"><img src="/img/lnk.svg" />Получить ссылку из элемента документа</span></div></div><div name="3234003" id="3234003">10. Контроль за исполнением настоящего постановления возложить на Премьер-министра Республики Узбекистан А.Н. Арипова.</div></div><div class="SIGNATURE lx_elem" onmousemove="lx_mo(event,3234004)"><div class="lx_elem2"><div class="lx_elem3"><span onclick="lx_sf(3234004)"><img src="/img/cmt.svg" />Предложения по документу</span><span onclick="lx_pa(3234004)"><img src="/img/vlm.svg" />Прослушать аудио</span><span onclick="lx_cl(3234004)"><img src="/img/lnk.svg" />Получить ссылку из элемента документа</span></div></div><div name="3234004" id="3234004">Президент Республики Узбекистан Ш. МИРЗИЁЕВ</div></div><div class="ACT_ESSENTIAL_ELEMENTS lx_elem" onmousemove="lx_mo(event,3234005)"><div class="lx_elem2"><div class="lx_elem3"><span onclick="lx_sf(3234005)"><img src="/img/cmt.svg" />Предложения по документу</span><span onclick="lx_pa(3234005)"><img src="/img/vlm.svg" />Прослушать аудио</span><span onclick="lx_cl(3234005)"><img src="/img/lnk.svg" />Получить ссылку из элемента документа</span></div></div><div name="3234005" id="3234005">г. Ташкент,</div></div><div class="ACT_ESSENTIAL_ELEMENTS lx_elem" onmousemove="lx_mo(event,3234006)"><div class="lx_elem2"><div class="lx_elem3"><span onclick="lx_sf(3234006)"><img src="/img/cmt.svg" />Предложения по документу</span><span onclick="lx_pa(3234006)"><img src="/img/vlm.svg" />Прослушать аудио</span><span onclick="lx_cl(3234006)"><img src="/img/lnk.svg" />Получить ссылку из элемента документа</span></div></div><div name="3234006" id="3234006">12 июня 2017 г.,</div></div><div class="ACT_ESSENTIAL_ELEMENTS_NUM lx_elem" onmousemove="lx_mo(event,3234007)"><div class="lx_elem2"><div class="lx_elem3"><span onclick="lx_sf(3234007)"><img src="/img/cmt.svg" />Предложения по документу</span><span onclick="lx_pa(3234007)"><img src="/img/vlm.svg" />Прослушать аудио</span><span onclick="lx_cl(3234007)"><img src="/img/lnk.svg" />Получить ссылку из элемента документа</span></div></div><div name="3234007" id="3234007">№ ПП-3051</div></div><div class="BY_DEFAULT lx_elem" style="color:#808080;" onmousemove="lx_mo(event,3234030)"><div class="lx_elem2"><div class="lx_elem3"><span onclick="lx_sf(3234030)"><img src="/img/cmt.svg" />Предложения по документу</span><span onclick="lx_pa(3234030)"><img src="/img/vlm.svg" />Прослушать аудио</span><span onclick="lx_cl(3234030)"><img src="/img/lnk.svg" />Получить ссылку из элемента документа</span></div></div><div name="3234030" id="3234030"></div></div><div class="APPL_BANNER_LANDSCAPE_TITLE lx_elem" style="color:#808080;" onmousemove="lx_mo(event,3234032)"><div class="lx_elem2"><div class="lx_elem3"><span onclick="lx_sf(3234032)"><img src="/img/cmt.svg" />Предложения по документу</span><span onclick="lx_pa(3234032)"><img src="/img/vlm.svg" />Прослушать аудио</span><span onclick="lx_cl(3234032)"><img src="/img/lnk.svg" />Получить ссылку из элемента документа</span></div></div><div name="3234032" id="3234032">ПРИЛОЖЕНИЕ № 1<br />к <a href="/ru/docs/3233862">постановлению</a> Президента Республики Узбекистан от 12 июня 2017 года № ПП-3051 </div></div><div class="ACT_FORM lx_elem" style="color:#808080;" onmousemove="lx_mo(event,3234033)"><div class="lx_elem2"><div class="lx_elem3"><span onclick="lx_sf(3234033)"><img src="/img/cmt.svg" />Предложения по документу</span><span onclick="lx_pa(3234033)"><img src="/img/vlm.svg" />Прослушать аудио</span><span onclick="lx_cl(3234033)"><img src="/img/lnk.svg" />Получить ссылку из элемента документа</span></div></div><div name="3234033" id="3234033">Исполнительная структура</div></div><div class="ACT_TITLE_APPL lx_elem" style="color:#808080;" onmousemove="lx_mo(event,3234034)"><div class="lx_elem2"><div class="lx_elem3"><span onclick="lx_sf(3234034)"><img src="/img/cmt.svg" />Предложения по документу</span><span onclick="lx_pa(3234034)"><img src="/img/vlm.svg" />Прослушать аудио</span><span onclick="lx_cl(3234034)"><img src="/img/lnk.svg" />Получить ссылку из элемента документа</span></div></div><div name="3234034" id="3234034">Кабинета Министров Республики Узбекистан</div></div><div class="BY_DEFAULT lx_elem" style="color:#808080;" onmousemove="lx_mo(event,3234035)"><div class="lx_elem2"><div class="lx_elem3"><span onclick="lx_sf(3234035)"><img src="/img/cmt.svg" />Предложения по документу</span><span onclick="lx_pa(3234035)"><img src="/img/vlm.svg" />Прослушать аудио</span><span onclick="lx_cl(3234035)"><img src="/img/lnk.svg" />Получить ссылку из элемента документа</span></div></div><div name="3234035" id="3234035"></div></div><div class="COMMENT"><label id="s3934"></label><div name="edi3446963" id="edi3446963">См. <a href="/ru/docs/3233862?ONDATE=19.06.2017 00#3234036">предыдущую</a> редакцию.</div></div><div class="BY_DEFAULT lx_elem" style="color:#808080;" onmousemove="lx_mo(event,3446963)"><div class="lx_elem2"><div class="lx_elem3"><span onclick="lx_sf(3446963)"><img src="/img/cmt.svg" />Предложения по документу</span><span onclick="lx_pa(3446963)"><img src="/img/vlm.svg" />Прослушать аудио</span><span onclick="lx_cl(3446963)"><img src="/img/lnk.svg" />Получить ссылку из элемента документа</span></div></div><div name="3446963" id="3446963"></div></div><div class="TEXT_CENTER lx_elem" style="color:#808080;" onmousemove="lx_mo(event,3446964)"><div class="lx_elem2"><div class="lx_elem3"><span onclick="lx_sf(3446964)"><img src="/img/cmt.svg" />Предложения по документу</span><span onclick="lx_pa(3446964)"><img src="/img/vlm.svg" />Прослушать аудио</span><span onclick="lx_cl(3446964)"><img src="/img/lnk.svg" />Получить ссылку из элемента документа</span></div></div><div name="3446964" id="3446964"><img src="/ru/files/3446941" /></div></div><div class="FOOTNOTE lx_elem" style="color:#808080;" onmousemove="lx_mo(event,3446965)"><div class="lx_elem2"><div class="lx_elem3"><span onclick="lx_sf(3446965)"><img src="/img/cmt.svg" />Предложения по документу</span><span onclick="lx_pa(3446965)"><img src="/img/vlm.svg" />Прослушать аудио</span><span onclick="lx_cl(3446965)"><img src="/img/lnk.svg" />Получить ссылку из элемента документа</span></div></div><div name="3446965" id="3446965">Всего — 309, в т. ч.: </div></div><div class="FOOTNOTE lx_elem" style="color:#808080;" onmousemove="lx_mo(event,3446966)"><div class="lx_elem2"><div class="lx_elem3"><span onclick="lx_sf(3446966)"><img src="/img/cmt.svg" />Предложения по документу</span><span onclick="lx_pa(3446966)"><img src="/img/vlm.svg" />Прослушать аудио</span><span onclick="lx_cl(3446966)"><img src="/img/lnk.svg" />Получить ссылку из элемента документа</span></div></div><div name="3446966" id="3446966">ответственных работников — 267 единиц; </div></div><div class="FOOTNOTE lx_elem" style="color:#808080;" onmousemove="lx_mo(event,3446967)"><div class="lx_elem2"><div class="lx_elem3"><span onclick="lx_sf(3446967)"><img src="/img/cmt.svg" />Предложения по документу</span><span onclick="lx_pa(3446967)"><img src="/img/vlm.svg" />Прослушать аудио</span><span onclick="lx_cl(3446967)"><img src="/img/lnk.svg" />Получить ссылку из элемента документа</span></div></div><div name="3446967" id="3446967">тех. персонала — 42 единицы. </div></div><div class="CHANGES_ORIGINS" style="color:#808080;"><label id="s1104"></label><div name="3446968" id="3446968">(приложение № 1 в редакции <a href="/ru/docs/3262202?ONDATE=19.07.2017 00#3262677">постановления </a>Президента Республики Узбекистан от 10 июля 2017 года № ПП–3123 — СЗ РУ, 2017 г., № 28, ст. 642)</div></div><div class="COMMENT"><label id="s3935"></label><div name="edi3446968" id="edi3446968">См. <a href="/ru/docs/3233862?ONDATE=28.08.2017 00#edi3446976">последующую</a> редакцию.</div></div><div class="BY_DEFAULT lx_elem" onmousemove="lx_mo(event,3234037)"><div class="lx_elem2"><div class="lx_elem3"><span onclick="lx_sf(3234037)"><img src="/img/cmt.svg" />Предложения по документу</span><span onclick="lx_pa(3234037)"><img src="/img/vlm.svg" />Прослушать аудио</span><span onclick="lx_cl(3234037)"><img src="/img/lnk.svg" />Получить ссылку из элемента документа</span></div></div><div name="3234037" id="3234037"></div></div><div class="APPL_BANNER_LANDSCAPE_TITLE lx_elem" onmousemove="lx_mo(event,3234038)"><div class="lx_elem2"><div class="lx_elem3"><span onclick="lx_sf(3234038)"><img src="/img/cmt.svg" />Предложения по документу</span><span onclick="lx_pa(3234038)"><img src="/img/vlm.svg" />Прослушать аудио</span><span onclick="lx_cl(3234038)"><img src="/img/lnk.svg" />Получить ссылку из элемента документа</span></div></div><div name="3234038" id="3234038">ПРИЛОЖЕНИЕ № 2<br />к <a href="/ru/docs/3233862">постановлению</a> Президента Республики Узбекистан от 12 июня 2017 года № ПП-3051 </div></div><div class="ACT_FORM lx_elem" onmousemove="lx_mo(event,3234039)"><div class="lx_elem2"><div class="lx_elem3"><span onclick="lx_sf(3234039)"><img src="/img/cmt.svg" />Предложения по документу</span><span onclick="lx_pa(3234039)"><img src="/img/vlm.svg" />Прослушать аудио</span><span onclick="lx_cl(3234039)"><img src="/img/lnk.svg" />Получить ссылку из элемента документа</span></div></div><div name="3234039" id="3234039">СТРУКТУРА</div></div><div class="ACT_TITLE_APPL lx_elem" onmousemove="lx_mo(event,3234040)"><div class="lx_elem2"><div class="lx_elem3"><span onclick="lx_sf(3234040)"><img src="/img/cmt.svg" />Предложения по документу</span><span onclick="lx_pa(3234040)"><img src="/img/vlm.svg" />Прослушать аудио</span><span onclick="lx_cl(3234040)"><img src="/img/lnk.svg" />Получить ссылку из элемента документа</span></div></div><div name="3234040" id="3234040">Аппарата Премьер-министра Республики Узбекистан</div></div><div class="BY_DEFAULT lx_elem" onmousemove="lx_mo(event,3234041)"><div class="lx_elem2"><div class="lx_elem3"><span onclick="lx_sf(3234041)"><img src="/img/cmt.svg" />Предложения по документу</span><span onclick="lx_pa(3234041)"><img src="/img/vlm.svg" />Прослушать аудио</span><span onclick="lx_cl(3234041)"><img src="/img/lnk.svg" />Получить ссылку из элемента документа</span></div></div><div name="3234041" id="3234041"></div></div><div class="BY_DEFAULT lx_elem" style="color:#808080;" onmousemove="lx_mo(event,3234042)"><div class="lx_elem2"><div class="lx_elem3"><span onclick="lx_sf(3234042)"><img src="/img/cmt.svg" />Предложения по документу</span><span onclick="lx_pa(3234042)"><img src="/img/vlm.svg" />Прослушать аудио</span><span onclick="lx_cl(3234042)"><img src="/img/lnk.svg" />Получить ссылку из элемента документа</span></div></div><div name="3234042" id="3234042"><table style="BACKGROUND: white; BORDER-COLLAPSE: collapse" cellspacing="0" cellpadding="0" width="100%" border="0">
<tbody>
<tr>
<td style="BORDER-RIGHT: #d4d0c8; PADDING-RIGHT: 2.85pt; BORDER-TOP: #d4d0c8; PADDING-LEFT: 2.85pt; PADDING-BOTTOM: 1.4pt; BORDER-LEFT: #d4d0c8; PADDING-TOP: 1.4pt; BORDER-BOTTOM: #d4d0c8" valign="top" width="92%">
<p><span>Заведующий аппаратом</span></p></td>
<td style="BORDER-RIGHT: #d4d0c8; PADDING-RIGHT: 2.85pt; BORDER-TOP: #d4d0c8; PADDING-LEFT: 2.85pt; PADDING-BOTTOM: 1.4pt; BORDER-LEFT: #d4d0c8; PADDING-TOP: 1.4pt; BORDER-BOTTOM: #d4d0c8" valign="top" width="7%">
<p align="center"><span>1</span></p></td></tr>
<tr>
<td style="BORDER-RIGHT: #d4d0c8; PADDING-RIGHT: 2.85pt; BORDER-TOP: #d4d0c8; PADDING-LEFT: 2.85pt; PADDING-BOTTOM: 1.4pt; BORDER-LEFT: #d4d0c8; PADDING-TOP: 1.4pt; BORDER-BOTTOM: #d4d0c8" valign="top" width="92%">
<p><span>Помощник Премьер-министра Республики Узбекистан по вопросам организации контроля и исполнения поручений Президента Республики Узбекистан, Аппарата Президента и Премьер-министра Республики Узбекистан</span></p></td>
<td style="BORDER-RIGHT: #d4d0c8; PADDING-RIGHT: 2.85pt; BORDER-TOP: #d4d0c8; PADDING-LEFT: 2.85pt; PADDING-BOTTOM: 1.4pt; BORDER-LEFT: #d4d0c8; PADDING-TOP: 1.4pt; BORDER-BOTTOM: #d4d0c8" valign="top" width="7%">
<p align="center"><span>1</span></p></td></tr>
<tr>
<td style="BORDER-RIGHT: #d4d0c8; PADDING-RIGHT: 2.85pt; BORDER-TOP: #d4d0c8; PADDING-LEFT: 2.85pt; PADDING-BOTTOM: 1.4pt; BORDER-LEFT: #d4d0c8; PADDING-TOP: 1.4pt; BORDER-BOTTOM: #d4d0c8" valign="top" width="92%">
<p><span>Помощник Премьер-министра Республики Узбекистан по вопросам рассмотрения и подготовки к докладу корреспонденций и документов, поступающих в адрес Премьер-министра</span></p></td>
<td style="BORDER-RIGHT: #d4d0c8; PADDING-RIGHT: 2.85pt; BORDER-TOP: #d4d0c8; PADDING-LEFT: 2.85pt; PADDING-BOTTOM: 1.4pt; BORDER-LEFT: #d4d0c8; PADDING-TOP: 1.4pt; BORDER-BOTTOM: #d4d0c8" valign="top" width="7%">
<p align="center"><span>1</span></p></td></tr>
<tr>
<td style="BORDER-RIGHT: #d4d0c8; PADDING-RIGHT: 2.85pt; BORDER-TOP: #d4d0c8; PADDING-LEFT: 2.85pt; PADDING-BOTTOM: 1.4pt; BORDER-LEFT: #d4d0c8; PADDING-TOP: 1.4pt; BORDER-BOTTOM: #d4d0c8" valign="top" width="92%">
<p><span>Помощник Премьер-министра Республики Узбекистан по связям со СМИ</span></p></td>
<td style="BORDER-RIGHT: #d4d0c8; PADDING-RIGHT: 2.85pt; BORDER-TOP: #d4d0c8; PADDING-LEFT: 2.85pt; PADDING-BOTTOM: 1.4pt; BORDER-LEFT: #d4d0c8; PADDING-TOP: 1.4pt; BORDER-BOTTOM: #d4d0c8" valign="top" width="7%">
<p align="center"><span>1</span></p></td></tr>
<tr>
<td style="BORDER-RIGHT: #d4d0c8; PADDING-RIGHT: 2.85pt; BORDER-TOP: #d4d0c8; PADDING-LEFT: 2.85pt; PADDING-BOTTOM: 1.4pt; BORDER-LEFT: #d4d0c8; PADDING-TOP: 1.4pt; BORDER-BOTTOM: #d4d0c8" valign="top" width="92%">
<p><span>Главный специалист по вопросам координации подготовки аналитических материалов и докладов Премьер-министра к заседаниям (совещаниям, переговорам)</span></p></td>
<td style="BORDER-RIGHT: #d4d0c8; PADDING-RIGHT: 2.85pt; BORDER-TOP: #d4d0c8; PADDING-LEFT: 2.85pt; PADDING-BOTTOM: 1.4pt; BORDER-LEFT: #d4d0c8; PADDING-TOP: 1.4pt; BORDER-BOTTOM: #d4d0c8" valign="top" width="7%">
<p align="center"><span>1</span></p></td></tr>
<tr>
<td style="BORDER-RIGHT: #d4d0c8; PADDING-RIGHT: 2.85pt; BORDER-TOP: #d4d0c8; PADDING-LEFT: 2.85pt; PADDING-BOTTOM: 1.4pt; BORDER-LEFT: #d4d0c8; PADDING-TOP: 1.4pt; BORDER-BOTTOM: #d4d0c8" valign="top" width="92%">
<p><span>Главный специалист по вопросам финансового и материально- технического обеспечения Министерства обороны, СНБ и КОГГ СНБ Республики Узбекистан</span></p></td>
<td style="BORDER-RIGHT: #d4d0c8; PADDING-RIGHT: 2.85pt; BORDER-TOP: #d4d0c8; PADDING-LEFT: 2.85pt; PADDING-BOTTOM: 1.4pt; BORDER-LEFT: #d4d0c8; PADDING-TOP: 1.4pt; BORDER-BOTTOM: #d4d0c8" valign="top" width="7%">
<p align="center"><span>1</span></p></td></tr>
<tr>
<td style="BORDER-RIGHT: #d4d0c8; PADDING-RIGHT: 2.85pt; BORDER-TOP: #d4d0c8; PADDING-LEFT: 2.85pt; PADDING-BOTTOM: 1.4pt; BORDER-LEFT: #d4d0c8; PADDING-TOP: 1.4pt; BORDER-BOTTOM: #d4d0c8" valign="top" width="92%">
<p><span>Главный специалист по вопросам финансового и материально-технического обеспечения МВД</span></p></td>
<td style="BORDER-RIGHT: #d4d0c8; PADDING-RIGHT: 2.85pt; BORDER-TOP: #d4d0c8; PADDING-LEFT: 2.85pt; PADDING-BOTTOM: 1.4pt; BORDER-LEFT: #d4d0c8; PADDING-TOP: 1.4pt; BORDER-BOTTOM: #d4d0c8" valign="top" width="7%">
<p align="center"><span>1</span></p></td></tr>
<tr>
<td style="BORDER-RIGHT: #d4d0c8; PADDING-RIGHT: 2.85pt; BORDER-TOP: #d4d0c8; PADDING-LEFT: 2.85pt; PADDING-BOTTOM: 1.4pt; BORDER-LEFT: #d4d0c8; PADDING-TOP: 1.4pt; BORDER-BOTTOM: #d4d0c8" valign="top" width="92%">
<p><span>Инспектор (в дневное время)</span></p></td>
<td style="BORDER-RIGHT: #d4d0c8; PADDING-RIGHT: 2.85pt; BORDER-TOP: #d4d0c8; PADDING-LEFT: 2.85pt; PADDING-BOTTOM: 1.4pt; BORDER-LEFT: #d4d0c8; PADDING-TOP: 1.4pt; BORDER-BOTTOM: #d4d0c8" valign="top" width="7%">
<p align="center"><span>2</span></p></td></tr>
<tr>
<td style="BORDER-RIGHT: #d4d0c8; PADDING-RIGHT: 2.85pt; BORDER-TOP: #d4d0c8; PADDING-LEFT: 2.85pt; PADDING-BOTTOM: 1.4pt; BORDER-LEFT: #d4d0c8; PADDING-TOP: 1.4pt; BORDER-BOTTOM: #d4d0c8" valign="top" width="92%">
<p><span>Инспектор (в ночное время)</span></p></td>
<td style="BORDER-RIGHT: #d4d0c8; PADDING-RIGHT: 2.85pt; BORDER-TOP: #d4d0c8; PADDING-LEFT: 2.85pt; PADDING-BOTTOM: 1.4pt; BORDER-LEFT: #d4d0c8; PADDING-TOP: 1.4pt; BORDER-BOTTOM: #d4d0c8" valign="top" width="7%">
<p align="center"><span>3</span></p></td></tr>
<tr>
<td style="BORDER-RIGHT: #d4d0c8; PADDING-RIGHT: 2.85pt; BORDER-TOP: #d4d0c8; PADDING-LEFT: 2.85pt; PADDING-BOTTOM: 1.4pt; BORDER-LEFT: #d4d0c8; PADDING-TOP: 1.4pt; BORDER-BOTTOM: #d4d0c8" valign="top" width="92%">
<p align="center"><b><span>Всего:</span></b></p></td>
<td style="BORDER-RIGHT: #d4d0c8; PADDING-RIGHT: 2.85pt; BORDER-TOP: #d4d0c8; PADDING-LEFT: 2.85pt; PADDING-BOTTOM: 1.4pt; BORDER-LEFT: #d4d0c8; PADDING-TOP: 1.4pt; BORDER-BOTTOM: #d4d0c8" valign="top" width="7%">
<p align="center"><b><span>12</span></b></p></td></tr></tbody></table></div></div><div class="COMMENT"><label id="s3935"></label><div name="edi3234042" id="edi3234042">См. <a href="/ru/docs/3233862?ONDATE=07.06.2018 00#edi3787275">последующую</a> редакцию.</div></div><div class="BY_DEFAULT lx_elem" onmousemove="lx_mo(event,3234043)"><div class="lx_elem2"><div class="lx_elem3"><span onclick="lx_sf(3234043)"><img src="/img/cmt.svg" />Предложения по документу</span><span onclick="lx_pa(3234043)"><img src="/img/vlm.svg" />Прослушать аудио</span><span onclick="lx_cl(3234043)"><img src="/img/lnk.svg" />Получить ссылку из элемента документа</span></div></div><div name="3234043" id="3234043"></div></div><div class="APPL_BANNER_LANDSCAPE_TITLE lx_elem" onmousemove="lx_mo(event,3234044)"><div class="lx_elem2"><div class="lx_elem3"><span onclick="lx_sf(3234044)"><img src="/img/cmt.svg" />Предложения по документу</span><span onclick="lx_pa(3234044)"><img src="/img/vlm.svg" />Прослушать аудио</span><span onclick="lx_cl(3234044)"><img src="/img/lnk.svg" />Получить ссылку из элемента документа</span></div></div><div name="3234044" id="3234044">ПРИЛОЖЕНИЕ № 3<br />к <a href="/ru/docs/3233862">постановлению</a> Президента Республики Узбекистан от 12 июня 2017 года № ПП-3051 </div></div><div class="ACT_FORM lx_elem" onmousemove="lx_mo(event,3234045)"><div class="lx_elem2"><div class="lx_elem3"><span onclick="lx_sf(3234045)"><img src="/img/cmt.svg" />Предложения по документу</span><span onclick="lx_pa(3234045)"><img src="/img/vlm.svg" />Прослушать аудио</span><span onclick="lx_cl(3234045)"><img src="/img/lnk.svg" />Получить ссылку из элемента документа</span></div></div><div name="3234045" id="3234045">СТРУКТУРА</div></div><div class="ACT_TITLE_APPL lx_elem" onmousemove="lx_mo(event,3234047)"><div class="lx_elem2"><div class="lx_elem3"><span onclick="lx_sf(3234047)"><img src="/img/cmt.svg" />Предложения по документу</span><span onclick="lx_pa(3234047)"><img src="/img/vlm.svg" />Прослушать аудио</span><span onclick="lx_cl(3234047)"><img src="/img/lnk.svg" />Получить ссылку из элемента документа</span></div></div><div name="3234047" id="3234047">Аппарата Управляющего аппарата Кабинета Министров Республики Узбекистан</div></div><div class="BY_DEFAULT lx_elem" onmousemove="lx_mo(event,3234048)"><div class="lx_elem2"><div class="lx_elem3"><span onclick="lx_sf(3234048)"><img src="/img/cmt.svg" />Предложения по документу</span><span onclick="lx_pa(3234048)"><img src="/img/vlm.svg" />Прослушать аудио</span><span onclick="lx_cl(3234048)"><img src="/img/lnk.svg" />Получить ссылку из элемента документа</span></div></div><div name="3234048" id="3234048"></div></div><div class="BY_DEFAULT lx_elem" onmousemove="lx_mo(event,3234067)"><div class="lx_elem2"><div class="lx_elem3"><span onclick="lx_sf(3234067)"><img src="/img/cmt.svg" />Предложения по документу</span><span onclick="lx_pa(3234067)"><img src="/img/vlm.svg" />Прослушать аудио</span><span onclick="lx_cl(3234067)"><img src="/img/lnk.svg" />Получить ссылку из элемента документа</span></div></div><div name="3234067" id="3234067"><table style="BACKGROUND: white; BORDER-COLLAPSE: collapse" cellspacing="0" cellpadding="0" width="100%" border="0">
<tbody>
<tr>
<td style="BORDER-RIGHT: #ece9d8; PADDING-RIGHT: 2.85pt; BORDER-TOP: #ece9d8; PADDING-LEFT: 2.85pt; PADDING-BOTTOM: 1.4pt; BORDER-LEFT: #ece9d8; PADDING-TOP: 1.4pt; BORDER-BOTTOM: #ece9d8" valign="top" width="100%" colspan="2"></td></tr>
<tr>
<td style="BORDER-RIGHT: #ece9d8; PADDING-RIGHT: 2.85pt; BORDER-TOP: #ece9d8; PADDING-LEFT: 2.85pt; PADDING-BOTTOM: 1.4pt; BORDER-LEFT: #ece9d8; PADDING-TOP: 1.4pt; BORDER-BOTTOM: #ece9d8" valign="top" width="97%">
<p>Управляющий аппарата Кабинета Министров Республики Узбекистан</p></td>
<td style="BORDER-RIGHT: #ece9d8; PADDING-RIGHT: 2.85pt; BORDER-TOP: #ece9d8; PADDING-LEFT: 2.85pt; PADDING-BOTTOM: 1.4pt; BORDER-LEFT: #ece9d8; PADDING-TOP: 1.4pt; BORDER-BOTTOM: #ece9d8" valign="top" width="2%">
<p align="center">1</p></td></tr>
<tr>
<td style="BORDER-RIGHT: #ece9d8; PADDING-RIGHT: 2.85pt; BORDER-TOP: #ece9d8; PADDING-LEFT: 2.85pt; PADDING-BOTTOM: 1.4pt; BORDER-LEFT: #ece9d8; PADDING-TOP: 1.4pt; BORDER-BOTTOM: #ece9d8" valign="top" width="100%" colspan="2">
<p align="center"><b>Аппарат Управляющего аппарата</b></p></td></tr>
<tr>
<td style="BORDER-RIGHT: #ece9d8; PADDING-RIGHT: 2.85pt; BORDER-TOP: #ece9d8; PADDING-LEFT: 2.85pt; PADDING-BOTTOM: 1.4pt; BORDER-LEFT: #ece9d8; PADDING-TOP: 1.4pt; BORDER-BOTTOM: #ece9d8" valign="top" width="98%">
<p>Ведущий специалист</p></td>
<td style="BORDER-RIGHT: #ece9d8; PADDING-RIGHT: 2.85pt; BORDER-TOP: #ece9d8; PADDING-LEFT: 2.85pt; PADDING-BOTTOM: 1.4pt; BORDER-LEFT: #ece9d8; PADDING-TOP: 1.4pt; BORDER-BOTTOM: #ece9d8" valign="top" width="1%">
<p align="center">1</p></td></tr>
<tr>
<td style="BORDER-RIGHT: #ece9d8; PADDING-RIGHT: 2.85pt; BORDER-TOP: #ece9d8; PADDING-LEFT: 2.85pt; PADDING-BOTTOM: 1.4pt; BORDER-LEFT: #ece9d8; PADDING-TOP: 1.4pt; BORDER-BOTTOM: #ece9d8" valign="top" width="98%">
<p>Инспектор</p></td>
<td style="BORDER-RIGHT: #ece9d8; PADDING-RIGHT: 2.85pt; BORDER-TOP: #ece9d8; PADDING-LEFT: 2.85pt; PADDING-BOTTOM: 1.4pt; BORDER-LEFT: #ece9d8; PADDING-TOP: 1.4pt; BORDER-BOTTOM: #ece9d8" valign="top" width="1%">
<p align="center">1</p></td></tr>
<tr>
<td style="BORDER-RIGHT: #ece9d8; PADDING-RIGHT: 2.85pt; BORDER-TOP: #ece9d8; PADDING-LEFT: 2.85pt; PADDING-BOTTOM: 1.4pt; BORDER-LEFT: #ece9d8; PADDING-TOP: 1.4pt; BORDER-BOTTOM: #ece9d8" valign="top" width="98%">
<p align="center"><b>Всего:</b></p></td>
<td style="BORDER-RIGHT: #ece9d8; PADDING-RIGHT: 2.85pt; BORDER-TOP: #ece9d8; PADDING-LEFT: 2.85pt; PADDING-BOTTOM: 1.4pt; BORDER-LEFT: #ece9d8; PADDING-TOP: 1.4pt; BORDER-BOTTOM: #ece9d8" valign="top" width="1%">
<p align="center"><b>3</b></p></td></tr>
<tr>
<td style="BORDER-RIGHT: #ece9d8; PADDING-RIGHT: 2.85pt; BORDER-TOP: #ece9d8; PADDING-LEFT: 2.85pt; PADDING-BOTTOM: 1.4pt; BORDER-LEFT: #ece9d8; PADDING-TOP: 1.4pt; BORDER-BOTTOM: #ece9d8" valign="top" width="100%" colspan="2">
<p align="center"><b>СТРУКТУРА<br />аппарата заместителя Управляющего аппарата Кабинета <br />Министров Республики Узбекистан по вопросам правовой <br />экспертизы</b></p></td></tr>
<tr>
<td style="BORDER-RIGHT: #ece9d8; PADDING-RIGHT: 2.85pt; BORDER-TOP: #ece9d8; PADDING-LEFT: 2.85pt; PADDING-BOTTOM: 1.4pt; BORDER-LEFT: #ece9d8; PADDING-TOP: 1.4pt; BORDER-BOTTOM: #ece9d8" valign="top" width="98%">
<p>Заместитель Управляющего аппарата Кабинета Министров Республики Узбекистан по вопросам правовой экспертизы</p></td>
<td style="BORDER-RIGHT: #ece9d8; PADDING-RIGHT: 2.85pt; BORDER-TOP: #ece9d8; PADDING-LEFT: 2.85pt; PADDING-BOTTOM: 1.4pt; BORDER-LEFT: #ece9d8; PADDING-TOP: 1.4pt; BORDER-BOTTOM: #ece9d8" valign="top" width="1%">
<p align="center"><span>1</span></p></td></tr>
<tr>
<td style="BORDER-RIGHT: #ece9d8; PADDING-RIGHT: 2.85pt; BORDER-TOP: #ece9d8; PADDING-LEFT: 2.85pt; PADDING-BOTTOM: 1.4pt; BORDER-LEFT: #ece9d8; PADDING-TOP: 1.4pt; BORDER-BOTTOM: #ece9d8" valign="top" width="100%" colspan="2">
<p align="center"><b>Аппарат заместителя Управляющего аппарата</b></p></td></tr>
<tr>
<td style="BORDER-RIGHT: #ece9d8; PADDING-RIGHT: 2.85pt; BORDER-TOP: #ece9d8; PADDING-LEFT: 2.85pt; PADDING-BOTTOM: 1.4pt; BORDER-LEFT: #ece9d8; PADDING-TOP: 1.4pt; BORDER-BOTTOM: #ece9d8" valign="top" width="97%">
<p>Ведущий специалист</p></td>
<td style="BORDER-RIGHT: #ece9d8; PADDING-RIGHT: 2.85pt; BORDER-TOP: #ece9d8; PADDING-LEFT: 2.85pt; PADDING-BOTTOM: 1.4pt; BORDER-LEFT: #ece9d8; PADDING-TOP: 1.4pt; BORDER-BOTTOM: #ece9d8" valign="top" width="2%">
<p align="center">1</p></td></tr>
<tr>
<td style="BORDER-RIGHT: #ece9d8; PADDING-RIGHT: 2.85pt; BORDER-TOP: #ece9d8; PADDING-LEFT: 2.85pt; PADDING-BOTTOM: 1.4pt; BORDER-LEFT: #ece9d8; PADDING-TOP: 1.4pt; BORDER-BOTTOM: #ece9d8" valign="top" width="97%">
<p>Инспектор</p></td>
<td style="BORDER-RIGHT: #ece9d8; PADDING-RIGHT: 2.85pt; BORDER-TOP: #ece9d8; PADDING-LEFT: 2.85pt; PADDING-BOTTOM: 1.4pt; BORDER-LEFT: #ece9d8; PADDING-TOP: 1.4pt; BORDER-BOTTOM: #ece9d8" valign="top" width="2%">
<p align="center">1</p></td></tr>
<tr>
<td style="BORDER-RIGHT: #ece9d8; PADDING-RIGHT: 2.85pt; BORDER-TOP: #ece9d8; PADDING-LEFT: 2.85pt; PADDING-BOTTOM: 1.4pt; BORDER-LEFT: #ece9d8; PADDING-TOP: 1.4pt; BORDER-BOTTOM: #ece9d8" valign="top" width="97%">
<p align="center"><b>Всего:</b></p></td>
<td style="BORDER-RIGHT: #ece9d8; PADDING-RIGHT: 2.85pt; BORDER-TOP: #ece9d8; PADDING-LEFT: 2.85pt; PADDING-BOTTOM: 1.4pt; BORDER-LEFT: #ece9d8; PADDING-TOP: 1.4pt; BORDER-BOTTOM: #ece9d8" valign="top" width="2%">
<p align="center"><b>3</b></p></td></tr>
<tr>
<td style="BORDER-RIGHT: #ece9d8; PADDING-RIGHT: 2.85pt; BORDER-TOP: #ece9d8; PADDING-LEFT: 2.85pt; PADDING-BOTTOM: 1.4pt; BORDER-LEFT: #ece9d8; PADDING-TOP: 1.4pt; BORDER-BOTTOM: #ece9d8" valign="top" width="100%" colspan="2">
<p align="center"><b>СТРУКТУРА<br />аппарата заместителя Управляющего аппарата Кабинета <br />Министров Республики Узбекистан по вопросам укрепления исполнительской дисциплины</b></p></td></tr>
<tr>
<td style="BORDER-RIGHT: #ece9d8; PADDING-RIGHT: 2.85pt; BORDER-TOP: #ece9d8; PADDING-LEFT: 2.85pt; PADDING-BOTTOM: 1.4pt; BORDER-LEFT: #ece9d8; PADDING-TOP: 1.4pt; BORDER-BOTTOM: #ece9d8" valign="top" width="97%">
<p>Заместитель Управляющего аппарата Кабинета Министров Республики Узбекистан по вопросам укрепления исполнительской дисциплины</p></td>
<td style="BORDER-RIGHT: #ece9d8; PADDING-RIGHT: 2.85pt; BORDER-TOP: #ece9d8; PADDING-LEFT: 2.85pt; PADDING-BOTTOM: 1.4pt; BORDER-LEFT: #ece9d8; PADDING-TOP: 1.4pt; BORDER-BOTTOM: #ece9d8" valign="top" width="2%">
<p align="center"><span>1</span></p></td></tr>
<tr>
<td style="BORDER-RIGHT: #ece9d8; PADDING-RIGHT: 2.85pt; BORDER-TOP: #ece9d8; PADDING-LEFT: 2.85pt; PADDING-BOTTOM: 1.4pt; BORDER-LEFT: #ece9d8; PADDING-TOP: 1.4pt; BORDER-BOTTOM: #ece9d8" valign="top" width="100%" colspan="2">
<p align="center"><b>Аппарат заместителя Управляющего аппарата</b></p></td></tr>
<tr>
<td style="BORDER-RIGHT: #ece9d8; PADDING-RIGHT: 2.85pt; BORDER-TOP: #ece9d8; PADDING-LEFT: 2.85pt; PADDING-BOTTOM: 1.4pt; BORDER-LEFT: #ece9d8; PADDING-TOP: 1.4pt; BORDER-BOTTOM: #ece9d8" valign="top" width="97%">
<p>Ведущий специалист</p></td>
<td style="BORDER-RIGHT: #ece9d8; PADDING-RIGHT: 2.85pt; BORDER-TOP: #ece9d8; PADDING-LEFT: 2.85pt; PADDING-BOTTOM: 1.4pt; BORDER-LEFT: #ece9d8; PADDING-TOP: 1.4pt; BORDER-BOTTOM: #ece9d8" valign="top" width="2%">
<p align="center">1</p></td></tr>
<tr>
<td style="BORDER-RIGHT: #ece9d8; PADDING-RIGHT: 2.85pt; BORDER-TOP: #ece9d8; PADDING-LEFT: 2.85pt; PADDING-BOTTOM: 1.4pt; BORDER-LEFT: #ece9d8; PADDING-TOP: 1.4pt; BORDER-BOTTOM: #ece9d8" valign="top" width="97%">
<p>Инспектор</p></td>
<td style="BORDER-RIGHT: #ece9d8; PADDING-RIGHT: 2.85pt; BORDER-TOP: #ece9d8; PADDING-LEFT: 2.85pt; PADDING-BOTTOM: 1.4pt; BORDER-LEFT: #ece9d8; PADDING-TOP: 1.4pt; BORDER-BOTTOM: #ece9d8" valign="top" width="2%">
<p align="center">1</p></td></tr>
<tr>
<td style="BORDER-RIGHT: #ece9d8; PADDING-RIGHT: 2.85pt; BORDER-TOP: #ece9d8; PADDING-LEFT: 2.85pt; PADDING-BOTTOM: 1.4pt; BORDER-LEFT: #ece9d8; PADDING-TOP: 1.4pt; BORDER-BOTTOM: #ece9d8" valign="top" width="97%">
<p align="center"><b>Всего:</b></p></td>
<td style="BORDER-RIGHT: #ece9d8; PADDING-RIGHT: 2.85pt; BORDER-TOP: #ece9d8; PADDING-LEFT: 2.85pt; PADDING-BOTTOM: 1.4pt; BORDER-LEFT: #ece9d8; PADDING-TOP: 1.4pt; BORDER-BOTTOM: #ece9d8" valign="top" width="2%">
<p align="center"><b>3</b></p></td></tr></tbody></table></div></div><div class="BY_DEFAULT lx_elem" style="color:#808080;" onmousemove="lx_mo(event,3234068)"><div class="lx_elem2"><div class="lx_elem3"><span onclick="lx_sf(3234068)"><img src="/img/cmt.svg" />Предложения по документу</span><span onclick="lx_pa(3234068)"><img src="/img/vlm.svg" />Прослушать аудио</span><span onclick="lx_cl(3234068)"><img src="/img/lnk.svg" />Получить ссылку из элемента документа</span></div></div><div name="3234068" id="3234068"></div></div><div class="APPL_BANNER_LANDSCAPE_TITLE lx_elem" style="color:#808080;" onmousemove="lx_mo(event,3234069)"><div class="lx_elem2"><div class="lx_elem3"><span onclick="lx_sf(3234069)"><img src="/img/cmt.svg" />Предложения по документу</span><span onclick="lx_pa(3234069)"><img src="/img/vlm.svg" />Прослушать аудио</span><span onclick="lx_cl(3234069)"><img src="/img/lnk.svg" />Получить ссылку из элемента документа</span></div></div><div name="3234069" id="3234069">ПРИЛОЖЕНИЕ № 4<br />к <a href="/ru/docs/3233862">постановлению</a> Президента Республики Узбекистан от 12 июня 2017 года № ПП-3051 </div></div><div class="BY_DEFAULT lx_elem" style="color:#808080;" onmousemove="lx_mo(event,3238704)"><div class="lx_elem2"><div class="lx_elem3"><span onclick="lx_sf(3238704)"><img src="/img/cmt.svg" />Предложения по документу</span><span onclick="lx_pa(3238704)"><img src="/img/vlm.svg" />Прослушать аудио</span><span onclick="lx_cl(3238704)"><img src="/img/lnk.svg" />Получить ссылку из элемента документа</span></div></div><div name="3238704" id="3238704"></div></div><div class="BY_DEFAULT lx_elem" style="color:#808080;" onmousemove="lx_mo(event,3238705)"><div class="lx_elem2"><div class="lx_elem3"><span onclick="lx_sf(3238705)"><img src="/img/cmt.svg" />Предложения по документу</span><span onclick="lx_pa(3238705)"><img src="/img/vlm.svg" />Прослушать аудио</span><span onclick="lx_cl(3238705)"><img src="/img/lnk.svg" />Получить ссылку из элемента документа</span></div></div><div name="3238705" id="3238705"><table style="BORDER-COLLAPSE: collapse; BACKGROUND: white" border="0" cellspacing="0" cellpadding="0" width="100%">
<tbody>
<tr>
<td style="BORDER-BOTTOM: #ece9d8; BORDER-LEFT: #ece9d8; PADDING-BOTTOM: 1.4pt; PADDING-LEFT: 2.85pt; PADDING-RIGHT: 2.85pt; BORDER-TOP: #ece9d8; BORDER-RIGHT: #ece9d8; PADDING-TOP: 1.4pt" valign="top" width="100%" colspan="2">
<p align="center"><b><span>СТРУКТУРА<br />аппарата первого заместителя Премьер-министра Республики Узбекистан — председателя правления АО «Узбекистон темир <br />йуллари» — руководителя Комплекса по вопросам комплексного развития территорий и коммунальной сферы, транспорта, <br />капитального строительства, стройиндустрии</span></b></p></td></tr>
<tr>
<td style="BORDER-BOTTOM: #ece9d8; BORDER-LEFT: #ece9d8; PADDING-BOTTOM: 1.4pt; PADDING-LEFT: 2.85pt; PADDING-RIGHT: 2.85pt; BORDER-TOP: #ece9d8; BORDER-RIGHT: #ece9d8; PADDING-TOP: 1.4pt" valign="top" width="100%" colspan="2">
<p align="center"></p></td></tr>
<tr>
<td style="BORDER-BOTTOM: #ece9d8; BORDER-LEFT: #ece9d8; PADDING-BOTTOM: 1.4pt; PADDING-LEFT: 2.85pt; PADDING-RIGHT: 2.85pt; BORDER-TOP: #ece9d8; BORDER-RIGHT: #ece9d8; PADDING-TOP: 1.4pt" valign="top" width="92%">
<p><span>Помощник первого заместителя Премьер-министра Республики Узбекистан</span></p></td>
<td style="BORDER-BOTTOM: #ece9d8; BORDER-LEFT: #ece9d8; PADDING-BOTTOM: 1.4pt; PADDING-LEFT: 2.85pt; PADDING-RIGHT: 2.85pt; BORDER-TOP: #ece9d8; BORDER-RIGHT: #ece9d8; PADDING-TOP: 1.4pt" valign="top" width="7%">
<p align="center"><span>1</span></p></td></tr>
<tr>
<td style="BORDER-BOTTOM: #ece9d8; BORDER-LEFT: #ece9d8; PADDING-BOTTOM: 1.4pt; PADDING-LEFT: 2.85pt; PADDING-RIGHT: 2.85pt; BORDER-TOP: #ece9d8; BORDER-RIGHT: #ece9d8; PADDING-TOP: 1.4pt" valign="top" width="92%">
<p><span>Инспектор</span></p></td>
<td style="BORDER-BOTTOM: #ece9d8; BORDER-LEFT: #ece9d8; PADDING-BOTTOM: 1.4pt; PADDING-LEFT: 2.85pt; PADDING-RIGHT: 2.85pt; BORDER-TOP: #ece9d8; BORDER-RIGHT: #ece9d8; PADDING-TOP: 1.4pt" valign="top" width="7%">
<p align="center"><span>1</span></p></td></tr>
<tr>
<td style="BORDER-BOTTOM: #ece9d8; BORDER-LEFT: #ece9d8; PADDING-BOTTOM: 1.4pt; PADDING-LEFT: 2.85pt; PADDING-RIGHT: 2.85pt; BORDER-TOP: #ece9d8; BORDER-RIGHT: #ece9d8; PADDING-TOP: 1.4pt" valign="top" width="92%">
<p align="center"><b><span>Всего:</span></b></p></td>
<td style="BORDER-BOTTOM: #ece9d8; BORDER-LEFT: #ece9d8; PADDING-BOTTOM: 1.4pt; PADDING-LEFT: 2.85pt; PADDING-RIGHT: 2.85pt; BORDER-TOP: #ece9d8; BORDER-RIGHT: #ece9d8; PADDING-TOP: 1.4pt" valign="top" width="7%">
<p align="center"><b><span>2</span></b></p></td></tr>
<tr>
<td style="BORDER-BOTTOM: #ece9d8; BORDER-LEFT: #ece9d8; PADDING-BOTTOM: 1.4pt; PADDING-LEFT: 2.85pt; PADDING-RIGHT: 2.85pt; BORDER-TOP: #ece9d8; BORDER-RIGHT: #ece9d8; PADDING-TOP: 1.4pt" valign="top" width="100%" colspan="2">
<p align="center"><b><span><br /><br />СТРУКТУРА<br />аппарата заместителя Премьер-министра Республики Узбекистан — руководителя Комплекса по вопросам экономического развития, структурных преобразований, инвестиций, реформирования банковской и финансовой систем, координации деятельности свободных экономических и малых промышленных зон</span></b></p></td></tr>
<tr>
<td style="BORDER-BOTTOM: #ece9d8; BORDER-LEFT: #ece9d8; PADDING-BOTTOM: 1.4pt; PADDING-LEFT: 2.85pt; PADDING-RIGHT: 2.85pt; BORDER-TOP: #ece9d8; BORDER-RIGHT: #ece9d8; PADDING-TOP: 1.4pt" valign="top" width="100%" colspan="2">
<p align="center"><b></b></p></td></tr>
<tr>
<td style="BORDER-BOTTOM: #ece9d8; BORDER-LEFT: #ece9d8; PADDING-BOTTOM: 1.4pt; PADDING-LEFT: 2.85pt; PADDING-RIGHT: 2.85pt; BORDER-TOP: #ece9d8; BORDER-RIGHT: #ece9d8; PADDING-TOP: 1.4pt" valign="top" width="92%">
<p><span>Помощник заместителя Премьер-министра Республики Узбекистан</span></p></td>
<td style="BORDER-BOTTOM: #ece9d8; BORDER-LEFT: #ece9d8; PADDING-BOTTOM: 1.4pt; PADDING-LEFT: 2.85pt; PADDING-RIGHT: 2.85pt; BORDER-TOP: #ece9d8; BORDER-RIGHT: #ece9d8; PADDING-TOP: 1.4pt" valign="top" width="7%">
<p align="center"><span>1</span></p></td></tr>
<tr>
<td style="BORDER-BOTTOM: #ece9d8; BORDER-LEFT: #ece9d8; PADDING-BOTTOM: 1.4pt; PADDING-LEFT: 2.85pt; PADDING-RIGHT: 2.85pt; BORDER-TOP: #ece9d8; BORDER-RIGHT: #ece9d8; PADDING-TOP: 1.4pt" valign="top" width="92%">
<p><span>Инспектор</span></p></td>
<td style="BORDER-BOTTOM: #ece9d8; BORDER-LEFT: #ece9d8; PADDING-BOTTOM: 1.4pt; PADDING-LEFT: 2.85pt; PADDING-RIGHT: 2.85pt; BORDER-TOP: #ece9d8; BORDER-RIGHT: #ece9d8; PADDING-TOP: 1.4pt" valign="top" width="7%">
<p align="center"><span>1</span></p></td></tr>
<tr>
<td style="BORDER-BOTTOM: #ece9d8; BORDER-LEFT: #ece9d8; PADDING-BOTTOM: 1.4pt; PADDING-LEFT: 2.85pt; PADDING-RIGHT: 2.85pt; BORDER-TOP: #ece9d8; BORDER-RIGHT: #ece9d8; PADDING-TOP: 1.4pt" valign="top" width="92%">
<p align="center"><b><span>Всего:</span></b></p></td>
<td style="BORDER-BOTTOM: #ece9d8; BORDER-LEFT: #ece9d8; PADDING-BOTTOM: 1.4pt; PADDING-LEFT: 2.85pt; PADDING-RIGHT: 2.85pt; BORDER-TOP: #ece9d8; BORDER-RIGHT: #ece9d8; PADDING-TOP: 1.4pt" valign="top" width="7%">
<p align="center"><b><span>2</span></b></p></td></tr>
<tr>
<td style="BORDER-BOTTOM: #ece9d8; BORDER-LEFT: #ece9d8; PADDING-BOTTOM: 1.4pt; PADDING-LEFT: 2.85pt; PADDING-RIGHT: 2.85pt; BORDER-TOP: #ece9d8; BORDER-RIGHT: #ece9d8; PADDING-TOP: 1.4pt" valign="top" width="100%" colspan="2">
<p align="center"><b><br /></b></p>
<p align="center"><b><span>СТРУКТУРА<br />аппарата заместителя Премьер-министра — министра сельского и водного хозяйства Республики Узбекистан — руководителя Комплекса по вопросам сельского и водного хозяйства, переработки сельскохозяйственной продукции и потребительских товаров</span></b></p></td></tr>
<tr>
<td style="BORDER-BOTTOM: #ece9d8; BORDER-LEFT: #ece9d8; PADDING-BOTTOM: 1.4pt; PADDING-LEFT: 2.85pt; PADDING-RIGHT: 2.85pt; BORDER-TOP: #ece9d8; BORDER-RIGHT: #ece9d8; PADDING-TOP: 1.4pt" valign="top" width="100%" colspan="2">
<p align="center"><b></b></p></td></tr>
<tr>
<td style="BORDER-BOTTOM: #ece9d8; BORDER-LEFT: #ece9d8; PADDING-BOTTOM: 1.4pt; PADDING-LEFT: 2.85pt; PADDING-RIGHT: 2.85pt; BORDER-TOP: #ece9d8; BORDER-RIGHT: #ece9d8; PADDING-TOP: 1.4pt" valign="top" width="92%">
<p><span>Помощник заместителя Премьер-министра Республики Узбекистан</span></p></td>
<td style="BORDER-BOTTOM: #ece9d8; BORDER-LEFT: #ece9d8; PADDING-BOTTOM: 1.4pt; PADDING-LEFT: 2.85pt; PADDING-RIGHT: 2.85pt; BORDER-TOP: #ece9d8; BORDER-RIGHT: #ece9d8; PADDING-TOP: 1.4pt" valign="top" width="7%">
<p align="center"><span>1</span></p></td></tr>
<tr>
<td style="BORDER-BOTTOM: #ece9d8; BORDER-LEFT: #ece9d8; PADDING-BOTTOM: 1.4pt; PADDING-LEFT: 2.85pt; PADDING-RIGHT: 2.85pt; BORDER-TOP: #ece9d8; BORDER-RIGHT: #ece9d8; PADDING-TOP: 1.4pt" valign="top" width="92%">
<p><span>Инспектор</span></p></td>
<td style="BORDER-BOTTOM: #ece9d8; BORDER-LEFT: #ece9d8; PADDING-BOTTOM: 1.4pt; PADDING-LEFT: 2.85pt; PADDING-RIGHT: 2.85pt; BORDER-TOP: #ece9d8; BORDER-RIGHT: #ece9d8; PADDING-TOP: 1.4pt" valign="top" width="7%">
<p align="center"><span>1</span></p></td></tr>
<tr>
<td style="BORDER-BOTTOM: #ece9d8; BORDER-LEFT: #ece9d8; PADDING-BOTTOM: 1.4pt; PADDING-LEFT: 2.85pt; PADDING-RIGHT: 2.85pt; BORDER-TOP: #ece9d8; BORDER-RIGHT: #ece9d8; PADDING-TOP: 1.4pt" valign="top" width="92%">
<p align="center"><b><span>Всего:</span></b></p></td>
<td style="BORDER-BOTTOM: #ece9d8; BORDER-LEFT: #ece9d8; PADDING-BOTTOM: 1.4pt; PADDING-LEFT: 2.85pt; PADDING-RIGHT: 2.85pt; BORDER-TOP: #ece9d8; BORDER-RIGHT: #ece9d8; PADDING-TOP: 1.4pt" valign="top" width="7%">
<p align="center"><b><span>2</span></b></p></td></tr>
<tr>
<td style="BORDER-BOTTOM: #ece9d8; BORDER-LEFT: #ece9d8; PADDING-BOTTOM: 1.4pt; PADDING-LEFT: 2.85pt; PADDING-RIGHT: 2.85pt; BORDER-TOP: #ece9d8; BORDER-RIGHT: #ece9d8; PADDING-TOP: 1.4pt" valign="top" width="100%" colspan="2">
<p align="center"><b><br /></b></p>
<p align="center"><b><span>СТРУКТУРА</span></b></p>
<p align="center"><b><span>аппарата заместителя Премьер-министра Республики Узбекистан — руководителя Комплекса по вопросам геологии, топливно-энергетического комплекса, химической, нефтехимической и металлургической промышленности</span></b></p></td></tr>
<tr>
<td style="BORDER-BOTTOM: #ece9d8; BORDER-LEFT: #ece9d8; PADDING-BOTTOM: 1.4pt; PADDING-LEFT: 2.85pt; PADDING-RIGHT: 2.85pt; BORDER-TOP: #ece9d8; BORDER-RIGHT: #ece9d8; PADDING-TOP: 1.4pt" valign="top" width="100%" colspan="2">
<p align="center"><b></b></p></td></tr>
<tr>
<td style="BORDER-BOTTOM: #ece9d8; BORDER-LEFT: #ece9d8; PADDING-BOTTOM: 1.4pt; PADDING-LEFT: 2.85pt; PADDING-RIGHT: 2.85pt; BORDER-TOP: #ece9d8; BORDER-RIGHT: #ece9d8; PADDING-TOP: 1.4pt" valign="top" width="92%">
<p><span>Помощник заместителя Премьер-министра Республики Узбекистан</span></p></td>
<td style="BORDER-BOTTOM: #ece9d8; BORDER-LEFT: #ece9d8; PADDING-BOTTOM: 1.4pt; PADDING-LEFT: 2.85pt; PADDING-RIGHT: 2.85pt; BORDER-TOP: #ece9d8; BORDER-RIGHT: #ece9d8; PADDING-TOP: 1.4pt" valign="top" width="7%">
<p align="center"><span>1</span></p></td></tr>
<tr>
<td style="BORDER-BOTTOM: #ece9d8; BORDER-LEFT: #ece9d8; PADDING-BOTTOM: 1.4pt; PADDING-LEFT: 2.85pt; PADDING-RIGHT: 2.85pt; BORDER-TOP: #ece9d8; BORDER-RIGHT: #ece9d8; PADDING-TOP: 1.4pt" valign="top" width="92%">
<p><span>Инспектор</span></p></td>
<td style="BORDER-BOTTOM: #ece9d8; BORDER-LEFT: #ece9d8; PADDING-BOTTOM: 1.4pt; PADDING-LEFT: 2.85pt; PADDING-RIGHT: 2.85pt; BORDER-TOP: #ece9d8; BORDER-RIGHT: #ece9d8; PADDING-TOP: 1.4pt" valign="top" width="7%">
<p align="center"><span>1</span></p></td></tr>
<tr>
<td style="BORDER-BOTTOM: #ece9d8; BORDER-LEFT: #ece9d8; PADDING-BOTTOM: 1.4pt; PADDING-LEFT: 2.85pt; PADDING-RIGHT: 2.85pt; BORDER-TOP: #ece9d8; BORDER-RIGHT: #ece9d8; PADDING-TOP: 1.4pt" valign="top" width="92%">
<p align="center"><b><span>Всего:</span></b></p></td>
<td style="BORDER-BOTTOM: #ece9d8; BORDER-LEFT: #ece9d8; PADDING-BOTTOM: 1.4pt; PADDING-LEFT: 2.85pt; PADDING-RIGHT: 2.85pt; BORDER-TOP: #ece9d8; BORDER-RIGHT: #ece9d8; PADDING-TOP: 1.4pt" valign="top" width="7%">
<p align="center"><b><span>2</span></b></p></td></tr>
<tr>
<td style="BORDER-BOTTOM: #ece9d8; BORDER-LEFT: #ece9d8; PADDING-BOTTOM: 1.4pt; PADDING-LEFT: 2.85pt; PADDING-RIGHT: 2.85pt; BORDER-TOP: #ece9d8; BORDER-RIGHT: #ece9d8; PADDING-TOP: 1.4pt" valign="top" width="100%" colspan="2">
<p align="center"><b></b></p>
<p align="center"><b><span>СТРУКТУРА</span></b></p>
<p align="center"><b><span>аппарата заместителя Премьер-министра Республики Узбекистан — председателя правления АО «Узавтосаноат» — руководителя Комплекса по вопросам развития внешнеэкономической деятельности, экспортного потенциала, машиностроения, автомобильной и электротехнической промышленности, стандартизации продукции</span></b></p></td></tr>
<tr>
<td style="BORDER-BOTTOM: #ece9d8; BORDER-LEFT: #ece9d8; PADDING-BOTTOM: 1.4pt; PADDING-LEFT: 2.85pt; PADDING-RIGHT: 2.85pt; BORDER-TOP: #ece9d8; BORDER-RIGHT: #ece9d8; PADDING-TOP: 1.4pt" valign="top" width="100%" colspan="2">
<p align="center"><b></b></p></td></tr>
<tr>
<td style="BORDER-BOTTOM: #ece9d8; BORDER-LEFT: #ece9d8; PADDING-BOTTOM: 1.4pt; PADDING-LEFT: 2.85pt; PADDING-RIGHT: 2.85pt; BORDER-TOP: #ece9d8; BORDER-RIGHT: #ece9d8; PADDING-TOP: 1.4pt" valign="top" width="92%">
<p><span>Помощник заместителя Премьер-министра Республики Узбекистан</span></p></td>
<td style="BORDER-BOTTOM: #ece9d8; BORDER-LEFT: #ece9d8; PADDING-BOTTOM: 1.4pt; PADDING-LEFT: 2.85pt; PADDING-RIGHT: 2.85pt; BORDER-TOP: #ece9d8; BORDER-RIGHT: #ece9d8; PADDING-TOP: 1.4pt" valign="top" width="7%">
<p align="center"><span>1</span></p></td></tr>
<tr>
<td style="BORDER-BOTTOM: #ece9d8; BORDER-LEFT: #ece9d8; PADDING-BOTTOM: 1.4pt; PADDING-LEFT: 2.85pt; PADDING-RIGHT: 2.85pt; BORDER-TOP: #ece9d8; BORDER-RIGHT: #ece9d8; PADDING-TOP: 1.4pt" valign="top" width="92%">
<p><span>Инспектор</span></p></td>
<td style="BORDER-BOTTOM: #ece9d8; BORDER-LEFT: #ece9d8; PADDING-BOTTOM: 1.4pt; PADDING-LEFT: 2.85pt; PADDING-RIGHT: 2.85pt; BORDER-TOP: #ece9d8; BORDER-RIGHT: #ece9d8; PADDING-TOP: 1.4pt" valign="top" width="7%">
<p align="center"><span>1</span></p></td></tr>
<tr>
<td style="BORDER-BOTTOM: #ece9d8; BORDER-LEFT: #ece9d8; PADDING-BOTTOM: 1.4pt; PADDING-LEFT: 2.85pt; PADDING-RIGHT: 2.85pt; BORDER-TOP: #ece9d8; BORDER-RIGHT: #ece9d8; PADDING-TOP: 1.4pt" valign="top" width="92%">
<p align="center"><b><span>Всего:</span></b></p></td>
<td style="BORDER-BOTTOM: #ece9d8; BORDER-LEFT: #ece9d8; PADDING-BOTTOM: 1.4pt; PADDING-LEFT: 2.85pt; PADDING-RIGHT: 2.85pt; BORDER-TOP: #ece9d8; BORDER-RIGHT: #ece9d8; PADDING-TOP: 1.4pt" valign="top" width="7%">
<p align="center"><b><span>2</span></b></p></td></tr></tbody></table></div></div><div class="COMMENT"><label id="s3935"></label><div name="edi3238705" id="edi3238705">См. <a href="/ru/docs/3233862?ONDATE=03.03.2018 00#edi3580160">последующую</a> редакцию.</div></div><div class="BY_DEFAULT lx_elem" style="color:#808080;" onmousemove="lx_mo(event,3234072)"><div class="lx_elem2"><div class="lx_elem3"><span onclick="lx_sf(3234072)"><img src="/img/cmt.svg" />Предложения по документу</span><span onclick="lx_pa(3234072)"><img src="/img/vlm.svg" />Прослушать аудио</span><span onclick="lx_cl(3234072)"><img src="/img/lnk.svg" />Получить ссылку из элемента документа</span></div></div><div name="3234072" id="3234072"></div></div><div class="APPL_BANNER_LANDSCAPE_TITLE lx_elem" style="color:#808080;" onmousemove="lx_mo(event,3234073)"><div class="lx_elem2"><div class="lx_elem3"><span onclick="lx_sf(3234073)"><img src="/img/cmt.svg" />Предложения по документу</span><span onclick="lx_pa(3234073)"><img src="/img/vlm.svg" />Прослушать аудио</span><span onclick="lx_cl(3234073)"><img src="/img/lnk.svg" />Получить ссылку из элемента документа</span></div></div><div name="3234073" id="3234073">ПРИЛОЖЕНИЕ № 5<br />к <a href="/ru/docs/3233862">постановлению </a>Президента Республики Узбекистан от 12 июня 2017 года № ПП-3051 </div></div><div class="ACT_FORM lx_elem" style="color:#808080;" onmousemove="lx_mo(event,3234074)"><div class="lx_elem2"><div class="lx_elem3"><span onclick="lx_sf(3234074)"><img src="/img/cmt.svg" />Предложения по документу</span><span onclick="lx_pa(3234074)"><img src="/img/vlm.svg" />Прослушать аудио</span><span onclick="lx_cl(3234074)"><img src="/img/lnk.svg" />Получить ссылку из элемента документа</span></div></div><div name="3234074" id="3234074">СТРУКТУРА</div></div><div class="ACT_TITLE_APPL lx_elem" style="color:#808080;" onmousemove="lx_mo(event,3234075)"><div class="lx_elem2"><div class="lx_elem3"><span onclick="lx_sf(3234075)"><img src="/img/cmt.svg" />Предложения по документу</span><span onclick="lx_pa(3234075)"><img src="/img/vlm.svg" />Прослушать аудио</span><span onclick="lx_cl(3234075)"><img src="/img/lnk.svg" />Получить ссылку из элемента документа</span></div></div><div name="3234075" id="3234075">Информационно-аналитического департамента по вопросам образования, науки и молодежной политики</div></div><div class="BY_DEFAULT lx_elem" style="color:#808080;" onmousemove="lx_mo(event,3234076)"><div class="lx_elem2"><div class="lx_elem3"><span onclick="lx_sf(3234076)"><img src="/img/cmt.svg" />Предложения по документу</span><span onclick="lx_pa(3234076)"><img src="/img/vlm.svg" />Прослушать аудио</span><span onclick="lx_cl(3234076)"><img src="/img/lnk.svg" />Получить ссылку из элемента документа</span></div></div><div name="3234076" id="3234076"></div></div><div class="BY_DEFAULT lx_elem" style="color:#808080;" onmousemove="lx_mo(event,3234079)"><div class="lx_elem2"><div class="lx_elem3"><span onclick="lx_sf(3234079)"><img src="/img/cmt.svg" />Предложения по документу</span><span onclick="lx_pa(3234079)"><img src="/img/vlm.svg" />Прослушать аудио</span><span onclick="lx_cl(3234079)"><img src="/img/lnk.svg" />Получить ссылку из элемента документа</span></div></div><div name="3234079" id="3234079"><table style="BORDER-COLLAPSE: collapse; BACKGROUND: white" border="0" cellspacing="0" cellpadding="0" width="100%">
<tbody>
<tr>
<td style="BORDER-BOTTOM: #ece9d8; BORDER-LEFT: #ece9d8; PADDING-BOTTOM: 1.4pt; PADDING-LEFT: 2.85pt; PADDING-RIGHT: 2.85pt; BORDER-TOP: #ece9d8; BORDER-RIGHT: #ece9d8; PADDING-TOP: 1.4pt" valign="top" width="92%" colspan="2">
<p><b><span>Заведующий департаментом</span></b></p></td>
<td style="BORDER-BOTTOM: #ece9d8; BORDER-LEFT: #ece9d8; PADDING-BOTTOM: 1.4pt; PADDING-LEFT: 2.85pt; PADDING-RIGHT: 2.85pt; BORDER-TOP: #ece9d8; BORDER-RIGHT: #ece9d8; PADDING-TOP: 1.4pt" valign="top" width="7%">
<p align="center"><b><span>1</span></b></p></td></tr>
<tr>
<td style="BORDER-BOTTOM: #ece9d8; BORDER-LEFT: #ece9d8; PADDING-BOTTOM: 1.4pt; PADDING-LEFT: 2.85pt; PADDING-RIGHT: 2.85pt; BORDER-TOP: #ece9d8; BORDER-RIGHT: #ece9d8; PADDING-TOP: 1.4pt" valign="top" width="92%" colspan="2">
<p><span>Сектор образования</span></p></td>
<td style="BORDER-BOTTOM: #ece9d8; BORDER-LEFT: #ece9d8; PADDING-BOTTOM: 1.4pt; PADDING-LEFT: 2.85pt; PADDING-RIGHT: 2.85pt; BORDER-TOP: #ece9d8; BORDER-RIGHT: #ece9d8; PADDING-TOP: 1.4pt" valign="top" width="7%">
<p align="center"></p></td></tr>
<tr>
<td style="BORDER-BOTTOM: #ece9d8; BORDER-LEFT: #ece9d8; PADDING-BOTTOM: 1.4pt; PADDING-LEFT: 2.85pt; PADDING-RIGHT: 2.85pt; BORDER-TOP: #ece9d8; BORDER-RIGHT: #ece9d8; PADDING-TOP: 1.4pt" valign="top" width="92%" colspan="2">
<p><span>Заведующий сектором</span></p></td>
<td style="BORDER-BOTTOM: #ece9d8; BORDER-LEFT: #ece9d8; PADDING-BOTTOM: 1.4pt; PADDING-LEFT: 2.85pt; PADDING-RIGHT: 2.85pt; BORDER-TOP: #ece9d8; BORDER-RIGHT: #ece9d8; PADDING-TOP: 1.4pt" valign="top" width="7%">
<p align="center"><span>1</span></p></td></tr>
<tr>
<td style="BORDER-BOTTOM: #ece9d8; BORDER-LEFT: #ece9d8; PADDING-BOTTOM: 1.4pt; PADDING-LEFT: 2.85pt; PADDING-RIGHT: 2.85pt; BORDER-TOP: #ece9d8; BORDER-RIGHT: #ece9d8; PADDING-TOP: 1.4pt" valign="top" width="92%" colspan="2">
<p><span>Главный специалист по вопросам школьного и внешкольного образования</span></p></td>
<td style="BORDER-BOTTOM: #ece9d8; BORDER-LEFT: #ece9d8; PADDING-BOTTOM: 1.4pt; PADDING-LEFT: 2.85pt; PADDING-RIGHT: 2.85pt; BORDER-TOP: #ece9d8; BORDER-RIGHT: #ece9d8; PADDING-TOP: 1.4pt" valign="top" width="7%">
<p align="center"><span>1</span></p></td></tr>
<tr>
<td style="BORDER-BOTTOM: #ece9d8; BORDER-LEFT: #ece9d8; PADDING-BOTTOM: 1.4pt; PADDING-LEFT: 2.85pt; PADDING-RIGHT: 2.85pt; BORDER-TOP: #ece9d8; BORDER-RIGHT: #ece9d8; PADDING-TOP: 1.4pt" valign="top" width="92%" colspan="2">
<p><span>Главный специалист по вопросам среднего специального, профессионального образования</span></p></td>
<td style="BORDER-BOTTOM: #ece9d8; BORDER-LEFT: #ece9d8; PADDING-BOTTOM: 1.4pt; PADDING-LEFT: 2.85pt; PADDING-RIGHT: 2.85pt; BORDER-TOP: #ece9d8; BORDER-RIGHT: #ece9d8; PADDING-TOP: 1.4pt" valign="top" width="7%">
<p align="center"><span>1</span></p></td></tr>
<tr>
<td style="BORDER-BOTTOM: #ece9d8; BORDER-LEFT: #ece9d8; PADDING-BOTTOM: 1.4pt; PADDING-LEFT: 2.85pt; PADDING-RIGHT: 2.85pt; BORDER-TOP: #ece9d8; BORDER-RIGHT: #ece9d8; PADDING-TOP: 1.4pt" valign="top" width="92%" colspan="2">
<p><span>Главный специалист по вопросам высшего образования</span></p></td>
<td style="BORDER-BOTTOM: #ece9d8; BORDER-LEFT: #ece9d8; PADDING-BOTTOM: 1.4pt; PADDING-LEFT: 2.85pt; PADDING-RIGHT: 2.85pt; BORDER-TOP: #ece9d8; BORDER-RIGHT: #ece9d8; PADDING-TOP: 1.4pt" valign="top" width="7%">
<p align="center"><span>1</span></p></td></tr>
<tr>
<td style="BORDER-BOTTOM: #ece9d8; BORDER-LEFT: #ece9d8; PADDING-BOTTOM: 1.4pt; PADDING-LEFT: 2.85pt; PADDING-RIGHT: 2.85pt; BORDER-TOP: #ece9d8; BORDER-RIGHT: #ece9d8; PADDING-TOP: 1.4pt" valign="top" width="92%" colspan="2">
<p><span>Ведущий специалист по вопросам развития вузовской науки</span></p></td>
<td style="BORDER-BOTTOM: #ece9d8; BORDER-LEFT: #ece9d8; PADDING-BOTTOM: 1.4pt; PADDING-LEFT: 2.85pt; PADDING-RIGHT: 2.85pt; BORDER-TOP: #ece9d8; BORDER-RIGHT: #ece9d8; PADDING-TOP: 1.4pt" valign="top" width="7%">
<p align="center"><span>1</span></p></td></tr>
<tr>
<td style="BORDER-BOTTOM: #ece9d8; BORDER-LEFT: #ece9d8; PADDING-BOTTOM: 1.4pt; PADDING-LEFT: 2.85pt; PADDING-RIGHT: 2.85pt; BORDER-TOP: #ece9d8; BORDER-RIGHT: #ece9d8; PADDING-TOP: 1.4pt" valign="top" width="92%" colspan="2">
<p><span>Сектор науки</span></p></td>
<td style="BORDER-BOTTOM: #ece9d8; BORDER-LEFT: #ece9d8; PADDING-BOTTOM: 1.4pt; PADDING-LEFT: 2.85pt; PADDING-RIGHT: 2.85pt; BORDER-TOP: #ece9d8; BORDER-RIGHT: #ece9d8; PADDING-TOP: 1.4pt" valign="top" width="7%">
<p align="center"></p></td></tr>
<tr>
<td style="BORDER-BOTTOM: #ece9d8; BORDER-LEFT: #ece9d8; PADDING-BOTTOM: 1.4pt; PADDING-LEFT: 2.85pt; PADDING-RIGHT: 2.85pt; BORDER-TOP: #ece9d8; BORDER-RIGHT: #ece9d8; PADDING-TOP: 1.4pt" valign="top" width="92%" colspan="2">
<p><span>Заведующий сектором</span></p></td>
<td style="BORDER-BOTTOM: #ece9d8; BORDER-LEFT: #ece9d8; PADDING-BOTTOM: 1.4pt; PADDING-LEFT: 2.85pt; PADDING-RIGHT: 2.85pt; BORDER-TOP: #ece9d8; BORDER-RIGHT: #ece9d8; PADDING-TOP: 1.4pt" valign="top" width="7%">
<p align="center"><span>1</span></p></td></tr>
<tr>
<td style="BORDER-BOTTOM: #ece9d8; BORDER-LEFT: #ece9d8; PADDING-BOTTOM: 1.4pt; PADDING-LEFT: 2.85pt; PADDING-RIGHT: 2.85pt; BORDER-TOP: #ece9d8; BORDER-RIGHT: #ece9d8; PADDING-TOP: 1.4pt" valign="top" width="92%" colspan="2">
<p><span>Главный специалист по вопросам развития научных учреждений</span></p></td>
<td style="BORDER-BOTTOM: #ece9d8; BORDER-LEFT: #ece9d8; PADDING-BOTTOM: 1.4pt; PADDING-LEFT: 2.85pt; PADDING-RIGHT: 2.85pt; BORDER-TOP: #ece9d8; BORDER-RIGHT: #ece9d8; PADDING-TOP: 1.4pt" valign="top" width="7%">
<p align="center"><span>1</span></p></td></tr>
<tr>
<td style="BORDER-BOTTOM: #ece9d8; BORDER-LEFT: #ece9d8; PADDING-BOTTOM: 1.4pt; PADDING-LEFT: 2.85pt; PADDING-RIGHT: 2.85pt; BORDER-TOP: #ece9d8; BORDER-RIGHT: #ece9d8; PADDING-TOP: 1.4pt" valign="top" width="92%" colspan="2">
<p><span>Ведущий специалист по вопросам внедрения научных исследований и инновационных разработок в производство</span></p></td>
<td style="BORDER-BOTTOM: #ece9d8; BORDER-LEFT: #ece9d8; PADDING-BOTTOM: 1.4pt; PADDING-LEFT: 2.85pt; PADDING-RIGHT: 2.85pt; BORDER-TOP: #ece9d8; BORDER-RIGHT: #ece9d8; PADDING-TOP: 1.4pt" valign="top" width="7%">
<p align="center"><span>1</span></p></td></tr>
<tr>
<td style="BORDER-BOTTOM: #ece9d8; BORDER-LEFT: #ece9d8; PADDING-BOTTOM: 1.4pt; PADDING-LEFT: 2.85pt; PADDING-RIGHT: 2.85pt; BORDER-TOP: #ece9d8; BORDER-RIGHT: #ece9d8; PADDING-TOP: 1.4pt" valign="top" width="92%" colspan="2">
<p><span>Сектор по вопросам молодежной политики и духовного развития</span></p></td>
<td style="BORDER-BOTTOM: #ece9d8; BORDER-LEFT: #ece9d8; PADDING-BOTTOM: 1.4pt; PADDING-LEFT: 2.85pt; PADDING-RIGHT: 2.85pt; BORDER-TOP: #ece9d8; BORDER-RIGHT: #ece9d8; PADDING-TOP: 1.4pt" valign="top" width="7%">
<p align="center"></p></td></tr>
<tr>
<td style="BORDER-BOTTOM: #ece9d8; BORDER-LEFT: #ece9d8; PADDING-BOTTOM: 1.4pt; PADDING-LEFT: 2.85pt; PADDING-RIGHT: 2.85pt; BORDER-TOP: #ece9d8; BORDER-RIGHT: #ece9d8; PADDING-TOP: 1.4pt" valign="top" width="92%" colspan="2">
<p><span>Заведующий сектором</span></p></td>
<td style="BORDER-BOTTOM: #ece9d8; BORDER-LEFT: #ece9d8; PADDING-BOTTOM: 1.4pt; PADDING-LEFT: 2.85pt; PADDING-RIGHT: 2.85pt; BORDER-TOP: #ece9d8; BORDER-RIGHT: #ece9d8; PADDING-TOP: 1.4pt" valign="top" width="7%">
<p align="center"><span>1</span></p></td></tr>
<tr>
<td style="BORDER-BOTTOM: #ece9d8; BORDER-LEFT: #ece9d8; PADDING-BOTTOM: 1.4pt; PADDING-LEFT: 2.85pt; PADDING-RIGHT: 2.85pt; BORDER-TOP: #ece9d8; BORDER-RIGHT: #ece9d8; PADDING-TOP: 1.4pt" valign="top" width="92%" colspan="2">
<p><span>Главный специалист по вопросам деятельности молодежных и иных общественных организаций</span></p></td>
<td style="BORDER-BOTTOM: #ece9d8; BORDER-LEFT: #ece9d8; PADDING-BOTTOM: 1.4pt; PADDING-LEFT: 2.85pt; PADDING-RIGHT: 2.85pt; BORDER-TOP: #ece9d8; BORDER-RIGHT: #ece9d8; PADDING-TOP: 1.4pt" valign="top" width="7%">
<p align="center"><span>1</span></p></td></tr>
<tr>
<td style="BORDER-BOTTOM: #ece9d8; BORDER-LEFT: #ece9d8; PADDING-BOTTOM: 1.4pt; PADDING-LEFT: 2.85pt; PADDING-RIGHT: 2.85pt; BORDER-TOP: #ece9d8; BORDER-RIGHT: #ece9d8; PADDING-TOP: 1.4pt" valign="top" width="92%" colspan="2">
<p><span>Ведущий специалист</span></p></td>
<td style="BORDER-BOTTOM: #ece9d8; BORDER-LEFT: #ece9d8; PADDING-BOTTOM: 1.4pt; PADDING-LEFT: 2.85pt; PADDING-RIGHT: 2.85pt; BORDER-TOP: #ece9d8; BORDER-RIGHT: #ece9d8; PADDING-TOP: 1.4pt" valign="top" width="7%">
<p align="center"><span>1</span></p></td></tr>
<tr>
<td style="BORDER-BOTTOM: #ece9d8; BORDER-LEFT: #ece9d8; PADDING-BOTTOM: 1.4pt; PADDING-LEFT: 2.85pt; PADDING-RIGHT: 2.85pt; BORDER-TOP: #ece9d8; BORDER-RIGHT: #ece9d8; PADDING-TOP: 1.4pt" valign="top" width="92%" colspan="2">
<p><span>Главный специалист по вопросам межнациональных отношений и делам религий</span></p></td>
<td style="BORDER-BOTTOM: #ece9d8; BORDER-LEFT: #ece9d8; PADDING-BOTTOM: 1.4pt; PADDING-LEFT: 2.85pt; PADDING-RIGHT: 2.85pt; BORDER-TOP: #ece9d8; BORDER-RIGHT: #ece9d8; PADDING-TOP: 1.4pt" valign="top" width="7%">
<p align="center"><span>1</span></p></td></tr>
<tr>
<td style="BORDER-BOTTOM: #ece9d8; BORDER-LEFT: #ece9d8; PADDING-BOTTOM: 1.4pt; PADDING-LEFT: 2.85pt; PADDING-RIGHT: 2.85pt; BORDER-TOP: #ece9d8; BORDER-RIGHT: #ece9d8; PADDING-TOP: 1.4pt" valign="top" width="92%" colspan="2">
<p><span>Инспектор</span></p></td>
<td style="BORDER-BOTTOM: #ece9d8; BORDER-LEFT: #ece9d8; PADDING-BOTTOM: 1.4pt; PADDING-LEFT: 2.85pt; PADDING-RIGHT: 2.85pt; BORDER-TOP: #ece9d8; BORDER-RIGHT: #ece9d8; PADDING-TOP: 1.4pt" valign="top" width="7%">
<p align="center"><span>1</span></p></td></tr>
<tr>
<td style="BORDER-BOTTOM: #ece9d8; BORDER-LEFT: #ece9d8; PADDING-BOTTOM: 1.4pt; PADDING-LEFT: 2.85pt; PADDING-RIGHT: 2.85pt; BORDER-TOP: #ece9d8; BORDER-RIGHT: #ece9d8; PADDING-TOP: 1.4pt" valign="top" width="92%" colspan="2">
<p align="center"><b><span>Всего:</span></b></p></td>
<td style="BORDER-BOTTOM: #ece9d8; BORDER-LEFT: #ece9d8; PADDING-BOTTOM: 1.4pt; PADDING-LEFT: 2.85pt; PADDING-RIGHT: 2.85pt; BORDER-TOP: #ece9d8; BORDER-RIGHT: #ece9d8; PADDING-TOP: 1.4pt" valign="top" width="7%">
<p align="center"><b><span>14</span></b></p></td></tr>
<tr>
<td style="BORDER-BOTTOM: #ece9d8; BORDER-LEFT: #ece9d8; PADDING-BOTTOM: 1.4pt; PADDING-LEFT: 2.85pt; PADDING-RIGHT: 2.85pt; BORDER-TOP: #ece9d8; BORDER-RIGHT: #ece9d8; PADDING-TOP: 1.4pt" valign="top" width="100%" colspan="3">
<p align="center"><b><br /></b></p>
<p align="center"><b><span>КУРИРУЕМЫЕ <br />министерства, ведомства и другие организации</span></b></p></td></tr>
<tr>
<td style="BORDER-BOTTOM: #ece9d8; BORDER-LEFT: #ece9d8; PADDING-BOTTOM: 1.4pt; PADDING-LEFT: 2.85pt; PADDING-RIGHT: 2.85pt; BORDER-TOP: #ece9d8; BORDER-RIGHT: #ece9d8; PADDING-TOP: 1.4pt" valign="top" width="100%" colspan="3">
<p align="center"><b></b></p></td></tr>
<tr>
<td style="BORDER-BOTTOM: #ece9d8; BORDER-LEFT: #ece9d8; PADDING-BOTTOM: 1.4pt; PADDING-LEFT: 2.85pt; PADDING-RIGHT: 2.85pt; BORDER-TOP: #ece9d8; BORDER-RIGHT: #ece9d8; PADDING-TOP: 1.4pt" valign="top" width="6%">
<p align="center"><span>1.</span></p></td>
<td style="BORDER-BOTTOM: #ece9d8; BORDER-LEFT: #ece9d8; PADDING-BOTTOM: 1.4pt; PADDING-LEFT: 2.85pt; PADDING-RIGHT: 2.85pt; BORDER-TOP: #ece9d8; BORDER-RIGHT: #ece9d8; PADDING-TOP: 1.4pt" valign="top" width="93%" colspan="2">
<p><span>Министерство высшего и среднего специального образования Республики Узбекистан</span></p></td></tr>
<tr>
<td style="BORDER-BOTTOM: #ece9d8; BORDER-LEFT: #ece9d8; PADDING-BOTTOM: 1.4pt; PADDING-LEFT: 2.85pt; PADDING-RIGHT: 2.85pt; BORDER-TOP: #ece9d8; BORDER-RIGHT: #ece9d8; PADDING-TOP: 1.4pt" valign="top" width="6%">
<p align="center"><span>2.</span></p></td>
<td style="BORDER-BOTTOM: #ece9d8; BORDER-LEFT: #ece9d8; PADDING-BOTTOM: 1.4pt; PADDING-LEFT: 2.85pt; PADDING-RIGHT: 2.85pt; BORDER-TOP: #ece9d8; BORDER-RIGHT: #ece9d8; PADDING-TOP: 1.4pt" valign="top" width="93%" colspan="2">
<p><span>Министерство народного образования Республики Узбекистан</span></p></td></tr>
<tr>
<td style="BORDER-BOTTOM: #ece9d8; BORDER-LEFT: #ece9d8; PADDING-BOTTOM: 1.4pt; PADDING-LEFT: 2.85pt; PADDING-RIGHT: 2.85pt; BORDER-TOP: #ece9d8; BORDER-RIGHT: #ece9d8; PADDING-TOP: 1.4pt" valign="top" width="6%">
<p align="center"><span>3.</span></p></td>
<td style="BORDER-BOTTOM: #ece9d8; BORDER-LEFT: #ece9d8; PADDING-BOTTOM: 1.4pt; PADDING-LEFT: 2.85pt; PADDING-RIGHT: 2.85pt; BORDER-TOP: #ece9d8; BORDER-RIGHT: #ece9d8; PADDING-TOP: 1.4pt" valign="top" width="93%" colspan="2">
<p><span>Комитет по делам религий при Кабинете Министров Республики Узбекистан</span></p></td></tr>
<tr>
<td style="BORDER-BOTTOM: #ece9d8; BORDER-LEFT: #ece9d8; PADDING-BOTTOM: 1.4pt; PADDING-LEFT: 2.85pt; PADDING-RIGHT: 2.85pt; BORDER-TOP: #ece9d8; BORDER-RIGHT: #ece9d8; PADDING-TOP: 1.4pt" valign="top" width="6%">
<p align="center"><span>4.</span></p></td>
<td style="BORDER-BOTTOM: #ece9d8; BORDER-LEFT: #ece9d8; PADDING-BOTTOM: 1.4pt; PADDING-LEFT: 2.85pt; PADDING-RIGHT: 2.85pt; BORDER-TOP: #ece9d8; BORDER-RIGHT: #ece9d8; PADDING-TOP: 1.4pt" valign="top" width="93%" colspan="2">
<p><span>Комитет по межнациональным отношениям и дружественным связям с зарубежными странами при Кабинете Министров Республики Узбекистан</span></p></td></tr>
<tr>
<td style="BORDER-BOTTOM: #ece9d8; BORDER-LEFT: #ece9d8; PADDING-BOTTOM: 1.4pt; PADDING-LEFT: 2.85pt; PADDING-RIGHT: 2.85pt; BORDER-TOP: #ece9d8; BORDER-RIGHT: #ece9d8; PADDING-TOP: 1.4pt" valign="top" width="6%">
<p align="center"><span>5.</span></p></td>
<td style="BORDER-BOTTOM: #ece9d8; BORDER-LEFT: #ece9d8; PADDING-BOTTOM: 1.4pt; PADDING-LEFT: 2.85pt; PADDING-RIGHT: 2.85pt; BORDER-TOP: #ece9d8; BORDER-RIGHT: #ece9d8; PADDING-TOP: 1.4pt" valign="top" width="93%" colspan="2">
<p><span>Высшая аттестационная комиссия при Кабинете Министров Республики Узбекистан</span></p></td></tr>
<tr>
<td style="BORDER-BOTTOM: #ece9d8; BORDER-LEFT: #ece9d8; PADDING-BOTTOM: 1.4pt; PADDING-LEFT: 2.85pt; PADDING-RIGHT: 2.85pt; BORDER-TOP: #ece9d8; BORDER-RIGHT: #ece9d8; PADDING-TOP: 1.4pt" valign="top" width="6%">
<p align="center"><span>6.</span></p></td>
<td style="BORDER-BOTTOM: #ece9d8; BORDER-LEFT: #ece9d8; PADDING-BOTTOM: 1.4pt; PADDING-LEFT: 2.85pt; PADDING-RIGHT: 2.85pt; BORDER-TOP: #ece9d8; BORDER-RIGHT: #ece9d8; PADDING-TOP: 1.4pt" valign="top" width="93%" colspan="2">
<p><span>Государственный центр тестирования при Кабинете Министров Республики Узбекистан</span></p></td></tr>
<tr>
<td style="BORDER-BOTTOM: #ece9d8; BORDER-LEFT: #ece9d8; PADDING-BOTTOM: 1.4pt; PADDING-LEFT: 2.85pt; PADDING-RIGHT: 2.85pt; BORDER-TOP: #ece9d8; BORDER-RIGHT: #ece9d8; PADDING-TOP: 1.4pt" valign="top" width="6%">
<p align="center"><span>7.</span></p></td>
<td style="BORDER-BOTTOM: #ece9d8; BORDER-LEFT: #ece9d8; PADDING-BOTTOM: 1.4pt; PADDING-LEFT: 2.85pt; PADDING-RIGHT: 2.85pt; BORDER-TOP: #ece9d8; BORDER-RIGHT: #ece9d8; PADDING-TOP: 1.4pt" valign="top" width="93%" colspan="2">
<p><span>Центр среднего специального, профессионального образования Министерства высшего и среднего специального образования Республики Узбекистан</span></p></td></tr>
<tr>
<td style="BORDER-BOTTOM: #ece9d8; BORDER-LEFT: #ece9d8; PADDING-BOTTOM: 1.4pt; PADDING-LEFT: 2.85pt; PADDING-RIGHT: 2.85pt; BORDER-TOP: #ece9d8; BORDER-RIGHT: #ece9d8; PADDING-TOP: 1.4pt" valign="top" width="6%">
<p align="center"><span>8.</span></p></td>
<td style="BORDER-BOTTOM: #ece9d8; BORDER-LEFT: #ece9d8; PADDING-BOTTOM: 1.4pt; PADDING-LEFT: 2.85pt; PADDING-RIGHT: 2.85pt; BORDER-TOP: #ece9d8; BORDER-RIGHT: #ece9d8; PADDING-TOP: 1.4pt" valign="top" width="93%" colspan="2">
<p><span>Академия наук Республики Узбекистан</span></p></td></tr>
<tr>
<td style="BORDER-BOTTOM: #ece9d8; BORDER-LEFT: #ece9d8; PADDING-BOTTOM: 1.4pt; PADDING-LEFT: 2.85pt; PADDING-RIGHT: 2.85pt; BORDER-TOP: #ece9d8; BORDER-RIGHT: #ece9d8; PADDING-TOP: 1.4pt" valign="top" width="6%">
<p align="center"><span>9.</span></p></td>
<td style="BORDER-BOTTOM: #ece9d8; BORDER-LEFT: #ece9d8; PADDING-BOTTOM: 1.4pt; PADDING-LEFT: 2.85pt; PADDING-RIGHT: 2.85pt; BORDER-TOP: #ece9d8; BORDER-RIGHT: #ece9d8; PADDING-TOP: 1.4pt" valign="top" width="93%" colspan="2">
<p><span>Агентство по науке и технологиям Республики Узбекистан</span></p></td></tr>
<tr>
<td style="BORDER-BOTTOM: #ece9d8; BORDER-LEFT: #ece9d8; PADDING-BOTTOM: 1.4pt; PADDING-LEFT: 2.85pt; PADDING-RIGHT: 2.85pt; BORDER-TOP: #ece9d8; BORDER-RIGHT: #ece9d8; PADDING-TOP: 1.4pt" valign="top" width="6%">
<p align="center"><span>10.</span></p></td>
<td style="BORDER-BOTTOM: #ece9d8; BORDER-LEFT: #ece9d8; PADDING-BOTTOM: 1.4pt; PADDING-LEFT: 2.85pt; PADDING-RIGHT: 2.85pt; BORDER-TOP: #ece9d8; BORDER-RIGHT: #ece9d8; PADDING-TOP: 1.4pt" valign="top" width="93%" colspan="2">
<p><span>Исполнительная дирекция Фонда поддержки и развития научно-технической деятельности при Государственной комиссии по науке и технологиям</span></p></td></tr>
<tr>
<td style="BORDER-BOTTOM: #ece9d8; BORDER-LEFT: #ece9d8; PADDING-BOTTOM: 1.4pt; PADDING-LEFT: 2.85pt; PADDING-RIGHT: 2.85pt; BORDER-TOP: #ece9d8; BORDER-RIGHT: #ece9d8; PADDING-TOP: 1.4pt" valign="top" width="6%">
<p align="center"><span>11.</span></p></td>
<td style="BORDER-BOTTOM: #ece9d8; BORDER-LEFT: #ece9d8; PADDING-BOTTOM: 1.4pt; PADDING-LEFT: 2.85pt; PADDING-RIGHT: 2.85pt; BORDER-TOP: #ece9d8; BORDER-RIGHT: #ece9d8; PADDING-TOP: 1.4pt" valign="top" width="93%" colspan="2">
<p><span>Республиканский центр пропаганды духовности</span></p></td></tr>
<tr>
<td style="BORDER-BOTTOM: #ece9d8; BORDER-LEFT: #ece9d8; PADDING-BOTTOM: 1.4pt; PADDING-LEFT: 2.85pt; PADDING-RIGHT: 2.85pt; BORDER-TOP: #ece9d8; BORDER-RIGHT: #ece9d8; PADDING-TOP: 1.4pt" valign="top" width="6%">
<p align="center"><span>12.</span></p></td>
<td style="BORDER-BOTTOM: #ece9d8; BORDER-LEFT: #ece9d8; PADDING-BOTTOM: 1.4pt; PADDING-LEFT: 2.85pt; PADDING-RIGHT: 2.85pt; BORDER-TOP: #ece9d8; BORDER-RIGHT: #ece9d8; PADDING-TOP: 1.4pt" valign="top" width="93%" colspan="2">
<p><span>Научно-практический центр национальной идеи и идеологии</span></p></td></tr>
<tr>
<td style="BORDER-BOTTOM: #ece9d8; BORDER-LEFT: #ece9d8; PADDING-BOTTOM: 1.4pt; PADDING-LEFT: 2.85pt; PADDING-RIGHT: 2.85pt; BORDER-TOP: #ece9d8; BORDER-RIGHT: #ece9d8; PADDING-TOP: 1.4pt" valign="top" width="6%">
<p align="center"><span>13.</span></p></td>
<td style="BORDER-BOTTOM: #ece9d8; BORDER-LEFT: #ece9d8; PADDING-BOTTOM: 1.4pt; PADDING-LEFT: 2.85pt; PADDING-RIGHT: 2.85pt; BORDER-TOP: #ece9d8; BORDER-RIGHT: #ece9d8; PADDING-TOP: 1.4pt" valign="top" width="93%" colspan="2">
<p><span>Благотворительный общественный фонд «Махалла» Узбекистана</span></p></td></tr>
<tr>
<td style="BORDER-BOTTOM: #ece9d8; BORDER-LEFT: #ece9d8; PADDING-BOTTOM: 1.4pt; PADDING-LEFT: 2.85pt; PADDING-RIGHT: 2.85pt; BORDER-TOP: #ece9d8; BORDER-RIGHT: #ece9d8; PADDING-TOP: 1.4pt" valign="top" width="6%">
<p align="center"><span>14.</span></p></td>
<td style="BORDER-BOTTOM: #ece9d8; BORDER-LEFT: #ece9d8; PADDING-BOTTOM: 1.4pt; PADDING-LEFT: 2.85pt; PADDING-RIGHT: 2.85pt; BORDER-TOP: #ece9d8; BORDER-RIGHT: #ece9d8; PADDING-TOP: 1.4pt" valign="top" width="93%" colspan="2">
<p><span>Общественное движение молодежи «Камолот»</span></p></td></tr>
<tr>
<td style="BORDER-BOTTOM: #ece9d8; BORDER-LEFT: #ece9d8; PADDING-BOTTOM: 1.4pt; PADDING-LEFT: 2.85pt; PADDING-RIGHT: 2.85pt; BORDER-TOP: #ece9d8; BORDER-RIGHT: #ece9d8; PADDING-TOP: 1.4pt" valign="top" width="6%">
<p align="center"><span>15.</span></p></td>
<td style="BORDER-BOTTOM: #ece9d8; BORDER-LEFT: #ece9d8; PADDING-BOTTOM: 1.4pt; PADDING-LEFT: 2.85pt; PADDING-RIGHT: 2.85pt; BORDER-TOP: #ece9d8; BORDER-RIGHT: #ece9d8; PADDING-TOP: 1.4pt" valign="top" width="93%" colspan="2">
<p><span>Совет Федерации профсоюзов Узбекистана</span></p></td></tr>
<tr>
<td style="BORDER-BOTTOM: #ece9d8; BORDER-LEFT: #ece9d8; PADDING-BOTTOM: 1.4pt; PADDING-LEFT: 2.85pt; PADDING-RIGHT: 2.85pt; BORDER-TOP: #ece9d8; BORDER-RIGHT: #ece9d8; PADDING-TOP: 1.4pt" valign="top" width="6%">
<p align="center"><span>16.</span></p></td>
<td style="BORDER-BOTTOM: #ece9d8; BORDER-LEFT: #ece9d8; PADDING-BOTTOM: 1.4pt; PADDING-LEFT: 2.85pt; PADDING-RIGHT: 2.85pt; BORDER-TOP: #ece9d8; BORDER-RIGHT: #ece9d8; PADDING-TOP: 1.4pt" valign="top" width="93%" colspan="2">
<p><span>Ташкентский исламский университет при Кабинете Министров Республики Узбекистан</span></p></td></tr></tbody></table></div></div><div class="COMMENT"><label id="s3935"></label><div name="edi3234079" id="edi3234079">См. <a href="/ru/docs/3233862?ONDATE=18.09.2017 05#edi3354123">последующую</a> редакцию.</div></div><div class="COMMENT"><label id="s3935"></label><div name="edi3234079" id="edi3234079">См. <a href="/ru/docs/3233862?ONDATE=03.03.2018 00#edi3580164">последующую</a> редакцию.</div></div><div class="BY_DEFAULT lx_elem" style="color:#808080;" onmousemove="lx_mo(event,3234080)"><div class="lx_elem2"><div class="lx_elem3"><span onclick="lx_sf(3234080)"><img src="/img/cmt.svg" />Предложения по документу</span><span onclick="lx_pa(3234080)"><img src="/img/vlm.svg" />Прослушать аудио</span><span onclick="lx_cl(3234080)"><img src="/img/lnk.svg" />Получить ссылку из элемента документа</span></div></div><div name="3234080" id="3234080"></div></div><div class="APPL_BANNER_LANDSCAPE_TITLE lx_elem" style="color:#808080;" onmousemove="lx_mo(event,3234081)"><div class="lx_elem2"><div class="lx_elem3"><span onclick="lx_sf(3234081)"><img src="/img/cmt.svg" />Предложения по документу</span><span onclick="lx_pa(3234081)"><img src="/img/vlm.svg" />Прослушать аудио</span><span onclick="lx_cl(3234081)"><img src="/img/lnk.svg" />Получить ссылку из элемента документа</span></div></div><div name="3234081" id="3234081">ПРИЛОЖЕНИЕ № 6<br />к <a href="/ru/docs/3233862">постановлению</a> Президента Республики Узбекистан от 12 июня 2017 года № ПП-3051 </div></div><div class="ACT_FORM lx_elem" style="color:#808080;" onmousemove="lx_mo(event,3234082)"><div class="lx_elem2"><div class="lx_elem3"><span onclick="lx_sf(3234082)"><img src="/img/cmt.svg" />Предложения по документу</span><span onclick="lx_pa(3234082)"><img src="/img/vlm.svg" />Прослушать аудио</span><span onclick="lx_cl(3234082)"><img src="/img/lnk.svg" />Получить ссылку из элемента документа</span></div></div><div name="3234082" id="3234082">СТРУКТУРА</div></div><div class="ACT_TITLE_APPL lx_elem" style="color:#808080;" onmousemove="lx_mo(event,3234083)"><div class="lx_elem2"><div class="lx_elem3"><span onclick="lx_sf(3234083)"><img src="/img/cmt.svg" />Предложения по документу</span><span onclick="lx_pa(3234083)"><img src="/img/vlm.svg" />Прослушать аудио</span><span onclick="lx_cl(3234083)"><img src="/img/lnk.svg" />Получить ссылку из элемента документа</span></div></div><div name="3234083" id="3234083">Информационно-аналитического департамента по вопросам культуры, информационных систем и телекоммуникаций</div></div><div class="BY_DEFAULT lx_elem" style="color:#808080;" onmousemove="lx_mo(event,3234084)"><div class="lx_elem2"><div class="lx_elem3"><span onclick="lx_sf(3234084)"><img src="/img/cmt.svg" />Предложения по документу</span><span onclick="lx_pa(3234084)"><img src="/img/vlm.svg" />Прослушать аудио</span><span onclick="lx_cl(3234084)"><img src="/img/lnk.svg" />Получить ссылку из элемента документа</span></div></div><div name="3234084" id="3234084"></div></div><div class="BY_DEFAULT lx_elem" style="color:#808080;" onmousemove="lx_mo(event,3234086)"><div class="lx_elem2"><div class="lx_elem3"><span onclick="lx_sf(3234086)"><img src="/img/cmt.svg" />Предложения по документу</span><span onclick="lx_pa(3234086)"><img src="/img/vlm.svg" />Прослушать аудио</span><span onclick="lx_cl(3234086)"><img src="/img/lnk.svg" />Получить ссылку из элемента документа</span></div></div><div name="3234086" id="3234086"><table style="BORDER-COLLAPSE: collapse; BACKGROUND: white" border="0" cellspacing="0" cellpadding="0" width="100%">
<tbody>
<tr>
<td style="BORDER-BOTTOM: #ece9d8; BORDER-LEFT: #ece9d8; PADDING-BOTTOM: 1.4pt; PADDING-LEFT: 2.85pt; PADDING-RIGHT: 2.85pt; BORDER-TOP: #ece9d8; BORDER-RIGHT: #ece9d8; PADDING-TOP: 1.4pt" valign="top" width="91%" colspan="2">
<p><b><span>Заведующий департаментом</span></b></p></td>
<td style="BORDER-BOTTOM: #ece9d8; BORDER-LEFT: #ece9d8; PADDING-BOTTOM: 1.4pt; PADDING-LEFT: 2.85pt; PADDING-RIGHT: 2.85pt; BORDER-TOP: #ece9d8; BORDER-RIGHT: #ece9d8; PADDING-TOP: 1.4pt" valign="top" width="8%">
<p align="center"><b><span>1</span></b></p></td></tr>
<tr>
<td style="BORDER-BOTTOM: #ece9d8; BORDER-LEFT: #ece9d8; PADDING-BOTTOM: 1.4pt; PADDING-LEFT: 2.85pt; PADDING-RIGHT: 2.85pt; BORDER-TOP: #ece9d8; BORDER-RIGHT: #ece9d8; PADDING-TOP: 1.4pt" valign="top" width="91%" colspan="2">
<p><span>Заместитель заведующего департаментом</span></p></td>
<td style="BORDER-BOTTOM: #ece9d8; BORDER-LEFT: #ece9d8; PADDING-BOTTOM: 1.4pt; PADDING-LEFT: 2.85pt; PADDING-RIGHT: 2.85pt; BORDER-TOP: #ece9d8; BORDER-RIGHT: #ece9d8; PADDING-TOP: 1.4pt" valign="top" width="8%">
<p align="center"><span>1</span></p></td></tr>
<tr>
<td style="BORDER-BOTTOM: #ece9d8; BORDER-LEFT: #ece9d8; PADDING-BOTTOM: 1.4pt; PADDING-LEFT: 2.85pt; PADDING-RIGHT: 2.85pt; BORDER-TOP: #ece9d8; BORDER-RIGHT: #ece9d8; PADDING-TOP: 1.4pt" valign="top" width="91%" colspan="2">
<p><span>Сектор по вопросам культуры и искусства</span></p></td>
<td style="BORDER-BOTTOM: #ece9d8; BORDER-LEFT: #ece9d8; PADDING-BOTTOM: 1.4pt; PADDING-LEFT: 2.85pt; PADDING-RIGHT: 2.85pt; BORDER-TOP: #ece9d8; BORDER-RIGHT: #ece9d8; PADDING-TOP: 1.4pt" valign="top" width="8%">
<p align="center"></p></td></tr>
<tr>
<td style="BORDER-BOTTOM: #ece9d8; BORDER-LEFT: #ece9d8; PADDING-BOTTOM: 1.4pt; PADDING-LEFT: 2.85pt; PADDING-RIGHT: 2.85pt; BORDER-TOP: #ece9d8; BORDER-RIGHT: #ece9d8; PADDING-TOP: 1.4pt" valign="top" width="91%" colspan="2">
<p><span>Заведующий сектором</span></p></td>
<td style="BORDER-BOTTOM: #ece9d8; BORDER-LEFT: #ece9d8; PADDING-BOTTOM: 1.4pt; PADDING-LEFT: 2.85pt; PADDING-RIGHT: 2.85pt; BORDER-TOP: #ece9d8; BORDER-RIGHT: #ece9d8; PADDING-TOP: 1.4pt" valign="top" width="8%">
<p align="center"><span>1</span></p></td></tr>
<tr>
<td style="BORDER-BOTTOM: #ece9d8; BORDER-LEFT: #ece9d8; PADDING-BOTTOM: 1.4pt; PADDING-LEFT: 2.85pt; PADDING-RIGHT: 2.85pt; BORDER-TOP: #ece9d8; BORDER-RIGHT: #ece9d8; PADDING-TOP: 1.4pt" valign="top" width="91%" colspan="2">
<p><span>Главный специалист по вопросам культурно-массовых мероприятий, эстрадно-концертной деятельности</span></p></td>
<td style="BORDER-BOTTOM: #ece9d8; BORDER-LEFT: #ece9d8; PADDING-BOTTOM: 1.4pt; PADDING-LEFT: 2.85pt; PADDING-RIGHT: 2.85pt; BORDER-TOP: #ece9d8; BORDER-RIGHT: #ece9d8; PADDING-TOP: 1.4pt" valign="top" width="8%">
<p align="center"><span>1</span></p></td></tr>
<tr>
<td style="BORDER-BOTTOM: #ece9d8; BORDER-LEFT: #ece9d8; PADDING-BOTTOM: 1.4pt; PADDING-LEFT: 2.85pt; PADDING-RIGHT: 2.85pt; BORDER-TOP: #ece9d8; BORDER-RIGHT: #ece9d8; PADDING-TOP: 1.4pt" valign="top" width="91%" colspan="2">
<p><span>Ведущий специалист по вопросам театральной деятельности</span></p></td>
<td style="BORDER-BOTTOM: #ece9d8; BORDER-LEFT: #ece9d8; PADDING-BOTTOM: 1.4pt; PADDING-LEFT: 2.85pt; PADDING-RIGHT: 2.85pt; BORDER-TOP: #ece9d8; BORDER-RIGHT: #ece9d8; PADDING-TOP: 1.4pt" valign="top" width="8%">
<p align="center"><span>1</span></p></td></tr>
<tr>
<td style="BORDER-BOTTOM: #ece9d8; BORDER-LEFT: #ece9d8; PADDING-BOTTOM: 1.4pt; PADDING-LEFT: 2.85pt; PADDING-RIGHT: 2.85pt; BORDER-TOP: #ece9d8; BORDER-RIGHT: #ece9d8; PADDING-TOP: 1.4pt" valign="top" width="91%" colspan="2">
<p><span>Ведущий специалист по вопросам кинематографии</span></p></td>
<td style="BORDER-BOTTOM: #ece9d8; BORDER-LEFT: #ece9d8; PADDING-BOTTOM: 1.4pt; PADDING-LEFT: 2.85pt; PADDING-RIGHT: 2.85pt; BORDER-TOP: #ece9d8; BORDER-RIGHT: #ece9d8; PADDING-TOP: 1.4pt" valign="top" width="8%">
<p align="center"><span>1</span></p></td></tr>
<tr>
<td style="BORDER-BOTTOM: #ece9d8; BORDER-LEFT: #ece9d8; PADDING-BOTTOM: 1.4pt; PADDING-LEFT: 2.85pt; PADDING-RIGHT: 2.85pt; BORDER-TOP: #ece9d8; BORDER-RIGHT: #ece9d8; PADDING-TOP: 1.4pt" valign="top" width="91%" colspan="2">
<p><span>Сектор по вопросам развития информационно-коммуникационных технологий</span></p></td>
<td style="BORDER-BOTTOM: #ece9d8; BORDER-LEFT: #ece9d8; PADDING-BOTTOM: 1.4pt; PADDING-LEFT: 2.85pt; PADDING-RIGHT: 2.85pt; BORDER-TOP: #ece9d8; BORDER-RIGHT: #ece9d8; PADDING-TOP: 1.4pt" valign="top" width="8%">
<p align="center"></p></td></tr>
<tr>
<td style="BORDER-BOTTOM: #ece9d8; BORDER-LEFT: #ece9d8; PADDING-BOTTOM: 1.4pt; PADDING-LEFT: 2.85pt; PADDING-RIGHT: 2.85pt; BORDER-TOP: #ece9d8; BORDER-RIGHT: #ece9d8; PADDING-TOP: 1.4pt" valign="top" width="91%" colspan="2">
<p><span>Заведующий сектором</span></p></td>
<td style="BORDER-BOTTOM: #ece9d8; BORDER-LEFT: #ece9d8; PADDING-BOTTOM: 1.4pt; PADDING-LEFT: 2.85pt; PADDING-RIGHT: 2.85pt; BORDER-TOP: #ece9d8; BORDER-RIGHT: #ece9d8; PADDING-TOP: 1.4pt" valign="top" width="8%">
<p align="center"><span>1</span></p></td></tr>
<tr>
<td style="BORDER-BOTTOM: #ece9d8; BORDER-LEFT: #ece9d8; PADDING-BOTTOM: 1.4pt; PADDING-LEFT: 2.85pt; PADDING-RIGHT: 2.85pt; BORDER-TOP: #ece9d8; BORDER-RIGHT: #ece9d8; PADDING-TOP: 1.4pt" valign="top" width="91%" colspan="2">
<p><span>Главный специалист по вопросам развития информационно-коммуникационных технологий в органах государственного управления и власти</span></p></td>
<td style="BORDER-BOTTOM: #ece9d8; BORDER-LEFT: #ece9d8; PADDING-BOTTOM: 1.4pt; PADDING-LEFT: 2.85pt; PADDING-RIGHT: 2.85pt; BORDER-TOP: #ece9d8; BORDER-RIGHT: #ece9d8; PADDING-TOP: 1.4pt" valign="top" width="8%">
<p align="center"><span>1</span></p></td></tr>
<tr>
<td style="BORDER-BOTTOM: #ece9d8; BORDER-LEFT: #ece9d8; PADDING-BOTTOM: 1.4pt; PADDING-LEFT: 2.85pt; PADDING-RIGHT: 2.85pt; BORDER-TOP: #ece9d8; BORDER-RIGHT: #ece9d8; PADDING-TOP: 1.4pt" valign="top" width="91%" colspan="2">
<p><span>Ведущий специалист</span></p></td>
<td style="BORDER-BOTTOM: #ece9d8; BORDER-LEFT: #ece9d8; PADDING-BOTTOM: 1.4pt; PADDING-LEFT: 2.85pt; PADDING-RIGHT: 2.85pt; BORDER-TOP: #ece9d8; BORDER-RIGHT: #ece9d8; PADDING-TOP: 1.4pt" valign="top" width="8%">
<p align="center"><span>1</span></p></td></tr>
<tr>
<td style="BORDER-BOTTOM: #ece9d8; BORDER-LEFT: #ece9d8; PADDING-BOTTOM: 1.4pt; PADDING-LEFT: 2.85pt; PADDING-RIGHT: 2.85pt; BORDER-TOP: #ece9d8; BORDER-RIGHT: #ece9d8; PADDING-TOP: 1.4pt" valign="top" width="91%" colspan="2">
<p><span>Главный специалист по вопросам развития информационно-коммуникационных технологий в отраслях и сферах экономики</span></p></td>
<td style="BORDER-BOTTOM: #ece9d8; BORDER-LEFT: #ece9d8; PADDING-BOTTOM: 1.4pt; PADDING-LEFT: 2.85pt; PADDING-RIGHT: 2.85pt; BORDER-TOP: #ece9d8; BORDER-RIGHT: #ece9d8; PADDING-TOP: 1.4pt" valign="top" width="8%">
<p align="center"><span>1</span></p></td></tr>
<tr>
<td style="BORDER-BOTTOM: #ece9d8; BORDER-LEFT: #ece9d8; PADDING-BOTTOM: 1.4pt; PADDING-LEFT: 2.85pt; PADDING-RIGHT: 2.85pt; BORDER-TOP: #ece9d8; BORDER-RIGHT: #ece9d8; PADDING-TOP: 1.4pt" valign="top" width="91%" colspan="2">
<p><span>Ведущий специалист</span></p></td>
<td style="BORDER-BOTTOM: #ece9d8; BORDER-LEFT: #ece9d8; PADDING-BOTTOM: 1.4pt; PADDING-LEFT: 2.85pt; PADDING-RIGHT: 2.85pt; BORDER-TOP: #ece9d8; BORDER-RIGHT: #ece9d8; PADDING-TOP: 1.4pt" valign="top" width="8%">
<p align="center"><span>1</span></p></td></tr>
<tr>
<td style="BORDER-BOTTOM: #ece9d8; BORDER-LEFT: #ece9d8; PADDING-BOTTOM: 1.4pt; PADDING-LEFT: 2.85pt; PADDING-RIGHT: 2.85pt; BORDER-TOP: #ece9d8; BORDER-RIGHT: #ece9d8; PADDING-TOP: 1.4pt" valign="top" width="91%" colspan="2">
<p><span>Главный специалист по вопросам средств массовой информации, полиграфии и издательского дела</span></p></td>
<td style="BORDER-BOTTOM: #ece9d8; BORDER-LEFT: #ece9d8; PADDING-BOTTOM: 1.4pt; PADDING-LEFT: 2.85pt; PADDING-RIGHT: 2.85pt; BORDER-TOP: #ece9d8; BORDER-RIGHT: #ece9d8; PADDING-TOP: 1.4pt" valign="top" width="8%">
<p align="center"><span>1</span></p></td></tr>
<tr>
<td style="BORDER-BOTTOM: #ece9d8; BORDER-LEFT: #ece9d8; PADDING-BOTTOM: 1.4pt; PADDING-LEFT: 2.85pt; PADDING-RIGHT: 2.85pt; BORDER-TOP: #ece9d8; BORDER-RIGHT: #ece9d8; PADDING-TOP: 1.4pt" valign="top" width="91%" colspan="2">
<p><span>Сектор по вопросам мониторинга национального информационного пространства и обеспечения информационной безопасности</span></p></td>
<td style="BORDER-BOTTOM: #ece9d8; BORDER-LEFT: #ece9d8; PADDING-BOTTOM: 1.4pt; PADDING-LEFT: 2.85pt; PADDING-RIGHT: 2.85pt; BORDER-TOP: #ece9d8; BORDER-RIGHT: #ece9d8; PADDING-TOP: 1.4pt" valign="top" width="8%">
<p align="center"></p></td></tr>
<tr>
<td style="BORDER-BOTTOM: #ece9d8; BORDER-LEFT: #ece9d8; PADDING-BOTTOM: 1.4pt; PADDING-LEFT: 2.85pt; PADDING-RIGHT: 2.85pt; BORDER-TOP: #ece9d8; BORDER-RIGHT: #ece9d8; PADDING-TOP: 1.4pt" valign="top" width="91%" colspan="2">
<p><span>Заведующий сектором</span></p></td>
<td style="BORDER-BOTTOM: #ece9d8; BORDER-LEFT: #ece9d8; PADDING-BOTTOM: 1.4pt; PADDING-LEFT: 2.85pt; PADDING-RIGHT: 2.85pt; BORDER-TOP: #ece9d8; BORDER-RIGHT: #ece9d8; PADDING-TOP: 1.4pt" valign="top" width="8%">
<p align="center"><span>1</span></p></td></tr>
<tr>
<td style="BORDER-BOTTOM: #ece9d8; BORDER-LEFT: #ece9d8; PADDING-BOTTOM: 1.4pt; PADDING-LEFT: 2.85pt; PADDING-RIGHT: 2.85pt; BORDER-TOP: #ece9d8; BORDER-RIGHT: #ece9d8; PADDING-TOP: 1.4pt" valign="top" width="91%" colspan="2">
<p><span>Главный специалист по вопросам мониторинга национального информационного пространства</span></p></td>
<td style="BORDER-BOTTOM: #ece9d8; BORDER-LEFT: #ece9d8; PADDING-BOTTOM: 1.4pt; PADDING-LEFT: 2.85pt; PADDING-RIGHT: 2.85pt; BORDER-TOP: #ece9d8; BORDER-RIGHT: #ece9d8; PADDING-TOP: 1.4pt" valign="top" width="8%">
<p align="center"><span>1</span></p></td></tr>
<tr>
<td style="BORDER-BOTTOM: #ece9d8; BORDER-LEFT: #ece9d8; PADDING-BOTTOM: 1.4pt; PADDING-LEFT: 2.85pt; PADDING-RIGHT: 2.85pt; BORDER-TOP: #ece9d8; BORDER-RIGHT: #ece9d8; PADDING-TOP: 1.4pt" valign="top" width="91%" colspan="2">
<p><span>Ведущий специалист</span></p></td>
<td style="BORDER-BOTTOM: #ece9d8; BORDER-LEFT: #ece9d8; PADDING-BOTTOM: 1.4pt; PADDING-LEFT: 2.85pt; PADDING-RIGHT: 2.85pt; BORDER-TOP: #ece9d8; BORDER-RIGHT: #ece9d8; PADDING-TOP: 1.4pt" valign="top" width="8%">
<p align="center"><span>1</span></p></td></tr>
<tr>
<td style="BORDER-BOTTOM: #ece9d8; BORDER-LEFT: #ece9d8; PADDING-BOTTOM: 1.4pt; PADDING-LEFT: 2.85pt; PADDING-RIGHT: 2.85pt; BORDER-TOP: #ece9d8; BORDER-RIGHT: #ece9d8; PADDING-TOP: 1.4pt" valign="top" width="91%" colspan="2">
<p><span>Главный специалист по вопросам обеспечения информационной безопасности</span></p></td>
<td style="BORDER-BOTTOM: #ece9d8; BORDER-LEFT: #ece9d8; PADDING-BOTTOM: 1.4pt; PADDING-LEFT: 2.85pt; PADDING-RIGHT: 2.85pt; BORDER-TOP: #ece9d8; BORDER-RIGHT: #ece9d8; PADDING-TOP: 1.4pt" valign="top" width="8%">
<p align="center"><span>1</span></p></td></tr>
<tr>
<td style="BORDER-BOTTOM: #ece9d8; BORDER-LEFT: #ece9d8; PADDING-BOTTOM: 1.4pt; PADDING-LEFT: 2.85pt; PADDING-RIGHT: 2.85pt; BORDER-TOP: #ece9d8; BORDER-RIGHT: #ece9d8; PADDING-TOP: 1.4pt" valign="top" width="91%" colspan="2">
<p><span>Сектор по вопросам развития почты и телекоммуникаций, архивного дела, защиты прав интеллектуальной собственности</span></p></td>
<td style="BORDER-BOTTOM: #ece9d8; BORDER-LEFT: #ece9d8; PADDING-BOTTOM: 1.4pt; PADDING-LEFT: 2.85pt; PADDING-RIGHT: 2.85pt; BORDER-TOP: #ece9d8; BORDER-RIGHT: #ece9d8; PADDING-TOP: 1.4pt" valign="top" width="8%">
<p align="center"></p></td></tr>
<tr>
<td style="BORDER-BOTTOM: #ece9d8; BORDER-LEFT: #ece9d8; PADDING-BOTTOM: 1.4pt; PADDING-LEFT: 2.85pt; PADDING-RIGHT: 2.85pt; BORDER-TOP: #ece9d8; BORDER-RIGHT: #ece9d8; PADDING-TOP: 1.4pt" valign="top" width="91%" colspan="2">
<p><span>Заведующий сектором</span></p></td>
<td style="BORDER-BOTTOM: #ece9d8; BORDER-LEFT: #ece9d8; PADDING-BOTTOM: 1.4pt; PADDING-LEFT: 2.85pt; PADDING-RIGHT: 2.85pt; BORDER-TOP: #ece9d8; BORDER-RIGHT: #ece9d8; PADDING-TOP: 1.4pt" valign="top" width="8%">
<p align="center"><span>1</span></p></td></tr>
<tr>
<td style="BORDER-BOTTOM: #ece9d8; BORDER-LEFT: #ece9d8; PADDING-BOTTOM: 1.4pt; PADDING-LEFT: 2.85pt; PADDING-RIGHT: 2.85pt; BORDER-TOP: #ece9d8; BORDER-RIGHT: #ece9d8; PADDING-TOP: 1.4pt" valign="top" width="91%" colspan="2">
<p><span>Главный специалист по вопросам развития почты и телекоммуникаций</span></p></td>
<td style="BORDER-BOTTOM: #ece9d8; BORDER-LEFT: #ece9d8; PADDING-BOTTOM: 1.4pt; PADDING-LEFT: 2.85pt; PADDING-RIGHT: 2.85pt; BORDER-TOP: #ece9d8; BORDER-RIGHT: #ece9d8; PADDING-TOP: 1.4pt" valign="top" width="8%">
<p align="center"><span>1</span></p></td></tr>
<tr>
<td style="BORDER-BOTTOM: #ece9d8; BORDER-LEFT: #ece9d8; PADDING-BOTTOM: 1.4pt; PADDING-LEFT: 2.85pt; PADDING-RIGHT: 2.85pt; BORDER-TOP: #ece9d8; BORDER-RIGHT: #ece9d8; PADDING-TOP: 1.4pt" valign="top" width="91%" colspan="2">
<p><span>Главный специалист по вопросам защиты прав интеллектуальной собственности и развития архивного дела</span></p></td>
<td style="BORDER-BOTTOM: #ece9d8; BORDER-LEFT: #ece9d8; PADDING-BOTTOM: 1.4pt; PADDING-LEFT: 2.85pt; PADDING-RIGHT: 2.85pt; BORDER-TOP: #ece9d8; BORDER-RIGHT: #ece9d8; PADDING-TOP: 1.4pt" valign="top" width="8%">
<p align="center"><span>1</span></p></td></tr>
<tr>
<td style="BORDER-BOTTOM: #ece9d8; BORDER-LEFT: #ece9d8; PADDING-BOTTOM: 1.4pt; PADDING-LEFT: 2.85pt; PADDING-RIGHT: 2.85pt; BORDER-TOP: #ece9d8; BORDER-RIGHT: #ece9d8; PADDING-TOP: 1.4pt" valign="top" width="91%" colspan="2">
<p><span>Инспектор</span></p></td>
<td style="BORDER-BOTTOM: #ece9d8; BORDER-LEFT: #ece9d8; PADDING-BOTTOM: 1.4pt; PADDING-LEFT: 2.85pt; PADDING-RIGHT: 2.85pt; BORDER-TOP: #ece9d8; BORDER-RIGHT: #ece9d8; PADDING-TOP: 1.4pt" valign="top" width="8%">
<p align="center"><span>1</span></p></td></tr>
<tr>
<td style="BORDER-BOTTOM: #ece9d8; BORDER-LEFT: #ece9d8; PADDING-BOTTOM: 1.4pt; PADDING-LEFT: 2.85pt; PADDING-RIGHT: 2.85pt; BORDER-TOP: #ece9d8; BORDER-RIGHT: #ece9d8; PADDING-TOP: 1.4pt" valign="top" width="91%" colspan="2">
<p align="center"><b><span>Всего:</span></b></p></td>
<td style="BORDER-BOTTOM: #ece9d8; BORDER-LEFT: #ece9d8; PADDING-BOTTOM: 1.4pt; PADDING-LEFT: 2.85pt; PADDING-RIGHT: 2.85pt; BORDER-TOP: #ece9d8; BORDER-RIGHT: #ece9d8; PADDING-TOP: 1.4pt" valign="top" width="8%">
<p align="center"><b><span>20</span></b></p></td></tr>
<tr>
<td style="BORDER-BOTTOM: #ece9d8; BORDER-LEFT: #ece9d8; PADDING-BOTTOM: 1.4pt; PADDING-LEFT: 2.85pt; PADDING-RIGHT: 2.85pt; BORDER-TOP: #ece9d8; BORDER-RIGHT: #ece9d8; PADDING-TOP: 1.4pt" valign="top" width="100%" colspan="3">
<p align="center"><b><br /></b></p>
<p align="center"><b><span>КУРИРУЕМЫЕ <br />министерства, ведомства и другие организации</span></b></p></td></tr>
<tr>
<td style="BORDER-BOTTOM: #ece9d8; BORDER-LEFT: #ece9d8; PADDING-BOTTOM: 1.4pt; PADDING-LEFT: 2.85pt; PADDING-RIGHT: 2.85pt; BORDER-TOP: #ece9d8; BORDER-RIGHT: #ece9d8; PADDING-TOP: 1.4pt" valign="top" width="100%" colspan="3">
<p align="center"><b></b></p></td></tr>
<tr>
<td style="BORDER-BOTTOM: #ece9d8; BORDER-LEFT: #ece9d8; PADDING-BOTTOM: 1.4pt; PADDING-LEFT: 2.85pt; PADDING-RIGHT: 2.85pt; BORDER-TOP: #ece9d8; BORDER-RIGHT: #ece9d8; PADDING-TOP: 1.4pt" valign="top" width="5%">
<p align="center"><span>1.</span></p></td>
<td style="BORDER-BOTTOM: #ece9d8; BORDER-LEFT: #ece9d8; PADDING-BOTTOM: 1.4pt; PADDING-LEFT: 2.85pt; PADDING-RIGHT: 2.85pt; BORDER-TOP: #ece9d8; BORDER-RIGHT: #ece9d8; PADDING-TOP: 1.4pt" valign="top" width="94%" colspan="2">
<p><span>Министерство культуры Республики Узбекистан</span></p></td></tr>
<tr>
<td style="BORDER-BOTTOM: #ece9d8; BORDER-LEFT: #ece9d8; PADDING-BOTTOM: 1.4pt; PADDING-LEFT: 2.85pt; PADDING-RIGHT: 2.85pt; BORDER-TOP: #ece9d8; BORDER-RIGHT: #ece9d8; PADDING-TOP: 1.4pt" valign="top" width="5%">
<p align="center"><span>2.</span></p></td>
<td style="BORDER-BOTTOM: #ece9d8; BORDER-LEFT: #ece9d8; PADDING-BOTTOM: 1.4pt; PADDING-LEFT: 2.85pt; PADDING-RIGHT: 2.85pt; BORDER-TOP: #ece9d8; BORDER-RIGHT: #ece9d8; PADDING-TOP: 1.4pt" valign="top" width="94%" colspan="2">
<p><span>Министерство по развитию информационных технологий и коммуникаций Республики Узбекистан</span></p></td></tr>
<tr>
<td style="BORDER-BOTTOM: #ece9d8; BORDER-LEFT: #ece9d8; PADDING-BOTTOM: 1.4pt; PADDING-LEFT: 2.85pt; PADDING-RIGHT: 2.85pt; BORDER-TOP: #ece9d8; BORDER-RIGHT: #ece9d8; PADDING-TOP: 1.4pt" valign="top" width="5%">
<p align="center"><span>3.</span></p></td>
<td style="BORDER-BOTTOM: #ece9d8; BORDER-LEFT: #ece9d8; PADDING-BOTTOM: 1.4pt; PADDING-LEFT: 2.85pt; PADDING-RIGHT: 2.85pt; BORDER-TOP: #ece9d8; BORDER-RIGHT: #ece9d8; PADDING-TOP: 1.4pt" valign="top" width="94%" colspan="2">
<p><span>Государственный центр персонализации при Кабинете Министров Республики Узбекистан</span></p></td></tr>
<tr>
<td style="BORDER-BOTTOM: #ece9d8; BORDER-LEFT: #ece9d8; PADDING-BOTTOM: 1.4pt; PADDING-LEFT: 2.85pt; PADDING-RIGHT: 2.85pt; BORDER-TOP: #ece9d8; BORDER-RIGHT: #ece9d8; PADDING-TOP: 1.4pt" valign="top" width="5%">
<p align="center"><span>4.</span></p></td>
<td style="BORDER-BOTTOM: #ece9d8; BORDER-LEFT: #ece9d8; PADDING-BOTTOM: 1.4pt; PADDING-LEFT: 2.85pt; PADDING-RIGHT: 2.85pt; BORDER-TOP: #ece9d8; BORDER-RIGHT: #ece9d8; PADDING-TOP: 1.4pt" valign="top" width="94%" colspan="2">
<p><span>Узбекское агентство по печати и информации</span></p></td></tr>
<tr>
<td style="BORDER-BOTTOM: #ece9d8; BORDER-LEFT: #ece9d8; PADDING-BOTTOM: 1.4pt; PADDING-LEFT: 2.85pt; PADDING-RIGHT: 2.85pt; BORDER-TOP: #ece9d8; BORDER-RIGHT: #ece9d8; PADDING-TOP: 1.4pt" valign="top" width="5%">
<p align="center"><span>5.</span></p></td>
<td style="BORDER-BOTTOM: #ece9d8; BORDER-LEFT: #ece9d8; PADDING-BOTTOM: 1.4pt; PADDING-LEFT: 2.85pt; PADDING-RIGHT: 2.85pt; BORDER-TOP: #ece9d8; BORDER-RIGHT: #ece9d8; PADDING-TOP: 1.4pt" valign="top" width="94%" colspan="2">
<p><span>Агентство по интеллектуальной собственности</span></p></td></tr>
<tr>
<td style="BORDER-BOTTOM: #ece9d8; BORDER-LEFT: #ece9d8; PADDING-BOTTOM: 1.4pt; PADDING-LEFT: 2.85pt; PADDING-RIGHT: 2.85pt; BORDER-TOP: #ece9d8; BORDER-RIGHT: #ece9d8; PADDING-TOP: 1.4pt" valign="top" width="5%">
<p align="center"><span>6.</span></p></td>
<td style="BORDER-BOTTOM: #ece9d8; BORDER-LEFT: #ece9d8; PADDING-BOTTOM: 1.4pt; PADDING-LEFT: 2.85pt; PADDING-RIGHT: 2.85pt; BORDER-TOP: #ece9d8; BORDER-RIGHT: #ece9d8; PADDING-TOP: 1.4pt" valign="top" width="94%" colspan="2">
<p><span>Агентство «Узархив»</span></p></td></tr>
<tr>
<td style="BORDER-BOTTOM: #ece9d8; BORDER-LEFT: #ece9d8; PADDING-BOTTOM: 1.4pt; PADDING-LEFT: 2.85pt; PADDING-RIGHT: 2.85pt; BORDER-TOP: #ece9d8; BORDER-RIGHT: #ece9d8; PADDING-TOP: 1.4pt" valign="top" width="5%">
<p align="center"><span>7.</span></p></td>
<td style="BORDER-BOTTOM: #ece9d8; BORDER-LEFT: #ece9d8; PADDING-BOTTOM: 1.4pt; PADDING-LEFT: 2.85pt; PADDING-RIGHT: 2.85pt; BORDER-TOP: #ece9d8; BORDER-RIGHT: #ece9d8; PADDING-TOP: 1.4pt" valign="top" width="94%" colspan="2">
<p><span>Национальное информационное агентство Узбекистана</span></p></td></tr>
<tr>
<td style="BORDER-BOTTOM: #ece9d8; BORDER-LEFT: #ece9d8; PADDING-BOTTOM: 1.4pt; PADDING-LEFT: 2.85pt; PADDING-RIGHT: 2.85pt; BORDER-TOP: #ece9d8; BORDER-RIGHT: #ece9d8; PADDING-TOP: 1.4pt" valign="top" width="5%">
<p align="center"><span>8.</span></p></td>
<td style="BORDER-BOTTOM: #ece9d8; BORDER-LEFT: #ece9d8; PADDING-BOTTOM: 1.4pt; PADDING-LEFT: 2.85pt; PADDING-RIGHT: 2.85pt; BORDER-TOP: #ece9d8; BORDER-RIGHT: #ece9d8; PADDING-TOP: 1.4pt" valign="top" width="94%" colspan="2">
<p><span>Национальное агентство «Узбеккино»</span></p></td></tr>
<tr>
<td style="BORDER-BOTTOM: #ece9d8; BORDER-LEFT: #ece9d8; PADDING-BOTTOM: 1.4pt; PADDING-LEFT: 2.85pt; PADDING-RIGHT: 2.85pt; BORDER-TOP: #ece9d8; BORDER-RIGHT: #ece9d8; PADDING-TOP: 1.4pt" valign="top" width="5%">
<p align="center"><span>9.</span></p></td>
<td style="BORDER-BOTTOM: #ece9d8; BORDER-LEFT: #ece9d8; PADDING-BOTTOM: 1.4pt; PADDING-LEFT: 2.85pt; PADDING-RIGHT: 2.85pt; BORDER-TOP: #ece9d8; BORDER-RIGHT: #ece9d8; PADDING-TOP: 1.4pt" valign="top" width="94%" colspan="2">
<p><span>Национальная телерадиокомпания Узбекистана</span></p></td></tr>
<tr>
<td style="BORDER-BOTTOM: #ece9d8; BORDER-LEFT: #ece9d8; PADDING-BOTTOM: 1.4pt; PADDING-LEFT: 2.85pt; PADDING-RIGHT: 2.85pt; BORDER-TOP: #ece9d8; BORDER-RIGHT: #ece9d8; PADDING-TOP: 1.4pt" valign="top" width="5%">
<p align="center"><span>10.</span></p></td>
<td style="BORDER-BOTTOM: #ece9d8; BORDER-LEFT: #ece9d8; PADDING-BOTTOM: 1.4pt; PADDING-LEFT: 2.85pt; PADDING-RIGHT: 2.85pt; BORDER-TOP: #ece9d8; BORDER-RIGHT: #ece9d8; PADDING-TOP: 1.4pt" valign="top" width="94%" colspan="2">
<p><span>Издательско-полиграфическая акционерная компания «ШАРК»</span></p></td></tr>
<tr>
<td style="BORDER-BOTTOM: #ece9d8; BORDER-LEFT: #ece9d8; PADDING-BOTTOM: 1.4pt; PADDING-LEFT: 2.85pt; PADDING-RIGHT: 2.85pt; BORDER-TOP: #ece9d8; BORDER-RIGHT: #ece9d8; PADDING-TOP: 1.4pt" valign="top" width="5%">
<p align="center"><span>11.</span></p></td>
<td style="BORDER-BOTTOM: #ece9d8; BORDER-LEFT: #ece9d8; PADDING-BOTTOM: 1.4pt; PADDING-LEFT: 2.85pt; PADDING-RIGHT: 2.85pt; BORDER-TOP: #ece9d8; BORDER-RIGHT: #ece9d8; PADDING-TOP: 1.4pt" valign="top" width="94%" colspan="2">
<p><span>Национальная библиотека имени Алишера Навои</span></p></td></tr>
<tr>
<td style="BORDER-BOTTOM: #ece9d8; BORDER-LEFT: #ece9d8; PADDING-BOTTOM: 1.4pt; PADDING-LEFT: 2.85pt; PADDING-RIGHT: 2.85pt; BORDER-TOP: #ece9d8; BORDER-RIGHT: #ece9d8; PADDING-TOP: 1.4pt" valign="top" width="5%">
<p align="center"><span>12.</span></p></td>
<td style="BORDER-BOTTOM: #ece9d8; BORDER-LEFT: #ece9d8; PADDING-BOTTOM: 1.4pt; PADDING-LEFT: 2.85pt; PADDING-RIGHT: 2.85pt; BORDER-TOP: #ece9d8; BORDER-RIGHT: #ece9d8; PADDING-TOP: 1.4pt" valign="top" width="94%" colspan="2">
<p><span>Союз писателей Узбекистана</span></p></td></tr>
<tr>
<td style="BORDER-BOTTOM: #ece9d8; BORDER-LEFT: #ece9d8; PADDING-BOTTOM: 1.4pt; PADDING-LEFT: 2.85pt; PADDING-RIGHT: 2.85pt; BORDER-TOP: #ece9d8; BORDER-RIGHT: #ece9d8; PADDING-TOP: 1.4pt" valign="top" width="5%">
<p align="center"><span>13.</span></p></td>
<td style="BORDER-BOTTOM: #ece9d8; BORDER-LEFT: #ece9d8; PADDING-BOTTOM: 1.4pt; PADDING-LEFT: 2.85pt; PADDING-RIGHT: 2.85pt; BORDER-TOP: #ece9d8; BORDER-RIGHT: #ece9d8; PADDING-TOP: 1.4pt" valign="top" width="94%" colspan="2">
<p><span>Творческий союз журналистов Узбекистана</span></p></td></tr>
<tr>
<td style="BORDER-BOTTOM: #ece9d8; BORDER-LEFT: #ece9d8; PADDING-BOTTOM: 1.4pt; PADDING-LEFT: 2.85pt; PADDING-RIGHT: 2.85pt; BORDER-TOP: #ece9d8; BORDER-RIGHT: #ece9d8; PADDING-TOP: 1.4pt" valign="top" width="5%">
<p align="center"><span>14.</span></p></td>
<td style="BORDER-BOTTOM: #ece9d8; BORDER-LEFT: #ece9d8; PADDING-BOTTOM: 1.4pt; PADDING-LEFT: 2.85pt; PADDING-RIGHT: 2.85pt; BORDER-TOP: #ece9d8; BORDER-RIGHT: #ece9d8; PADDING-TOP: 1.4pt" valign="top" width="94%" colspan="2">
<p><span>Академия художеств Узбекистана</span></p></td></tr>
<tr>
<td style="BORDER-BOTTOM: #ece9d8; BORDER-LEFT: #ece9d8; PADDING-BOTTOM: 1.4pt; PADDING-LEFT: 2.85pt; PADDING-RIGHT: 2.85pt; BORDER-TOP: #ece9d8; BORDER-RIGHT: #ece9d8; PADDING-TOP: 1.4pt" valign="top" width="5%">
<p align="center"><span>15.</span></p></td>
<td style="BORDER-BOTTOM: #ece9d8; BORDER-LEFT: #ece9d8; PADDING-BOTTOM: 1.4pt; PADDING-LEFT: 2.85pt; PADDING-RIGHT: 2.85pt; BORDER-TOP: #ece9d8; BORDER-RIGHT: #ece9d8; PADDING-TOP: 1.4pt" valign="top" width="94%" colspan="2">
<p><span>АК «Алокабанк»</span></p></td></tr>
<tr>
<td style="BORDER-BOTTOM: #ece9d8; BORDER-LEFT: #ece9d8; PADDING-BOTTOM: 1.4pt; PADDING-LEFT: 2.85pt; PADDING-RIGHT: 2.85pt; BORDER-TOP: #ece9d8; BORDER-RIGHT: #ece9d8; PADDING-TOP: 1.4pt" valign="top" width="5%">
<p align="center"><span>16.</span></p></td>
<td style="BORDER-BOTTOM: #ece9d8; BORDER-LEFT: #ece9d8; PADDING-BOTTOM: 1.4pt; PADDING-LEFT: 2.85pt; PADDING-RIGHT: 2.85pt; BORDER-TOP: #ece9d8; BORDER-RIGHT: #ece9d8; PADDING-TOP: 1.4pt" valign="top" width="94%" colspan="2">
<p><span>Органы государственного и хозяйственного управления, Совет Министров Республики Каракалпакстан, хокимияты областей и г. Ташкента — по вопросам развития информационных систем и технологий, мониторинга национального информационного пространства и обеспечения информационной безопасности</span></p></td></tr></tbody></table></div></div><div class="COMMENT"><label id="s3935"></label><div name="edi3234086" id="edi3234086">См. <a href="/ru/docs/3233862?ONDATE=28.08.2017 00#edi3343754">последующую</a> редакцию.</div></div><div class="BY_DEFAULT lx_elem" style="color:#808080;" onmousemove="lx_mo(event,3234087)"><div class="lx_elem2"><div class="lx_elem3"><span onclick="lx_sf(3234087)"><img src="/img/cmt.svg" />Предложения по документу</span><span onclick="lx_pa(3234087)"><img src="/img/vlm.svg" />Прослушать аудио</span><span onclick="lx_cl(3234087)"><img src="/img/lnk.svg" />Получить ссылку из элемента документа</span></div></div><div name="3234087" id="3234087"></div></div><div class="APPL_BANNER_LANDSCAPE_TITLE lx_elem" style="color:#808080;" onmousemove="lx_mo(event,3234088)"><div class="lx_elem2"><div class="lx_elem3"><span onclick="lx_sf(3234088)"><img src="/img/cmt.svg" />Предложения по документу</span><span onclick="lx_pa(3234088)"><img src="/img/vlm.svg" />Прослушать аудио</span><span onclick="lx_cl(3234088)"><img src="/img/lnk.svg" />Получить ссылку из элемента документа</span></div></div><div name="3234088" id="3234088">ПРИЛОЖЕНИЕ № 7<br />к <a href="/ru/docs/3233862">постановлению </a>Президента Республики Узбекистан от 12 июня 2017 года № ПП-3051 </div></div><div class="ACT_FORM lx_elem" style="color:#808080;" onmousemove="lx_mo(event,3234089)"><div class="lx_elem2"><div class="lx_elem3"><span onclick="lx_sf(3234089)"><img src="/img/cmt.svg" />Предложения по документу</span><span onclick="lx_pa(3234089)"><img src="/img/vlm.svg" />Прослушать аудио</span><span onclick="lx_cl(3234089)"><img src="/img/lnk.svg" />Получить ссылку из элемента документа</span></div></div><div name="3234089" id="3234089">СТРУКТУРА</div></div><div class="ACT_TITLE_APPL lx_elem" style="color:#808080;" onmousemove="lx_mo(event,3234090)"><div class="lx_elem2"><div class="lx_elem3"><span onclick="lx_sf(3234090)"><img src="/img/cmt.svg" />Предложения по документу</span><span onclick="lx_pa(3234090)"><img src="/img/vlm.svg" />Прослушать аудио</span><span onclick="lx_cl(3234090)"><img src="/img/lnk.svg" />Получить ссылку из элемента документа</span></div></div><div name="3234090" id="3234090">Информационно-аналитического департамента по вопросам здравоохранения, экологии, охраны окружающей среды, физической культуры и спорта </div></div><div class="BY_DEFAULT lx_elem" style="color:#808080;" onmousemove="lx_mo(event,3234091)"><div class="lx_elem2"><div class="lx_elem3"><span onclick="lx_sf(3234091)"><img src="/img/cmt.svg" />Предложения по документу</span><span onclick="lx_pa(3234091)"><img src="/img/vlm.svg" />Прослушать аудио</span><span onclick="lx_cl(3234091)"><img src="/img/lnk.svg" />Получить ссылку из элемента документа</span></div></div><div name="3234091" id="3234091"></div></div><div class="BY_DEFAULT lx_elem" style="color:#808080;" onmousemove="lx_mo(event,3234110)"><div class="lx_elem2"><div class="lx_elem3"><span onclick="lx_sf(3234110)"><img src="/img/cmt.svg" />Предложения по документу</span><span onclick="lx_pa(3234110)"><img src="/img/vlm.svg" />Прослушать аудио</span><span onclick="lx_cl(3234110)"><img src="/img/lnk.svg" />Получить ссылку из элемента документа</span></div></div><div name="3234110" id="3234110"><table style="BORDER-COLLAPSE: collapse; BACKGROUND: white" border="0" cellspacing="0" cellpadding="0" width="100%">
<tbody>
<tr>
<td style="BORDER-BOTTOM: #ece9d8; BORDER-LEFT: #ece9d8; PADDING-BOTTOM: 1.4pt; PADDING-LEFT: 2.85pt; PADDING-RIGHT: 2.85pt; BORDER-TOP: #ece9d8; BORDER-RIGHT: #ece9d8; PADDING-TOP: 1.4pt" valign="top" width="92%" colspan="2">
<p><b><span>Заведующий департаментом</span></b></p></td>
<td style="BORDER-BOTTOM: #ece9d8; BORDER-LEFT: #ece9d8; PADDING-BOTTOM: 1.4pt; PADDING-LEFT: 2.85pt; PADDING-RIGHT: 2.85pt; BORDER-TOP: #ece9d8; BORDER-RIGHT: #ece9d8; PADDING-TOP: 1.4pt" valign="top" width="7%">
<p align="center"><b><span>1</span></b></p></td></tr>
<tr>
<td style="BORDER-BOTTOM: #ece9d8; BORDER-LEFT: #ece9d8; PADDING-BOTTOM: 1.4pt; PADDING-LEFT: 2.85pt; PADDING-RIGHT: 2.85pt; BORDER-TOP: #ece9d8; BORDER-RIGHT: #ece9d8; PADDING-TOP: 1.4pt" valign="top" width="92%" colspan="2">
<p><span>Сектор здравоохранения и фармацевтической промышленности</span></p></td>
<td style="BORDER-BOTTOM: #ece9d8; BORDER-LEFT: #ece9d8; PADDING-BOTTOM: 1.4pt; PADDING-LEFT: 2.85pt; PADDING-RIGHT: 2.85pt; BORDER-TOP: #ece9d8; BORDER-RIGHT: #ece9d8; PADDING-TOP: 1.4pt" valign="top" width="7%">
<p align="center"></p></td></tr>
<tr>
<td style="BORDER-BOTTOM: #ece9d8; BORDER-LEFT: #ece9d8; PADDING-BOTTOM: 1.4pt; PADDING-LEFT: 2.85pt; PADDING-RIGHT: 2.85pt; BORDER-TOP: #ece9d8; BORDER-RIGHT: #ece9d8; PADDING-TOP: 1.4pt" valign="top" width="92%" colspan="2">
<p><span>Заведующий сектором</span></p></td>
<td style="BORDER-BOTTOM: #ece9d8; BORDER-LEFT: #ece9d8; PADDING-BOTTOM: 1.4pt; PADDING-LEFT: 2.85pt; PADDING-RIGHT: 2.85pt; BORDER-TOP: #ece9d8; BORDER-RIGHT: #ece9d8; PADDING-TOP: 1.4pt" valign="top" width="7%">
<p align="center"><span>1</span></p></td></tr>
<tr>
<td style="BORDER-BOTTOM: #ece9d8; BORDER-LEFT: #ece9d8; PADDING-BOTTOM: 1.4pt; PADDING-LEFT: 2.85pt; PADDING-RIGHT: 2.85pt; BORDER-TOP: #ece9d8; BORDER-RIGHT: #ece9d8; PADDING-TOP: 1.4pt" valign="top" width="92%" colspan="2">
<p><span>Главный специалист по вопросам развития здравоохранения</span></p></td>
<td style="BORDER-BOTTOM: #ece9d8; BORDER-LEFT: #ece9d8; PADDING-BOTTOM: 1.4pt; PADDING-LEFT: 2.85pt; PADDING-RIGHT: 2.85pt; BORDER-TOP: #ece9d8; BORDER-RIGHT: #ece9d8; PADDING-TOP: 1.4pt" valign="top" width="7%">
<p align="center"><span>1</span></p></td></tr>
<tr>
<td style="BORDER-BOTTOM: #ece9d8; BORDER-LEFT: #ece9d8; PADDING-BOTTOM: 1.4pt; PADDING-LEFT: 2.85pt; PADDING-RIGHT: 2.85pt; BORDER-TOP: #ece9d8; BORDER-RIGHT: #ece9d8; PADDING-TOP: 1.4pt" valign="top" width="92%" colspan="2">
<p><span>Ведущий специалист</span></p></td>
<td style="BORDER-BOTTOM: #ece9d8; BORDER-LEFT: #ece9d8; PADDING-BOTTOM: 1.4pt; PADDING-LEFT: 2.85pt; PADDING-RIGHT: 2.85pt; BORDER-TOP: #ece9d8; BORDER-RIGHT: #ece9d8; PADDING-TOP: 1.4pt" valign="top" width="7%">
<p align="center"><span>1</span></p></td></tr>
<tr>
<td style="BORDER-BOTTOM: #ece9d8; BORDER-LEFT: #ece9d8; PADDING-BOTTOM: 1.4pt; PADDING-LEFT: 2.85pt; PADDING-RIGHT: 2.85pt; BORDER-TOP: #ece9d8; BORDER-RIGHT: #ece9d8; PADDING-TOP: 1.4pt" valign="top" width="92%" colspan="2">
<p><span>Ведущий специалист по вопросам развития фармацевтической промышленности</span></p></td>
<td style="BORDER-BOTTOM: #ece9d8; BORDER-LEFT: #ece9d8; PADDING-BOTTOM: 1.4pt; PADDING-LEFT: 2.85pt; PADDING-RIGHT: 2.85pt; BORDER-TOP: #ece9d8; BORDER-RIGHT: #ece9d8; PADDING-TOP: 1.4pt" valign="top" width="7%">
<p align="center"><span>1</span></p></td></tr>
<tr>
<td style="BORDER-BOTTOM: #ece9d8; BORDER-LEFT: #ece9d8; PADDING-BOTTOM: 1.4pt; PADDING-LEFT: 2.85pt; PADDING-RIGHT: 2.85pt; BORDER-TOP: #ece9d8; BORDER-RIGHT: #ece9d8; PADDING-TOP: 1.4pt" valign="top" width="92%" colspan="2">
<p><span>Сектор экологии и охраны окружающей среды</span></p></td>
<td style="BORDER-BOTTOM: #ece9d8; BORDER-LEFT: #ece9d8; PADDING-BOTTOM: 1.4pt; PADDING-LEFT: 2.85pt; PADDING-RIGHT: 2.85pt; BORDER-TOP: #ece9d8; BORDER-RIGHT: #ece9d8; PADDING-TOP: 1.4pt" valign="top" width="7%">
<p align="center"></p></td></tr>
<tr>
<td style="BORDER-BOTTOM: #ece9d8; BORDER-LEFT: #ece9d8; PADDING-BOTTOM: 1.4pt; PADDING-LEFT: 2.85pt; PADDING-RIGHT: 2.85pt; BORDER-TOP: #ece9d8; BORDER-RIGHT: #ece9d8; PADDING-TOP: 1.4pt" valign="top" width="92%" colspan="2">
<p><span>Заведующий сектором</span></p></td>
<td style="BORDER-BOTTOM: #ece9d8; BORDER-LEFT: #ece9d8; PADDING-BOTTOM: 1.4pt; PADDING-LEFT: 2.85pt; PADDING-RIGHT: 2.85pt; BORDER-TOP: #ece9d8; BORDER-RIGHT: #ece9d8; PADDING-TOP: 1.4pt" valign="top" width="7%">
<p align="center"><span>1</span></p></td></tr>
<tr>
<td style="BORDER-BOTTOM: #ece9d8; BORDER-LEFT: #ece9d8; PADDING-BOTTOM: 1.4pt; PADDING-LEFT: 2.85pt; PADDING-RIGHT: 2.85pt; BORDER-TOP: #ece9d8; BORDER-RIGHT: #ece9d8; PADDING-TOP: 1.4pt" valign="top" width="92%" colspan="2">
<p><span>Главный специалист по вопросам экологии и охраны окружающей среды</span></p></td>
<td style="BORDER-BOTTOM: #ece9d8; BORDER-LEFT: #ece9d8; PADDING-BOTTOM: 1.4pt; PADDING-LEFT: 2.85pt; PADDING-RIGHT: 2.85pt; BORDER-TOP: #ece9d8; BORDER-RIGHT: #ece9d8; PADDING-TOP: 1.4pt" valign="top" width="7%">
<p align="center"><span>1</span></p></td></tr>
<tr>
<td style="BORDER-BOTTOM: #ece9d8; BORDER-LEFT: #ece9d8; PADDING-BOTTOM: 1.4pt; PADDING-LEFT: 2.85pt; PADDING-RIGHT: 2.85pt; BORDER-TOP: #ece9d8; BORDER-RIGHT: #ece9d8; PADDING-TOP: 1.4pt" valign="top" width="92%" colspan="2">
<p><span>Ведущий специалист</span></p></td>
<td style="BORDER-BOTTOM: #ece9d8; BORDER-LEFT: #ece9d8; PADDING-BOTTOM: 1.4pt; PADDING-LEFT: 2.85pt; PADDING-RIGHT: 2.85pt; BORDER-TOP: #ece9d8; BORDER-RIGHT: #ece9d8; PADDING-TOP: 1.4pt" valign="top" width="7%">
<p align="center"><span>1</span></p></td></tr>
<tr>
<td style="BORDER-BOTTOM: #ece9d8; BORDER-LEFT: #ece9d8; PADDING-BOTTOM: 1.4pt; PADDING-LEFT: 2.85pt; PADDING-RIGHT: 2.85pt; BORDER-TOP: #ece9d8; BORDER-RIGHT: #ece9d8; PADDING-TOP: 1.4pt" valign="top" width="92%" colspan="2">
<p><span>Сектор по вопросам физической культуры и спорта</span></p></td>
<td style="BORDER-BOTTOM: #ece9d8; BORDER-LEFT: #ece9d8; PADDING-BOTTOM: 1.4pt; PADDING-LEFT: 2.85pt; PADDING-RIGHT: 2.85pt; BORDER-TOP: #ece9d8; BORDER-RIGHT: #ece9d8; PADDING-TOP: 1.4pt" valign="top" width="7%">
<p align="center"></p></td></tr>
<tr>
<td style="BORDER-BOTTOM: #ece9d8; BORDER-LEFT: #ece9d8; PADDING-BOTTOM: 1.4pt; PADDING-LEFT: 2.85pt; PADDING-RIGHT: 2.85pt; BORDER-TOP: #ece9d8; BORDER-RIGHT: #ece9d8; PADDING-TOP: 1.4pt" valign="top" width="92%" colspan="2">
<p><span>Заведующий сектором</span></p></td>
<td style="BORDER-BOTTOM: #ece9d8; BORDER-LEFT: #ece9d8; PADDING-BOTTOM: 1.4pt; PADDING-LEFT: 2.85pt; PADDING-RIGHT: 2.85pt; BORDER-TOP: #ece9d8; BORDER-RIGHT: #ece9d8; PADDING-TOP: 1.4pt" valign="top" width="7%">
<p align="center"><span>1</span></p></td></tr>
<tr>
<td style="BORDER-BOTTOM: #ece9d8; BORDER-LEFT: #ece9d8; PADDING-BOTTOM: 1.4pt; PADDING-LEFT: 2.85pt; PADDING-RIGHT: 2.85pt; BORDER-TOP: #ece9d8; BORDER-RIGHT: #ece9d8; PADDING-TOP: 1.4pt" valign="top" width="92%" colspan="2">
<p><span>Главный специалист по вопросам физической культуры</span></p></td>
<td style="BORDER-BOTTOM: #ece9d8; BORDER-LEFT: #ece9d8; PADDING-BOTTOM: 1.4pt; PADDING-LEFT: 2.85pt; PADDING-RIGHT: 2.85pt; BORDER-TOP: #ece9d8; BORDER-RIGHT: #ece9d8; PADDING-TOP: 1.4pt" valign="top" width="7%">
<p align="center"><span>1</span></p></td></tr>
<tr>
<td style="BORDER-BOTTOM: #ece9d8; BORDER-LEFT: #ece9d8; PADDING-BOTTOM: 1.4pt; PADDING-LEFT: 2.85pt; PADDING-RIGHT: 2.85pt; BORDER-TOP: #ece9d8; BORDER-RIGHT: #ece9d8; PADDING-TOP: 1.4pt" valign="top" width="92%" colspan="2">
<p><span>Ведущий специалист по вопросам спорта высшего мастерства</span></p></td>
<td style="BORDER-BOTTOM: #ece9d8; BORDER-LEFT: #ece9d8; PADDING-BOTTOM: 1.4pt; PADDING-LEFT: 2.85pt; PADDING-RIGHT: 2.85pt; BORDER-TOP: #ece9d8; BORDER-RIGHT: #ece9d8; PADDING-TOP: 1.4pt" valign="top" width="7%">
<p align="center"><span>1</span></p></td></tr>
<tr>
<td style="BORDER-BOTTOM: #ece9d8; BORDER-LEFT: #ece9d8; PADDING-BOTTOM: 1.4pt; PADDING-LEFT: 2.85pt; PADDING-RIGHT: 2.85pt; BORDER-TOP: #ece9d8; BORDER-RIGHT: #ece9d8; PADDING-TOP: 1.4pt" valign="top" width="92%" colspan="2">
<p><span>Инспектор</span></p></td>
<td style="BORDER-BOTTOM: #ece9d8; BORDER-LEFT: #ece9d8; PADDING-BOTTOM: 1.4pt; PADDING-LEFT: 2.85pt; PADDING-RIGHT: 2.85pt; BORDER-TOP: #ece9d8; BORDER-RIGHT: #ece9d8; PADDING-TOP: 1.4pt" valign="top" width="7%">
<p align="center"><span>1</span></p></td></tr>
<tr>
<td style="BORDER-BOTTOM: #ece9d8; BORDER-LEFT: #ece9d8; PADDING-BOTTOM: 1.4pt; PADDING-LEFT: 2.85pt; PADDING-RIGHT: 2.85pt; BORDER-TOP: #ece9d8; BORDER-RIGHT: #ece9d8; PADDING-TOP: 1.4pt" valign="top" width="92%" colspan="2">
<p align="center"><b><span>Всего:</span></b></p></td>
<td style="BORDER-BOTTOM: #ece9d8; BORDER-LEFT: #ece9d8; PADDING-BOTTOM: 1.4pt; PADDING-LEFT: 2.85pt; PADDING-RIGHT: 2.85pt; BORDER-TOP: #ece9d8; BORDER-RIGHT: #ece9d8; PADDING-TOP: 1.4pt" valign="top" width="7%">
<p align="center"><b><span>12</span></b></p></td></tr>
<tr>
<td style="BORDER-BOTTOM: #ece9d8; BORDER-LEFT: #ece9d8; PADDING-BOTTOM: 1.4pt; PADDING-LEFT: 2.85pt; PADDING-RIGHT: 2.85pt; BORDER-TOP: #ece9d8; BORDER-RIGHT: #ece9d8; PADDING-TOP: 1.4pt" valign="top" width="100%" colspan="3">
<p align="center"><b><span><br /><br />КУРИРУЕМЫЕ <br />министерства, ведомства, хозяйственные объединения и другие организации</span></b></p></td></tr>
<tr>
<td style="BORDER-BOTTOM: #ece9d8; BORDER-LEFT: #ece9d8; PADDING-BOTTOM: 1.4pt; PADDING-LEFT: 2.85pt; PADDING-RIGHT: 2.85pt; BORDER-TOP: #ece9d8; BORDER-RIGHT: #ece9d8; PADDING-TOP: 1.4pt" valign="top" width="100%" colspan="3">
<p align="center"><b></b></p></td></tr>
<tr>
<td style="BORDER-BOTTOM: #ece9d8; BORDER-LEFT: #ece9d8; PADDING-BOTTOM: 1.4pt; PADDING-LEFT: 2.85pt; PADDING-RIGHT: 2.85pt; BORDER-TOP: #ece9d8; BORDER-RIGHT: #ece9d8; PADDING-TOP: 1.4pt" valign="top" width="5%">
<p align="center"><span>1.</span></p></td>
<td style="BORDER-BOTTOM: #ece9d8; BORDER-LEFT: #ece9d8; PADDING-BOTTOM: 1.4pt; PADDING-LEFT: 2.85pt; PADDING-RIGHT: 2.85pt; BORDER-TOP: #ece9d8; BORDER-RIGHT: #ece9d8; PADDING-TOP: 1.4pt" valign="top" width="94%" colspan="2">
<p><span>Министерство здравоохранения Республики Узбекистан</span></p></td></tr>
<tr>
<td style="BORDER-BOTTOM: #ece9d8; BORDER-LEFT: #ece9d8; PADDING-BOTTOM: 1.4pt; PADDING-LEFT: 2.85pt; PADDING-RIGHT: 2.85pt; BORDER-TOP: #ece9d8; BORDER-RIGHT: #ece9d8; PADDING-TOP: 1.4pt" valign="top" width="5%">
<p align="center"><span>2.</span></p></td>
<td style="BORDER-BOTTOM: #ece9d8; BORDER-LEFT: #ece9d8; PADDING-BOTTOM: 1.4pt; PADDING-LEFT: 2.85pt; PADDING-RIGHT: 2.85pt; BORDER-TOP: #ece9d8; BORDER-RIGHT: #ece9d8; PADDING-TOP: 1.4pt" valign="top" width="94%" colspan="2">
<p><span>Государственный комитет Республики Узбекистан по физической культуре и спорту</span></p></td></tr>
<tr>
<td style="BORDER-BOTTOM: #ece9d8; BORDER-LEFT: #ece9d8; PADDING-BOTTOM: 1.4pt; PADDING-LEFT: 2.85pt; PADDING-RIGHT: 2.85pt; BORDER-TOP: #ece9d8; BORDER-RIGHT: #ece9d8; PADDING-TOP: 1.4pt" valign="top" width="5%">
<p align="center"><span>3.</span></p></td>
<td style="BORDER-BOTTOM: #ece9d8; BORDER-LEFT: #ece9d8; PADDING-BOTTOM: 1.4pt; PADDING-LEFT: 2.85pt; PADDING-RIGHT: 2.85pt; BORDER-TOP: #ece9d8; BORDER-RIGHT: #ece9d8; PADDING-TOP: 1.4pt" valign="top" width="94%" colspan="2">
<p><span>Государственный комитет Республики Узбекистан по экологии и охране окружающей среды</span></p></td></tr>
<tr>
<td style="BORDER-BOTTOM: #ece9d8; BORDER-LEFT: #ece9d8; PADDING-BOTTOM: 1.4pt; PADDING-LEFT: 2.85pt; PADDING-RIGHT: 2.85pt; BORDER-TOP: #ece9d8; BORDER-RIGHT: #ece9d8; PADDING-TOP: 1.4pt" valign="top" width="5%">
<p align="center"><span>4.</span></p></td>
<td style="BORDER-BOTTOM: #ece9d8; BORDER-LEFT: #ece9d8; PADDING-BOTTOM: 1.4pt; PADDING-LEFT: 2.85pt; PADDING-RIGHT: 2.85pt; BORDER-TOP: #ece9d8; BORDER-RIGHT: #ece9d8; PADDING-TOP: 1.4pt" valign="top" width="94%" colspan="2">
<p><span>Национальный олимпийский комитет</span></p></td></tr>
<tr>
<td style="BORDER-BOTTOM: #ece9d8; BORDER-LEFT: #ece9d8; PADDING-BOTTOM: 1.4pt; PADDING-LEFT: 2.85pt; PADDING-RIGHT: 2.85pt; BORDER-TOP: #ece9d8; BORDER-RIGHT: #ece9d8; PADDING-TOP: 1.4pt" valign="top" width="5%">
<p align="center"><span>5.</span></p></td>
<td style="BORDER-BOTTOM: #ece9d8; BORDER-LEFT: #ece9d8; PADDING-BOTTOM: 1.4pt; PADDING-LEFT: 2.85pt; PADDING-RIGHT: 2.85pt; BORDER-TOP: #ece9d8; BORDER-RIGHT: #ece9d8; PADDING-TOP: 1.4pt" valign="top" width="94%" colspan="2">
<p><span>ГАК «Узфармсаноат»</span></p></td></tr>
<tr>
<td style="BORDER-BOTTOM: #ece9d8; BORDER-LEFT: #ece9d8; PADDING-BOTTOM: 1.4pt; PADDING-LEFT: 2.85pt; PADDING-RIGHT: 2.85pt; BORDER-TOP: #ece9d8; BORDER-RIGHT: #ece9d8; PADDING-TOP: 1.4pt" valign="top" width="5%">
<p align="center"><span>6.</span></p></td>
<td style="BORDER-BOTTOM: #ece9d8; BORDER-LEFT: #ece9d8; PADDING-BOTTOM: 1.4pt; PADDING-LEFT: 2.85pt; PADDING-RIGHT: 2.85pt; BORDER-TOP: #ece9d8; BORDER-RIGHT: #ece9d8; PADDING-TOP: 1.4pt" valign="top" width="94%" colspan="2">
<p><span>АО «Дори-дармон»</span></p></td></tr>
<tr>
<td style="BORDER-BOTTOM: #ece9d8; BORDER-LEFT: #ece9d8; PADDING-BOTTOM: 1.4pt; PADDING-LEFT: 2.85pt; PADDING-RIGHT: 2.85pt; BORDER-TOP: #ece9d8; BORDER-RIGHT: #ece9d8; PADDING-TOP: 1.4pt" valign="top" width="5%">
<p align="center"><span>7.</span></p></td>
<td style="BORDER-BOTTOM: #ece9d8; BORDER-LEFT: #ece9d8; PADDING-BOTTOM: 1.4pt; PADDING-LEFT: 2.85pt; PADDING-RIGHT: 2.85pt; BORDER-TOP: #ece9d8; BORDER-RIGHT: #ece9d8; PADDING-TOP: 1.4pt" valign="top" width="94%" colspan="2">
<p><span>ООО «Узтибтехника»</span></p></td></tr>
<tr>
<td style="BORDER-BOTTOM: #ece9d8; BORDER-LEFT: #ece9d8; PADDING-BOTTOM: 1.4pt; PADDING-LEFT: 2.85pt; PADDING-RIGHT: 2.85pt; BORDER-TOP: #ece9d8; BORDER-RIGHT: #ece9d8; PADDING-TOP: 1.4pt" valign="top" width="5%">
<p align="center"><span>8.</span></p></td>
<td style="BORDER-BOTTOM: #ece9d8; BORDER-LEFT: #ece9d8; PADDING-BOTTOM: 1.4pt; PADDING-LEFT: 2.85pt; PADDING-RIGHT: 2.85pt; BORDER-TOP: #ece9d8; BORDER-RIGHT: #ece9d8; PADDING-TOP: 1.4pt" valign="top" width="94%" colspan="2">
<p><span>Фонд «Нуроний»</span></p></td></tr></tbody></table></div></div><div class="COMMENT"><label id="s3935"></label><div name="edi3234110" id="edi3234110">См. <a href="/ru/docs/3233862?ONDATE=03.03.2018 00#edi3580174">последующую</a> редакцию.</div></div><div class="BY_DEFAULT lx_elem" style="color:#808080;" onmousemove="lx_mo(event,3234111)"><div class="lx_elem2"><div class="lx_elem3"><span onclick="lx_sf(3234111)"><img src="/img/cmt.svg" />Предложения по документу</span><span onclick="lx_pa(3234111)"><img src="/img/vlm.svg" />Прослушать аудио</span><span onclick="lx_cl(3234111)"><img src="/img/lnk.svg" />Получить ссылку из элемента документа</span></div></div><div name="3234111" id="3234111"></div></div><div class="APPL_BANNER_LANDSCAPE_TITLE lx_elem" style="color:#808080;" onmousemove="lx_mo(event,3234113)"><div class="lx_elem2"><div class="lx_elem3"><span onclick="lx_sf(3234113)"><img src="/img/cmt.svg" />Предложения по документу</span><span onclick="lx_pa(3234113)"><img src="/img/vlm.svg" />Прослушать аудио</span><span onclick="lx_cl(3234113)"><img src="/img/lnk.svg" />Получить ссылку из элемента документа</span></div></div><div name="3234113" id="3234113">ПРИЛОЖЕНИЕ № 8<br />к <a href="/ru/docs/3233862">постановлению </a>Президента Республики Узбекистан от 12 июня 2017 года № ПП-3051 </div></div><div class="ACT_FORM lx_elem" style="color:#808080;" onmousemove="lx_mo(event,3234114)"><div class="lx_elem2"><div class="lx_elem3"><span onclick="lx_sf(3234114)"><img src="/img/cmt.svg" />Предложения по документу</span><span onclick="lx_pa(3234114)"><img src="/img/vlm.svg" />Прослушать аудио</span><span onclick="lx_cl(3234114)"><img src="/img/lnk.svg" />Получить ссылку из элемента документа</span></div></div><div name="3234114" id="3234114">СТРУКТУРА</div></div><div class="ACT_TITLE_APPL lx_elem" style="color:#808080;" onmousemove="lx_mo(event,3234115)"><div class="lx_elem2"><div class="lx_elem3"><span onclick="lx_sf(3234115)"><img src="/img/cmt.svg" />Предложения по документу</span><span onclick="lx_pa(3234115)"><img src="/img/vlm.svg" />Прослушать аудио</span><span onclick="lx_cl(3234115)"><img src="/img/lnk.svg" />Получить ссылку из элемента документа</span></div></div><div name="3234115" id="3234115">Информационно-аналитического департамента по вопросам комплексного социально-экономического развития территорий</div></div><div class="BY_DEFAULT lx_elem" style="color:#808080;" onmousemove="lx_mo(event,3234116)"><div class="lx_elem2"><div class="lx_elem3"><span onclick="lx_sf(3234116)"><img src="/img/cmt.svg" />Предложения по документу</span><span onclick="lx_pa(3234116)"><img src="/img/vlm.svg" />Прослушать аудио</span><span onclick="lx_cl(3234116)"><img src="/img/lnk.svg" />Получить ссылку из элемента документа</span></div></div><div name="3234116" id="3234116"></div></div><div class="BY_DEFAULT lx_elem" style="color:#808080;" onmousemove="lx_mo(event,3234117)"><div class="lx_elem2"><div class="lx_elem3"><span onclick="lx_sf(3234117)"><img src="/img/cmt.svg" />Предложения по документу</span><span onclick="lx_pa(3234117)"><img src="/img/vlm.svg" />Прослушать аудио</span><span onclick="lx_cl(3234117)"><img src="/img/lnk.svg" />Получить ссылку из элемента документа</span></div></div><div name="3234117" id="3234117"><table style="BORDER-COLLAPSE: collapse; BACKGROUND: white" border="0" cellspacing="0" cellpadding="0" width="100%">
<tbody>
<tr>
<td style="BORDER-BOTTOM: #ece9d8; BORDER-LEFT: #ece9d8; PADDING-BOTTOM: 1.4pt; PADDING-LEFT: 2.85pt; PADDING-RIGHT: 2.85pt; BORDER-TOP: #ece9d8; BORDER-RIGHT: #ece9d8; PADDING-TOP: 1.4pt" valign="top" width="92%">
<p><b><span>Заведующий департаментом</span></b></p></td>
<td style="BORDER-BOTTOM: #ece9d8; BORDER-LEFT: #ece9d8; PADDING-BOTTOM: 1.4pt; PADDING-LEFT: 2.85pt; PADDING-RIGHT: 2.85pt; BORDER-TOP: #ece9d8; BORDER-RIGHT: #ece9d8; PADDING-TOP: 1.4pt" valign="top" width="7%">
<p align="center"><b><span>1</span></b></p></td></tr>
<tr>
<td style="BORDER-BOTTOM: #ece9d8; BORDER-LEFT: #ece9d8; PADDING-BOTTOM: 1.4pt; PADDING-LEFT: 2.85pt; PADDING-RIGHT: 2.85pt; BORDER-TOP: #ece9d8; BORDER-RIGHT: #ece9d8; PADDING-TOP: 1.4pt" valign="top" width="92%">
<p><span>Заместитель заведующего департаментом</span></p></td>
<td style="BORDER-BOTTOM: #ece9d8; BORDER-LEFT: #ece9d8; PADDING-BOTTOM: 1.4pt; PADDING-LEFT: 2.85pt; PADDING-RIGHT: 2.85pt; BORDER-TOP: #ece9d8; BORDER-RIGHT: #ece9d8; PADDING-TOP: 1.4pt" valign="top" width="7%">
<p align="center"><span>1</span></p></td></tr>
<tr>
<td style="BORDER-BOTTOM: #ece9d8; BORDER-LEFT: #ece9d8; PADDING-BOTTOM: 1.4pt; PADDING-LEFT: 2.85pt; PADDING-RIGHT: 2.85pt; BORDER-TOP: #ece9d8; BORDER-RIGHT: #ece9d8; PADDING-TOP: 1.4pt" valign="top" width="92%">
<p><span>Главный специалист по Республике Каракалпакстан</span></p></td>
<td style="BORDER-BOTTOM: #ece9d8; BORDER-LEFT: #ece9d8; PADDING-BOTTOM: 1.4pt; PADDING-LEFT: 2.85pt; PADDING-RIGHT: 2.85pt; BORDER-TOP: #ece9d8; BORDER-RIGHT: #ece9d8; PADDING-TOP: 1.4pt" valign="top" width="7%">
<p align="center"><span>1</span></p></td></tr>
<tr>
<td style="BORDER-BOTTOM: #ece9d8; BORDER-LEFT: #ece9d8; PADDING-BOTTOM: 1.4pt; PADDING-LEFT: 2.85pt; PADDING-RIGHT: 2.85pt; BORDER-TOP: #ece9d8; BORDER-RIGHT: #ece9d8; PADDING-TOP: 1.4pt" valign="top" width="92%">
<p><span>Ведущий специалист по Андижанской области</span></p></td>
<td style="BORDER-BOTTOM: #ece9d8; BORDER-LEFT: #ece9d8; PADDING-BOTTOM: 1.4pt; PADDING-LEFT: 2.85pt; PADDING-RIGHT: 2.85pt; BORDER-TOP: #ece9d8; BORDER-RIGHT: #ece9d8; PADDING-TOP: 1.4pt" valign="top" width="7%">
<p align="center"><span>1</span></p></td></tr>
<tr>
<td style="BORDER-BOTTOM: #ece9d8; BORDER-LEFT: #ece9d8; PADDING-BOTTOM: 1.4pt; PADDING-LEFT: 2.85pt; PADDING-RIGHT: 2.85pt; BORDER-TOP: #ece9d8; BORDER-RIGHT: #ece9d8; PADDING-TOP: 1.4pt" valign="top" width="92%">
<p><span>Ведущий специалист по Бухарской области</span></p></td>
<td style="BORDER-BOTTOM: #ece9d8; BORDER-LEFT: #ece9d8; PADDING-BOTTOM: 1.4pt; PADDING-LEFT: 2.85pt; PADDING-RIGHT: 2.85pt; BORDER-TOP: #ece9d8; BORDER-RIGHT: #ece9d8; PADDING-TOP: 1.4pt" valign="top" width="7%">
<p align="center"><span>1</span></p></td></tr>
<tr>
<td style="BORDER-BOTTOM: #ece9d8; BORDER-LEFT: #ece9d8; PADDING-BOTTOM: 1.4pt; PADDING-LEFT: 2.85pt; PADDING-RIGHT: 2.85pt; BORDER-TOP: #ece9d8; BORDER-RIGHT: #ece9d8; PADDING-TOP: 1.4pt" valign="top" width="92%">
<p><span>Главный специалист по Джизакской области</span></p></td>
<td style="BORDER-BOTTOM: #ece9d8; BORDER-LEFT: #ece9d8; PADDING-BOTTOM: 1.4pt; PADDING-LEFT: 2.85pt; PADDING-RIGHT: 2.85pt; BORDER-TOP: #ece9d8; BORDER-RIGHT: #ece9d8; PADDING-TOP: 1.4pt" valign="top" width="7%">
<p align="center"><span>1</span></p></td></tr>
<tr>
<td style="BORDER-BOTTOM: #ece9d8; BORDER-LEFT: #ece9d8; PADDING-BOTTOM: 1.4pt; PADDING-LEFT: 2.85pt; PADDING-RIGHT: 2.85pt; BORDER-TOP: #ece9d8; BORDER-RIGHT: #ece9d8; PADDING-TOP: 1.4pt" valign="top" width="92%">
<p><span>Главный специалист по Кашкадарьинской области</span></p></td>
<td style="BORDER-BOTTOM: #ece9d8; BORDER-LEFT: #ece9d8; PADDING-BOTTOM: 1.4pt; PADDING-LEFT: 2.85pt; PADDING-RIGHT: 2.85pt; BORDER-TOP: #ece9d8; BORDER-RIGHT: #ece9d8; PADDING-TOP: 1.4pt" valign="top" width="7%">
<p align="center"><span>1</span></p></td></tr>
<tr>
<td style="BORDER-BOTTOM: #ece9d8; BORDER-LEFT: #ece9d8; PADDING-BOTTOM: 1.4pt; PADDING-LEFT: 2.85pt; PADDING-RIGHT: 2.85pt; BORDER-TOP: #ece9d8; BORDER-RIGHT: #ece9d8; PADDING-TOP: 1.4pt" valign="top" width="92%">
<p><span>Ведущий специалист по Навоийской области</span></p></td>
<td style="BORDER-BOTTOM: #ece9d8; BORDER-LEFT: #ece9d8; PADDING-BOTTOM: 1.4pt; PADDING-LEFT: 2.85pt; PADDING-RIGHT: 2.85pt; BORDER-TOP: #ece9d8; BORDER-RIGHT: #ece9d8; PADDING-TOP: 1.4pt" valign="top" width="7%">
<p align="center"><span>1</span></p></td></tr>
<tr>
<td style="BORDER-BOTTOM: #ece9d8; BORDER-LEFT: #ece9d8; PADDING-BOTTOM: 1.4pt; PADDING-LEFT: 2.85pt; PADDING-RIGHT: 2.85pt; BORDER-TOP: #ece9d8; BORDER-RIGHT: #ece9d8; PADDING-TOP: 1.4pt" valign="top" width="92%">
<p><span>Главный специалист по Наманганской области</span></p></td>
<td style="BORDER-BOTTOM: #ece9d8; BORDER-LEFT: #ece9d8; PADDING-BOTTOM: 1.4pt; PADDING-LEFT: 2.85pt; PADDING-RIGHT: 2.85pt; BORDER-TOP: #ece9d8; BORDER-RIGHT: #ece9d8; PADDING-TOP: 1.4pt" valign="top" width="7%">
<p align="center"><span>1</span></p></td></tr>
<tr>
<td style="BORDER-BOTTOM: #ece9d8; BORDER-LEFT: #ece9d8; PADDING-BOTTOM: 1.4pt; PADDING-LEFT: 2.85pt; PADDING-RIGHT: 2.85pt; BORDER-TOP: #ece9d8; BORDER-RIGHT: #ece9d8; PADDING-TOP: 1.4pt" valign="top" width="92%">
<p><span>Главный специалист по Самаркандской области</span></p></td>
<td style="BORDER-BOTTOM: #ece9d8; BORDER-LEFT: #ece9d8; PADDING-BOTTOM: 1.4pt; PADDING-LEFT: 2.85pt; PADDING-RIGHT: 2.85pt; BORDER-TOP: #ece9d8; BORDER-RIGHT: #ece9d8; PADDING-TOP: 1.4pt" valign="top" width="7%">
<p align="center"><span>1</span></p></td></tr>
<tr>
<td style="BORDER-BOTTOM: #ece9d8; BORDER-LEFT: #ece9d8; PADDING-BOTTOM: 1.4pt; PADDING-LEFT: 2.85pt; PADDING-RIGHT: 2.85pt; BORDER-TOP: #ece9d8; BORDER-RIGHT: #ece9d8; PADDING-TOP: 1.4pt" valign="top" width="92%">
<p><span>Главный специалист по Сурхандарьинской области</span></p></td>
<td style="BORDER-BOTTOM: #ece9d8; BORDER-LEFT: #ece9d8; PADDING-BOTTOM: 1.4pt; PADDING-LEFT: 2.85pt; PADDING-RIGHT: 2.85pt; BORDER-TOP: #ece9d8; BORDER-RIGHT: #ece9d8; PADDING-TOP: 1.4pt" valign="top" width="7%">
<p align="center"><span>1</span></p></td></tr>
<tr>
<td style="BORDER-BOTTOM: #ece9d8; BORDER-LEFT: #ece9d8; PADDING-BOTTOM: 1.4pt; PADDING-LEFT: 2.85pt; PADDING-RIGHT: 2.85pt; BORDER-TOP: #ece9d8; BORDER-RIGHT: #ece9d8; PADDING-TOP: 1.4pt" valign="top" width="92%">
<p><span>Ведущий специалист по Сырдарьинской области</span></p></td>
<td style="BORDER-BOTTOM: #ece9d8; BORDER-LEFT: #ece9d8; PADDING-BOTTOM: 1.4pt; PADDING-LEFT: 2.85pt; PADDING-RIGHT: 2.85pt; BORDER-TOP: #ece9d8; BORDER-RIGHT: #ece9d8; PADDING-TOP: 1.4pt" valign="top" width="7%">
<p align="center"><span>1</span></p></td></tr>
<tr>
<td style="BORDER-BOTTOM: #ece9d8; BORDER-LEFT: #ece9d8; PADDING-BOTTOM: 1.4pt; PADDING-LEFT: 2.85pt; PADDING-RIGHT: 2.85pt; BORDER-TOP: #ece9d8; BORDER-RIGHT: #ece9d8; PADDING-TOP: 1.4pt" valign="top" width="92%">
<p><span>Главный специалист по Ташкентской области</span></p></td>
<td style="BORDER-BOTTOM: #ece9d8; BORDER-LEFT: #ece9d8; PADDING-BOTTOM: 1.4pt; PADDING-LEFT: 2.85pt; PADDING-RIGHT: 2.85pt; BORDER-TOP: #ece9d8; BORDER-RIGHT: #ece9d8; PADDING-TOP: 1.4pt" valign="top" width="7%">
<p align="center"><span>1</span></p></td></tr>
<tr>
<td style="BORDER-BOTTOM: #ece9d8; BORDER-LEFT: #ece9d8; PADDING-BOTTOM: 1.4pt; PADDING-LEFT: 2.85pt; PADDING-RIGHT: 2.85pt; BORDER-TOP: #ece9d8; BORDER-RIGHT: #ece9d8; PADDING-TOP: 1.4pt" valign="top" width="92%">
<p><span>Главный специалист по Ферганской области</span></p></td>
<td style="BORDER-BOTTOM: #ece9d8; BORDER-LEFT: #ece9d8; PADDING-BOTTOM: 1.4pt; PADDING-LEFT: 2.85pt; PADDING-RIGHT: 2.85pt; BORDER-TOP: #ece9d8; BORDER-RIGHT: #ece9d8; PADDING-TOP: 1.4pt" valign="top" width="7%">
<p align="center"><span>1</span></p></td></tr>
<tr>
<td style="BORDER-BOTTOM: #ece9d8; BORDER-LEFT: #ece9d8; PADDING-BOTTOM: 1.4pt; PADDING-LEFT: 2.85pt; PADDING-RIGHT: 2.85pt; BORDER-TOP: #ece9d8; BORDER-RIGHT: #ece9d8; PADDING-TOP: 1.4pt" valign="top" width="92%">
<p><span>Ведущий специалист по Хорезмской области</span></p></td>
<td style="BORDER-BOTTOM: #ece9d8; BORDER-LEFT: #ece9d8; PADDING-BOTTOM: 1.4pt; PADDING-LEFT: 2.85pt; PADDING-RIGHT: 2.85pt; BORDER-TOP: #ece9d8; BORDER-RIGHT: #ece9d8; PADDING-TOP: 1.4pt" valign="top" width="7%">
<p align="center"><span>1</span></p></td></tr>
<tr>
<td style="BORDER-BOTTOM: #ece9d8; BORDER-LEFT: #ece9d8; PADDING-BOTTOM: 1.4pt; PADDING-LEFT: 2.85pt; PADDING-RIGHT: 2.85pt; BORDER-TOP: #ece9d8; BORDER-RIGHT: #ece9d8; PADDING-TOP: 1.4pt" valign="top" width="92%">
<p><span>Главный специалист по г. Ташкенту</span></p></td>
<td style="BORDER-BOTTOM: #ece9d8; BORDER-LEFT: #ece9d8; PADDING-BOTTOM: 1.4pt; PADDING-LEFT: 2.85pt; PADDING-RIGHT: 2.85pt; BORDER-TOP: #ece9d8; BORDER-RIGHT: #ece9d8; PADDING-TOP: 1.4pt" valign="top" width="7%">
<p align="center"><span>1</span></p></td></tr>
<tr>
<td style="BORDER-BOTTOM: #ece9d8; BORDER-LEFT: #ece9d8; PADDING-BOTTOM: 1.4pt; PADDING-LEFT: 2.85pt; PADDING-RIGHT: 2.85pt; BORDER-TOP: #ece9d8; BORDER-RIGHT: #ece9d8; PADDING-TOP: 1.4pt" valign="top" width="92%">
<p><span>Главный специалист по вопросам разработки региональных программ социально-экономического развития</span></p></td>
<td style="BORDER-BOTTOM: #ece9d8; BORDER-LEFT: #ece9d8; PADDING-BOTTOM: 1.4pt; PADDING-LEFT: 2.85pt; PADDING-RIGHT: 2.85pt; BORDER-TOP: #ece9d8; BORDER-RIGHT: #ece9d8; PADDING-TOP: 1.4pt" valign="top" width="7%">
<p align="center"><span>1</span></p></td></tr>
<tr>
<td style="BORDER-BOTTOM: #ece9d8; BORDER-LEFT: #ece9d8; PADDING-BOTTOM: 1.4pt; PADDING-LEFT: 2.85pt; PADDING-RIGHT: 2.85pt; BORDER-TOP: #ece9d8; BORDER-RIGHT: #ece9d8; PADDING-TOP: 1.4pt" valign="top" width="92%">
<p><span>Главный специалист по вопросам анализа социально-экономического развития территорий</span></p></td>
<td style="BORDER-BOTTOM: #ece9d8; BORDER-LEFT: #ece9d8; PADDING-BOTTOM: 1.4pt; PADDING-LEFT: 2.85pt; PADDING-RIGHT: 2.85pt; BORDER-TOP: #ece9d8; BORDER-RIGHT: #ece9d8; PADDING-TOP: 1.4pt" valign="top" width="7%">
<p align="center"><span>1</span></p></td></tr>
<tr>
<td style="BORDER-BOTTOM: #ece9d8; BORDER-LEFT: #ece9d8; PADDING-BOTTOM: 1.4pt; PADDING-LEFT: 2.85pt; PADDING-RIGHT: 2.85pt; BORDER-TOP: #ece9d8; BORDER-RIGHT: #ece9d8; PADDING-TOP: 1.4pt" valign="top" width="92%">
<p><span>Главный специалист по вопросам разработки нормативно-правовых актов</span></p></td>
<td style="BORDER-BOTTOM: #ece9d8; BORDER-LEFT: #ece9d8; PADDING-BOTTOM: 1.4pt; PADDING-LEFT: 2.85pt; PADDING-RIGHT: 2.85pt; BORDER-TOP: #ece9d8; BORDER-RIGHT: #ece9d8; PADDING-TOP: 1.4pt" valign="top" width="7%">
<p align="center"><span>1</span></p></td></tr>
<tr>
<td style="BORDER-BOTTOM: #ece9d8; BORDER-LEFT: #ece9d8; PADDING-BOTTOM: 1.4pt; PADDING-LEFT: 2.85pt; PADDING-RIGHT: 2.85pt; BORDER-TOP: #ece9d8; BORDER-RIGHT: #ece9d8; PADDING-TOP: 1.4pt" valign="top" width="92%">
<p><span>Ведущий специалист по рассмотрению обращений физических и юридических лиц</span></p></td>
<td style="BORDER-BOTTOM: #ece9d8; BORDER-LEFT: #ece9d8; PADDING-BOTTOM: 1.4pt; PADDING-LEFT: 2.85pt; PADDING-RIGHT: 2.85pt; BORDER-TOP: #ece9d8; BORDER-RIGHT: #ece9d8; PADDING-TOP: 1.4pt" valign="top" width="7%">
<p align="center"><span>1</span></p></td></tr>
<tr>
<td style="BORDER-BOTTOM: #ece9d8; BORDER-LEFT: #ece9d8; PADDING-BOTTOM: 1.4pt; PADDING-LEFT: 2.85pt; PADDING-RIGHT: 2.85pt; BORDER-TOP: #ece9d8; BORDER-RIGHT: #ece9d8; PADDING-TOP: 1.4pt" valign="top" width="92%">
<p><span>Сектор по вопросам делимитации, демаркации и редемаркации Государственной границы</span></p></td>
<td style="BORDER-BOTTOM: #ece9d8; BORDER-LEFT: #ece9d8; PADDING-BOTTOM: 1.4pt; PADDING-LEFT: 2.85pt; PADDING-RIGHT: 2.85pt; BORDER-TOP: #ece9d8; BORDER-RIGHT: #ece9d8; PADDING-TOP: 1.4pt" valign="top" width="7%">
<p align="center"></p></td></tr>
<tr>
<td style="BORDER-BOTTOM: #ece9d8; BORDER-LEFT: #ece9d8; PADDING-BOTTOM: 1.4pt; PADDING-LEFT: 2.85pt; PADDING-RIGHT: 2.85pt; BORDER-TOP: #ece9d8; BORDER-RIGHT: #ece9d8; PADDING-TOP: 1.4pt" valign="top" width="92%">
<p><span>Заведующий сектором</span></p></td>
<td style="BORDER-BOTTOM: #ece9d8; BORDER-LEFT: #ece9d8; PADDING-BOTTOM: 1.4pt; PADDING-LEFT: 2.85pt; PADDING-RIGHT: 2.85pt; BORDER-TOP: #ece9d8; BORDER-RIGHT: #ece9d8; PADDING-TOP: 1.4pt" valign="top" width="7%">
<p align="center"><span>1</span></p></td></tr>
<tr>
<td style="BORDER-BOTTOM: #ece9d8; BORDER-LEFT: #ece9d8; PADDING-BOTTOM: 1.4pt; PADDING-LEFT: 2.85pt; PADDING-RIGHT: 2.85pt; BORDER-TOP: #ece9d8; BORDER-RIGHT: #ece9d8; PADDING-TOP: 1.4pt" valign="top" width="92%">
<p><span>Главный специалист по вопросам делимитации, демаркации и редемаркации Государственной границы</span></p></td>
<td style="BORDER-BOTTOM: #ece9d8; BORDER-LEFT: #ece9d8; PADDING-BOTTOM: 1.4pt; PADDING-LEFT: 2.85pt; PADDING-RIGHT: 2.85pt; BORDER-TOP: #ece9d8; BORDER-RIGHT: #ece9d8; PADDING-TOP: 1.4pt" valign="top" width="7%">
<p align="center"><span>1</span></p></td></tr>
<tr>
<td style="BORDER-BOTTOM: #ece9d8; BORDER-LEFT: #ece9d8; PADDING-BOTTOM: 1.4pt; PADDING-LEFT: 2.85pt; PADDING-RIGHT: 2.85pt; BORDER-TOP: #ece9d8; BORDER-RIGHT: #ece9d8; PADDING-TOP: 1.4pt" valign="top" width="92%">
<p><span>Главный специалист по вопросам решения приграничных проблем</span></p></td>
<td style="BORDER-BOTTOM: #ece9d8; BORDER-LEFT: #ece9d8; PADDING-BOTTOM: 1.4pt; PADDING-LEFT: 2.85pt; PADDING-RIGHT: 2.85pt; BORDER-TOP: #ece9d8; BORDER-RIGHT: #ece9d8; PADDING-TOP: 1.4pt" valign="top" width="7%">
<p align="center"><span>1</span></p></td></tr>
<tr>
<td style="BORDER-BOTTOM: #ece9d8; BORDER-LEFT: #ece9d8; PADDING-BOTTOM: 1.4pt; PADDING-LEFT: 2.85pt; PADDING-RIGHT: 2.85pt; BORDER-TOP: #ece9d8; BORDER-RIGHT: #ece9d8; PADDING-TOP: 1.4pt" valign="top" width="92%">
<p><span>Ведущий специалист по вопросам международного сотрудничества и</span></p></td>
<td style="BORDER-BOTTOM: #ece9d8; BORDER-LEFT: #ece9d8; PADDING-BOTTOM: 1.4pt; PADDING-LEFT: 2.85pt; PADDING-RIGHT: 2.85pt; BORDER-TOP: #ece9d8; BORDER-RIGHT: #ece9d8; PADDING-TOP: 1.4pt" valign="top" width="7%">
<p align="center"></p></td></tr>
<tr>
<td style="BORDER-BOTTOM: #ece9d8; BORDER-LEFT: #ece9d8; PADDING-BOTTOM: 1.4pt; PADDING-LEFT: 2.85pt; PADDING-RIGHT: 2.85pt; BORDER-TOP: #ece9d8; BORDER-RIGHT: #ece9d8; PADDING-TOP: 1.4pt" valign="top" width="92%">
<p><span>совершенствования нормативно-правовой базы</span></p></td>
<td style="BORDER-BOTTOM: #ece9d8; BORDER-LEFT: #ece9d8; PADDING-BOTTOM: 1.4pt; PADDING-LEFT: 2.85pt; PADDING-RIGHT: 2.85pt; BORDER-TOP: #ece9d8; BORDER-RIGHT: #ece9d8; PADDING-TOP: 1.4pt" valign="top" width="7%">
<p align="center"><span>1</span></p></td></tr>
<tr>
<td style="BORDER-BOTTOM: #ece9d8; BORDER-LEFT: #ece9d8; PADDING-BOTTOM: 1.4pt; PADDING-LEFT: 2.85pt; PADDING-RIGHT: 2.85pt; BORDER-TOP: #ece9d8; BORDER-RIGHT: #ece9d8; PADDING-TOP: 1.4pt" valign="top" width="92%">
<p><span>Инспектор</span></p></td>
<td style="BORDER-BOTTOM: #ece9d8; BORDER-LEFT: #ece9d8; PADDING-BOTTOM: 1.4pt; PADDING-LEFT: 2.85pt; PADDING-RIGHT: 2.85pt; BORDER-TOP: #ece9d8; BORDER-RIGHT: #ece9d8; PADDING-TOP: 1.4pt" valign="top" width="7%">
<p align="center"><span>1</span></p></td></tr>
<tr>
<td style="BORDER-BOTTOM: #ece9d8; BORDER-LEFT: #ece9d8; PADDING-BOTTOM: 1.4pt; PADDING-LEFT: 2.85pt; PADDING-RIGHT: 2.85pt; BORDER-TOP: #ece9d8; BORDER-RIGHT: #ece9d8; PADDING-TOP: 1.4pt" valign="top" width="92%">
<p align="center"><b><span>Всего:</span></b></p></td>
<td style="BORDER-BOTTOM: #ece9d8; BORDER-LEFT: #ece9d8; PADDING-BOTTOM: 1.4pt; PADDING-LEFT: 2.85pt; PADDING-RIGHT: 2.85pt; BORDER-TOP: #ece9d8; BORDER-RIGHT: #ece9d8; PADDING-TOP: 1.4pt" valign="top" width="7%">
<p align="center"><b><span>25</span></b></p></td></tr>
<tr>
<td style="BORDER-BOTTOM: #ece9d8; BORDER-LEFT: #ece9d8; PADDING-BOTTOM: 1.4pt; PADDING-LEFT: 2.85pt; PADDING-RIGHT: 2.85pt; BORDER-TOP: #ece9d8; BORDER-RIGHT: #ece9d8; PADDING-TOP: 1.4pt" valign="top" width="100%" colspan="2">
<p align="center"><b><br /></b></p>
<p align="center"><b><span>КУРИРУЕМЫЕ<br />органы, ведомства и органы исполнительной власти на местах</span></b></p></td></tr>
<tr>
<td style="BORDER-BOTTOM: #ece9d8; BORDER-LEFT: #ece9d8; PADDING-BOTTOM: 1.4pt; PADDING-LEFT: 2.85pt; PADDING-RIGHT: 2.85pt; BORDER-TOP: #ece9d8; BORDER-RIGHT: #ece9d8; PADDING-TOP: 1.4pt" valign="top" width="100%" colspan="2">
<p align="center"><b></b></p></td></tr>
<tr>
<td style="BORDER-BOTTOM: #ece9d8; BORDER-LEFT: #ece9d8; PADDING-BOTTOM: 1.4pt; PADDING-LEFT: 2.85pt; PADDING-RIGHT: 2.85pt; BORDER-TOP: #ece9d8; BORDER-RIGHT: #ece9d8; PADDING-TOP: 1.4pt" valign="top" width="100%" colspan="2">
<p><span>Совет Министров Республики Каракалпакстан, хокимияты областей и г. Ташкента — в части соответствующих вопросов, входящих в компетенцию Комплекса.</span></p></td></tr>
<tr>
<td style="BORDER-BOTTOM: #ece9d8; BORDER-LEFT: #ece9d8; PADDING-BOTTOM: 1.4pt; PADDING-LEFT: 2.85pt; PADDING-RIGHT: 2.85pt; BORDER-TOP: #ece9d8; BORDER-RIGHT: #ece9d8; PADDING-TOP: 1.4pt" valign="top" width="100%" colspan="2">
<p><span>МИД, МВД, Госкомземгеодезкадастр, ГТК, КОГГ СНБ, Узархив и другие министерства, ведомства, организации, Совет Министров Республики Каракалпакстан и хокимияты областей — в части вопросов делимитации, демаркации и редемаркации Государственной границы, решения приграничных проблем, противодействия нелегальной миграции, незаконному ввозу на территорию республики товаров и контрафактной продукции</span></p></td></tr></tbody></table></div></div><div class="COMMENT"><label id="s3935"></label><div name="edi3234117" id="edi3234117">См. <a href="/ru/docs/3233862?ONDATE=03.03.2018 00#edi3580195">последующую</a> редакцию.</div></div><div class="BY_DEFAULT lx_elem" style="color:#808080;" onmousemove="lx_mo(event,3234118)"><div class="lx_elem2"><div class="lx_elem3"><span onclick="lx_sf(3234118)"><img src="/img/cmt.svg" />Предложения по документу</span><span onclick="lx_pa(3234118)"><img src="/img/vlm.svg" />Прослушать аудио</span><span onclick="lx_cl(3234118)"><img src="/img/lnk.svg" />Получить ссылку из элемента документа</span></div></div><div name="3234118" id="3234118"></div></div><div class="APPL_BANNER_LANDSCAPE_TITLE lx_elem" style="color:#808080;" onmousemove="lx_mo(event,3234119)"><div class="lx_elem2"><div class="lx_elem3"><span onclick="lx_sf(3234119)"><img src="/img/cmt.svg" />Предложения по документу</span><span onclick="lx_pa(3234119)"><img src="/img/vlm.svg" />Прослушать аудио</span><span onclick="lx_cl(3234119)"><img src="/img/lnk.svg" />Получить ссылку из элемента документа</span></div></div><div name="3234119" id="3234119">ПРИЛОЖЕНИЕ № 9<br />к <a href="/ru/docs/3233862">постановлению</a> Президента Республики Узбекистан от 12 июня 2017 года № ПП-3051 </div></div><div class="ACT_FORM lx_elem" style="color:#808080;" onmousemove="lx_mo(event,3234121)"><div class="lx_elem2"><div class="lx_elem3"><span onclick="lx_sf(3234121)"><img src="/img/cmt.svg" />Предложения по документу</span><span onclick="lx_pa(3234121)"><img src="/img/vlm.svg" />Прослушать аудио</span><span onclick="lx_cl(3234121)"><img src="/img/lnk.svg" />Получить ссылку из элемента документа</span></div></div><div name="3234121" id="3234121">СТРУКТУРА</div></div><div class="ACT_TITLE_APPL lx_elem" style="color:#808080;" onmousemove="lx_mo(event,3234122)"><div class="lx_elem2"><div class="lx_elem3"><span onclick="lx_sf(3234122)"><img src="/img/cmt.svg" />Предложения по документу</span><span onclick="lx_pa(3234122)"><img src="/img/vlm.svg" />Прослушать аудио</span><span onclick="lx_cl(3234122)"><img src="/img/lnk.svg" />Получить ссылку из элемента документа</span></div></div><div name="3234122" id="3234122">Информационно-аналитического департамента по вопросам коммунальной сферы, транспорта, капитального строительства и стройиндустрии</div></div><div class="BY_DEFAULT lx_elem" style="color:#808080;" onmousemove="lx_mo(event,3234123)"><div class="lx_elem2"><div class="lx_elem3"><span onclick="lx_sf(3234123)"><img src="/img/cmt.svg" />Предложения по документу</span><span onclick="lx_pa(3234123)"><img src="/img/vlm.svg" />Прослушать аудио</span><span onclick="lx_cl(3234123)"><img src="/img/lnk.svg" />Получить ссылку из элемента документа</span></div></div><div name="3234123" id="3234123"></div></div><div class="COMMENT"><label id="s3934"></label><div name="edi3446969" id="edi3446969">См. <a href="/ru/docs/3233862?ONDATE=19.06.2017 00#3234126">предыдущую</a> редакцию.</div></div><div class="BY_DEFAULT lx_elem" style="color:#808080;" onmousemove="lx_mo(event,3446969)"><div class="lx_elem2"><div class="lx_elem3"><span onclick="lx_sf(3446969)"><img src="/img/cmt.svg" />Предложения по документу</span><span onclick="lx_pa(3446969)"><img src="/img/vlm.svg" />Прослушать аудио</span><span onclick="lx_cl(3446969)"><img src="/img/lnk.svg" />Получить ссылку из элемента документа</span></div></div><div name="3446969" id="3446969"></div></div><div class="BY_DEFAULT lx_elem" style="color:#808080;" onmousemove="lx_mo(event,3446970)"><div class="lx_elem2"><div class="lx_elem3"><span onclick="lx_sf(3446970)"><img src="/img/cmt.svg" />Предложения по документу</span><span onclick="lx_pa(3446970)"><img src="/img/vlm.svg" />Прослушать аудио</span><span onclick="lx_cl(3446970)"><img src="/img/lnk.svg" />Получить ссылку из элемента документа</span></div></div><div name="3446970" id="3446970"><table style="BACKGROUND: white; BORDER-COLLAPSE: collapse" cellspacing="0" cellpadding="0" width="100%" border="0">
<tbody>
<tr>
<td style="BORDER-RIGHT: #ece9d8; PADDING-RIGHT: 2.85pt; BORDER-TOP: #ece9d8; PADDING-LEFT: 2.85pt; PADDING-BOTTOM: 1.4pt; BORDER-LEFT: #ece9d8; PADDING-TOP: 1.4pt; BORDER-BOTTOM: #ece9d8" valign="top" width="92%" colspan="2">
<p><b><span style="FONT-SIZE: 10pt">Заведующий департаментом</span></b></p></td>
<td style="BORDER-RIGHT: #ece9d8; PADDING-RIGHT: 2.85pt; BORDER-TOP: #ece9d8; PADDING-LEFT: 2.85pt; PADDING-BOTTOM: 1.4pt; BORDER-LEFT: #ece9d8; PADDING-TOP: 1.4pt; BORDER-BOTTOM: #ece9d8" valign="top" width="7%">
<p align="center"><b><span style="FONT-SIZE: 10pt">1</span></b></p></td></tr>
<tr>
<td style="BORDER-RIGHT: #ece9d8; PADDING-RIGHT: 2.85pt; BORDER-TOP: #ece9d8; PADDING-LEFT: 2.85pt; PADDING-BOTTOM: 1.4pt; BORDER-LEFT: #ece9d8; PADDING-TOP: 1.4pt; BORDER-BOTTOM: #ece9d8" valign="top" width="92%" colspan="2">
<p><span style="FONT-SIZE: 10pt">Сектор коммунального хозяйства</span></p></td>
<td style="BORDER-RIGHT: #ece9d8; PADDING-RIGHT: 2.85pt; BORDER-TOP: #ece9d8; PADDING-LEFT: 2.85pt; PADDING-BOTTOM: 1.4pt; BORDER-LEFT: #ece9d8; PADDING-TOP: 1.4pt; BORDER-BOTTOM: #ece9d8" valign="top" width="7%">
<p></p></td></tr>
<tr>
<td style="BORDER-RIGHT: #ece9d8; PADDING-RIGHT: 2.85pt; BORDER-TOP: #ece9d8; PADDING-LEFT: 2.85pt; PADDING-BOTTOM: 1.4pt; BORDER-LEFT: #ece9d8; PADDING-TOP: 1.4pt; BORDER-BOTTOM: #ece9d8" valign="top" width="92%" colspan="2">
<p><a name="3262687"><span style="FONT-SIZE: 10pt; COLOR: black">Заместитель заведующего департаментом </span></a></p></td>
<td style="BORDER-RIGHT: #ece9d8; PADDING-RIGHT: 2.85pt; BORDER-TOP: #ece9d8; PADDING-LEFT: 2.85pt; PADDING-BOTTOM: 1.4pt; BORDER-LEFT: #ece9d8; PADDING-TOP: 1.4pt; BORDER-BOTTOM: #ece9d8" valign="top" width="7%">
<p align="center"><span style="FONT-SIZE: 10pt; COLOR: black">1</span></p></td></tr>
<tr>
<td style="BORDER-RIGHT: #ece9d8; PADDING-RIGHT: 2.85pt; BORDER-TOP: #ece9d8; PADDING-LEFT: 2.85pt; PADDING-BOTTOM: 1.4pt; BORDER-LEFT: #ece9d8; PADDING-TOP: 1.4pt; BORDER-BOTTOM: #ece9d8" valign="top" width="92%" colspan="2">
<p><span style="FONT-SIZE: 10pt">Заведующий сектором</span></p></td>
<td style="BORDER-RIGHT: #ece9d8; PADDING-RIGHT: 2.85pt; BORDER-TOP: #ece9d8; PADDING-LEFT: 2.85pt; PADDING-BOTTOM: 1.4pt; BORDER-LEFT: #ece9d8; PADDING-TOP: 1.4pt; BORDER-BOTTOM: #ece9d8" valign="top" width="7%">
<p align="center"><span style="FONT-SIZE: 10pt">1</span></p></td></tr>
<tr>
<td style="BORDER-RIGHT: #ece9d8; PADDING-RIGHT: 2.85pt; BORDER-TOP: #ece9d8; PADDING-LEFT: 2.85pt; PADDING-BOTTOM: 1.4pt; BORDER-LEFT: #ece9d8; PADDING-TOP: 1.4pt; BORDER-BOTTOM: #ece9d8" valign="top" width="92%" colspan="2">
<p><span style="FONT-SIZE: 10pt">Главный специалист по вопросам реформирования и развития коммунального хозяйства</span></p></td>
<td style="BORDER-RIGHT: #ece9d8; PADDING-RIGHT: 2.85pt; BORDER-TOP: #ece9d8; PADDING-LEFT: 2.85pt; PADDING-BOTTOM: 1.4pt; BORDER-LEFT: #ece9d8; PADDING-TOP: 1.4pt; BORDER-BOTTOM: #ece9d8" valign="top" width="7%">
<p align="center"><span style="FONT-SIZE: 10pt">1</span></p></td></tr>
<tr>
<td style="BORDER-RIGHT: #ece9d8; PADDING-RIGHT: 2.85pt; BORDER-TOP: #ece9d8; PADDING-LEFT: 2.85pt; PADDING-BOTTOM: 1.4pt; BORDER-LEFT: #ece9d8; PADDING-TOP: 1.4pt; BORDER-BOTTOM: #ece9d8" valign="top" width="92%" colspan="2">
<p><span style="FONT-SIZE: 10pt">Ведущий специалист</span></p></td>
<td style="BORDER-RIGHT: #ece9d8; PADDING-RIGHT: 2.85pt; BORDER-TOP: #ece9d8; PADDING-LEFT: 2.85pt; PADDING-BOTTOM: 1.4pt; BORDER-LEFT: #ece9d8; PADDING-TOP: 1.4pt; BORDER-BOTTOM: #ece9d8" valign="top" width="7%">
<p align="center"><span style="FONT-SIZE: 10pt">1</span></p></td></tr>
<tr>
<td style="BORDER-RIGHT: #ece9d8; PADDING-RIGHT: 2.85pt; BORDER-TOP: #ece9d8; PADDING-LEFT: 2.85pt; PADDING-BOTTOM: 1.4pt; BORDER-LEFT: #ece9d8; PADDING-TOP: 1.4pt; BORDER-BOTTOM: #ece9d8" valign="top" width="92%" colspan="2">
<p><span style="FONT-SIZE: 10pt">Сектор транспорта</span></p></td>
<td style="BORDER-RIGHT: #ece9d8; PADDING-RIGHT: 2.85pt; BORDER-TOP: #ece9d8; PADDING-LEFT: 2.85pt; PADDING-BOTTOM: 1.4pt; BORDER-LEFT: #ece9d8; PADDING-TOP: 1.4pt; BORDER-BOTTOM: #ece9d8" valign="top" width="7%">
<p></p></td></tr>
<tr>
<td style="BORDER-RIGHT: #ece9d8; PADDING-RIGHT: 2.85pt; BORDER-TOP: #ece9d8; PADDING-LEFT: 2.85pt; PADDING-BOTTOM: 1.4pt; BORDER-LEFT: #ece9d8; PADDING-TOP: 1.4pt; BORDER-BOTTOM: #ece9d8" valign="top" width="92%" colspan="2">
<p><span style="FONT-SIZE: 10pt">Заведующий сектором</span></p></td>
<td style="BORDER-RIGHT: #ece9d8; PADDING-RIGHT: 2.85pt; BORDER-TOP: #ece9d8; PADDING-LEFT: 2.85pt; PADDING-BOTTOM: 1.4pt; BORDER-LEFT: #ece9d8; PADDING-TOP: 1.4pt; BORDER-BOTTOM: #ece9d8" valign="top" width="7%">
<p align="center"><span style="FONT-SIZE: 10pt">1</span></p></td></tr>
<tr>
<td style="BORDER-RIGHT: #ece9d8; PADDING-RIGHT: 2.85pt; BORDER-TOP: #ece9d8; PADDING-LEFT: 2.85pt; PADDING-BOTTOM: 1.4pt; BORDER-LEFT: #ece9d8; PADDING-TOP: 1.4pt; BORDER-BOTTOM: #ece9d8" valign="top" width="92%" colspan="2">
<p><span style="FONT-SIZE: 10pt">Главный специалист по вопросам транспорта и транспортных коммуникаций</span></p></td>
<td style="BORDER-RIGHT: #ece9d8; PADDING-RIGHT: 2.85pt; BORDER-TOP: #ece9d8; PADDING-LEFT: 2.85pt; PADDING-BOTTOM: 1.4pt; BORDER-LEFT: #ece9d8; PADDING-TOP: 1.4pt; BORDER-BOTTOM: #ece9d8" valign="top" width="7%">
<p align="center"><span style="FONT-SIZE: 10pt">1</span></p></td></tr>
<tr>
<td style="BORDER-RIGHT: #ece9d8; PADDING-RIGHT: 2.85pt; BORDER-TOP: #ece9d8; PADDING-LEFT: 2.85pt; PADDING-BOTTOM: 1.4pt; BORDER-LEFT: #ece9d8; PADDING-TOP: 1.4pt; BORDER-BOTTOM: #ece9d8" valign="top" width="92%" colspan="2">
<p><span style="FONT-SIZE: 10pt">Ведущий специалист по вопросам железнодорожного транспорта</span></p></td>
<td style="BORDER-RIGHT: #ece9d8; PADDING-RIGHT: 2.85pt; BORDER-TOP: #ece9d8; PADDING-LEFT: 2.85pt; PADDING-BOTTOM: 1.4pt; BORDER-LEFT: #ece9d8; PADDING-TOP: 1.4pt; BORDER-BOTTOM: #ece9d8" valign="top" width="7%">
<p align="center"><span style="FONT-SIZE: 10pt">1</span></p></td></tr>
<tr>
<td style="BORDER-RIGHT: #ece9d8; PADDING-RIGHT: 2.85pt; BORDER-TOP: #ece9d8; PADDING-LEFT: 2.85pt; PADDING-BOTTOM: 1.4pt; BORDER-LEFT: #ece9d8; PADDING-TOP: 1.4pt; BORDER-BOTTOM: #ece9d8" valign="top" width="92%" colspan="2">
<p><span style="FONT-SIZE: 10pt">Ведущий специалист по вопросам авиационного транспорта</span></p></td>
<td style="BORDER-RIGHT: #ece9d8; PADDING-RIGHT: 2.85pt; BORDER-TOP: #ece9d8; PADDING-LEFT: 2.85pt; PADDING-BOTTOM: 1.4pt; BORDER-LEFT: #ece9d8; PADDING-TOP: 1.4pt; BORDER-BOTTOM: #ece9d8" valign="top" width="7%">
<p align="center"><span style="FONT-SIZE: 10pt">1</span></p></td></tr>
<tr>
<td style="BORDER-RIGHT: #ece9d8; PADDING-RIGHT: 2.85pt; BORDER-TOP: #ece9d8; PADDING-LEFT: 2.85pt; PADDING-BOTTOM: 1.4pt; BORDER-LEFT: #ece9d8; PADDING-TOP: 1.4pt; BORDER-BOTTOM: #ece9d8" valign="top" width="92%" colspan="2">
<p><span style="FONT-SIZE: 10pt">Сектор строительства</span></p></td>
<td style="BORDER-RIGHT: #ece9d8; PADDING-RIGHT: 2.85pt; BORDER-TOP: #ece9d8; PADDING-LEFT: 2.85pt; PADDING-BOTTOM: 1.4pt; BORDER-LEFT: #ece9d8; PADDING-TOP: 1.4pt; BORDER-BOTTOM: #ece9d8" valign="top" width="7%">
<p></p></td></tr>
<tr>
<td style="BORDER-RIGHT: #ece9d8; PADDING-RIGHT: 2.85pt; BORDER-TOP: #ece9d8; PADDING-LEFT: 2.85pt; PADDING-BOTTOM: 1.4pt; BORDER-LEFT: #ece9d8; PADDING-TOP: 1.4pt; BORDER-BOTTOM: #ece9d8" valign="top" width="92%" colspan="2">
<p><span style="FONT-SIZE: 10pt">Заведующий сектором</span></p></td>
<td style="BORDER-RIGHT: #ece9d8; PADDING-RIGHT: 2.85pt; BORDER-TOP: #ece9d8; PADDING-LEFT: 2.85pt; PADDING-BOTTOM: 1.4pt; BORDER-LEFT: #ece9d8; PADDING-TOP: 1.4pt; BORDER-BOTTOM: #ece9d8" valign="top" width="7%">
<p align="center"><span style="FONT-SIZE: 10pt">1</span></p></td></tr>
<tr>
<td style="BORDER-RIGHT: #ece9d8; PADDING-RIGHT: 2.85pt; BORDER-TOP: #ece9d8; PADDING-LEFT: 2.85pt; PADDING-BOTTOM: 1.4pt; BORDER-LEFT: #ece9d8; PADDING-TOP: 1.4pt; BORDER-BOTTOM: #ece9d8" valign="top" width="92%" colspan="2">
<p><span style="FONT-SIZE: 10pt">Главный специалист по вопросам капитального строительства и программ подрядных работ</span></p></td>
<td style="BORDER-RIGHT: #ece9d8; PADDING-RIGHT: 2.85pt; BORDER-TOP: #ece9d8; PADDING-LEFT: 2.85pt; PADDING-BOTTOM: 1.4pt; BORDER-LEFT: #ece9d8; PADDING-TOP: 1.4pt; BORDER-BOTTOM: #ece9d8" valign="top" width="7%">
<p align="center"><span style="FONT-SIZE: 10pt">1</span></p></td></tr>
<tr>
<td style="BORDER-RIGHT: #ece9d8; PADDING-RIGHT: 2.85pt; BORDER-TOP: #ece9d8; PADDING-LEFT: 2.85pt; PADDING-BOTTOM: 1.4pt; BORDER-LEFT: #ece9d8; PADDING-TOP: 1.4pt; BORDER-BOTTOM: #ece9d8" valign="top" width="92%" colspan="2">
<p><span style="FONT-SIZE: 10pt">Главный инспектор по контролю качества строительных работ</span></p></td>
<td style="BORDER-RIGHT: #ece9d8; PADDING-RIGHT: 2.85pt; BORDER-TOP: #ece9d8; PADDING-LEFT: 2.85pt; PADDING-BOTTOM: 1.4pt; BORDER-LEFT: #ece9d8; PADDING-TOP: 1.4pt; BORDER-BOTTOM: #ece9d8" valign="top" width="7%">
<p align="center"><span style="FONT-SIZE: 10pt">1</span></p></td></tr>
<tr>
<td style="BORDER-RIGHT: #ece9d8; PADDING-RIGHT: 2.85pt; BORDER-TOP: #ece9d8; PADDING-LEFT: 2.85pt; PADDING-BOTTOM: 1.4pt; BORDER-LEFT: #ece9d8; PADDING-TOP: 1.4pt; BORDER-BOTTOM: #ece9d8" valign="top" width="92%" colspan="2">
<p><span style="FONT-SIZE: 10pt">Главный специалист по вопросам совершенствования и мониторинга проектно-изыскательских работ</span></p></td>
<td style="BORDER-RIGHT: #ece9d8; PADDING-RIGHT: 2.85pt; BORDER-TOP: #ece9d8; PADDING-LEFT: 2.85pt; PADDING-BOTTOM: 1.4pt; BORDER-LEFT: #ece9d8; PADDING-TOP: 1.4pt; BORDER-BOTTOM: #ece9d8" valign="top" width="7%">
<p align="center"><span style="FONT-SIZE: 10pt">1</span></p></td></tr>
<tr>
<td style="BORDER-RIGHT: #ece9d8; PADDING-RIGHT: 2.85pt; BORDER-TOP: #ece9d8; PADDING-LEFT: 2.85pt; PADDING-BOTTOM: 1.4pt; BORDER-LEFT: #ece9d8; PADDING-TOP: 1.4pt; BORDER-BOTTOM: #ece9d8" valign="top" width="92%" colspan="2">
<p><span style="FONT-SIZE: 10pt">Главный инспектор по делам архитектуры</span></p></td>
<td style="BORDER-RIGHT: #ece9d8; PADDING-RIGHT: 2.85pt; BORDER-TOP: #ece9d8; PADDING-LEFT: 2.85pt; PADDING-BOTTOM: 1.4pt; BORDER-LEFT: #ece9d8; PADDING-TOP: 1.4pt; BORDER-BOTTOM: #ece9d8" valign="top" width="7%">
<p align="center"><span style="FONT-SIZE: 10pt">1</span></p></td></tr>
<tr>
<td style="BORDER-RIGHT: #ece9d8; PADDING-RIGHT: 2.85pt; BORDER-TOP: #ece9d8; PADDING-LEFT: 2.85pt; PADDING-BOTTOM: 1.4pt; BORDER-LEFT: #ece9d8; PADDING-TOP: 1.4pt; BORDER-BOTTOM: #ece9d8" valign="top" width="92%" colspan="2">
<p><span style="FONT-SIZE: 10pt">Сектор строительной индустрии</span></p></td>
<td style="BORDER-RIGHT: #ece9d8; PADDING-RIGHT: 2.85pt; BORDER-TOP: #ece9d8; PADDING-LEFT: 2.85pt; PADDING-BOTTOM: 1.4pt; BORDER-LEFT: #ece9d8; PADDING-TOP: 1.4pt; BORDER-BOTTOM: #ece9d8" valign="top" width="7%">
<p></p></td></tr>
<tr>
<td style="BORDER-RIGHT: #ece9d8; PADDING-RIGHT: 2.85pt; BORDER-TOP: #ece9d8; PADDING-LEFT: 2.85pt; PADDING-BOTTOM: 1.4pt; BORDER-LEFT: #ece9d8; PADDING-TOP: 1.4pt; BORDER-BOTTOM: #ece9d8" valign="top" width="92%" colspan="2">
<p><span style="FONT-SIZE: 10pt">Заведующий сектором</span></p></td>
<td style="BORDER-RIGHT: #ece9d8; PADDING-RIGHT: 2.85pt; BORDER-TOP: #ece9d8; PADDING-LEFT: 2.85pt; PADDING-BOTTOM: 1.4pt; BORDER-LEFT: #ece9d8; PADDING-TOP: 1.4pt; BORDER-BOTTOM: #ece9d8" valign="top" width="7%">
<p align="center"><span style="FONT-SIZE: 10pt">1</span></p></td></tr>
<tr>
<td style="BORDER-RIGHT: #ece9d8; PADDING-RIGHT: 2.85pt; BORDER-TOP: #ece9d8; PADDING-LEFT: 2.85pt; PADDING-BOTTOM: 1.4pt; BORDER-LEFT: #ece9d8; PADDING-TOP: 1.4pt; BORDER-BOTTOM: #ece9d8" valign="top" width="92%" colspan="2">
<p><span style="FONT-SIZE: 10pt">Главный специалист по вопросам развития стройиндустрии</span></p></td>
<td style="BORDER-RIGHT: #ece9d8; PADDING-RIGHT: 2.85pt; BORDER-TOP: #ece9d8; PADDING-LEFT: 2.85pt; PADDING-BOTTOM: 1.4pt; BORDER-LEFT: #ece9d8; PADDING-TOP: 1.4pt; BORDER-BOTTOM: #ece9d8" valign="top" width="7%">
<p align="center"><span style="FONT-SIZE: 10pt">1</span></p></td></tr>
<tr>
<td style="BORDER-RIGHT: #ece9d8; PADDING-RIGHT: 2.85pt; BORDER-TOP: #ece9d8; PADDING-LEFT: 2.85pt; PADDING-BOTTOM: 1.4pt; BORDER-LEFT: #ece9d8; PADDING-TOP: 1.4pt; BORDER-BOTTOM: #ece9d8" valign="top" width="92%" colspan="2">
<p><span style="FONT-SIZE: 10pt">Главный специалист по вопросам предупреждения и ликвидации последствий чрезвычайных ситуаций</span></p></td>
<td style="BORDER-RIGHT: #ece9d8; PADDING-RIGHT: 2.85pt; BORDER-TOP: #ece9d8; PADDING-LEFT: 2.85pt; PADDING-BOTTOM: 1.4pt; BORDER-LEFT: #ece9d8; PADDING-TOP: 1.4pt; BORDER-BOTTOM: #ece9d8" valign="top" width="7%">
<p align="center"><span style="FONT-SIZE: 10pt">1</span></p></td></tr>
<tr>
<td style="BORDER-RIGHT: #ece9d8; PADDING-RIGHT: 2.85pt; BORDER-TOP: #ece9d8; PADDING-LEFT: 2.85pt; PADDING-BOTTOM: 1.4pt; BORDER-LEFT: #ece9d8; PADDING-TOP: 1.4pt; BORDER-BOTTOM: #ece9d8" valign="top" width="92%" colspan="2">
<p><span style="FONT-SIZE: 10pt">Инспектор</span></p></td>
<td style="BORDER-RIGHT: #ece9d8; PADDING-RIGHT: 2.85pt; BORDER-TOP: #ece9d8; PADDING-LEFT: 2.85pt; PADDING-BOTTOM: 1.4pt; BORDER-LEFT: #ece9d8; PADDING-TOP: 1.4pt; BORDER-BOTTOM: #ece9d8" valign="top" width="7%">
<p align="center"><span style="FONT-SIZE: 10pt">1</span></p></td></tr>
<tr>
<td style="BORDER-RIGHT: #ece9d8; PADDING-RIGHT: 2.85pt; BORDER-TOP: #ece9d8; PADDING-LEFT: 2.85pt; PADDING-BOTTOM: 1.4pt; BORDER-LEFT: #ece9d8; PADDING-TOP: 1.4pt; BORDER-BOTTOM: #ece9d8" valign="top" width="92%" colspan="2">
<p style="MARGIN: 0cm 0cm 12pt" align="center"><b><span style="FONT-SIZE: 10pt">Всего:</span></b></p></td>
<td style="BORDER-RIGHT: #ece9d8; PADDING-RIGHT: 2.85pt; BORDER-TOP: #ece9d8; PADDING-LEFT: 2.85pt; PADDING-BOTTOM: 1.4pt; BORDER-LEFT: #ece9d8; PADDING-TOP: 1.4pt; BORDER-BOTTOM: #ece9d8" valign="top" width="7%">
<p align="center"><b><span style="FONT-SIZE: 10pt">1</span></b><b><span style="FONT-SIZE: 10pt">8</span></b></p></td></tr>
<tr>
<td style="BORDER-RIGHT: #ece9d8; PADDING-RIGHT: 2.85pt; BORDER-TOP: #ece9d8; PADDING-LEFT: 2.85pt; PADDING-BOTTOM: 1.4pt; BORDER-LEFT: #ece9d8; PADDING-TOP: 1.4pt; BORDER-BOTTOM: #ece9d8" valign="top" width="100%" colspan="3">
<p align="center"><b><span style="FONT-SIZE: 10pt">КУРИРУЕМЫЕ <br />министерства, ведомства, хозяйственные объединения и другие организации</span></b></p></td></tr>
<tr>
<td style="BORDER-RIGHT: #ece9d8; PADDING-RIGHT: 2.85pt; BORDER-TOP: #ece9d8; PADDING-LEFT: 2.85pt; PADDING-BOTTOM: 1.4pt; BORDER-LEFT: #ece9d8; PADDING-TOP: 1.4pt; BORDER-BOTTOM: #ece9d8" valign="top" width="100%" colspan="3">
<p></p></td></tr>
<tr>
<td style="BORDER-RIGHT: #ece9d8; PADDING-RIGHT: 2.85pt; BORDER-TOP: #ece9d8; PADDING-LEFT: 2.85pt; PADDING-BOTTOM: 1.4pt; BORDER-LEFT: #ece9d8; PADDING-TOP: 1.4pt; BORDER-BOTTOM: #ece9d8" valign="top" width="6%">
<p align="center"><span style="FONT-SIZE: 10pt">1.</span></p></td>
<td style="BORDER-RIGHT: #ece9d8; PADDING-RIGHT: 2.85pt; BORDER-TOP: #ece9d8; PADDING-LEFT: 2.85pt; PADDING-BOTTOM: 1.4pt; BORDER-LEFT: #ece9d8; PADDING-TOP: 1.4pt; BORDER-BOTTOM: #ece9d8" valign="top" width="93%" colspan="2">
<p><span style="FONT-SIZE: 10pt">Министерство жилищно-коммунального обслуживания Республики Узбекистан</span></p></td></tr>
<tr>
<td style="BORDER-RIGHT: #ece9d8; PADDING-RIGHT: 2.85pt; BORDER-TOP: #ece9d8; PADDING-LEFT: 2.85pt; PADDING-BOTTOM: 1.4pt; BORDER-LEFT: #ece9d8; PADDING-TOP: 1.4pt; BORDER-BOTTOM: #ece9d8" valign="top" width="6%">
<p align="center"><span style="FONT-SIZE: 10pt">2.</span></p></td>
<td style="BORDER-RIGHT: #ece9d8; PADDING-RIGHT: 2.85pt; BORDER-TOP: #ece9d8; PADDING-LEFT: 2.85pt; PADDING-BOTTOM: 1.4pt; BORDER-LEFT: #ece9d8; PADDING-TOP: 1.4pt; BORDER-BOTTOM: #ece9d8" valign="top" width="93%" colspan="2">
<p><span style="FONT-SIZE: 10pt">Министерство по чрезвычайным ситуациям Республики Узбекистан</span></p></td></tr>
<tr>
<td style="BORDER-RIGHT: #ece9d8; PADDING-RIGHT: 2.85pt; BORDER-TOP: #ece9d8; PADDING-LEFT: 2.85pt; PADDING-BOTTOM: 1.4pt; BORDER-LEFT: #ece9d8; PADDING-TOP: 1.4pt; BORDER-BOTTOM: #ece9d8" valign="top" width="6%">
<p align="center"><span style="FONT-SIZE: 10pt">3.</span></p></td>
<td style="BORDER-RIGHT: #ece9d8; PADDING-RIGHT: 2.85pt; BORDER-TOP: #ece9d8; PADDING-LEFT: 2.85pt; PADDING-BOTTOM: 1.4pt; BORDER-LEFT: #ece9d8; PADDING-TOP: 1.4pt; BORDER-BOTTOM: #ece9d8" valign="top" width="93%" colspan="2">
<p><span style="FONT-SIZE: 10pt">Государственный комитет Республики Узбекистан по архитектуре и строительству (Госархитектстрой)</span></p></td></tr>
<tr>
<td style="BORDER-RIGHT: #ece9d8; PADDING-RIGHT: 2.85pt; BORDER-TOP: #ece9d8; PADDING-LEFT: 2.85pt; PADDING-BOTTOM: 1.4pt; BORDER-LEFT: #ece9d8; PADDING-TOP: 1.4pt; BORDER-BOTTOM: #ece9d8" valign="top" width="6%">
<p align="center"><span style="FONT-SIZE: 10pt">4.</span></p></td>
<td style="BORDER-RIGHT: #ece9d8; PADDING-RIGHT: 2.85pt; BORDER-TOP: #ece9d8; PADDING-LEFT: 2.85pt; PADDING-BOTTOM: 1.4pt; BORDER-LEFT: #ece9d8; PADDING-TOP: 1.4pt; BORDER-BOTTOM: #ece9d8" valign="top" width="93%" colspan="2">
<p><span style="FONT-SIZE: 10pt">Государственный комитет Республики Узбекистан по автомобильным дорогам</span></p></td></tr>
<tr>
<td style="BORDER-RIGHT: #ece9d8; PADDING-RIGHT: 2.85pt; BORDER-TOP: #ece9d8; PADDING-LEFT: 2.85pt; PADDING-BOTTOM: 1.4pt; BORDER-LEFT: #ece9d8; PADDING-TOP: 1.4pt; BORDER-BOTTOM: #ece9d8" valign="top" width="6%">
<p align="center"><span style="FONT-SIZE: 10pt">5.</span></p></td>
<td style="BORDER-RIGHT: #ece9d8; PADDING-RIGHT: 2.85pt; BORDER-TOP: #ece9d8; PADDING-LEFT: 2.85pt; PADDING-BOTTOM: 1.4pt; BORDER-LEFT: #ece9d8; PADDING-TOP: 1.4pt; BORDER-BOTTOM: #ece9d8" valign="top" width="93%" colspan="2">
<p><span style="FONT-SIZE: 10pt">Государственная инспекция Республики Узбекистан по надзору за безопасностью железнодорожных перевозок (ГИ «Узгосжелдорнадзор»)</span></p></td></tr>
<tr>
<td style="BORDER-RIGHT: #ece9d8; PADDING-RIGHT: 2.85pt; BORDER-TOP: #ece9d8; PADDING-LEFT: 2.85pt; PADDING-BOTTOM: 1.4pt; BORDER-LEFT: #ece9d8; PADDING-TOP: 1.4pt; BORDER-BOTTOM: #ece9d8" valign="top" width="6%">
<p align="center"><span style="FONT-SIZE: 10pt">6.</span></p></td>
<td style="BORDER-RIGHT: #ece9d8; PADDING-RIGHT: 2.85pt; BORDER-TOP: #ece9d8; PADDING-LEFT: 2.85pt; PADDING-BOTTOM: 1.4pt; BORDER-LEFT: #ece9d8; PADDING-TOP: 1.4pt; BORDER-BOTTOM: #ece9d8" valign="top" width="93%" colspan="2">
<p><span style="FONT-SIZE: 10pt">Государственная инспекция Республики Узбекистан по надзору за безопасностью полетов (ГИ «Госавианадзор»)</span></p></td></tr>
<tr>
<td style="BORDER-RIGHT: #ece9d8; PADDING-RIGHT: 2.85pt; BORDER-TOP: #ece9d8; PADDING-LEFT: 2.85pt; PADDING-BOTTOM: 1.4pt; BORDER-LEFT: #ece9d8; PADDING-TOP: 1.4pt; BORDER-BOTTOM: #ece9d8" valign="top" width="6%">
<p align="center"><span style="FONT-SIZE: 10pt">7.</span></p></td>
<td style="BORDER-RIGHT: #ece9d8; PADDING-RIGHT: 2.85pt; BORDER-TOP: #ece9d8; PADDING-LEFT: 2.85pt; PADDING-BOTTOM: 1.4pt; BORDER-LEFT: #ece9d8; PADDING-TOP: 1.4pt; BORDER-BOTTOM: #ece9d8" valign="top" width="93%" colspan="2">
<p><span style="FONT-SIZE: 10pt">Государственная инспекция по контролю за качеством дорожно-строительных работ при Кабинете Министров Республики Узбекистан</span></p></td></tr>
<tr>
<td style="BORDER-RIGHT: #ece9d8; PADDING-RIGHT: 2.85pt; BORDER-TOP: #ece9d8; PADDING-LEFT: 2.85pt; PADDING-BOTTOM: 1.4pt; BORDER-LEFT: #ece9d8; PADDING-TOP: 1.4pt; BORDER-BOTTOM: #ece9d8" valign="top" width="6%">
<p align="center"><span style="FONT-SIZE: 10pt">8.</span></p></td>
<td style="BORDER-RIGHT: #ece9d8; PADDING-RIGHT: 2.85pt; BORDER-TOP: #ece9d8; PADDING-LEFT: 2.85pt; PADDING-BOTTOM: 1.4pt; BORDER-LEFT: #ece9d8; PADDING-TOP: 1.4pt; BORDER-BOTTOM: #ece9d8" valign="top" width="93%" colspan="2">
<p><span style="FONT-SIZE: 10pt">Государственная инспекция по контролю за использованием питьевой воды при Кабинете Министров Республики Узбекистан</span></p></td></tr>
<tr>
<td style="BORDER-RIGHT: #ece9d8; PADDING-RIGHT: 2.85pt; BORDER-TOP: #ece9d8; PADDING-LEFT: 2.85pt; PADDING-BOTTOM: 1.4pt; BORDER-LEFT: #ece9d8; PADDING-TOP: 1.4pt; BORDER-BOTTOM: #ece9d8" valign="top" width="6%">
<p align="center"><span style="FONT-SIZE: 10pt">9.</span></p></td>
<td style="BORDER-RIGHT: #ece9d8; PADDING-RIGHT: 2.85pt; BORDER-TOP: #ece9d8; PADDING-LEFT: 2.85pt; PADDING-BOTTOM: 1.4pt; BORDER-LEFT: #ece9d8; PADDING-TOP: 1.4pt; BORDER-BOTTOM: #ece9d8" valign="top" width="93%" colspan="2">
<p><span style="FONT-SIZE: 10pt">Инспекция по контролю в сфере эксплуатации многоквартирного жилищного фонда при Министерстве жилищно-коммунального обслуживания Республики Узбекистан (Жилфондинспекция)</span></p></td></tr>
<tr>
<td style="BORDER-RIGHT: #ece9d8; PADDING-RIGHT: 2.85pt; BORDER-TOP: #ece9d8; PADDING-LEFT: 2.85pt; PADDING-BOTTOM: 1.4pt; BORDER-LEFT: #ece9d8; PADDING-TOP: 1.4pt; BORDER-BOTTOM: #ece9d8" valign="top" width="6%">
<p align="center"><span style="FONT-SIZE: 10pt">10.</span></p></td>
<td style="BORDER-RIGHT: #ece9d8; PADDING-RIGHT: 2.85pt; BORDER-TOP: #ece9d8; PADDING-LEFT: 2.85pt; PADDING-BOTTOM: 1.4pt; BORDER-LEFT: #ece9d8; PADDING-TOP: 1.4pt; BORDER-BOTTOM: #ece9d8" valign="top" width="93%" colspan="2">
<p><span style="FONT-SIZE: 10pt">Республиканский дорожный фонд при Кабинете Министров Республики Узбекистан</span></p></td></tr>
<tr>
<td style="BORDER-RIGHT: #ece9d8; PADDING-RIGHT: 2.85pt; BORDER-TOP: #ece9d8; PADDING-LEFT: 2.85pt; PADDING-BOTTOM: 1.4pt; BORDER-LEFT: #ece9d8; PADDING-TOP: 1.4pt; BORDER-BOTTOM: #ece9d8" valign="top" width="6%">
<p align="center"><span style="FONT-SIZE: 10pt">11.</span></p></td>
<td style="BORDER-RIGHT: #ece9d8; PADDING-RIGHT: 2.85pt; BORDER-TOP: #ece9d8; PADDING-LEFT: 2.85pt; PADDING-BOTTOM: 1.4pt; BORDER-LEFT: #ece9d8; PADDING-TOP: 1.4pt; BORDER-BOTTOM: #ece9d8" valign="top" width="93%" colspan="2">
<p><span style="FONT-SIZE: 10pt">ГУП «Инжиниринговая компания по строительству многоквартирных домов, объектов теплоснабжения»</span></p></td></tr>
<tr>
<td style="BORDER-RIGHT: #ece9d8; PADDING-RIGHT: 2.85pt; BORDER-TOP: #ece9d8; PADDING-LEFT: 2.85pt; PADDING-BOTTOM: 1.4pt; BORDER-LEFT: #ece9d8; PADDING-TOP: 1.4pt; BORDER-BOTTOM: #ece9d8" valign="top" width="6%">
<p align="center"><span style="FONT-SIZE: 10pt">12.</span></p></td>
<td style="BORDER-RIGHT: #ece9d8; PADDING-RIGHT: 2.85pt; BORDER-TOP: #ece9d8; PADDING-LEFT: 2.85pt; PADDING-BOTTOM: 1.4pt; BORDER-LEFT: #ece9d8; PADDING-TOP: 1.4pt; BORDER-BOTTOM: #ece9d8" valign="top" width="93%" colspan="2">
<p><span style="FONT-SIZE: 10pt">Республиканский проектный институт «УзИнжиниринг» при Кабинете Министров Республики Узбекистан</span></p></td></tr>
<tr>
<td style="BORDER-RIGHT: #ece9d8; PADDING-RIGHT: 2.85pt; BORDER-TOP: #ece9d8; PADDING-LEFT: 2.85pt; PADDING-BOTTOM: 1.4pt; BORDER-LEFT: #ece9d8; PADDING-TOP: 1.4pt; BORDER-BOTTOM: #ece9d8" valign="top" width="6%">
<p align="center"><span style="FONT-SIZE: 10pt">13.</span></p></td>
<td style="BORDER-RIGHT: #ece9d8; PADDING-RIGHT: 2.85pt; BORDER-TOP: #ece9d8; PADDING-LEFT: 2.85pt; PADDING-BOTTOM: 1.4pt; BORDER-LEFT: #ece9d8; PADDING-TOP: 1.4pt; BORDER-BOTTOM: #ece9d8" valign="top" width="93%" colspan="2">
<p><span style="FONT-SIZE: 10pt">ГУП «Дирекция по строительству и реконструкции автомобильных дорог общего пользования»</span></p></td></tr>
<tr>
<td style="BORDER-RIGHT: #ece9d8; PADDING-RIGHT: 2.85pt; BORDER-TOP: #ece9d8; PADDING-LEFT: 2.85pt; PADDING-BOTTOM: 1.4pt; BORDER-LEFT: #ece9d8; PADDING-TOP: 1.4pt; BORDER-BOTTOM: #ece9d8" valign="top" width="6%">
<p align="center"><span style="FONT-SIZE: 10pt">14.</span></p></td>
<td style="BORDER-RIGHT: #ece9d8; PADDING-RIGHT: 2.85pt; BORDER-TOP: #ece9d8; PADDING-LEFT: 2.85pt; PADDING-BOTTOM: 1.4pt; BORDER-LEFT: #ece9d8; PADDING-TOP: 1.4pt; BORDER-BOTTOM: #ece9d8" valign="top" width="93%" colspan="2">
<p><span style="FONT-SIZE: 10pt">Государственная инспекция по контролю и надзору за техническим состояниями и безопасностью работы крупных и особо важных водохозяйственных объектов при Министерстве по чрезвычайным ситуациям Республики Узбекистан (Госводхознадзор)</span></p></td></tr>
<tr>
<td style="BORDER-RIGHT: #ece9d8; PADDING-RIGHT: 2.85pt; BORDER-TOP: #ece9d8; PADDING-LEFT: 2.85pt; PADDING-BOTTOM: 1.4pt; BORDER-LEFT: #ece9d8; PADDING-TOP: 1.4pt; BORDER-BOTTOM: #ece9d8" valign="top" width="6%">
<p align="center"><span style="FONT-SIZE: 10pt">15.</span></p></td>
<td style="BORDER-RIGHT: #ece9d8; PADDING-RIGHT: 2.85pt; BORDER-TOP: #ece9d8; PADDING-LEFT: 2.85pt; PADDING-BOTTOM: 1.4pt; BORDER-LEFT: #ece9d8; PADDING-TOP: 1.4pt; BORDER-BOTTOM: #ece9d8" valign="top" width="93%" colspan="2">
<p><span style="FONT-SIZE: 10pt">Центр гидрометеорологической службы при Министерстве по чрезвычайным ситуациям Республики Узбекистан</span></p></td></tr>
<tr>
<td style="BORDER-RIGHT: #ece9d8; PADDING-RIGHT: 2.85pt; BORDER-TOP: #ece9d8; PADDING-LEFT: 2.85pt; PADDING-BOTTOM: 1.4pt; BORDER-LEFT: #ece9d8; PADDING-TOP: 1.4pt; BORDER-BOTTOM: #ece9d8" valign="top" width="6%">
<p align="center"><span style="FONT-SIZE: 10pt">16.</span></p></td>
<td style="BORDER-RIGHT: #ece9d8; PADDING-RIGHT: 2.85pt; BORDER-TOP: #ece9d8; PADDING-LEFT: 2.85pt; PADDING-BOTTOM: 1.4pt; BORDER-LEFT: #ece9d8; PADDING-TOP: 1.4pt; BORDER-BOTTOM: #ece9d8" valign="top" width="93%" colspan="2">
<p><span style="FONT-SIZE: 10pt">Узбекское агентство автомобильного и речного транспорта</span></p></td></tr>
<tr>
<td style="BORDER-RIGHT: #ece9d8; PADDING-RIGHT: 2.85pt; BORDER-TOP: #ece9d8; PADDING-LEFT: 2.85pt; PADDING-BOTTOM: 1.4pt; BORDER-LEFT: #ece9d8; PADDING-TOP: 1.4pt; BORDER-BOTTOM: #ece9d8" valign="top" width="6%">
<p align="center"><span style="FONT-SIZE: 10pt">17.</span></p></td>
<td style="BORDER-RIGHT: #ece9d8; PADDING-RIGHT: 2.85pt; BORDER-TOP: #ece9d8; PADDING-LEFT: 2.85pt; PADDING-BOTTOM: 1.4pt; BORDER-LEFT: #ece9d8; PADDING-TOP: 1.4pt; BORDER-BOTTOM: #ece9d8" valign="top" width="93%" colspan="2">
<p><span style="FONT-SIZE: 10pt">АКБ «Кишлок курилиш банк»</span></p></td></tr>
<tr>
<td style="BORDER-RIGHT: #ece9d8; PADDING-RIGHT: 2.85pt; BORDER-TOP: #ece9d8; PADDING-LEFT: 2.85pt; PADDING-BOTTOM: 1.4pt; BORDER-LEFT: #ece9d8; PADDING-TOP: 1.4pt; BORDER-BOTTOM: #ece9d8" valign="top" width="6%">
<p align="center"><span style="FONT-SIZE: 10pt">18.</span></p></td>
<td style="BORDER-RIGHT: #ece9d8; PADDING-RIGHT: 2.85pt; BORDER-TOP: #ece9d8; PADDING-LEFT: 2.85pt; PADDING-BOTTOM: 1.4pt; BORDER-LEFT: #ece9d8; PADDING-TOP: 1.4pt; BORDER-BOTTOM: #ece9d8" valign="top" width="93%" colspan="2">
<p><span style="FONT-SIZE: 10pt">АКИБ «Ипотека-банк»</span></p></td></tr>
<tr>
<td style="BORDER-RIGHT: #ece9d8; PADDING-RIGHT: 2.85pt; BORDER-TOP: #ece9d8; PADDING-LEFT: 2.85pt; PADDING-BOTTOM: 1.4pt; BORDER-LEFT: #ece9d8; PADDING-TOP: 1.4pt; BORDER-BOTTOM: #ece9d8" valign="top" width="6%">
<p align="center"><span style="FONT-SIZE: 10pt">19.</span></p></td>
<td style="BORDER-RIGHT: #ece9d8; PADDING-RIGHT: 2.85pt; BORDER-TOP: #ece9d8; PADDING-LEFT: 2.85pt; PADDING-BOTTOM: 1.4pt; BORDER-LEFT: #ece9d8; PADDING-TOP: 1.4pt; BORDER-BOTTOM: #ece9d8" valign="top" width="93%" colspan="2">
<p><span style="FONT-SIZE: 10pt">АО «Узстройматериалы»</span></p></td></tr>
<tr>
<td style="BORDER-RIGHT: #ece9d8; PADDING-RIGHT: 2.85pt; BORDER-TOP: #ece9d8; PADDING-LEFT: 2.85pt; PADDING-BOTTOM: 1.4pt; BORDER-LEFT: #ece9d8; PADDING-TOP: 1.4pt; BORDER-BOTTOM: #ece9d8" valign="top" width="6%">
<p align="center"><span style="FONT-SIZE: 10pt">20.</span></p></td>
<td style="BORDER-RIGHT: #ece9d8; PADDING-RIGHT: 2.85pt; BORDER-TOP: #ece9d8; PADDING-LEFT: 2.85pt; PADDING-BOTTOM: 1.4pt; BORDER-LEFT: #ece9d8; PADDING-TOP: 1.4pt; BORDER-BOTTOM: #ece9d8" valign="top" width="93%" colspan="2">
<p><span style="FONT-SIZE: 10pt">АО «Узбекистон темир йуллари»</span></p></td></tr>
<tr>
<td style="BORDER-RIGHT: #ece9d8; PADDING-RIGHT: 2.85pt; BORDER-TOP: #ece9d8; PADDING-LEFT: 2.85pt; PADDING-BOTTOM: 1.4pt; BORDER-LEFT: #ece9d8; PADDING-TOP: 1.4pt; BORDER-BOTTOM: #ece9d8" valign="top" width="6%">
<p align="center"><span style="FONT-SIZE: 10pt">21.</span></p></td>
<td style="BORDER-RIGHT: #ece9d8; PADDING-RIGHT: 2.85pt; BORDER-TOP: #ece9d8; PADDING-LEFT: 2.85pt; PADDING-BOTTOM: 1.4pt; BORDER-LEFT: #ece9d8; PADDING-TOP: 1.4pt; BORDER-BOTTOM: #ece9d8" valign="top" width="93%" colspan="2">
<p><span style="FONT-SIZE: 10pt">АО «Тошшахартрансхизмат»</span></p></td></tr>
<tr>
<td style="BORDER-RIGHT: #ece9d8; PADDING-RIGHT: 2.85pt; BORDER-TOP: #ece9d8; PADDING-LEFT: 2.85pt; PADDING-BOTTOM: 1.4pt; BORDER-LEFT: #ece9d8; PADDING-TOP: 1.4pt; BORDER-BOTTOM: #ece9d8" valign="top" width="6%">
<p align="center"><span style="FONT-SIZE: 10pt">22.</span></p></td>
<td style="BORDER-RIGHT: #ece9d8; PADDING-RIGHT: 2.85pt; BORDER-TOP: #ece9d8; PADDING-LEFT: 2.85pt; PADDING-BOTTOM: 1.4pt; BORDER-LEFT: #ece9d8; PADDING-TOP: 1.4pt; BORDER-BOTTOM: #ece9d8" valign="top" width="93%" colspan="2">
<p><span style="FONT-SIZE: 10pt">АО «Ангрен логистика маркази»</span></p></td></tr>
<tr>
<td style="BORDER-RIGHT: #ece9d8; PADDING-RIGHT: 2.85pt; BORDER-TOP: #ece9d8; PADDING-LEFT: 2.85pt; PADDING-BOTTOM: 1.4pt; BORDER-LEFT: #ece9d8; PADDING-TOP: 1.4pt; BORDER-BOTTOM: #ece9d8" valign="top" width="6%">
<p align="center"><span style="FONT-SIZE: 10pt">23.</span></p></td>
<td style="BORDER-RIGHT: #ece9d8; PADDING-RIGHT: 2.85pt; BORDER-TOP: #ece9d8; PADDING-LEFT: 2.85pt; PADDING-BOTTOM: 1.4pt; BORDER-LEFT: #ece9d8; PADDING-TOP: 1.4pt; BORDER-BOTTOM: #ece9d8" valign="top" width="93%" colspan="2">
<p><span style="FONT-SIZE: 10pt">АК «Узмахсусмонтажкурилиш»</span></p></td></tr>
<tr>
<td style="BORDER-RIGHT: #ece9d8; PADDING-RIGHT: 2.85pt; BORDER-TOP: #ece9d8; PADDING-LEFT: 2.85pt; PADDING-BOTTOM: 1.4pt; BORDER-LEFT: #ece9d8; PADDING-TOP: 1.4pt; BORDER-BOTTOM: #ece9d8" valign="top" width="6%">
<p align="center"><span style="FONT-SIZE: 10pt">24.</span></p></td>
<td style="BORDER-RIGHT: #ece9d8; PADDING-RIGHT: 2.85pt; BORDER-TOP: #ece9d8; PADDING-LEFT: 2.85pt; PADDING-BOTTOM: 1.4pt; BORDER-LEFT: #ece9d8; PADDING-TOP: 1.4pt; BORDER-BOTTOM: #ece9d8" valign="top" width="93%" colspan="2">
<p><span style="FONT-SIZE: 10pt">ИК «Кишлоккурилишинвест»</span></p></td></tr>
<tr>
<td style="BORDER-RIGHT: #ece9d8; PADDING-RIGHT: 2.85pt; BORDER-TOP: #ece9d8; PADDING-LEFT: 2.85pt; PADDING-BOTTOM: 1.4pt; BORDER-LEFT: #ece9d8; PADDING-TOP: 1.4pt; BORDER-BOTTOM: #ece9d8" valign="top" width="6%">
<p align="center"><span style="FONT-SIZE: 10pt">25.</span></p></td>
<td style="BORDER-RIGHT: #ece9d8; PADDING-RIGHT: 2.85pt; BORDER-TOP: #ece9d8; PADDING-LEFT: 2.85pt; PADDING-BOTTOM: 1.4pt; BORDER-LEFT: #ece9d8; PADDING-TOP: 1.4pt; BORDER-BOTTOM: #ece9d8" valign="top" width="93%" colspan="2">
<p><span style="FONT-SIZE: 10pt">АК «Курилиш-лизинг»</span></p></td></tr>
<tr>
<td style="BORDER-RIGHT: #ece9d8; PADDING-RIGHT: 2.85pt; BORDER-TOP: #ece9d8; PADDING-LEFT: 2.85pt; PADDING-BOTTOM: 1.4pt; BORDER-LEFT: #ece9d8; PADDING-TOP: 1.4pt; BORDER-BOTTOM: #ece9d8" valign="top" width="6%">
<p align="center"><span style="FONT-SIZE: 10pt">26.</span></p></td>
<td style="BORDER-RIGHT: #ece9d8; PADDING-RIGHT: 2.85pt; BORDER-TOP: #ece9d8; PADDING-LEFT: 2.85pt; PADDING-BOTTOM: 1.4pt; BORDER-LEFT: #ece9d8; PADDING-TOP: 1.4pt; BORDER-BOTTOM: #ece9d8" valign="top" width="93%" colspan="2">
<p><span style="FONT-SIZE: 10pt">РСЛK «Курилишмашлизинг»</span></p></td></tr>
<tr>
<td style="BORDER-RIGHT: #ece9d8; PADDING-RIGHT: 2.85pt; BORDER-TOP: #ece9d8; PADDING-LEFT: 2.85pt; PADDING-BOTTOM: 1.4pt; BORDER-LEFT: #ece9d8; PADDING-TOP: 1.4pt; BORDER-BOTTOM: #ece9d8" valign="top" width="6%">
<p align="center"><span style="FONT-SIZE: 10pt">27.</span></p></td>
<td style="BORDER-RIGHT: #ece9d8; PADDING-RIGHT: 2.85pt; BORDER-TOP: #ece9d8; PADDING-LEFT: 2.85pt; PADDING-BOTTOM: 1.4pt; BORDER-LEFT: #ece9d8; PADDING-TOP: 1.4pt; BORDER-BOTTOM: #ece9d8" valign="top" width="93%" colspan="2">
<p><span style="FONT-SIZE: 10pt">НАК «Узбекистон хаво йуллари»</span></p></td></tr>
<tr>
<td style="BORDER-RIGHT: #ece9d8; PADDING-RIGHT: 2.85pt; BORDER-TOP: #ece9d8; PADDING-LEFT: 2.85pt; PADDING-BOTTOM: 1.4pt; BORDER-LEFT: #ece9d8; PADDING-TOP: 1.4pt; BORDER-BOTTOM: #ece9d8" valign="top" width="6%">
<p align="center"><span style="FONT-SIZE: 10pt">28.</span></p></td>
<td style="BORDER-RIGHT: #ece9d8; PADDING-RIGHT: 2.85pt; BORDER-TOP: #ece9d8; PADDING-LEFT: 2.85pt; PADDING-BOTTOM: 1.4pt; BORDER-LEFT: #ece9d8; PADDING-TOP: 1.4pt; BORDER-BOTTOM: #ece9d8" valign="top" width="93%" colspan="2">
<p><span style="FONT-SIZE: 10pt">ГУП «Трансйул кури лит»</span></p></td></tr>
<tr>
<td style="BORDER-RIGHT: #ece9d8; PADDING-RIGHT: 2.85pt; BORDER-TOP: #ece9d8; PADDING-LEFT: 2.85pt; PADDING-BOTTOM: 1.4pt; BORDER-LEFT: #ece9d8; PADDING-TOP: 1.4pt; BORDER-BOTTOM: #ece9d8" valign="top" width="6%">
<p align="center"><span style="FONT-SIZE: 10pt">29.</span></p></td>
<td style="BORDER-RIGHT: #ece9d8; PADDING-RIGHT: 2.85pt; BORDER-TOP: #ece9d8; PADDING-LEFT: 2.85pt; PADDING-BOTTOM: 1.4pt; BORDER-LEFT: #ece9d8; PADDING-TOP: 1.4pt; BORDER-BOTTOM: #ece9d8" valign="top" width="93%" colspan="2">
<p><span style="FONT-SIZE: 10pt">Союз архитекторов</span></p></td></tr>
<tr>
<td style="BORDER-RIGHT: #ece9d8; PADDING-RIGHT: 2.85pt; BORDER-TOP: #ece9d8; PADDING-LEFT: 2.85pt; PADDING-BOTTOM: 1.4pt; BORDER-LEFT: #ece9d8; PADDING-TOP: 1.4pt; BORDER-BOTTOM: #ece9d8" valign="top" width="6%">
<p align="center"><span style="FONT-SIZE: 10pt">30.</span></p></td>
<td style="BORDER-RIGHT: #ece9d8; PADDING-RIGHT: 2.85pt; BORDER-TOP: #ece9d8; PADDING-LEFT: 2.85pt; PADDING-BOTTOM: 1.4pt; BORDER-LEFT: #ece9d8; PADDING-TOP: 1.4pt; BORDER-BOTTOM: #ece9d8" valign="top" width="93%" colspan="2">
<p><span style="FONT-SIZE: 10pt">Ассоциация международных автомобильных перевозчиков</span></p></td></tr>
<tr>
<td style="BORDER-RIGHT: #ece9d8; PADDING-RIGHT: 2.85pt; BORDER-TOP: #ece9d8; PADDING-LEFT: 2.85pt; PADDING-BOTTOM: 1.4pt; BORDER-LEFT: #ece9d8; PADDING-TOP: 1.4pt; BORDER-BOTTOM: #ece9d8" valign="top" width="6%">
<p align="center"><span style="FONT-SIZE: 10pt">31.</span></p></td>
<td style="BORDER-RIGHT: #ece9d8; PADDING-RIGHT: 2.85pt; BORDER-TOP: #ece9d8; PADDING-LEFT: 2.85pt; PADDING-BOTTOM: 1.4pt; BORDER-LEFT: #ece9d8; PADDING-TOP: 1.4pt; BORDER-BOTTOM: #ece9d8" valign="top" width="93%" colspan="2">
<p><span style="FONT-SIZE: 10pt">Ассоциация международных экспедиторов</span></p></td></tr>
<tr>
<td style="BORDER-RIGHT: #ece9d8; PADDING-RIGHT: 2.85pt; BORDER-TOP: #ece9d8; PADDING-LEFT: 2.85pt; PADDING-BOTTOM: 1.4pt; BORDER-LEFT: #ece9d8; PADDING-TOP: 1.4pt; BORDER-BOTTOM: #ece9d8" valign="top" width="6%">
<p align="center"><span style="FONT-SIZE: 10pt">32.</span></p></td>
<td style="BORDER-RIGHT: #ece9d8; PADDING-RIGHT: 2.85pt; BORDER-TOP: #ece9d8; PADDING-LEFT: 2.85pt; PADDING-BOTTOM: 1.4pt; BORDER-LEFT: #ece9d8; PADDING-TOP: 1.4pt; BORDER-BOTTOM: #ece9d8" valign="top" width="93%" colspan="2">
<p><span style="FONT-SIZE: 10pt">Совет Министров Республики Каракалпакстан, хокимияты областей и г. Ташкента — в части вопросов, входящих в компетенцию Комплекса</span></p></td></tr></tbody></table></div></div><div class="CHANGES_ORIGINS" style="color:#808080;"><label id="s1104"></label><div name="3446971" id="3446971">(приложение № 9 в редакции <a href="/ru/docs/3262202?ONDATE=19.07.2017 00#3262677">постановления </a>Президента Республики Узбекистан от 10 июля 2017 года № ПП–3123 — СЗ РУ, 2017 г., № 28, ст. 642)</div></div><div class="COMMENT"><label id="s3935"></label><div name="edi3446971" id="edi3446971">См. <a href="/ru/docs/3233862?ONDATE=28.08.2017 00#edi3446983">последующую</a> редакцию.</div></div><div class="BY_DEFAULT lx_elem" style="color:#808080;" onmousemove="lx_mo(event,3234131)"><div class="lx_elem2"><div class="lx_elem3"><span onclick="lx_sf(3234131)"><img src="/img/cmt.svg" />Предложения по документу</span><span onclick="lx_pa(3234131)"><img src="/img/vlm.svg" />Прослушать аудио</span><span onclick="lx_cl(3234131)"><img src="/img/lnk.svg" />Получить ссылку из элемента документа</span></div></div><div name="3234131" id="3234131"></div></div><div class="APPL_BANNER_LANDSCAPE_TITLE lx_elem" style="color:#808080;" onmousemove="lx_mo(event,3234132)"><div class="lx_elem2"><div class="lx_elem3"><span onclick="lx_sf(3234132)"><img src="/img/cmt.svg" />Предложения по документу</span><span onclick="lx_pa(3234132)"><img src="/img/vlm.svg" />Прослушать аудио</span><span onclick="lx_cl(3234132)"><img src="/img/lnk.svg" />Получить ссылку из элемента документа</span></div></div><div name="3234132" id="3234132">ПРИЛОЖЕНИЕ № 10<br />к <a href="/ru/docs/3233862">постановлению</a> Президента Республики Узбекистан от 12 июня 2017 года № ПП-3051 </div></div><div class="ACT_FORM lx_elem" style="color:#808080;" onmousemove="lx_mo(event,3234133)"><div class="lx_elem2"><div class="lx_elem3"><span onclick="lx_sf(3234133)"><img src="/img/cmt.svg" />Предложения по документу</span><span onclick="lx_pa(3234133)"><img src="/img/vlm.svg" />Прослушать аудио</span><span onclick="lx_cl(3234133)"><img src="/img/lnk.svg" />Получить ссылку из элемента документа</span></div></div><div name="3234133" id="3234133">СТРУКТУРА</div></div><div class="ACT_TITLE_APPL lx_elem" style="color:#808080;" onmousemove="lx_mo(event,3234134)"><div class="lx_elem2"><div class="lx_elem3"><span onclick="lx_sf(3234134)"><img src="/img/cmt.svg" />Предложения по документу</span><span onclick="lx_pa(3234134)"><img src="/img/vlm.svg" />Прослушать аудио</span><span onclick="lx_cl(3234134)"><img src="/img/lnk.svg" />Получить ссылку из элемента документа</span></div></div><div name="3234134" id="3234134">Сводного информационно-аналитического департамента по вопросам экономического развития, структурных преобразований, реформирования банковской и финансовой систем, координации деятельности свободных экономических и малых промышленных зон</div></div><div class="BY_DEFAULT lx_elem" style="color:#808080;" onmousemove="lx_mo(event,3413955)"><div class="lx_elem2"><div class="lx_elem3"><span onclick="lx_sf(3413955)"><img src="/img/cmt.svg" />Предложения по документу</span><span onclick="lx_pa(3413955)"><img src="/img/vlm.svg" />Прослушать аудио</span><span onclick="lx_cl(3413955)"><img src="/img/lnk.svg" />Получить ссылку из элемента документа</span></div></div><div name="3413955" id="3413955"></div></div><div class="BY_DEFAULT lx_elem" style="color:#808080;" onmousemove="lx_mo(event,3234135)"><div class="lx_elem2"><div class="lx_elem3"><span onclick="lx_sf(3234135)"><img src="/img/cmt.svg" />Предложения по документу</span><span onclick="lx_pa(3234135)"><img src="/img/vlm.svg" />Прослушать аудио</span><span onclick="lx_cl(3234135)"><img src="/img/lnk.svg" />Получить ссылку из элемента документа</span></div></div><div name="3234135" id="3234135"></div></div><div class="BY_DEFAULT lx_elem" style="color:#808080;" onmousemove="lx_mo(event,3234136)"><div class="lx_elem2"><div class="lx_elem3"><span onclick="lx_sf(3234136)"><img src="/img/cmt.svg" />Предложения по документу</span><span onclick="lx_pa(3234136)"><img src="/img/vlm.svg" />Прослушать аудио</span><span onclick="lx_cl(3234136)"><img src="/img/lnk.svg" />Получить ссылку из элемента документа</span></div></div><div name="3234136" id="3234136"><table style="BORDER-COLLAPSE: collapse; BACKGROUND: white" border="0" cellspacing="0" cellpadding="0" width="100%">
<tbody>
<tr>
<td style="BORDER-BOTTOM: #ece9d8; BORDER-LEFT: #ece9d8; PADDING-BOTTOM: 1.4pt; PADDING-LEFT: 2.85pt; PADDING-RIGHT: 2.85pt; BORDER-TOP: #ece9d8; BORDER-RIGHT: #ece9d8; PADDING-TOP: 1.4pt" valign="top" width="92%" colspan="2">
<p><b><span>Заведующий департаментом</span></b></p></td>
<td style="BORDER-BOTTOM: #ece9d8; BORDER-LEFT: #ece9d8; PADDING-BOTTOM: 1.4pt; PADDING-LEFT: 2.85pt; PADDING-RIGHT: 2.85pt; BORDER-TOP: #ece9d8; BORDER-RIGHT: #ece9d8; PADDING-TOP: 1.4pt" valign="top" width="7%">
<p align="center"><span>1</span></p></td></tr>
<tr>
<td style="BORDER-BOTTOM: #ece9d8; BORDER-LEFT: #ece9d8; PADDING-BOTTOM: 1.4pt; PADDING-LEFT: 2.85pt; PADDING-RIGHT: 2.85pt; BORDER-TOP: #ece9d8; BORDER-RIGHT: #ece9d8; PADDING-TOP: 1.4pt" valign="top" width="92%" colspan="2">
<p><span>Заместитель заведующего департаментом</span></p></td>
<td style="BORDER-BOTTOM: #ece9d8; BORDER-LEFT: #ece9d8; PADDING-BOTTOM: 1.4pt; PADDING-LEFT: 2.85pt; PADDING-RIGHT: 2.85pt; BORDER-TOP: #ece9d8; BORDER-RIGHT: #ece9d8; PADDING-TOP: 1.4pt" valign="top" width="7%">
<p align="center"><span>1</span></p></td></tr>
<tr>
<td style="BORDER-BOTTOM: #ece9d8; BORDER-LEFT: #ece9d8; PADDING-BOTTOM: 1.4pt; PADDING-LEFT: 2.85pt; PADDING-RIGHT: 2.85pt; BORDER-TOP: #ece9d8; BORDER-RIGHT: #ece9d8; PADDING-TOP: 1.4pt" valign="top" width="92%" colspan="2">
<p><span>Сектор макроэкономического анализа и прогнозирования развития экономики</span></p></td>
<td style="BORDER-BOTTOM: #ece9d8; BORDER-LEFT: #ece9d8; PADDING-BOTTOM: 1.4pt; PADDING-LEFT: 2.85pt; PADDING-RIGHT: 2.85pt; BORDER-TOP: #ece9d8; BORDER-RIGHT: #ece9d8; PADDING-TOP: 1.4pt" valign="top" width="7%">
<p align="center"></p></td></tr>
<tr>
<td style="BORDER-BOTTOM: #ece9d8; BORDER-LEFT: #ece9d8; PADDING-BOTTOM: 1.4pt; PADDING-LEFT: 2.85pt; PADDING-RIGHT: 2.85pt; BORDER-TOP: #ece9d8; BORDER-RIGHT: #ece9d8; PADDING-TOP: 1.4pt" valign="top" width="92%" colspan="2">
<p><span>Заведующий сектором</span></p></td>
<td style="BORDER-BOTTOM: #ece9d8; BORDER-LEFT: #ece9d8; PADDING-BOTTOM: 1.4pt; PADDING-LEFT: 2.85pt; PADDING-RIGHT: 2.85pt; BORDER-TOP: #ece9d8; BORDER-RIGHT: #ece9d8; PADDING-TOP: 1.4pt" valign="top" width="7%">
<p align="center"><span>1</span></p></td></tr>
<tr>
<td style="BORDER-BOTTOM: #ece9d8; BORDER-LEFT: #ece9d8; PADDING-BOTTOM: 1.4pt; PADDING-LEFT: 2.85pt; PADDING-RIGHT: 2.85pt; BORDER-TOP: #ece9d8; BORDER-RIGHT: #ece9d8; PADDING-TOP: 1.4pt" valign="top" width="92%" colspan="2">
<p><span>Главный специалист по вопросам макроэкономического анализа и прогнозирования</span></p></td>
<td style="BORDER-BOTTOM: #ece9d8; BORDER-LEFT: #ece9d8; PADDING-BOTTOM: 1.4pt; PADDING-LEFT: 2.85pt; PADDING-RIGHT: 2.85pt; BORDER-TOP: #ece9d8; BORDER-RIGHT: #ece9d8; PADDING-TOP: 1.4pt" valign="top" width="7%">
<p align="center"><span>1</span></p></td></tr>
<tr>
<td style="BORDER-BOTTOM: #ece9d8; BORDER-LEFT: #ece9d8; PADDING-BOTTOM: 1.4pt; PADDING-LEFT: 2.85pt; PADDING-RIGHT: 2.85pt; BORDER-TOP: #ece9d8; BORDER-RIGHT: #ece9d8; PADDING-TOP: 1.4pt" valign="top" width="92%" colspan="2">
<p><span>Главный специалист по вопросам повышения занятости, уровня жизни и социальной защиты населения</span></p></td>
<td style="BORDER-BOTTOM: #ece9d8; BORDER-LEFT: #ece9d8; PADDING-BOTTOM: 1.4pt; PADDING-LEFT: 2.85pt; PADDING-RIGHT: 2.85pt; BORDER-TOP: #ece9d8; BORDER-RIGHT: #ece9d8; PADDING-TOP: 1.4pt" valign="top" width="7%">
<p align="center"><span>1</span></p></td></tr>
<tr>
<td style="BORDER-BOTTOM: #ece9d8; BORDER-LEFT: #ece9d8; PADDING-BOTTOM: 1.4pt; PADDING-LEFT: 2.85pt; PADDING-RIGHT: 2.85pt; BORDER-TOP: #ece9d8; BORDER-RIGHT: #ece9d8; PADDING-TOP: 1.4pt" valign="top" width="92%" colspan="2">
<p><span>Главный специалист по вопросам налогово-бюджетной политики</span></p></td>
<td style="BORDER-BOTTOM: #ece9d8; BORDER-LEFT: #ece9d8; PADDING-BOTTOM: 1.4pt; PADDING-LEFT: 2.85pt; PADDING-RIGHT: 2.85pt; BORDER-TOP: #ece9d8; BORDER-RIGHT: #ece9d8; PADDING-TOP: 1.4pt" valign="top" width="7%">
<p align="center"><span>1</span></p></td></tr>
<tr>
<td style="BORDER-BOTTOM: #ece9d8; BORDER-LEFT: #ece9d8; PADDING-BOTTOM: 1.4pt; PADDING-LEFT: 2.85pt; PADDING-RIGHT: 2.85pt; BORDER-TOP: #ece9d8; BORDER-RIGHT: #ece9d8; PADDING-TOP: 1.4pt" valign="top" width="92%" colspan="2">
<p><span>Ведущий специалист по вопросам сокращения дебиторской и кредиторской задолженности в экономике</span></p></td>
<td style="BORDER-BOTTOM: #ece9d8; BORDER-LEFT: #ece9d8; PADDING-BOTTOM: 1.4pt; PADDING-LEFT: 2.85pt; PADDING-RIGHT: 2.85pt; BORDER-TOP: #ece9d8; BORDER-RIGHT: #ece9d8; PADDING-TOP: 1.4pt" valign="top" width="7%">
<p align="center"><span>1</span></p></td></tr>
<tr>
<td style="BORDER-BOTTOM: #ece9d8; BORDER-LEFT: #ece9d8; PADDING-BOTTOM: 1.4pt; PADDING-LEFT: 2.85pt; PADDING-RIGHT: 2.85pt; BORDER-TOP: #ece9d8; BORDER-RIGHT: #ece9d8; PADDING-TOP: 1.4pt" valign="top" width="92%" colspan="2">
<p><span>Сектор реформирования банковской и финансовой систем</span></p></td>
<td style="BORDER-BOTTOM: #ece9d8; BORDER-LEFT: #ece9d8; PADDING-BOTTOM: 1.4pt; PADDING-LEFT: 2.85pt; PADDING-RIGHT: 2.85pt; BORDER-TOP: #ece9d8; BORDER-RIGHT: #ece9d8; PADDING-TOP: 1.4pt" valign="top" width="7%">
<p align="center"></p></td></tr>
<tr>
<td style="BORDER-BOTTOM: #ece9d8; BORDER-LEFT: #ece9d8; PADDING-BOTTOM: 1.4pt; PADDING-LEFT: 2.85pt; PADDING-RIGHT: 2.85pt; BORDER-TOP: #ece9d8; BORDER-RIGHT: #ece9d8; PADDING-TOP: 1.4pt" valign="top" width="92%" colspan="2">
<p><span>Заведующий сектором</span></p></td>
<td style="BORDER-BOTTOM: #ece9d8; BORDER-LEFT: #ece9d8; PADDING-BOTTOM: 1.4pt; PADDING-LEFT: 2.85pt; PADDING-RIGHT: 2.85pt; BORDER-TOP: #ece9d8; BORDER-RIGHT: #ece9d8; PADDING-TOP: 1.4pt" valign="top" width="7%">
<p align="center"><span>1</span></p></td></tr>
<tr>
<td style="BORDER-BOTTOM: #ece9d8; BORDER-LEFT: #ece9d8; PADDING-BOTTOM: 1.4pt; PADDING-LEFT: 2.85pt; PADDING-RIGHT: 2.85pt; BORDER-TOP: #ece9d8; BORDER-RIGHT: #ece9d8; PADDING-TOP: 1.4pt" valign="top" width="92%" colspan="2">
<p><span>Главный специалист по вопросам реформирования банковской и финансовой систем</span></p></td>
<td style="BORDER-BOTTOM: #ece9d8; BORDER-LEFT: #ece9d8; PADDING-BOTTOM: 1.4pt; PADDING-LEFT: 2.85pt; PADDING-RIGHT: 2.85pt; BORDER-TOP: #ece9d8; BORDER-RIGHT: #ece9d8; PADDING-TOP: 1.4pt" valign="top" width="7%">
<p align="center"><span>1</span></p></td></tr>
<tr>
<td style="BORDER-BOTTOM: #ece9d8; BORDER-LEFT: #ece9d8; PADDING-BOTTOM: 1.4pt; PADDING-LEFT: 2.85pt; PADDING-RIGHT: 2.85pt; BORDER-TOP: #ece9d8; BORDER-RIGHT: #ece9d8; PADDING-TOP: 1.4pt" valign="top" width="92%" colspan="2">
<p><span>Ведущий специалист</span></p></td>
<td style="BORDER-BOTTOM: #ece9d8; BORDER-LEFT: #ece9d8; PADDING-BOTTOM: 1.4pt; PADDING-LEFT: 2.85pt; PADDING-RIGHT: 2.85pt; BORDER-TOP: #ece9d8; BORDER-RIGHT: #ece9d8; PADDING-TOP: 1.4pt" valign="top" width="7%">
<p align="center"><span>1</span></p></td></tr>
<tr>
<td style="BORDER-BOTTOM: #ece9d8; BORDER-LEFT: #ece9d8; PADDING-BOTTOM: 1.4pt; PADDING-LEFT: 2.85pt; PADDING-RIGHT: 2.85pt; BORDER-TOP: #ece9d8; BORDER-RIGHT: #ece9d8; PADDING-TOP: 1.4pt" valign="top" width="92%" colspan="2">
<p><span>Ведущий специалист по вопросам страхования</span></p></td>
<td style="BORDER-BOTTOM: #ece9d8; BORDER-LEFT: #ece9d8; PADDING-BOTTOM: 1.4pt; PADDING-LEFT: 2.85pt; PADDING-RIGHT: 2.85pt; BORDER-TOP: #ece9d8; BORDER-RIGHT: #ece9d8; PADDING-TOP: 1.4pt" valign="top" width="7%">
<p align="center"><span>1</span></p></td></tr>
<tr>
<td style="BORDER-BOTTOM: #ece9d8; BORDER-LEFT: #ece9d8; PADDING-BOTTOM: 1.4pt; PADDING-LEFT: 2.85pt; PADDING-RIGHT: 2.85pt; BORDER-TOP: #ece9d8; BORDER-RIGHT: #ece9d8; PADDING-TOP: 1.4pt" valign="top" width="92%" colspan="2">
<p><span>Сектор структурных преобразований и модернизации производства</span></p></td>
<td style="BORDER-BOTTOM: #ece9d8; BORDER-LEFT: #ece9d8; PADDING-BOTTOM: 1.4pt; PADDING-LEFT: 2.85pt; PADDING-RIGHT: 2.85pt; BORDER-TOP: #ece9d8; BORDER-RIGHT: #ece9d8; PADDING-TOP: 1.4pt" valign="top" width="7%">
<p align="center"></p></td></tr>
<tr>
<td style="BORDER-BOTTOM: #ece9d8; BORDER-LEFT: #ece9d8; PADDING-BOTTOM: 1.4pt; PADDING-LEFT: 2.85pt; PADDING-RIGHT: 2.85pt; BORDER-TOP: #ece9d8; BORDER-RIGHT: #ece9d8; PADDING-TOP: 1.4pt" valign="top" width="92%" colspan="2">
<p><span>Заведующий сектором</span></p></td>
<td style="BORDER-BOTTOM: #ece9d8; BORDER-LEFT: #ece9d8; PADDING-BOTTOM: 1.4pt; PADDING-LEFT: 2.85pt; PADDING-RIGHT: 2.85pt; BORDER-TOP: #ece9d8; BORDER-RIGHT: #ece9d8; PADDING-TOP: 1.4pt" valign="top" width="7%">
<p align="center"><span>1</span></p></td></tr>
<tr>
<td style="BORDER-BOTTOM: #ece9d8; BORDER-LEFT: #ece9d8; PADDING-BOTTOM: 1.4pt; PADDING-LEFT: 2.85pt; PADDING-RIGHT: 2.85pt; BORDER-TOP: #ece9d8; BORDER-RIGHT: #ece9d8; PADDING-TOP: 1.4pt" valign="top" width="92%" colspan="2">
<p><span>Главный специалист по вопросам структурных преобразований экономики</span></p></td>
<td style="BORDER-BOTTOM: #ece9d8; BORDER-LEFT: #ece9d8; PADDING-BOTTOM: 1.4pt; PADDING-LEFT: 2.85pt; PADDING-RIGHT: 2.85pt; BORDER-TOP: #ece9d8; BORDER-RIGHT: #ece9d8; PADDING-TOP: 1.4pt" valign="top" width="7%">
<p align="center"><span>1</span></p></td></tr>
<tr>
<td style="BORDER-BOTTOM: #ece9d8; BORDER-LEFT: #ece9d8; PADDING-BOTTOM: 1.4pt; PADDING-LEFT: 2.85pt; PADDING-RIGHT: 2.85pt; BORDER-TOP: #ece9d8; BORDER-RIGHT: #ece9d8; PADDING-TOP: 1.4pt" valign="top" width="92%" colspan="2">
<p><span>Главный специалист по вопросам модернизации и локализации производства</span></p></td>
<td style="BORDER-BOTTOM: #ece9d8; BORDER-LEFT: #ece9d8; PADDING-BOTTOM: 1.4pt; PADDING-LEFT: 2.85pt; PADDING-RIGHT: 2.85pt; BORDER-TOP: #ece9d8; BORDER-RIGHT: #ece9d8; PADDING-TOP: 1.4pt" valign="top" width="7%">
<p align="center"><span>1</span></p></td></tr>
<tr>
<td style="BORDER-BOTTOM: #ece9d8; BORDER-LEFT: #ece9d8; PADDING-BOTTOM: 1.4pt; PADDING-LEFT: 2.85pt; PADDING-RIGHT: 2.85pt; BORDER-TOP: #ece9d8; BORDER-RIGHT: #ece9d8; PADDING-TOP: 1.4pt" valign="top" width="92%" colspan="2">
<p><span>Сектор по вопросам содействия приватизированным предприятиям, развития конкурентной среды, частного предпринимательства и малого бизнеса</span></p></td>
<td style="BORDER-BOTTOM: #ece9d8; BORDER-LEFT: #ece9d8; PADDING-BOTTOM: 1.4pt; PADDING-LEFT: 2.85pt; PADDING-RIGHT: 2.85pt; BORDER-TOP: #ece9d8; BORDER-RIGHT: #ece9d8; PADDING-TOP: 1.4pt" valign="top" width="7%">
<p align="center"></p></td></tr>
<tr>
<td style="BORDER-BOTTOM: #ece9d8; BORDER-LEFT: #ece9d8; PADDING-BOTTOM: 1.4pt; PADDING-LEFT: 2.85pt; PADDING-RIGHT: 2.85pt; BORDER-TOP: #ece9d8; BORDER-RIGHT: #ece9d8; PADDING-TOP: 1.4pt" valign="top" width="92%" colspan="2">
<p><span>Заведующий сектором</span></p></td>
<td style="BORDER-BOTTOM: #ece9d8; BORDER-LEFT: #ece9d8; PADDING-BOTTOM: 1.4pt; PADDING-LEFT: 2.85pt; PADDING-RIGHT: 2.85pt; BORDER-TOP: #ece9d8; BORDER-RIGHT: #ece9d8; PADDING-TOP: 1.4pt" valign="top" width="7%">
<p align="center"><span>1</span></p></td></tr>
<tr>
<td style="BORDER-BOTTOM: #ece9d8; BORDER-LEFT: #ece9d8; PADDING-BOTTOM: 1.4pt; PADDING-LEFT: 2.85pt; PADDING-RIGHT: 2.85pt; BORDER-TOP: #ece9d8; BORDER-RIGHT: #ece9d8; PADDING-TOP: 1.4pt" valign="top" width="92%" colspan="2">
<p><span>Главный специалист по вопросам содействия приватизированным предприятиям в отраслях экономики</span></p></td>
<td style="BORDER-BOTTOM: #ece9d8; BORDER-LEFT: #ece9d8; PADDING-BOTTOM: 1.4pt; PADDING-LEFT: 2.85pt; PADDING-RIGHT: 2.85pt; BORDER-TOP: #ece9d8; BORDER-RIGHT: #ece9d8; PADDING-TOP: 1.4pt" valign="top" width="7%">
<p align="center"><span>1</span></p></td></tr>
<tr>
<td style="BORDER-BOTTOM: #ece9d8; BORDER-LEFT: #ece9d8; PADDING-BOTTOM: 1.4pt; PADDING-LEFT: 2.85pt; PADDING-RIGHT: 2.85pt; BORDER-TOP: #ece9d8; BORDER-RIGHT: #ece9d8; PADDING-TOP: 1.4pt" valign="top" width="92%" colspan="2">
<p><span>Ведущий специалист по вопросам содействия приватизированным предприятиям в территориях республики</span></p></td>
<td style="BORDER-BOTTOM: #ece9d8; BORDER-LEFT: #ece9d8; PADDING-BOTTOM: 1.4pt; PADDING-LEFT: 2.85pt; PADDING-RIGHT: 2.85pt; BORDER-TOP: #ece9d8; BORDER-RIGHT: #ece9d8; PADDING-TOP: 1.4pt" valign="top" width="7%">
<p align="center"><span>1</span></p></td></tr>
<tr>
<td style="BORDER-BOTTOM: #ece9d8; BORDER-LEFT: #ece9d8; PADDING-BOTTOM: 1.4pt; PADDING-LEFT: 2.85pt; PADDING-RIGHT: 2.85pt; BORDER-TOP: #ece9d8; BORDER-RIGHT: #ece9d8; PADDING-TOP: 1.4pt" valign="top" width="92%" colspan="2">
<p><span>Ведущий специалист по вопросам антимонопольной политики, развития конкуренции и защиты прав потребителей</span></p></td>
<td style="BORDER-BOTTOM: #ece9d8; BORDER-LEFT: #ece9d8; PADDING-BOTTOM: 1.4pt; PADDING-LEFT: 2.85pt; PADDING-RIGHT: 2.85pt; BORDER-TOP: #ece9d8; BORDER-RIGHT: #ece9d8; PADDING-TOP: 1.4pt" valign="top" width="7%">
<p align="center"><span>1</span></p></td></tr>
<tr>
<td style="BORDER-BOTTOM: #ece9d8; BORDER-LEFT: #ece9d8; PADDING-BOTTOM: 1.4pt; PADDING-LEFT: 2.85pt; PADDING-RIGHT: 2.85pt; BORDER-TOP: #ece9d8; BORDER-RIGHT: #ece9d8; PADDING-TOP: 1.4pt" valign="top" width="92%" colspan="2">
<p><span>Главный специалист по вопросам развития частного предпринимательства и малого бизнеса</span></p></td>
<td style="BORDER-BOTTOM: #ece9d8; BORDER-LEFT: #ece9d8; PADDING-BOTTOM: 1.4pt; PADDING-LEFT: 2.85pt; PADDING-RIGHT: 2.85pt; BORDER-TOP: #ece9d8; BORDER-RIGHT: #ece9d8; PADDING-TOP: 1.4pt" valign="top" width="7%">
<p align="center"><span>1</span></p></td></tr>
<tr>
<td style="BORDER-BOTTOM: #ece9d8; BORDER-LEFT: #ece9d8; PADDING-BOTTOM: 1.4pt; PADDING-LEFT: 2.85pt; PADDING-RIGHT: 2.85pt; BORDER-TOP: #ece9d8; BORDER-RIGHT: #ece9d8; PADDING-TOP: 1.4pt" valign="top" width="92%" colspan="2">
<p><span>Сектор по вопросам развития свободных экономических и малых промышленных зон</span></p></td>
<td style="BORDER-BOTTOM: #ece9d8; BORDER-LEFT: #ece9d8; PADDING-BOTTOM: 1.4pt; PADDING-LEFT: 2.85pt; PADDING-RIGHT: 2.85pt; BORDER-TOP: #ece9d8; BORDER-RIGHT: #ece9d8; PADDING-TOP: 1.4pt" valign="top" width="7%">
<p align="center"></p></td></tr>
<tr>
<td style="BORDER-BOTTOM: #ece9d8; BORDER-LEFT: #ece9d8; PADDING-BOTTOM: 1.4pt; PADDING-LEFT: 2.85pt; PADDING-RIGHT: 2.85pt; BORDER-TOP: #ece9d8; BORDER-RIGHT: #ece9d8; PADDING-TOP: 1.4pt" valign="top" width="92%" colspan="2">
<p><span>Заведующий сектором</span></p></td>
<td style="BORDER-BOTTOM: #ece9d8; BORDER-LEFT: #ece9d8; PADDING-BOTTOM: 1.4pt; PADDING-LEFT: 2.85pt; PADDING-RIGHT: 2.85pt; BORDER-TOP: #ece9d8; BORDER-RIGHT: #ece9d8; PADDING-TOP: 1.4pt" valign="top" width="7%">
<p align="center"><span>1</span></p></td></tr>
<tr>
<td style="BORDER-BOTTOM: #ece9d8; BORDER-LEFT: #ece9d8; PADDING-BOTTOM: 1.4pt; PADDING-LEFT: 2.85pt; PADDING-RIGHT: 2.85pt; BORDER-TOP: #ece9d8; BORDER-RIGHT: #ece9d8; PADDING-TOP: 1.4pt" valign="top" width="92%" colspan="2">
<p><span>Главный специалист по вопросам развития свободных экономических зон</span></p></td>
<td style="BORDER-BOTTOM: #ece9d8; BORDER-LEFT: #ece9d8; PADDING-BOTTOM: 1.4pt; PADDING-LEFT: 2.85pt; PADDING-RIGHT: 2.85pt; BORDER-TOP: #ece9d8; BORDER-RIGHT: #ece9d8; PADDING-TOP: 1.4pt" valign="top" width="7%">
<p align="center"><span>1</span></p></td></tr>
<tr>
<td style="BORDER-BOTTOM: #ece9d8; BORDER-LEFT: #ece9d8; PADDING-BOTTOM: 1.4pt; PADDING-LEFT: 2.85pt; PADDING-RIGHT: 2.85pt; BORDER-TOP: #ece9d8; BORDER-RIGHT: #ece9d8; PADDING-TOP: 1.4pt" valign="top" width="92%" colspan="2">
<p><span>Главный специалист по вопросам развития малых промышленных зон</span></p></td>
<td style="BORDER-BOTTOM: #ece9d8; BORDER-LEFT: #ece9d8; PADDING-BOTTOM: 1.4pt; PADDING-LEFT: 2.85pt; PADDING-RIGHT: 2.85pt; BORDER-TOP: #ece9d8; BORDER-RIGHT: #ece9d8; PADDING-TOP: 1.4pt" valign="top" width="7%">
<p align="center"><span>1</span></p></td></tr>
<tr>
<td style="BORDER-BOTTOM: #ece9d8; BORDER-LEFT: #ece9d8; PADDING-BOTTOM: 1.4pt; PADDING-LEFT: 2.85pt; PADDING-RIGHT: 2.85pt; BORDER-TOP: #ece9d8; BORDER-RIGHT: #ece9d8; PADDING-TOP: 1.4pt" valign="top" width="92%" colspan="2">
<p><span>Инспектор</span></p></td>
<td style="BORDER-BOTTOM: #ece9d8; BORDER-LEFT: #ece9d8; PADDING-BOTTOM: 1.4pt; PADDING-LEFT: 2.85pt; PADDING-RIGHT: 2.85pt; BORDER-TOP: #ece9d8; BORDER-RIGHT: #ece9d8; PADDING-TOP: 1.4pt" valign="top" width="7%">
<p align="center"><span>1</span></p></td></tr>
<tr>
<td style="BORDER-BOTTOM: #ece9d8; BORDER-LEFT: #ece9d8; PADDING-BOTTOM: 1.4pt; PADDING-LEFT: 2.85pt; PADDING-RIGHT: 2.85pt; BORDER-TOP: #ece9d8; BORDER-RIGHT: #ece9d8; PADDING-TOP: 1.4pt" valign="top" width="92%" colspan="2">
<p align="center"><b><span>Всего:</span></b></p></td>
<td style="BORDER-BOTTOM: #ece9d8; BORDER-LEFT: #ece9d8; PADDING-BOTTOM: 1.4pt; PADDING-LEFT: 2.85pt; PADDING-RIGHT: 2.85pt; BORDER-TOP: #ece9d8; BORDER-RIGHT: #ece9d8; PADDING-TOP: 1.4pt" valign="top" width="7%">
<p align="center"><b><span>23</span></b></p></td></tr>
<tr>
<td style="BORDER-BOTTOM: #ece9d8; BORDER-LEFT: #ece9d8; PADDING-BOTTOM: 1.4pt; PADDING-LEFT: 2.85pt; PADDING-RIGHT: 2.85pt; BORDER-TOP: #ece9d8; BORDER-RIGHT: #ece9d8; PADDING-TOP: 1.4pt" valign="top" width="100%" colspan="3">
<p align="center"><b></b></p>
<p align="center"><b><span>КУРИРУЕМЫЕ<br />министерства, ведомства, хозяйственные объединения и другие организации</span></b></p></td></tr>
<tr>
<td style="BORDER-BOTTOM: #ece9d8; BORDER-LEFT: #ece9d8; PADDING-BOTTOM: 1.4pt; PADDING-LEFT: 2.85pt; PADDING-RIGHT: 2.85pt; BORDER-TOP: #ece9d8; BORDER-RIGHT: #ece9d8; PADDING-TOP: 1.4pt" valign="top" width="100%" colspan="3">
<p align="center"><b></b></p></td></tr>
<tr>
<td style="BORDER-BOTTOM: #ece9d8; BORDER-LEFT: #ece9d8; PADDING-BOTTOM: 1.4pt; PADDING-LEFT: 2.85pt; PADDING-RIGHT: 2.85pt; BORDER-TOP: #ece9d8; BORDER-RIGHT: #ece9d8; PADDING-TOP: 1.4pt" valign="top" width="5%">
<p align="center"><span>1.</span></p></td>
<td style="BORDER-BOTTOM: #ece9d8; BORDER-LEFT: #ece9d8; PADDING-BOTTOM: 1.4pt; PADDING-LEFT: 2.85pt; PADDING-RIGHT: 2.85pt; BORDER-TOP: #ece9d8; BORDER-RIGHT: #ece9d8; PADDING-TOP: 1.4pt" valign="top" width="94%" colspan="2">
<p><span>Министерство экономики Республики Узбекистан</span></p></td></tr>
<tr>
<td style="BORDER-BOTTOM: #ece9d8; BORDER-LEFT: #ece9d8; PADDING-BOTTOM: 1.4pt; PADDING-LEFT: 2.85pt; PADDING-RIGHT: 2.85pt; BORDER-TOP: #ece9d8; BORDER-RIGHT: #ece9d8; PADDING-TOP: 1.4pt" valign="top" width="5%">
<p align="center"><span>2.</span></p></td>
<td style="BORDER-BOTTOM: #ece9d8; BORDER-LEFT: #ece9d8; PADDING-BOTTOM: 1.4pt; PADDING-LEFT: 2.85pt; PADDING-RIGHT: 2.85pt; BORDER-TOP: #ece9d8; BORDER-RIGHT: #ece9d8; PADDING-TOP: 1.4pt" valign="top" width="94%" colspan="2">
<p><span>Министерство финансов Республики Узбекистан</span></p></td></tr>
<tr>
<td style="BORDER-BOTTOM: #ece9d8; BORDER-LEFT: #ece9d8; PADDING-BOTTOM: 1.4pt; PADDING-LEFT: 2.85pt; PADDING-RIGHT: 2.85pt; BORDER-TOP: #ece9d8; BORDER-RIGHT: #ece9d8; PADDING-TOP: 1.4pt" valign="top" width="5%">
<p align="center"><span>3.</span></p></td>
<td style="BORDER-BOTTOM: #ece9d8; BORDER-LEFT: #ece9d8; PADDING-BOTTOM: 1.4pt; PADDING-LEFT: 2.85pt; PADDING-RIGHT: 2.85pt; BORDER-TOP: #ece9d8; BORDER-RIGHT: #ece9d8; PADDING-TOP: 1.4pt" valign="top" width="94%" colspan="2">
<p><span>Министерство занятости и трудовых отношений Республики Узбекистан</span></p></td></tr>
<tr>
<td style="BORDER-BOTTOM: #ece9d8; BORDER-LEFT: #ece9d8; PADDING-BOTTOM: 1.4pt; PADDING-LEFT: 2.85pt; PADDING-RIGHT: 2.85pt; BORDER-TOP: #ece9d8; BORDER-RIGHT: #ece9d8; PADDING-TOP: 1.4pt" valign="top" width="5%">
<p align="center"><span>4.</span></p></td>
<td style="BORDER-BOTTOM: #ece9d8; BORDER-LEFT: #ece9d8; PADDING-BOTTOM: 1.4pt; PADDING-LEFT: 2.85pt; PADDING-RIGHT: 2.85pt; BORDER-TOP: #ece9d8; BORDER-RIGHT: #ece9d8; PADDING-TOP: 1.4pt" valign="top" width="94%" colspan="2">
<p><span>Государственный налоговый комитет Республики Узбекистан</span></p></td></tr>
<tr>
<td style="BORDER-BOTTOM: #ece9d8; BORDER-LEFT: #ece9d8; PADDING-BOTTOM: 1.4pt; PADDING-LEFT: 2.85pt; PADDING-RIGHT: 2.85pt; BORDER-TOP: #ece9d8; BORDER-RIGHT: #ece9d8; PADDING-TOP: 1.4pt" valign="top" width="5%">
<p align="center"><span>5.</span></p></td>
<td style="BORDER-BOTTOM: #ece9d8; BORDER-LEFT: #ece9d8; PADDING-BOTTOM: 1.4pt; PADDING-LEFT: 2.85pt; PADDING-RIGHT: 2.85pt; BORDER-TOP: #ece9d8; BORDER-RIGHT: #ece9d8; PADDING-TOP: 1.4pt" valign="top" width="94%" colspan="2">
<p><span>Государственный комитет Республики Узбекистан по статистике</span></p></td></tr>
<tr>
<td style="BORDER-BOTTOM: #ece9d8; BORDER-LEFT: #ece9d8; PADDING-BOTTOM: 1.4pt; PADDING-LEFT: 2.85pt; PADDING-RIGHT: 2.85pt; BORDER-TOP: #ece9d8; BORDER-RIGHT: #ece9d8; PADDING-TOP: 1.4pt" valign="top" width="5%">
<p align="center"><span>6.</span></p></td>
<td style="BORDER-BOTTOM: #ece9d8; BORDER-LEFT: #ece9d8; PADDING-BOTTOM: 1.4pt; PADDING-LEFT: 2.85pt; PADDING-RIGHT: 2.85pt; BORDER-TOP: #ece9d8; BORDER-RIGHT: #ece9d8; PADDING-TOP: 1.4pt" valign="top" width="94%" colspan="2">
<p><span>Государственный комитет Республики Узбекистан по содействию приватизированным предприятиям и развитию конкуренции</span></p></td></tr>
<tr>
<td style="BORDER-BOTTOM: #ece9d8; BORDER-LEFT: #ece9d8; PADDING-BOTTOM: 1.4pt; PADDING-LEFT: 2.85pt; PADDING-RIGHT: 2.85pt; BORDER-TOP: #ece9d8; BORDER-RIGHT: #ece9d8; PADDING-TOP: 1.4pt" valign="top" width="5%">
<p align="center"><span>7.</span></p></td>
<td style="BORDER-BOTTOM: #ece9d8; BORDER-LEFT: #ece9d8; PADDING-BOTTOM: 1.4pt; PADDING-LEFT: 2.85pt; PADDING-RIGHT: 2.85pt; BORDER-TOP: #ece9d8; BORDER-RIGHT: #ece9d8; PADDING-TOP: 1.4pt" valign="top" width="94%" colspan="2">
<p><span>Научно-образовательный центр корпоративного управления</span></p></td></tr>
<tr>
<td style="BORDER-BOTTOM: #ece9d8; BORDER-LEFT: #ece9d8; PADDING-BOTTOM: 1.4pt; PADDING-LEFT: 2.85pt; PADDING-RIGHT: 2.85pt; BORDER-TOP: #ece9d8; BORDER-RIGHT: #ece9d8; PADDING-TOP: 1.4pt" valign="top" width="5%">
<p align="center"><span>8.</span></p></td>
<td style="BORDER-BOTTOM: #ece9d8; BORDER-LEFT: #ece9d8; PADDING-BOTTOM: 1.4pt; PADDING-LEFT: 2.85pt; PADDING-RIGHT: 2.85pt; BORDER-TOP: #ece9d8; BORDER-RIGHT: #ece9d8; PADDING-TOP: 1.4pt" valign="top" width="94%" colspan="2">
<p><span>Торгово-промышленная палата Узбекистана</span></p></td></tr>
<tr>
<td style="BORDER-BOTTOM: #ece9d8; BORDER-LEFT: #ece9d8; PADDING-BOTTOM: 1.4pt; PADDING-LEFT: 2.85pt; PADDING-RIGHT: 2.85pt; BORDER-TOP: #ece9d8; BORDER-RIGHT: #ece9d8; PADDING-TOP: 1.4pt" valign="top" width="5%">
<p align="center"><span>9.</span></p></td>
<td style="BORDER-BOTTOM: #ece9d8; BORDER-LEFT: #ece9d8; PADDING-BOTTOM: 1.4pt; PADDING-LEFT: 2.85pt; PADDING-RIGHT: 2.85pt; BORDER-TOP: #ece9d8; BORDER-RIGHT: #ece9d8; PADDING-TOP: 1.4pt" valign="top" width="94%" colspan="2">
<p><span>Центральный банк Республики Узбекистан</span></p></td></tr>
<tr>
<td style="BORDER-BOTTOM: #ece9d8; BORDER-LEFT: #ece9d8; PADDING-BOTTOM: 1.4pt; PADDING-LEFT: 2.85pt; PADDING-RIGHT: 2.85pt; BORDER-TOP: #ece9d8; BORDER-RIGHT: #ece9d8; PADDING-TOP: 1.4pt" valign="top" width="5%">
<p align="center"><span>10.</span></p></td>
<td style="BORDER-BOTTOM: #ece9d8; BORDER-LEFT: #ece9d8; PADDING-BOTTOM: 1.4pt; PADDING-LEFT: 2.85pt; PADDING-RIGHT: 2.85pt; BORDER-TOP: #ece9d8; BORDER-RIGHT: #ece9d8; PADDING-TOP: 1.4pt" valign="top" width="94%" colspan="2">
<p><span>Национальный банк внешнеэкономической деятельности Республики Узбекистан</span></p></td></tr>
<tr>
<td style="BORDER-BOTTOM: #ece9d8; BORDER-LEFT: #ece9d8; PADDING-BOTTOM: 1.4pt; PADDING-LEFT: 2.85pt; PADDING-RIGHT: 2.85pt; BORDER-TOP: #ece9d8; BORDER-RIGHT: #ece9d8; PADDING-TOP: 1.4pt" valign="top" width="5%">
<p align="center"><span>11.</span></p></td>
<td style="BORDER-BOTTOM: #ece9d8; BORDER-LEFT: #ece9d8; PADDING-BOTTOM: 1.4pt; PADDING-LEFT: 2.85pt; PADDING-RIGHT: 2.85pt; BORDER-TOP: #ece9d8; BORDER-RIGHT: #ece9d8; PADDING-TOP: 1.4pt" valign="top" width="94%" colspan="2">
<p><span>АКБ «Асака»</span></p></td></tr>
<tr>
<td style="BORDER-BOTTOM: #ece9d8; BORDER-LEFT: #ece9d8; PADDING-BOTTOM: 1.4pt; PADDING-LEFT: 2.85pt; PADDING-RIGHT: 2.85pt; BORDER-TOP: #ece9d8; BORDER-RIGHT: #ece9d8; PADDING-TOP: 1.4pt" valign="top" width="5%">
<p align="center"><span>12.</span></p></td>
<td style="BORDER-BOTTOM: #ece9d8; BORDER-LEFT: #ece9d8; PADDING-BOTTOM: 1.4pt; PADDING-LEFT: 2.85pt; PADDING-RIGHT: 2.85pt; BORDER-TOP: #ece9d8; BORDER-RIGHT: #ece9d8; PADDING-TOP: 1.4pt" valign="top" width="94%" colspan="2">
<p><span>АК «Халк банк»</span></p></td></tr>
<tr>
<td style="BORDER-BOTTOM: #ece9d8; BORDER-LEFT: #ece9d8; PADDING-BOTTOM: 1.4pt; PADDING-LEFT: 2.85pt; PADDING-RIGHT: 2.85pt; BORDER-TOP: #ece9d8; BORDER-RIGHT: #ece9d8; PADDING-TOP: 1.4pt" valign="top" width="5%">
<p align="center"><span>13.</span></p></td>
<td style="BORDER-BOTTOM: #ece9d8; BORDER-LEFT: #ece9d8; PADDING-BOTTOM: 1.4pt; PADDING-LEFT: 2.85pt; PADDING-RIGHT: 2.85pt; BORDER-TOP: #ece9d8; BORDER-RIGHT: #ece9d8; PADDING-TOP: 1.4pt" valign="top" width="94%" colspan="2">
<p><span>АКБ «Узпромстройбанк»</span></p></td></tr>
<tr>
<td style="BORDER-BOTTOM: #ece9d8; BORDER-LEFT: #ece9d8; PADDING-BOTTOM: 1.4pt; PADDING-LEFT: 2.85pt; PADDING-RIGHT: 2.85pt; BORDER-TOP: #ece9d8; BORDER-RIGHT: #ece9d8; PADDING-TOP: 1.4pt" valign="top" width="5%">
<p align="center"><span>14.</span></p></td>
<td style="BORDER-BOTTOM: #ece9d8; BORDER-LEFT: #ece9d8; PADDING-BOTTOM: 1.4pt; PADDING-LEFT: 2.85pt; PADDING-RIGHT: 2.85pt; BORDER-TOP: #ece9d8; BORDER-RIGHT: #ece9d8; PADDING-TOP: 1.4pt" valign="top" width="94%" colspan="2">
<p><span>АКБ «Микрокредитбанк»</span></p></td></tr>
<tr>
<td style="BORDER-BOTTOM: #ece9d8; BORDER-LEFT: #ece9d8; PADDING-BOTTOM: 1.4pt; PADDING-LEFT: 2.85pt; PADDING-RIGHT: 2.85pt; BORDER-TOP: #ece9d8; BORDER-RIGHT: #ece9d8; PADDING-TOP: 1.4pt" valign="top" width="5%">
<p align="center"><span>15.</span></p></td>
<td style="BORDER-BOTTOM: #ece9d8; BORDER-LEFT: #ece9d8; PADDING-BOTTOM: 1.4pt; PADDING-LEFT: 2.85pt; PADDING-RIGHT: 2.85pt; BORDER-TOP: #ece9d8; BORDER-RIGHT: #ece9d8; PADDING-TOP: 1.4pt" valign="top" width="94%" colspan="2">
<p><span>Ассоциация банков Узбекистана</span></p></td></tr>
<tr>
<td style="BORDER-BOTTOM: #ece9d8; BORDER-LEFT: #ece9d8; PADDING-BOTTOM: 1.4pt; PADDING-LEFT: 2.85pt; PADDING-RIGHT: 2.85pt; BORDER-TOP: #ece9d8; BORDER-RIGHT: #ece9d8; PADDING-TOP: 1.4pt" valign="top" width="5%">
<p align="center"><span>16.</span></p></td>
<td style="BORDER-BOTTOM: #ece9d8; BORDER-LEFT: #ece9d8; PADDING-BOTTOM: 1.4pt; PADDING-LEFT: 2.85pt; PADDING-RIGHT: 2.85pt; BORDER-TOP: #ece9d8; BORDER-RIGHT: #ece9d8; PADDING-TOP: 1.4pt" valign="top" width="94%" colspan="2">
<p><span>АО «Узбекская республиканская товарно-сырьевая биржа»</span></p></td></tr>
<tr>
<td style="BORDER-BOTTOM: #ece9d8; BORDER-LEFT: #ece9d8; PADDING-BOTTOM: 1.4pt; PADDING-LEFT: 2.85pt; PADDING-RIGHT: 2.85pt; BORDER-TOP: #ece9d8; BORDER-RIGHT: #ece9d8; PADDING-TOP: 1.4pt" valign="top" width="5%">
<p align="center"><span>17.</span></p></td>
<td style="BORDER-BOTTOM: #ece9d8; BORDER-LEFT: #ece9d8; PADDING-BOTTOM: 1.4pt; PADDING-LEFT: 2.85pt; PADDING-RIGHT: 2.85pt; BORDER-TOP: #ece9d8; BORDER-RIGHT: #ece9d8; PADDING-TOP: 1.4pt" valign="top" width="94%" colspan="2">
<p><span>АО «Узагросугурта»</span></p></td></tr>
<tr>
<td style="BORDER-BOTTOM: #ece9d8; BORDER-LEFT: #ece9d8; PADDING-BOTTOM: 1.4pt; PADDING-LEFT: 2.85pt; PADDING-RIGHT: 2.85pt; BORDER-TOP: #ece9d8; BORDER-RIGHT: #ece9d8; PADDING-TOP: 1.4pt" valign="top" width="5%">
<p align="center"><span>18.</span></p></td>
<td style="BORDER-BOTTOM: #ece9d8; BORDER-LEFT: #ece9d8; PADDING-BOTTOM: 1.4pt; PADDING-LEFT: 2.85pt; PADDING-RIGHT: 2.85pt; BORDER-TOP: #ece9d8; BORDER-RIGHT: #ece9d8; PADDING-TOP: 1.4pt" valign="top" width="94%" colspan="2">
<p><span>АО «Кафолат сугурта компанияси»</span></p></td></tr>
<tr>
<td style="BORDER-BOTTOM: #ece9d8; BORDER-LEFT: #ece9d8; PADDING-BOTTOM: 1.4pt; PADDING-LEFT: 2.85pt; PADDING-RIGHT: 2.85pt; BORDER-TOP: #ece9d8; BORDER-RIGHT: #ece9d8; PADDING-TOP: 1.4pt" valign="top" width="5%">
<p align="center"><span>19.</span></p></td>
<td style="BORDER-BOTTOM: #ece9d8; BORDER-LEFT: #ece9d8; PADDING-BOTTOM: 1.4pt; PADDING-LEFT: 2.85pt; PADDING-RIGHT: 2.85pt; BORDER-TOP: #ece9d8; BORDER-RIGHT: #ece9d8; PADDING-TOP: 1.4pt" valign="top" width="94%" colspan="2">
<p><span>НКЭИС «Узбекинвест»</span></p></td></tr>
<tr>
<td style="BORDER-BOTTOM: #ece9d8; BORDER-LEFT: #ece9d8; PADDING-BOTTOM: 1.4pt; PADDING-LEFT: 2.85pt; PADDING-RIGHT: 2.85pt; BORDER-TOP: #ece9d8; BORDER-RIGHT: #ece9d8; PADDING-TOP: 1.4pt" valign="top" width="5%">
<p align="center"><span>20.</span></p></td>
<td style="BORDER-BOTTOM: #ece9d8; BORDER-LEFT: #ece9d8; PADDING-BOTTOM: 1.4pt; PADDING-LEFT: 2.85pt; PADDING-RIGHT: 2.85pt; BORDER-TOP: #ece9d8; BORDER-RIGHT: #ece9d8; PADDING-TOP: 1.4pt" valign="top" width="94%" colspan="2">
<p><span>Дирекции свободных экономических зон</span></p></td></tr>
<tr>
<td style="BORDER-BOTTOM: #ece9d8; BORDER-LEFT: #ece9d8; PADDING-BOTTOM: 1.4pt; PADDING-LEFT: 2.85pt; PADDING-RIGHT: 2.85pt; BORDER-TOP: #ece9d8; BORDER-RIGHT: #ece9d8; PADDING-TOP: 1.4pt" valign="top" width="5%">
<p align="center"><span>21.</span></p></td>
<td style="BORDER-BOTTOM: #ece9d8; BORDER-LEFT: #ece9d8; PADDING-BOTTOM: 1.4pt; PADDING-LEFT: 2.85pt; PADDING-RIGHT: 2.85pt; BORDER-TOP: #ece9d8; BORDER-RIGHT: #ece9d8; PADDING-TOP: 1.4pt" valign="top" width="94%" colspan="2">
<p><span>Дирекции малых промышленных зон</span></p></td></tr>
<tr>
<td style="BORDER-BOTTOM: #ece9d8; BORDER-LEFT: #ece9d8; PADDING-BOTTOM: 1.4pt; PADDING-LEFT: 2.85pt; PADDING-RIGHT: 2.85pt; BORDER-TOP: #ece9d8; BORDER-RIGHT: #ece9d8; PADDING-TOP: 1.4pt" valign="top" width="5%">
<p align="center"><span>22.</span></p></td>
<td style="BORDER-BOTTOM: #ece9d8; BORDER-LEFT: #ece9d8; PADDING-BOTTOM: 1.4pt; PADDING-LEFT: 2.85pt; PADDING-RIGHT: 2.85pt; BORDER-TOP: #ece9d8; BORDER-RIGHT: #ece9d8; PADDING-TOP: 1.4pt" valign="top" width="94%" colspan="2">
<p><span>Институт прогнозирования и макроэкономических исследований при Кабинете Министров Республики Узбекистан</span></p></td></tr>
<tr>
<td style="BORDER-BOTTOM: #ece9d8; BORDER-LEFT: #ece9d8; PADDING-BOTTOM: 1.4pt; PADDING-LEFT: 2.85pt; PADDING-RIGHT: 2.85pt; BORDER-TOP: #ece9d8; BORDER-RIGHT: #ece9d8; PADDING-TOP: 1.4pt" valign="top" width="5%">
<p align="center"><span>23.</span></p></td>
<td style="BORDER-BOTTOM: #ece9d8; BORDER-LEFT: #ece9d8; PADDING-BOTTOM: 1.4pt; PADDING-LEFT: 2.85pt; PADDING-RIGHT: 2.85pt; BORDER-TOP: #ece9d8; BORDER-RIGHT: #ece9d8; PADDING-TOP: 1.4pt" valign="top" width="94%" colspan="2">
<p><span>Институт социальных исследований при Кабинете Министров Республики Узбекистан</span></p></td></tr>
<tr>
<td style="BORDER-BOTTOM: #ece9d8; BORDER-LEFT: #ece9d8; PADDING-BOTTOM: 1.4pt; PADDING-LEFT: 2.85pt; PADDING-RIGHT: 2.85pt; BORDER-TOP: #ece9d8; BORDER-RIGHT: #ece9d8; PADDING-TOP: 1.4pt" valign="top" width="5%">
<p align="center"><span>24.</span></p></td>
<td style="BORDER-BOTTOM: #ece9d8; BORDER-LEFT: #ece9d8; PADDING-BOTTOM: 1.4pt; PADDING-LEFT: 2.85pt; PADDING-RIGHT: 2.85pt; BORDER-TOP: #ece9d8; BORDER-RIGHT: #ece9d8; PADDING-TOP: 1.4pt" valign="top" width="94%" colspan="2">
<p><span>Министерства, государственные комитеты, ведомства, хозяйственные объединения, предприятия и другие организации, Совет Министров Республики Каракалпакстан, хокимияты областей и г. Ташкента — в части реализации экономических реформ, деятельности свободных экономических и малых промышленных зон</span></p></td></tr></tbody></table></div></div><div class="COMMENT"><label id="s3935"></label><div name="edi3234136" id="edi3234136">См. <a href="/ru/docs/3233862?ONDATE=15.11.2017 00#edi3413957">последующую</a> редакцию.</div></div><div class="COMMENT"><label id="s3935"></label><div name="edi3234136" id="edi3234136">См. <a href="/ru/docs/3233862?ONDATE=03.03.2018 00#edi3580207">последующую</a> редакцию.</div></div><div class="BY_DEFAULT lx_elem" style="color:#808080;" onmousemove="lx_mo(event,3234137)"><div class="lx_elem2"><div class="lx_elem3"><span onclick="lx_sf(3234137)"><img src="/img/cmt.svg" />Предложения по документу</span><span onclick="lx_pa(3234137)"><img src="/img/vlm.svg" />Прослушать аудио</span><span onclick="lx_cl(3234137)"><img src="/img/lnk.svg" />Получить ссылку из элемента документа</span></div></div><div name="3234137" id="3234137"></div></div><div class="APPL_BANNER_LANDSCAPE_TITLE lx_elem" style="color:#808080;" onmousemove="lx_mo(event,3234138)"><div class="lx_elem2"><div class="lx_elem3"><span onclick="lx_sf(3234138)"><img src="/img/cmt.svg" />Предложения по документу</span><span onclick="lx_pa(3234138)"><img src="/img/vlm.svg" />Прослушать аудио</span><span onclick="lx_cl(3234138)"><img src="/img/lnk.svg" />Получить ссылку из элемента документа</span></div></div><div name="3234138" id="3234138">ПРИЛОЖЕНИЕ № 11<br />к <a href="/ru/docs/3233862">постановлению</a> Президента Республики Узбекистан от 12 июня 2017 года № ПП-3051 </div></div><div class="ACT_FORM lx_elem" style="color:#808080;" onmousemove="lx_mo(event,3234139)"><div class="lx_elem2"><div class="lx_elem3"><span onclick="lx_sf(3234139)"><img src="/img/cmt.svg" />Предложения по документу</span><span onclick="lx_pa(3234139)"><img src="/img/vlm.svg" />Прослушать аудио</span><span onclick="lx_cl(3234139)"><img src="/img/lnk.svg" />Получить ссылку из элемента документа</span></div></div><div name="3234139" id="3234139">СТРУКТУРА</div></div><div class="ACT_TITLE_APPL lx_elem" style="color:#808080;" onmousemove="lx_mo(event,3234140)"><div class="lx_elem2"><div class="lx_elem3"><span onclick="lx_sf(3234140)"><img src="/img/cmt.svg" />Предложения по документу</span><span onclick="lx_pa(3234140)"><img src="/img/vlm.svg" />Прослушать аудио</span><span onclick="lx_cl(3234140)"><img src="/img/lnk.svg" />Получить ссылку из элемента документа</span></div></div><div name="3234140" id="3234140">Информационно-аналитического департамента по вопросам координации формирования и мониторинга реализации инвестиционных программ и привлечения иностранных инвестиций</div></div><div class="BY_DEFAULT lx_elem" style="color:#808080;" onmousemove="lx_mo(event,3234141)"><div class="lx_elem2"><div class="lx_elem3"><span onclick="lx_sf(3234141)"><img src="/img/cmt.svg" />Предложения по документу</span><span onclick="lx_pa(3234141)"><img src="/img/vlm.svg" />Прослушать аудио</span><span onclick="lx_cl(3234141)"><img src="/img/lnk.svg" />Получить ссылку из элемента документа</span></div></div><div name="3234141" id="3234141"></div></div><div class="BY_DEFAULT lx_elem" style="color:#808080;" onmousemove="lx_mo(event,3234142)"><div class="lx_elem2"><div class="lx_elem3"><span onclick="lx_sf(3234142)"><img src="/img/cmt.svg" />Предложения по документу</span><span onclick="lx_pa(3234142)"><img src="/img/vlm.svg" />Прослушать аудио</span><span onclick="lx_cl(3234142)"><img src="/img/lnk.svg" />Получить ссылку из элемента документа</span></div></div><div name="3234142" id="3234142"><table style="BACKGROUND: white; BORDER-COLLAPSE: collapse" cellspacing="0" cellpadding="0" width="100%" border="0">
<tbody>
<tr>
<td style="BORDER-RIGHT: #ece9d8; PADDING-RIGHT: 2.85pt; BORDER-TOP: #ece9d8; PADDING-LEFT: 2.85pt; PADDING-BOTTOM: 1.4pt; BORDER-LEFT: #ece9d8; PADDING-TOP: 1.4pt; BORDER-BOTTOM: #ece9d8" valign="top" width="92%" colspan="2">
<p><b><span>Заведующий департаментом</span></b></p></td>
<td style="BORDER-RIGHT: #ece9d8; PADDING-RIGHT: 2.85pt; BORDER-TOP: #ece9d8; PADDING-LEFT: 2.85pt; PADDING-BOTTOM: 1.4pt; BORDER-LEFT: #ece9d8; PADDING-TOP: 1.4pt; BORDER-BOTTOM: #ece9d8" valign="top" width="7%">
<p align="center"><b><span>1</span></b></p></td></tr>
<tr>
<td style="BORDER-RIGHT: #ece9d8; PADDING-RIGHT: 2.85pt; BORDER-TOP: #ece9d8; PADDING-LEFT: 2.85pt; PADDING-BOTTOM: 1.4pt; BORDER-LEFT: #ece9d8; PADDING-TOP: 1.4pt; BORDER-BOTTOM: #ece9d8" valign="top" width="92%" colspan="2">
<p><span>Сектор по вопросам формирования и мониторинга реализации инвестиционных программ</span></p></td>
<td style="BORDER-RIGHT: #ece9d8; PADDING-RIGHT: 2.85pt; BORDER-TOP: #ece9d8; PADDING-LEFT: 2.85pt; PADDING-BOTTOM: 1.4pt; BORDER-LEFT: #ece9d8; PADDING-TOP: 1.4pt; BORDER-BOTTOM: #ece9d8" valign="top" width="7%">
<p align="center"></p></td></tr>
<tr>
<td style="BORDER-RIGHT: #ece9d8; PADDING-RIGHT: 2.85pt; BORDER-TOP: #ece9d8; PADDING-LEFT: 2.85pt; PADDING-BOTTOM: 1.4pt; BORDER-LEFT: #ece9d8; PADDING-TOP: 1.4pt; BORDER-BOTTOM: #ece9d8" valign="top" width="92%" colspan="2">
<p><span>Заведующий сектором</span></p></td>
<td style="BORDER-RIGHT: #ece9d8; PADDING-RIGHT: 2.85pt; BORDER-TOP: #ece9d8; PADDING-LEFT: 2.85pt; PADDING-BOTTOM: 1.4pt; BORDER-LEFT: #ece9d8; PADDING-TOP: 1.4pt; BORDER-BOTTOM: #ece9d8" valign="top" width="7%">
<p align="center"><span>1</span></p></td></tr>
<tr>
<td style="BORDER-RIGHT: #ece9d8; PADDING-RIGHT: 2.85pt; BORDER-TOP: #ece9d8; PADDING-LEFT: 2.85pt; PADDING-BOTTOM: 1.4pt; BORDER-LEFT: #ece9d8; PADDING-TOP: 1.4pt; BORDER-BOTTOM: #ece9d8" valign="top" width="92%" colspan="2">
<p><span>Главный специалист по вопросам формирования и мониторинга реализации инвестиционной программы республики</span></p></td>
<td style="BORDER-RIGHT: #ece9d8; PADDING-RIGHT: 2.85pt; BORDER-TOP: #ece9d8; PADDING-LEFT: 2.85pt; PADDING-BOTTOM: 1.4pt; BORDER-LEFT: #ece9d8; PADDING-TOP: 1.4pt; BORDER-BOTTOM: #ece9d8" valign="top" width="7%">
<p align="center"><span>1</span></p></td></tr>
<tr>
<td style="BORDER-RIGHT: #ece9d8; PADDING-RIGHT: 2.85pt; BORDER-TOP: #ece9d8; PADDING-LEFT: 2.85pt; PADDING-BOTTOM: 1.4pt; BORDER-LEFT: #ece9d8; PADDING-TOP: 1.4pt; BORDER-BOTTOM: #ece9d8" valign="top" width="92%" colspan="2">
<p><span>Главный специалист по вопросам реализации инвестиционных программ в отраслях экономики</span></p></td>
<td style="BORDER-RIGHT: #ece9d8; PADDING-RIGHT: 2.85pt; BORDER-TOP: #ece9d8; PADDING-LEFT: 2.85pt; PADDING-BOTTOM: 1.4pt; BORDER-LEFT: #ece9d8; PADDING-TOP: 1.4pt; BORDER-BOTTOM: #ece9d8" valign="top" width="7%">
<p align="center"><span>1</span></p></td></tr>
<tr>
<td style="BORDER-RIGHT: #ece9d8; PADDING-RIGHT: 2.85pt; BORDER-TOP: #ece9d8; PADDING-LEFT: 2.85pt; PADDING-BOTTOM: 1.4pt; BORDER-LEFT: #ece9d8; PADDING-TOP: 1.4pt; BORDER-BOTTOM: #ece9d8" valign="top" width="92%" colspan="2">
<p><span>Главный специалист по вопросам реализации инвестиционных программ на территориях республики</span></p></td>
<td style="BORDER-RIGHT: #ece9d8; PADDING-RIGHT: 2.85pt; BORDER-TOP: #ece9d8; PADDING-LEFT: 2.85pt; PADDING-BOTTOM: 1.4pt; BORDER-LEFT: #ece9d8; PADDING-TOP: 1.4pt; BORDER-BOTTOM: #ece9d8" valign="top" width="7%">
<p align="center"><span>1</span></p></td></tr>
<tr>
<td style="BORDER-RIGHT: #ece9d8; PADDING-RIGHT: 2.85pt; BORDER-TOP: #ece9d8; PADDING-LEFT: 2.85pt; PADDING-BOTTOM: 1.4pt; BORDER-LEFT: #ece9d8; PADDING-TOP: 1.4pt; BORDER-BOTTOM: #ece9d8" valign="top" width="92%" colspan="2">
<p><span>Сектор по вопросам сотрудничества в сфере привлечения иностранных инвестиций</span></p></td>
<td style="BORDER-RIGHT: #ece9d8; PADDING-RIGHT: 2.85pt; BORDER-TOP: #ece9d8; PADDING-LEFT: 2.85pt; PADDING-BOTTOM: 1.4pt; BORDER-LEFT: #ece9d8; PADDING-TOP: 1.4pt; BORDER-BOTTOM: #ece9d8" valign="top" width="7%">
<p align="center"></p></td></tr>
<tr>
<td style="BORDER-RIGHT: #ece9d8; PADDING-RIGHT: 2.85pt; BORDER-TOP: #ece9d8; PADDING-LEFT: 2.85pt; PADDING-BOTTOM: 1.4pt; BORDER-LEFT: #ece9d8; PADDING-TOP: 1.4pt; BORDER-BOTTOM: #ece9d8" valign="top" width="92%" colspan="2">
<p><span>Заведующий сектором</span></p></td>
<td style="BORDER-RIGHT: #ece9d8; PADDING-RIGHT: 2.85pt; BORDER-TOP: #ece9d8; PADDING-LEFT: 2.85pt; PADDING-BOTTOM: 1.4pt; BORDER-LEFT: #ece9d8; PADDING-TOP: 1.4pt; BORDER-BOTTOM: #ece9d8" valign="top" width="7%">
<p align="center"><span>1</span></p></td></tr>
<tr>
<td style="BORDER-RIGHT: #ece9d8; PADDING-RIGHT: 2.85pt; BORDER-TOP: #ece9d8; PADDING-LEFT: 2.85pt; PADDING-BOTTOM: 1.4pt; BORDER-LEFT: #ece9d8; PADDING-TOP: 1.4pt; BORDER-BOTTOM: #ece9d8" valign="top" width="92%" colspan="2">
<p><span>Главный специалист по вопросам сотрудничества с международными и иностранными правительственными финансовыми институтами и другими структурами</span></p></td>
<td style="BORDER-RIGHT: #ece9d8; PADDING-RIGHT: 2.85pt; BORDER-TOP: #ece9d8; PADDING-LEFT: 2.85pt; PADDING-BOTTOM: 1.4pt; BORDER-LEFT: #ece9d8; PADDING-TOP: 1.4pt; BORDER-BOTTOM: #ece9d8" valign="top" width="7%">
<p align="center"><span>1</span></p></td></tr>
<tr>
<td style="BORDER-RIGHT: #ece9d8; PADDING-RIGHT: 2.85pt; BORDER-TOP: #ece9d8; PADDING-LEFT: 2.85pt; PADDING-BOTTOM: 1.4pt; BORDER-LEFT: #ece9d8; PADDING-TOP: 1.4pt; BORDER-BOTTOM: #ece9d8" valign="top" width="92%" colspan="2">
<p><span>Ведущий специалист по вопросам привлечения прямых иностранных инвестиций и средств безвозмездного содействия</span></p></td>
<td style="BORDER-RIGHT: #ece9d8; PADDING-RIGHT: 2.85pt; BORDER-TOP: #ece9d8; PADDING-LEFT: 2.85pt; PADDING-BOTTOM: 1.4pt; BORDER-LEFT: #ece9d8; PADDING-TOP: 1.4pt; BORDER-BOTTOM: #ece9d8" valign="top" width="7%">
<p align="center"><span>1</span></p></td></tr>
<tr>
<td style="BORDER-RIGHT: #ece9d8; PADDING-RIGHT: 2.85pt; BORDER-TOP: #ece9d8; PADDING-LEFT: 2.85pt; PADDING-BOTTOM: 1.4pt; BORDER-LEFT: #ece9d8; PADDING-TOP: 1.4pt; BORDER-BOTTOM: #ece9d8" valign="top" width="92%" colspan="2">
<p><span>Главный специалист по вопросам деятельности советников по торгово-экономическим вопросам дипломатических представительств и постоянных представителей в международных организациях</span></p></td>
<td style="BORDER-RIGHT: #ece9d8; PADDING-RIGHT: 2.85pt; BORDER-TOP: #ece9d8; PADDING-LEFT: 2.85pt; PADDING-BOTTOM: 1.4pt; BORDER-LEFT: #ece9d8; PADDING-TOP: 1.4pt; BORDER-BOTTOM: #ece9d8" valign="top" width="7%">
<p align="center"><span>1</span></p></td></tr>
<tr>
<td style="BORDER-RIGHT: #ece9d8; PADDING-RIGHT: 2.85pt; BORDER-TOP: #ece9d8; PADDING-LEFT: 2.85pt; PADDING-BOTTOM: 1.4pt; BORDER-LEFT: #ece9d8; PADDING-TOP: 1.4pt; BORDER-BOTTOM: #ece9d8" valign="top" width="92%" colspan="2">
<p><span>Инспектор</span></p></td>
<td style="BORDER-RIGHT: #ece9d8; PADDING-RIGHT: 2.85pt; BORDER-TOP: #ece9d8; PADDING-LEFT: 2.85pt; PADDING-BOTTOM: 1.4pt; BORDER-LEFT: #ece9d8; PADDING-TOP: 1.4pt; BORDER-BOTTOM: #ece9d8" valign="top" width="7%">
<p align="center"><span>1</span></p></td></tr>
<tr>
<td style="BORDER-RIGHT: #ece9d8; PADDING-RIGHT: 2.85pt; BORDER-TOP: #ece9d8; PADDING-LEFT: 2.85pt; PADDING-BOTTOM: 1.4pt; BORDER-LEFT: #ece9d8; PADDING-TOP: 1.4pt; BORDER-BOTTOM: #ece9d8" valign="top" width="92%" colspan="2">
<p align="center"><b><span>Всего:</span></b></p></td>
<td style="BORDER-RIGHT: #ece9d8; PADDING-RIGHT: 2.85pt; BORDER-TOP: #ece9d8; PADDING-LEFT: 2.85pt; PADDING-BOTTOM: 1.4pt; BORDER-LEFT: #ece9d8; PADDING-TOP: 1.4pt; BORDER-BOTTOM: #ece9d8" valign="top" width="7%">
<p align="center"><b><span>10</span></b></p></td></tr>
<tr>
<td style="BORDER-RIGHT: #ece9d8; PADDING-RIGHT: 2.85pt; BORDER-TOP: #ece9d8; PADDING-LEFT: 2.85pt; PADDING-BOTTOM: 1.4pt; BORDER-LEFT: #ece9d8; PADDING-TOP: 1.4pt; BORDER-BOTTOM: #ece9d8" valign="top" width="100%" colspan="3">
<p align="center"><b><br /></b></p>
<p align="center"><b><span>КУРИРУЕМЫЕ<br />министерства, ведомства, хозяйственные объединения и другие организации</span></b></p></td></tr>
<tr>
<td style="BORDER-RIGHT: #ece9d8; PADDING-RIGHT: 2.85pt; BORDER-TOP: #ece9d8; PADDING-LEFT: 2.85pt; PADDING-BOTTOM: 1.4pt; BORDER-LEFT: #ece9d8; PADDING-TOP: 1.4pt; BORDER-BOTTOM: #ece9d8" valign="top" width="100%" colspan="3">
<p align="center"><b></b></p></td></tr>
<tr>
<td style="BORDER-RIGHT: #ece9d8; PADDING-RIGHT: 2.85pt; BORDER-TOP: #ece9d8; PADDING-LEFT: 2.85pt; PADDING-BOTTOM: 1.4pt; BORDER-LEFT: #ece9d8; PADDING-TOP: 1.4pt; BORDER-BOTTOM: #ece9d8" valign="top" width="5%">
<p align="center"><span>1.</span></p></td>
<td style="BORDER-RIGHT: #ece9d8; PADDING-RIGHT: 2.85pt; BORDER-TOP: #ece9d8; PADDING-LEFT: 2.85pt; PADDING-BOTTOM: 1.4pt; BORDER-LEFT: #ece9d8; PADDING-TOP: 1.4pt; BORDER-BOTTOM: #ece9d8" valign="top" width="94%" colspan="2">
<p><span>Государственный комитет Республики Узбекистан по инвестициям</span></p></td></tr>
<tr>
<td style="BORDER-RIGHT: #ece9d8; PADDING-RIGHT: 2.85pt; BORDER-TOP: #ece9d8; PADDING-LEFT: 2.85pt; PADDING-BOTTOM: 1.4pt; BORDER-LEFT: #ece9d8; PADDING-TOP: 1.4pt; BORDER-BOTTOM: #ece9d8" valign="top" width="5%">
<p align="center"><span>2.</span></p></td>
<td style="BORDER-RIGHT: #ece9d8; PADDING-RIGHT: 2.85pt; BORDER-TOP: #ece9d8; PADDING-LEFT: 2.85pt; PADDING-BOTTOM: 1.4pt; BORDER-LEFT: #ece9d8; PADDING-TOP: 1.4pt; BORDER-BOTTOM: #ece9d8" valign="top" width="94%" colspan="2">
<p><span>Республиканская инжиниринговая компания «Узинвестпроект»</span></p></td></tr>
<tr>
<td style="BORDER-RIGHT: #ece9d8; PADDING-RIGHT: 2.85pt; BORDER-TOP: #ece9d8; PADDING-LEFT: 2.85pt; PADDING-BOTTOM: 1.4pt; BORDER-LEFT: #ece9d8; PADDING-TOP: 1.4pt; BORDER-BOTTOM: #ece9d8" valign="top" width="5%">
<p align="center"><span>3.</span></p></td>
<td style="BORDER-RIGHT: #ece9d8; PADDING-RIGHT: 2.85pt; BORDER-TOP: #ece9d8; PADDING-LEFT: 2.85pt; PADDING-BOTTOM: 1.4pt; BORDER-LEFT: #ece9d8; PADDING-TOP: 1.4pt; BORDER-BOTTOM: #ece9d8" valign="top" width="94%" colspan="2">
<p><span>Министерство финансов Республики Узбекистан — в части вопросов инвестиций</span></p></td></tr>
<tr>
<td style="BORDER-RIGHT: #ece9d8; PADDING-RIGHT: 2.85pt; BORDER-TOP: #ece9d8; PADDING-LEFT: 2.85pt; PADDING-BOTTOM: 1.4pt; BORDER-LEFT: #ece9d8; PADDING-TOP: 1.4pt; BORDER-BOTTOM: #ece9d8" valign="top" width="5%">
<p align="center"><span>4.</span></p></td>
<td style="BORDER-RIGHT: #ece9d8; PADDING-RIGHT: 2.85pt; BORDER-TOP: #ece9d8; PADDING-LEFT: 2.85pt; PADDING-BOTTOM: 1.4pt; BORDER-LEFT: #ece9d8; PADDING-TOP: 1.4pt; BORDER-BOTTOM: #ece9d8" valign="top" width="94%" colspan="2">
<p><span>Министерство экономики Республики Узбекистан — в части вопросов инвестиций</span></p></td></tr>
<tr>
<td style="BORDER-RIGHT: #ece9d8; PADDING-RIGHT: 2.85pt; BORDER-TOP: #ece9d8; PADDING-LEFT: 2.85pt; PADDING-BOTTOM: 1.4pt; BORDER-LEFT: #ece9d8; PADDING-TOP: 1.4pt; BORDER-BOTTOM: #ece9d8" valign="top" width="5%">
<p align="center"><span>5.</span></p></td>
<td style="BORDER-RIGHT: #ece9d8; PADDING-RIGHT: 2.85pt; BORDER-TOP: #ece9d8; PADDING-LEFT: 2.85pt; PADDING-BOTTOM: 1.4pt; BORDER-LEFT: #ece9d8; PADDING-TOP: 1.4pt; BORDER-BOTTOM: #ece9d8" valign="top" width="94%" colspan="2">
<p><span>Министерство иностранных дел Республики Узбекистан — в части вопросов координации деятельности советников по торгово-экономическим вопросам дипломатических представительств и постоянных представителей в международных организациях</span></p></td></tr>
<tr>
<td style="BORDER-RIGHT: #ece9d8; PADDING-RIGHT: 2.85pt; BORDER-TOP: #ece9d8; PADDING-LEFT: 2.85pt; PADDING-BOTTOM: 1.4pt; BORDER-LEFT: #ece9d8; PADDING-TOP: 1.4pt; BORDER-BOTTOM: #ece9d8" valign="top" width="5%">
<p align="center"><span>6.</span></p></td>
<td style="BORDER-RIGHT: #ece9d8; PADDING-RIGHT: 2.85pt; BORDER-TOP: #ece9d8; PADDING-LEFT: 2.85pt; PADDING-BOTTOM: 1.4pt; BORDER-LEFT: #ece9d8; PADDING-TOP: 1.4pt; BORDER-BOTTOM: #ece9d8" valign="top" width="94%" colspan="2">
<p><span>Государственный комитет Республики Узбекистан по архитектуре и строительству — в части экспертизы инвестиционных проектов</span></p></td></tr>
<tr>
<td style="BORDER-RIGHT: #ece9d8; PADDING-RIGHT: 2.85pt; BORDER-TOP: #ece9d8; PADDING-LEFT: 2.85pt; PADDING-BOTTOM: 1.4pt; BORDER-LEFT: #ece9d8; PADDING-TOP: 1.4pt; BORDER-BOTTOM: #ece9d8" valign="top" width="5%">
<p align="center"><span>7.</span></p></td>
<td style="BORDER-RIGHT: #ece9d8; PADDING-RIGHT: 2.85pt; BORDER-TOP: #ece9d8; PADDING-LEFT: 2.85pt; PADDING-BOTTOM: 1.4pt; BORDER-LEFT: #ece9d8; PADDING-TOP: 1.4pt; BORDER-BOTTOM: #ece9d8" valign="top" width="94%" colspan="2">
<p><span>Фонд реконструкции и развития Республики Узбекистан</span></p></td></tr>
<tr>
<td style="BORDER-RIGHT: #ece9d8; PADDING-RIGHT: 2.85pt; BORDER-TOP: #ece9d8; PADDING-LEFT: 2.85pt; PADDING-BOTTOM: 1.4pt; BORDER-LEFT: #ece9d8; PADDING-TOP: 1.4pt; BORDER-BOTTOM: #ece9d8" valign="top" width="5%">
<p align="center"><span>8.</span></p></td>
<td style="BORDER-RIGHT: #ece9d8; PADDING-RIGHT: 2.85pt; BORDER-TOP: #ece9d8; PADDING-LEFT: 2.85pt; PADDING-BOTTOM: 1.4pt; BORDER-LEFT: #ece9d8; PADDING-TOP: 1.4pt; BORDER-BOTTOM: #ece9d8" valign="top" width="94%" colspan="2">
<p><span>Коммерческие банки — в части финансирования инвестиционных проектов и обслуживания иностранных кредитов, займов и средств безвозмездного содействия</span></p></td></tr>
<tr>
<td style="BORDER-RIGHT: #ece9d8; PADDING-RIGHT: 2.85pt; BORDER-TOP: #ece9d8; PADDING-LEFT: 2.85pt; PADDING-BOTTOM: 1.4pt; BORDER-LEFT: #ece9d8; PADDING-TOP: 1.4pt; BORDER-BOTTOM: #ece9d8" valign="top" width="5%">
<p align="center"><span>9.</span></p></td>
<td style="BORDER-RIGHT: #ece9d8; PADDING-RIGHT: 2.85pt; BORDER-TOP: #ece9d8; PADDING-LEFT: 2.85pt; PADDING-BOTTOM: 1.4pt; BORDER-LEFT: #ece9d8; PADDING-TOP: 1.4pt; BORDER-BOTTOM: #ece9d8" valign="top" width="94%" colspan="2">
<p><span>УзБюро КЕС</span></p></td></tr>
<tr>
<td style="BORDER-RIGHT: #ece9d8; PADDING-RIGHT: 2.85pt; BORDER-TOP: #ece9d8; PADDING-LEFT: 2.85pt; PADDING-BOTTOM: 1.4pt; BORDER-LEFT: #ece9d8; PADDING-TOP: 1.4pt; BORDER-BOTTOM: #ece9d8" valign="top" width="5%">
<p align="center"><span>10.</span></p></td>
<td style="BORDER-RIGHT: #ece9d8; PADDING-RIGHT: 2.85pt; BORDER-TOP: #ece9d8; PADDING-LEFT: 2.85pt; PADDING-BOTTOM: 1.4pt; BORDER-LEFT: #ece9d8; PADDING-TOP: 1.4pt; BORDER-BOTTOM: #ece9d8" valign="top" width="94%" colspan="2">
<p><span>Министерства, государственные комитеты, ведомства, хозяйственные объединения, предприятия и другие организации, Совет Министров Республики<span> </span>Каракалп�кстан,<span> </span>хокимиятыобластейиг.Ташкента — в части вопросов инвестиций, привлечения иностранных инвестиций и реализации инвестиционных проектов</span></p></td></tr>
<tr>
<td style="BORDER-RIGHT: #ece9d8; PADDING-RIGHT: 2.85pt; BORDER-TOP: #ece9d8; PADDING-LEFT: 2.85pt; PADDING-BOTTOM: 1.4pt; BORDER-LEFT: #ece9d8; PADDING-TOP: 1.4pt; BORDER-BOTTOM: #ece9d8" valign="top" width="5%">
<p align="center"></p></td>
<td style="BORDER-RIGHT: #ece9d8; PADDING-RIGHT: 2.85pt; BORDER-TOP: #ece9d8; PADDING-LEFT: 2.85pt; PADDING-BOTTOM: 1.4pt; BORDER-LEFT: #ece9d8; PADDING-TOP: 1.4pt; BORDER-BOTTOM: #ece9d8" valign="top" width="94%" colspan="2"></td></tr>
<tr>
<td style="BORDER-RIGHT: #ece9d8; PADDING-RIGHT: 2.85pt; BORDER-TOP: #ece9d8; PADDING-LEFT: 2.85pt; PADDING-BOTTOM: 1.4pt; BORDER-LEFT: #ece9d8; PADDING-TOP: 1.4pt; BORDER-BOTTOM: #ece9d8" valign="top" width="5%">
<p align="center"><span>11.</span></p></td>
<td style="BORDER-RIGHT: #ece9d8; PADDING-RIGHT: 2.85pt; BORDER-TOP: #ece9d8; PADDING-LEFT: 2.85pt; PADDING-BOTTOM: 1.4pt; BORDER-LEFT: #ece9d8; PADDING-TOP: 1.4pt; BORDER-BOTTOM: #ece9d8" valign="top" width="94%" colspan="2">
<p><span>Международные и иностранные правительственные финансовые институты и другие структуры и их офисы управляющих, представительства — в части вопросов привлечения иностранных инвестиций</span></p></td></tr></tbody></table></div></div><div class="COMMENT"><label id="s3935"></label><div name="edi3234142" id="edi3234142">См. <a href="/ru/docs/3233862?ONDATE=03.03.2018 00#edi3580211">последующую</a> редакцию.</div></div><div class="BY_DEFAULT lx_elem" style="color:#808080;" onmousemove="lx_mo(event,3234143)"><div class="lx_elem2"><div class="lx_elem3"><span onclick="lx_sf(3234143)"><img src="/img/cmt.svg" />Предложения по документу</span><span onclick="lx_pa(3234143)"><img src="/img/vlm.svg" />Прослушать аудио</span><span onclick="lx_cl(3234143)"><img src="/img/lnk.svg" />Получить ссылку из элемента документа</span></div></div><div name="3234143" id="3234143"></div></div><div class="APPL_BANNER_LANDSCAPE_TITLE lx_elem" style="color:#808080;" onmousemove="lx_mo(event,3234145)"><div class="lx_elem2"><div class="lx_elem3"><span onclick="lx_sf(3234145)"><img src="/img/cmt.svg" />Предложения по документу</span><span onclick="lx_pa(3234145)"><img src="/img/vlm.svg" />Прослушать аудио</span><span onclick="lx_cl(3234145)"><img src="/img/lnk.svg" />Получить ссылку из элемента документа</span></div></div><div name="3234145" id="3234145">ПРИЛОЖЕНИЕ № 12<br />к <a href="/ru/docs/3233862">постановлению</a> Президента Республики Узбекистан от 12 июня 2017 года № ПП-3051 </div></div><div class="ACT_FORM lx_elem" style="color:#808080;" onmousemove="lx_mo(event,3234146)"><div class="lx_elem2"><div class="lx_elem3"><span onclick="lx_sf(3234146)"><img src="/img/cmt.svg" />Предложения по документу</span><span onclick="lx_pa(3234146)"><img src="/img/vlm.svg" />Прослушать аудио</span><span onclick="lx_cl(3234146)"><img src="/img/lnk.svg" />Получить ссылку из элемента документа</span></div></div><div name="3234146" id="3234146">СТРУКТУРА</div></div><div class="ACT_TITLE_APPL lx_elem" style="color:#808080;" onmousemove="lx_mo(event,3234147)"><div class="lx_elem2"><div class="lx_elem3"><span onclick="lx_sf(3234147)"><img src="/img/cmt.svg" />Предложения по документу</span><span onclick="lx_pa(3234147)"><img src="/img/vlm.svg" />Прослушать аудио</span><span onclick="lx_cl(3234147)"><img src="/img/lnk.svg" />Получить ссылку из элемента документа</span></div></div><div name="3234147" id="3234147">Информационно-аналитического департамента по вопросам сельского и водного хозяйства, переработки сельскохозяйственной продукции и потребительских товаров</div></div><div class="BY_DEFAULT lx_elem" style="color:#808080;" onmousemove="lx_mo(event,3234148)"><div class="lx_elem2"><div class="lx_elem3"><span onclick="lx_sf(3234148)"><img src="/img/cmt.svg" />Предложения по документу</span><span onclick="lx_pa(3234148)"><img src="/img/vlm.svg" />Прослушать аудио</span><span onclick="lx_cl(3234148)"><img src="/img/lnk.svg" />Получить ссылку из элемента документа</span></div></div><div name="3234148" id="3234148"></div></div><div class="BY_DEFAULT lx_elem" style="color:#808080;" onmousemove="lx_mo(event,3234158)"><div class="lx_elem2"><div class="lx_elem3"><span onclick="lx_sf(3234158)"><img src="/img/cmt.svg" />Предложения по документу</span><span onclick="lx_pa(3234158)"><img src="/img/vlm.svg" />Прослушать аудио</span><span onclick="lx_cl(3234158)"><img src="/img/lnk.svg" />Получить ссылку из элемента документа</span></div></div><div name="3234158" id="3234158"><table style="BORDER-COLLAPSE: collapse; BACKGROUND: white" border="0" cellspacing="0" cellpadding="0" width="100%">
<tbody>
<tr>
<td style="BORDER-BOTTOM: #ece9d8; BORDER-LEFT: #ece9d8; PADDING-BOTTOM: 1.4pt; PADDING-LEFT: 2.85pt; PADDING-RIGHT: 2.85pt; BORDER-TOP: #ece9d8; BORDER-RIGHT: #ece9d8; PADDING-TOP: 1.4pt" valign="top" width="91%" colspan="2">
<p><b><span>Заведующий департаментом</span></b></p></td>
<td style="BORDER-BOTTOM: #ece9d8; BORDER-LEFT: #ece9d8; PADDING-BOTTOM: 1.4pt; PADDING-LEFT: 2.85pt; PADDING-RIGHT: 2.85pt; BORDER-TOP: #ece9d8; BORDER-RIGHT: #ece9d8; PADDING-TOP: 1.4pt" valign="top" width="8%">
<p align="center"><b><span>1</span></b></p></td></tr>
<tr>
<td style="BORDER-BOTTOM: #ece9d8; BORDER-LEFT: #ece9d8; PADDING-BOTTOM: 1.4pt; PADDING-LEFT: 2.85pt; PADDING-RIGHT: 2.85pt; BORDER-TOP: #ece9d8; BORDER-RIGHT: #ece9d8; PADDING-TOP: 1.4pt" valign="top" width="91%" colspan="2">
<p><span>Сектор по реформированию сельского хозяйства и развитию фермерства</span></p></td>
<td style="BORDER-BOTTOM: #ece9d8; BORDER-LEFT: #ece9d8; PADDING-BOTTOM: 1.4pt; PADDING-LEFT: 2.85pt; PADDING-RIGHT: 2.85pt; BORDER-TOP: #ece9d8; BORDER-RIGHT: #ece9d8; PADDING-TOP: 1.4pt" valign="top" width="8%">
<p align="center"></p></td></tr>
<tr>
<td style="BORDER-BOTTOM: #ece9d8; BORDER-LEFT: #ece9d8; PADDING-BOTTOM: 1.4pt; PADDING-LEFT: 2.85pt; PADDING-RIGHT: 2.85pt; BORDER-TOP: #ece9d8; BORDER-RIGHT: #ece9d8; PADDING-TOP: 1.4pt" valign="top" width="91%" colspan="2">
<p><span>Заведующий сектором</span></p></td>
<td style="BORDER-BOTTOM: #ece9d8; BORDER-LEFT: #ece9d8; PADDING-BOTTOM: 1.4pt; PADDING-LEFT: 2.85pt; PADDING-RIGHT: 2.85pt; BORDER-TOP: #ece9d8; BORDER-RIGHT: #ece9d8; PADDING-TOP: 1.4pt" valign="top" width="8%">
<p align="center"><span>1</span></p></td></tr>
<tr>
<td style="BORDER-BOTTOM: #ece9d8; BORDER-LEFT: #ece9d8; PADDING-BOTTOM: 1.4pt; PADDING-LEFT: 2.85pt; PADDING-RIGHT: 2.85pt; BORDER-TOP: #ece9d8; BORDER-RIGHT: #ece9d8; PADDING-TOP: 1.4pt" valign="top" width="91%" colspan="2">
<p><span>Главный специалист по развитию фермерства</span></p></td>
<td style="BORDER-BOTTOM: #ece9d8; BORDER-LEFT: #ece9d8; PADDING-BOTTOM: 1.4pt; PADDING-LEFT: 2.85pt; PADDING-RIGHT: 2.85pt; BORDER-TOP: #ece9d8; BORDER-RIGHT: #ece9d8; PADDING-TOP: 1.4pt" valign="top" width="8%">
<p align="center"><span>1</span></p></td></tr>
<tr>
<td style="BORDER-BOTTOM: #ece9d8; BORDER-LEFT: #ece9d8; PADDING-BOTTOM: 1.4pt; PADDING-LEFT: 2.85pt; PADDING-RIGHT: 2.85pt; BORDER-TOP: #ece9d8; BORDER-RIGHT: #ece9d8; PADDING-TOP: 1.4pt" valign="top" width="91%" colspan="2">
<p><span>Ведущий специалист по вопросам рационального землепользования</span></p></td>
<td style="BORDER-BOTTOM: #ece9d8; BORDER-LEFT: #ece9d8; PADDING-BOTTOM: 1.4pt; PADDING-LEFT: 2.85pt; PADDING-RIGHT: 2.85pt; BORDER-TOP: #ece9d8; BORDER-RIGHT: #ece9d8; PADDING-TOP: 1.4pt" valign="top" width="8%">
<p align="center"><span>1</span></p></td></tr>
<tr>
<td style="BORDER-BOTTOM: #ece9d8; BORDER-LEFT: #ece9d8; PADDING-BOTTOM: 1.4pt; PADDING-LEFT: 2.85pt; PADDING-RIGHT: 2.85pt; BORDER-TOP: #ece9d8; BORDER-RIGHT: #ece9d8; PADDING-TOP: 1.4pt" valign="top" width="91%" colspan="2">
<p><span>Главный специалист по вопросам водного хозяйства и водохозяйственного строительства</span></p></td>
<td style="BORDER-BOTTOM: #ece9d8; BORDER-LEFT: #ece9d8; PADDING-BOTTOM: 1.4pt; PADDING-LEFT: 2.85pt; PADDING-RIGHT: 2.85pt; BORDER-TOP: #ece9d8; BORDER-RIGHT: #ece9d8; PADDING-TOP: 1.4pt" valign="top" width="8%">
<p align="center"><span>1</span></p></td></tr>
<tr>
<td style="BORDER-BOTTOM: #ece9d8; BORDER-LEFT: #ece9d8; PADDING-BOTTOM: 1.4pt; PADDING-LEFT: 2.85pt; PADDING-RIGHT: 2.85pt; BORDER-TOP: #ece9d8; BORDER-RIGHT: #ece9d8; PADDING-TOP: 1.4pt" valign="top" width="91%" colspan="2">
<p><span>Ведущий специалист</span></p></td>
<td style="BORDER-BOTTOM: #ece9d8; BORDER-LEFT: #ece9d8; PADDING-BOTTOM: 1.4pt; PADDING-LEFT: 2.85pt; PADDING-RIGHT: 2.85pt; BORDER-TOP: #ece9d8; BORDER-RIGHT: #ece9d8; PADDING-TOP: 1.4pt" valign="top" width="8%">
<p align="center"><span>1</span></p></td></tr>
<tr>
<td style="BORDER-BOTTOM: #ece9d8; BORDER-LEFT: #ece9d8; PADDING-BOTTOM: 1.4pt; PADDING-LEFT: 2.85pt; PADDING-RIGHT: 2.85pt; BORDER-TOP: #ece9d8; BORDER-RIGHT: #ece9d8; PADDING-TOP: 1.4pt" valign="top" width="91%" colspan="2">
<p><span>Сектор по вопросам развития животноводства, птицеводства и рыболовства</span></p></td>
<td style="BORDER-BOTTOM: #ece9d8; BORDER-LEFT: #ece9d8; PADDING-BOTTOM: 1.4pt; PADDING-LEFT: 2.85pt; PADDING-RIGHT: 2.85pt; BORDER-TOP: #ece9d8; BORDER-RIGHT: #ece9d8; PADDING-TOP: 1.4pt" valign="top" width="8%">
<p align="center"></p></td></tr>
<tr>
<td style="BORDER-BOTTOM: #ece9d8; BORDER-LEFT: #ece9d8; PADDING-BOTTOM: 1.4pt; PADDING-LEFT: 2.85pt; PADDING-RIGHT: 2.85pt; BORDER-TOP: #ece9d8; BORDER-RIGHT: #ece9d8; PADDING-TOP: 1.4pt" valign="top" width="91%" colspan="2">
<p><span>Заведующий сектором</span></p></td>
<td style="BORDER-BOTTOM: #ece9d8; BORDER-LEFT: #ece9d8; PADDING-BOTTOM: 1.4pt; PADDING-LEFT: 2.85pt; PADDING-RIGHT: 2.85pt; BORDER-TOP: #ece9d8; BORDER-RIGHT: #ece9d8; PADDING-TOP: 1.4pt" valign="top" width="8%">
<p align="center"><span>1</span></p></td></tr>
<tr>
<td style="BORDER-BOTTOM: #ece9d8; BORDER-LEFT: #ece9d8; PADDING-BOTTOM: 1.4pt; PADDING-LEFT: 2.85pt; PADDING-RIGHT: 2.85pt; BORDER-TOP: #ece9d8; BORDER-RIGHT: #ece9d8; PADDING-TOP: 1.4pt" valign="top" width="91%" colspan="2">
<p><span>Главный специалист</span></p></td>
<td style="BORDER-BOTTOM: #ece9d8; BORDER-LEFT: #ece9d8; PADDING-BOTTOM: 1.4pt; PADDING-LEFT: 2.85pt; PADDING-RIGHT: 2.85pt; BORDER-TOP: #ece9d8; BORDER-RIGHT: #ece9d8; PADDING-TOP: 1.4pt" valign="top" width="8%">
<p align="center"><span>1</span></p></td></tr>
<tr>
<td style="BORDER-BOTTOM: #ece9d8; BORDER-LEFT: #ece9d8; PADDING-BOTTOM: 1.4pt; PADDING-LEFT: 2.85pt; PADDING-RIGHT: 2.85pt; BORDER-TOP: #ece9d8; BORDER-RIGHT: #ece9d8; PADDING-TOP: 1.4pt" valign="top" width="91%" colspan="2">
<p><span>Ведущий специалист</span></p></td>
<td style="BORDER-BOTTOM: #ece9d8; BORDER-LEFT: #ece9d8; PADDING-BOTTOM: 1.4pt; PADDING-LEFT: 2.85pt; PADDING-RIGHT: 2.85pt; BORDER-TOP: #ece9d8; BORDER-RIGHT: #ece9d8; PADDING-TOP: 1.4pt" valign="top" width="8%">
<p align="center"><span>1</span></p></td></tr>
<tr>
<td style="BORDER-BOTTOM: #ece9d8; BORDER-LEFT: #ece9d8; PADDING-BOTTOM: 1.4pt; PADDING-LEFT: 2.85pt; PADDING-RIGHT: 2.85pt; BORDER-TOP: #ece9d8; BORDER-RIGHT: #ece9d8; PADDING-TOP: 1.4pt" valign="top" width="91%" colspan="2">
<p><span>Сектор развития пищевой промышленности</span></p></td>
<td style="BORDER-BOTTOM: #ece9d8; BORDER-LEFT: #ece9d8; PADDING-BOTTOM: 1.4pt; PADDING-LEFT: 2.85pt; PADDING-RIGHT: 2.85pt; BORDER-TOP: #ece9d8; BORDER-RIGHT: #ece9d8; PADDING-TOP: 1.4pt" valign="top" width="8%">
<p align="center"></p></td></tr>
<tr>
<td style="BORDER-BOTTOM: #ece9d8; BORDER-LEFT: #ece9d8; PADDING-BOTTOM: 1.4pt; PADDING-LEFT: 2.85pt; PADDING-RIGHT: 2.85pt; BORDER-TOP: #ece9d8; BORDER-RIGHT: #ece9d8; PADDING-TOP: 1.4pt" valign="top" width="91%" colspan="2">
<p><span>Заведующий сектором</span></p></td>
<td style="BORDER-BOTTOM: #ece9d8; BORDER-LEFT: #ece9d8; PADDING-BOTTOM: 1.4pt; PADDING-LEFT: 2.85pt; PADDING-RIGHT: 2.85pt; BORDER-TOP: #ece9d8; BORDER-RIGHT: #ece9d8; PADDING-TOP: 1.4pt" valign="top" width="8%">
<p align="center"><span>1</span></p></td></tr>
<tr>
<td style="BORDER-BOTTOM: #ece9d8; BORDER-LEFT: #ece9d8; PADDING-BOTTOM: 1.4pt; PADDING-LEFT: 2.85pt; PADDING-RIGHT: 2.85pt; BORDER-TOP: #ece9d8; BORDER-RIGHT: #ece9d8; PADDING-TOP: 1.4pt" valign="top" width="91%" colspan="2">
<p><span>Главный специалист по вопросам развития масложировой промышленности</span></p></td>
<td style="BORDER-BOTTOM: #ece9d8; BORDER-LEFT: #ece9d8; PADDING-BOTTOM: 1.4pt; PADDING-LEFT: 2.85pt; PADDING-RIGHT: 2.85pt; BORDER-TOP: #ece9d8; BORDER-RIGHT: #ece9d8; PADDING-TOP: 1.4pt" valign="top" width="8%">
<p align="center"><span>1</span></p></td></tr>
<tr>
<td style="BORDER-BOTTOM: #ece9d8; BORDER-LEFT: #ece9d8; PADDING-BOTTOM: 1.4pt; PADDING-LEFT: 2.85pt; PADDING-RIGHT: 2.85pt; BORDER-TOP: #ece9d8; BORDER-RIGHT: #ece9d8; PADDING-TOP: 1.4pt" valign="top" width="91%" colspan="2">
<p><span>Главный специалист по вопросам развития пищевой и мясомолочной промышленности</span></p></td>
<td style="BORDER-BOTTOM: #ece9d8; BORDER-LEFT: #ece9d8; PADDING-BOTTOM: 1.4pt; PADDING-LEFT: 2.85pt; PADDING-RIGHT: 2.85pt; BORDER-TOP: #ece9d8; BORDER-RIGHT: #ece9d8; PADDING-TOP: 1.4pt" valign="top" width="8%">
<p align="center"><span>1</span></p></td></tr>
<tr>
<td style="BORDER-BOTTOM: #ece9d8; BORDER-LEFT: #ece9d8; PADDING-BOTTOM: 1.4pt; PADDING-LEFT: 2.85pt; PADDING-RIGHT: 2.85pt; BORDER-TOP: #ece9d8; BORDER-RIGHT: #ece9d8; PADDING-TOP: 1.4pt" valign="top" width="91%" colspan="2">
<p><span>Ведущий специалист</span></p></td>
<td style="BORDER-BOTTOM: #ece9d8; BORDER-LEFT: #ece9d8; PADDING-BOTTOM: 1.4pt; PADDING-LEFT: 2.85pt; PADDING-RIGHT: 2.85pt; BORDER-TOP: #ece9d8; BORDER-RIGHT: #ece9d8; PADDING-TOP: 1.4pt" valign="top" width="8%">
<p align="center"><span>1</span></p></td></tr>
<tr>
<td style="BORDER-BOTTOM: #ece9d8; BORDER-LEFT: #ece9d8; PADDING-BOTTOM: 1.4pt; PADDING-LEFT: 2.85pt; PADDING-RIGHT: 2.85pt; BORDER-TOP: #ece9d8; BORDER-RIGHT: #ece9d8; PADDING-TOP: 1.4pt" valign="top" width="91%" colspan="2">
<p><span>Главный специалист по вопросам переработки зерна и кормопроизводства</span></p></td>
<td style="BORDER-BOTTOM: #ece9d8; BORDER-LEFT: #ece9d8; PADDING-BOTTOM: 1.4pt; PADDING-LEFT: 2.85pt; PADDING-RIGHT: 2.85pt; BORDER-TOP: #ece9d8; BORDER-RIGHT: #ece9d8; PADDING-TOP: 1.4pt" valign="top" width="8%">
<p align="center"><span>1</span></p></td></tr>
<tr>
<td style="BORDER-BOTTOM: #ece9d8; BORDER-LEFT: #ece9d8; PADDING-BOTTOM: 1.4pt; PADDING-LEFT: 2.85pt; PADDING-RIGHT: 2.85pt; BORDER-TOP: #ece9d8; BORDER-RIGHT: #ece9d8; PADDING-TOP: 1.4pt" valign="top" width="91%" colspan="2">
<p><span>Ведущий специалист</span></p></td>
<td style="BORDER-BOTTOM: #ece9d8; BORDER-LEFT: #ece9d8; PADDING-BOTTOM: 1.4pt; PADDING-LEFT: 2.85pt; PADDING-RIGHT: 2.85pt; BORDER-TOP: #ece9d8; BORDER-RIGHT: #ece9d8; PADDING-TOP: 1.4pt" valign="top" width="8%">
<p align="center"><span>1</span></p></td></tr>
<tr>
<td style="BORDER-BOTTOM: #ece9d8; BORDER-LEFT: #ece9d8; PADDING-BOTTOM: 1.4pt; PADDING-LEFT: 2.85pt; PADDING-RIGHT: 2.85pt; BORDER-TOP: #ece9d8; BORDER-RIGHT: #ece9d8; PADDING-TOP: 1.4pt" valign="top" width="91%" colspan="2">
<p><span>Сектор хлопкоперерабатывающей и легкой промышленности</span></p></td>
<td style="BORDER-BOTTOM: #ece9d8; BORDER-LEFT: #ece9d8; PADDING-BOTTOM: 1.4pt; PADDING-LEFT: 2.85pt; PADDING-RIGHT: 2.85pt; BORDER-TOP: #ece9d8; BORDER-RIGHT: #ece9d8; PADDING-TOP: 1.4pt" valign="top" width="8%">
<p align="center"></p></td></tr>
<tr>
<td style="BORDER-BOTTOM: #ece9d8; BORDER-LEFT: #ece9d8; PADDING-BOTTOM: 1.4pt; PADDING-LEFT: 2.85pt; PADDING-RIGHT: 2.85pt; BORDER-TOP: #ece9d8; BORDER-RIGHT: #ece9d8; PADDING-TOP: 1.4pt" valign="top" width="91%" colspan="2">
<p><span>Заведующий сектором</span></p></td>
<td style="BORDER-BOTTOM: #ece9d8; BORDER-LEFT: #ece9d8; PADDING-BOTTOM: 1.4pt; PADDING-LEFT: 2.85pt; PADDING-RIGHT: 2.85pt; BORDER-TOP: #ece9d8; BORDER-RIGHT: #ece9d8; PADDING-TOP: 1.4pt" valign="top" width="8%">
<p align="center"><span>1</span></p></td></tr>
<tr>
<td style="BORDER-BOTTOM: #ece9d8; BORDER-LEFT: #ece9d8; PADDING-BOTTOM: 1.4pt; PADDING-LEFT: 2.85pt; PADDING-RIGHT: 2.85pt; BORDER-TOP: #ece9d8; BORDER-RIGHT: #ece9d8; PADDING-TOP: 1.4pt" valign="top" width="91%" colspan="2">
<p><span>Главный специалист по переработке хлопкового сырья</span></p></td>
<td style="BORDER-BOTTOM: #ece9d8; BORDER-LEFT: #ece9d8; PADDING-BOTTOM: 1.4pt; PADDING-LEFT: 2.85pt; PADDING-RIGHT: 2.85pt; BORDER-TOP: #ece9d8; BORDER-RIGHT: #ece9d8; PADDING-TOP: 1.4pt" valign="top" width="8%">
<p align="center"><span>1</span></p></td></tr>
<tr>
<td style="BORDER-BOTTOM: #ece9d8; BORDER-LEFT: #ece9d8; PADDING-BOTTOM: 1.4pt; PADDING-LEFT: 2.85pt; PADDING-RIGHT: 2.85pt; BORDER-TOP: #ece9d8; BORDER-RIGHT: #ece9d8; PADDING-TOP: 1.4pt" valign="top" width="91%" colspan="2">
<p><span>Ведущий специалист</span></p></td>
<td style="BORDER-BOTTOM: #ece9d8; BORDER-LEFT: #ece9d8; PADDING-BOTTOM: 1.4pt; PADDING-LEFT: 2.85pt; PADDING-RIGHT: 2.85pt; BORDER-TOP: #ece9d8; BORDER-RIGHT: #ece9d8; PADDING-TOP: 1.4pt" valign="top" width="8%">
<p align="center"><span>1</span></p></td></tr>
<tr>
<td style="BORDER-BOTTOM: #ece9d8; BORDER-LEFT: #ece9d8; PADDING-BOTTOM: 1.4pt; PADDING-LEFT: 2.85pt; PADDING-RIGHT: 2.85pt; BORDER-TOP: #ece9d8; BORDER-RIGHT: #ece9d8; PADDING-TOP: 1.4pt" valign="top" width="91%" colspan="2">
<p><span>Главный специалист по вопросам развития легкой промышленности</span></p></td>
<td style="BORDER-BOTTOM: #ece9d8; BORDER-LEFT: #ece9d8; PADDING-BOTTOM: 1.4pt; PADDING-LEFT: 2.85pt; PADDING-RIGHT: 2.85pt; BORDER-TOP: #ece9d8; BORDER-RIGHT: #ece9d8; PADDING-TOP: 1.4pt" valign="top" width="8%">
<p align="center"><span>1</span></p></td></tr>
<tr>
<td style="BORDER-BOTTOM: #ece9d8; BORDER-LEFT: #ece9d8; PADDING-BOTTOM: 1.4pt; PADDING-LEFT: 2.85pt; PADDING-RIGHT: 2.85pt; BORDER-TOP: #ece9d8; BORDER-RIGHT: #ece9d8; PADDING-TOP: 1.4pt" valign="top" width="91%" colspan="2">
<p><span>Ведущий специалист</span></p></td>
<td style="BORDER-BOTTOM: #ece9d8; BORDER-LEFT: #ece9d8; PADDING-BOTTOM: 1.4pt; PADDING-LEFT: 2.85pt; PADDING-RIGHT: 2.85pt; BORDER-TOP: #ece9d8; BORDER-RIGHT: #ece9d8; PADDING-TOP: 1.4pt" valign="top" width="8%">
<p align="center"><span>1</span></p></td></tr>
<tr>
<td style="BORDER-BOTTOM: #ece9d8; BORDER-LEFT: #ece9d8; PADDING-BOTTOM: 1.4pt; PADDING-LEFT: 2.85pt; PADDING-RIGHT: 2.85pt; BORDER-TOP: #ece9d8; BORDER-RIGHT: #ece9d8; PADDING-TOP: 1.4pt" valign="top" width="91%" colspan="2">
<p><span>Главный специалист по вопросам развития торговли и сферы платных услуг</span></p></td>
<td style="BORDER-BOTTOM: #ece9d8; BORDER-LEFT: #ece9d8; PADDING-BOTTOM: 1.4pt; PADDING-LEFT: 2.85pt; PADDING-RIGHT: 2.85pt; BORDER-TOP: #ece9d8; BORDER-RIGHT: #ece9d8; PADDING-TOP: 1.4pt" valign="top" width="8%">
<p align="center"><span>1</span></p></td></tr>
<tr>
<td style="BORDER-BOTTOM: #ece9d8; BORDER-LEFT: #ece9d8; PADDING-BOTTOM: 1.4pt; PADDING-LEFT: 2.85pt; PADDING-RIGHT: 2.85pt; BORDER-TOP: #ece9d8; BORDER-RIGHT: #ece9d8; PADDING-TOP: 1.4pt" valign="top" width="91%" colspan="2">
<p><span>Инспектор</span></p></td>
<td style="BORDER-BOTTOM: #ece9d8; BORDER-LEFT: #ece9d8; PADDING-BOTTOM: 1.4pt; PADDING-LEFT: 2.85pt; PADDING-RIGHT: 2.85pt; BORDER-TOP: #ece9d8; BORDER-RIGHT: #ece9d8; PADDING-TOP: 1.4pt" valign="top" width="8%">
<p align="center"><span>1</span></p></td></tr>
<tr>
<td style="BORDER-BOTTOM: #ece9d8; BORDER-LEFT: #ece9d8; PADDING-BOTTOM: 1.4pt; PADDING-LEFT: 2.85pt; PADDING-RIGHT: 2.85pt; BORDER-TOP: #ece9d8; BORDER-RIGHT: #ece9d8; PADDING-TOP: 1.4pt" valign="top" width="91%" colspan="2">
<p align="center"><b><span>Всего:</span></b></p></td>
<td style="BORDER-BOTTOM: #ece9d8; BORDER-LEFT: #ece9d8; PADDING-BOTTOM: 1.4pt; PADDING-LEFT: 2.85pt; PADDING-RIGHT: 2.85pt; BORDER-TOP: #ece9d8; BORDER-RIGHT: #ece9d8; PADDING-TOP: 1.4pt" valign="top" width="8%">
<p align="center"><b><span>22</span></b></p></td></tr>
<tr>
<td style="BORDER-BOTTOM: #ece9d8; BORDER-LEFT: #ece9d8; PADDING-BOTTOM: 1.4pt; PADDING-LEFT: 2.85pt; PADDING-RIGHT: 2.85pt; BORDER-TOP: #ece9d8; BORDER-RIGHT: #ece9d8; PADDING-TOP: 1.4pt" valign="top" width="100%" colspan="3">
<p align="center"><b><br /></b></p>
<p align="center"><b><span>КУРИРУЕМЫЕ<br />министерства, ведомства, хозяйственные объединения и другие организации</span></b></p></td></tr>
<tr>
<td style="BORDER-BOTTOM: #ece9d8; BORDER-LEFT: #ece9d8; PADDING-BOTTOM: 1.4pt; PADDING-LEFT: 2.85pt; PADDING-RIGHT: 2.85pt; BORDER-TOP: #ece9d8; BORDER-RIGHT: #ece9d8; PADDING-TOP: 1.4pt" valign="top" width="100%" colspan="3">
<p align="center"><b></b></p></td></tr>
<tr>
<td style="BORDER-BOTTOM: #ece9d8; BORDER-LEFT: #ece9d8; PADDING-BOTTOM: 1.4pt; PADDING-LEFT: 2.85pt; PADDING-RIGHT: 2.85pt; BORDER-TOP: #ece9d8; BORDER-RIGHT: #ece9d8; PADDING-TOP: 1.4pt" valign="top" width="5%">
<p align="center"><span>1.</span></p></td>
<td style="BORDER-BOTTOM: #ece9d8; BORDER-LEFT: #ece9d8; PADDING-BOTTOM: 1.4pt; PADDING-LEFT: 2.85pt; PADDING-RIGHT: 2.85pt; BORDER-TOP: #ece9d8; BORDER-RIGHT: #ece9d8; PADDING-TOP: 1.4pt" valign="top" width="94%" colspan="2">
<p><span>Министерство сельского и водного хозяйства Республики Узбекистан</span></p></td></tr>
<tr>
<td style="BORDER-BOTTOM: #ece9d8; BORDER-LEFT: #ece9d8; PADDING-BOTTOM: 1.4pt; PADDING-LEFT: 2.85pt; PADDING-RIGHT: 2.85pt; BORDER-TOP: #ece9d8; BORDER-RIGHT: #ece9d8; PADDING-TOP: 1.4pt" valign="top" width="5%">
<p align="center"><span>2.</span></p></td>
<td style="BORDER-BOTTOM: #ece9d8; BORDER-LEFT: #ece9d8; PADDING-BOTTOM: 1.4pt; PADDING-LEFT: 2.85pt; PADDING-RIGHT: 2.85pt; BORDER-TOP: #ece9d8; BORDER-RIGHT: #ece9d8; PADDING-TOP: 1.4pt" valign="top" width="94%" colspan="2">
<p><span>Государственный комитет Республики Узбекистан по земельным ресурсам, геодезии, картографии и государственному кадастру (Госкомземгеодезкадастр)</span></p></td></tr>
<tr>
<td style="BORDER-BOTTOM: #ece9d8; BORDER-LEFT: #ece9d8; PADDING-BOTTOM: 1.4pt; PADDING-LEFT: 2.85pt; PADDING-RIGHT: 2.85pt; BORDER-TOP: #ece9d8; BORDER-RIGHT: #ece9d8; PADDING-TOP: 1.4pt" valign="top" width="5%">
<p align="center"><span>3.</span></p></td>
<td style="BORDER-BOTTOM: #ece9d8; BORDER-LEFT: #ece9d8; PADDING-BOTTOM: 1.4pt; PADDING-LEFT: 2.85pt; PADDING-RIGHT: 2.85pt; BORDER-TOP: #ece9d8; BORDER-RIGHT: #ece9d8; PADDING-TOP: 1.4pt" valign="top" width="94%" colspan="2">
<p><span>Государственный комитет Республики Узбекистан по лесному хозяйству</span></p></td></tr>
<tr>
<td style="BORDER-BOTTOM: #ece9d8; BORDER-LEFT: #ece9d8; PADDING-BOTTOM: 1.4pt; PADDING-LEFT: 2.85pt; PADDING-RIGHT: 2.85pt; BORDER-TOP: #ece9d8; BORDER-RIGHT: #ece9d8; PADDING-TOP: 1.4pt" valign="top" width="5%">
<p align="center"><span>4.</span></p></td>
<td style="BORDER-BOTTOM: #ece9d8; BORDER-LEFT: #ece9d8; PADDING-BOTTOM: 1.4pt; PADDING-LEFT: 2.85pt; PADDING-RIGHT: 2.85pt; BORDER-TOP: #ece9d8; BORDER-RIGHT: #ece9d8; PADDING-TOP: 1.4pt" valign="top" width="94%" colspan="2">
<p><span>Государственный комитет ветеринарии Республики Узбекистан</span></p></td></tr>
<tr>
<td style="BORDER-BOTTOM: #ece9d8; BORDER-LEFT: #ece9d8; PADDING-BOTTOM: 1.4pt; PADDING-LEFT: 2.85pt; PADDING-RIGHT: 2.85pt; BORDER-TOP: #ece9d8; BORDER-RIGHT: #ece9d8; PADDING-TOP: 1.4pt" valign="top" width="5%">
<p align="center"><span>5.</span></p></td>
<td style="BORDER-BOTTOM: #ece9d8; BORDER-LEFT: #ece9d8; PADDING-BOTTOM: 1.4pt; PADDING-LEFT: 2.85pt; PADDING-RIGHT: 2.85pt; BORDER-TOP: #ece9d8; BORDER-RIGHT: #ece9d8; PADDING-TOP: 1.4pt" valign="top" width="94%" colspan="2">
<p><span>Государственная хлебная инспекция при Кабинете Министров Республики Узбекистан (Узгосхлебинспекция)</span></p></td></tr>
<tr>
<td style="BORDER-BOTTOM: #ece9d8; BORDER-LEFT: #ece9d8; PADDING-BOTTOM: 1.4pt; PADDING-LEFT: 2.85pt; PADDING-RIGHT: 2.85pt; BORDER-TOP: #ece9d8; BORDER-RIGHT: #ece9d8; PADDING-TOP: 1.4pt" valign="top" width="5%">
<p align="center"><span>6.</span></p></td>
<td style="BORDER-BOTTOM: #ece9d8; BORDER-LEFT: #ece9d8; PADDING-BOTTOM: 1.4pt; PADDING-LEFT: 2.85pt; PADDING-RIGHT: 2.85pt; BORDER-TOP: #ece9d8; BORDER-RIGHT: #ece9d8; PADDING-TOP: 1.4pt" valign="top" width="94%" colspan="2">
<p><span>Узбекский Центр сертификации хлопкового волокна «Сифат» при Кабинете Министров Республики Узбекистан (Центр «Сифат»)</span></p></td></tr>
<tr>
<td style="BORDER-BOTTOM: #ece9d8; BORDER-LEFT: #ece9d8; PADDING-BOTTOM: 1.4pt; PADDING-LEFT: 2.85pt; PADDING-RIGHT: 2.85pt; BORDER-TOP: #ece9d8; BORDER-RIGHT: #ece9d8; PADDING-TOP: 1.4pt" valign="top" width="5%">
<p align="center"><span>7.</span></p></td>
<td style="BORDER-BOTTOM: #ece9d8; BORDER-LEFT: #ece9d8; PADDING-BOTTOM: 1.4pt; PADDING-LEFT: 2.85pt; PADDING-RIGHT: 2.85pt; BORDER-TOP: #ece9d8; BORDER-RIGHT: #ece9d8; PADDING-TOP: 1.4pt" valign="top" width="94%" colspan="2">
<p><span>Узбекский государственный центр по сертификации и испытанию сельскохозяйственной техники и технологий при Кабинете Министров Республики Узбекистан</span></p></td></tr>
<tr>
<td style="BORDER-BOTTOM: #ece9d8; BORDER-LEFT: #ece9d8; PADDING-BOTTOM: 1.4pt; PADDING-LEFT: 2.85pt; PADDING-RIGHT: 2.85pt; BORDER-TOP: #ece9d8; BORDER-RIGHT: #ece9d8; PADDING-TOP: 1.4pt" valign="top" width="5%">
<p align="center"><span>8.</span></p></td>
<td style="BORDER-BOTTOM: #ece9d8; BORDER-LEFT: #ece9d8; PADDING-BOTTOM: 1.4pt; PADDING-LEFT: 2.85pt; PADDING-RIGHT: 2.85pt; BORDER-TOP: #ece9d8; BORDER-RIGHT: #ece9d8; PADDING-TOP: 1.4pt" valign="top" width="94%" colspan="2">
<p><span>Национальный информационно-аналитический центр по контролю за наркотиками при Кабинете Министров Республики Узбекистан</span></p></td></tr>
<tr>
<td style="BORDER-BOTTOM: #ece9d8; BORDER-LEFT: #ece9d8; PADDING-BOTTOM: 1.4pt; PADDING-LEFT: 2.85pt; PADDING-RIGHT: 2.85pt; BORDER-TOP: #ece9d8; BORDER-RIGHT: #ece9d8; PADDING-TOP: 1.4pt" valign="top" width="5%">
<p align="center"><span>9.</span></p></td>
<td style="BORDER-BOTTOM: #ece9d8; BORDER-LEFT: #ece9d8; PADDING-BOTTOM: 1.4pt; PADDING-LEFT: 2.85pt; PADDING-RIGHT: 2.85pt; BORDER-TOP: #ece9d8; BORDER-RIGHT: #ece9d8; PADDING-TOP: 1.4pt" valign="top" width="94%" colspan="2">
<p><span>Фонд для расчетов за сельскохозяйственную продукцию, закупаемую для государственных нужд</span></p></td></tr>
<tr>
<td style="BORDER-BOTTOM: #ece9d8; BORDER-LEFT: #ece9d8; PADDING-BOTTOM: 1.4pt; PADDING-LEFT: 2.85pt; PADDING-RIGHT: 2.85pt; BORDER-TOP: #ece9d8; BORDER-RIGHT: #ece9d8; PADDING-TOP: 1.4pt" valign="top" width="5%">
<p align="center"><span>10.</span></p></td>
<td style="BORDER-BOTTOM: #ece9d8; BORDER-LEFT: #ece9d8; PADDING-BOTTOM: 1.4pt; PADDING-LEFT: 2.85pt; PADDING-RIGHT: 2.85pt; BORDER-TOP: #ece9d8; BORDER-RIGHT: #ece9d8; PADDING-TOP: 1.4pt" valign="top" width="94%" colspan="2">
<p><span>Фонд мелиоративного улучшения орошаемых земель</span></p></td></tr>
<tr>
<td style="BORDER-BOTTOM: #ece9d8; BORDER-LEFT: #ece9d8; PADDING-BOTTOM: 1.4pt; PADDING-LEFT: 2.85pt; PADDING-RIGHT: 2.85pt; BORDER-TOP: #ece9d8; BORDER-RIGHT: #ece9d8; PADDING-TOP: 1.4pt" valign="top" width="5%">
<p align="center"><span>11.</span></p></td>
<td style="BORDER-BOTTOM: #ece9d8; BORDER-LEFT: #ece9d8; PADDING-BOTTOM: 1.4pt; PADDING-LEFT: 2.85pt; PADDING-RIGHT: 2.85pt; BORDER-TOP: #ece9d8; BORDER-RIGHT: #ece9d8; PADDING-TOP: 1.4pt" valign="top" width="94%" colspan="2">
<p><span>Ассоциация «Узбекчармпойабзали»</span></p></td></tr>
<tr>
<td style="BORDER-BOTTOM: #ece9d8; BORDER-LEFT: #ece9d8; PADDING-BOTTOM: 1.4pt; PADDING-LEFT: 2.85pt; PADDING-RIGHT: 2.85pt; BORDER-TOP: #ece9d8; BORDER-RIGHT: #ece9d8; PADDING-TOP: 1.4pt" valign="top" width="5%">
<p align="center"><span>12.</span></p></td>
<td style="BORDER-BOTTOM: #ece9d8; BORDER-LEFT: #ece9d8; PADDING-BOTTOM: 1.4pt; PADDING-LEFT: 2.85pt; PADDING-RIGHT: 2.85pt; BORDER-TOP: #ece9d8; BORDER-RIGHT: #ece9d8; PADDING-TOP: 1.4pt" valign="top" width="94%" colspan="2">
<p><span>Ассоциация «Узбекозиковкатзахира»</span></p></td></tr>
<tr>
<td style="BORDER-BOTTOM: #ece9d8; BORDER-LEFT: #ece9d8; PADDING-BOTTOM: 1.4pt; PADDING-LEFT: 2.85pt; PADDING-RIGHT: 2.85pt; BORDER-TOP: #ece9d8; BORDER-RIGHT: #ece9d8; PADDING-TOP: 1.4pt" valign="top" width="5%">
<p align="center"><span>13.</span></p></td>
<td style="BORDER-BOTTOM: #ece9d8; BORDER-LEFT: #ece9d8; PADDING-BOTTOM: 1.4pt; PADDING-LEFT: 2.85pt; PADDING-RIGHT: 2.85pt; BORDER-TOP: #ece9d8; BORDER-RIGHT: #ece9d8; PADDING-TOP: 1.4pt" valign="top" width="94%" colspan="2">
<p><span>Ассоциация «Узбекбаликсаноат»</span></p></td></tr>
<tr>
<td style="BORDER-BOTTOM: #ece9d8; BORDER-LEFT: #ece9d8; PADDING-BOTTOM: 1.4pt; PADDING-LEFT: 2.85pt; PADDING-RIGHT: 2.85pt; BORDER-TOP: #ece9d8; BORDER-RIGHT: #ece9d8; PADDING-TOP: 1.4pt" valign="top" width="5%">
<p align="center"><span>14.</span></p></td>
<td style="BORDER-BOTTOM: #ece9d8; BORDER-LEFT: #ece9d8; PADDING-BOTTOM: 1.4pt; PADDING-LEFT: 2.85pt; PADDING-RIGHT: 2.85pt; BORDER-TOP: #ece9d8; BORDER-RIGHT: #ece9d8; PADDING-TOP: 1.4pt" valign="top" width="94%" colspan="2">
<p><span>Ассоциация «Узбекипаксаноат»</span></p></td></tr>
<tr>
<td style="BORDER-BOTTOM: #ece9d8; BORDER-LEFT: #ece9d8; PADDING-BOTTOM: 1.4pt; PADDING-LEFT: 2.85pt; PADDING-RIGHT: 2.85pt; BORDER-TOP: #ece9d8; BORDER-RIGHT: #ece9d8; PADDING-TOP: 1.4pt" valign="top" width="5%">
<p align="center"><span>15.</span></p></td>
<td style="BORDER-BOTTOM: #ece9d8; BORDER-LEFT: #ece9d8; PADDING-BOTTOM: 1.4pt; PADDING-LEFT: 2.85pt; PADDING-RIGHT: 2.85pt; BORDER-TOP: #ece9d8; BORDER-RIGHT: #ece9d8; PADDING-TOP: 1.4pt" valign="top" width="94%" colspan="2">
<p><span>Ассоциация производителей и экспортеров грецкого ореха</span></p></td></tr>
<tr>
<td style="BORDER-BOTTOM: #ece9d8; BORDER-LEFT: #ece9d8; PADDING-BOTTOM: 1.4pt; PADDING-LEFT: 2.85pt; PADDING-RIGHT: 2.85pt; BORDER-TOP: #ece9d8; BORDER-RIGHT: #ece9d8; PADDING-TOP: 1.4pt" valign="top" width="5%">
<p align="center"><span>16.</span></p></td>
<td style="BORDER-BOTTOM: #ece9d8; BORDER-LEFT: #ece9d8; PADDING-BOTTOM: 1.4pt; PADDING-LEFT: 2.85pt; PADDING-RIGHT: 2.85pt; BORDER-TOP: #ece9d8; BORDER-RIGHT: #ece9d8; PADDING-TOP: 1.4pt" valign="top" width="94%" colspan="2">
<p><span>Ассоциация «Хунарманд»</span></p></td></tr>
<tr>
<td style="BORDER-BOTTOM: #ece9d8; BORDER-LEFT: #ece9d8; PADDING-BOTTOM: 1.4pt; PADDING-LEFT: 2.85pt; PADDING-RIGHT: 2.85pt; BORDER-TOP: #ece9d8; BORDER-RIGHT: #ece9d8; PADDING-TOP: 1.4pt" valign="top" width="5%">
<p align="center"><span>17.</span></p></td>
<td style="BORDER-BOTTOM: #ece9d8; BORDER-LEFT: #ece9d8; PADDING-BOTTOM: 1.4pt; PADDING-LEFT: 2.85pt; PADDING-RIGHT: 2.85pt; BORDER-TOP: #ece9d8; BORDER-RIGHT: #ece9d8; PADDING-TOP: 1.4pt" valign="top" width="94%" colspan="2">
<p><span>ХК «Узпахтасаноатэкспорт»</span></p></td></tr>
<tr>
<td style="BORDER-BOTTOM: #ece9d8; BORDER-LEFT: #ece9d8; PADDING-BOTTOM: 1.4pt; PADDING-LEFT: 2.85pt; PADDING-RIGHT: 2.85pt; BORDER-TOP: #ece9d8; BORDER-RIGHT: #ece9d8; PADDING-TOP: 1.4pt" valign="top" width="5%">
<p align="center"><span>18.</span></p></td>
<td style="BORDER-BOTTOM: #ece9d8; BORDER-LEFT: #ece9d8; PADDING-BOTTOM: 1.4pt; PADDING-LEFT: 2.85pt; PADDING-RIGHT: 2.85pt; BORDER-TOP: #ece9d8; BORDER-RIGHT: #ece9d8; PADDING-TOP: 1.4pt" valign="top" width="94%" colspan="2">
<p><span>АО «Узпахтасаноат»</span></p></td></tr>
<tr>
<td style="BORDER-BOTTOM: #ece9d8; BORDER-LEFT: #ece9d8; PADDING-BOTTOM: 1.4pt; PADDING-LEFT: 2.85pt; PADDING-RIGHT: 2.85pt; BORDER-TOP: #ece9d8; BORDER-RIGHT: #ece9d8; PADDING-TOP: 1.4pt" valign="top" width="5%">
<p align="center"><span>19.</span></p></td>
<td style="BORDER-BOTTOM: #ece9d8; BORDER-LEFT: #ece9d8; PADDING-BOTTOM: 1.4pt; PADDING-LEFT: 2.85pt; PADDING-RIGHT: 2.85pt; BORDER-TOP: #ece9d8; BORDER-RIGHT: #ece9d8; PADDING-TOP: 1.4pt" valign="top" width="94%" colspan="2">
<p><span>АО «Узпахтаэкспорт»</span></p></td></tr>
<tr>
<td style="BORDER-BOTTOM: #ece9d8; BORDER-LEFT: #ece9d8; PADDING-BOTTOM: 1.4pt; PADDING-LEFT: 2.85pt; PADDING-RIGHT: 2.85pt; BORDER-TOP: #ece9d8; BORDER-RIGHT: #ece9d8; PADDING-TOP: 1.4pt" valign="top" width="5%">
<p align="center"><span>20.</span></p></td>
<td style="BORDER-BOTTOM: #ece9d8; BORDER-LEFT: #ece9d8; PADDING-BOTTOM: 1.4pt; PADDING-LEFT: 2.85pt; PADDING-RIGHT: 2.85pt; BORDER-TOP: #ece9d8; BORDER-RIGHT: #ece9d8; PADDING-TOP: 1.4pt" valign="top" width="94%" colspan="2">
<p><span>АО «Узпахтаёг»</span></p></td></tr>
<tr>
<td style="BORDER-BOTTOM: #ece9d8; BORDER-LEFT: #ece9d8; PADDING-BOTTOM: 1.4pt; PADDING-LEFT: 2.85pt; PADDING-RIGHT: 2.85pt; BORDER-TOP: #ece9d8; BORDER-RIGHT: #ece9d8; PADDING-TOP: 1.4pt" valign="top" width="5%">
<p align="center"><span>21.</span></p></td>
<td style="BORDER-BOTTOM: #ece9d8; BORDER-LEFT: #ece9d8; PADDING-BOTTOM: 1.4pt; PADDING-LEFT: 2.85pt; PADDING-RIGHT: 2.85pt; BORDER-TOP: #ece9d8; BORDER-RIGHT: #ece9d8; PADDING-TOP: 1.4pt" valign="top" width="94%" colspan="2">
<p><span>ХК «Узбекозиковкатхолдинг»</span></p></td></tr>
<tr>
<td style="BORDER-BOTTOM: #ece9d8; BORDER-LEFT: #ece9d8; PADDING-BOTTOM: 1.4pt; PADDING-LEFT: 2.85pt; PADDING-RIGHT: 2.85pt; BORDER-TOP: #ece9d8; BORDER-RIGHT: #ece9d8; PADDING-TOP: 1.4pt" valign="top" width="5%">
<p align="center"><span>22.</span></p></td>
<td style="BORDER-BOTTOM: #ece9d8; BORDER-LEFT: #ece9d8; PADDING-BOTTOM: 1.4pt; PADDING-LEFT: 2.85pt; PADDING-RIGHT: 2.85pt; BORDER-TOP: #ece9d8; BORDER-RIGHT: #ece9d8; PADDING-TOP: 1.4pt" valign="top" width="94%" colspan="2">
<p><span>АО «Узагроэкспорт»</span></p></td></tr>
<tr>
<td style="BORDER-BOTTOM: #ece9d8; BORDER-LEFT: #ece9d8; PADDING-BOTTOM: 1.4pt; PADDING-LEFT: 2.85pt; PADDING-RIGHT: 2.85pt; BORDER-TOP: #ece9d8; BORDER-RIGHT: #ece9d8; PADDING-TOP: 1.4pt" valign="top" width="5%">
<p align="center"><span>23.</span></p></td>
<td style="BORDER-BOTTOM: #ece9d8; BORDER-LEFT: #ece9d8; PADDING-BOTTOM: 1.4pt; PADDING-LEFT: 2.85pt; PADDING-RIGHT: 2.85pt; BORDER-TOP: #ece9d8; BORDER-RIGHT: #ece9d8; PADDING-TOP: 1.4pt" valign="top" width="94%" colspan="2">
<p><span>ХК «Узвинпром-холдинг»</span></p></td></tr>
<tr>
<td style="BORDER-BOTTOM: #ece9d8; BORDER-LEFT: #ece9d8; PADDING-BOTTOM: 1.4pt; PADDING-LEFT: 2.85pt; PADDING-RIGHT: 2.85pt; BORDER-TOP: #ece9d8; BORDER-RIGHT: #ece9d8; PADDING-TOP: 1.4pt" valign="top" width="5%">
<p align="center"><span>24.</span></p></td>
<td style="BORDER-BOTTOM: #ece9d8; BORDER-LEFT: #ece9d8; PADDING-BOTTOM: 1.4pt; PADDING-LEFT: 2.85pt; PADDING-RIGHT: 2.85pt; BORDER-TOP: #ece9d8; BORDER-RIGHT: #ece9d8; PADDING-TOP: 1.4pt" valign="top" width="94%" colspan="2">
<p><span>АК «Уздонмахсулот»</span></p></td></tr>
<tr>
<td style="BORDER-BOTTOM: #ece9d8; BORDER-LEFT: #ece9d8; PADDING-BOTTOM: 1.4pt; PADDING-LEFT: 2.85pt; PADDING-RIGHT: 2.85pt; BORDER-TOP: #ece9d8; BORDER-RIGHT: #ece9d8; PADDING-TOP: 1.4pt" valign="top" width="5%">
<p align="center"><span>25.</span></p></td>
<td style="BORDER-BOTTOM: #ece9d8; BORDER-LEFT: #ece9d8; PADDING-BOTTOM: 1.4pt; PADDING-LEFT: 2.85pt; PADDING-RIGHT: 2.85pt; BORDER-TOP: #ece9d8; BORDER-RIGHT: #ece9d8; PADDING-TOP: 1.4pt" valign="top" width="94%" colspan="2">
<p><span>АО «Узбекенгилсаноат»</span></p></td></tr>
<tr>
<td style="BORDER-BOTTOM: #ece9d8; BORDER-LEFT: #ece9d8; PADDING-BOTTOM: 1.4pt; PADDING-LEFT: 2.85pt; PADDING-RIGHT: 2.85pt; BORDER-TOP: #ece9d8; BORDER-RIGHT: #ece9d8; PADDING-TOP: 1.4pt" valign="top" width="5%">
<p align="center"><span>26.</span></p></td>
<td style="BORDER-BOTTOM: #ece9d8; BORDER-LEFT: #ece9d8; PADDING-BOTTOM: 1.4pt; PADDING-LEFT: 2.85pt; PADDING-RIGHT: 2.85pt; BORDER-TOP: #ece9d8; BORDER-RIGHT: #ece9d8; PADDING-TOP: 1.4pt" valign="top" width="94%" colspan="2">
<p><span>АО «Узагрокимёхимоя»</span></p></td></tr>
<tr>
<td style="BORDER-BOTTOM: #ece9d8; BORDER-LEFT: #ece9d8; PADDING-BOTTOM: 1.4pt; PADDING-LEFT: 2.85pt; PADDING-RIGHT: 2.85pt; BORDER-TOP: #ece9d8; BORDER-RIGHT: #ece9d8; PADDING-TOP: 1.4pt" valign="top" width="5%">
<p align="center"><span>27.</span></p></td>
<td style="BORDER-BOTTOM: #ece9d8; BORDER-LEFT: #ece9d8; PADDING-BOTTOM: 1.4pt; PADDING-LEFT: 2.85pt; PADDING-RIGHT: 2.85pt; BORDER-TOP: #ece9d8; BORDER-RIGHT: #ece9d8; PADDING-TOP: 1.4pt" valign="top" width="94%" colspan="2">
<p><span>ЛК «Узмелиомашлизинг»</span></p></td></tr>
<tr>
<td style="BORDER-BOTTOM: #ece9d8; BORDER-LEFT: #ece9d8; PADDING-BOTTOM: 1.4pt; PADDING-LEFT: 2.85pt; PADDING-RIGHT: 2.85pt; BORDER-TOP: #ece9d8; BORDER-RIGHT: #ece9d8; PADDING-TOP: 1.4pt" valign="top" width="5%">
<p align="center"><span>28.</span></p></td>
<td style="BORDER-BOTTOM: #ece9d8; BORDER-LEFT: #ece9d8; PADDING-BOTTOM: 1.4pt; PADDING-LEFT: 2.85pt; PADDING-RIGHT: 2.85pt; BORDER-TOP: #ece9d8; BORDER-RIGHT: #ece9d8; PADDING-TOP: 1.4pt" valign="top" width="94%" colspan="2">
<p><span>Совет фермеров Узбекистана</span></p></td></tr>
<tr>
<td style="BORDER-BOTTOM: #ece9d8; BORDER-LEFT: #ece9d8; PADDING-BOTTOM: 1.4pt; PADDING-LEFT: 2.85pt; PADDING-RIGHT: 2.85pt; BORDER-TOP: #ece9d8; BORDER-RIGHT: #ece9d8; PADDING-TOP: 1.4pt" valign="top" width="5%">
<p align="center"><span>29.</span></p></td>
<td style="BORDER-BOTTOM: #ece9d8; BORDER-LEFT: #ece9d8; PADDING-BOTTOM: 1.4pt; PADDING-LEFT: 2.85pt; PADDING-RIGHT: 2.85pt; BORDER-TOP: #ece9d8; BORDER-RIGHT: #ece9d8; PADDING-TOP: 1.4pt" valign="top" width="94%" colspan="2">
<p><span>АКБ «Агробанк»</span></p></td></tr>
<tr>
<td style="BORDER-BOTTOM: #ece9d8; BORDER-LEFT: #ece9d8; PADDING-BOTTOM: 1.4pt; PADDING-LEFT: 2.85pt; PADDING-RIGHT: 2.85pt; BORDER-TOP: #ece9d8; BORDER-RIGHT: #ece9d8; PADDING-TOP: 1.4pt" valign="top" width="5%">
<p align="center"><span>30.</span></p></td>
<td style="BORDER-BOTTOM: #ece9d8; BORDER-LEFT: #ece9d8; PADDING-BOTTOM: 1.4pt; PADDING-LEFT: 2.85pt; PADDING-RIGHT: 2.85pt; BORDER-TOP: #ece9d8; BORDER-RIGHT: #ece9d8; PADDING-TOP: 1.4pt" valign="top" width="94%" colspan="2">
<p><span>Узбекохотрыболовсоюз</span></p></td></tr>
<tr>
<td style="BORDER-BOTTOM: #ece9d8; BORDER-LEFT: #ece9d8; PADDING-BOTTOM: 1.4pt; PADDING-LEFT: 2.85pt; PADDING-RIGHT: 2.85pt; BORDER-TOP: #ece9d8; BORDER-RIGHT: #ece9d8; PADDING-TOP: 1.4pt" valign="top" width="5%">
<p align="center"><span>31.</span></p></td>
<td style="BORDER-BOTTOM: #ece9d8; BORDER-LEFT: #ece9d8; PADDING-BOTTOM: 1.4pt; PADDING-LEFT: 2.85pt; PADDING-RIGHT: 2.85pt; BORDER-TOP: #ece9d8; BORDER-RIGHT: #ece9d8; PADDING-TOP: 1.4pt" valign="top" width="94%" colspan="2">
<p><span>Узбекское республиканское общество глухих</span></p></td></tr>
<tr>
<td style="BORDER-BOTTOM: #ece9d8; BORDER-LEFT: #ece9d8; PADDING-BOTTOM: 1.4pt; PADDING-LEFT: 2.85pt; PADDING-RIGHT: 2.85pt; BORDER-TOP: #ece9d8; BORDER-RIGHT: #ece9d8; PADDING-TOP: 1.4pt" valign="top" width="5%">
<p align="center"><span>32.</span></p></td>
<td style="BORDER-BOTTOM: #ece9d8; BORDER-LEFT: #ece9d8; PADDING-BOTTOM: 1.4pt; PADDING-LEFT: 2.85pt; PADDING-RIGHT: 2.85pt; BORDER-TOP: #ece9d8; BORDER-RIGHT: #ece9d8; PADDING-TOP: 1.4pt" valign="top" width="94%" colspan="2">
<p><span>Узбекское республиканское общество слепых</span></p></td></tr>
<tr>
<td style="BORDER-BOTTOM: #ece9d8; BORDER-LEFT: #ece9d8; PADDING-BOTTOM: 1.4pt; PADDING-LEFT: 2.85pt; PADDING-RIGHT: 2.85pt; BORDER-TOP: #ece9d8; BORDER-RIGHT: #ece9d8; PADDING-TOP: 1.4pt" valign="top" width="5%">
<p align="center"><span>33.</span></p></td>
<td style="BORDER-BOTTOM: #ece9d8; BORDER-LEFT: #ece9d8; PADDING-BOTTOM: 1.4pt; PADDING-LEFT: 2.85pt; PADDING-RIGHT: 2.85pt; BORDER-TOP: #ece9d8; BORDER-RIGHT: #ece9d8; PADDING-TOP: 1.4pt" valign="top" width="94%" colspan="2">
<p><span>Оптовые рынки, ярмарки, выставки товаров народного потребления</span></p></td></tr>
<tr>
<td style="BORDER-BOTTOM: #ece9d8; BORDER-LEFT: #ece9d8; PADDING-BOTTOM: 1.4pt; PADDING-LEFT: 2.85pt; PADDING-RIGHT: 2.85pt; BORDER-TOP: #ece9d8; BORDER-RIGHT: #ece9d8; PADDING-TOP: 1.4pt" valign="top" width="5%">
<p align="center"><span>34.</span></p></td>
<td style="BORDER-BOTTOM: #ece9d8; BORDER-LEFT: #ece9d8; PADDING-BOTTOM: 1.4pt; PADDING-LEFT: 2.85pt; PADDING-RIGHT: 2.85pt; BORDER-TOP: #ece9d8; BORDER-RIGHT: #ece9d8; PADDING-TOP: 1.4pt" valign="top" width="94%" colspan="2">
<p><span>Совет Министров Республики Каракалпакстан, хокимияты областей и районов — в части вопросов, входящих в компетенцию Комплекса</span></p></td></tr></tbody></table></div></div><div class="COMMENT"><label id="s3935"></label><div name="edi3234158" id="edi3234158">См. <a href="/ru/docs/3233862?ONDATE=22.11.2017 00#edi3447001">последующую</a> редакцию.</div></div><div class="COMMENT"><label id="s3935"></label><div name="edi3234158" id="edi3234158">См. <a href="/ru/docs/3233862?ONDATE=03.03.2018 00#edi3580212">последующую</a> редакцию.</div></div><div class="BY_DEFAULT lx_elem" style="color:#808080;" onmousemove="lx_mo(event,3234159)"><div class="lx_elem2"><div class="lx_elem3"><span onclick="lx_sf(3234159)"><img src="/img/cmt.svg" />Предложения по документу</span><span onclick="lx_pa(3234159)"><img src="/img/vlm.svg" />Прослушать аудио</span><span onclick="lx_cl(3234159)"><img src="/img/lnk.svg" />Получить ссылку из элемента документа</span></div></div><div name="3234159" id="3234159"></div></div><div class="APPL_BANNER_LANDSCAPE_TITLE lx_elem" style="color:#808080;" onmousemove="lx_mo(event,3234160)"><div class="lx_elem2"><div class="lx_elem3"><span onclick="lx_sf(3234160)"><img src="/img/cmt.svg" />Предложения по документу</span><span onclick="lx_pa(3234160)"><img src="/img/vlm.svg" />Прослушать аудио</span><span onclick="lx_cl(3234160)"><img src="/img/lnk.svg" />Получить ссылку из элемента документа</span></div></div><div name="3234160" id="3234160">ПРИЛОЖЕНИЕ № 13<br />к <a href="/ru/docs/3233862">постановлению</a> Президента Республики Узбекистан от 12 июня 2017 года № ПП-3051 </div></div><div class="ACT_FORM lx_elem" style="color:#808080;" onmousemove="lx_mo(event,3234161)"><div class="lx_elem2"><div class="lx_elem3"><span onclick="lx_sf(3234161)"><img src="/img/cmt.svg" />Предложения по документу</span><span onclick="lx_pa(3234161)"><img src="/img/vlm.svg" />Прослушать аудио</span><span onclick="lx_cl(3234161)"><img src="/img/lnk.svg" />Получить ссылку из элемента документа</span></div></div><div name="3234161" id="3234161">СТРУКТУРА</div></div><div class="ACT_TITLE_APPL lx_elem" style="color:#808080;" onmousemove="lx_mo(event,3234162)"><div class="lx_elem2"><div class="lx_elem3"><span onclick="lx_sf(3234162)"><img src="/img/cmt.svg" />Предложения по документу</span><span onclick="lx_pa(3234162)"><img src="/img/vlm.svg" />Прослушать аудио</span><span onclick="lx_cl(3234162)"><img src="/img/lnk.svg" />Получить ссылку из элемента документа</span></div></div><div name="3234162" id="3234162">Информационно-аналитического департамента по вопросам геологии, топливно-энергетического комплекса, химической, нефтехимической и металлургической промышленности</div></div><div class="BY_DEFAULT lx_elem" style="color:#808080;" onmousemove="lx_mo(event,3234163)"><div class="lx_elem2"><div class="lx_elem3"><span onclick="lx_sf(3234163)"><img src="/img/cmt.svg" />Предложения по документу</span><span onclick="lx_pa(3234163)"><img src="/img/vlm.svg" />Прослушать аудио</span><span onclick="lx_cl(3234163)"><img src="/img/lnk.svg" />Получить ссылку из элемента документа</span></div></div><div name="3234163" id="3234163"></div></div><div class="BY_DEFAULT lx_elem" style="color:#808080;" onmousemove="lx_mo(event,3234164)"><div class="lx_elem2"><div class="lx_elem3"><span onclick="lx_sf(3234164)"><img src="/img/cmt.svg" />Предложения по документу</span><span onclick="lx_pa(3234164)"><img src="/img/vlm.svg" />Прослушать аудио</span><span onclick="lx_cl(3234164)"><img src="/img/lnk.svg" />Получить ссылку из элемента документа</span></div></div><div name="3234164" id="3234164"><table style="BORDER-COLLAPSE: collapse; BACKGROUND: white" border="0" cellspacing="0" cellpadding="0" width="100%">
<tbody>
<tr>
<td style="BORDER-BOTTOM: #ece9d8; BORDER-LEFT: #ece9d8; PADDING-BOTTOM: 1.4pt; PADDING-LEFT: 2.85pt; PADDING-RIGHT: 2.85pt; BORDER-TOP: #ece9d8; BORDER-RIGHT: #ece9d8; PADDING-TOP: 1.4pt" valign="top" width="92%" colspan="2">
<p><b><span>Заведующий департаментом</span></b></p></td>
<td style="BORDER-BOTTOM: #ece9d8; BORDER-LEFT: #ece9d8; PADDING-BOTTOM: 1.4pt; PADDING-LEFT: 2.85pt; PADDING-RIGHT: 2.85pt; BORDER-TOP: #ece9d8; BORDER-RIGHT: #ece9d8; PADDING-TOP: 1.4pt" valign="top" width="7%">
<p align="center"><span>1</span></p></td>
<td style="BORDER-BOTTOM: #ece9d8; BORDER-LEFT: #ece9d8; BORDER-TOP: #ece9d8; BORDER-RIGHT: #ece9d8" width="0">
<p></p></td></tr>
<tr>
<td style="BORDER-BOTTOM: #ece9d8; BORDER-LEFT: #ece9d8; PADDING-BOTTOM: 1.4pt; PADDING-LEFT: 2.85pt; PADDING-RIGHT: 2.85pt; BORDER-TOP: #ece9d8; BORDER-RIGHT: #ece9d8; PADDING-TOP: 1.4pt" valign="top" width="92%" colspan="2">
<p><span>Сектор по поиску и добыче минерального сырья и углеводородов</span></p></td>
<td style="BORDER-BOTTOM: #ece9d8; BORDER-LEFT: #ece9d8; PADDING-BOTTOM: 1.4pt; PADDING-LEFT: 2.85pt; PADDING-RIGHT: 2.85pt; BORDER-TOP: #ece9d8; BORDER-RIGHT: #ece9d8; PADDING-TOP: 1.4pt" valign="top" width="7%">
<p align="center"></p></td>
<td style="BORDER-BOTTOM: #ece9d8; BORDER-LEFT: #ece9d8; BORDER-TOP: #ece9d8; BORDER-RIGHT: #ece9d8" width="0">
<p></p></td></tr>
<tr>
<td style="BORDER-BOTTOM: #ece9d8; BORDER-LEFT: #ece9d8; PADDING-BOTTOM: 1.4pt; PADDING-LEFT: 2.85pt; PADDING-RIGHT: 2.85pt; BORDER-TOP: #ece9d8; BORDER-RIGHT: #ece9d8; PADDING-TOP: 1.4pt" valign="top" width="92%" colspan="2">
<p><span>Заведующий сектором</span></p></td>
<td style="BORDER-BOTTOM: #ece9d8; BORDER-LEFT: #ece9d8; PADDING-BOTTOM: 1.4pt; PADDING-LEFT: 2.85pt; PADDING-RIGHT: 2.85pt; BORDER-TOP: #ece9d8; BORDER-RIGHT: #ece9d8; PADDING-TOP: 1.4pt" valign="top" width="7%">
<p align="center"><span>1</span></p></td>
<td style="BORDER-BOTTOM: #ece9d8; BORDER-LEFT: #ece9d8; BORDER-TOP: #ece9d8; BORDER-RIGHT: #ece9d8" width="0">
<p></p></td></tr>
<tr>
<td style="BORDER-BOTTOM: #ece9d8; BORDER-LEFT: #ece9d8; PADDING-BOTTOM: 1.4pt; PADDING-LEFT: 2.85pt; PADDING-RIGHT: 2.85pt; BORDER-TOP: #ece9d8; BORDER-RIGHT: #ece9d8; PADDING-TOP: 1.4pt" valign="top" width="92%" colspan="2">
<p><span>Главный специалист по вопросам геологии</span></p></td>
<td style="BORDER-BOTTOM: #ece9d8; BORDER-LEFT: #ece9d8; PADDING-BOTTOM: 1.4pt; PADDING-LEFT: 2.85pt; PADDING-RIGHT: 2.85pt; BORDER-TOP: #ece9d8; BORDER-RIGHT: #ece9d8; PADDING-TOP: 1.4pt" valign="top" width="7%">
<p align="center"><span>1</span></p></td>
<td style="BORDER-BOTTOM: #ece9d8; BORDER-LEFT: #ece9d8; BORDER-TOP: #ece9d8; BORDER-RIGHT: #ece9d8" width="0">
<p></p></td></tr>
<tr>
<td style="BORDER-BOTTOM: #ece9d8; BORDER-LEFT: #ece9d8; PADDING-BOTTOM: 1.4pt; PADDING-LEFT: 2.85pt; PADDING-RIGHT: 2.85pt; BORDER-TOP: #ece9d8; BORDER-RIGHT: #ece9d8; PADDING-TOP: 1.4pt" valign="top" width="92%" colspan="2">
<p><span>Главный специалист по вопросам уранового сырья</span></p></td>
<td style="BORDER-BOTTOM: #ece9d8; BORDER-LEFT: #ece9d8; PADDING-BOTTOM: 1.4pt; PADDING-LEFT: 2.85pt; PADDING-RIGHT: 2.85pt; BORDER-TOP: #ece9d8; BORDER-RIGHT: #ece9d8; PADDING-TOP: 1.4pt" valign="top" width="7%">
<p align="center"><span>1</span></p></td>
<td style="BORDER-BOTTOM: #ece9d8; BORDER-LEFT: #ece9d8; BORDER-TOP: #ece9d8; BORDER-RIGHT: #ece9d8" width="0">
<p></p></td></tr>
<tr>
<td style="BORDER-BOTTOM: #ece9d8; BORDER-LEFT: #ece9d8; PADDING-BOTTOM: 1.4pt; PADDING-LEFT: 2.85pt; PADDING-RIGHT: 2.85pt; BORDER-TOP: #ece9d8; BORDER-RIGHT: #ece9d8; PADDING-TOP: 1.4pt" valign="top" width="92%" colspan="2">
<p><span>Сектор металлургии и драгоценных металлов</span></p></td>
<td style="BORDER-BOTTOM: #ece9d8; BORDER-LEFT: #ece9d8; PADDING-BOTTOM: 1.4pt; PADDING-LEFT: 2.85pt; PADDING-RIGHT: 2.85pt; BORDER-TOP: #ece9d8; BORDER-RIGHT: #ece9d8; PADDING-TOP: 1.4pt" valign="top" width="7%">
<p align="center"></p></td>
<td style="BORDER-BOTTOM: #ece9d8; BORDER-LEFT: #ece9d8; BORDER-TOP: #ece9d8; BORDER-RIGHT: #ece9d8" width="0">
<p></p></td></tr>
<tr>
<td style="BORDER-BOTTOM: #ece9d8; BORDER-LEFT: #ece9d8; PADDING-BOTTOM: 1.4pt; PADDING-LEFT: 2.85pt; PADDING-RIGHT: 2.85pt; BORDER-TOP: #ece9d8; BORDER-RIGHT: #ece9d8; PADDING-TOP: 1.4pt" valign="top" width="92%" colspan="2">
<p><span>Заведующий сектором</span></p></td>
<td style="BORDER-BOTTOM: #ece9d8; BORDER-LEFT: #ece9d8; PADDING-BOTTOM: 1.4pt; PADDING-LEFT: 2.85pt; PADDING-RIGHT: 2.85pt; BORDER-TOP: #ece9d8; BORDER-RIGHT: #ece9d8; PADDING-TOP: 1.4pt" valign="top" width="7%">
<p align="center"><span>1</span></p></td>
<td style="BORDER-BOTTOM: #ece9d8; BORDER-LEFT: #ece9d8; BORDER-TOP: #ece9d8; BORDER-RIGHT: #ece9d8" width="0">
<p></p></td></tr>
<tr>
<td style="BORDER-BOTTOM: #ece9d8; BORDER-LEFT: #ece9d8; PADDING-BOTTOM: 1.4pt; PADDING-LEFT: 2.85pt; PADDING-RIGHT: 2.85pt; BORDER-TOP: #ece9d8; BORDER-RIGHT: #ece9d8; PADDING-TOP: 1.4pt" valign="top" width="92%" colspan="2">
<p><span>Главный специалист</span></p></td>
<td style="BORDER-BOTTOM: #ece9d8; BORDER-LEFT: #ece9d8; PADDING-BOTTOM: 1.4pt; PADDING-LEFT: 2.85pt; PADDING-RIGHT: 2.85pt; BORDER-TOP: #ece9d8; BORDER-RIGHT: #ece9d8; PADDING-TOP: 1.4pt" valign="top" width="7%">
<p align="center"><span>2</span></p></td>
<td style="BORDER-BOTTOM: #ece9d8; BORDER-LEFT: #ece9d8; BORDER-TOP: #ece9d8; BORDER-RIGHT: #ece9d8" width="0">
<p></p></td></tr>
<tr>
<td style="BORDER-BOTTOM: #ece9d8; BORDER-LEFT: #ece9d8; PADDING-BOTTOM: 1.4pt; PADDING-LEFT: 2.85pt; PADDING-RIGHT: 2.85pt; BORDER-TOP: #ece9d8; BORDER-RIGHT: #ece9d8; PADDING-TOP: 1.4pt" valign="top" width="92%" colspan="2">
<p><span>Ведущий специалист</span></p></td>
<td style="BORDER-BOTTOM: #ece9d8; BORDER-LEFT: #ece9d8; PADDING-BOTTOM: 1.4pt; PADDING-LEFT: 2.85pt; PADDING-RIGHT: 2.85pt; BORDER-TOP: #ece9d8; BORDER-RIGHT: #ece9d8; PADDING-TOP: 1.4pt" valign="top" width="7%">
<p align="center"><span>2</span></p></td>
<td style="BORDER-BOTTOM: #ece9d8; BORDER-LEFT: #ece9d8; BORDER-TOP: #ece9d8; BORDER-RIGHT: #ece9d8" width="0">
<p></p></td></tr>
<tr>
<td style="BORDER-BOTTOM: #ece9d8; BORDER-LEFT: #ece9d8; PADDING-BOTTOM: 1.4pt; PADDING-LEFT: 2.85pt; PADDING-RIGHT: 2.85pt; BORDER-TOP: #ece9d8; BORDER-RIGHT: #ece9d8; PADDING-TOP: 1.4pt" valign="top" width="92%" colspan="2">
<p><span>Сектор по развитию топливно-энергетического комплекса</span></p></td>
<td style="BORDER-BOTTOM: #ece9d8; BORDER-LEFT: #ece9d8; PADDING-BOTTOM: 1.4pt; PADDING-LEFT: 2.85pt; PADDING-RIGHT: 2.85pt; BORDER-TOP: #ece9d8; BORDER-RIGHT: #ece9d8; PADDING-TOP: 1.4pt" valign="top" width="7%">
<p align="center"></p></td>
<td style="BORDER-BOTTOM: #ece9d8; BORDER-LEFT: #ece9d8; BORDER-TOP: #ece9d8; BORDER-RIGHT: #ece9d8" width="0">
<p></p></td></tr>
<tr>
<td style="BORDER-BOTTOM: #ece9d8; BORDER-LEFT: #ece9d8; PADDING-BOTTOM: 1.4pt; PADDING-LEFT: 2.85pt; PADDING-RIGHT: 2.85pt; BORDER-TOP: #ece9d8; BORDER-RIGHT: #ece9d8; PADDING-TOP: 1.4pt" valign="top" width="92%" colspan="2">
<p><span>Заведующий сектором</span></p></td>
<td style="BORDER-BOTTOM: #ece9d8; BORDER-LEFT: #ece9d8; PADDING-BOTTOM: 1.4pt; PADDING-LEFT: 2.85pt; PADDING-RIGHT: 2.85pt; BORDER-TOP: #ece9d8; BORDER-RIGHT: #ece9d8; PADDING-TOP: 1.4pt" valign="top" width="7%">
<p align="center"><span>1</span></p></td>
<td style="BORDER-BOTTOM: #ece9d8; BORDER-LEFT: #ece9d8; BORDER-TOP: #ece9d8; BORDER-RIGHT: #ece9d8" width="0">
<p></p></td></tr>
<tr>
<td style="BORDER-BOTTOM: #ece9d8; BORDER-LEFT: #ece9d8; PADDING-BOTTOM: 1.4pt; PADDING-LEFT: 2.85pt; PADDING-RIGHT: 2.85pt; BORDER-TOP: #ece9d8; BORDER-RIGHT: #ece9d8; PADDING-TOP: 1.4pt" valign="top" width="92%" colspan="2">
<p><span>Главный специалист по вопросам нефтегазовой отрасли</span></p></td>
<td style="BORDER-BOTTOM: #ece9d8; BORDER-LEFT: #ece9d8; PADDING-BOTTOM: 1.4pt; PADDING-LEFT: 2.85pt; PADDING-RIGHT: 2.85pt; BORDER-TOP: #ece9d8; BORDER-RIGHT: #ece9d8; PADDING-TOP: 1.4pt" valign="top" width="7%">
<p align="center"><span>1</span></p></td>
<td style="BORDER-BOTTOM: #ece9d8; BORDER-LEFT: #ece9d8; BORDER-TOP: #ece9d8; BORDER-RIGHT: #ece9d8" width="0">
<p></p></td></tr>
<tr>
<td style="BORDER-BOTTOM: #ece9d8; BORDER-LEFT: #ece9d8; PADDING-BOTTOM: 1.4pt; PADDING-LEFT: 2.85pt; PADDING-RIGHT: 2.85pt; BORDER-TOP: #ece9d8; BORDER-RIGHT: #ece9d8; PADDING-TOP: 1.4pt" valign="top" width="92%" colspan="2">
<p><span>Ведущий специалист</span></p></td>
<td style="BORDER-BOTTOM: #ece9d8; BORDER-LEFT: #ece9d8; PADDING-BOTTOM: 1.4pt; PADDING-LEFT: 2.85pt; PADDING-RIGHT: 2.85pt; BORDER-TOP: #ece9d8; BORDER-RIGHT: #ece9d8; PADDING-TOP: 1.4pt" valign="top" width="7%">
<p align="center"></p></td>
<td style="BORDER-BOTTOM: #ece9d8; BORDER-LEFT: #ece9d8; BORDER-TOP: #ece9d8; BORDER-RIGHT: #ece9d8" width="0">
<p></p></td></tr>
<tr>
<td style="BORDER-BOTTOM: #ece9d8; BORDER-LEFT: #ece9d8; PADDING-BOTTOM: 1.4pt; PADDING-LEFT: 2.85pt; PADDING-RIGHT: 2.85pt; BORDER-TOP: #ece9d8; BORDER-RIGHT: #ece9d8; PADDING-TOP: 1.4pt" valign="top" width="92%" colspan="2">
<p><span>Главный специалист по вопросам энергетики</span></p></td>
<td style="BORDER-BOTTOM: #ece9d8; BORDER-LEFT: #ece9d8; PADDING-BOTTOM: 1.4pt; PADDING-LEFT: 2.85pt; PADDING-RIGHT: 2.85pt; BORDER-TOP: #ece9d8; BORDER-RIGHT: #ece9d8; PADDING-TOP: 1.4pt" valign="top" width="7%">
<p align="center"><span>1</span></p></td>
<td style="BORDER-BOTTOM: #ece9d8; BORDER-LEFT: #ece9d8; BORDER-TOP: #ece9d8; BORDER-RIGHT: #ece9d8" width="0">
<p></p></td></tr>
<tr>
<td style="BORDER-BOTTOM: #ece9d8; BORDER-LEFT: #ece9d8; PADDING-BOTTOM: 1.4pt; PADDING-LEFT: 2.85pt; PADDING-RIGHT: 2.85pt; BORDER-TOP: #ece9d8; BORDER-RIGHT: #ece9d8; PADDING-TOP: 1.4pt" valign="top" width="92%" colspan="2">
<p><span>Ведущий специалист</span></p></td>
<td style="BORDER-BOTTOM: #ece9d8; BORDER-LEFT: #ece9d8; PADDING-BOTTOM: 1.4pt; PADDING-LEFT: 2.85pt; PADDING-RIGHT: 2.85pt; BORDER-TOP: #ece9d8; BORDER-RIGHT: #ece9d8; PADDING-TOP: 1.4pt" valign="top" width="7%">
<p align="center"><span>1</span></p></td>
<td style="BORDER-BOTTOM: #ece9d8; BORDER-LEFT: #ece9d8; BORDER-TOP: #ece9d8; BORDER-RIGHT: #ece9d8" width="0">
<p></p></td></tr>
<tr>
<td style="BORDER-BOTTOM: #ece9d8; BORDER-LEFT: #ece9d8; PADDING-BOTTOM: 1.4pt; PADDING-LEFT: 2.85pt; PADDING-RIGHT: 2.85pt; BORDER-TOP: #ece9d8; BORDER-RIGHT: #ece9d8; PADDING-TOP: 1.4pt" valign="top" width="92%" colspan="2">
<p><span>Главный специалист по вопросам угольной промышленности</span></p></td>
<td style="BORDER-BOTTOM: #ece9d8; BORDER-LEFT: #ece9d8; PADDING-BOTTOM: 1.4pt; PADDING-LEFT: 2.85pt; PADDING-RIGHT: 2.85pt; BORDER-TOP: #ece9d8; BORDER-RIGHT: #ece9d8; PADDING-TOP: 1.4pt" valign="top" width="7%">
<p align="center"><span>1</span></p></td>
<td style="BORDER-BOTTOM: #ece9d8; BORDER-LEFT: #ece9d8; BORDER-TOP: #ece9d8; BORDER-RIGHT: #ece9d8" width="0">
<p></p></td></tr>
<tr>
<td style="BORDER-BOTTOM: #ece9d8; BORDER-LEFT: #ece9d8; PADDING-BOTTOM: 1.4pt; PADDING-LEFT: 2.85pt; PADDING-RIGHT: 2.85pt; BORDER-TOP: #ece9d8; BORDER-RIGHT: #ece9d8; PADDING-TOP: 1.4pt" valign="top" width="92%" colspan="2">
<p><span>Сектор химической и нефтехимической промышленности</span></p></td>
<td style="BORDER-BOTTOM: #ece9d8; BORDER-LEFT: #ece9d8; PADDING-BOTTOM: 1.4pt; PADDING-LEFT: 2.85pt; PADDING-RIGHT: 2.85pt; BORDER-TOP: #ece9d8; BORDER-RIGHT: #ece9d8; PADDING-TOP: 1.4pt" valign="top" width="7%">
<p align="center"></p></td>
<td style="BORDER-BOTTOM: #ece9d8; BORDER-LEFT: #ece9d8; BORDER-TOP: #ece9d8; BORDER-RIGHT: #ece9d8" width="0">
<p></p></td></tr>
<tr>
<td style="BORDER-BOTTOM: #ece9d8; BORDER-LEFT: #ece9d8; PADDING-BOTTOM: 1.4pt; PADDING-LEFT: 2.85pt; PADDING-RIGHT: 2.85pt; BORDER-TOP: #ece9d8; BORDER-RIGHT: #ece9d8; PADDING-TOP: 1.4pt" valign="top" width="92%" colspan="2">
<p><span>Заведующий сектором</span></p></td>
<td style="BORDER-BOTTOM: #ece9d8; BORDER-LEFT: #ece9d8; PADDING-BOTTOM: 1.4pt; PADDING-LEFT: 2.85pt; PADDING-RIGHT: 2.85pt; BORDER-TOP: #ece9d8; BORDER-RIGHT: #ece9d8; PADDING-TOP: 1.4pt" valign="top" width="7%">
<p align="center"><span>1</span></p></td>
<td style="BORDER-BOTTOM: #ece9d8; BORDER-LEFT: #ece9d8; BORDER-TOP: #ece9d8; BORDER-RIGHT: #ece9d8" width="0">
<p></p></td></tr>
<tr>
<td style="BORDER-BOTTOM: #ece9d8; BORDER-LEFT: #ece9d8; PADDING-BOTTOM: 1.4pt; PADDING-LEFT: 2.85pt; PADDING-RIGHT: 2.85pt; BORDER-TOP: #ece9d8; BORDER-RIGHT: #ece9d8; PADDING-TOP: 1.4pt" valign="top" width="92%" colspan="2">
<p><span>Главный специалист по вопросам химической промышленности</span></p></td>
<td style="BORDER-BOTTOM: #ece9d8; BORDER-LEFT: #ece9d8; PADDING-BOTTOM: 1.4pt; PADDING-LEFT: 2.85pt; PADDING-RIGHT: 2.85pt; BORDER-TOP: #ece9d8; BORDER-RIGHT: #ece9d8; PADDING-TOP: 1.4pt" valign="top" width="7%">
<p align="center"><span>1</span></p></td>
<td style="BORDER-BOTTOM: #ece9d8; BORDER-LEFT: #ece9d8; BORDER-TOP: #ece9d8; BORDER-RIGHT: #ece9d8" width="0">
<p></p></td></tr>
<tr>
<td style="BORDER-BOTTOM: #ece9d8; BORDER-LEFT: #ece9d8; PADDING-BOTTOM: 1.4pt; PADDING-LEFT: 2.85pt; PADDING-RIGHT: 2.85pt; BORDER-TOP: #ece9d8; BORDER-RIGHT: #ece9d8; PADDING-TOP: 1.4pt" valign="top" width="92%" colspan="2">
<p><span>Ведущий специалист</span></p></td>
<td style="BORDER-BOTTOM: #ece9d8; BORDER-LEFT: #ece9d8; PADDING-BOTTOM: 1.4pt; PADDING-LEFT: 2.85pt; PADDING-RIGHT: 2.85pt; BORDER-TOP: #ece9d8; BORDER-RIGHT: #ece9d8; PADDING-TOP: 1.4pt" valign="top" width="7%">
<p align="center"><span>1</span></p></td>
<td style="BORDER-BOTTOM: #ece9d8; BORDER-LEFT: #ece9d8; BORDER-TOP: #ece9d8; BORDER-RIGHT: #ece9d8" width="0">
<p></p></td></tr>
<tr>
<td style="BORDER-BOTTOM: #ece9d8; BORDER-LEFT: #ece9d8; PADDING-BOTTOM: 1.4pt; PADDING-LEFT: 2.85pt; PADDING-RIGHT: 2.85pt; BORDER-TOP: #ece9d8; BORDER-RIGHT: #ece9d8; PADDING-TOP: 1.4pt" valign="top" width="92%" colspan="2">
<p><span>Главный специалист по вопросам нефтехимической промышленности</span></p></td>
<td style="BORDER-BOTTOM: #ece9d8; BORDER-LEFT: #ece9d8; PADDING-BOTTOM: 1.4pt; PADDING-LEFT: 2.85pt; PADDING-RIGHT: 2.85pt; BORDER-TOP: #ece9d8; BORDER-RIGHT: #ece9d8; PADDING-TOP: 1.4pt" valign="top" width="7%">
<p align="center"><span>1</span></p></td>
<td style="BORDER-BOTTOM: #ece9d8; BORDER-LEFT: #ece9d8; BORDER-TOP: #ece9d8; BORDER-RIGHT: #ece9d8" width="0">
<p></p></td></tr>
<tr>
<td style="BORDER-BOTTOM: #ece9d8; BORDER-LEFT: #ece9d8; PADDING-BOTTOM: 1.4pt; PADDING-LEFT: 2.85pt; PADDING-RIGHT: 2.85pt; BORDER-TOP: #ece9d8; BORDER-RIGHT: #ece9d8; PADDING-TOP: 1.4pt" valign="top" width="92%" colspan="2">
<p><span>Ведущий специалист</span></p></td>
<td style="BORDER-BOTTOM: #ece9d8; BORDER-LEFT: #ece9d8; PADDING-BOTTOM: 1.4pt; PADDING-LEFT: 2.85pt; PADDING-RIGHT: 2.85pt; BORDER-TOP: #ece9d8; BORDER-RIGHT: #ece9d8; PADDING-TOP: 1.4pt" valign="top" width="7%">
<p align="center"><span>1</span></p></td>
<td style="BORDER-BOTTOM: #ece9d8; BORDER-LEFT: #ece9d8; BORDER-TOP: #ece9d8; BORDER-RIGHT: #ece9d8" width="0">
<p></p></td></tr>
<tr>
<td style="BORDER-BOTTOM: #ece9d8; BORDER-LEFT: #ece9d8; PADDING-BOTTOM: 1.4pt; PADDING-LEFT: 2.85pt; PADDING-RIGHT: 2.85pt; BORDER-TOP: #ece9d8; BORDER-RIGHT: #ece9d8; PADDING-TOP: 1.4pt" valign="top" width="92%" colspan="2">
<p><span>Инспектор</span></p></td>
<td style="BORDER-BOTTOM: #ece9d8; BORDER-LEFT: #ece9d8; PADDING-BOTTOM: 1.4pt; PADDING-LEFT: 2.85pt; PADDING-RIGHT: 2.85pt; BORDER-TOP: #ece9d8; BORDER-RIGHT: #ece9d8; PADDING-TOP: 1.4pt" valign="top" width="7%">
<p align="center"><span>1</span></p></td>
<td style="BORDER-BOTTOM: #ece9d8; BORDER-LEFT: #ece9d8; BORDER-TOP: #ece9d8; BORDER-RIGHT: #ece9d8" width="0">
<p></p></td></tr>
<tr>
<td style="BORDER-BOTTOM: #ece9d8; BORDER-LEFT: #ece9d8; PADDING-BOTTOM: 1.4pt; PADDING-LEFT: 2.85pt; PADDING-RIGHT: 2.85pt; BORDER-TOP: #ece9d8; BORDER-RIGHT: #ece9d8; PADDING-TOP: 1.4pt" valign="top" width="92%" colspan="2">
<p align="center"><b><span>Всего:</span></b></p></td>
<td style="BORDER-BOTTOM: #ece9d8; BORDER-LEFT: #ece9d8; PADDING-BOTTOM: 1.4pt; PADDING-LEFT: 2.85pt; PADDING-RIGHT: 2.85pt; BORDER-TOP: #ece9d8; BORDER-RIGHT: #ece9d8; PADDING-TOP: 1.4pt" valign="top" width="7%">
<p align="center"><b><span>22</span></b></p></td>
<td style="BORDER-BOTTOM: #ece9d8; BORDER-LEFT: #ece9d8; BORDER-TOP: #ece9d8; BORDER-RIGHT: #ece9d8" width="0">
<p></p></td></tr>
<tr style="HEIGHT: 14.25pt">
<td style="BORDER-BOTTOM: #ece9d8; BORDER-LEFT: #ece9d8; PADDING-BOTTOM: 1.4pt; PADDING-LEFT: 2.85pt; PADDING-RIGHT: 2.85pt; HEIGHT: 14.25pt; BORDER-TOP: #ece9d8; BORDER-RIGHT: #ece9d8; PADDING-TOP: 1.4pt" valign="top" rowspan="2" width="100%" colspan="3">
<p align="center"><b><br /></b></p>
<p align="center"><b><span>КУРИРУЕМЫЕ<br />ведомства, хозяйственные объединения и другие организации</span></b></p></td></tr>
<tr>
<td style="BORDER-BOTTOM: #ece9d8; BORDER-LEFT: #ece9d8; PADDING-BOTTOM: 1.4pt; PADDING-LEFT: 2.85pt; PADDING-RIGHT: 2.85pt; BORDER-TOP: #ece9d8; BORDER-RIGHT: #ece9d8; PADDING-TOP: 1.4pt" valign="top" width="100%" colspan="3">
<p></p></td>
<td style="BORDER-BOTTOM: #ece9d8; BORDER-LEFT: #ece9d8; BORDER-TOP: #ece9d8; BORDER-RIGHT: #ece9d8" width="0">
<p></p></td></tr>
<tr>
<td style="BORDER-BOTTOM: #ece9d8; BORDER-LEFT: #ece9d8; PADDING-BOTTOM: 1.4pt; PADDING-LEFT: 2.85pt; PADDING-RIGHT: 2.85pt; BORDER-TOP: #ece9d8; BORDER-RIGHT: #ece9d8; PADDING-TOP: 1.4pt" valign="top" width="5%">
<p align="center"><span>1.</span></p></td>
<td style="BORDER-BOTTOM: #ece9d8; BORDER-LEFT: #ece9d8; PADDING-BOTTOM: 1.4pt; PADDING-LEFT: 2.85pt; PADDING-RIGHT: 2.85pt; BORDER-TOP: #ece9d8; BORDER-RIGHT: #ece9d8; PADDING-TOP: 1.4pt" valign="top" width="94%" colspan="2">
<p><span>Государственный комитет Республики Узбекистан по геологии и минеральным ресурсам (Госкомгеологии)</span></p></td>
<td style="BORDER-BOTTOM: #ece9d8; BORDER-LEFT: #ece9d8; BORDER-TOP: #ece9d8; BORDER-RIGHT: #ece9d8" width="0">
<p></p></td></tr>
<tr>
<td style="BORDER-BOTTOM: #ece9d8; BORDER-LEFT: #ece9d8; PADDING-BOTTOM: 1.4pt; PADDING-LEFT: 2.85pt; PADDING-RIGHT: 2.85pt; BORDER-TOP: #ece9d8; BORDER-RIGHT: #ece9d8; PADDING-TOP: 1.4pt" valign="top" width="5%">
<p align="center"><span>2.</span></p></td>
<td style="BORDER-BOTTOM: #ece9d8; BORDER-LEFT: #ece9d8; PADDING-BOTTOM: 1.4pt; PADDING-LEFT: 2.85pt; PADDING-RIGHT: 2.85pt; BORDER-TOP: #ece9d8; BORDER-RIGHT: #ece9d8; PADDING-TOP: 1.4pt" valign="top" width="94%" colspan="2">
<p><span>Узбекская государственная инспекция по контролю за использованием нефтепродуктов и газа при Кабинете Министров Республики Узбекистан</span></p></td>
<td style="BORDER-BOTTOM: #ece9d8; BORDER-LEFT: #ece9d8; BORDER-TOP: #ece9d8; BORDER-RIGHT: #ece9d8" width="0">
<p></p></td></tr>
<tr>
<td style="BORDER-BOTTOM: #ece9d8; BORDER-LEFT: #ece9d8; PADDING-BOTTOM: 1.4pt; PADDING-LEFT: 2.85pt; PADDING-RIGHT: 2.85pt; BORDER-TOP: #ece9d8; BORDER-RIGHT: #ece9d8; PADDING-TOP: 1.4pt" valign="top" width="5%">
<p align="center"></p></td>
<td style="BORDER-BOTTOM: #ece9d8; BORDER-LEFT: #ece9d8; PADDING-BOTTOM: 1.4pt; PADDING-LEFT: 2.85pt; PADDING-RIGHT: 2.85pt; BORDER-TOP: #ece9d8; BORDER-RIGHT: #ece9d8; PADDING-TOP: 1.4pt" valign="top" width="94%" colspan="2">
<p><span>(Узгоснефтегазинспекция)</span></p></td>
<td style="BORDER-BOTTOM: #ece9d8; BORDER-LEFT: #ece9d8; BORDER-TOP: #ece9d8; BORDER-RIGHT: #ece9d8" width="0">
<p></p></td></tr>
<tr>
<td style="BORDER-BOTTOM: #ece9d8; BORDER-LEFT: #ece9d8; PADDING-BOTTOM: 1.4pt; PADDING-LEFT: 2.85pt; PADDING-RIGHT: 2.85pt; BORDER-TOP: #ece9d8; BORDER-RIGHT: #ece9d8; PADDING-TOP: 1.4pt" valign="top" width="5%">
<p align="center"><span>3.</span></p></td>
<td style="BORDER-BOTTOM: #ece9d8; BORDER-LEFT: #ece9d8; PADDING-BOTTOM: 1.4pt; PADDING-LEFT: 2.85pt; PADDING-RIGHT: 2.85pt; BORDER-TOP: #ece9d8; BORDER-RIGHT: #ece9d8; PADDING-TOP: 1.4pt" valign="top" width="94%" colspan="2">
<p><span>Государственная инспекция Республики Узбекистан по надзору в электроэнергетике (Узгосэнергонадзор)</span></p></td>
<td style="BORDER-BOTTOM: #ece9d8; BORDER-LEFT: #ece9d8; BORDER-TOP: #ece9d8; BORDER-RIGHT: #ece9d8" width="0">
<p></p></td></tr>
<tr>
<td style="BORDER-BOTTOM: #ece9d8; BORDER-LEFT: #ece9d8; PADDING-BOTTOM: 1.4pt; PADDING-LEFT: 2.85pt; PADDING-RIGHT: 2.85pt; BORDER-TOP: #ece9d8; BORDER-RIGHT: #ece9d8; PADDING-TOP: 1.4pt" valign="top" width="5%">
<p align="center"><span>4.</span></p></td>
<td style="BORDER-BOTTOM: #ece9d8; BORDER-LEFT: #ece9d8; PADDING-BOTTOM: 1.4pt; PADDING-LEFT: 2.85pt; PADDING-RIGHT: 2.85pt; BORDER-TOP: #ece9d8; BORDER-RIGHT: #ece9d8; PADDING-TOP: 1.4pt" valign="top" width="94%" colspan="2">
<p><span>Государственная инспекция по надзору за геологическим изучением недр, безопасным ведением работ в промышленности, горном деле и коммунально-бытовом секторе при Кабинете Министров Республики Узбекистан (ГИ «Саноатгеоконтехназорат»)</span></p></td>
<td style="BORDER-BOTTOM: #ece9d8; BORDER-LEFT: #ece9d8; BORDER-TOP: #ece9d8; BORDER-RIGHT: #ece9d8" width="0">
<p></p></td></tr>
<tr>
<td style="BORDER-BOTTOM: #ece9d8; BORDER-LEFT: #ece9d8; PADDING-BOTTOM: 1.4pt; PADDING-LEFT: 2.85pt; PADDING-RIGHT: 2.85pt; BORDER-TOP: #ece9d8; BORDER-RIGHT: #ece9d8; PADDING-TOP: 1.4pt" valign="top" width="5%">
<p align="center"><span>5.</span></p></td>
<td style="BORDER-BOTTOM: #ece9d8; BORDER-LEFT: #ece9d8; PADDING-BOTTOM: 1.4pt; PADDING-LEFT: 2.85pt; PADDING-RIGHT: 2.85pt; BORDER-TOP: #ece9d8; BORDER-RIGHT: #ece9d8; PADDING-TOP: 1.4pt" valign="top" width="94%" colspan="2">
<p><span>НХК «Узбекнефтегаз»</span></p></td>
<td style="BORDER-BOTTOM: #ece9d8; BORDER-LEFT: #ece9d8; BORDER-TOP: #ece9d8; BORDER-RIGHT: #ece9d8" width="0">
<p></p></td></tr>
<tr>
<td style="BORDER-BOTTOM: #ece9d8; BORDER-LEFT: #ece9d8; PADDING-BOTTOM: 1.4pt; PADDING-LEFT: 2.85pt; PADDING-RIGHT: 2.85pt; BORDER-TOP: #ece9d8; BORDER-RIGHT: #ece9d8; PADDING-TOP: 1.4pt" valign="top" width="5%">
<p align="center"><span>6.</span></p></td>
<td style="BORDER-BOTTOM: #ece9d8; BORDER-LEFT: #ece9d8; PADDING-BOTTOM: 1.4pt; PADDING-LEFT: 2.85pt; PADDING-RIGHT: 2.85pt; BORDER-TOP: #ece9d8; BORDER-RIGHT: #ece9d8; PADDING-TOP: 1.4pt" valign="top" width="94%" colspan="2">
<p><span>АК «Узнефтепродукт»</span></p></td>
<td style="BORDER-BOTTOM: #ece9d8; BORDER-LEFT: #ece9d8; BORDER-TOP: #ece9d8; BORDER-RIGHT: #ece9d8" width="0">
<p></p></td></tr>
<tr>
<td style="BORDER-BOTTOM: #ece9d8; BORDER-LEFT: #ece9d8; PADDING-BOTTOM: 1.4pt; PADDING-LEFT: 2.85pt; PADDING-RIGHT: 2.85pt; BORDER-TOP: #ece9d8; BORDER-RIGHT: #ece9d8; PADDING-TOP: 1.4pt" valign="top" width="5%">
<p align="center"><span>7.</span></p></td>
<td style="BORDER-BOTTOM: #ece9d8; BORDER-LEFT: #ece9d8; PADDING-BOTTOM: 1.4pt; PADDING-LEFT: 2.85pt; PADDING-RIGHT: 2.85pt; BORDER-TOP: #ece9d8; BORDER-RIGHT: #ece9d8; PADDING-TOP: 1.4pt" valign="top" width="94%" colspan="2">
<p><span>АК «Узтрансгаз»</span></p></td>
<td style="BORDER-BOTTOM: #ece9d8; BORDER-LEFT: #ece9d8; BORDER-TOP: #ece9d8; BORDER-RIGHT: #ece9d8" width="0">
<p></p></td></tr>
<tr>
<td style="BORDER-BOTTOM: #ece9d8; BORDER-LEFT: #ece9d8; PADDING-BOTTOM: 1.4pt; PADDING-LEFT: 2.85pt; PADDING-RIGHT: 2.85pt; BORDER-TOP: #ece9d8; BORDER-RIGHT: #ece9d8; PADDING-TOP: 1.4pt" valign="top" width="5%">
<p align="center"><span>8.</span></p></td>
<td style="BORDER-BOTTOM: #ece9d8; BORDER-LEFT: #ece9d8; PADDING-BOTTOM: 1.4pt; PADDING-LEFT: 2.85pt; PADDING-RIGHT: 2.85pt; BORDER-TOP: #ece9d8; BORDER-RIGHT: #ece9d8; PADDING-TOP: 1.4pt" valign="top" width="94%" colspan="2">
<p><span>АК «Узнефтегаздобыча»</span></p></td>
<td style="BORDER-BOTTOM: #ece9d8; BORDER-LEFT: #ece9d8; BORDER-TOP: #ece9d8; BORDER-RIGHT: #ece9d8" width="0">
<p></p></td></tr>
<tr>
<td style="BORDER-BOTTOM: #ece9d8; BORDER-LEFT: #ece9d8; PADDING-BOTTOM: 1.4pt; PADDING-LEFT: 2.85pt; PADDING-RIGHT: 2.85pt; BORDER-TOP: #ece9d8; BORDER-RIGHT: #ece9d8; PADDING-TOP: 1.4pt" valign="top" width="5%">
<p align="center"><span>9.</span></p></td>
<td style="BORDER-BOTTOM: #ece9d8; BORDER-LEFT: #ece9d8; PADDING-BOTTOM: 1.4pt; PADDING-LEFT: 2.85pt; PADDING-RIGHT: 2.85pt; BORDER-TOP: #ece9d8; BORDER-RIGHT: #ece9d8; PADDING-TOP: 1.4pt" valign="top" width="94%" colspan="2">
<p><span>АК «Узнефтегазстройинвест»</span></p></td>
<td style="BORDER-BOTTOM: #ece9d8; BORDER-LEFT: #ece9d8; BORDER-TOP: #ece9d8; BORDER-RIGHT: #ece9d8" width="0">
<p></p></td></tr>
<tr>
<td style="BORDER-BOTTOM: #ece9d8; BORDER-LEFT: #ece9d8; PADDING-BOTTOM: 1.4pt; PADDING-LEFT: 2.85pt; PADDING-RIGHT: 2.85pt; BORDER-TOP: #ece9d8; BORDER-RIGHT: #ece9d8; PADDING-TOP: 1.4pt" valign="top" width="5%">
<p align="center"><span>10.</span></p></td>
<td style="BORDER-BOTTOM: #ece9d8; BORDER-LEFT: #ece9d8; PADDING-BOTTOM: 1.4pt; PADDING-LEFT: 2.85pt; PADDING-RIGHT: 2.85pt; BORDER-TOP: #ece9d8; BORDER-RIGHT: #ece9d8; PADDING-TOP: 1.4pt" valign="top" width="94%" colspan="2">
<p><span>АК «Узгеобурнефтегаз»</span></p></td>
<td style="BORDER-BOTTOM: #ece9d8; BORDER-LEFT: #ece9d8; BORDER-TOP: #ece9d8; BORDER-RIGHT: #ece9d8" width="0">
<p></p></td></tr>
<tr>
<td style="BORDER-BOTTOM: #ece9d8; BORDER-LEFT: #ece9d8; PADDING-BOTTOM: 1.4pt; PADDING-LEFT: 2.85pt; PADDING-RIGHT: 2.85pt; BORDER-TOP: #ece9d8; BORDER-RIGHT: #ece9d8; PADDING-TOP: 1.4pt" valign="top" width="5%">
<p align="center"><span>11.</span></p></td>
<td style="BORDER-BOTTOM: #ece9d8; BORDER-LEFT: #ece9d8; PADDING-BOTTOM: 1.4pt; PADDING-LEFT: 2.85pt; PADDING-RIGHT: 2.85pt; BORDER-TOP: #ece9d8; BORDER-RIGHT: #ece9d8; PADDING-TOP: 1.4pt" valign="top" width="94%" colspan="2">
<p><span>АК «Узнефтегазмаш»</span></p></td>
<td style="BORDER-BOTTOM: #ece9d8; BORDER-LEFT: #ece9d8; BORDER-TOP: #ece9d8; BORDER-RIGHT: #ece9d8" width="0">
<p></p></td></tr>
<tr>
<td style="BORDER-BOTTOM: #ece9d8; BORDER-LEFT: #ece9d8; PADDING-BOTTOM: 1.4pt; PADDING-LEFT: 2.85pt; PADDING-RIGHT: 2.85pt; BORDER-TOP: #ece9d8; BORDER-RIGHT: #ece9d8; PADDING-TOP: 1.4pt" valign="top" width="5%">
<p align="center"><span>12.</span></p></td>
<td style="BORDER-BOTTOM: #ece9d8; BORDER-LEFT: #ece9d8; PADDING-BOTTOM: 1.4pt; PADDING-LEFT: 2.85pt; PADDING-RIGHT: 2.85pt; BORDER-TOP: #ece9d8; BORDER-RIGHT: #ece9d8; PADDING-TOP: 1.4pt" valign="top" width="94%" colspan="2">
<p><span>АО «Узбекгидроэнерго»</span></p></td>
<td style="BORDER-BOTTOM: #ece9d8; BORDER-LEFT: #ece9d8; BORDER-TOP: #ece9d8; BORDER-RIGHT: #ece9d8" width="0">
<p></p></td></tr>
<tr>
<td style="BORDER-BOTTOM: #ece9d8; BORDER-LEFT: #ece9d8; PADDING-BOTTOM: 1.4pt; PADDING-LEFT: 2.85pt; PADDING-RIGHT: 2.85pt; BORDER-TOP: #ece9d8; BORDER-RIGHT: #ece9d8; PADDING-TOP: 1.4pt" valign="top" width="5%">
<p align="center"><span>13.</span></p></td>
<td style="BORDER-BOTTOM: #ece9d8; BORDER-LEFT: #ece9d8; PADDING-BOTTOM: 1.4pt; PADDING-LEFT: 2.85pt; PADDING-RIGHT: 2.85pt; BORDER-TOP: #ece9d8; BORDER-RIGHT: #ece9d8; PADDING-TOP: 1.4pt" valign="top" width="94%" colspan="2">
<p><span>АО «Узбекэнерго»</span></p></td>
<td style="BORDER-BOTTOM: #ece9d8; BORDER-LEFT: #ece9d8; BORDER-TOP: #ece9d8; BORDER-RIGHT: #ece9d8" width="0">
<p></p></td></tr>
<tr>
<td style="BORDER-BOTTOM: #ece9d8; BORDER-LEFT: #ece9d8; PADDING-BOTTOM: 1.4pt; PADDING-LEFT: 2.85pt; PADDING-RIGHT: 2.85pt; BORDER-TOP: #ece9d8; BORDER-RIGHT: #ece9d8; PADDING-TOP: 1.4pt" valign="top" width="5%">
<p align="center"><span>14.</span></p></td>
<td style="BORDER-BOTTOM: #ece9d8; BORDER-LEFT: #ece9d8; PADDING-BOTTOM: 1.4pt; PADDING-LEFT: 2.85pt; PADDING-RIGHT: 2.85pt; BORDER-TOP: #ece9d8; BORDER-RIGHT: #ece9d8; PADDING-TOP: 1.4pt" valign="top" width="94%" colspan="2">
<p><span>АО «Узбеккумир»</span></p></td>
<td style="BORDER-BOTTOM: #ece9d8; BORDER-LEFT: #ece9d8; BORDER-TOP: #ece9d8; BORDER-RIGHT: #ece9d8" width="0">
<p></p></td></tr>
<tr>
<td style="BORDER-BOTTOM: #ece9d8; BORDER-LEFT: #ece9d8; PADDING-BOTTOM: 1.4pt; PADDING-LEFT: 2.85pt; PADDING-RIGHT: 2.85pt; BORDER-TOP: #ece9d8; BORDER-RIGHT: #ece9d8; PADDING-TOP: 1.4pt" valign="top" width="5%">
<p align="center"><span>15.</span></p></td>
<td style="BORDER-BOTTOM: #ece9d8; BORDER-LEFT: #ece9d8; PADDING-BOTTOM: 1.4pt; PADDING-LEFT: 2.85pt; PADDING-RIGHT: 2.85pt; BORDER-TOP: #ece9d8; BORDER-RIGHT: #ece9d8; PADDING-TOP: 1.4pt" valign="top" width="94%" colspan="2">
<p><span>АО «Узкимёсаноат»</span></p></td>
<td style="BORDER-BOTTOM: #ece9d8; BORDER-LEFT: #ece9d8; BORDER-TOP: #ece9d8; BORDER-RIGHT: #ece9d8" width="0">
<p></p></td></tr>
<tr>
<td style="BORDER-BOTTOM: #ece9d8; BORDER-LEFT: #ece9d8; PADDING-BOTTOM: 1.4pt; PADDING-LEFT: 2.85pt; PADDING-RIGHT: 2.85pt; BORDER-TOP: #ece9d8; BORDER-RIGHT: #ece9d8; PADDING-TOP: 1.4pt" valign="top" width="5%">
<p align="center"><span>16.</span></p></td>
<td style="BORDER-BOTTOM: #ece9d8; BORDER-LEFT: #ece9d8; PADDING-BOTTOM: 1.4pt; PADDING-LEFT: 2.85pt; PADDING-RIGHT: 2.85pt; BORDER-TOP: #ece9d8; BORDER-RIGHT: #ece9d8; PADDING-TOP: 1.4pt" valign="top" width="94%" colspan="2">
<p><span>ГП «Навоийский ГМК»</span></p></td>
<td style="BORDER-BOTTOM: #ece9d8; BORDER-LEFT: #ece9d8; BORDER-TOP: #ece9d8; BORDER-RIGHT: #ece9d8" width="0">
<p></p></td></tr>
<tr>
<td style="BORDER-BOTTOM: #ece9d8; BORDER-LEFT: #ece9d8; PADDING-BOTTOM: 1.4pt; PADDING-LEFT: 2.85pt; PADDING-RIGHT: 2.85pt; BORDER-TOP: #ece9d8; BORDER-RIGHT: #ece9d8; PADDING-TOP: 1.4pt" valign="top" width="5%">
<p align="center"><span>17.</span></p></td>
<td style="BORDER-BOTTOM: #ece9d8; BORDER-LEFT: #ece9d8; PADDING-BOTTOM: 1.4pt; PADDING-LEFT: 2.85pt; PADDING-RIGHT: 2.85pt; BORDER-TOP: #ece9d8; BORDER-RIGHT: #ece9d8; PADDING-TOP: 1.4pt" valign="top" width="94%" colspan="2">
<p><span>АО «Алмалыкский ГМК»</span></p></td>
<td style="BORDER-BOTTOM: #ece9d8; BORDER-LEFT: #ece9d8; BORDER-TOP: #ece9d8; BORDER-RIGHT: #ece9d8" width="0">
<p></p></td></tr>
<tr>
<td style="BORDER-BOTTOM: #ece9d8; BORDER-LEFT: #ece9d8; PADDING-BOTTOM: 1.4pt; PADDING-LEFT: 2.85pt; PADDING-RIGHT: 2.85pt; BORDER-TOP: #ece9d8; BORDER-RIGHT: #ece9d8; PADDING-TOP: 1.4pt" valign="top" width="5%">
<p align="center"><span>18.</span></p></td>
<td style="BORDER-BOTTOM: #ece9d8; BORDER-LEFT: #ece9d8; PADDING-BOTTOM: 1.4pt; PADDING-LEFT: 2.85pt; PADDING-RIGHT: 2.85pt; BORDER-TOP: #ece9d8; BORDER-RIGHT: #ece9d8; PADDING-TOP: 1.4pt" valign="top" width="94%" colspan="2">
<p><span>АО «Узметкомбинат»</span></p></td>
<td style="BORDER-BOTTOM: #ece9d8; BORDER-LEFT: #ece9d8; BORDER-TOP: #ece9d8; BORDER-RIGHT: #ece9d8" width="0">
<p></p></td></tr>
<tr>
<td style="BORDER-BOTTOM: #ece9d8; BORDER-LEFT: #ece9d8; PADDING-BOTTOM: 1.4pt; PADDING-LEFT: 2.85pt; PADDING-RIGHT: 2.85pt; BORDER-TOP: #ece9d8; BORDER-RIGHT: #ece9d8; PADDING-TOP: 1.4pt" valign="top" width="5%">
<p align="center"><span>19.</span></p></td>
<td style="BORDER-BOTTOM: #ece9d8; BORDER-LEFT: #ece9d8; PADDING-BOTTOM: 1.4pt; PADDING-LEFT: 2.85pt; PADDING-RIGHT: 2.85pt; BORDER-TOP: #ece9d8; BORDER-RIGHT: #ece9d8; PADDING-TOP: 1.4pt" valign="top" width="94%" colspan="2">
<p><span>АО «Ташкентский завод по переработке лома и отходов цветных металлов»</span></p></td>
<td style="BORDER-BOTTOM: #ece9d8; BORDER-LEFT: #ece9d8; BORDER-TOP: #ece9d8; BORDER-RIGHT: #ece9d8" width="0">
<p></p></td></tr></tbody></table></div></div><div class="COMMENT"><label id="s3935"></label><div name="edi3234164" id="edi3234164">См. <a href="/ru/docs/3233862?ONDATE=28.08.2017 00#edi3343756">последующую</a> редакцию.</div></div><div class="BY_DEFAULT lx_elem" style="color:#808080;" onmousemove="lx_mo(event,3234165)"><div class="lx_elem2"><div class="lx_elem3"><span onclick="lx_sf(3234165)"><img src="/img/cmt.svg" />Предложения по документу</span><span onclick="lx_pa(3234165)"><img src="/img/vlm.svg" />Прослушать аудио</span><span onclick="lx_cl(3234165)"><img src="/img/lnk.svg" />Получить ссылку из элемента документа</span></div></div><div name="3234165" id="3234165"></div></div><div class="APPL_BANNER_LANDSCAPE_TITLE lx_elem" style="color:#808080;" onmousemove="lx_mo(event,3234166)"><div class="lx_elem2"><div class="lx_elem3"><span onclick="lx_sf(3234166)"><img src="/img/cmt.svg" />Предложения по документу</span><span onclick="lx_pa(3234166)"><img src="/img/vlm.svg" />Прослушать аудио</span><span onclick="lx_cl(3234166)"><img src="/img/lnk.svg" />Получить ссылку из элемента документа</span></div></div><div name="3234166" id="3234166">ПРИЛОЖЕНИЕ № 14<br />к <a href="/ru/docs/3233862">постановлению</a> Президента Республики Узбекистан от 12 июня 2017 года № ПП-3051 </div></div><div class="ACT_FORM lx_elem" style="color:#808080;" onmousemove="lx_mo(event,3234167)"><div class="lx_elem2"><div class="lx_elem3"><span onclick="lx_sf(3234167)"><img src="/img/cmt.svg" />Предложения по документу</span><span onclick="lx_pa(3234167)"><img src="/img/vlm.svg" />Прослушать аудио</span><span onclick="lx_cl(3234167)"><img src="/img/lnk.svg" />Получить ссылку из элемента документа</span></div></div><div name="3234167" id="3234167">СТРУКТУРА</div></div><div class="ACT_TITLE_APPL lx_elem" style="color:#808080;" onmousemove="lx_mo(event,3234168)"><div class="lx_elem2"><div class="lx_elem3"><span onclick="lx_sf(3234168)"><img src="/img/cmt.svg" />Предложения по документу</span><span onclick="lx_pa(3234168)"><img src="/img/vlm.svg" />Прослушать аудио</span><span onclick="lx_cl(3234168)"><img src="/img/lnk.svg" />Получить ссылку из элемента документа</span></div></div><div name="3234168" id="3234168">Информационно-аналитического департамента по вопросам развития внешнеэкономической деятельности, экспортного потенциала отраслей экономики и территорий республики</div></div><div class="BY_DEFAULT lx_elem" style="color:#808080;" onmousemove="lx_mo(event,3234169)"><div class="lx_elem2"><div class="lx_elem3"><span onclick="lx_sf(3234169)"><img src="/img/cmt.svg" />Предложения по документу</span><span onclick="lx_pa(3234169)"><img src="/img/vlm.svg" />Прослушать аудио</span><span onclick="lx_cl(3234169)"><img src="/img/lnk.svg" />Получить ссылку из элемента документа</span></div></div><div name="3234169" id="3234169"></div></div><div class="BY_DEFAULT lx_elem" style="color:#808080;" onmousemove="lx_mo(event,3234170)"><div class="lx_elem2"><div class="lx_elem3"><span onclick="lx_sf(3234170)"><img src="/img/cmt.svg" />Предложения по документу</span><span onclick="lx_pa(3234170)"><img src="/img/vlm.svg" />Прослушать аудио</span><span onclick="lx_cl(3234170)"><img src="/img/lnk.svg" />Получить ссылку из элемента документа</span></div></div><div name="3234170" id="3234170"><table style="BORDER-COLLAPSE: collapse; BACKGROUND: white" border="0" cellspacing="0" cellpadding="0" width="100%">
<tbody>
<tr>
<td style="BORDER-BOTTOM: #ece9d8; BORDER-LEFT: #ece9d8; PADDING-BOTTOM: 1.4pt; PADDING-LEFT: 2.85pt; PADDING-RIGHT: 2.85pt; BORDER-TOP: #ece9d8; BORDER-RIGHT: #ece9d8; PADDING-TOP: 1.4pt" valign="top" width="92%" colspan="2">
<p><b><span>Заведующий департаментом</span></b></p></td>
<td style="BORDER-BOTTOM: #ece9d8; BORDER-LEFT: #ece9d8; PADDING-BOTTOM: 1.4pt; PADDING-LEFT: 2.85pt; PADDING-RIGHT: 2.85pt; BORDER-TOP: #ece9d8; BORDER-RIGHT: #ece9d8; PADDING-TOP: 1.4pt" valign="top" width="7%">
<p align="center"><span>1</span></p></td></tr>
<tr>
<td style="BORDER-BOTTOM: #ece9d8; BORDER-LEFT: #ece9d8; PADDING-BOTTOM: 1.4pt; PADDING-LEFT: 2.85pt; PADDING-RIGHT: 2.85pt; BORDER-TOP: #ece9d8; BORDER-RIGHT: #ece9d8; PADDING-TOP: 1.4pt" valign="top" width="92%" colspan="2">
<p><span>Заместитель заведующего департаментом Сектор по вопросам развития внешнеторговой деятельности и туризма</span></p></td>
<td style="BORDER-BOTTOM: #ece9d8; BORDER-LEFT: #ece9d8; PADDING-BOTTOM: 1.4pt; PADDING-LEFT: 2.85pt; PADDING-RIGHT: 2.85pt; BORDER-TOP: #ece9d8; BORDER-RIGHT: #ece9d8; PADDING-TOP: 1.4pt" valign="top" width="7%">
<p align="center"><span>1</span></p></td></tr>
<tr>
<td style="BORDER-BOTTOM: #ece9d8; BORDER-LEFT: #ece9d8; PADDING-BOTTOM: 1.4pt; PADDING-LEFT: 2.85pt; PADDING-RIGHT: 2.85pt; BORDER-TOP: #ece9d8; BORDER-RIGHT: #ece9d8; PADDING-TOP: 1.4pt" valign="top" width="92%" colspan="2">
<p><span>Заведующий сектором</span></p></td>
<td style="BORDER-BOTTOM: #ece9d8; BORDER-LEFT: #ece9d8; PADDING-BOTTOM: 1.4pt; PADDING-LEFT: 2.85pt; PADDING-RIGHT: 2.85pt; BORDER-TOP: #ece9d8; BORDER-RIGHT: #ece9d8; PADDING-TOP: 1.4pt" valign="top" width="7%">
<p align="center"><span>1</span></p></td></tr>
<tr>
<td style="BORDER-BOTTOM: #ece9d8; BORDER-LEFT: #ece9d8; PADDING-BOTTOM: 1.4pt; PADDING-LEFT: 2.85pt; PADDING-RIGHT: 2.85pt; BORDER-TOP: #ece9d8; BORDER-RIGHT: #ece9d8; PADDING-TOP: 1.4pt" valign="top" width="92%" colspan="2">
<p><span>Главный специалист по вопросам маркетинга и анализа внешней конъюнктуры, таможенно-тарифного регулирования</span></p></td>
<td style="BORDER-BOTTOM: #ece9d8; BORDER-LEFT: #ece9d8; PADDING-BOTTOM: 1.4pt; PADDING-LEFT: 2.85pt; PADDING-RIGHT: 2.85pt; BORDER-TOP: #ece9d8; BORDER-RIGHT: #ece9d8; PADDING-TOP: 1.4pt" valign="top" width="7%">
<p align="center"><span>1</span></p></td></tr>
<tr>
<td style="BORDER-BOTTOM: #ece9d8; BORDER-LEFT: #ece9d8; PADDING-BOTTOM: 1.4pt; PADDING-LEFT: 2.85pt; PADDING-RIGHT: 2.85pt; BORDER-TOP: #ece9d8; BORDER-RIGHT: #ece9d8; PADDING-TOP: 1.4pt" valign="top" width="92%" colspan="2">
<p><span>Главный специалист по вопросам оптимизации импорта и локализации производства</span></p></td>
<td style="BORDER-BOTTOM: #ece9d8; BORDER-LEFT: #ece9d8; PADDING-BOTTOM: 1.4pt; PADDING-LEFT: 2.85pt; PADDING-RIGHT: 2.85pt; BORDER-TOP: #ece9d8; BORDER-RIGHT: #ece9d8; PADDING-TOP: 1.4pt" valign="top" width="7%">
<p align="center"><span>1</span></p></td></tr>
<tr>
<td style="BORDER-BOTTOM: #ece9d8; BORDER-LEFT: #ece9d8; PADDING-BOTTOM: 1.4pt; PADDING-LEFT: 2.85pt; PADDING-RIGHT: 2.85pt; BORDER-TOP: #ece9d8; BORDER-RIGHT: #ece9d8; PADDING-TOP: 1.4pt" valign="top" width="92%" colspan="2">
<p><span>Главный специалист по вопросам развития туризма</span></p></td>
<td style="BORDER-BOTTOM: #ece9d8; BORDER-LEFT: #ece9d8; PADDING-BOTTOM: 1.4pt; PADDING-LEFT: 2.85pt; PADDING-RIGHT: 2.85pt; BORDER-TOP: #ece9d8; BORDER-RIGHT: #ece9d8; PADDING-TOP: 1.4pt" valign="top" width="7%">
<p align="center"><span>1</span></p></td></tr>
<tr>
<td style="BORDER-BOTTOM: #ece9d8; BORDER-LEFT: #ece9d8; PADDING-BOTTOM: 1.4pt; PADDING-LEFT: 2.85pt; PADDING-RIGHT: 2.85pt; BORDER-TOP: #ece9d8; BORDER-RIGHT: #ece9d8; PADDING-TOP: 1.4pt" valign="top" width="92%" colspan="2">
<p><span>Ведущий специалист</span></p></td>
<td style="BORDER-BOTTOM: #ece9d8; BORDER-LEFT: #ece9d8; PADDING-BOTTOM: 1.4pt; PADDING-LEFT: 2.85pt; PADDING-RIGHT: 2.85pt; BORDER-TOP: #ece9d8; BORDER-RIGHT: #ece9d8; PADDING-TOP: 1.4pt" valign="top" width="7%">
<p align="center"><span>1</span></p></td></tr>
<tr>
<td style="BORDER-BOTTOM: #ece9d8; BORDER-LEFT: #ece9d8; PADDING-BOTTOM: 1.4pt; PADDING-LEFT: 2.85pt; PADDING-RIGHT: 2.85pt; BORDER-TOP: #ece9d8; BORDER-RIGHT: #ece9d8; PADDING-TOP: 1.4pt" valign="top" width="92%" colspan="2">
<p><span>Главный специалист по вопросам экспертизы и мониторинга реализации международных договоров в сфере внешнеторгового сотрудничества, развития инфраструктуры внешней торговли</span></p></td>
<td style="BORDER-BOTTOM: #ece9d8; BORDER-LEFT: #ece9d8; PADDING-BOTTOM: 1.4pt; PADDING-LEFT: 2.85pt; PADDING-RIGHT: 2.85pt; BORDER-TOP: #ece9d8; BORDER-RIGHT: #ece9d8; PADDING-TOP: 1.4pt" valign="top" width="7%">
<p align="center"><span>1</span></p></td></tr>
<tr>
<td style="BORDER-BOTTOM: #ece9d8; BORDER-LEFT: #ece9d8; PADDING-BOTTOM: 1.4pt; PADDING-LEFT: 2.85pt; PADDING-RIGHT: 2.85pt; BORDER-TOP: #ece9d8; BORDER-RIGHT: #ece9d8; PADDING-TOP: 1.4pt" valign="top" width="92%" colspan="2">
<p><span>Главный специалист по вопросам экспертизы и мониторинга договоров в сфере внешнеэкономической безопасности</span></p></td>
<td style="BORDER-BOTTOM: #ece9d8; BORDER-LEFT: #ece9d8; PADDING-BOTTOM: 1.4pt; PADDING-LEFT: 2.85pt; PADDING-RIGHT: 2.85pt; BORDER-TOP: #ece9d8; BORDER-RIGHT: #ece9d8; PADDING-TOP: 1.4pt" valign="top" width="7%">
<p align="center"><span>1</span></p></td></tr>
<tr>
<td style="BORDER-BOTTOM: #ece9d8; BORDER-LEFT: #ece9d8; PADDING-BOTTOM: 1.4pt; PADDING-LEFT: 2.85pt; PADDING-RIGHT: 2.85pt; BORDER-TOP: #ece9d8; BORDER-RIGHT: #ece9d8; PADDING-TOP: 1.4pt" valign="top" width="92%" colspan="2">
<p><span>Сектор по вопросам экспорта продукции реального сектора экономики</span></p></td>
<td style="BORDER-BOTTOM: #ece9d8; BORDER-LEFT: #ece9d8; PADDING-BOTTOM: 1.4pt; PADDING-LEFT: 2.85pt; PADDING-RIGHT: 2.85pt; BORDER-TOP: #ece9d8; BORDER-RIGHT: #ece9d8; PADDING-TOP: 1.4pt" valign="top" width="7%">
<p align="center"></p></td></tr>
<tr>
<td style="BORDER-BOTTOM: #ece9d8; BORDER-LEFT: #ece9d8; PADDING-BOTTOM: 1.4pt; PADDING-LEFT: 2.85pt; PADDING-RIGHT: 2.85pt; BORDER-TOP: #ece9d8; BORDER-RIGHT: #ece9d8; PADDING-TOP: 1.4pt" valign="top" width="92%" colspan="2">
<p><span>Заведующий сектором</span></p></td>
<td style="BORDER-BOTTOM: #ece9d8; BORDER-LEFT: #ece9d8; PADDING-BOTTOM: 1.4pt; PADDING-LEFT: 2.85pt; PADDING-RIGHT: 2.85pt; BORDER-TOP: #ece9d8; BORDER-RIGHT: #ece9d8; PADDING-TOP: 1.4pt" valign="top" width="7%">
<p align="center"><span>1</span></p></td></tr>
<tr>
<td style="BORDER-BOTTOM: #ece9d8; BORDER-LEFT: #ece9d8; PADDING-BOTTOM: 1.4pt; PADDING-LEFT: 2.85pt; PADDING-RIGHT: 2.85pt; BORDER-TOP: #ece9d8; BORDER-RIGHT: #ece9d8; PADDING-TOP: 1.4pt" valign="top" width="92%" colspan="2">
<p><span>Главный специалист по вопросам экспорта промышленной продукции</span></p></td>
<td style="BORDER-BOTTOM: #ece9d8; BORDER-LEFT: #ece9d8; PADDING-BOTTOM: 1.4pt; PADDING-LEFT: 2.85pt; PADDING-RIGHT: 2.85pt; BORDER-TOP: #ece9d8; BORDER-RIGHT: #ece9d8; PADDING-TOP: 1.4pt" valign="top" width="7%">
<p align="center"><span>1</span></p></td></tr>
<tr>
<td style="BORDER-BOTTOM: #ece9d8; BORDER-LEFT: #ece9d8; PADDING-BOTTOM: 1.4pt; PADDING-LEFT: 2.85pt; PADDING-RIGHT: 2.85pt; BORDER-TOP: #ece9d8; BORDER-RIGHT: #ece9d8; PADDING-TOP: 1.4pt" valign="top" width="92%" colspan="2">
<p><span>Ведущий специалист по вопросам деятельности внешнеторговых компаний и торговых домов</span></p></td>
<td style="BORDER-BOTTOM: #ece9d8; BORDER-LEFT: #ece9d8; PADDING-BOTTOM: 1.4pt; PADDING-LEFT: 2.85pt; PADDING-RIGHT: 2.85pt; BORDER-TOP: #ece9d8; BORDER-RIGHT: #ece9d8; PADDING-TOP: 1.4pt" valign="top" width="7%">
<p align="center"><span>1</span></p></td></tr>
<tr>
<td style="BORDER-BOTTOM: #ece9d8; BORDER-LEFT: #ece9d8; PADDING-BOTTOM: 1.4pt; PADDING-LEFT: 2.85pt; PADDING-RIGHT: 2.85pt; BORDER-TOP: #ece9d8; BORDER-RIGHT: #ece9d8; PADDING-TOP: 1.4pt" valign="top" width="92%" colspan="2">
<p><span>Сектор по вопросам развития экспортного потенциала территорий</span></p></td>
<td style="BORDER-BOTTOM: #ece9d8; BORDER-LEFT: #ece9d8; PADDING-BOTTOM: 1.4pt; PADDING-LEFT: 2.85pt; PADDING-RIGHT: 2.85pt; BORDER-TOP: #ece9d8; BORDER-RIGHT: #ece9d8; PADDING-TOP: 1.4pt" valign="top" width="7%">
<p align="center"></p></td></tr>
<tr>
<td style="BORDER-BOTTOM: #ece9d8; BORDER-LEFT: #ece9d8; PADDING-BOTTOM: 1.4pt; PADDING-LEFT: 2.85pt; PADDING-RIGHT: 2.85pt; BORDER-TOP: #ece9d8; BORDER-RIGHT: #ece9d8; PADDING-TOP: 1.4pt" valign="top" width="92%" colspan="2">
<p><span>Заведующий сектором</span></p></td>
<td style="BORDER-BOTTOM: #ece9d8; BORDER-LEFT: #ece9d8; PADDING-BOTTOM: 1.4pt; PADDING-LEFT: 2.85pt; PADDING-RIGHT: 2.85pt; BORDER-TOP: #ece9d8; BORDER-RIGHT: #ece9d8; PADDING-TOP: 1.4pt" valign="top" width="7%">
<p align="center"><span>1</span></p></td></tr>
<tr>
<td style="BORDER-BOTTOM: #ece9d8; BORDER-LEFT: #ece9d8; PADDING-BOTTOM: 1.4pt; PADDING-LEFT: 2.85pt; PADDING-RIGHT: 2.85pt; BORDER-TOP: #ece9d8; BORDER-RIGHT: #ece9d8; PADDING-TOP: 1.4pt" valign="top" width="92%" colspan="2">
<p><span>Главный специалист по вопросам развития экспорта промышленных предприятий и субъектов малого бизнеса</span></p></td>
<td style="BORDER-BOTTOM: #ece9d8; BORDER-LEFT: #ece9d8; PADDING-BOTTOM: 1.4pt; PADDING-LEFT: 2.85pt; PADDING-RIGHT: 2.85pt; BORDER-TOP: #ece9d8; BORDER-RIGHT: #ece9d8; PADDING-TOP: 1.4pt" valign="top" width="7%">
<p align="center"><span>1</span></p></td></tr>
<tr>
<td style="BORDER-BOTTOM: #ece9d8; BORDER-LEFT: #ece9d8; PADDING-BOTTOM: 1.4pt; PADDING-LEFT: 2.85pt; PADDING-RIGHT: 2.85pt; BORDER-TOP: #ece9d8; BORDER-RIGHT: #ece9d8; PADDING-TOP: 1.4pt" valign="top" width="92%" colspan="2">
<p><span>Ведущий специалист по вопросам деятельности внешнеторговых компаний и торговых домов</span></p></td>
<td style="BORDER-BOTTOM: #ece9d8; BORDER-LEFT: #ece9d8; PADDING-BOTTOM: 1.4pt; PADDING-LEFT: 2.85pt; PADDING-RIGHT: 2.85pt; BORDER-TOP: #ece9d8; BORDER-RIGHT: #ece9d8; PADDING-TOP: 1.4pt" valign="top" width="7%">
<p align="center"><span>1</span></p></td></tr>
<tr>
<td style="BORDER-BOTTOM: #ece9d8; BORDER-LEFT: #ece9d8; PADDING-BOTTOM: 1.4pt; PADDING-LEFT: 2.85pt; PADDING-RIGHT: 2.85pt; BORDER-TOP: #ece9d8; BORDER-RIGHT: #ece9d8; PADDING-TOP: 1.4pt" valign="top" width="92%" colspan="2">
<p><span>Сектор по вопросам координации производства и экспорта плодоовощной продукции</span></p></td>
<td style="BORDER-BOTTOM: #ece9d8; BORDER-LEFT: #ece9d8; PADDING-BOTTOM: 1.4pt; PADDING-LEFT: 2.85pt; PADDING-RIGHT: 2.85pt; BORDER-TOP: #ece9d8; BORDER-RIGHT: #ece9d8; PADDING-TOP: 1.4pt" valign="top" width="7%">
<p align="center"></p></td></tr>
<tr>
<td style="BORDER-BOTTOM: #ece9d8; BORDER-LEFT: #ece9d8; PADDING-BOTTOM: 1.4pt; PADDING-LEFT: 2.85pt; PADDING-RIGHT: 2.85pt; BORDER-TOP: #ece9d8; BORDER-RIGHT: #ece9d8; PADDING-TOP: 1.4pt" valign="top" width="92%" colspan="2">
<p><span>Заведующий сектором</span></p></td>
<td style="BORDER-BOTTOM: #ece9d8; BORDER-LEFT: #ece9d8; PADDING-BOTTOM: 1.4pt; PADDING-LEFT: 2.85pt; PADDING-RIGHT: 2.85pt; BORDER-TOP: #ece9d8; BORDER-RIGHT: #ece9d8; PADDING-TOP: 1.4pt" valign="top" width="7%">
<p align="center"><span>1</span></p></td></tr>
<tr>
<td style="BORDER-BOTTOM: #ece9d8; BORDER-LEFT: #ece9d8; PADDING-BOTTOM: 1.4pt; PADDING-LEFT: 2.85pt; PADDING-RIGHT: 2.85pt; BORDER-TOP: #ece9d8; BORDER-RIGHT: #ece9d8; PADDING-TOP: 1.4pt" valign="top" width="92%" colspan="2">
<p><span>Главный специалист по вопросам развития плодоовощеводства</span></p></td>
<td style="BORDER-BOTTOM: #ece9d8; BORDER-LEFT: #ece9d8; PADDING-BOTTOM: 1.4pt; PADDING-LEFT: 2.85pt; PADDING-RIGHT: 2.85pt; BORDER-TOP: #ece9d8; BORDER-RIGHT: #ece9d8; PADDING-TOP: 1.4pt" valign="top" width="7%">
<p align="center"><span>1</span></p></td></tr>
<tr>
<td style="BORDER-BOTTOM: #ece9d8; BORDER-LEFT: #ece9d8; PADDING-BOTTOM: 1.4pt; PADDING-LEFT: 2.85pt; PADDING-RIGHT: 2.85pt; BORDER-TOP: #ece9d8; BORDER-RIGHT: #ece9d8; PADDING-TOP: 1.4pt" valign="top" width="92%" colspan="2">
<p><span>Ведущий специалист по вопросам картофелеводства, бахчеводства и виноградарства</span></p></td>
<td style="BORDER-BOTTOM: #ece9d8; BORDER-LEFT: #ece9d8; PADDING-BOTTOM: 1.4pt; PADDING-LEFT: 2.85pt; PADDING-RIGHT: 2.85pt; BORDER-TOP: #ece9d8; BORDER-RIGHT: #ece9d8; PADDING-TOP: 1.4pt" valign="top" width="7%">
<p align="center"><span>1</span></p></td></tr>
<tr>
<td style="BORDER-BOTTOM: #ece9d8; BORDER-LEFT: #ece9d8; PADDING-BOTTOM: 1.4pt; PADDING-LEFT: 2.85pt; PADDING-RIGHT: 2.85pt; BORDER-TOP: #ece9d8; BORDER-RIGHT: #ece9d8; PADDING-TOP: 1.4pt" valign="top" width="92%" colspan="2">
<p><span>Главный специалист по вопросам экспорта плодоовощной продукции</span></p></td>
<td style="BORDER-BOTTOM: #ece9d8; BORDER-LEFT: #ece9d8; PADDING-BOTTOM: 1.4pt; PADDING-LEFT: 2.85pt; PADDING-RIGHT: 2.85pt; BORDER-TOP: #ece9d8; BORDER-RIGHT: #ece9d8; PADDING-TOP: 1.4pt" valign="top" width="7%">
<p align="center"><span>1</span></p></td></tr>
<tr>
<td style="BORDER-BOTTOM: #ece9d8; BORDER-LEFT: #ece9d8; PADDING-BOTTOM: 1.4pt; PADDING-LEFT: 2.85pt; PADDING-RIGHT: 2.85pt; BORDER-TOP: #ece9d8; BORDER-RIGHT: #ece9d8; PADDING-TOP: 1.4pt" valign="top" width="92%" colspan="2">
<p><span>Ведущий специалист по вопросам экспорта плодоовощной продукции</span></p></td>
<td style="BORDER-BOTTOM: #ece9d8; BORDER-LEFT: #ece9d8; PADDING-BOTTOM: 1.4pt; PADDING-LEFT: 2.85pt; PADDING-RIGHT: 2.85pt; BORDER-TOP: #ece9d8; BORDER-RIGHT: #ece9d8; PADDING-TOP: 1.4pt" valign="top" width="7%">
<p align="center"><span>1</span></p></td></tr>
<tr>
<td style="BORDER-BOTTOM: #ece9d8; BORDER-LEFT: #ece9d8; PADDING-BOTTOM: 1.4pt; PADDING-LEFT: 2.85pt; PADDING-RIGHT: 2.85pt; BORDER-TOP: #ece9d8; BORDER-RIGHT: #ece9d8; PADDING-TOP: 1.4pt" valign="top" width="92%" colspan="2">
<p><span>Инспектор</span></p></td>
<td style="BORDER-BOTTOM: #ece9d8; BORDER-LEFT: #ece9d8; PADDING-BOTTOM: 1.4pt; PADDING-LEFT: 2.85pt; PADDING-RIGHT: 2.85pt; BORDER-TOP: #ece9d8; BORDER-RIGHT: #ece9d8; PADDING-TOP: 1.4pt" valign="top" width="7%">
<p align="center"><span>1</span></p></td></tr>
<tr>
<td style="BORDER-BOTTOM: #ece9d8; BORDER-LEFT: #ece9d8; PADDING-BOTTOM: 1.4pt; PADDING-LEFT: 2.85pt; PADDING-RIGHT: 2.85pt; BORDER-TOP: #ece9d8; BORDER-RIGHT: #ece9d8; PADDING-TOP: 1.4pt" valign="top" width="92%" colspan="2">
<p align="center"><b><span>Всего:</span></b></p></td>
<td style="BORDER-BOTTOM: #ece9d8; BORDER-LEFT: #ece9d8; PADDING-BOTTOM: 1.4pt; PADDING-LEFT: 2.85pt; PADDING-RIGHT: 2.85pt; BORDER-TOP: #ece9d8; BORDER-RIGHT: #ece9d8; PADDING-TOP: 1.4pt" valign="top" width="7%">
<p align="center"><b><span>21</span></b></p></td></tr>
<tr>
<td style="BORDER-BOTTOM: #ece9d8; BORDER-LEFT: #ece9d8; PADDING-BOTTOM: 1.4pt; PADDING-LEFT: 2.85pt; PADDING-RIGHT: 2.85pt; BORDER-TOP: #ece9d8; BORDER-RIGHT: #ece9d8; PADDING-TOP: 1.4pt" valign="top" width="100%" colspan="3">
<p align="center"><b><br /></b></p>
<p align="center"><b><span>КУРИРУЕМЫЕ <br />министерства, ведомства, акционерные общества, организации, предприятия и территории</span></b></p></td></tr>
<tr>
<td style="BORDER-BOTTOM: #ece9d8; BORDER-LEFT: #ece9d8; PADDING-BOTTOM: 1.4pt; PADDING-LEFT: 2.85pt; PADDING-RIGHT: 2.85pt; BORDER-TOP: #ece9d8; BORDER-RIGHT: #ece9d8; PADDING-TOP: 1.4pt" valign="top" width="100%" colspan="3">
<p align="center"><b></b></p></td></tr>
<tr>
<td style="BORDER-BOTTOM: #ece9d8; BORDER-LEFT: #ece9d8; PADDING-BOTTOM: 1.4pt; PADDING-LEFT: 2.85pt; PADDING-RIGHT: 2.85pt; BORDER-TOP: #ece9d8; BORDER-RIGHT: #ece9d8; PADDING-TOP: 1.4pt" valign="top" width="5%">
<p align="center"><span>1.</span></p></td>
<td style="BORDER-BOTTOM: #ece9d8; BORDER-LEFT: #ece9d8; PADDING-BOTTOM: 1.4pt; PADDING-LEFT: 2.85pt; PADDING-RIGHT: 2.85pt; BORDER-TOP: #ece9d8; BORDER-RIGHT: #ece9d8; PADDING-TOP: 1.4pt" valign="top" width="94%" colspan="2">
<p><span>Министерство внешней торговли Республики Узбекистан</span></p></td></tr>
<tr>
<td style="BORDER-BOTTOM: #ece9d8; BORDER-LEFT: #ece9d8; PADDING-BOTTOM: 1.4pt; PADDING-LEFT: 2.85pt; PADDING-RIGHT: 2.85pt; BORDER-TOP: #ece9d8; BORDER-RIGHT: #ece9d8; PADDING-TOP: 1.4pt" valign="top" width="5%">
<p align="center"><span>2.</span></p></td>
<td style="BORDER-BOTTOM: #ece9d8; BORDER-LEFT: #ece9d8; PADDING-BOTTOM: 1.4pt; PADDING-LEFT: 2.85pt; PADDING-RIGHT: 2.85pt; BORDER-TOP: #ece9d8; BORDER-RIGHT: #ece9d8; PADDING-TOP: 1.4pt" valign="top" width="94%" colspan="2">
<p><span>Государственный таможенный комитет Республики Узбекистан</span></p></td></tr>
<tr>
<td style="BORDER-BOTTOM: #ece9d8; BORDER-LEFT: #ece9d8; PADDING-BOTTOM: 1.4pt; PADDING-LEFT: 2.85pt; PADDING-RIGHT: 2.85pt; BORDER-TOP: #ece9d8; BORDER-RIGHT: #ece9d8; PADDING-TOP: 1.4pt" valign="top" width="5%">
<p align="center"><span>3.</span></p></td>
<td style="BORDER-BOTTOM: #ece9d8; BORDER-LEFT: #ece9d8; PADDING-BOTTOM: 1.4pt; PADDING-LEFT: 2.85pt; PADDING-RIGHT: 2.85pt; BORDER-TOP: #ece9d8; BORDER-RIGHT: #ece9d8; PADDING-TOP: 1.4pt" valign="top" width="94%" colspan="2">
<p><span>Государственный комитет Республики Узбекистан по развитию туризма</span></p></td></tr>
<tr>
<td style="BORDER-BOTTOM: #ece9d8; BORDER-LEFT: #ece9d8; PADDING-BOTTOM: 1.4pt; PADDING-LEFT: 2.85pt; PADDING-RIGHT: 2.85pt; BORDER-TOP: #ece9d8; BORDER-RIGHT: #ece9d8; PADDING-TOP: 1.4pt" valign="top" width="5%">
<p align="center"><span>4.</span></p></td>
<td style="BORDER-BOTTOM: #ece9d8; BORDER-LEFT: #ece9d8; PADDING-BOTTOM: 1.4pt; PADDING-LEFT: 2.85pt; PADDING-RIGHT: 2.85pt; BORDER-TOP: #ece9d8; BORDER-RIGHT: #ece9d8; PADDING-TOP: 1.4pt" valign="top" width="94%" colspan="2">
<p><span>АО «Узсаноатэкспорт»</span></p></td></tr>
<tr>
<td style="BORDER-BOTTOM: #ece9d8; BORDER-LEFT: #ece9d8; PADDING-BOTTOM: 1.4pt; PADDING-LEFT: 2.85pt; PADDING-RIGHT: 2.85pt; BORDER-TOP: #ece9d8; BORDER-RIGHT: #ece9d8; PADDING-TOP: 1.4pt" valign="top" width="5%">
<p align="center"><span>5.</span></p></td>
<td style="BORDER-BOTTOM: #ece9d8; BORDER-LEFT: #ece9d8; PADDING-BOTTOM: 1.4pt; PADDING-LEFT: 2.85pt; PADDING-RIGHT: 2.85pt; BORDER-TOP: #ece9d8; BORDER-RIGHT: #ece9d8; PADDING-TOP: 1.4pt" valign="top" width="94%" colspan="2">
<p><span>АО «Узтрейд»</span></p></td></tr>
<tr>
<td style="BORDER-BOTTOM: #ece9d8; BORDER-LEFT: #ece9d8; PADDING-BOTTOM: 1.4pt; PADDING-LEFT: 2.85pt; PADDING-RIGHT: 2.85pt; BORDER-TOP: #ece9d8; BORDER-RIGHT: #ece9d8; PADDING-TOP: 1.4pt" valign="top" width="5%">
<p align="center"><span>6.</span></p></td>
<td style="BORDER-BOTTOM: #ece9d8; BORDER-LEFT: #ece9d8; PADDING-BOTTOM: 1.4pt; PADDING-LEFT: 2.85pt; PADDING-RIGHT: 2.85pt; BORDER-TOP: #ece9d8; BORDER-RIGHT: #ece9d8; PADDING-TOP: 1.4pt" valign="top" width="94%" colspan="2">
<p><span>АО «Узпахтаэкспорт»</span></p></td></tr>
<tr>
<td style="BORDER-BOTTOM: #ece9d8; BORDER-LEFT: #ece9d8; PADDING-BOTTOM: 1.4pt; PADDING-LEFT: 2.85pt; PADDING-RIGHT: 2.85pt; BORDER-TOP: #ece9d8; BORDER-RIGHT: #ece9d8; PADDING-TOP: 1.4pt" valign="top" width="5%">
<p align="center"><span>7.</span></p></td>
<td style="BORDER-BOTTOM: #ece9d8; BORDER-LEFT: #ece9d8; PADDING-BOTTOM: 1.4pt; PADDING-LEFT: 2.85pt; PADDING-RIGHT: 2.85pt; BORDER-TOP: #ece9d8; BORDER-RIGHT: #ece9d8; PADDING-TOP: 1.4pt" valign="top" width="94%" colspan="2">
<p><span>АО «Узагроэкспорт»</span></p></td></tr>
<tr>
<td style="BORDER-BOTTOM: #ece9d8; BORDER-LEFT: #ece9d8; PADDING-BOTTOM: 1.4pt; PADDING-LEFT: 2.85pt; PADDING-RIGHT: 2.85pt; BORDER-TOP: #ece9d8; BORDER-RIGHT: #ece9d8; PADDING-TOP: 1.4pt" valign="top" width="5%">
<p align="center"><span>8.</span></p></td>
<td style="BORDER-BOTTOM: #ece9d8; BORDER-LEFT: #ece9d8; PADDING-BOTTOM: 1.4pt; PADDING-LEFT: 2.85pt; PADDING-RIGHT: 2.85pt; BORDER-TOP: #ece9d8; BORDER-RIGHT: #ece9d8; PADDING-TOP: 1.4pt" valign="top" width="94%" colspan="2">
<p><span>Акционерный коммерческий банк «Узагроэкспортбанк»</span></p></td></tr>
<tr>
<td style="BORDER-BOTTOM: #ece9d8; BORDER-LEFT: #ece9d8; PADDING-BOTTOM: 1.4pt; PADDING-LEFT: 2.85pt; PADDING-RIGHT: 2.85pt; BORDER-TOP: #ece9d8; BORDER-RIGHT: #ece9d8; PADDING-TOP: 1.4pt" valign="top" width="5%">
<p align="center"><span>9.</span></p></td>
<td style="BORDER-BOTTOM: #ece9d8; BORDER-LEFT: #ece9d8; PADDING-BOTTOM: 1.4pt; PADDING-LEFT: 2.85pt; PADDING-RIGHT: 2.85pt; BORDER-TOP: #ece9d8; BORDER-RIGHT: #ece9d8; PADDING-TOP: 1.4pt" valign="top" width="94%" colspan="2">
<p><span>Фонд поддержки экспорта субъектов малого бизнеса и частного предпринимательства при Национальном банке внешнеэкономической деятельности Республики Узбекистан</span></p></td></tr>
<tr>
<td style="BORDER-BOTTOM: #ece9d8; BORDER-LEFT: #ece9d8; PADDING-BOTTOM: 1.4pt; PADDING-LEFT: 2.85pt; PADDING-RIGHT: 2.85pt; BORDER-TOP: #ece9d8; BORDER-RIGHT: #ece9d8; PADDING-TOP: 1.4pt" valign="top" width="5%">
<p align="center"><span>10.</span></p></td>
<td style="BORDER-BOTTOM: #ece9d8; BORDER-LEFT: #ece9d8; PADDING-BOTTOM: 1.4pt; PADDING-LEFT: 2.85pt; PADDING-RIGHT: 2.85pt; BORDER-TOP: #ece9d8; BORDER-RIGHT: #ece9d8; PADDING-TOP: 1.4pt" valign="top" width="94%" colspan="2">
<p><span>Министерства, ведомства, компании, акционерные общества, предприятия и другие организации — в части вопросов экспорта продукции (работ и услуг), оптимизации импорта и локализации производства</span></p></td></tr>
<tr>
<td style="BORDER-BOTTOM: #ece9d8; BORDER-LEFT: #ece9d8; PADDING-BOTTOM: 1.4pt; PADDING-LEFT: 2.85pt; PADDING-RIGHT: 2.85pt; BORDER-TOP: #ece9d8; BORDER-RIGHT: #ece9d8; PADDING-TOP: 1.4pt" valign="top" width="5%">
<p align="center"><span>11.</span></p></td>
<td style="BORDER-BOTTOM: #ece9d8; BORDER-LEFT: #ece9d8; PADDING-BOTTOM: 1.4pt; PADDING-LEFT: 2.85pt; PADDING-RIGHT: 2.85pt; BORDER-TOP: #ece9d8; BORDER-RIGHT: #ece9d8; PADDING-TOP: 1.4pt" valign="top" width="94%" colspan="2">
<p><span>Совет Министров Республики Каракалпакстан, хокимияты областей и сельских районов — в части вопросов развития экспортного потенциала</span></p></td></tr></tbody></table></div></div><div class="COMMENT"><label id="s3935"></label><div name="edi3234170" id="edi3234170">См. <a href="/ru/docs/3233862?ONDATE=28.08.2017 00#edi3343757">последующую</a> редакцию.</div></div><div class="BY_DEFAULT lx_elem" style="color:#808080;" onmousemove="lx_mo(event,3234171)"><div class="lx_elem2"><div class="lx_elem3"><span onclick="lx_sf(3234171)"><img src="/img/cmt.svg" />Предложения по документу</span><span onclick="lx_pa(3234171)"><img src="/img/vlm.svg" />Прослушать аудио</span><span onclick="lx_cl(3234171)"><img src="/img/lnk.svg" />Получить ссылку из элемента документа</span></div></div><div name="3234171" id="3234171"></div></div><div class="APPL_BANNER_LANDSCAPE_TITLE lx_elem" style="color:#808080;" onmousemove="lx_mo(event,3234173)"><div class="lx_elem2"><div class="lx_elem3"><span onclick="lx_sf(3234173)"><img src="/img/cmt.svg" />Предложения по документу</span><span onclick="lx_pa(3234173)"><img src="/img/vlm.svg" />Прослушать аудио</span><span onclick="lx_cl(3234173)"><img src="/img/lnk.svg" />Получить ссылку из элемента документа</span></div></div><div name="3234173" id="3234173">ПРИЛОЖЕНИЕ № 15<br />к <a href="/ru/docs/3233862">постановлению</a> Президента Республики Узбекистан от 12 июня 2017 года № ПП-3051 </div></div><div class="ACT_FORM lx_elem" style="color:#808080;" onmousemove="lx_mo(event,3234174)"><div class="lx_elem2"><div class="lx_elem3"><span onclick="lx_sf(3234174)"><img src="/img/cmt.svg" />Предложения по документу</span><span onclick="lx_pa(3234174)"><img src="/img/vlm.svg" />Прослушать аудио</span><span onclick="lx_cl(3234174)"><img src="/img/lnk.svg" />Получить ссылку из элемента документа</span></div></div><div name="3234174" id="3234174">СТРУКТУРА</div></div><div class="ACT_TITLE_APPL lx_elem" style="color:#808080;" onmousemove="lx_mo(event,3234175)"><div class="lx_elem2"><div class="lx_elem3"><span onclick="lx_sf(3234175)"><img src="/img/cmt.svg" />Предложения по документу</span><span onclick="lx_pa(3234175)"><img src="/img/vlm.svg" />Прослушать аудио</span><span onclick="lx_cl(3234175)"><img src="/img/lnk.svg" />Получить ссылку из элемента документа</span></div></div><div name="3234175" id="3234175">Информационно-аналитического департамента по вопросам развития машиностроения, автомобильной и электротехнической промышленности, стандартизации продукции</div></div><div class="BY_DEFAULT lx_elem" style="color:#808080;" onmousemove="lx_mo(event,3234176)"><div class="lx_elem2"><div class="lx_elem3"><span onclick="lx_sf(3234176)"><img src="/img/cmt.svg" />Предложения по документу</span><span onclick="lx_pa(3234176)"><img src="/img/vlm.svg" />Прослушать аудио</span><span onclick="lx_cl(3234176)"><img src="/img/lnk.svg" />Получить ссылку из элемента документа</span></div></div><div name="3234176" id="3234176"></div></div><div class="BY_DEFAULT lx_elem" style="color:#808080;" onmousemove="lx_mo(event,3234177)"><div class="lx_elem2"><div class="lx_elem3"><span onclick="lx_sf(3234177)"><img src="/img/cmt.svg" />Предложения по документу</span><span onclick="lx_pa(3234177)"><img src="/img/vlm.svg" />Прослушать аудио</span><span onclick="lx_cl(3234177)"><img src="/img/lnk.svg" />Получить ссылку из элемента документа</span></div></div><div name="3234177" id="3234177"><table style="BORDER-COLLAPSE: collapse; BACKGROUND: white" border="0" cellspacing="0" cellpadding="0" width="100%">
<tbody>
<tr>
<td style="BORDER-BOTTOM: #ece9d8; BORDER-LEFT: #ece9d8; PADDING-BOTTOM: 1.4pt; PADDING-LEFT: 2.85pt; PADDING-RIGHT: 2.85pt; BORDER-TOP: #ece9d8; BORDER-RIGHT: #ece9d8; PADDING-TOP: 1.4pt" valign="top" width="92%" colspan="2">
<p><b><span>Заведующий департаментом</span></b></p></td>
<td style="BORDER-BOTTOM: #ece9d8; BORDER-LEFT: #ece9d8; PADDING-BOTTOM: 1.4pt; PADDING-LEFT: 2.85pt; PADDING-RIGHT: 2.85pt; BORDER-TOP: #ece9d8; BORDER-RIGHT: #ece9d8; PADDING-TOP: 1.4pt" valign="top" width="7%">
<p align="center"><span>1</span></p></td></tr>
<tr>
<td style="BORDER-BOTTOM: #ece9d8; BORDER-LEFT: #ece9d8; PADDING-BOTTOM: 1.4pt; PADDING-LEFT: 2.85pt; PADDING-RIGHT: 2.85pt; BORDER-TOP: #ece9d8; BORDER-RIGHT: #ece9d8; PADDING-TOP: 1.4pt" valign="top" width="92%" colspan="2">
<p><span>Сектор машиностроения и автомобильной промышленности</span></p></td>
<td style="BORDER-BOTTOM: #ece9d8; BORDER-LEFT: #ece9d8; PADDING-BOTTOM: 1.4pt; PADDING-LEFT: 2.85pt; PADDING-RIGHT: 2.85pt; BORDER-TOP: #ece9d8; BORDER-RIGHT: #ece9d8; PADDING-TOP: 1.4pt" valign="top" width="7%">
<p align="center"></p></td></tr>
<tr>
<td style="BORDER-BOTTOM: #ece9d8; BORDER-LEFT: #ece9d8; PADDING-BOTTOM: 1.4pt; PADDING-LEFT: 2.85pt; PADDING-RIGHT: 2.85pt; BORDER-TOP: #ece9d8; BORDER-RIGHT: #ece9d8; PADDING-TOP: 1.4pt" valign="top" width="92%" colspan="2">
<p><span>Заведующий сектором</span></p></td>
<td style="BORDER-BOTTOM: #ece9d8; BORDER-LEFT: #ece9d8; PADDING-BOTTOM: 1.4pt; PADDING-LEFT: 2.85pt; PADDING-RIGHT: 2.85pt; BORDER-TOP: #ece9d8; BORDER-RIGHT: #ece9d8; PADDING-TOP: 1.4pt" valign="top" width="7%">
<p align="center"><span>1</span></p></td></tr>
<tr>
<td style="BORDER-BOTTOM: #ece9d8; BORDER-LEFT: #ece9d8; PADDING-BOTTOM: 1.4pt; PADDING-LEFT: 2.85pt; PADDING-RIGHT: 2.85pt; BORDER-TOP: #ece9d8; BORDER-RIGHT: #ece9d8; PADDING-TOP: 1.4pt" valign="top" width="92%" colspan="2">
<p><span>Главный специалист по вопросам автомобильной промышленности</span></p></td>
<td style="BORDER-BOTTOM: #ece9d8; BORDER-LEFT: #ece9d8; PADDING-BOTTOM: 1.4pt; PADDING-LEFT: 2.85pt; PADDING-RIGHT: 2.85pt; BORDER-TOP: #ece9d8; BORDER-RIGHT: #ece9d8; PADDING-TOP: 1.4pt" valign="top" width="7%">
<p align="center"><span>1</span></p></td></tr>
<tr>
<td style="BORDER-BOTTOM: #ece9d8; BORDER-LEFT: #ece9d8; PADDING-BOTTOM: 1.4pt; PADDING-LEFT: 2.85pt; PADDING-RIGHT: 2.85pt; BORDER-TOP: #ece9d8; BORDER-RIGHT: #ece9d8; PADDING-TOP: 1.4pt" valign="top" width="92%" colspan="2">
<p><span>Главный специалист по вопросам сельскохозяйственного машиностроения</span></p></td>
<td style="BORDER-BOTTOM: #ece9d8; BORDER-LEFT: #ece9d8; PADDING-BOTTOM: 1.4pt; PADDING-LEFT: 2.85pt; PADDING-RIGHT: 2.85pt; BORDER-TOP: #ece9d8; BORDER-RIGHT: #ece9d8; PADDING-TOP: 1.4pt" valign="top" width="7%">
<p align="center"><span>1</span></p></td></tr>
<tr>
<td style="BORDER-BOTTOM: #ece9d8; BORDER-LEFT: #ece9d8; PADDING-BOTTOM: 1.4pt; PADDING-LEFT: 2.85pt; PADDING-RIGHT: 2.85pt; BORDER-TOP: #ece9d8; BORDER-RIGHT: #ece9d8; PADDING-TOP: 1.4pt" valign="top" width="92%" colspan="2">
<p><span>Ведущий специалист</span></p></td>
<td style="BORDER-BOTTOM: #ece9d8; BORDER-LEFT: #ece9d8; PADDING-BOTTOM: 1.4pt; PADDING-LEFT: 2.85pt; PADDING-RIGHT: 2.85pt; BORDER-TOP: #ece9d8; BORDER-RIGHT: #ece9d8; PADDING-TOP: 1.4pt" valign="top" width="7%">
<p align="center"><span>2</span></p></td></tr>
<tr>
<td style="BORDER-BOTTOM: #ece9d8; BORDER-LEFT: #ece9d8; PADDING-BOTTOM: 1.4pt; PADDING-LEFT: 2.85pt; PADDING-RIGHT: 2.85pt; BORDER-TOP: #ece9d8; BORDER-RIGHT: #ece9d8; PADDING-TOP: 1.4pt" valign="top" width="92%" colspan="2">
<p><span>Сектор электротехнической промышленности и стандартизации</span></p></td>
<td style="BORDER-BOTTOM: #ece9d8; BORDER-LEFT: #ece9d8; PADDING-BOTTOM: 1.4pt; PADDING-LEFT: 2.85pt; PADDING-RIGHT: 2.85pt; BORDER-TOP: #ece9d8; BORDER-RIGHT: #ece9d8; PADDING-TOP: 1.4pt" valign="top" width="7%">
<p align="center"> </p></td></tr>
<tr>
<td style="BORDER-BOTTOM: #ece9d8; BORDER-LEFT: #ece9d8; PADDING-BOTTOM: 1.4pt; PADDING-LEFT: 2.85pt; PADDING-RIGHT: 2.85pt; BORDER-TOP: #ece9d8; BORDER-RIGHT: #ece9d8; PADDING-TOP: 1.4pt" valign="top" width="92%" colspan="2">
<p><span>Заведующий сектором</span></p></td>
<td style="BORDER-BOTTOM: #ece9d8; BORDER-LEFT: #ece9d8; PADDING-BOTTOM: 1.4pt; PADDING-LEFT: 2.85pt; PADDING-RIGHT: 2.85pt; BORDER-TOP: #ece9d8; BORDER-RIGHT: #ece9d8; PADDING-TOP: 1.4pt" valign="top" width="7%">
<p align="center"><span>1</span></p></td></tr>
<tr>
<td style="BORDER-BOTTOM: #ece9d8; BORDER-LEFT: #ece9d8; PADDING-BOTTOM: 1.4pt; PADDING-LEFT: 2.85pt; PADDING-RIGHT: 2.85pt; BORDER-TOP: #ece9d8; BORDER-RIGHT: #ece9d8; PADDING-TOP: 1.4pt" valign="top" width="92%" colspan="2">
<p><span>Главный специалист по вопросам электротехнической промышленности</span></p></td>
<td style="BORDER-BOTTOM: #ece9d8; BORDER-LEFT: #ece9d8; PADDING-BOTTOM: 1.4pt; PADDING-LEFT: 2.85pt; PADDING-RIGHT: 2.85pt; BORDER-TOP: #ece9d8; BORDER-RIGHT: #ece9d8; PADDING-TOP: 1.4pt" valign="top" width="7%">
<p align="center"><span>1</span></p></td></tr>
<tr>
<td style="BORDER-BOTTOM: #ece9d8; BORDER-LEFT: #ece9d8; PADDING-BOTTOM: 1.4pt; PADDING-LEFT: 2.85pt; PADDING-RIGHT: 2.85pt; BORDER-TOP: #ece9d8; BORDER-RIGHT: #ece9d8; PADDING-TOP: 1.4pt" valign="top" width="92%" colspan="2">
<p><span>Ведущий специалист</span></p></td>
<td style="BORDER-BOTTOM: #ece9d8; BORDER-LEFT: #ece9d8; PADDING-BOTTOM: 1.4pt; PADDING-LEFT: 2.85pt; PADDING-RIGHT: 2.85pt; BORDER-TOP: #ece9d8; BORDER-RIGHT: #ece9d8; PADDING-TOP: 1.4pt" valign="top" width="7%">
<p align="center"><span>1</span></p></td></tr>
<tr>
<td style="BORDER-BOTTOM: #ece9d8; BORDER-LEFT: #ece9d8; PADDING-BOTTOM: 1.4pt; PADDING-LEFT: 2.85pt; PADDING-RIGHT: 2.85pt; BORDER-TOP: #ece9d8; BORDER-RIGHT: #ece9d8; PADDING-TOP: 1.4pt" valign="top" width="92%" colspan="2">
<p><span>Главный специалист по вопросам государственных материальных резервов</span></p></td>
<td style="BORDER-BOTTOM: #ece9d8; BORDER-LEFT: #ece9d8; PADDING-BOTTOM: 1.4pt; PADDING-LEFT: 2.85pt; PADDING-RIGHT: 2.85pt; BORDER-TOP: #ece9d8; BORDER-RIGHT: #ece9d8; PADDING-TOP: 1.4pt" valign="top" width="7%">
<p align="center"><span>1</span></p></td></tr>
<tr>
<td style="BORDER-BOTTOM: #ece9d8; BORDER-LEFT: #ece9d8; PADDING-BOTTOM: 1.4pt; PADDING-LEFT: 2.85pt; PADDING-RIGHT: 2.85pt; BORDER-TOP: #ece9d8; BORDER-RIGHT: #ece9d8; PADDING-TOP: 1.4pt" valign="top" width="92%" colspan="2">
<p><span>Главный специалист по вопросам стандартизации и метрологии</span></p></td>
<td style="BORDER-BOTTOM: #ece9d8; BORDER-LEFT: #ece9d8; PADDING-BOTTOM: 1.4pt; PADDING-LEFT: 2.85pt; PADDING-RIGHT: 2.85pt; BORDER-TOP: #ece9d8; BORDER-RIGHT: #ece9d8; PADDING-TOP: 1.4pt" valign="top" width="7%">
<p align="center"><span>1</span></p></td></tr>
<tr>
<td style="BORDER-BOTTOM: #ece9d8; BORDER-LEFT: #ece9d8; PADDING-BOTTOM: 1.4pt; PADDING-LEFT: 2.85pt; PADDING-RIGHT: 2.85pt; BORDER-TOP: #ece9d8; BORDER-RIGHT: #ece9d8; PADDING-TOP: 1.4pt" valign="top" width="92%" colspan="2">
<p><span>Ведущий специалист</span></p></td>
<td style="BORDER-BOTTOM: #ece9d8; BORDER-LEFT: #ece9d8; PADDING-BOTTOM: 1.4pt; PADDING-LEFT: 2.85pt; PADDING-RIGHT: 2.85pt; BORDER-TOP: #ece9d8; BORDER-RIGHT: #ece9d8; PADDING-TOP: 1.4pt" valign="top" width="7%">
<p align="center"><span>1</span></p></td></tr>
<tr>
<td style="BORDER-BOTTOM: #ece9d8; BORDER-LEFT: #ece9d8; PADDING-BOTTOM: 1.4pt; PADDING-LEFT: 2.85pt; PADDING-RIGHT: 2.85pt; BORDER-TOP: #ece9d8; BORDER-RIGHT: #ece9d8; PADDING-TOP: 1.4pt" valign="top" width="92%" colspan="2">
<p><span>Инспектор</span></p></td>
<td style="BORDER-BOTTOM: #ece9d8; BORDER-LEFT: #ece9d8; PADDING-BOTTOM: 1.4pt; PADDING-LEFT: 2.85pt; PADDING-RIGHT: 2.85pt; BORDER-TOP: #ece9d8; BORDER-RIGHT: #ece9d8; PADDING-TOP: 1.4pt" valign="top" width="7%">
<p align="center"><span>1</span></p></td></tr>
<tr>
<td style="BORDER-BOTTOM: #ece9d8; BORDER-LEFT: #ece9d8; PADDING-BOTTOM: 1.4pt; PADDING-LEFT: 2.85pt; PADDING-RIGHT: 2.85pt; BORDER-TOP: #ece9d8; BORDER-RIGHT: #ece9d8; PADDING-TOP: 1.4pt" valign="top" width="92%" colspan="2">
<p align="center"><b><span>Всего:</span></b></p></td>
<td style="BORDER-BOTTOM: #ece9d8; BORDER-LEFT: #ece9d8; PADDING-BOTTOM: 1.4pt; PADDING-LEFT: 2.85pt; PADDING-RIGHT: 2.85pt; BORDER-TOP: #ece9d8; BORDER-RIGHT: #ece9d8; PADDING-TOP: 1.4pt" valign="top" width="7%">
<p align="center"><b><span>13</span></b></p></td></tr>
<tr>
<td style="BORDER-BOTTOM: #ece9d8; BORDER-LEFT: #ece9d8; PADDING-BOTTOM: 1.4pt; PADDING-LEFT: 2.85pt; PADDING-RIGHT: 2.85pt; BORDER-TOP: #ece9d8; BORDER-RIGHT: #ece9d8; PADDING-TOP: 1.4pt" valign="top" width="100%" colspan="3">
<p align="center"><b><br /></b></p>
<p align="center"><b><span>КУРИРУЕМЫЕ <br />ведомства, хозяйственные объединения и другие организации</span></b></p></td></tr>
<tr>
<td style="BORDER-BOTTOM: #ece9d8; BORDER-LEFT: #ece9d8; PADDING-BOTTOM: 1.4pt; PADDING-LEFT: 2.85pt; PADDING-RIGHT: 2.85pt; BORDER-TOP: #ece9d8; BORDER-RIGHT: #ece9d8; PADDING-TOP: 1.4pt" valign="top" width="100%" colspan="3">
<p align="center"><b></b></p></td></tr>
<tr>
<td style="BORDER-BOTTOM: #ece9d8; BORDER-LEFT: #ece9d8; PADDING-BOTTOM: 1.4pt; PADDING-LEFT: 2.85pt; PADDING-RIGHT: 2.85pt; BORDER-TOP: #ece9d8; BORDER-RIGHT: #ece9d8; PADDING-TOP: 1.4pt" valign="top" width="5%">
<p align="center"><span>1.</span></p></td>
<td style="BORDER-BOTTOM: #ece9d8; BORDER-LEFT: #ece9d8; PADDING-BOTTOM: 1.4pt; PADDING-LEFT: 2.85pt; PADDING-RIGHT: 2.85pt; BORDER-TOP: #ece9d8; BORDER-RIGHT: #ece9d8; PADDING-TOP: 1.4pt" valign="top" width="94%" colspan="2">
<p><span>Комитет по управлению государственными резервами при Кабинете Министров Республики Узбекистан</span></p></td></tr>
<tr>
<td style="BORDER-BOTTOM: #ece9d8; BORDER-LEFT: #ece9d8; PADDING-BOTTOM: 1.4pt; PADDING-LEFT: 2.85pt; PADDING-RIGHT: 2.85pt; BORDER-TOP: #ece9d8; BORDER-RIGHT: #ece9d8; PADDING-TOP: 1.4pt" valign="top" width="5%">
<p align="center"><span>2.</span></p></td>
<td style="BORDER-BOTTOM: #ece9d8; BORDER-LEFT: #ece9d8; PADDING-BOTTOM: 1.4pt; PADDING-LEFT: 2.85pt; PADDING-RIGHT: 2.85pt; BORDER-TOP: #ece9d8; BORDER-RIGHT: #ece9d8; PADDING-TOP: 1.4pt" valign="top" width="94%" colspan="2">
<p><span>Узбекское агентство стандартизации, метрологии и сертификации (Агентство «Узстандарт»)</span></p></td></tr>
<tr>
<td style="BORDER-BOTTOM: #ece9d8; BORDER-LEFT: #ece9d8; PADDING-BOTTOM: 1.4pt; PADDING-LEFT: 2.85pt; PADDING-RIGHT: 2.85pt; BORDER-TOP: #ece9d8; BORDER-RIGHT: #ece9d8; PADDING-TOP: 1.4pt" valign="top" width="5%">
<p align="center"><span>3.</span></p></td>
<td style="BORDER-BOTTOM: #ece9d8; BORDER-LEFT: #ece9d8; PADDING-BOTTOM: 1.4pt; PADDING-LEFT: 2.85pt; PADDING-RIGHT: 2.85pt; BORDER-TOP: #ece9d8; BORDER-RIGHT: #ece9d8; PADDING-TOP: 1.4pt" valign="top" width="94%" colspan="2">
<p><span>АО «Узагротехсаноатхолдинг»</span></p></td></tr>
<tr>
<td style="BORDER-BOTTOM: #ece9d8; BORDER-LEFT: #ece9d8; PADDING-BOTTOM: 1.4pt; PADDING-LEFT: 2.85pt; PADDING-RIGHT: 2.85pt; BORDER-TOP: #ece9d8; BORDER-RIGHT: #ece9d8; PADDING-TOP: 1.4pt" valign="top" width="5%">
<p align="center"><span>4.</span></p></td>
<td style="BORDER-BOTTOM: #ece9d8; BORDER-LEFT: #ece9d8; PADDING-BOTTOM: 1.4pt; PADDING-LEFT: 2.85pt; PADDING-RIGHT: 2.85pt; BORDER-TOP: #ece9d8; BORDER-RIGHT: #ece9d8; PADDING-TOP: 1.4pt" valign="top" width="94%" colspan="2">
<p><span>АО «Узагротехмаш»</span></p></td></tr>
<tr>
<td style="BORDER-BOTTOM: #ece9d8; BORDER-LEFT: #ece9d8; PADDING-BOTTOM: 1.4pt; PADDING-LEFT: 2.85pt; PADDING-RIGHT: 2.85pt; BORDER-TOP: #ece9d8; BORDER-RIGHT: #ece9d8; PADDING-TOP: 1.4pt" valign="top" width="5%">
<p align="center"><span>5.</span></p></td>
<td style="BORDER-BOTTOM: #ece9d8; BORDER-LEFT: #ece9d8; PADDING-BOTTOM: 1.4pt; PADDING-LEFT: 2.85pt; PADDING-RIGHT: 2.85pt; BORDER-TOP: #ece9d8; BORDER-RIGHT: #ece9d8; PADDING-TOP: 1.4pt" valign="top" width="94%" colspan="2">
<p><span>АО «Узагролизинг»</span></p></td></tr>
<tr>
<td style="BORDER-BOTTOM: #ece9d8; BORDER-LEFT: #ece9d8; PADDING-BOTTOM: 1.4pt; PADDING-LEFT: 2.85pt; PADDING-RIGHT: 2.85pt; BORDER-TOP: #ece9d8; BORDER-RIGHT: #ece9d8; PADDING-TOP: 1.4pt" valign="top" width="5%">
<p align="center"><span>6.</span></p></td>
<td style="BORDER-BOTTOM: #ece9d8; BORDER-LEFT: #ece9d8; PADDING-BOTTOM: 1.4pt; PADDING-LEFT: 2.85pt; PADDING-RIGHT: 2.85pt; BORDER-TOP: #ece9d8; BORDER-RIGHT: #ece9d8; PADDING-TOP: 1.4pt" valign="top" width="94%" colspan="2">
<p><span>АО «Узагросервис»</span></p></td></tr>
<tr>
<td style="BORDER-BOTTOM: #ece9d8; BORDER-LEFT: #ece9d8; PADDING-BOTTOM: 1.4pt; PADDING-LEFT: 2.85pt; PADDING-RIGHT: 2.85pt; BORDER-TOP: #ece9d8; BORDER-RIGHT: #ece9d8; PADDING-TOP: 1.4pt" valign="top" width="5%">
<p align="center"><span>7.</span></p></td>
<td style="BORDER-BOTTOM: #ece9d8; BORDER-LEFT: #ece9d8; PADDING-BOTTOM: 1.4pt; PADDING-LEFT: 2.85pt; PADDING-RIGHT: 2.85pt; BORDER-TOP: #ece9d8; BORDER-RIGHT: #ece9d8; PADDING-TOP: 1.4pt" valign="top" width="94%" colspan="2">
<p><span>АО «Узавтосаноат»</span></p></td></tr>
<tr>
<td style="BORDER-BOTTOM: #ece9d8; BORDER-LEFT: #ece9d8; PADDING-BOTTOM: 1.4pt; PADDING-LEFT: 2.85pt; PADDING-RIGHT: 2.85pt; BORDER-TOP: #ece9d8; BORDER-RIGHT: #ece9d8; PADDING-TOP: 1.4pt" valign="top" width="5%">
<p align="center"><span>8.</span></p></td>
<td style="BORDER-BOTTOM: #ece9d8; BORDER-LEFT: #ece9d8; PADDING-BOTTOM: 1.4pt; PADDING-LEFT: 2.85pt; PADDING-RIGHT: 2.85pt; BORDER-TOP: #ece9d8; BORDER-RIGHT: #ece9d8; PADDING-TOP: 1.4pt" valign="top" width="94%" colspan="2">
<p><span>АК «Узэлтехсаноат»</span></p></td></tr>
<tr>
<td style="BORDER-BOTTOM: #ece9d8; BORDER-LEFT: #ece9d8; PADDING-BOTTOM: 1.4pt; PADDING-LEFT: 2.85pt; PADDING-RIGHT: 2.85pt; BORDER-TOP: #ece9d8; BORDER-RIGHT: #ece9d8; PADDING-TOP: 1.4pt" valign="top" width="5%">
<p align="center"><span>9.</span></p></td>
<td style="BORDER-BOTTOM: #ece9d8; BORDER-LEFT: #ece9d8; PADDING-BOTTOM: 1.4pt; PADDING-LEFT: 2.85pt; PADDING-RIGHT: 2.85pt; BORDER-TOP: #ece9d8; BORDER-RIGHT: #ece9d8; PADDING-TOP: 1.4pt" valign="top" width="94%" colspan="2">
<p><span>ГП «Чирчикский АРЗ»</span></p></td></tr>
<tr>
<td style="BORDER-BOTTOM: #ece9d8; BORDER-LEFT: #ece9d8; PADDING-BOTTOM: 1.4pt; PADDING-LEFT: 2.85pt; PADDING-RIGHT: 2.85pt; BORDER-TOP: #ece9d8; BORDER-RIGHT: #ece9d8; PADDING-TOP: 1.4pt" valign="top" width="5%">
<p align="center"><span>10.</span></p></td>
<td style="BORDER-BOTTOM: #ece9d8; BORDER-LEFT: #ece9d8; PADDING-BOTTOM: 1.4pt; PADDING-LEFT: 2.85pt; PADDING-RIGHT: 2.85pt; BORDER-TOP: #ece9d8; BORDER-RIGHT: #ece9d8; PADDING-TOP: 1.4pt" valign="top" width="94%" colspan="2">
<p><span>ГУП НПО «Восток»</span></p></td></tr></tbody></table></div></div><div class="COMMENT"><label id="s3935"></label><div name="edi3234177" id="edi3234177">См. <a href="/ru/docs/3233862?ONDATE=03.03.2018 00#edi3580213">последующую</a> редакцию.</div></div><div class="BY_DEFAULT lx_elem" onmousemove="lx_mo(event,3234178)"><div class="lx_elem2"><div class="lx_elem3"><span onclick="lx_sf(3234178)"><img src="/img/cmt.svg" />Предложения по документу</span><span onclick="lx_pa(3234178)"><img src="/img/vlm.svg" />Прослушать аудио</span><span onclick="lx_cl(3234178)"><img src="/img/lnk.svg" />Получить ссылку из элемента документа</span></div></div><div name="3234178" id="3234178"></div></div><div class="APPL_BANNER_LANDSCAPE_TITLE lx_elem" onmousemove="lx_mo(event,3234179)"><div class="lx_elem2"><div class="lx_elem3"><span onclick="lx_sf(3234179)"><img src="/img/cmt.svg" />Предложения по документу</span><span onclick="lx_pa(3234179)"><img src="/img/vlm.svg" />Прослушать аудио</span><span onclick="lx_cl(3234179)"><img src="/img/lnk.svg" />Получить ссылку из элемента документа</span></div></div><div name="3234179" id="3234179">ПРИЛОЖЕНИЕ № 16<br />к <a href="/ru/docs/3233862">постановлению</a> Президента Республики Узбекистан от 12 июня 2017 года № ПП-3051 </div></div><div class="ACT_FORM lx_elem" onmousemove="lx_mo(event,3234180)"><div class="lx_elem2"><div class="lx_elem3"><span onclick="lx_sf(3234180)"><img src="/img/cmt.svg" />Предложения по документу</span><span onclick="lx_pa(3234180)"><img src="/img/vlm.svg" />Прослушать аудио</span><span onclick="lx_cl(3234180)"><img src="/img/lnk.svg" />Получить ссылку из элемента документа</span></div></div><div name="3234180" id="3234180">СТРУКТУРА</div></div><div class="ACT_TITLE_APPL lx_elem" onmousemove="lx_mo(event,3234181)"><div class="lx_elem2"><div class="lx_elem3"><span onclick="lx_sf(3234181)"><img src="/img/cmt.svg" />Предложения по документу</span><span onclick="lx_pa(3234181)"><img src="/img/vlm.svg" />Прослушать аудио</span><span onclick="lx_cl(3234181)"><img src="/img/lnk.svg" />Получить ссылку из элемента документа</span></div></div><div name="3234181" id="3234181">Секретариата заместителя Премьер-министра — председателя Комитета женщин Узбекистана</div></div><div class="BY_DEFAULT lx_elem" onmousemove="lx_mo(event,3234182)"><div class="lx_elem2"><div class="lx_elem3"><span onclick="lx_sf(3234182)"><img src="/img/cmt.svg" />Предложения по документу</span><span onclick="lx_pa(3234182)"><img src="/img/vlm.svg" />Прослушать аудио</span><span onclick="lx_cl(3234182)"><img src="/img/lnk.svg" />Получить ссылку из элемента документа</span></div></div><div name="3234182" id="3234182"></div></div><div class="BY_DEFAULT lx_elem" onmousemove="lx_mo(event,3234183)"><div class="lx_elem2"><div class="lx_elem3"><span onclick="lx_sf(3234183)"><img src="/img/cmt.svg" />Предложения по документу</span><span onclick="lx_pa(3234183)"><img src="/img/vlm.svg" />Прослушать аудио</span><span onclick="lx_cl(3234183)"><img src="/img/lnk.svg" />Получить ссылку из элемента документа</span></div></div><div name="3234183" id="3234183"><table style="BORDER-COLLAPSE: collapse; BACKGROUND: white" border="0" cellspacing="0" cellpadding="0" width="100%">
<tbody>
<tr>
<td style="BORDER-BOTTOM: #ece9d8; BORDER-LEFT: #ece9d8; PADDING-BOTTOM: 1.4pt; PADDING-LEFT: 2.85pt; PADDING-RIGHT: 2.85pt; BORDER-TOP: #ece9d8; BORDER-RIGHT: #ece9d8; PADDING-TOP: 1.4pt" valign="top" width="92%" colspan="2">
<p><b><span>Заведующий секретариатом</span></b></p></td>
<td style="BORDER-BOTTOM: #ece9d8; BORDER-LEFT: #ece9d8; PADDING-BOTTOM: 1.4pt; PADDING-LEFT: 2.85pt; PADDING-RIGHT: 2.85pt; BORDER-TOP: #ece9d8; BORDER-RIGHT: #ece9d8; PADDING-TOP: 1.4pt" valign="top" width="7%">
<p align="center"><span>1</span></p></td></tr>
<tr>
<td style="BORDER-BOTTOM: #ece9d8; BORDER-LEFT: #ece9d8; PADDING-BOTTOM: 1.4pt; PADDING-LEFT: 2.85pt; PADDING-RIGHT: 2.85pt; BORDER-TOP: #ece9d8; BORDER-RIGHT: #ece9d8; PADDING-TOP: 1.4pt" valign="top" width="92%" colspan="2">
<p><span>Помощник заместителя Премьер-министра Республики Узбекистан</span></p></td>
<td style="BORDER-BOTTOM: #ece9d8; BORDER-LEFT: #ece9d8; PADDING-BOTTOM: 1.4pt; PADDING-LEFT: 2.85pt; PADDING-RIGHT: 2.85pt; BORDER-TOP: #ece9d8; BORDER-RIGHT: #ece9d8; PADDING-TOP: 1.4pt" valign="top" width="7%">
<p align="center"><span>1</span></p></td></tr>
<tr>
<td style="BORDER-BOTTOM: #ece9d8; BORDER-LEFT: #ece9d8; PADDING-BOTTOM: 1.4pt; PADDING-LEFT: 2.85pt; PADDING-RIGHT: 2.85pt; BORDER-TOP: #ece9d8; BORDER-RIGHT: #ece9d8; PADDING-TOP: 1.4pt" valign="top" width="92%" colspan="2">
<p><span>Ведущий специалист</span></p></td>
<td style="BORDER-BOTTOM: #ece9d8; BORDER-LEFT: #ece9d8; PADDING-BOTTOM: 1.4pt; PADDING-LEFT: 2.85pt; PADDING-RIGHT: 2.85pt; BORDER-TOP: #ece9d8; BORDER-RIGHT: #ece9d8; PADDING-TOP: 1.4pt" valign="top" width="7%">
<p align="center"><span>1</span></p></td></tr>
<tr>
<td style="BORDER-BOTTOM: #ece9d8; BORDER-LEFT: #ece9d8; PADDING-BOTTOM: 1.4pt; PADDING-LEFT: 2.85pt; PADDING-RIGHT: 2.85pt; BORDER-TOP: #ece9d8; BORDER-RIGHT: #ece9d8; PADDING-TOP: 1.4pt" valign="top" width="92%" colspan="2">
<p><span>Инспектор</span></p></td>
<td style="BORDER-BOTTOM: #ece9d8; BORDER-LEFT: #ece9d8; PADDING-BOTTOM: 1.4pt; PADDING-LEFT: 2.85pt; PADDING-RIGHT: 2.85pt; BORDER-TOP: #ece9d8; BORDER-RIGHT: #ece9d8; PADDING-TOP: 1.4pt" valign="top" width="7%">
<p align="center"><span>1</span></p></td></tr>
<tr>
<td style="BORDER-BOTTOM: #ece9d8; BORDER-LEFT: #ece9d8; PADDING-BOTTOM: 1.4pt; PADDING-LEFT: 2.85pt; PADDING-RIGHT: 2.85pt; BORDER-TOP: #ece9d8; BORDER-RIGHT: #ece9d8; PADDING-TOP: 1.4pt" valign="top" width="92%" colspan="2">
<p align="center"><b><span>Всего:<br /></span></b></p></td>
<td style="BORDER-BOTTOM: #ece9d8; BORDER-LEFT: #ece9d8; PADDING-BOTTOM: 1.4pt; PADDING-LEFT: 2.85pt; PADDING-RIGHT: 2.85pt; BORDER-TOP: #ece9d8; BORDER-RIGHT: #ece9d8; PADDING-TOP: 1.4pt" valign="top" width="7%">
<p align="center"><b><span>4</span></b></p></td></tr>
<tr>
<td style="BORDER-BOTTOM: #ece9d8; BORDER-LEFT: #ece9d8; PADDING-BOTTOM: 1.4pt; PADDING-LEFT: 2.85pt; PADDING-RIGHT: 2.85pt; BORDER-TOP: #ece9d8; BORDER-RIGHT: #ece9d8; PADDING-TOP: 1.4pt" valign="top" width="100%" colspan="3">
<p align="center"><b></b></p>
<p align="center"><b><span>КУРИРУЕМЫЕ <br />органы и общественные организации</span></b></p></td></tr>
<tr>
<td style="BORDER-BOTTOM: #ece9d8; BORDER-LEFT: #ece9d8; PADDING-BOTTOM: 1.4pt; PADDING-LEFT: 2.85pt; PADDING-RIGHT: 2.85pt; BORDER-TOP: #ece9d8; BORDER-RIGHT: #ece9d8; PADDING-TOP: 1.4pt" valign="top" width="100%" colspan="3">
<p align="center"><b></b></p></td></tr>
<tr>
<td style="BORDER-BOTTOM: #ece9d8; BORDER-LEFT: #ece9d8; PADDING-BOTTOM: 1.4pt; PADDING-LEFT: 2.85pt; PADDING-RIGHT: 2.85pt; BORDER-TOP: #ece9d8; BORDER-RIGHT: #ece9d8; PADDING-TOP: 1.4pt" valign="top" width="5%">
<p align="center"><span>1.</span></p></td>
<td style="BORDER-BOTTOM: #ece9d8; BORDER-LEFT: #ece9d8; PADDING-BOTTOM: 1.4pt; PADDING-LEFT: 2.85pt; PADDING-RIGHT: 2.85pt; BORDER-TOP: #ece9d8; BORDER-RIGHT: #ece9d8; PADDING-TOP: 1.4pt" valign="top" width="94%" colspan="2">
<p><span>Комитет женщин Узбекистана</span></p></td></tr>
<tr>
<td style="BORDER-BOTTOM: #ece9d8; BORDER-LEFT: #ece9d8; PADDING-BOTTOM: 1.4pt; PADDING-LEFT: 2.85pt; PADDING-RIGHT: 2.85pt; BORDER-TOP: #ece9d8; BORDER-RIGHT: #ece9d8; PADDING-TOP: 1.4pt" valign="top" width="5%">
<p align="center"><span>2.</span></p></td>
<td style="BORDER-BOTTOM: #ece9d8; BORDER-LEFT: #ece9d8; PADDING-BOTTOM: 1.4pt; PADDING-LEFT: 2.85pt; PADDING-RIGHT: 2.85pt; BORDER-TOP: #ece9d8; BORDER-RIGHT: #ece9d8; PADDING-TOP: 1.4pt" valign="top" width="94%" colspan="2">
<p><span>Ассоциация деловых женщин Узбекистана</span></p></td></tr>
<tr>
<td style="BORDER-BOTTOM: #ece9d8; BORDER-LEFT: #ece9d8; PADDING-BOTTOM: 1.4pt; PADDING-LEFT: 2.85pt; PADDING-RIGHT: 2.85pt; BORDER-TOP: #ece9d8; BORDER-RIGHT: #ece9d8; PADDING-TOP: 1.4pt" valign="top" width="5%">
<p align="center"><span>3.</span></p></td>
<td style="BORDER-BOTTOM: #ece9d8; BORDER-LEFT: #ece9d8; PADDING-BOTTOM: 1.4pt; PADDING-LEFT: 2.85pt; PADDING-RIGHT: 2.85pt; BORDER-TOP: #ece9d8; BORDER-RIGHT: #ece9d8; PADDING-TOP: 1.4pt" valign="top" width="94%" colspan="2">
<p><span>Научно-практический центр «Оила»</span></p></td></tr>
<tr>
<td style="BORDER-BOTTOM: #ece9d8; BORDER-LEFT: #ece9d8; PADDING-BOTTOM: 1.4pt; PADDING-LEFT: 2.85pt; PADDING-RIGHT: 2.85pt; BORDER-TOP: #ece9d8; BORDER-RIGHT: #ece9d8; PADDING-TOP: 1.4pt" valign="top" width="5%">
<p align="center"><span>4.</span></p></td>
<td style="BORDER-BOTTOM: #ece9d8; BORDER-LEFT: #ece9d8; PADDING-BOTTOM: 1.4pt; PADDING-LEFT: 2.85pt; PADDING-RIGHT: 2.85pt; BORDER-TOP: #ece9d8; BORDER-RIGHT: #ece9d8; PADDING-TOP: 1.4pt" valign="top" width="94%" colspan="2">
<p><span>Международный благотворительный фонд «Соглом авлод учун»</span></p></td></tr>
<tr>
<td style="BORDER-BOTTOM: #ece9d8; BORDER-LEFT: #ece9d8; PADDING-BOTTOM: 1.4pt; PADDING-LEFT: 2.85pt; PADDING-RIGHT: 2.85pt; BORDER-TOP: #ece9d8; BORDER-RIGHT: #ece9d8; PADDING-TOP: 1.4pt" valign="top" width="5%">
<p align="center"><span>5.</span></p></td>
<td style="BORDER-BOTTOM: #ece9d8; BORDER-LEFT: #ece9d8; PADDING-BOTTOM: 1.4pt; PADDING-LEFT: 2.85pt; PADDING-RIGHT: 2.85pt; BORDER-TOP: #ece9d8; BORDER-RIGHT: #ece9d8; PADDING-TOP: 1.4pt" valign="top" width="94%" colspan="2">
<p><span>Министерства, государственные комитеты, ведомства и организации — в части вопросов обеспечения интересов семьи, материнства и детства, оздоровления духовно-нравственной среды в обществе</span></p></td></tr>
<tr>
<td style="BORDER-BOTTOM: #ece9d8; BORDER-LEFT: #ece9d8; PADDING-BOTTOM: 1.4pt; PADDING-LEFT: 2.85pt; PADDING-RIGHT: 2.85pt; BORDER-TOP: #ece9d8; BORDER-RIGHT: #ece9d8; PADDING-TOP: 1.4pt" valign="top" width="5%">
<p align="center"><span>6.</span></p></td>
<td style="BORDER-BOTTOM: #ece9d8; BORDER-LEFT: #ece9d8; PADDING-BOTTOM: 1.4pt; PADDING-LEFT: 2.85pt; PADDING-RIGHT: 2.85pt; BORDER-TOP: #ece9d8; BORDER-RIGHT: #ece9d8; PADDING-TOP: 1.4pt" valign="top" width="94%" colspan="2">
<p><span>Совет Министров Республики Каракалпакстан, хокимияты областей, городов и районов — в части вопросов обеспечения интересов семьи, материнства и детства, оздоровления духовно-нравственной среды в обществе</span></p></td></tr></tbody></table></div></div><div class="BY_DEFAULT lx_elem" onmousemove="lx_mo(event,3234184)"><div class="lx_elem2"><div class="lx_elem3"><span onclick="lx_sf(3234184)"><img src="/img/cmt.svg" />Предложения по документу</span><span onclick="lx_pa(3234184)"><img src="/img/vlm.svg" />Прослушать аудио</span><span onclick="lx_cl(3234184)"><img src="/img/lnk.svg" />Получить ссылку из элемента документа</span></div></div><div name="3234184" id="3234184"></div></div><div class="APPL_BANNER_LANDSCAPE_TITLE lx_elem" onmousemove="lx_mo(event,3234185)"><div class="lx_elem2"><div class="lx_elem3"><span onclick="lx_sf(3234185)"><img src="/img/cmt.svg" />Предложения по документу</span><span onclick="lx_pa(3234185)"><img src="/img/vlm.svg" />Прослушать аудио</span><span onclick="lx_cl(3234185)"><img src="/img/lnk.svg" />Получить ссылку из элемента документа</span></div></div><div name="3234185" id="3234185">ПРИЛОЖЕНИЕ № 17<br />к <a href="/ru/docs/3233862">постановлению</a> Президента Республики Узбекистан от 12 июня 2017 года № ПП-3051 </div></div><div class="ACT_FORM lx_elem" onmousemove="lx_mo(event,3234186)"><div class="lx_elem2"><div class="lx_elem3"><span onclick="lx_sf(3234186)"><img src="/img/cmt.svg" />Предложения по документу</span><span onclick="lx_pa(3234186)"><img src="/img/vlm.svg" />Прослушать аудио</span><span onclick="lx_cl(3234186)"><img src="/img/lnk.svg" />Получить ссылку из элемента документа</span></div></div><div name="3234186" id="3234186">СТРУКТУРА</div></div><div class="ACT_TITLE_APPL lx_elem" onmousemove="lx_mo(event,3234187)"><div class="lx_elem2"><div class="lx_elem3"><span onclick="lx_sf(3234187)"><img src="/img/cmt.svg" />Предложения по документу</span><span onclick="lx_pa(3234187)"><img src="/img/vlm.svg" />Прослушать аудио</span><span onclick="lx_cl(3234187)"><img src="/img/lnk.svg" />Получить ссылку из элемента документа</span></div></div><div name="3234187" id="3234187">Управления правовой экспертизы, международных договоров и развития внешних связей</div></div><div class="BY_DEFAULT lx_elem" onmousemove="lx_mo(event,3234188)"><div class="lx_elem2"><div class="lx_elem3"><span onclick="lx_sf(3234188)"><img src="/img/cmt.svg" />Предложения по документу</span><span onclick="lx_pa(3234188)"><img src="/img/vlm.svg" />Прослушать аудио</span><span onclick="lx_cl(3234188)"><img src="/img/lnk.svg" />Получить ссылку из элемента документа</span></div></div><div name="3234188" id="3234188"></div></div><div class="BY_DEFAULT lx_elem" onmousemove="lx_mo(event,3234189)"><div class="lx_elem2"><div class="lx_elem3"><span onclick="lx_sf(3234189)"><img src="/img/cmt.svg" />Предложения по документу</span><span onclick="lx_pa(3234189)"><img src="/img/vlm.svg" />Прослушать аудио</span><span onclick="lx_cl(3234189)"><img src="/img/lnk.svg" />Получить ссылку из элемента документа</span></div></div><div name="3234189" id="3234189"><table style="BORDER-COLLAPSE: collapse; BACKGROUND: white" border="0" cellspacing="0" cellpadding="0" width="100%">
<tbody>
<tr>
<td style="BORDER-BOTTOM: #ece9d8; BORDER-LEFT: #ece9d8; PADDING-BOTTOM: 1.4pt; PADDING-LEFT: 2.85pt; PADDING-RIGHT: 2.85pt; BORDER-TOP: #ece9d8; BORDER-RIGHT: #ece9d8; PADDING-TOP: 1.4pt" valign="top" width="92%">
<p><span>Начальник управления</span></p></td>
<td style="BORDER-BOTTOM: #ece9d8; BORDER-LEFT: #ece9d8; PADDING-BOTTOM: 1.4pt; PADDING-LEFT: 2.85pt; PADDING-RIGHT: 2.85pt; BORDER-TOP: #ece9d8; BORDER-RIGHT: #ece9d8; PADDING-TOP: 1.4pt" valign="top" width="7%">
<p align="center"><span>1</span></p></td></tr>
<tr>
<td style="BORDER-BOTTOM: #ece9d8; BORDER-LEFT: #ece9d8; PADDING-BOTTOM: 1.4pt; PADDING-LEFT: 2.85pt; PADDING-RIGHT: 2.85pt; BORDER-TOP: #ece9d8; BORDER-RIGHT: #ece9d8; PADDING-TOP: 1.4pt" valign="top" width="92%">
<p><span>Отдел правовой экспертизы</span></p></td>
<td style="BORDER-BOTTOM: #ece9d8; BORDER-LEFT: #ece9d8; PADDING-BOTTOM: 1.4pt; PADDING-LEFT: 2.85pt; PADDING-RIGHT: 2.85pt; BORDER-TOP: #ece9d8; BORDER-RIGHT: #ece9d8; PADDING-TOP: 1.4pt" valign="top" width="7%">
<p align="center"></p></td></tr>
<tr>
<td style="BORDER-BOTTOM: #ece9d8; BORDER-LEFT: #ece9d8; PADDING-BOTTOM: 1.4pt; PADDING-LEFT: 2.85pt; PADDING-RIGHT: 2.85pt; BORDER-TOP: #ece9d8; BORDER-RIGHT: #ece9d8; PADDING-TOP: 1.4pt" valign="top" width="92%">
<p><span>Заведующий отделом</span></p></td>
<td style="BORDER-BOTTOM: #ece9d8; BORDER-LEFT: #ece9d8; PADDING-BOTTOM: 1.4pt; PADDING-LEFT: 2.85pt; PADDING-RIGHT: 2.85pt; BORDER-TOP: #ece9d8; BORDER-RIGHT: #ece9d8; PADDING-TOP: 1.4pt" valign="top" width="7%">
<p align="center"><span>1</span></p></td></tr>
<tr>
<td style="BORDER-BOTTOM: #ece9d8; BORDER-LEFT: #ece9d8; PADDING-BOTTOM: 1.4pt; PADDING-LEFT: 2.85pt; PADDING-RIGHT: 2.85pt; BORDER-TOP: #ece9d8; BORDER-RIGHT: #ece9d8; PADDING-TOP: 1.4pt" valign="top" width="92%">
<p><span>Главный специалист по вопросам административного законодательства, систематизации нормативно-правовых актов</span></p></td>
<td style="BORDER-BOTTOM: #ece9d8; BORDER-LEFT: #ece9d8; PADDING-BOTTOM: 1.4pt; PADDING-LEFT: 2.85pt; PADDING-RIGHT: 2.85pt; BORDER-TOP: #ece9d8; BORDER-RIGHT: #ece9d8; PADDING-TOP: 1.4pt" valign="top" width="7%">
<p align="center"><span>1</span></p></td></tr>
<tr>
<td style="BORDER-BOTTOM: #ece9d8; BORDER-LEFT: #ece9d8; PADDING-BOTTOM: 1.4pt; PADDING-LEFT: 2.85pt; PADDING-RIGHT: 2.85pt; BORDER-TOP: #ece9d8; BORDER-RIGHT: #ece9d8; PADDING-TOP: 1.4pt" valign="top" width="92%">
<p><span>Главный специалист по вопросам социального законодательства</span></p></td>
<td style="BORDER-BOTTOM: #ece9d8; BORDER-LEFT: #ece9d8; PADDING-BOTTOM: 1.4pt; PADDING-LEFT: 2.85pt; PADDING-RIGHT: 2.85pt; BORDER-TOP: #ece9d8; BORDER-RIGHT: #ece9d8; PADDING-TOP: 1.4pt" valign="top" width="7%">
<p align="center"><span>2</span></p></td></tr>
<tr>
<td style="BORDER-BOTTOM: #ece9d8; BORDER-LEFT: #ece9d8; PADDING-BOTTOM: 1.4pt; PADDING-LEFT: 2.85pt; PADDING-RIGHT: 2.85pt; BORDER-TOP: #ece9d8; BORDER-RIGHT: #ece9d8; PADDING-TOP: 1.4pt" valign="top" width="92%">
<p><span>Главный специалист по вопросам экономического законодательства</span></p></td>
<td style="BORDER-BOTTOM: #ece9d8; BORDER-LEFT: #ece9d8; PADDING-BOTTOM: 1.4pt; PADDING-LEFT: 2.85pt; PADDING-RIGHT: 2.85pt; BORDER-TOP: #ece9d8; BORDER-RIGHT: #ece9d8; PADDING-TOP: 1.4pt" valign="top" width="7%">
<p align="center"><span>1</span></p></td></tr>
<tr>
<td style="BORDER-BOTTOM: #ece9d8; BORDER-LEFT: #ece9d8; PADDING-BOTTOM: 1.4pt; PADDING-LEFT: 2.85pt; PADDING-RIGHT: 2.85pt; BORDER-TOP: #ece9d8; BORDER-RIGHT: #ece9d8; PADDING-TOP: 1.4pt" valign="top" width="92%">
<p><span>Ведущий специалист по вопросам экономического законодательства</span></p></td>
<td style="BORDER-BOTTOM: #ece9d8; BORDER-LEFT: #ece9d8; PADDING-BOTTOM: 1.4pt; PADDING-LEFT: 2.85pt; PADDING-RIGHT: 2.85pt; BORDER-TOP: #ece9d8; BORDER-RIGHT: #ece9d8; PADDING-TOP: 1.4pt" valign="top" width="7%">
<p align="center"><span>2</span></p></td></tr>
<tr>
<td style="BORDER-BOTTOM: #ece9d8; BORDER-LEFT: #ece9d8; PADDING-BOTTOM: 1.4pt; PADDING-LEFT: 2.85pt; PADDING-RIGHT: 2.85pt; BORDER-TOP: #ece9d8; BORDER-RIGHT: #ece9d8; PADDING-TOP: 1.4pt" valign="top" width="92%">
<p><span>Отдел развития внешних связей, экспертизы и мониторинга реализации международных договоров в политической и культурно-гуманитарной сферах</span></p></td>
<td style="BORDER-BOTTOM: #ece9d8; BORDER-LEFT: #ece9d8; PADDING-BOTTOM: 1.4pt; PADDING-LEFT: 2.85pt; PADDING-RIGHT: 2.85pt; BORDER-TOP: #ece9d8; BORDER-RIGHT: #ece9d8; PADDING-TOP: 1.4pt" valign="top" width="7%">
<p align="center"></p></td></tr>
<tr>
<td style="BORDER-BOTTOM: #ece9d8; BORDER-LEFT: #ece9d8; PADDING-BOTTOM: 1.4pt; PADDING-LEFT: 2.85pt; PADDING-RIGHT: 2.85pt; BORDER-TOP: #ece9d8; BORDER-RIGHT: #ece9d8; PADDING-TOP: 1.4pt" valign="top" width="92%">
<p><span>Заведующий отделом</span></p></td>
<td style="BORDER-BOTTOM: #ece9d8; BORDER-LEFT: #ece9d8; PADDING-BOTTOM: 1.4pt; PADDING-LEFT: 2.85pt; PADDING-RIGHT: 2.85pt; BORDER-TOP: #ece9d8; BORDER-RIGHT: #ece9d8; PADDING-TOP: 1.4pt" valign="top" width="7%">
<p align="center"><span>1</span></p></td></tr>
<tr>
<td style="BORDER-BOTTOM: #ece9d8; BORDER-LEFT: #ece9d8; PADDING-BOTTOM: 1.4pt; PADDING-LEFT: 2.85pt; PADDING-RIGHT: 2.85pt; BORDER-TOP: #ece9d8; BORDER-RIGHT: #ece9d8; PADDING-TOP: 1.4pt" valign="top" width="92%">
<p><span>Главный специалист по вопросам сотрудничества со странами и структурами СНГ</span></p></td>
<td style="BORDER-BOTTOM: #ece9d8; BORDER-LEFT: #ece9d8; PADDING-BOTTOM: 1.4pt; PADDING-LEFT: 2.85pt; PADDING-RIGHT: 2.85pt; BORDER-TOP: #ece9d8; BORDER-RIGHT: #ece9d8; PADDING-TOP: 1.4pt" valign="top" width="7%">
<p align="center"><span>1</span></p></td></tr>
<tr>
<td style="BORDER-BOTTOM: #ece9d8; BORDER-LEFT: #ece9d8; PADDING-BOTTOM: 1.4pt; PADDING-LEFT: 2.85pt; PADDING-RIGHT: 2.85pt; BORDER-TOP: #ece9d8; BORDER-RIGHT: #ece9d8; PADDING-TOP: 1.4pt" valign="top" width="92%">
<p><span>Главный специалист по вопросам сотрудничества со структурами ШОС и другими международными организациями</span></p></td>
<td style="BORDER-BOTTOM: #ece9d8; BORDER-LEFT: #ece9d8; PADDING-BOTTOM: 1.4pt; PADDING-LEFT: 2.85pt; PADDING-RIGHT: 2.85pt; BORDER-TOP: #ece9d8; BORDER-RIGHT: #ece9d8; PADDING-TOP: 1.4pt" valign="top" width="7%">
<p align="center"><span>1</span></p></td></tr>
<tr>
<td style="BORDER-BOTTOM: #ece9d8; BORDER-LEFT: #ece9d8; PADDING-BOTTOM: 1.4pt; PADDING-LEFT: 2.85pt; PADDING-RIGHT: 2.85pt; BORDER-TOP: #ece9d8; BORDER-RIGHT: #ece9d8; PADDING-TOP: 1.4pt" valign="top" width="92%">
<p><span>Главный специалист по вопросам экспертизы и мониторинга реализации международных договоров в политической и культурно-гуманитарной сферах</span></p></td>
<td style="BORDER-BOTTOM: #ece9d8; BORDER-LEFT: #ece9d8; PADDING-BOTTOM: 1.4pt; PADDING-LEFT: 2.85pt; PADDING-RIGHT: 2.85pt; BORDER-TOP: #ece9d8; BORDER-RIGHT: #ece9d8; PADDING-TOP: 1.4pt" valign="top" width="7%">
<p align="center"><span>1</span></p></td></tr>
<tr>
<td style="BORDER-BOTTOM: #ece9d8; BORDER-LEFT: #ece9d8; PADDING-BOTTOM: 1.4pt; PADDING-LEFT: 2.85pt; PADDING-RIGHT: 2.85pt; BORDER-TOP: #ece9d8; BORDER-RIGHT: #ece9d8; PADDING-TOP: 1.4pt" valign="top" width="92%">
<p><span>Инспектор</span></p></td>
<td style="BORDER-BOTTOM: #ece9d8; BORDER-LEFT: #ece9d8; PADDING-BOTTOM: 1.4pt; PADDING-LEFT: 2.85pt; PADDING-RIGHT: 2.85pt; BORDER-TOP: #ece9d8; BORDER-RIGHT: #ece9d8; PADDING-TOP: 1.4pt" valign="top" width="7%">
<p align="center"><span>2</span></p></td></tr>
<tr>
<td style="BORDER-BOTTOM: #ece9d8; BORDER-LEFT: #ece9d8; PADDING-BOTTOM: 1.4pt; PADDING-LEFT: 2.85pt; PADDING-RIGHT: 2.85pt; BORDER-TOP: #ece9d8; BORDER-RIGHT: #ece9d8; PADDING-TOP: 1.4pt" valign="top" width="92%">
<p align="center"><b><span>Всего:</span></b></p></td>
<td style="BORDER-BOTTOM: #ece9d8; BORDER-LEFT: #ece9d8; PADDING-BOTTOM: 1.4pt; PADDING-LEFT: 2.85pt; PADDING-RIGHT: 2.85pt; BORDER-TOP: #ece9d8; BORDER-RIGHT: #ece9d8; PADDING-TOP: 1.4pt" valign="top" width="7%">

<p align="center"><b><span>14</span></b></p></td></tr></tbody></table></div></div><div class="BY_DEFAULT lx_elem" onmousemove="lx_mo(event,3234191)"><div class="lx_elem2"><div class="lx_elem3"><span onclick="lx_sf(3234191)"><img src="/img/cmt.svg" />Предложения по документу</span><span onclick="lx_pa(3234191)"><img src="/img/vlm.svg" />Прослушать аудио</span><span onclick="lx_cl(3234191)"><img src="/img/lnk.svg" />Получить ссылку из элемента документа</span></div></div><div name="3234191" id="3234191"></div></div><div class="APPL_BANNER_LANDSCAPE_TITLE lx_elem" onmousemove="lx_mo(event,3234192)"><div class="lx_elem2"><div class="lx_elem3"><span onclick="lx_sf(3234192)"><img src="/img/cmt.svg" />Предложения по документу</span><span onclick="lx_pa(3234192)"><img src="/img/vlm.svg" />Прослушать аудио</span><span onclick="lx_cl(3234192)"><img src="/img/lnk.svg" />Получить ссылку из элемента документа</span></div></div><div name="3234192" id="3234192">ПРИЛОЖЕНИЕ № 18<br />к <a href="/ru/docs/3233862">постановлению</a> Президента Республики Узбекистан от 12 июня 2017 года № ПП-3051 </div></div><div class="ACT_FORM lx_elem" onmousemove="lx_mo(event,3234193)"><div class="lx_elem2"><div class="lx_elem3"><span onclick="lx_sf(3234193)"><img src="/img/cmt.svg" />Предложения по документу</span><span onclick="lx_pa(3234193)"><img src="/img/vlm.svg" />Прослушать аудио</span><span onclick="lx_cl(3234193)"><img src="/img/lnk.svg" />Получить ссылку из элемента документа</span></div></div><div name="3234193" id="3234193">СТРУКТУРА</div></div><div class="ACT_TITLE_APPL lx_elem" onmousemove="lx_mo(event,3234194)"><div class="lx_elem2"><div class="lx_elem3"><span onclick="lx_sf(3234194)"><img src="/img/cmt.svg" />Предложения по документу</span><span onclick="lx_pa(3234194)"><img src="/img/vlm.svg" />Прослушать аудио</span><span onclick="lx_cl(3234194)"><img src="/img/lnk.svg" />Получить ссылку из элемента документа</span></div></div><div name="3234194" id="3234194">Управления хозяйственной деятельности</div></div><div class="BY_DEFAULT lx_elem" onmousemove="lx_mo(event,3234195)"><div class="lx_elem2"><div class="lx_elem3"><span onclick="lx_sf(3234195)"><img src="/img/cmt.svg" />Предложения по документу</span><span onclick="lx_pa(3234195)"><img src="/img/vlm.svg" />Прослушать аудио</span><span onclick="lx_cl(3234195)"><img src="/img/lnk.svg" />Получить ссылку из элемента документа</span></div></div><div name="3234195" id="3234195"></div></div><div class="BY_DEFAULT lx_elem" onmousemove="lx_mo(event,3234196)"><div class="lx_elem2"><div class="lx_elem3"><span onclick="lx_sf(3234196)"><img src="/img/cmt.svg" />Предложения по документу</span><span onclick="lx_pa(3234196)"><img src="/img/vlm.svg" />Прослушать аудио</span><span onclick="lx_cl(3234196)"><img src="/img/lnk.svg" />Получить ссылку из элемента документа</span></div></div><div name="3234196" id="3234196"><table style="BORDER-COLLAPSE: collapse; BACKGROUND: white" border="0" cellspacing="0" cellpadding="0" width="100%">
<tbody>
<tr>
<td style="BORDER-BOTTOM: #ece9d8; BORDER-LEFT: #ece9d8; PADDING-BOTTOM: 1.4pt; PADDING-LEFT: 2.85pt; PADDING-RIGHT: 2.85pt; BORDER-TOP: #ece9d8; BORDER-RIGHT: #ece9d8; PADDING-TOP: 1.4pt" valign="top" width="92%">
<p><span>Начальник управления</span></p></td>
<td style="BORDER-BOTTOM: #ece9d8; BORDER-LEFT: #ece9d8; PADDING-BOTTOM: 1.4pt; PADDING-LEFT: 2.85pt; PADDING-RIGHT: 2.85pt; BORDER-TOP: #ece9d8; BORDER-RIGHT: #ece9d8; PADDING-TOP: 1.4pt" valign="top" width="7%">
<p align="center"><span>1</span></p></td></tr>
<tr>
<td style="BORDER-BOTTOM: #ece9d8; BORDER-LEFT: #ece9d8; PADDING-BOTTOM: 1.4pt; PADDING-LEFT: 2.85pt; PADDING-RIGHT: 2.85pt; BORDER-TOP: #ece9d8; BORDER-RIGHT: #ece9d8; PADDING-TOP: 1.4pt" valign="top" width="100%" colspan="2">
<p align="center"><b><span>Отдел материально-технического обеспечения</span></b></p></td></tr>
<tr>
<td style="BORDER-BOTTOM: #ece9d8; BORDER-LEFT: #ece9d8; PADDING-BOTTOM: 1.4pt; PADDING-LEFT: 2.85pt; PADDING-RIGHT: 2.85pt; BORDER-TOP: #ece9d8; BORDER-RIGHT: #ece9d8; PADDING-TOP: 1.4pt" valign="top" width="92%">
<p><span>Заведующий отделом</span></p></td>
<td style="BORDER-BOTTOM: #ece9d8; BORDER-LEFT: #ece9d8; PADDING-BOTTOM: 1.4pt; PADDING-LEFT: 2.85pt; PADDING-RIGHT: 2.85pt; BORDER-TOP: #ece9d8; BORDER-RIGHT: #ece9d8; PADDING-TOP: 1.4pt" valign="top" width="7%">
<p align="center"><span>1</span></p></td></tr>
<tr>
<td style="BORDER-BOTTOM: #ece9d8; BORDER-LEFT: #ece9d8; PADDING-BOTTOM: 1.4pt; PADDING-LEFT: 2.85pt; PADDING-RIGHT: 2.85pt; BORDER-TOP: #ece9d8; BORDER-RIGHT: #ece9d8; PADDING-TOP: 1.4pt" valign="top" width="92%">
<p><span>Главный специалист по вопросам оснащения и эксплуатации здания Кабинета Министров</span></p></td>
<td style="BORDER-BOTTOM: #ece9d8; BORDER-LEFT: #ece9d8; PADDING-BOTTOM: 1.4pt; PADDING-LEFT: 2.85pt; PADDING-RIGHT: 2.85pt; BORDER-TOP: #ece9d8; BORDER-RIGHT: #ece9d8; PADDING-TOP: 1.4pt" valign="top" width="7%">
<p align="center"><span>1</span></p></td></tr>
<tr>
<td style="BORDER-BOTTOM: #ece9d8; BORDER-LEFT: #ece9d8; PADDING-BOTTOM: 1.4pt; PADDING-LEFT: 2.85pt; PADDING-RIGHT: 2.85pt; BORDER-TOP: #ece9d8; BORDER-RIGHT: #ece9d8; PADDING-TOP: 1.4pt" valign="top" width="92%">
<p><span>Главный специалист по вопросам организации строительных работ и транспортного обеспечения</span></p></td>
<td style="BORDER-BOTTOM: #ece9d8; BORDER-LEFT: #ece9d8; PADDING-BOTTOM: 1.4pt; PADDING-LEFT: 2.85pt; PADDING-RIGHT: 2.85pt; BORDER-TOP: #ece9d8; BORDER-RIGHT: #ece9d8; PADDING-TOP: 1.4pt" valign="top" width="7%">
<p align="center"><span>1</span></p></td></tr>
<tr>
<td style="BORDER-BOTTOM: #ece9d8; BORDER-LEFT: #ece9d8; PADDING-BOTTOM: 1.4pt; PADDING-LEFT: 2.85pt; PADDING-RIGHT: 2.85pt; BORDER-TOP: #ece9d8; BORDER-RIGHT: #ece9d8; PADDING-TOP: 1.4pt" valign="top" width="92%">
<p><span>Ведущий специалист по вопросам транспортного обеспечения</span></p></td>
<td style="BORDER-BOTTOM: #ece9d8; BORDER-LEFT: #ece9d8; PADDING-BOTTOM: 1.4pt; PADDING-LEFT: 2.85pt; PADDING-RIGHT: 2.85pt; BORDER-TOP: #ece9d8; BORDER-RIGHT: #ece9d8; PADDING-TOP: 1.4pt" valign="top" width="7%">
<p align="center"><span>1</span></p></td></tr>
<tr>
<td style="BORDER-BOTTOM: #ece9d8; BORDER-LEFT: #ece9d8; PADDING-BOTTOM: 1.4pt; PADDING-LEFT: 2.85pt; PADDING-RIGHT: 2.85pt; BORDER-TOP: #ece9d8; BORDER-RIGHT: #ece9d8; PADDING-TOP: 1.4pt" valign="top" width="92%">
<p><span>Инспектор</span></p></td>
<td style="BORDER-BOTTOM: #ece9d8; BORDER-LEFT: #ece9d8; PADDING-BOTTOM: 1.4pt; PADDING-LEFT: 2.85pt; PADDING-RIGHT: 2.85pt; BORDER-TOP: #ece9d8; BORDER-RIGHT: #ece9d8; PADDING-TOP: 1.4pt" valign="top" width="7%">
<p align="center"><span>1</span></p></td></tr>
<tr>
<td style="BORDER-BOTTOM: #ece9d8; BORDER-LEFT: #ece9d8; PADDING-BOTTOM: 1.4pt; PADDING-LEFT: 2.85pt; PADDING-RIGHT: 2.85pt; BORDER-TOP: #ece9d8; BORDER-RIGHT: #ece9d8; PADDING-TOP: 1.4pt" valign="top" width="92%">
<p><span>Итого:</span></p></td>
<td style="BORDER-BOTTOM: #ece9d8; BORDER-LEFT: #ece9d8; PADDING-BOTTOM: 1.4pt; PADDING-LEFT: 2.85pt; PADDING-RIGHT: 2.85pt; BORDER-TOP: #ece9d8; BORDER-RIGHT: #ece9d8; PADDING-TOP: 1.4pt" valign="top" width="7%">
<p align="center"><span>5</span></p></td></tr>
<tr>
<td style="BORDER-BOTTOM: #ece9d8; BORDER-LEFT: #ece9d8; PADDING-BOTTOM: 1.4pt; PADDING-LEFT: 2.85pt; PADDING-RIGHT: 2.85pt; BORDER-TOP: #ece9d8; BORDER-RIGHT: #ece9d8; PADDING-TOP: 1.4pt" valign="top" width="100%" colspan="2">
<p align="center"><b><span>Финансово-экономический отдел</span></b></p></td></tr>
<tr>
<td style="BORDER-BOTTOM: #ece9d8; BORDER-LEFT: #ece9d8; PADDING-BOTTOM: 1.4pt; PADDING-LEFT: 2.85pt; PADDING-RIGHT: 2.85pt; BORDER-TOP: #ece9d8; BORDER-RIGHT: #ece9d8; PADDING-TOP: 1.4pt" valign="top" width="92%">
<p><span>Заведующий отделом</span></p></td>
<td style="BORDER-BOTTOM: #ece9d8; BORDER-LEFT: #ece9d8; PADDING-BOTTOM: 1.4pt; PADDING-LEFT: 2.85pt; PADDING-RIGHT: 2.85pt; BORDER-TOP: #ece9d8; BORDER-RIGHT: #ece9d8; PADDING-TOP: 1.4pt" valign="top" width="7%">
<p align="center"><span>1</span></p></td></tr>
<tr>
<td style="BORDER-BOTTOM: #ece9d8; BORDER-LEFT: #ece9d8; PADDING-BOTTOM: 1.4pt; PADDING-LEFT: 2.85pt; PADDING-RIGHT: 2.85pt; BORDER-TOP: #ece9d8; BORDER-RIGHT: #ece9d8; PADDING-TOP: 1.4pt" valign="top" width="92%">
<p><span>Главный специалист</span></p></td>
<td style="BORDER-BOTTOM: #ece9d8; BORDER-LEFT: #ece9d8; PADDING-BOTTOM: 1.4pt; PADDING-LEFT: 2.85pt; PADDING-RIGHT: 2.85pt; BORDER-TOP: #ece9d8; BORDER-RIGHT: #ece9d8; PADDING-TOP: 1.4pt" valign="top" width="7%">
<p align="center"><span>2</span></p></td></tr>
<tr>
<td style="BORDER-BOTTOM: #ece9d8; BORDER-LEFT: #ece9d8; PADDING-BOTTOM: 1.4pt; PADDING-LEFT: 2.85pt; PADDING-RIGHT: 2.85pt; BORDER-TOP: #ece9d8; BORDER-RIGHT: #ece9d8; PADDING-TOP: 1.4pt" valign="top" width="92%">
<p><span>Ведущий специалист</span></p></td>
<td style="BORDER-BOTTOM: #ece9d8; BORDER-LEFT: #ece9d8; PADDING-BOTTOM: 1.4pt; PADDING-LEFT: 2.85pt; PADDING-RIGHT: 2.85pt; BORDER-TOP: #ece9d8; BORDER-RIGHT: #ece9d8; PADDING-TOP: 1.4pt" valign="top" width="7%">
<p align="center"><span>1</span></p></td></tr>
<tr>
<td style="BORDER-BOTTOM: #ece9d8; BORDER-LEFT: #ece9d8; PADDING-BOTTOM: 1.4pt; PADDING-LEFT: 2.85pt; PADDING-RIGHT: 2.85pt; BORDER-TOP: #ece9d8; BORDER-RIGHT: #ece9d8; PADDING-TOP: 1.4pt" valign="top" width="92%">
<p><span>Специалист II категории — бухгалтер-кассир</span></p></td>
<td style="BORDER-BOTTOM: #ece9d8; BORDER-LEFT: #ece9d8; PADDING-BOTTOM: 1.4pt; PADDING-LEFT: 2.85pt; PADDING-RIGHT: 2.85pt; BORDER-TOP: #ece9d8; BORDER-RIGHT: #ece9d8; PADDING-TOP: 1.4pt" valign="top" width="7%">
<p align="center"><span>1</span></p></td></tr>
<tr>
<td style="BORDER-BOTTOM: #ece9d8; BORDER-LEFT: #ece9d8; PADDING-BOTTOM: 1.4pt; PADDING-LEFT: 2.85pt; PADDING-RIGHT: 2.85pt; BORDER-TOP: #ece9d8; BORDER-RIGHT: #ece9d8; PADDING-TOP: 1.4pt" valign="top" width="92%">
<p><b><span>Итого:</span></b></p></td>
<td style="BORDER-BOTTOM: #ece9d8; BORDER-LEFT: #ece9d8; PADDING-BOTTOM: 1.4pt; PADDING-LEFT: 2.85pt; PADDING-RIGHT: 2.85pt; BORDER-TOP: #ece9d8; BORDER-RIGHT: #ece9d8; PADDING-TOP: 1.4pt" valign="top" width="7%">
<p align="center"><b><span>5</span></b></p></td></tr>
<tr>
<td style="BORDER-BOTTOM: #ece9d8; BORDER-LEFT: #ece9d8; PADDING-BOTTOM: 1.4pt; PADDING-LEFT: 2.85pt; PADDING-RIGHT: 2.85pt; BORDER-TOP: #ece9d8; BORDER-RIGHT: #ece9d8; PADDING-TOP: 1.4pt" valign="top" width="92%">
<p><b><span>Всего:</span></b></p></td>
<td style="BORDER-BOTTOM: #ece9d8; BORDER-LEFT: #ece9d8; PADDING-BOTTOM: 1.4pt; PADDING-LEFT: 2.85pt; PADDING-RIGHT: 2.85pt; BORDER-TOP: #ece9d8; BORDER-RIGHT: #ece9d8; PADDING-TOP: 1.4pt" valign="top" width="7%">
<p align="center"><b><span>11</span></b></p></td></tr></tbody></table></div></div><div class="BY_DEFAULT lx_elem" onmousemove="lx_mo(event,3234197)"><div class="lx_elem2"><div class="lx_elem3"><span onclick="lx_sf(3234197)"><img src="/img/cmt.svg" />Предложения по документу</span><span onclick="lx_pa(3234197)"><img src="/img/vlm.svg" />Прослушать аудио</span><span onclick="lx_cl(3234197)"><img src="/img/lnk.svg" />Получить ссылку из элемента документа</span></div></div><div name="3234197" id="3234197"></div></div><div class="APPL_BANNER_LANDSCAPE_TITLE lx_elem" onmousemove="lx_mo(event,3234198)"><div class="lx_elem2"><div class="lx_elem3"><span onclick="lx_sf(3234198)"><img src="/img/cmt.svg" />Предложения по документу</span><span onclick="lx_pa(3234198)"><img src="/img/vlm.svg" />Прослушать аудио</span><span onclick="lx_cl(3234198)"><img src="/img/lnk.svg" />Получить ссылку из элемента документа</span></div></div><div name="3234198" id="3234198">ПРИЛОЖЕНИЕ № 19<br />к <a href="/ru/docs/3233862">постановлению</a> Президента Республики Узбекистан от 12 июня 2017 года № ПП-3051 </div></div><div class="ACT_FORM lx_elem" onmousemove="lx_mo(event,3234199)"><div class="lx_elem2"><div class="lx_elem3"><span onclick="lx_sf(3234199)"><img src="/img/cmt.svg" />Предложения по документу</span><span onclick="lx_pa(3234199)"><img src="/img/vlm.svg" />Прослушать аудио</span><span onclick="lx_cl(3234199)"><img src="/img/lnk.svg" />Получить ссылку из элемента документа</span></div></div><div name="3234199" id="3234199">СТРУКТУРА</div></div><div class="ACT_TITLE_APPL lx_elem" onmousemove="lx_mo(event,3234200)"><div class="lx_elem2"><div class="lx_elem3"><span onclick="lx_sf(3234200)"><img src="/img/cmt.svg" />Предложения по документу</span><span onclick="lx_pa(3234200)"><img src="/img/vlm.svg" />Прослушать аудио</span><span onclick="lx_cl(3234200)"><img src="/img/lnk.svg" />Получить ссылку из элемента документа</span></div></div><div name="3234200" id="3234200">Общего отдела</div></div><div class="BY_DEFAULT lx_elem" onmousemove="lx_mo(event,3234201)"><div class="lx_elem2"><div class="lx_elem3"><span onclick="lx_sf(3234201)"><img src="/img/cmt.svg" />Предложения по документу</span><span onclick="lx_pa(3234201)"><img src="/img/vlm.svg" />Прослушать аудио</span><span onclick="lx_cl(3234201)"><img src="/img/lnk.svg" />Получить ссылку из элемента документа</span></div></div><div name="3234201" id="3234201"></div></div><div class="BY_DEFAULT lx_elem" onmousemove="lx_mo(event,3234202)"><div class="lx_elem2"><div class="lx_elem3"><span onclick="lx_sf(3234202)"><img src="/img/cmt.svg" />Предложения по документу</span><span onclick="lx_pa(3234202)"><img src="/img/vlm.svg" />Прослушать аудио</span><span onclick="lx_cl(3234202)"><img src="/img/lnk.svg" />Получить ссылку из элемента документа</span></div></div><div name="3234202" id="3234202"><table style="BORDER-COLLAPSE: collapse; BACKGROUND: white" border="0" cellspacing="0" cellpadding="0" width="100%">
<tbody>
<tr>
<td style="BORDER-BOTTOM: #ece9d8; BORDER-LEFT: #ece9d8; PADDING-BOTTOM: 1.4pt; PADDING-LEFT: 2.85pt; PADDING-RIGHT: 2.85pt; BORDER-TOP: #ece9d8; BORDER-RIGHT: #ece9d8; PADDING-TOP: 1.4pt" valign="top" width="92%">
<p><b><span>Заведующий отделом</span></b></p></td>
<td style="BORDER-BOTTOM: #ece9d8; BORDER-LEFT: #ece9d8; PADDING-BOTTOM: 1.4pt; PADDING-LEFT: 2.85pt; PADDING-RIGHT: 2.85pt; BORDER-TOP: #ece9d8; BORDER-RIGHT: #ece9d8; PADDING-TOP: 1.4pt" valign="top" width="7%">
<p align="center"><span>1</span></p></td></tr>
<tr>
<td style="BORDER-BOTTOM: #ece9d8; BORDER-LEFT: #ece9d8; PADDING-BOTTOM: 1.4pt; PADDING-LEFT: 2.85pt; PADDING-RIGHT: 2.85pt; BORDER-TOP: #ece9d8; BORDER-RIGHT: #ece9d8; PADDING-TOP: 1.4pt" valign="top" width="92%">
<p><span>Главный специалист по вопросам оформления и выпуска правительственных решений и других документов</span></p></td>
<td style="BORDER-BOTTOM: #ece9d8; BORDER-LEFT: #ece9d8; PADDING-BOTTOM: 1.4pt; PADDING-LEFT: 2.85pt; PADDING-RIGHT: 2.85pt; BORDER-TOP: #ece9d8; BORDER-RIGHT: #ece9d8; PADDING-TOP: 1.4pt" valign="top" width="7%">
<p align="center"><span>1</span></p></td></tr>
<tr>
<td style="BORDER-BOTTOM: #ece9d8; BORDER-LEFT: #ece9d8; PADDING-BOTTOM: 1.4pt; PADDING-LEFT: 2.85pt; PADDING-RIGHT: 2.85pt; BORDER-TOP: #ece9d8; BORDER-RIGHT: #ece9d8; PADDING-TOP: 1.4pt" valign="top" width="92%">
<p><span>Ведущий специалист по вопросам оформления и выпуска правительственных решений и других документов</span></p></td>
<td style="BORDER-BOTTOM: #ece9d8; BORDER-LEFT: #ece9d8; PADDING-BOTTOM: 1.4pt; PADDING-LEFT: 2.85pt; PADDING-RIGHT: 2.85pt; BORDER-TOP: #ece9d8; BORDER-RIGHT: #ece9d8; PADDING-TOP: 1.4pt" valign="top" width="7%">
<p align="center"><span>1</span></p></td></tr>
<tr>
<td style="BORDER-BOTTOM: #ece9d8; BORDER-LEFT: #ece9d8; PADDING-BOTTOM: 1.4pt; PADDING-LEFT: 2.85pt; PADDING-RIGHT: 2.85pt; BORDER-TOP: #ece9d8; BORDER-RIGHT: #ece9d8; PADDING-TOP: 1.4pt" valign="top" width="92%">
<p><span>Главный специалист по вопросам организации перевода проектов законов, актов Президента Республики Узбекистан, правительственных решений и других материалов</span></p></td>
<td style="BORDER-BOTTOM: #ece9d8; BORDER-LEFT: #ece9d8; PADDING-BOTTOM: 1.4pt; PADDING-LEFT: 2.85pt; PADDING-RIGHT: 2.85pt; BORDER-TOP: #ece9d8; BORDER-RIGHT: #ece9d8; PADDING-TOP: 1.4pt" valign="top" width="7%">
<p align="center"><span>2</span></p></td></tr>
<tr>
<td style="BORDER-BOTTOM: #ece9d8; BORDER-LEFT: #ece9d8; PADDING-BOTTOM: 1.4pt; PADDING-LEFT: 2.85pt; PADDING-RIGHT: 2.85pt; BORDER-TOP: #ece9d8; BORDER-RIGHT: #ece9d8; PADDING-TOP: 1.4pt" valign="top" width="92%">
<p><span>Ведущий специалист по вопросам организации перевода проектов законов, актов Президента Республики Узбекистан, правительственных решений и других материалов</span></p></td>
<td style="BORDER-BOTTOM: #ece9d8; BORDER-LEFT: #ece9d8; PADDING-BOTTOM: 1.4pt; PADDING-LEFT: 2.85pt; PADDING-RIGHT: 2.85pt; BORDER-TOP: #ece9d8; BORDER-RIGHT: #ece9d8; PADDING-TOP: 1.4pt" valign="top" width="7%">
<p align="center"><span>1</span></p></td></tr>
<tr>
<td style="BORDER-BOTTOM: #ece9d8; BORDER-LEFT: #ece9d8; PADDING-BOTTOM: 1.4pt; PADDING-LEFT: 2.85pt; PADDING-RIGHT: 2.85pt; BORDER-TOP: #ece9d8; BORDER-RIGHT: #ece9d8; PADDING-TOP: 1.4pt" valign="top" width="92%">
<p><span>Главный специалист по вопросам редактирования проектов законов, актов Президента Республики Узбекистан, правительственных решений, других материалов и синхронного перевода</span></p></td>
<td style="BORDER-BOTTOM: #ece9d8; BORDER-LEFT: #ece9d8; PADDING-BOTTOM: 1.4pt; PADDING-LEFT: 2.85pt; PADDING-RIGHT: 2.85pt; BORDER-TOP: #ece9d8; BORDER-RIGHT: #ece9d8; PADDING-TOP: 1.4pt" valign="top" width="7%">
<p align="center"><span>1</span></p></td></tr>
<tr>
<td style="BORDER-BOTTOM: #ece9d8; BORDER-LEFT: #ece9d8; PADDING-BOTTOM: 1.4pt; PADDING-LEFT: 2.85pt; PADDING-RIGHT: 2.85pt; BORDER-TOP: #ece9d8; BORDER-RIGHT: #ece9d8; PADDING-TOP: 1.4pt" valign="top" width="92%">
<p><span>Ведущий специалист по вопросам редактирования проектов законов, актов Президента Республики Узбекистан, правительственных решений и других материалов</span></p></td>
<td style="BORDER-BOTTOM: #ece9d8; BORDER-LEFT: #ece9d8; PADDING-BOTTOM: 1.4pt; PADDING-LEFT: 2.85pt; PADDING-RIGHT: 2.85pt; BORDER-TOP: #ece9d8; BORDER-RIGHT: #ece9d8; PADDING-TOP: 1.4pt" valign="top" width="7%">
<p align="center"><span>2</span></p></td></tr>
<tr>
<td style="BORDER-BOTTOM: #ece9d8; BORDER-LEFT: #ece9d8; PADDING-BOTTOM: 1.4pt; PADDING-LEFT: 2.85pt; PADDING-RIGHT: 2.85pt; BORDER-TOP: #ece9d8; BORDER-RIGHT: #ece9d8; PADDING-TOP: 1.4pt" valign="top" width="92%">
<p><span>Ведущий специалист по вопросам организации и контроля состояния делопроизводства в структурных подразделениях Исполнительного аппарата</span></p></td>
<td style="BORDER-BOTTOM: #ece9d8; BORDER-LEFT: #ece9d8; PADDING-BOTTOM: 1.4pt; PADDING-LEFT: 2.85pt; PADDING-RIGHT: 2.85pt; BORDER-TOP: #ece9d8; BORDER-RIGHT: #ece9d8; PADDING-TOP: 1.4pt" valign="top" width="7%">
<p align="center"><span>1</span></p></td></tr>
<tr>
<td style="BORDER-BOTTOM: #ece9d8; BORDER-LEFT: #ece9d8; PADDING-BOTTOM: 1.4pt; PADDING-LEFT: 2.85pt; PADDING-RIGHT: 2.85pt; BORDER-TOP: #ece9d8; BORDER-RIGHT: #ece9d8; PADDING-TOP: 1.4pt" valign="top" width="92%">
<p><span>Инспектор по вопросам приема и регистрации входящей корреспонденции</span></p></td>
<td style="BORDER-BOTTOM: #ece9d8; BORDER-LEFT: #ece9d8; PADDING-BOTTOM: 1.4pt; PADDING-LEFT: 2.85pt; PADDING-RIGHT: 2.85pt; BORDER-TOP: #ece9d8; BORDER-RIGHT: #ece9d8; PADDING-TOP: 1.4pt" valign="top" width="7%">
<p align="center"><span>1</span></p></td></tr>
<tr>
<td style="BORDER-BOTTOM: #ece9d8; BORDER-LEFT: #ece9d8; PADDING-BOTTOM: 1.4pt; PADDING-LEFT: 2.85pt; PADDING-RIGHT: 2.85pt; BORDER-TOP: #ece9d8; BORDER-RIGHT: #ece9d8; PADDING-TOP: 1.4pt" valign="top" width="92%">
<p><span>Инспектор по вопросам приема и регистрации входящей корреспонденции</span></p></td>
<td style="BORDER-BOTTOM: #ece9d8; BORDER-LEFT: #ece9d8; PADDING-BOTTOM: 1.4pt; PADDING-LEFT: 2.85pt; PADDING-RIGHT: 2.85pt; BORDER-TOP: #ece9d8; BORDER-RIGHT: #ece9d8; PADDING-TOP: 1.4pt" valign="top" width="7%">
<p align="center"><span>1</span></p></td></tr>
<tr>
<td style="BORDER-BOTTOM: #ece9d8; BORDER-LEFT: #ece9d8; PADDING-BOTTOM: 1.4pt; PADDING-LEFT: 2.85pt; PADDING-RIGHT: 2.85pt; BORDER-TOP: #ece9d8; BORDER-RIGHT: #ece9d8; PADDING-TOP: 1.4pt" valign="top" width="92%">
<p><span>Инспектор по вопросам рассылки исходящей корреспонденции</span></p></td>
<td style="BORDER-BOTTOM: #ece9d8; BORDER-LEFT: #ece9d8; PADDING-BOTTOM: 1.4pt; PADDING-LEFT: 2.85pt; PADDING-RIGHT: 2.85pt; BORDER-TOP: #ece9d8; BORDER-RIGHT: #ece9d8; PADDING-TOP: 1.4pt" valign="top" width="7%">
<p align="center"><span>1</span></p></td></tr>
<tr>
<td style="BORDER-BOTTOM: #ece9d8; BORDER-LEFT: #ece9d8; PADDING-BOTTOM: 1.4pt; PADDING-LEFT: 2.85pt; PADDING-RIGHT: 2.85pt; BORDER-TOP: #ece9d8; BORDER-RIGHT: #ece9d8; PADDING-TOP: 1.4pt" valign="top" width="92%">
<p><span>Инспектор по вопросам рассылки исходящей корреспонденции</span></p></td>
<td style="BORDER-BOTTOM: #ece9d8; BORDER-LEFT: #ece9d8; PADDING-BOTTOM: 1.4pt; PADDING-LEFT: 2.85pt; PADDING-RIGHT: 2.85pt; BORDER-TOP: #ece9d8; BORDER-RIGHT: #ece9d8; PADDING-TOP: 1.4pt" valign="top" width="7%">
<p align="center"><span>1</span></p></td></tr>
<tr>
<td style="BORDER-BOTTOM: #ece9d8; BORDER-LEFT: #ece9d8; PADDING-BOTTOM: 1.4pt; PADDING-LEFT: 2.85pt; PADDING-RIGHT: 2.85pt; BORDER-TOP: #ece9d8; BORDER-RIGHT: #ece9d8; PADDING-TOP: 1.4pt" valign="top" width="92%">
<p><span>Заведующий архивом</span></p></td>
<td style="BORDER-BOTTOM: #ece9d8; BORDER-LEFT: #ece9d8; PADDING-BOTTOM: 1.4pt; PADDING-LEFT: 2.85pt; PADDING-RIGHT: 2.85pt; BORDER-TOP: #ece9d8; BORDER-RIGHT: #ece9d8; PADDING-TOP: 1.4pt" valign="top" width="7%">
<p align="center"><span>1</span></p></td></tr>
<tr>
<td style="BORDER-BOTTOM: #ece9d8; BORDER-LEFT: #ece9d8; PADDING-BOTTOM: 1.4pt; PADDING-LEFT: 2.85pt; PADDING-RIGHT: 2.85pt; BORDER-TOP: #ece9d8; BORDER-RIGHT: #ece9d8; PADDING-TOP: 1.4pt" valign="top" width="92%">
<p><span>Заведующий машинописным бюро</span></p></td>
<td style="BORDER-BOTTOM: #ece9d8; BORDER-LEFT: #ece9d8; PADDING-BOTTOM: 1.4pt; PADDING-LEFT: 2.85pt; PADDING-RIGHT: 2.85pt; BORDER-TOP: #ece9d8; BORDER-RIGHT: #ece9d8; PADDING-TOP: 1.4pt" valign="top" width="7%">
<p align="center"><span>1</span></p></td></tr>
<tr>
<td style="BORDER-BOTTOM: #ece9d8; BORDER-LEFT: #ece9d8; PADDING-BOTTOM: 1.4pt; PADDING-LEFT: 2.85pt; PADDING-RIGHT: 2.85pt; BORDER-TOP: #ece9d8; BORDER-RIGHT: #ece9d8; PADDING-TOP: 1.4pt" valign="top" width="92%">
<p><span>Машинистка I категории</span></p></td>
<td style="BORDER-BOTTOM: #ece9d8; BORDER-LEFT: #ece9d8; PADDING-BOTTOM: 1.4pt; PADDING-LEFT: 2.85pt; PADDING-RIGHT: 2.85pt; BORDER-TOP: #ece9d8; BORDER-RIGHT: #ece9d8; PADDING-TOP: 1.4pt" valign="top" width="7%">
<p align="center"><span>1</span></p></td></tr>
<tr>
<td style="BORDER-BOTTOM: #ece9d8; BORDER-LEFT: #ece9d8; PADDING-BOTTOM: 1.4pt; PADDING-LEFT: 2.85pt; PADDING-RIGHT: 2.85pt; BORDER-TOP: #ece9d8; BORDER-RIGHT: #ece9d8; PADDING-TOP: 1.4pt" valign="top" width="92%">
<p><span>Стенографистка</span></p></td>
<td style="BORDER-BOTTOM: #ece9d8; BORDER-LEFT: #ece9d8; PADDING-BOTTOM: 1.4pt; PADDING-LEFT: 2.85pt; PADDING-RIGHT: 2.85pt; BORDER-TOP: #ece9d8; BORDER-RIGHT: #ece9d8; PADDING-TOP: 1.4pt" valign="top" width="7%">
<p align="center"><span>1</span></p></td></tr>
<tr>
<td style="BORDER-BOTTOM: #ece9d8; BORDER-LEFT: #ece9d8; PADDING-BOTTOM: 1.4pt; PADDING-LEFT: 2.85pt; PADDING-RIGHT: 2.85pt; BORDER-TOP: #ece9d8; BORDER-RIGHT: #ece9d8; PADDING-TOP: 1.4pt" valign="top" width="92%">
<p><span>Инспектор приемной заведующего отделом</span></p></td>
<td style="BORDER-BOTTOM: #ece9d8; BORDER-LEFT: #ece9d8; PADDING-BOTTOM: 1.4pt; PADDING-LEFT: 2.85pt; PADDING-RIGHT: 2.85pt; BORDER-TOP: #ece9d8; BORDER-RIGHT: #ece9d8; PADDING-TOP: 1.4pt" valign="top" width="7%">
<p align="center"><span>1</span></p></td></tr>
<tr>
<td style="BORDER-BOTTOM: #ece9d8; BORDER-LEFT: #ece9d8; PADDING-BOTTOM: 1.4pt; PADDING-LEFT: 2.85pt; PADDING-RIGHT: 2.85pt; BORDER-TOP: #ece9d8; BORDER-RIGHT: #ece9d8; PADDING-TOP: 1.4pt" valign="top" width="92%">
<p align="center"><b><span>Всего:</span></b></p></td>
<td style="BORDER-BOTTOM: #ece9d8; BORDER-LEFT: #ece9d8; PADDING-BOTTOM: 1.4pt; PADDING-LEFT: 2.85pt; PADDING-RIGHT: 2.85pt; BORDER-TOP: #ece9d8; BORDER-RIGHT: #ece9d8; PADDING-TOP: 1.4pt" valign="top" width="7%">
<p align="center"><b><span>19</span></b></p></td></tr></tbody></table></div></div><div class="BY_DEFAULT lx_elem" onmousemove="lx_mo(event,3234203)"><div class="lx_elem2"><div class="lx_elem3"><span onclick="lx_sf(3234203)"><img src="/img/cmt.svg" />Предложения по документу</span><span onclick="lx_pa(3234203)"><img src="/img/vlm.svg" />Прослушать аудио</span><span onclick="lx_cl(3234203)"><img src="/img/lnk.svg" />Получить ссылку из элемента документа</span></div></div><div name="3234203" id="3234203"></div></div><div class="APPL_BANNER_LANDSCAPE_TITLE lx_elem" onmousemove="lx_mo(event,3234204)"><div class="lx_elem2"><div class="lx_elem3"><span onclick="lx_sf(3234204)"><img src="/img/cmt.svg" />Предложения по документу</span><span onclick="lx_pa(3234204)"><img src="/img/vlm.svg" />Прослушать аудио</span><span onclick="lx_cl(3234204)"><img src="/img/lnk.svg" />Получить ссылку из элемента документа</span></div></div><div name="3234204" id="3234204">ПРИЛОЖЕНИЕ № 20<br />к <a href="/ru/docs/3233862">постановлению</a> Президента Республики Узбекистан от 12 июня 2017 года № ПП-3051 </div></div><div class="ACT_FORM lx_elem" onmousemove="lx_mo(event,3234205)"><div class="lx_elem2"><div class="lx_elem3"><span onclick="lx_sf(3234205)"><img src="/img/cmt.svg" />Предложения по документу</span><span onclick="lx_pa(3234205)"><img src="/img/vlm.svg" />Прослушать аудио</span><span onclick="lx_cl(3234205)"><img src="/img/lnk.svg" />Получить ссылку из элемента документа</span></div></div><div name="3234205" id="3234205">СТРУКТУРА</div></div><div class="ACT_TITLE_APPL lx_elem" onmousemove="lx_mo(event,3234206)"><div class="lx_elem2"><div class="lx_elem3"><span onclick="lx_sf(3234206)"><img src="/img/cmt.svg" />Предложения по документу</span><span onclick="lx_pa(3234206)"><img src="/img/vlm.svg" />Прослушать аудио</span><span onclick="lx_cl(3234206)"><img src="/img/lnk.svg" />Получить ссылку из элемента документа</span></div></div><div name="3234206" id="3234206">Отдела информационного обеспечения и компьютерных систем</div></div><div class="BY_DEFAULT lx_elem" onmousemove="lx_mo(event,3234207)"><div class="lx_elem2"><div class="lx_elem3"><span onclick="lx_sf(3234207)"><img src="/img/cmt.svg" />Предложения по документу</span><span onclick="lx_pa(3234207)"><img src="/img/vlm.svg" />Прослушать аудио</span><span onclick="lx_cl(3234207)"><img src="/img/lnk.svg" />Получить ссылку из элемента документа</span></div></div><div name="3234207" id="3234207"></div></div><div class="BY_DEFAULT lx_elem" onmousemove="lx_mo(event,3234208)"><div class="lx_elem2"><div class="lx_elem3"><span onclick="lx_sf(3234208)"><img src="/img/cmt.svg" />Предложения по документу</span><span onclick="lx_pa(3234208)"><img src="/img/vlm.svg" />Прослушать аудио</span><span onclick="lx_cl(3234208)"><img src="/img/lnk.svg" />Получить ссылку из элемента документа</span></div></div><div name="3234208" id="3234208"><table style="BORDER-COLLAPSE: collapse; BACKGROUND: white" border="0" cellspacing="0" cellpadding="0" width="100%">
<tbody>
<tr>
<td style="BORDER-BOTTOM: #ece9d8; BORDER-LEFT: #ece9d8; PADDING-BOTTOM: 1.4pt; PADDING-LEFT: 2.85pt; PADDING-RIGHT: 2.85pt; BORDER-TOP: #ece9d8; BORDER-RIGHT: #ece9d8; PADDING-TOP: 1.4pt" valign="top" width="92%">
<p><span>Заведующий отделом</span></p></td>
<td style="BORDER-BOTTOM: #ece9d8; BORDER-LEFT: #ece9d8; PADDING-BOTTOM: 1.4pt; PADDING-LEFT: 2.85pt; PADDING-RIGHT: 2.85pt; BORDER-TOP: #ece9d8; BORDER-RIGHT: #ece9d8; PADDING-TOP: 1.4pt" valign="top" width="7%">
<p align="center"><span>1</span></p></td></tr>
<tr>
<td style="BORDER-BOTTOM: #ece9d8; BORDER-LEFT: #ece9d8; PADDING-BOTTOM: 1.4pt; PADDING-LEFT: 2.85pt; PADDING-RIGHT: 2.85pt; BORDER-TOP: #ece9d8; BORDER-RIGHT: #ece9d8; PADDING-TOP: 1.4pt" valign="top" width="92%">
<p><span>Главный специалист по вопросам развития и внедрения информационных систем и ресурсов в Исполнительном аппарате</span></p></td>
<td style="BORDER-BOTTOM: #ece9d8; BORDER-LEFT: #ece9d8; PADDING-BOTTOM: 1.4pt; PADDING-LEFT: 2.85pt; PADDING-RIGHT: 2.85pt; BORDER-TOP: #ece9d8; BORDER-RIGHT: #ece9d8; PADDING-TOP: 1.4pt" valign="top" width="7%">
<p align="center"><span>1</span></p></td></tr>
<tr>
<td style="BORDER-BOTTOM: #ece9d8; BORDER-LEFT: #ece9d8; PADDING-BOTTOM: 1.4pt; PADDING-LEFT: 2.85pt; PADDING-RIGHT: 2.85pt; BORDER-TOP: #ece9d8; BORDER-RIGHT: #ece9d8; PADDING-TOP: 1.4pt" valign="top" width="92%">
<p><span>Ведущий специалист по вопросам системного администрирования компьютерных систем, сетевого оборудования и баз данных, обеспечения информационной безопасности в Исполнительном аппарате</span></p></td>
<td style="BORDER-BOTTOM: #ece9d8; BORDER-LEFT: #ece9d8; PADDING-BOTTOM: 1.4pt; PADDING-LEFT: 2.85pt; PADDING-RIGHT: 2.85pt; BORDER-TOP: #ece9d8; BORDER-RIGHT: #ece9d8; PADDING-TOP: 1.4pt" valign="top" width="7%">
<p align="center"><span>1</span></p></td></tr>
<tr>
<td style="BORDER-BOTTOM: #ece9d8; BORDER-LEFT: #ece9d8; PADDING-BOTTOM: 1.4pt; PADDING-LEFT: 2.85pt; PADDING-RIGHT: 2.85pt; BORDER-TOP: #ece9d8; BORDER-RIGHT: #ece9d8; PADDING-TOP: 1.4pt" valign="top" width="92%">
<p><span>Инспектор</span></p></td>
<td style="BORDER-BOTTOM: #ece9d8; BORDER-LEFT: #ece9d8; PADDING-BOTTOM: 1.4pt; PADDING-LEFT: 2.85pt; PADDING-RIGHT: 2.85pt; BORDER-TOP: #ece9d8; BORDER-RIGHT: #ece9d8; PADDING-TOP: 1.4pt" valign="top" width="7%">
<p align="center"><span>1</span></p></td></tr>
<tr>
<td style="BORDER-BOTTOM: #ece9d8; BORDER-LEFT: #ece9d8; PADDING-BOTTOM: 1.4pt; PADDING-LEFT: 2.85pt; PADDING-RIGHT: 2.85pt; BORDER-TOP: #ece9d8; BORDER-RIGHT: #ece9d8; PADDING-TOP: 1.4pt" valign="top" width="92%">
<p align="center"><b><span>Всего:</span></b></p></td>
<td style="BORDER-BOTTOM: #ece9d8; BORDER-LEFT: #ece9d8; PADDING-BOTTOM: 1.4pt; PADDING-LEFT: 2.85pt; PADDING-RIGHT: 2.85pt; BORDER-TOP: #ece9d8; BORDER-RIGHT: #ece9d8; PADDING-TOP: 1.4pt" valign="top" width="7%">
<p align="center"><b><span>4</span></b></p></td></tr></tbody></table></div></div><div class="BY_DEFAULT lx_elem" onmousemove="lx_mo(event,3234209)"><div class="lx_elem2"><div class="lx_elem3"><span onclick="lx_sf(3234209)"><img src="/img/cmt.svg" />Предложения по документу</span><span onclick="lx_pa(3234209)"><img src="/img/vlm.svg" />Прослушать аудио</span><span onclick="lx_cl(3234209)"><img src="/img/lnk.svg" />Получить ссылку из элемента документа</span></div></div><div name="3234209" id="3234209"></div></div><div class="APPL_BANNER_LANDSCAPE_TITLE lx_elem" onmousemove="lx_mo(event,3234210)"><div class="lx_elem2"><div class="lx_elem3"><span onclick="lx_sf(3234210)"><img src="/img/cmt.svg" />Предложения по документу</span><span onclick="lx_pa(3234210)"><img src="/img/vlm.svg" />Прослушать аудио</span><span onclick="lx_cl(3234210)"><img src="/img/lnk.svg" />Получить ссылку из элемента документа</span></div></div><div name="3234210" id="3234210">ПРИЛОЖЕНИЕ № 21<br />к <a href="/ru/docs/3233862">постановлению</a> Президента Республики Узбекистан от 12 июня 2017 года № ПП-3051 </div></div><div class="ACT_FORM lx_elem" onmousemove="lx_mo(event,3234211)"><div class="lx_elem2"><div class="lx_elem3"><span onclick="lx_sf(3234211)"><img src="/img/cmt.svg" />Предложения по документу</span><span onclick="lx_pa(3234211)"><img src="/img/vlm.svg" />Прослушать аудио</span><span onclick="lx_cl(3234211)"><img src="/img/lnk.svg" />Получить ссылку из элемента документа</span></div></div><div name="3234211" id="3234211">СТРУКТУРА</div></div><div class="ACT_TITLE_APPL lx_elem" onmousemove="lx_mo(event,3234212)"><div class="lx_elem2"><div class="lx_elem3"><span onclick="lx_sf(3234212)"><img src="/img/cmt.svg" />Предложения по документу</span><span onclick="lx_pa(3234212)"><img src="/img/vlm.svg" />Прослушать аудио</span><span onclick="lx_cl(3234212)"><img src="/img/lnk.svg" />Получить ссылку из элемента документа</span></div></div><div name="3234212" id="3234212">Отдела по рассмотрению обращений физических и юридических лиц</div></div><div class="BY_DEFAULT lx_elem" onmousemove="lx_mo(event,3234213)"><div class="lx_elem2"><div class="lx_elem3"><span onclick="lx_sf(3234213)"><img src="/img/cmt.svg" />Предложения по документу</span><span onclick="lx_pa(3234213)"><img src="/img/vlm.svg" />Прослушать аудио</span><span onclick="lx_cl(3234213)"><img src="/img/lnk.svg" />Получить ссылку из элемента документа</span></div></div><div name="3234213" id="3234213"></div></div><div class="BY_DEFAULT lx_elem" onmousemove="lx_mo(event,3234214)"><div class="lx_elem2"><div class="lx_elem3"><span onclick="lx_sf(3234214)"><img src="/img/cmt.svg" />Предложения по документу</span><span onclick="lx_pa(3234214)"><img src="/img/vlm.svg" />Прослушать аудио</span><span onclick="lx_cl(3234214)"><img src="/img/lnk.svg" />Получить ссылку из элемента документа</span></div></div><div name="3234214" id="3234214"><table style="BORDER-COLLAPSE: collapse; BACKGROUND: white" border="0" cellspacing="0" cellpadding="0" width="100%">
<tbody>
<tr>
<td style="BORDER-BOTTOM: #ece9d8; BORDER-LEFT: #ece9d8; PADDING-BOTTOM: 1.4pt; PADDING-LEFT: 2.85pt; PADDING-RIGHT: 2.85pt; BORDER-TOP: #ece9d8; BORDER-RIGHT: #ece9d8; PADDING-TOP: 1.4pt" valign="top" width="92%">
<p><b><span>Заведующий отделом</span></b></p></td>
<td style="BORDER-BOTTOM: #ece9d8; BORDER-LEFT: #ece9d8; PADDING-BOTTOM: 1.4pt; PADDING-LEFT: 2.85pt; PADDING-RIGHT: 2.85pt; BORDER-TOP: #ece9d8; BORDER-RIGHT: #ece9d8; PADDING-TOP: 1.4pt" valign="top" width="7%">
<p align="center"><span>1</span></p></td></tr>
<tr>
<td style="BORDER-BOTTOM: #ece9d8; BORDER-LEFT: #ece9d8; PADDING-BOTTOM: 1.4pt; PADDING-LEFT: 2.85pt; PADDING-RIGHT: 2.85pt; BORDER-TOP: #ece9d8; BORDER-RIGHT: #ece9d8; PADDING-TOP: 1.4pt" valign="top" width="92%">
<p><span>Главный специалист по вопросам приема физических лиц и представителей юридических лиц, рассмотрения и контроля устных обращений</span></p></td>
<td style="BORDER-BOTTOM: #ece9d8; BORDER-LEFT: #ece9d8; PADDING-BOTTOM: 1.4pt; PADDING-LEFT: 2.85pt; PADDING-RIGHT: 2.85pt; BORDER-TOP: #ece9d8; BORDER-RIGHT: #ece9d8; PADDING-TOP: 1.4pt" valign="top" width="7%">
<p align="center"><span>1</span></p></td></tr>
<tr>
<td style="BORDER-BOTTOM: #ece9d8; BORDER-LEFT: #ece9d8; PADDING-BOTTOM: 1.4pt; PADDING-LEFT: 2.85pt; PADDING-RIGHT: 2.85pt; BORDER-TOP: #ece9d8; BORDER-RIGHT: #ece9d8; PADDING-TOP: 1.4pt" valign="top" width="92%">
<p><span>Ведущий специалист по вопросам приема физических лиц и представителей юридических лиц, рассмотрения и контроля устных обращений</span></p></td>
<td style="BORDER-BOTTOM: #ece9d8; BORDER-LEFT: #ece9d8; PADDING-BOTTOM: 1.4pt; PADDING-LEFT: 2.85pt; PADDING-RIGHT: 2.85pt; BORDER-TOP: #ece9d8; BORDER-RIGHT: #ece9d8; PADDING-TOP: 1.4pt" valign="top" width="7%">
<p align="center"><span>1</span></p></td></tr>
<tr>
<td style="BORDER-BOTTOM: #ece9d8; BORDER-LEFT: #ece9d8; PADDING-BOTTOM: 1.4pt; PADDING-LEFT: 2.85pt; PADDING-RIGHT: 2.85pt; BORDER-TOP: #ece9d8; BORDER-RIGHT: #ece9d8; PADDING-TOP: 1.4pt" valign="top" width="92%">
<p><span>Главный специалист по вопросам рассмотрения и контроля письменных обращений</span></p></td>
<td style="BORDER-BOTTOM: #ece9d8; BORDER-LEFT: #ece9d8; PADDING-BOTTOM: 1.4pt; PADDING-LEFT: 2.85pt; PADDING-RIGHT: 2.85pt; BORDER-TOP: #ece9d8; BORDER-RIGHT: #ece9d8; PADDING-TOP: 1.4pt" valign="top" width="7%">
<p align="center"><span>1</span></p></td></tr>
<tr>
<td style="BORDER-BOTTOM: #ece9d8; BORDER-LEFT: #ece9d8; PADDING-BOTTOM: 1.4pt; PADDING-LEFT: 2.85pt; PADDING-RIGHT: 2.85pt; BORDER-TOP: #ece9d8; BORDER-RIGHT: #ece9d8; PADDING-TOP: 1.4pt" valign="top" width="92%">
<p><span>Ведущий специалист по вопросам рассмотрения и контроля письменных обращений</span></p></td>
<td style="BORDER-BOTTOM: #ece9d8; BORDER-LEFT: #ece9d8; PADDING-BOTTOM: 1.4pt; PADDING-LEFT: 2.85pt; PADDING-RIGHT: 2.85pt; BORDER-TOP: #ece9d8; BORDER-RIGHT: #ece9d8; PADDING-TOP: 1.4pt" valign="top" width="7%">
<p align="center"><span>1</span></p></td></tr>
<tr>
<td style="BORDER-BOTTOM: #ece9d8; BORDER-LEFT: #ece9d8; PADDING-BOTTOM: 1.4pt; PADDING-LEFT: 2.85pt; PADDING-RIGHT: 2.85pt; BORDER-TOP: #ece9d8; BORDER-RIGHT: #ece9d8; PADDING-TOP: 1.4pt" valign="top" width="92%">
<p><span>Инспектор</span></p></td>
<td style="BORDER-BOTTOM: #ece9d8; BORDER-LEFT: #ece9d8; PADDING-BOTTOM: 1.4pt; PADDING-LEFT: 2.85pt; PADDING-RIGHT: 2.85pt; BORDER-TOP: #ece9d8; BORDER-RIGHT: #ece9d8; PADDING-TOP: 1.4pt" valign="top" width="7%">
<p align="center"><span>1</span></p></td></tr>
<tr>
<td style="BORDER-BOTTOM: #ece9d8; BORDER-LEFT: #ece9d8; PADDING-BOTTOM: 1.4pt; PADDING-LEFT: 2.85pt; PADDING-RIGHT: 2.85pt; BORDER-TOP: #ece9d8; BORDER-RIGHT: #ece9d8; PADDING-TOP: 1.4pt" valign="top" width="92%">
<p align="center"><b><span>Всего:</span></b></p></td>
<td style="BORDER-BOTTOM: #ece9d8; BORDER-LEFT: #ece9d8; PADDING-BOTTOM: 1.4pt; PADDING-LEFT: 2.85pt; PADDING-RIGHT: 2.85pt; BORDER-TOP: #ece9d8; BORDER-RIGHT: #ece9d8; PADDING-TOP: 1.4pt" valign="top" width="7%">
<p align="center"><b><span>6</span></b></p></td></tr></tbody></table></div></div><div class="BY_DEFAULT lx_elem" onmousemove="lx_mo(event,3234215)"><div class="lx_elem2"><div class="lx_elem3"><span onclick="lx_sf(3234215)"><img src="/img/cmt.svg" />Предложения по документу</span><span onclick="lx_pa(3234215)"><img src="/img/vlm.svg" />Прослушать аудио</span><span onclick="lx_cl(3234215)"><img src="/img/lnk.svg" />Получить ссылку из элемента документа</span></div></div><div name="3234215" id="3234215"></div></div><div class="APPL_BANNER_LANDSCAPE_TITLE lx_elem" onmousemove="lx_mo(event,3234216)"><div class="lx_elem2"><div class="lx_elem3"><span onclick="lx_sf(3234216)"><img src="/img/cmt.svg" />Предложения по документу</span><span onclick="lx_pa(3234216)"><img src="/img/vlm.svg" />Прослушать аудио</span><span onclick="lx_cl(3234216)"><img src="/img/lnk.svg" />Получить ссылку из элемента документа</span></div></div><div name="3234216" id="3234216">ПРИЛОЖЕНИЕ № 22<br />к <a href="/ru/docs/3233862">постановлению</a> Президента Республики Узбекистан от 12 июня 2017 года № ПП-3051 </div></div><div class="ACT_FORM lx_elem" onmousemove="lx_mo(event,3234217)"><div class="lx_elem2"><div class="lx_elem3"><span onclick="lx_sf(3234217)"><img src="/img/cmt.svg" />Предложения по документу</span><span onclick="lx_pa(3234217)"><img src="/img/vlm.svg" />Прослушать аудио</span><span onclick="lx_cl(3234217)"><img src="/img/lnk.svg" />Получить ссылку из элемента документа</span></div></div><div name="3234217" id="3234217">СТРУКТУРА</div></div><div class="ACT_TITLE_APPL lx_elem" onmousemove="lx_mo(event,3234218)"><div class="lx_elem2"><div class="lx_elem3"><span onclick="lx_sf(3234218)"><img src="/img/cmt.svg" />Предложения по документу</span><span onclick="lx_pa(3234218)"><img src="/img/vlm.svg" />Прослушать аудио</span><span onclick="lx_cl(3234218)"><img src="/img/lnk.svg" />Получить ссылку из элемента документа</span></div></div><div name="3234218" id="3234218">Отдела контроля</div></div><div class="BY_DEFAULT lx_elem" onmousemove="lx_mo(event,3234219)"><div class="lx_elem2"><div class="lx_elem3"><span onclick="lx_sf(3234219)"><img src="/img/cmt.svg" />Предложения по документу</span><span onclick="lx_pa(3234219)"><img src="/img/vlm.svg" />Прослушать аудио</span><span onclick="lx_cl(3234219)"><img src="/img/lnk.svg" />Получить ссылку из элемента документа</span></div></div><div name="3234219" id="3234219"></div></div><div class="BY_DEFAULT lx_elem" onmousemove="lx_mo(event,3234220)"><div class="lx_elem2"><div class="lx_elem3"><span onclick="lx_sf(3234220)"><img src="/img/cmt.svg" />Предложения по документу</span><span onclick="lx_pa(3234220)"><img src="/img/vlm.svg" />Прослушать аудио</span><span onclick="lx_cl(3234220)"><img src="/img/lnk.svg" />Получить ссылку из элемента документа</span></div></div><div name="3234220" id="3234220"><table style="BORDER-COLLAPSE: collapse; BACKGROUND: white" border="0" cellspacing="0" cellpadding="0" width="100%">
<tbody>
<tr>
<td style="BORDER-BOTTOM: #ece9d8; BORDER-LEFT: #ece9d8; PADDING-BOTTOM: 1.4pt; PADDING-LEFT: 2.85pt; PADDING-RIGHT: 2.85pt; BORDER-TOP: #ece9d8; BORDER-RIGHT: #ece9d8; PADDING-TOP: 1.4pt" valign="top" width="92%">
<p><b><span>Заведующий отделом</span></b></p></td>
<td style="BORDER-BOTTOM: #ece9d8; BORDER-LEFT: #ece9d8; PADDING-BOTTOM: 1.4pt; PADDING-LEFT: 2.85pt; PADDING-RIGHT: 2.85pt; BORDER-TOP: #ece9d8; BORDER-RIGHT: #ece9d8; PADDING-TOP: 1.4pt" valign="top" width="7%">
<p align="center"><span>1</span></p></td></tr>
<tr>
<td style="BORDER-BOTTOM: #ece9d8; BORDER-LEFT: #ece9d8; PADDING-BOTTOM: 1.4pt; PADDING-LEFT: 2.85pt; PADDING-RIGHT: 2.85pt; BORDER-TOP: #ece9d8; BORDER-RIGHT: #ece9d8; PADDING-TOP: 1.4pt" valign="top" width="92%">
<p><span>Главный специалист по вопросам контроля за исполнением поручений и актов Президента Республики Узбекистан, Законодательной палаты и Сената Олий Мажлиса Республики Узбекистан (картотека № 1) в министерствах, государственных комитетах, ведомствах и хозяйственных объединениях</span></p></td>
<td style="BORDER-BOTTOM: #ece9d8; BORDER-LEFT: #ece9d8; PADDING-BOTTOM: 1.4pt; PADDING-LEFT: 2.85pt; PADDING-RIGHT: 2.85pt; BORDER-TOP: #ece9d8; BORDER-RIGHT: #ece9d8; PADDING-TOP: 1.4pt" valign="top" width="7%">
<p align="center"><span>1</span></p></td></tr>
<tr>
<td style="BORDER-BOTTOM: #ece9d8; BORDER-LEFT: #ece9d8; PADDING-BOTTOM: 1.4pt; PADDING-LEFT: 2.85pt; PADDING-RIGHT: 2.85pt; BORDER-TOP: #ece9d8; BORDER-RIGHT: #ece9d8; PADDING-TOP: 1.4pt" valign="top" width="92%">
<p><span>Ведущий специалист по вопросам контроля за исполнением поручений и актов Президента Республики Узбекистан, Законодательной палаты и Сената Олий Мажлиса Республики Узбекистан (картотека № 1) в Совете Министров Республики Каракалпакстан, хокимиятах областей и г. Ташкента</span></p></td>
<td style="BORDER-BOTTOM: #ece9d8; BORDER-LEFT: #ece9d8; PADDING-BOTTOM: 1.4pt; PADDING-LEFT: 2.85pt; PADDING-RIGHT: 2.85pt; BORDER-TOP: #ece9d8; BORDER-RIGHT: #ece9d8; PADDING-TOP: 1.4pt" valign="top" width="7%">
<p align="center"><span>1</span></p></td></tr>
<tr>
<td style="BORDER-BOTTOM: #ece9d8; BORDER-LEFT: #ece9d8; PADDING-BOTTOM: 1.4pt; PADDING-LEFT: 2.85pt; PADDING-RIGHT: 2.85pt; BORDER-TOP: #ece9d8; BORDER-RIGHT: #ece9d8; PADDING-TOP: 1.4pt" valign="top" width="92%">
<p><span>Главный специалист по вопросам контроля за исполнением правительственных решений и протокольных поручений заседаний Кабинета Министров (картотека № 2) в министерствах, государственных комитетах, ведомствах и хозяйственных объединениях</span></p></td>
<td style="BORDER-BOTTOM: #ece9d8; BORDER-LEFT: #ece9d8; PADDING-BOTTOM: 1.4pt; PADDING-LEFT: 2.85pt; PADDING-RIGHT: 2.85pt; BORDER-TOP: #ece9d8; BORDER-RIGHT: #ece9d8; PADDING-TOP: 1.4pt" valign="top" width="7%">
<p align="center"><span>1</span></p></td></tr>
<tr>
<td style="BORDER-BOTTOM: #ece9d8; BORDER-LEFT: #ece9d8; PADDING-BOTTOM: 1.4pt; PADDING-LEFT: 2.85pt; PADDING-RIGHT: 2.85pt; BORDER-TOP: #ece9d8; BORDER-RIGHT: #ece9d8; PADDING-TOP: 1.4pt" valign="top" width="92%">
<p><span>Ведущий специалист по вопросам контроля за исполнением протокольных поручений заседаний Президиума Кабинета Министров (картотека № 2) в Совете Министров Республики Каракалпакстан, хокимиятах областей и г. Ташкента</span></p></td>
<td style="BORDER-BOTTOM: #ece9d8; BORDER-LEFT: #ece9d8; PADDING-BOTTOM: 1.4pt; PADDING-LEFT: 2.85pt; PADDING-RIGHT: 2.85pt; BORDER-TOP: #ece9d8; BORDER-RIGHT: #ece9d8; PADDING-TOP: 1.4pt" valign="top" width="7%">
<p align="center"><span>1</span></p></td></tr>
<tr>
<td style="BORDER-BOTTOM: #ece9d8; BORDER-LEFT: #ece9d8; PADDING-BOTTOM: 1.4pt; PADDING-LEFT: 2.85pt; PADDING-RIGHT: 2.85pt; BORDER-TOP: #ece9d8; BORDER-RIGHT: #ece9d8; PADDING-TOP: 1.4pt" valign="top" width="92%">
<p><span>Инспектор</span></p></td>
<td style="BORDER-BOTTOM: #ece9d8; BORDER-LEFT: #ece9d8; PADDING-BOTTOM: 1.4pt; PADDING-LEFT: 2.85pt; PADDING-RIGHT: 2.85pt; BORDER-TOP: #ece9d8; BORDER-RIGHT: #ece9d8; PADDING-TOP: 1.4pt" valign="top" width="7%">
<p align="center"><span>1</span></p></td></tr>
<tr>
<td style="BORDER-BOTTOM: #ece9d8; BORDER-LEFT: #ece9d8; PADDING-BOTTOM: 1.4pt; PADDING-LEFT: 2.85pt; PADDING-RIGHT: 2.85pt; BORDER-TOP: #ece9d8; BORDER-RIGHT: #ece9d8; PADDING-TOP: 1.4pt" valign="top" width="92%">
<p align="center"><b><span>Всего:</span></b></p></td>
<td style="BORDER-BOTTOM: #ece9d8; BORDER-LEFT: #ece9d8; PADDING-BOTTOM: 1.4pt; PADDING-LEFT: 2.85pt; PADDING-RIGHT: 2.85pt; BORDER-TOP: #ece9d8; BORDER-RIGHT: #ece9d8; PADDING-TOP: 1.4pt" valign="top" width="7%">
<p align="center"><b><span>6</span></b></p></td></tr></tbody></table></div></div><div class="BY_DEFAULT lx_elem" style="color:#808080;" onmousemove="lx_mo(event,3234221)"><div class="lx_elem2"><div class="lx_elem3"><span onclick="lx_sf(3234221)"><img src="/img/cmt.svg" />Предложения по документу</span><span onclick="lx_pa(3234221)"><img src="/img/vlm.svg" />Прослушать аудио</span><span onclick="lx_cl(3234221)"><img src="/img/lnk.svg" />Получить ссылку из элемента документа</span></div></div><div name="3234221" id="3234221"></div></div><div class="APPL_BANNER_LANDSCAPE_TITLE lx_elem" style="color:#808080;" onmousemove="lx_mo(event,3234222)"><div class="lx_elem2"><div class="lx_elem3"><span onclick="lx_sf(3234222)"><img src="/img/cmt.svg" />Предложения по документу</span><span onclick="lx_pa(3234222)"><img src="/img/vlm.svg" />Прослушать аудио</span><span onclick="lx_cl(3234222)"><img src="/img/lnk.svg" />Получить ссылку из элемента документа</span></div></div><div name="3234222" id="3234222">ПРИЛОЖЕНИЕ № 23<br />к <a href="/ru/docs/3233862">постановлению</a> Президента Республики Узбекистан от 12 июня 2017 года № ПП-3051 </div></div><div class="ACT_FORM lx_elem" style="color:#808080;" onmousemove="lx_mo(event,3234225)"><div class="lx_elem2"><div class="lx_elem3"><span onclick="lx_sf(3234225)"><img src="/img/cmt.svg" />Предложения по документу</span><span onclick="lx_pa(3234225)"><img src="/img/vlm.svg" />Прослушать аудио</span><span onclick="lx_cl(3234225)"><img src="/img/lnk.svg" />Получить ссылку из элемента документа</span></div></div><div name="3234225" id="3234225">СТРУКТУРА</div></div><div class="ACT_TITLE_APPL lx_elem" style="color:#808080;" onmousemove="lx_mo(event,3234226)"><div class="lx_elem2"><div class="lx_elem3"><span onclick="lx_sf(3234226)"><img src="/img/cmt.svg" />Предложения по документу</span><span onclick="lx_pa(3234226)"><img src="/img/vlm.svg" />Прослушать аудио</span><span onclick="lx_cl(3234226)"><img src="/img/lnk.svg" />Получить ссылку из элемента документа</span></div></div><div name="3234226" id="3234226">Первого отдела</div></div><div class="BY_DEFAULT lx_elem" style="color:#808080;" onmousemove="lx_mo(event,3234227)"><div class="lx_elem2"><div class="lx_elem3"><span onclick="lx_sf(3234227)"><img src="/img/cmt.svg" />Предложения по документу</span><span onclick="lx_pa(3234227)"><img src="/img/vlm.svg" />Прослушать аудио</span><span onclick="lx_cl(3234227)"><img src="/img/lnk.svg" />Получить ссылку из элемента документа</span></div></div><div name="3234227" id="3234227"></div></div><div class="BY_DEFAULT lx_elem" style="color:#808080;" onmousemove="lx_mo(event,3234228)"><div class="lx_elem2"><div class="lx_elem3"><span onclick="lx_sf(3234228)"><img src="/img/cmt.svg" />Предложения по документу</span><span onclick="lx_pa(3234228)"><img src="/img/vlm.svg" />Прослушать аудио</span><span onclick="lx_cl(3234228)"><img src="/img/lnk.svg" />Получить ссылку из элемента документа</span></div></div><div name="3234228" id="3234228"><table style="BORDER-COLLAPSE: collapse; BACKGROUND: white" border="0" cellspacing="0" cellpadding="0" width="99%">
<tbody>
<tr>
<td style="BORDER-BOTTOM: #ece9d8; BORDER-LEFT: #ece9d8; PADDING-BOTTOM: 1.4pt; PADDING-LEFT: 2.85pt; PADDING-RIGHT: 2.85pt; BORDER-TOP: #ece9d8; BORDER-RIGHT: #ece9d8; PADDING-TOP: 1.4pt" valign="top" width="92%">
<p><b><span>Заведующий отделом</span></b></p></td>
<td style="BORDER-BOTTOM: #ece9d8; BORDER-LEFT: #ece9d8; PADDING-BOTTOM: 1.4pt; PADDING-LEFT: 2.85pt; PADDING-RIGHT: 2.85pt; BORDER-TOP: #ece9d8; BORDER-RIGHT: #ece9d8; PADDING-TOP: 1.4pt" valign="top" width="7%">
<p align="center"><span>1</span></p></td></tr>
<tr>
<td style="BORDER-BOTTOM: #ece9d8; BORDER-LEFT: #ece9d8; PADDING-BOTTOM: 1.4pt; PADDING-LEFT: 2.85pt; PADDING-RIGHT: 2.85pt; BORDER-TOP: #ece9d8; BORDER-RIGHT: #ece9d8; PADDING-TOP: 1.4pt" valign="top" width="92%">
<p><span>Главный специалист по вопросам ведения секретного делопроизводства</span></p></td>
<td style="BORDER-BOTTOM: #ece9d8; BORDER-LEFT: #ece9d8; PADDING-BOTTOM: 1.4pt; PADDING-LEFT: 2.85pt; PADDING-RIGHT: 2.85pt; BORDER-TOP: #ece9d8; BORDER-RIGHT: #ece9d8; PADDING-TOP: 1.4pt" valign="top" width="7%">
<p align="center"><span>1</span></p></td></tr>
<tr>
<td style="BORDER-BOTTOM: #ece9d8; BORDER-LEFT: #ece9d8; PADDING-BOTTOM: 1.4pt; PADDING-LEFT: 2.85pt; PADDING-RIGHT: 2.85pt; BORDER-TOP: #ece9d8; BORDER-RIGHT: #ece9d8; PADDING-TOP: 1.4pt" valign="top" width="92%">
<p><span>Ведущий специалист по вопросам контроля за исполнением актов Президента Республики Узбекистан, правительственных решений и других документов</span></p></td>
<td style="BORDER-BOTTOM: #ece9d8; BORDER-LEFT: #ece9d8; PADDING-BOTTOM: 1.4pt; PADDING-LEFT: 2.85pt; PADDING-RIGHT: 2.85pt; BORDER-TOP: #ece9d8; BORDER-RIGHT: #ece9d8; PADDING-TOP: 1.4pt" valign="top" width="7%">
<p align="center"><span>1</span></p></td></tr>
<tr>
<td style="BORDER-BOTTOM: #ece9d8; BORDER-LEFT: #ece9d8; PADDING-BOTTOM: 1.4pt; PADDING-LEFT: 2.85pt; PADDING-RIGHT: 2.85pt; BORDER-TOP: #ece9d8; BORDER-RIGHT: #ece9d8; PADDING-TOP: 1.4pt" valign="top" width="92%">
<p><span>Инспектор</span></p></td>
<td style="BORDER-BOTTOM: #ece9d8; BORDER-LEFT: #ece9d8; PADDING-BOTTOM: 1.4pt; PADDING-LEFT: 2.85pt; PADDING-RIGHT: 2.85pt; BORDER-TOP: #ece9d8; BORDER-RIGHT: #ece9d8; PADDING-TOP: 1.4pt" valign="top" width="7%">
<p align="center"><span>1</span></p></td></tr>
<tr>
<td style="BORDER-BOTTOM: #ece9d8; BORDER-LEFT: #ece9d8; PADDING-BOTTOM: 1.4pt; PADDING-LEFT: 2.85pt; PADDING-RIGHT: 2.85pt; BORDER-TOP: #ece9d8; BORDER-RIGHT: #ece9d8; PADDING-TOP: 1.4pt" valign="top" width="92%">
<p align="center"><b><span>Всего:</span></b></p></td>
<td style="BORDER-BOTTOM: #ece9d8; BORDER-LEFT: #ece9d8; PADDING-BOTTOM: 1.4pt; PADDING-LEFT: 2.85pt; PADDING-RIGHT: 2.85pt; BORDER-TOP: #ece9d8; BORDER-RIGHT: #ece9d8; PADDING-TOP: 1.4pt" valign="top" width="7%">
<p align="center"><b><span>4</span></b></p></td></tr></tbody></table></div></div><div class="COMMENT"><label id="s3935"></label><div name="edi3234228" id="edi3234228">См. <a href="/ru/docs/3233862?ONDATE=28.08.2017 00#edi3343758">последующую</a> редакцию.</div></div><div class="BY_DEFAULT lx_elem" onmousemove="lx_mo(event,3234230)"><div class="lx_elem2"><div class="lx_elem3"><span onclick="lx_sf(3234230)"><img src="/img/cmt.svg" />Предложения по документу</span><span onclick="lx_pa(3234230)"><img src="/img/vlm.svg" />Прослушать аудио</span><span onclick="lx_cl(3234230)"><img src="/img/lnk.svg" />Получить ссылку из элемента документа</span></div></div><div name="3234230" id="3234230"></div></div><div class="APPL_BANNER_LANDSCAPE_TITLE lx_elem" onmousemove="lx_mo(event,3234231)"><div class="lx_elem2"><div class="lx_elem3"><span onclick="lx_sf(3234231)"><img src="/img/cmt.svg" />Предложения по документу</span><span onclick="lx_pa(3234231)"><img src="/img/vlm.svg" />Прослушать аудио</span><span onclick="lx_cl(3234231)"><img src="/img/lnk.svg" />Получить ссылку из элемента документа</span></div></div><div name="3234231" id="3234231">ПРИЛОЖЕНИЕ № 24<br />к <a href="/ru/docs/3233862">постановлению</a> Президента Республики Узбекистан от 12 июня 2017 года № ПП-3051 </div></div><div class="ACT_FORM lx_elem" onmousemove="lx_mo(event,3234232)"><div class="lx_elem2"><div class="lx_elem3"><span onclick="lx_sf(3234232)"><img src="/img/cmt.svg" />Предложения по документу</span><span onclick="lx_pa(3234232)"><img src="/img/vlm.svg" />Прослушать аудио</span><span onclick="lx_cl(3234232)"><img src="/img/lnk.svg" />Получить ссылку из элемента документа</span></div></div><div name="3234232" id="3234232">СТРУКТУРА</div></div><div class="ACT_TITLE_APPL lx_elem" onmousemove="lx_mo(event,3234233)"><div class="lx_elem2"><div class="lx_elem3"><span onclick="lx_sf(3234233)"><img src="/img/cmt.svg" />Предложения по документу</span><span onclick="lx_pa(3234233)"><img src="/img/vlm.svg" />Прослушать аудио</span><span onclick="lx_cl(3234233)"><img src="/img/lnk.svg" />Получить ссылку из элемента документа</span></div></div><div name="3234233" id="3234233">Отдела кадров</div></div><div class="BY_DEFAULT lx_elem" onmousemove="lx_mo(event,3234234)"><div class="lx_elem2"><div class="lx_elem3"><span onclick="lx_sf(3234234)"><img src="/img/cmt.svg" />Предложения по документу</span><span onclick="lx_pa(3234234)"><img src="/img/vlm.svg" />Прослушать аудио</span><span onclick="lx_cl(3234234)"><img src="/img/lnk.svg" />Получить ссылку из элемента документа</span></div></div><div name="3234234" id="3234234"></div></div><div class="BY_DEFAULT lx_elem" onmousemove="lx_mo(event,3234236)"><div class="lx_elem2"><div class="lx_elem3"><span onclick="lx_sf(3234236)"><img src="/img/cmt.svg" />Предложения по документу</span><span onclick="lx_pa(3234236)"><img src="/img/vlm.svg" />Прослушать аудио</span><span onclick="lx_cl(3234236)"><img src="/img/lnk.svg" />Получить ссылку из элемента документа</span></div></div><div name="3234236" id="3234236"><table style="BORDER-COLLAPSE: collapse; BACKGROUND: white" border="0" cellspacing="0" cellpadding="0" width="100%">
<tbody>
<tr>
<td style="BORDER-BOTTOM: #ece9d8; BORDER-LEFT: #ece9d8; PADDING-BOTTOM: 1.4pt; PADDING-LEFT: 2.85pt; PADDING-RIGHT: 2.85pt; BORDER-TOP: #ece9d8; BORDER-RIGHT: #ece9d8; PADDING-TOP: 1.4pt" valign="top" width="92%">
<p><b><span>Заведующий отделом</span></b></p></td>
<td style="BORDER-BOTTOM: #ece9d8; BORDER-LEFT: #ece9d8; PADDING-BOTTOM: 1.4pt; PADDING-LEFT: 2.85pt; PADDING-RIGHT: 2.85pt; BORDER-TOP: #ece9d8; BORDER-RIGHT: #ece9d8; PADDING-TOP: 1.4pt" valign="top" width="7%">
<p align="center"><span>1</span></p></td></tr>
<tr>
<td style="BORDER-BOTTOM: #ece9d8; BORDER-LEFT: #ece9d8; PADDING-BOTTOM: 1.4pt; PADDING-LEFT: 2.85pt; PADDING-RIGHT: 2.85pt; BORDER-TOP: #ece9d8; BORDER-RIGHT: #ece9d8; PADDING-TOP: 1.4pt" valign="top" width="92%">
<p><span>Главный специалист</span></p></td>
<td style="BORDER-BOTTOM: #ece9d8; BORDER-LEFT: #ece9d8; PADDING-BOTTOM: 1.4pt; PADDING-LEFT: 2.85pt; PADDING-RIGHT: 2.85pt; BORDER-TOP: #ece9d8; BORDER-RIGHT: #ece9d8; PADDING-TOP: 1.4pt" valign="top" width="7%">
<p align="center"><span>1</span></p></td></tr>
<tr>
<td style="BORDER-BOTTOM: #ece9d8; BORDER-LEFT: #ece9d8; PADDING-BOTTOM: 1.4pt; PADDING-LEFT: 2.85pt; PADDING-RIGHT: 2.85pt; BORDER-TOP: #ece9d8; BORDER-RIGHT: #ece9d8; PADDING-TOP: 1.4pt" valign="top" width="92%">
<p><span>Инспектор</span></p></td>
<td style="BORDER-BOTTOM: #ece9d8; BORDER-LEFT: #ece9d8; PADDING-BOTTOM: 1.4pt; PADDING-LEFT: 2.85pt; PADDING-RIGHT: 2.85pt; BORDER-TOP: #ece9d8; BORDER-RIGHT: #ece9d8; PADDING-TOP: 1.4pt" valign="top" width="7%">
<p align="center"><span>1</span></p></td></tr>
<tr>
<td style="BORDER-BOTTOM: #ece9d8; BORDER-LEFT: #ece9d8; PADDING-BOTTOM: 1.4pt; PADDING-LEFT: 2.85pt; PADDING-RIGHT: 2.85pt; BORDER-TOP: #ece9d8; BORDER-RIGHT: #ece9d8; PADDING-TOP: 1.4pt" valign="top" width="92%">
<p align="center"><b><span>Всего:</span></b></p></td>
<td style="BORDER-BOTTOM: #ece9d8; BORDER-LEFT: #ece9d8; PADDING-BOTTOM: 1.4pt; PADDING-LEFT: 2.85pt; PADDING-RIGHT: 2.85pt; BORDER-TOP: #ece9d8; BORDER-RIGHT: #ece9d8; PADDING-TOP: 1.4pt" valign="top" width="7%">
<p align="center"><b><span>3</span></b></p></td></tr></tbody></table></div></div><br /><div class="PUBLICATION_ORIGIN"><label id="s1089"></label><div name="3238675" id="3238675">(Собрание законодательства Республики Узбекистан, 2017 г., № 24, ст. 493, № 28, ст. 642, № 34, ст. 881, № 37, ст. 982; Национальная база данных законодательства, 29.09.2017 г., № 06/17/5194/0032; 15.11.2017 г., № 07/17/3388/0257; 21.11.2017 г., № 06/17/5250/0284, 03.03.2018 г., № 06/18/5329/0846, 07.06.2018 й., 06/18/5456/1316-сон) </div></div></div>
                                            </div>
                                        </div>
                                    </div>
                                
                                
                                
                            </div>
                        </div>
                    </div>
                </div>
            </div>
            
            <div class="lx_revive_adserver">
                

<script type='text/javascript'><!--//<![CDATA[
    var m3_u = (location.protocol == 'https:' ? 'https://rk.adolatmarkazi.uz/www/delivery/ajs.php' : 'http://rk.adolatmarkazi.uz/www/delivery/ajs.php');
    var m3_r = Math.floor(Math.random() * 99999999999);
    if (!document.MAX_used) document.MAX_used = ',';
    document.write("<scr" + "ipt type='text/javascript' src='" + m3_u);
    document.write("?zoneid=8");
    document.write('&amp;cb=' + m3_r);
    if (document.MAX_used != ',') document.write("&amp;exclude=" + document.MAX_used);
    document.write(document.charset ? '&amp;charset=' + document.charset : (document.characterSet ? '&amp;charset=' + document.characterSet : ''));
    document.write("&amp;loc=" + escape(window.location));
    if (document.referrer) document.write("&amp;referer=" + escape(document.referrer));
    if (document.context) document.write("&context=" + escape(document.context));
    document.write("'><\/scr" + "ipt>");
    //]]>--></script>

            </div>
            
        </main>
        <div class="">
            
<footer class="footer">
    
    <div class="footer__top">
        <div class="container">
            <div class="footer__links">
                <div class="footer__links-ads">
                    <a href="/ru/about">О Центре</a>
                </div>
                <div class="footer__links-ads">
                    <a href="/ru/news">Новости сайта</a>
                </div>
                <div class="footer__links-ads">
                    <a href="/ru/adv">Реклама на сайте</a>
                </div>
                <div class="footer__links-ads">
                    <a href="/ru/rss">RSS</a>
                </div>
            </div>
            
            <div class="footer__app">
                <div class="footer__app-download">
                    <a target="_blank" href="https://play.google.com/store/apps/details?id=uz.lex.mobile">
                        <img src="/assets/img/google_app.svg"></a>
                </div>
                <div class="footer__app-download">
                    <a target="_blank" href="https://apps.apple.com/us/app/lexuz/id1608798574">
                        <img src="/assets/img/app_store.png"></a>
                </div>
            </div>
            <div class="footer__icon">
                <div class="footer__icons">
                    <a target="_blank" href="https://t.me/lexuzofficial"><i class="fab fa-telegram-plane"></i></a>
                </div>
                <div class="footer__icons">
                    <a target="_blank" href="https://www.facebook.com/minjustuz"><i class="fab fa-facebook-f"></i></a>
                </div>
                <div class="footer__icons">
                    <a target="_blank" href="https://www.instagram.com/adliyanews/"><i class="fab fa-instagram-square"></i></a>
                </div>
                <div class="footer__icons">
                    <a target="_blank" href="https://www.youtube.com/c/adliya"><i class="fab fa-youtube"></i></a>
                </div>
            </div>
            <div style="float: right; top: -30px; margin-top: -44px;">
<!-- START WWW.UZ TOP-RATING -->
<SCRIPT language="javascript" type="text/javascript">
		<!--
		top_js = "1.0"; top_r = "id=4079&r=" + escape(document.referrer) + "&pg=" + escape(window.location.href); document.cookie = "smart_top=1; path=/"; top_r += "&c=" + (document.cookie ? "Y" : "N")
		//-->
</SCRIPT>
<SCRIPT language="javascript1.1" type="text/javascript">
<!--
		top_js = "1.1"; top_r += "&j=" + (navigator.javaEnabled() ? "Y" : "N")
//-->
</SCRIPT>
<SCRIPT language="javascript1.2" type="text/javascript">
<!--
		top_js = "1.2"; top_r += "&wh=" + screen.width + 'x' + screen.height + "&px=" + (((navigator.appName.substring(0, 3) == "Mic")) ? screen.colorDepth : screen.pixelDepth)
//-->
</SCRIPT>
<SCRIPT language="javascript1.3" type="text/javascript">
<!--
		top_js = "1.3";
//-->
</SCRIPT>
<SCRIPT language="JavaScript" type="text/javascript">
		<!--
		top_rat = "&col=0C57A6&t=ffffff&p=DD7900"; top_r += "&js=" + top_js + ""; document.write('<a href="https://www.uz/rus/toprating/cmd/stat/id/4079" target="_blank"><img src="https://www.uz/plugins/top_rating/count/cnt.png?' + top_r + top_rat + '" width=88 height=31 border=0 alt="Топ рейтинг www.uz"></a>')//-->
</SCRIPT>
<NOSCRIPT>
		<A href="https://www.uz/rus/toprating/cmd/stat/id/4079" target="_blank">
				<img height="31" src="https://www.uz/plugins/top_rating/count/nojs_cnt.png?id=4079&pg=http%3A//lex.uz&col=0C57A6&t=ffffff&p=DD7900" width="88" border="0" alt="Топ рейтинг www.uz">
		</A>
</NOSCRIPT>
<!-- FINISH WWW.UZ TOP-RATING --></div>
            
        </div>
    </div>
    
    <div class="footer__bottom">
        <div class="container">
            <div class="footer__bottom-desc">&copy; Государственное учреждение «Национальный правовой информационный центр «Адолат» при Министерстве юстиции Республики Узбекистан»</div>
        </div>
    </div>
</footer>
<div id="lx_alert" style="display: none;">
    <div class="lx_alert_content">
        <div class="lx_alert_body">
            <div id="lx_alert_message"></div>
        </div>
        <div class="lx_alert_footer">
            <button id="lx_alert_close" type="button" class="btn btn-primary" onclick="lxCloseAlert();">Закрыть</button>
        </div>
    </div>
</div>
<span id="lx_btn_up" onclick="lx_btn_up_top()" title="">
    <svg viewBox="0 0 512 512">
        <path fill="currentColor" d="M256 504c137 0 248-111 248-248S393 8 256 8 8 119 8 256s111 248 248 248zm0-448c110.5 0 200 89.5 200 200s-89.5 200-200 200S56 366.5 56 256 145.5 56 256 56zm20 328h-40c-6.6 0-12-5.4-12-12V256h-67c-10.7 0-16-12.9-8.5-20.5l99-99c4.7-4.7 12.3-4.7 17 0l99 99c7.6 7.6 2.2 20.5-8.5 20.5h-67v116c0 6.6-5.4 12-12 12z"></path></svg>
</span>

        </div>
        <div id="lx_md_send_feedback" class="modal" tabindex="-1" role="dialog">
            <div class="modal-dialog" role="document" style="max-width: 40rem; max-height: 90vh;">
                <div class="modal-content">
                    <div class="modal-header" style="display: block;">
                        <button type="button" class="close" data-dismiss="modal" aria-label="Close">
                            <span aria-hidden="true">&times;</span>
                        </button>
                        <h3 class="modal-title">Предложения по документу</h3>
                    </div>
                    <div class="modal-body">
                        <div class="form-group">
                            <select class="lx_select2_filter select2 form-control" id="lx_feedback_type" onchange="feedback_type_changed(this)">
                                <option value="" selected>Выберите тип предложения</option>
                                <option value="1">Предложение по документу</option>
                                <option value="2">Техническая ошибка</option>
                            </select>
                        </div>
                        <div class="form-group">
                            <input id="lx_feedback_from" type="text" class="form-control" placeholder="Фамилия, имя, отчество" />
                        </div>
                        <div class="form-group row">
                            <div class="col-6">
                                <input id="lx_feedback_phone" type="text" class="form-control" placeholder="Телефон" />
                            </div>
                            <div class="col-6">
                                <input id="lx_feedback_email" type="text" class="form-control" placeholder="Email" />
                            </div>
                        </div>
                        <div class="form-group">
                            <textarea id="lx_feedback_text" class="form-control" rows="7" maxlength="2000" style="resize: vertical; max-height: 600px;" placeholder="Текст"></textarea>
                        </div>
                        <div class="form-group">
                            <div class="custom-control custom-checkbox mb-2">
                                <input class="custom-control-input" id="lx_feedback_legis" type="checkbox" onchange="lx_feedback_legis_changed(this)">
                                <label class="custom-control-label" for="lx_feedback_legis">Ознакомился с <a href="https://lex.uz/" target="_blank" style="color:#0064a9">правилами</a> внесения предложений в законодательство</label>
                            </div>
                        </div>
                    </div>
                    <div class="modal-footer" id="sendFeedback_group" style="display: none;">
                        <div id="dvCaptcha2"></div>
                        <input type="hidden" id="captcha_res2" />
                        <button type="button" class="btn btn-success" id="btn_sendFeedbackToDb" style="display: none;" onclick="sendFeedbackToDb(3233862, 1);">Отправить</button>
                        <button type="button" class="btn btn-danger" id="btn_sendFeedbackCancel" data-dismiss="modal">Отменить</button>
                    </div>
                </div>
            </div>
        </div>
        <div class="modal fade" id="modalShowCard" tabindex="-1" role="dialog" aria-hidden="true" style="z-index: 9000;">
            <div class="modal-dialog" style="margin: 0;">
                <div class="modal-content" style="background: #eee; width: 90vw; height: 92vh; left: 5vw; top: 4vh;">
                    <div class="modal-header" style="padding: 0 4px 0 0; display: block;">
                        <button type="button" class="close" data-dismiss="modal" style="margin: 0">&times;</button>
                    </div>
                    <div class="modal-body" style="padding: 0 4px; margin: 0;">
                        <iframe id="iframeShowCard" style="width: 100%; height: 100%; border: none;"></iframe>
                    </div>
                </div>
            </div>
        </div>
        <button id="lxPlayButton"></button>
        <button id="lxPlayLang" style="display: none">1</button>
        
        <script type="text/javascript">
            function googleTranslateElementInit() {
                new google.translate.TranslateElement({
                    pageLanguage: 'ru',
                    includedLanguages: 'sq,ar,hy,az,be,bn,bg,zh-CN,zh-TW,hr,cs,da,et,tl,fi,fr,ka,de,el,iw,hi,hu,is,id,it,ja,kk,ko,ky,lv,lt,ms,mn,no,ps,fa,pl,pt,ro,sr,sk,sl,es,sw,sv,tg,tt,th,tr,tk,uk,ur,ug,vi,en,uz',
                    layout: google.translate.TranslateElement.InlineLayout.SIMPLE
                }, 'google_translate_element');
            }
        </script>
        <script type="text/javascript" defer src="//translate.google.com/translate_a/element.js?cb=googleTranslateElementInit"></script>
        
        <script>
            const htmldark = document.getElementsByTagName('html')[0];

            if (localStorage.getItem("themes") === "light") {
                htmldark.dataset.theme = 'light';
            }
            else if (localStorage.getItem("themes") === "grey") {
                htmldark.dataset.theme = 'grey';
            }
            else if (localStorage.getItem("themes") === "dark") {
                htmldark.dataset.theme = 'dark';
            }
            const toggleTheme = (theme) => {
                htmldark.dataset.theme = theme;
                localStorage.setItem("themes", theme);
            }
        </script>
        <script>            
            
            $(document).ready(function () {
                document.getElementById('lx_var_b').innerHTML = document.getElementById('lx_var_t').innerHTML;
            });
            
        </script>
        <script type="text/javascript">
            
            $("#docContent__sideBar-show").click(function () {
                if ($("body").hasClass("sidebar-show")) {
                    $("body").removeClass("sidebar-show")
                }
                else {
                    $("body").addClass("sidebar-show")
                }
            })
            
        </script>
    </div>
    <div style="display: none;"></div>
</body>
</html>

<script>
    function changeScrollType(obj) {
        if ($(obj)["0"].checked) {
            scrollIndependent();
        }
        else {
            scrollCommon();
        }
    }

    function scrollCommon() {
        $('#lang1').css('overflow', 'auto');
        $(".lang1, .lang2").removeAttr('overflow');
        $(".lang1, .lang2").css('overflow', 'hidden');
        $(".lang1, .lang2").css('height', 'auto');
        $(".lang1, .lang2").css('padding-right', '0');
        $("body").css('overflow', 'auto');
    }

    function scrollIndependent() {
        $('#actPage').removeAttr('overflow');
        $(".lang1, .lang2").css('height', ($(window).height() - 38) + "px");
        $(".lang1, .lang2").css('overflow', 'auto');
        $(".lang1, .lang2").css('padding-right', '5px');
        $("body").css('overflow', 'hidden');
    }

    function clickAllChk(item_id, chk, pref1, pref2) {
        $.each($('#' + pref1 + '_dropdown_check').find("INPUT[type='checkbox']"), function () {
            if ($(this).attr('id') != item_id) {
                $(this).prop('checked', chk.checked);
                if (!chk.checked) {
                    $.each($('div').find('#s' + $(this).attr('id').substring(2)), function () { $(this).parent().hide(); });
                }
                else {
                    $.each($('div').find('#s' + $(this).attr('id').substring(2)), function () { $(this).parent().show(); });
                }
            }
        });

        $.each($('#' + pref2 + '_dropdown_check').find("INPUT[type='checkbox']"), function () {
            $(this).attr('checked', chk.checked);
        });
    }

    function hideItem(chk) {
        var chk_id = chk.id.substring(2);
        if (!chk.checked) {
            $.each($('div').find('#s' + chk_id), function () {
                $(this).parent().hide();
            });
        }
        else {
            $.each($('div').find('#s' + chk_id), function () { $(this).parent().show(); });
        }
    }

    var showLexComments = false;

    function toggleLexComments() {
        if (showLexComments) {
            showLexComments = false;
            $("#t_btn_lex_comment").removeClass("active")
            $("#b_btn_lex_comment").removeClass("active")
            $.each($('div').find('#s527'), function () { $(this).parent().hide(); });
        }
        else {
            showLexComments = true;
            $("#t_btn_lex_comment").addClass("active")
            $("#b_btn_lex_comment").addClass("active")
            $.each($('div').find('#s527'), function () { $(this).parent().show(); });
        }
    }

    function scrollText(hash) {
        if (!hash) {
            window.scrollTo(0, 0);
            return;
        }
        history.pushState(null, '', '#' + hash);
        scrollToHash(hash);
    }

    function scrollToHash(hash, smooth = false) {
        const target = document.getElementById(hash);
        if (!target) return;
        const iframe = document.querySelector('.skiptranslate iframe');
        const iframeHeight = iframe ? iframe.offsetHeight : 0;
        const header = document.getElementById("doc_header");
        const headerHeight = header ? header.offsetHeight : 0;
        const y = target.getBoundingClientRect().top + window.pageYOffset - iframeHeight - headerHeight - 4;
        if (smooth) {
            setTimeout(() => { window.scrollTo(0, y); }, 100);
        } else {
            window.scrollTo(0, y);
        }
    }

    window.onload = function () {
        if (window.location.hash) {
            scrollToHash(window.location.hash.substring(1), true);
        }
    };

    window.addEventListener('hashchange', function () {
        if (window.location.hash) {
            scrollToHash(window.location.hash.substring(1));
        }
    });

    $(document).ready(function () {
        $('#search-criteria').on('input', function (e) {
            var txt = $('#search-criteria').val().toUpperCase();
            if (txt.length > 0) {
                $('.docNabvar__child').each(function () {
                    $(this).addClass('toc_show');
                });
                $('.search-text').each(function () {
                    var elem = $(this).closest('.search-toggle');
                    elem.removeClass('toc_show');
                    elem.removeClass('toc_hide');
                    if ($(this).text().toUpperCase().indexOf(txt) != -1) {
                        elem.addClass('toc_show');
                    } else {
                        elem.addClass('toc_hide');
                    }
                });
            }
            else {
                clearSearch();
            }
        });
    });

    function clearSearch() {
        $('#search-criteria').val('');
        $('.toc_show').each(function () {
            $(this).removeClass('toc_show');
        });
        $('.toc_hide').each(function () {
            $(this).removeClass('toc_hide');
        });
    }
</script>
<script>
    function addToFavorite() {
        $.ajax({
            type: "POST",
            url: "/pages/ajax_methods2.aspx",
            cache: false,
            data: {
                "action": "addToFavorite",
                "lact_id": "3233862",
                "lang": "1"
            },
            success: function (data) {
                var kvp = JSON.parse(data);
                lxAlert(kvp.message);
            },
            error: function () {
                lxAlert("Ошибка при сохранении!");
            }
        });
    }

    function showAddCard(tcard) {
        if (tcard < 1 || tcard > 6) {
            return;
        }

        $('#add_info').val('0').trigger('change');

        if (tcard == "1") {
            showIframeCard('/ru/actinfo/card1/3233862');
        }
        else if (tcard == "2") {
            showIframeCard('/ru/actinfo/card2/3233862');
        }
        else if (tcard == "3") {
            showIframeCard('/ru/actinfo/basrev/3233862');
        }
        else if (tcard == "4") {
            showIframeCard('/ru/actinfo/revhis/3233862');
        }
        else if (tcard == "5") {
            showIframeCard('/ru/actinfo/correspondents/3233862');
        }
        else if (tcard == "6") {
            showIframeCard('/ru/actinfo/respondents/3233862');
        }
    }

    function showIframeCard(_url) {
        $("#iframeShowCard").attr("src", _url);
        $('#modalShowCard').modal('show');
    }

    $('#modalShowCard').on('hidden.bs.modal', function () {
        $("#iframeShowCard").attr("src", "about:blank");  // clear after close
    });

    $(document).ready(function () {
        
    });
</script>
<script type="text/javascript">
    function downloadDoc() {
        window.location.href = "/ru/docs/3233862?type=doc";
    }

    function openTwoLang(lang_id) {
        window.location.href = "/ru/docs/3233862?otherlang=" + lang_id;
    }
</script>
<script>
    function lx_pa(elem_id) { lx_audio.playAudioByElemId(elem_id); }
    function lx_mo(e, elem_id) { lx_audio.moveElement(e, elem_id); }
    function a(event, word) { lx_def.showDef(event, '1', word); }
    function lx_cl(elem_id) {
        const link = window.location.origin + window.location.pathname + window.location.search + '#' + elem_id;
        navigator.clipboard.writeText(link)
            .then(() => {
                Swal.fire({
                    title: 'Ссылка скопирована',
                    text: link,
                    confirmButtonText: "Закрыть"
                });
            })
            .catch(err => {
                Swal.fire({
                    title: 'Error',
                    text: 'Failed to copy',
                    confirmButtonText: "Закрыть"
                });
            });
    }
    async function lx_bm(elem_id) {
        const link = window.location.pathname + window.location.search + '#' + elem_id;
        try {
            const lang_id = 1;
            const response = await fetch('/Pages/GetPage.aspx/SaveBookmark', {
                method: "POST",
                headers: { "Content-Type": "application/json" },
                body: JSON.stringify({ lang_id, link }),
            });
            if (response.ok) {
                const result = (await response.json()).d;
                lxAlert(result);
            } else {
                lxAlert('Техническая ошибка');
            }
        }
        catch (error) {
            lxAlert('Техническая ошибка');
        }
    }
</script>
<script>
    var dvCaptcha2;

    var onloadCallback = function () {
        dvCaptcha2 = grecaptcha.render('dvCaptcha2', {
            'sitekey': '6Lc4eUoUAAAAADW-S-YIn_F1v9K-G6154fgrBmQq',
            'callback': function (response) {
                $("[id*=captcha_res2]").val(response);
                $('#btn_sendFeedbackToDb').show();
                $('#btn_sendFeedbackCancel').hide();
            }
        });
    };

    var _elem_id;

    function lx_sf(elem_id) { // added to xml
        sendFeedback(elem_id);
    }

    function sendFeedback(elem_id) {
        _elem_id = elem_id;
        grecaptcha.reset(dvCaptcha2);
        $('#lx_feedback_from').val('');
        $('#lx_feedback_text').val('');
        $('#lx_feedback_phone').val('');
        $('#lx_feedback_email').val('');
        $('#captcha_res2').val('');
        $('#btn_sendFeedbackToDb').hide();
        $('#lx_md_send_feedback').modal({
            backdrop: 'static',
            keyboard: true
        });
        $('#lx_feedback_type').val('').trigger('change');
        $('#lx_feedback_legis').prop('checked', false).trigger('change');
    }

    function feedback_type_changed(sel) {
        if (sel.value == '1') {
            $('#lx_feedback_phone').show();
            $('#lx_feedback_email').show();
        }
        else {
            $('#lx_feedback_phone').hide();
            $('#lx_feedback_email').hide();
        }
    }

    function lx_feedback_legis_changed(checkbox) {
        if (checkbox.checked) {
            $('#sendFeedback_group').show();
        } else {
            $('#sendFeedback_group').hide();
        }
    }

    function sendFeedbackToDb(lact_id, lang_id) {
        var feedback_from = $('#lx_feedback_from').val().trim();
        var feedback_text = $('#lx_feedback_text').val().trim();
        var feedback_type = $('#lx_feedback_type').val().trim();
        var feedback_phone = $('#lx_feedback_phone').val().trim();
        var feedback_email = $('#lx_feedback_email').val().trim();
        var captcha_result = $('#captcha_res2').val();

        if (feedback_type != '1' && feedback_type != '2') {
            lxAlert('Выберите тип предложения!');
        }
        else if (feedback_from.length < 3 || feedback_from.length > 100) {
            lxAlert('Фамилия, имя, отчество!');
        }
        else if (feedback_text.length < 10) {
            lxAlert('Данные введены не полностью!');
        }
        else if (feedback_text.length > 2000) {
            lxAlert('Матн 2000 ҳарфдан кўп!')
        }
        else if (feedback_phone.length > 20) {
            lxAlert('Телефон!');
        }
        else if (feedback_email.length > 30) {
            lxAlert('Email!');
        }
        else {
            $.ajax({
                type: "POST",
                url: "/pages/ajax_methods2.aspx",
                data: {
                    'action': 'sendfeedback',
                    'lact_id': lact_id,
                    'lang_id': lang_id,
                    'element_id': _elem_id,
                    'feedback_from': encodeHtmlEntities(feedback_from),
                    'feedback_text': encodeHtmlEntities(feedback_text),
                    'feedback_type': encodeHtmlEntities(feedback_type),
                    'feedback_phone': encodeHtmlEntities(feedback_phone),
                    'feedback_email': encodeHtmlEntities(feedback_email),
                    'captcha_result': captcha_result
                },
                success: function (data) {
                    $('#lx_feedback_from').val('');
                    $('#lx_feedback_text').val('');
                    $('#lx_feedback_type').val('');
                    $('#lx_feedback_phone').val('');
                    $('#lx_feedback_email').val('');
                    $('#captcha_res2').val('');
                    $('#btn_sendFeedbackToDb').hide();
                    $('#lx_md_send_feedback').modal('hide');
                    lxAlert(data);
                },
                error: function () {
                    $('#captcha_res2').val('');
                    $('#btn_sendFeedbackToDb').hide();
                    grecaptcha.reset(dvCaptcha2);
                    lxAlert('Ошибка при сохранении!');
                }
            });
        }
    }

    function encodeHtmlEntities(str) {
        return String(str).replace(/&/g, '&amp;')
            .replace(/</g, '&lt;')
            .replace(/>/g, '&gt;')
            .replace(/"/g, '&quot;')
            .replace(/'/g, '&#39;');
    }
</script>
<script>
    $('.stopProp').click(function (e) {
        e.stopPropagation();
    });
    function openUrl(url) {
        location.href = url;
    }
    function openInNew(url) {
        window.open(url, "_blank");
    }
    if ("" == "print") {
        $(document).ready(function () {
            window.print();
        });
    }
</script>
<script>
    let lxCompNotEqualId = 0;
    function lxCompNext() {
        if (lxCompNotEqualId < 0) {
            lxCompNotEqualId++;
            scrollText('d_' + lxCompNotEqualId);
        }
    }
    function lxCompPrev() {
        if (lxCompNotEqualId > 1) {
            lxCompNotEqualId--;
            scrollText('d_' + lxCompNotEqualId);
        }
    }
</script>
